Color ConSurf Grade
      No Conservation data available
      1
      2
      3
      4
      5
      6
      7
      8
      9

Index: hub id, click on each number to highlight the corresponding hub in the 3D visualization.

Hub: the hub being considered.

Avg Int. Strength: the average interaction strength of all the links of the corresponding hub.

Num Of Links: the number of links of the corresponding hub.

Community: the id of the community the link belong to, otherwise 0.

ConSurf: this column reports the ConSurf conservation grades of each hub.

Index Hub Avg Int. Strength Num Of Links Community ConSurf
1A:A:V34 4.416564
2A:A:L37 6.122519
3A:A:K46 5.052579
4A:A:F192 7.915465
5A:A:H196 6.78413
6A:A:F197 8.175467
7A:A:R198 11.312516
8A:A:F200 8.64516
9A:A:V202 4.335419
10A:A:Q205 5.8775419
11A:A:E208 10.8125419
12A:A:K211 6.80429719
13A:A:W212 6.425619
14A:A:F216 7.116519
15A:A:I222 5.49417
16A:A:F224 7.155409
17A:A:C225 3.6775477
18A:A:F251 5.28167619
19A:A:F259 9.404514
20A:A:F260 7.86419
21A:A:F268 5.07333679
22A:A:N270 4.298579
23A:A:F275 9.315118
24A:A:I279 6.1465117
25A:A:P283 3.4475405
26A:A:F288 5.3554218
27A:A:Y297 5.8785113
28A:A:F308 5.60333608
29A:A:I319 6.64415
30A:A:Y320 6.724598
31A:A:Q333 6.41465
32A:A:F336 6.338568
33A:A:Y354 5.868595
34B:B:L14 7.205408
35B:B:I18 3.806547
36B:B:R22 5.682546
37B:B:T34 4.10754125
38B:B:I37 3.8254122
39B:B:V40 5.32254123
40B:B:H54 8.9525459
41B:B:Y59 9.282518
42B:B:W63 5.65507
43B:B:L70 5.455455
44B:B:S72 5.3875459
45B:B:I80 9.21458
46B:B:W82 9.295859
47B:B:Y85 13.83254154
48B:B:N88 6.9025407
49B:B:K89 6.3225459
50B:B:H91 5.72254195
51B:B:L95 7.634168
52B:B:W99 8.79571719
53B:B:Y105 4.615406
54B:B:N110 7.9025484
55B:B:Y111 6.208584
56B:B:V112 3.125408
57B:B:L117 4.635419
58B:B:N119 4.9975409
59B:B:C121 3.7375418
60B:B:I123 3.7275486
61B:B:Y124 5.432506
62B:B:T128 2.2425403
63B:B:R137 3.54485
64B:B:Y145 6.66286718
65B:B:L146 3.9725417
66B:B:C149 3.368518
67B:B:F151 5.65333609
68B:B:L152 5.5625403
69B:B:N155 8.405483
70B:B:T159 5.546519
71B:B:D163 7.958519
72B:B:C166 4.235428
73B:B:W169 10.1317618
74B:B:F180 8.312527
75B:B:H183 7.695629
76B:B:D186 7.32519
77B:B:V187 4.148529
78B:B:L190 5.5175425
79B:B:A193 3.0275404
80B:B:F199 8.408529
81B:B:V200 8.2375446
82B:B:S201 4.915429
83B:B:C204 5.386517
84B:B:D205 8.0625429
85B:B:K209 8.764526
86B:B:L210 5.0375405
87B:B:W211 9.16667628
88B:B:F222 7.525448
89B:B:H225 11.856549
90B:B:D228 8.58419
91B:B:I232 5.4975448
92B:B:F235 6.458336176
93B:B:F241 7.634546
94B:B:T243 7.225448
95B:B:R251 10.128548
96B:B:F253 7.65167646
97B:B:D254 4.9525409
98B:B:R256 8.18409
99B:B:D258 8.595447
100B:B:Y264 8.626505
101B:B:I269 3.2275404
102B:B:R283 8.91254129
103B:B:L284 4.7775405
104B:B:L285 4.896506
105B:B:Y289 7.4745187
106B:B:N295 8.734186
107B:B:V296 4.688505
108B:B:W297 8.69254188
109B:B:K301 5.67254125
110B:B:H311 7.7845139
111B:B:M325 5.735405
112B:B:V327 4.33406
113B:B:W332 13.7957719
114B:B:D333 9.664139
115B:B:F335 7.9625404
116B:B:L336 7.19457
117B:B:K337 7.8545136
118B:B:W339 9.8525139
119G:G:V16 3.37254237
120G:G:R27 6.294548
121G:G:Y40 12.14254176
122G:G:D48 6.986509
123G:G:N59 8.0125409
124G:G:F61 5.472867158
125L:L:?1 9.671330
126R:R:I29 3.3375407
127R:R:L30 3.4685266
128R:R:F34 7.705407
129R:R:V44 5.684279
130R:R:V47 3.726508
131R:R:I59 3.7475406
132R:R:W60 5.984508
133R:R:L64 4.53754109
134R:R:D68 6.9885109
135R:R:L75 3.4754269
136R:R:W88 7.81167639
137R:R:C95 4.9425439
138R:R:V103 4.385435
139R:R:M106 3.925439
140R:R:F107 3.8425438
141R:R:T114 4.0054148
142R:R:R120 8.1265109
143R:R:I128 4.51467
144R:R:R134 8.211676229
145R:R:R161 7.2375438
146R:R:I163 6.024536
147R:R:Y174 6.9525437
148R:R:R340 5.144539
149R:R:V343 2.2125404
150R:R:F345 8.0454149
151R:R:P348 3.62409
152R:R:Y356 5.248509
153R:R:R367 7.86429796
154R:R:F368 7.35833695
155R:R:F386 5.81254149
156R:R:W390 7.484509
157R:R:Y393 10.4525439
158R:R:L413 3.3725407
159R:R:N431 8.9354109
160R:R:Y435 5.731676109
161R:R:F442 6.39254279
162R:R:K445 5.3865257
   

Color ConSurf Grade
      No Conservation data available
      1
      2
      3
      4
      5
      6
      7
      8
      9

Index: link id, click on each number to highlight the corresponding link in the 3D visualization.

Node1 Node2: the two nodes of the corresponding link.

Recurrence: the relative Recurrence in the pool of shortest paths.

Int. Strength: the interaction strength between the two nodes.

Hub1?, Hub2?: "Yes" if the corresponding node has more than 3 links, otherwise "No".

Community: the id of the community the link belong to, otherwise 0.

ConSurf1, ConSurf2: these columns report the ConSurf conservation grades of the two nodes involved in a link.

Index Node1 Node2 Recurrence Int. Strength Hub1? Hub2? Community ConSurf1 ConSurf2
1B:B:M325 G:G:P49 11.25323.35YesNo057
2G:G:D48 G:G:P49 11.57214.83YesNo097
3B:B:L284 B:B:V40 54.17842.98YesYes053
4B:B:R283 B:B:V40 1007.85YesYes1293
5B:B:L300 B:B:R283 99.31788.5NoYes069
6B:B:L300 G:G:C41 99.24526.35NoNo067
7B:B:F235 G:G:C41 99.21884.19YesNo067
8B:B:F235 B:B:F278 98.36316.43YesNo067
9B:B:F278 B:B:L285 98.30799.74NoYes076
10B:B:L285 B:B:Y264 98.177.03YesYes065
11B:B:C250 B:B:Y264 97.11924.03NoYes085
12B:B:C250 B:B:I273 97.094.91NoNo086
13B:B:G244 B:B:I273 97.68733.53NoNo056
14B:B:G244 B:B:T243 97.65733.64NoYes058
15B:B:F253 B:B:T243 96.89265.19YesYes468
16B:B:F222 B:B:F253 95.47917.5YesYes486
17B:B:D258 B:B:F222 95.48033.58YesYes478
18B:B:D258 B:B:R22 48.12353.57YesYes476
19B:B:I18 B:B:R22 47.79353.76YesYes476
20B:B:I18 G:G:E22 92.49626.83YesNo079
21B:B:T221 G:G:E22 92.36298.47NoNo079
22B:B:K209 B:B:T221 91.49959.01YesNo067
23B:B:K209 B:B:W211 89.268710.44YesYes268
24B:B:F199 B:B:W211 86.22315.03YesYes298
25B:B:F199 B:B:L190 83.27733.65YesYes295
26B:B:C148 B:B:L190 83.5417.94NoYes065
27B:B:C148 B:B:T102 83.40383.38NoNo068
28B:B:C149 B:B:T102 83.26683.38YesNo088
29B:B:C149 B:B:T159 78.66833.38YesYes189
30B:B:H142 B:B:T159 78.86256.85NoYes199
31B:B:H142 B:B:S161 66.999916.74NoNo199
32B:B:G162 B:B:S161 66.88143.71NoNo199
33B:B:G162 B:B:Y145 65.468610.14NoYes198
34A:A:Q205 B:B:Y145 10.66587.89YesYes198
35A:A:Q205 B:B:L117 20.97933.99YesYes199
36B:B:L117 B:B:W99 21.00445.69YesYes199
37B:B:S97 B:B:W99 20.65843.71NoYes089
38B:B:D118 B:B:S97 20.01397.36NoNo098
39B:B:D118 B:B:I120 19.36939.8NoNo096
40B:B:E138 B:B:I120 18.07994.1NoNo066
41B:B:E138 B:B:S122 16.79037.19NoNo068
42B:B:S122 B:B:Y124 16.14546.36NoYes086
43B:B:D258 G:G:R27 47.970715.48YesYes478
44B:B:I18 G:G:R27 47.75073.76YesYes478
45B:B:D163 B:B:H142 11.72128.82YesNo199
46B:B:D163 B:B:G144 11.27813.35YesNo098
47B:B:G144 B:B:N119 11.13053.39NoYes089
48A:A:Q205 B:B:N119 10.68823.96YesYes099
49A:A:W212 B:B:Y145 53.33684.82YesYes198
50A:A:W212 B:B:L117 10.53885.69YesYes199
51A:A:F216 A:A:W212 10.8464.01YesYes199
52B:B:L284 B:B:V296 51.8964.47YesYes055
53B:B:L286 B:B:V296 98.36527.45NoYes075
54B:B:L286 B:B:V327 98.29744.47NoYes076
55B:B:L318 B:B:V327 32.4965.96NoYes066
56B:B:L318 B:B:T329 32.31575.9NoNo068
57B:B:H311 B:B:T329 64.44946.85YesNo098
58B:B:D333 B:B:H311 95.53288.82YesYes1399
59B:B:D312 B:B:D333 94.39043.99NoYes059
60B:B:D312 R:R:K445 94.09658.3NoYes057
61R:R:K445 R:R:V47 92.33213.04YesYes078
62R:R:F442 R:R:V47 91.15417.87YesYes098
63R:R:F442 R:R:V44 90.25987.87YesYes2799
64R:R:P432 R:R:V44 89.09013.53NoYes099
65R:R:N41 R:R:P432 87.31838.15NoNo099
66R:R:D68 R:R:N41 75.28056.73YesNo099
67R:R:D68 R:R:N431 62.57069.42YesYes1099
68R:R:N431 R:R:Y435 26.93315.81YesYes1099
69R:R:R120 R:R:Y435 21.73466.17YesYes1099
70A:A:C351 R:R:R120 17.86014.18NoYes049
71A:A:C351 R:R:N57 17.54923.15NoNo048
72R:R:N57 R:R:R134 16.92844.82NoYes089
73R:R:R134 R:R:V123 12.89576.54YesNo2295
74A:A:N347 R:R:V123 12.590710.35NoNo085
75A:A:I343 A:A:N347 12.27734.25NoNo088
76B:B:V327 B:B:W339 65.59873.68YesYes069
77B:B:T329 B:B:W339 32.32659.7NoYes089
78B:B:K337 B:B:W339 32.93436.96YesYes1369
79B:B:H311 B:B:K337 32.26846.55YesYes1396
80A:A:R349 A:A:Y354 10.74925.14NoYes045
81A:A:N316 A:A:R349 11.080612.05NoNo034
82A:A:D262 A:A:N316 11.24624.04NoNo043
83A:A:D262 A:A:I261 11.41177NoNo042
84A:A:I261 A:A:S314 11.57724.64NoNo025
85A:A:K317 A:A:S314 11.90793.06NoNo085
86A:A:C255 A:A:K317 11.8516.47NoNo158
87A:A:C255 A:A:F251 12.1755.59NoYes159
88A:A:F224 A:A:F251 20.6212.86YesYes099
89A:A:F224 A:A:L250 29.08656.09YesNo099
90A:A:L250 A:A:R209 29.24277.29NoNo099
91A:A:R209 A:A:W212 29.40089NoYes099
92A:A:C215 B:B:L117 10.0373.17NoYes169
93A:A:F275 A:A:I304 12.37353.77YesNo1188
94A:A:F308 A:A:I304 13.02333.77YesNo088
95R:R:N427 R:R:N431 35.686810.9NoYes099
96R:R:N427 R:R:W390 34.76757.91NoYes099
97R:R:M106 R:R:W390 27.12784.65YesYes099
98L:L:?1 R:R:M106 25.26623.64YesYes309
99R:R:C72 R:R:N41 12.07464.72NoNo089
100R:R:C72 R:R:G37 11.44981.96NoNo089
101R:R:C429 R:R:G37 10.52021.96NoNo099
102R:R:D68 R:R:L64 11.47854.07YesYes1099
103R:R:L112 R:R:L64 11.02675.54NoYes099
104B:B:A305 B:B:V40 46.72591.7NoYes043
105B:B:A305 B:B:V296 46.71161.7NoYes045
Download PSN data

2D representation of the global metapath, ligand(s) interactions and
histograms of path distribution according to several parameters
(click on the image to enlarge it 🔍):

A 2D representation of the global communication in the network.

ConSurf Conservation Grade (See documentation): 

 n/a   1    2    3    4    5    6    7    8    9  

Number of shortest communication paths as a function of the average residue correlation.

Number of shortest communication paths as a function of the average interaction strength of their links.

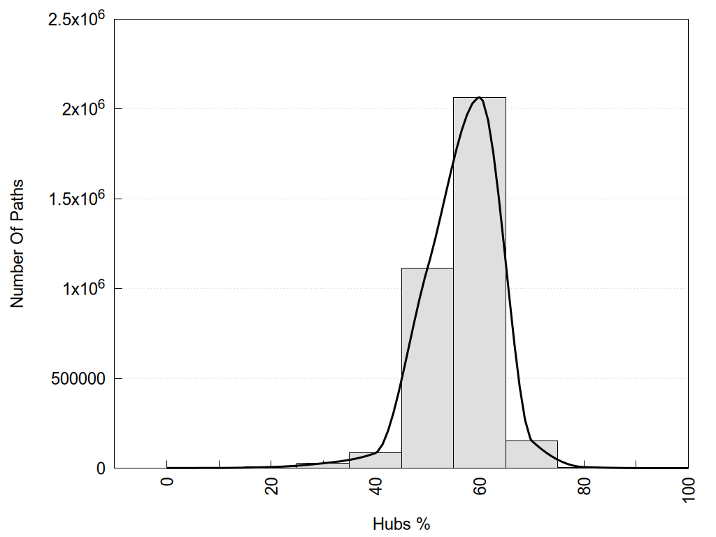
Number of shortest communication paths as a function of the % of hub nodes in each path.

Number of shortest communication paths as a function of the number of nodes in each path.

Number of shortest communication paths as a function of the % of correlated nodes in each path.


2D representation of the interactions of this orthosteric/allosteric ligand.


Links and nodes colored according to ConSurf Conservation Grade (See documentation): 

 n/a   1    2    3    4    5    6    7    8    9  

Node1 Node2 LinkStrength Comm IsNode1Hub? IsNode2Hub? Node1Cons Node2Cons Node1Shell Node2Shell
L:L:?1 R:R:S78 7.74 3 Yes No 0 8 0 1
L:L:?1 R:R:H81 14.91 3 Yes No 0 7 0 1
L:L:?1 R:R:P99 7.41 3 Yes No 0 8 0 1
L:L:?1 R:R:I102 6.44 3 Yes No 0 8 0 1
L:L:?1 R:R:V103 5.76 3 Yes Yes 0 5 0 1
L:L:?1 R:R:M106 3.64 3 Yes Yes 0 9 0 1
L:L:?1 R:R:Y174 7.55 3 Yes Yes 0 7 0 1
L:L:?1 R:R:R340 8.61 3 Yes Yes 0 9 0 1
L:L:?1 R:R:Y393 24.93 3 Yes Yes 0 9 0 1
L:L:?1 R:R:D417 12.24 3 Yes No 0 8 0 1
L:L:?1 R:R:H418 4.97 3 Yes No 0 4 0 1
L:L:?1 R:R:I421 19.31 3 Yes No 0 4 0 1
R:R:I102 R:R:S74 7.74 3 No No 8 9 1 2
R:R:H418 R:R:L82 7.71 0 No No 4 7 1 2
R:R:I98 R:R:P99 3.39 0 No No 8 8 2 1
R:R:P99 R:R:R161 7.21 0 No Yes 8 8 1 2
R:R:I102 R:R:M106 4.37 3 No Yes 8 9 1 1
R:R:M106 R:R:V103 3.04 3 Yes Yes 9 5 1 1
R:R:F107 R:R:V103 3.93 3 Yes Yes 8 5 2 1
R:R:V103 R:R:V157 4.81 3 Yes No 5 9 1 2
R:R:M106 R:R:W390 4.65 3 Yes Yes 9 9 1 2
R:R:F107 R:R:R340 5.34 3 Yes Yes 8 9 2 1
R:R:F107 R:R:Y393 3.09 3 Yes Yes 8 9 2 1
R:R:V157 R:R:Y174 3.79 0 No Yes 9 7 2 1
R:R:R161 R:R:Y174 13.38 3 Yes Yes 8 7 2 1
R:R:R340 R:R:Y174 3.09 3 Yes Yes 9 7 1 1
R:R:R340 R:R:Y393 6.17 3 Yes Yes 9 9 1 1
R:R:H394 R:R:Y393 7.62 0 No Yes 9 9 2 1
R:R:D417 R:R:I421 7 3 No No 8 4 1 1
R:R:I336 R:R:R340 2.51 0 No Yes 7 9 2 1
L:L:?1 R:R:G397 2.2 3 Yes No 0 8 0 1
R:R:G397 R:R:S400 1.86 0 No No 8 2 1 2

Location and physicochemical properties of the interaction partners of this ligand

Interactions of this ligand

Similarities between the interactions of this ligand and those of other networks

ShowSimilarityNetwork TypeNameLigandDescription
70.59Single9IPVJR14a9IPV-C3aB-JR14a-Gi1/β1/γ2
70.59Single9KZ2EP679KZ2-C3aB-EP67-Go/β1/γ2
68.75Single8JJLOlodaterol8JJL-β2-Olodaterol
68.75Single9M4QDoxazosin9M4Q-Alpha1A-Doxazosin
68.75Single9WSVDAMGO9WSV-μ-DAMGO-Arrestin2
66.67Single8DZQmomSalB8DZQ-κ-momSalB-Go/β1/γ2
64.29Single7SR8TAK-9257SR8-OX2-TAK-925-chim(NtGi1L-Gs-CtGq)/β1/γ2
64.29Single8K9KDAMGO8K9K-μ-DAMGO-Gi3/β1/γ1
64.29Single8UO0Constrained Epinephrine8UO0-β2-Constrained Epinephrine-GTP-Gs/β1/γ2
62.50Single3P0GBI1671073P0G-β2-BI167107
62.50Single3SN6BI1671073SN6-β2-BI167107-Gs/β1/γ2
62.50Single6N48BI1671076N48-β2-BI167107-PubChem 138454256
62.50Single6NI3BI1671076NI3-β2-BI167107-Gs/β1/γ2
62.50Single7JVPSKF839597JVP-D1-SKF83959-Gs/β1/γ2
62.50Single8IRVRotigotine8IRV-D5-Rotigotine-chim(NtGi1-Gs)/β1/γ2
62.50Single8VVFJDTic8VVF-κ-JDTic-Gi1/β1/γ2
62.50Single8ZWFJR14a8ZWF-C3aB-JR14a
62.50Consensusd5_on_gpOrthosteric Ligand8IRV-D5-Rotigotine-chim(NtGi1-Gs)/β1/γ2
61.11Single8F7REndomorphin8F7R-μ-Endomorphin-Gi1/β1/γ2
61.11Single8Y72Peptide8Y72-μ-Peptide-BMS-986122-Gi1/β1/γ2
61.11Single9IPYJR14a9IPY-C3aB-JR14a
61.11Single9KZ8EP679KZ8-C3aB-EP67-Go/β1/γ2
60.00Single6TOTLemborexant6TOT-OX1-Lemborexant
60.00Single7SQOTAK-9257SQO-OX2-TAK-925-Gi1/β1/γ2
60.00Single7T6VfMLFII7T6V-FPR2-ALX-fMLFII-Gi1/β1/γ2
60.00Single7UL4Alvimopan7UL4-μ-Alvimopan
60.00Single7YACPaltusotine7YAC-SST2-Paltusotine-Gi1/β1/γ2
60.00Single8UNVConstrained Epinephrine8UNV-β2-Constrained Epinephrine-GTP-Gs/β1/γ2
60.00Single8UNZConstrained Epinephrine8UNZ-β2-Constrained Epinephrine-GTP-Gs/β1/γ2
60.00Single8UO2Constrained Epinephrine8UO2-β2-Constrained Epinephrine-GTP-Gs/β1/γ2
60.00Consensusgi_orexinOrthosteric Ligand7SQO-OX2-TAK-925-Gi1/β1/γ2
60.00Consensuspeptide_offonOrthosteric Ligandpeptide_off peptide_on
58.82Single4LDEBI1671074LDE-β2-BI167107
58.82Single5UNHPubChem 1264564065UNH-AT2-PubChem 126456406
58.82Single6MXTSalmeterol6MXT-β2-Salmeterol
58.82Single7L1VPubChem 1554910097L1V-OX2-PubChem 155491009-chim(NtGi1-Gs-CtGq)/β1/γ2
58.82Single7YITNalfurafine7YIT-κ-Nalfurafine
58.82Single8I9AEP548I9A-C3aB-EP54-chim(NtGi1-Gs-CtGq)/β1/γ2
58.82Single8JJ8Arformoterol8JJ8-β2-Arformoterol
58.82Single9GYOP3959GYO-GPBA-P395-chim(NtGi1-Gs)/β1/γ2
58.82Single9KZKC3a (fragment)9KZK-C3aB-C3a (fragment)-Go/β1/γ2
58.82Single9MQLIsoquinuclidine9MQL-κ-Isoquinuclidine
58.82Single9V6ONalfurafine9V6O-κ-Nalfurafine-Gi1/β1/γ2
58.82Single9WSWEndomorphin9WSW-μ-Endomorphin-chim(NtGi1-Gz)/β1/γ2
58.82Single9YDQDADLE9YDQ-δ-DADLE-MIPS3614-chim(NtGi1L-Gs-CtGi1)/β1/γ2
58.82Consensusgi_lipidOrthosteric Ligandgi_cannabinoid gi_ffa gi_leukotriene gi_lpa gi_s1p
58.82Consensusmop_onOrthosteric Ligand8F7R-μ-Endomorphin-Gi1/β1/γ2 8EF5-μ-Fentanyl-Gi1/β1/γ2 7SCG-μ-FH210-Gi1/β1/γ2 7T2H-μ-Lofentanil-Gi1/β1/γ2 7T2G-μ-Mitragynine Pseudoindoxyl-Gi1/β1/γ2 8EF6-μ-Morphine-Gi1/β1/γ2 8EFB-μ-Oliceridine-Gi1/β1/γ2 7U2L-μ-C5-guano-Gi1/β1/γ2 8EFO-μ-PZM21-Gi1/β1/γ2 8EFL-μ-SR17018-Gi1/β1/γ2 8F7Q-μ-β-Endorphin-Gi1/β1/γ2 7U2K-μ-C6-guano-Gi1/β1/γ2 8EFQ-μ-DAMGO-Gi1/β1/γ2
58.82Consensusmop_on_gpOrthosteric Ligand8F7R-μ-Endomorphin-Gi1/β1/γ2 8EF5-μ-Fentanyl-Gi1/β1/γ2 7SCG-μ-FH210-Gi1/β1/γ2 7T2H-μ-Lofentanil-Gi1/β1/γ2 7T2G-μ-Mitragynine Pseudoindoxyl-Gi1/β1/γ2 8EF6-μ-Morphine-Gi1/β1/γ2 8EFB-μ-Oliceridine-Gi1/β1/γ2 7U2L-μ-C5-guano-Gi1/β1/γ2 8EFO-μ-PZM21-Gi1/β1/γ2 8EFL-μ-SR17018-Gi1/β1/γ2 8F7Q-μ-β-Endorphin-Gi1/β1/γ2 7U2K-μ-C6-guano-Gi1/β1/γ2 8EFQ-μ-DAMGO-Gi1/β1/γ2
58.82Consensusorexin_onOrthosteric Ligandox2_on
57.89Single8DCRDobutamine8DCR-β1-Dobutamine-Gs/β1/γ2
57.89Consensusclass-a_on_gpOrthosteric Ligandsensory_on_gp alicarboxylic_on_gp amine_on_gp lipid_on_gp nucleotide_on_gp peptide_on_gp protein_on_gp
57.89Consensusgi_opioidOrthosteric Ligand8F7R-μ-Endomorphin-Gi1/β1/γ2 8EF5-μ-Fentanyl-Gi1/β1/γ2 7SCG-μ-FH210-Gi1/β1/γ2 7T2H-μ-Lofentanil-Gi1/β1/γ2 7T2G-μ-Mitragynine Pseudoindoxyl-Gi1/β1/γ2 8DZP-κ-momSalB-Gi1/β1/γ2 8EF6-μ-Morphine-Gi1/β1/γ2 8F7X-NOP-Nociceptin-Gi1/β1/γ2 8EFB-μ-Oliceridine-Gi1/β1/γ2 7U2L-μ-C5-guano-Gi1/β1/γ2 8EFO-μ-PZM21-Gi1/β1/γ2 8EFL-μ-SR17018-Gi1/β1/γ2 8F7Q-μ-β-Endorphin-Gi1/β1/γ2 7U2K-μ-C6-guano-Gi1/β1/γ2 8EFQ-μ-DAMGO-Gi1/β1/γ2 8F7S-δ-Deltorphin-Gi1/β1/γ2 8F7W-κ-Dynorphin-Gi1/β1/γ2
57.14Single6AKXA4R6AKX-CCR5-A4R
57.14Single7XRRLemborexant7XRR-OX2-Lemborexant
57.14Single8EFOPZM218EFO-μ-PZM21-Gi1/β1/γ2
57.14Single8GGCConstrained Epinephrine8GGC-β2-Constrained Epinephrine-GTP-Gs/β1/γ2
57.14Single8GGZConstrained Epinephrine8GGZ-β2-Constrained Epinephrine
57.14Single8XWQEndothelin-18XWQ-ETB-Endothelin-1-Gi1/β1/γ2
57.14Single8YYWAlpha-ketoglutarate8YYW-Oxoglutarate-α-ketoglutarate-α-ketoglutarate-chim(Gi1-CtGq)/β1/γ2
57.14Consensusorexin_offOrthosteric Ligandox2_off ox1_off
57.14Consensusox2_offOrthosteric Ligand5WQC-OX2-EMPA 6TPN-OX2-HTL6641 7XRR-OX2-Lemborexant 6TPJ-OX2-Suvorexant
57.14Consensuspeptide_offon_gpOrthosteric Ligandpeptide_on_gp peptide_off
56.25Single4RWDDIPP-NH24RWD-δ-DIPP-NH2-Na
56.25Single5C1MBU725C1M-μ-BU72
56.25Single6E67BI1671076E67-β2-BI167107-Gs(CT)
56.25Single7C61Ergotamine7C61-5-HT1B-Ergotamine
56.25Single7CFNINT-7777CFN-GPBA-INT-777-Gs/β1/γ2
56.25Single7CKXA776367CKX-D1-A77636-Gs/β1/γ2
56.25Single7X1TTaltirelin7X1T-TRH-Taltirelin-chim(NtGi2L-Gs-CtGq)/β1/γ2
56.25Single7XKAConstrained Epinephrine7XKA-β2-Constrained Epinephrine
56.25Single8DZRGR89,6968DZR-κ-GR89,696-chim(NtGi2-Gt3)/β1/γ2
56.25Single8GDZConstrained Epinephrine8GDZ-β2-Constrained Epinephrine-Gs/β1/γ2
56.25Single8GEBConstrained Epinephrine8GEB-β2-Constrained Epinephrine-Gs/β1/γ2
56.25Single8GEGConstrained Epinephrine8GEG-β2-Constrained Epinephrine-Gs/β1/γ2
56.25Single8GGBConstrained Epinephrine8GGB-β2-Constrained Epinephrine-GTP-Gs/β1/γ2
56.25Single8TF5Oleic acid8TF5-GPR6-Oleic acid
56.25Single8UNNConstrained Epinephrine8UNN-β2-Constrained Epinephrine-GTP-Gs/β1/γ2
56.25Single8UNPConstrained Epinephrine8UNP-β2-Constrained Epinephrine-GTP-Gs/β1/γ2
56.25Single9EHSLUF76029EHS-A3A-LUF7602
56.25Single9I52A1IZU9I52-D1-A1IZU-Gs/β1/γ2
56.25Single9MQKIsoquinuclidine9MQK-κ-Isoquinuclidine
56.25Consensusalpha_offOrthosteric Ligandalpha1_off alpha2_off
56.25Consensusd1_onOrthosteric Ligand7F0T-D1-Dopamine-Gs/β1/γ2 7CKY-D1-PW0464-Gs/β1/γ2 8IRR-D1-Rotigotine-Gs/β1/γ2 7JV5-D1-SKF81297-Gs/β1/γ2 7JVP-D1-SKF83959-Gs/β1/γ2 7X2D-D1-Tavapadon-Gs/β1/γ2 7CKX-D1-A77636-Gs/β1/γ2 7JVQ-D1-Apomorphine-Gs/β1/γ2 7CKW-D1-Fenoldopam-Gs/β1/γ2
56.25Consensusd4_onOrthosteric Ligand8IRU-D4-Rotigotine-chim(NtGi1-Gs-CtGi1)/β1/γ2
55.56Single5UNGPubChem 157800525UNG-AT2-PubChem 15780052
55.56Single6BQGErgotamine6BQG-5-HT2C-Ergotamine
55.56Single6DDFDAMGO6DDF-μ-DAMGO-Gi1/β1/γ2
55.56Single6H7LDobutamine6H7L-β1-Dobutamine
55.56Single8E0GBU728E0G-μ-BU72
55.56Single8I95EP548I95-C3aB-EP54-Go/β1/γ2
55.56Single8ZWGJR14a8ZWG-C3aB-JR14a-Gi1/β1/γ2
55.56Single9YDPDADLE9YDP-δ-DADLE-chim(NtGi1L-Gs-CtGi1)/β1/γ2
55.56Consensusbeta1_onOrthosteric Ligand8DCR-β1-Dobutamine-Gs/β1/γ2 7S0F-β1-Isoprenaline-Gi1/β1/γ2
55.56Consensusbeta1_on_gpOrthosteric Ligand8DCR-β1-Dobutamine-Gs/β1/γ2 7S0F-β1-Isoprenaline-Gi1/β1/γ2
55.56Consensusclass-a_onOrthosteric Ligandsensory_on alicarboxylic_on amine_on lipid_on nucleotide_on peptide_on protein_on
55.56Consensusendothelin_offOrthosteric Ligandetb_off
55.56Consensusetb_offOrthosteric Ligand5X93-ETB-K-8794 5XPR-ETB-Bosentan 6K1Q-ETB-IRL2500
55.56Consensusorexin_on_gpOrthosteric Ligandox2_on_gp
55.00Single8F7SDeltorphin8F7S-δ-Deltorphin-Gi1/β1/γ2
55.00Consensusdop_on_gpOrthosteric Ligand8F7S-δ-Deltorphin-Gi1/β1/γ2
54.55Single8XGOTAK4488XGO-Kiss1-TAK448-chim(NtGi1-Gq)/β1/γ2
53.85Single8GGEConstrained Epinephrine8GGE-β2-Constrained Epinephrine-GTP-Gs/β1/γ2
53.85Single8GH1Constrained Epinephrine8GH1-β2-Constrained Epinephrine
53.33Single4LDOEpinephrine4LDO-β2-Epinephrine
53.33Single4MBSMaraviroc4MBS-CCR5-Maraviroc
53.33Single4ZJCSB-6740424ZJC-OX1-SB-674042
53.33Single6PS0Carazolol6PS0-β2-Carazolol
53.33Single6PS4ICI118-5516PS4-β2-ICI118-551
53.33Single6PS5Propranolol6PS5-β2-Propranolol
53.33Single6TPGEMPA6TPG-OX2-EMPA
53.33Single7F61PF-036547467F61-H3-PF-03654746
53.33Single8GG7Constrained Epinephrine8GG7-β2-Constrained Epinephrine-GTP-Gs/β1/γ2
53.33Single8GGLConstrained Epinephrine8GGL-β2-Constrained Epinephrine
53.33Single8GGMConstrained Epinephrine8GGM-β2-Constrained Epinephrine
53.33Single8GGPConstrained Epinephrine8GGP-β2-Constrained Epinephrine
53.33Single8GGQConstrained Epinephrine8GGQ-β2-Constrained Epinephrine
53.33Single8GGSConstrained Epinephrine8GGS-β2-Constrained Epinephrine
53.33Single8GGTConstrained Epinephrine8GGT-β2-Constrained Epinephrine
53.33Single8GGXConstrained Epinephrine8GGX-β2-Constrained Epinephrine
53.33Single8JLQFenoldopam8JLQ-TA1-Fenoldopam-Gs/β1/γ2
53.33Single8UNLConstrained Epinephrine8UNL-β2-Constrained Epinephrine-GTP-Gs/β1/γ2
53.33Single8UNOConstrained Epinephrine8UNO-β2-Constrained Epinephrine-GTP-Gs/β1/γ2
53.33Single8UO1Constrained Epinephrine8UO1-β2-Constrained Epinephrine-GTP; Mg-Gs/β1/γ2
53.33Single8YH2Adenosine8YH2-A3A-Adenosine-Gi1/β1/γ2
53.33Single9L84Epinephrine9L84-β1-Epinephrine-Atazanavir-Gs/β1/γ2
53.33Single9L8LBI1671079L8L-β2-BI167107-Atazanavir-Gs/β1/γ2 ; Arrestin2
53.33Single9ODLMitragynine Pseudoindoxyl9ODL-μ-Mitragynine Pseudoindoxyl-GTP; Mg-Gi1/β1/γ2
53.33Consensus5ht_on_gpOrthosteric Ligand5ht1_on_gp 5ht2_on_gp 5ht4_on_gp 5ht5_on_gp 5ht6_on_gp 5ht7_on_gp
52.94Single3PDSFAUC503PDS-β2-FAUC50
52.94Single4LDLHydroxybenzyl Isoproterenol4LDL-β2-Hydroxybenzyl Isoproterenol
52.94Single6DDEDAMGO6DDE-μ-DAMGO-Gi1/β1/γ2
52.94Single6H7JIsoprenaline6H7J-β1-Isoprenaline
52.94Single6KO5PubChem 574000026KO5-Ghrelin-PubChem 57400002
52.94Single7CKYPW04647CKY-D1-PW0464-Gs/β1/γ2
52.94Single7EW1Siponimod7EW1-S1P5-Siponimod-Gi1/β1/γ2
52.94Single7JJOIsoprenaline7JJO-β1-Isoprenaline-Gs/β1/γ2
52.94Single7JV5SKF812977JV5-D1-SKF81297-Gs/β1/γ2
52.94Single7M8W15r-Methyl-PGD27M8W-DP2-15r-Methyl-PGD2-Na
52.94Single7TUYGSK682753A7TUY-GPR183-GSK682753A
52.94Single8DZPmomSalB8DZP-κ-momSalB-Gi1/β1/γ2
52.94Single8EF5Fentanyl8EF5-μ-Fentanyl-Gi1/β1/γ2
52.94Single8HPTC5a (C-terminal peptide)8HPT-C5a1-C5a (C-terminal peptide)-Go/β1/γ2
52.94Single8IRRRotigotine8IRR-D1-Rotigotine-Gs/β1/γ2
52.94Single8IRURotigotine8IRU-D4-Rotigotine-chim(NtGi1-Gs-CtGi1)/β1/γ2
52.94Single8XIPPasireotide8XIP-SST1-Pasireotide-chim(NtGi1-Gs-CtGi1)/β1/γ2
52.94Single8Y73Peptide8Y73-μ-Peptide-MPAM-15-Gi1/β1/γ2
52.94Single9I54PubChem 1764520919I54-D1-PubChem 176452091-Gs/β1/γ2
52.94Single9JMCDS-3801b9JMC-Motilin-DS-3801b-chim(Gs-CtGq)/β1/γ2
52.94Single9WSTDAMGO9WST-μ-DAMGO-chim(NtGi1-Gz)/β1/γ2
52.94Consensusbeta2_onOrthosteric Ligand7DHI-β2-Salbutamol-Gs/β1/γ2 6NI3-β2-BI167107-Gs/β1/γ2
52.94Consensusbeta2_on_gpOrthosteric Ligand7DHI-β2-Salbutamol-Gs/β1/γ2 6NI3-β2-BI167107-Gs/β1/γ2
52.94Consensusd1_on_gpOrthosteric Ligand7F0T-D1-Dopamine-Gs/β1/γ2 7CKY-D1-PW0464-Gs/β1/γ2 8IRR-D1-Rotigotine-Gs/β1/γ2 7JV5-D1-SKF81297-Gs/β1/γ2 7JVP-D1-SKF83959-Gs/β1/γ2 7X2D-D1-Tavapadon-Gs/β1/γ2 7CKX-D1-A77636-Gs/β1/γ2 7JVQ-D1-Apomorphine-Gs/β1/γ2 7CKW-D1-Fenoldopam-Gs/β1/γ2
52.94Consensusd4_on_gpOrthosteric Ligand8IRU-D4-Rotigotine-chim(NtGi1-Gs-CtGi1)/β1/γ2
52.94Consensusgi_5htOrthosteric Ligand8FYT-5-HT1A-LSD-PtdIns4P-Gi1/β1/γ1 7UM7-5-HT5A-Methylergometrine-chim(NtGi1-Go)/β1/γ2 8UGY-5-HT1E-Mianserin-Gi1/β1/γ1 8W8B-5-HT1A-SEP-363856-Gi1/β1/γ2 7E2Y-5-HT1A-Serotonin-PtdIns4P-Gi1/β1/γ2 7E32-5-HT1D-Serotonin-Gi1/β1/γ2 7XTA-5-HT4-Serotonin-Gi1/β1/γ2 8UH3-5-HT1E-Setiptiline-Gi1/β1/γ1 8JSP-5-HT1A-Ulotaront-Gi1/β1/γ2 8FYL-5-HT1A-Vilazodone-PtdIns4P-Gi1/β1/γ1 8JT6-5-HT1A-(R)-IHCH-7179-PtdIns4P-Gi1/β1/γ2 8FYE-5-HT1A-4-F,5-MeO-PyrT-PtdIns4P-Gi1/β1/γ1 7X5H-5-HT5A-5-CT-Gi1/β1/γ2 8FY8-5-HT1A-5-MeO-DMT-PtdIns4P-Gi1/β1/γ1 7E2Z-5-HT1A-Aripiprazole-PtdIns4P-Gi1/β1/γ2 7E33-5-HT1E-BRL-54443-Gi1/β1/γ2 8FYX-5-HT1A-Buspirone-PtdIns4P-Gi1/β1/γ1 7EXD-5-HT1F-Lasmiditan-Gi1/β1/γ2 7UM6-5-HT5A-Lisuride-chim(NtGi1-Go)/β1/γ2
52.94Consensusgi_dopamineOrthosteric Ligand7JVR-D2-Bromoergocryptine-Gi1/β1/γ2 7CMV-D3-PD128907-Gi1/β1/γ2 7CMU-D3-Pramipexole-Gi1/β1/γ2 8IRS-D2-Rotigotine-Gi1/β1/γ2 8IRT-D3-Rotigotine-Gi1/β1/γ2
52.94Consensusgs_dopamineOrthosteric Ligand7F0T-D1-Dopamine-Gs/β1/γ2 7CKW-D1-Fenoldopam-Gs/β1/γ2 7CKY-D1-PW0464-Gs/β1/γ2 8IRV-D5-Rotigotine-chim(NtGi1-Gs)/β1/γ2 8IRR-D1-Rotigotine-Gs/β1/γ2 7JV5-D1-SKF81297-Gs/β1/γ2 7JVP-D1-SKF83959-Gs/β1/γ2 7X2D-D1-Tavapadon-Gs/β1/γ2 7CKX-D1-A77636-Gs/β1/γ2 7JVQ-D1-Apomorphine-Gs/β1/γ2
52.94Consensuss1p5_onOrthosteric Ligand7EW1-S1P5-Siponimod-Gi1/β1/γ2
52.94Consensuss1p5_on_gpOrthosteric Ligand7EW1-S1P5-Siponimod-Gi1/β1/γ2
52.63Single7XY6BAY 60-65837XY6-A2B-BAY 60-6583-chim(NtGi1-Gs)/β1/γ2
52.63Single8X5YAstemizole8X5Y-H1-Astemizole
52.63Single9V2NMacimorelin9V2N-Ghrelin-Macimorelin-chim(NtGi1-Gs-CtGq)/β1/γ2
52.63Single9WSXEndomorphin9WSX-μ-Endomorphin-Arrestin2
52.63Consensusdop_onOrthosteric Ligand8F7S-δ-Deltorphin-Gi1/β1/γ2
52.63Consensusox2_onOrthosteric Ligand7L1V-OX2-PubChem 155491009-chim(NtGi1-Gs-CtGq)/β1/γ2 7SQO-OX2-TAK-925-Gi1/β1/γ2 7L1U-OX2-Orexin-chim(NtGi1-Gs-CtGq)/β1/γ2
52.63Consensusox2_on_gpOrthosteric Ligand7L1V-OX2-PubChem 155491009-chim(NtGi1-Gs-CtGq)/β1/γ2 7SQO-OX2-TAK-925-Gi1/β1/γ2 7L1U-OX2-Orexin-chim(NtGi1-Gs-CtGq)/β1/γ2
52.38Single7TD0LPA7TD0-LPA1-LPA-Gi1/β1/γ2
52.38Single8XIQL7967788XIQ-SST3-L796778-chim(NtGi1-Gs-CtGi1)/β1/γ2
52.38Single8XIRPasireotide8XIR-SST3-Pasireotide-chim(NtGi1-Gs-CtGi1)/β1/γ2
52.38Consensusangiotensin_onOrthosteric Ligandat1_on
52.38Consensusat1_onOrthosteric Ligand7F6G-AT1-(Sar1)-Angiotensin II-Gq/β1/γ2
52.38Consensusgs_class-aOrthosteric Ligandgs_peptide gs_nucleotide gs_amine
52.17Single8XVEBQ30208XVE-ETB-BQ3020-chim(Gs-CtGq)/β1/γ2
52.17Consensusgi_peptideOrthosteric Ligandgi_cck gi_apelin gi_compl-pept gi_endothelin gi_formylpeptide gi_galanin gi_ghrelin gi_npy gi_neurotensin gi_opioid gi_orexin gi_relaxin gi_somatostatin
50.00Single2Y04Salbutamol2Y04-β1-Salbutamol
50.00Single3NY8ICI118-5513NY8-β2-ICI118-551
50.00Single3ZPQPubChem 5945903ZPQ-β1-PubChem 594590-Na
50.00Single4EA3PubChem 102965614EA3-NOP-PubChem 10296561
50.00Single4GBRCarazolol4GBR-β2-Carazolol
50.00Single4IARErgotamine4IAR-5-HT1B-Ergotamine
50.00Single4IB4Ergotamine4IB4-5-HT2B-Ergotamine
50.00Single4QKXPubChem 762106284QKX-β2-PubChem 76210628
50.00Single4RWADIPP-NH24RWA-δ-DIPP-NH2
50.00Single4Z36ONO-30805734Z36-LPA1-ONO-3080573
50.00Single5F8UCyanopindolol5F8U-β1-Cyanopindolol
50.00Single5UIGPubChem 1240811965UIG-A2A-PubChem 124081196
50.00Single5UNFPubChem 157800525UNF-AT2-PubChem 15780052
50.00Single6PS1Timolol6PS1-β2-Timolol
50.00Single6PS2Alprenolol6PS2-β2-Alprenolol
50.00Single7BTSEpinephrine7BTS-β1-Epinephrine
50.00Single7BU6Norepinephrine7BU6-β1-Norepinephrine
50.00Single7BU7BI1671077BU7-β1-BI167107
50.00Single7CRHSKF839597CRH-D1-SKF83959-Gs/β1/γ2
50.00Single7F6G(Sar1)-Angiotensin II7F6G-AT1-(Sar1)-Angiotensin II-Gq/β1/γ2
50.00Single7JNIOlodanrigan7JNI-AT2-Olodanrigan
50.00Single7S0GIsoprenaline7S0G-β1-Isoprenaline-chim(Gi1-CtGs)/β1/γ2
50.00Single7SCGFH2107SCG-μ-FH210-Gi1/β1/γ2
50.00Single7T2GMitragynine Pseudoindoxyl7T2G-μ-Mitragynine Pseudoindoxyl-Gi1/β1/γ2
50.00Single7UM6Lisuride7UM6-5-HT5A-Lisuride-chim(NtGi1-Go)/β1/γ2
50.00Single7VIES1P7VIE-S1P1-S1P-Gi1/β1/γ2
50.00Single7W0PElabela7W0P-Apelin-Elabela-Gi1/β1/γ2
50.00Single7XJHIsoprenaline7XJH-β3-Isoprenaline-Gs/β1/γ2
50.00Single7YMJTamsulosin7YMJ-Alpha1A-Tamsulosin
50.00Single8EF6Morphine8EF6-μ-Morphine-Gi1/β1/γ2
50.00Single8EFQDAMGO8EFQ-μ-DAMGO-Gi1/β1/γ2
50.00Single8GE2Constrained Epinephrine8GE2-β2-Constrained Epinephrine-Gs/β1/γ1
50.00Single8GE3Constrained Epinephrine8GE3-β2-Constrained Epinephrine-Gs/β1/γ2
50.00Single8GE9Constrained Epinephrine8GE9-β2-Constrained Epinephrine-Gs/β1/γ2
50.00Single8GECConstrained Epinephrine8GEC-β2-Constrained Epinephrine-Gs/β1/γ2
50.00Single8GEEConstrained Epinephrine8GEE-β2-Constrained Epinephrine-Gs/β1/γ2
50.00Single8GEHConstrained Epinephrine8GEH-β2-Constrained Epinephrine-Gs/β1/γ2
50.00Single8GFVConstrained Epinephrine8GFV-β2-Constrained Epinephrine-GTP-Gs/β1/γ2
50.00Single8GFWConstrained Epinephrine8GFW-β2-Constrained Epinephrine-GTP-Gs/β1/γ2
50.00Single8GFXConstrained Epinephrine8GFX-β2-Constrained Epinephrine-GTP-Gs/β1/γ2
50.00Single8GFZConstrained Epinephrine8GFZ-β2-Constrained Epinephrine-GTP-Gs/β1/γ2
50.00Single8GG0Constrained Epinephrine8GG0-β2-Constrained Epinephrine-GTP-Gs/β1/γ2
50.00Single8GG1Constrained Epinephrine8GG1-β2-Constrained Epinephrine-GTP-Gs/β1/γ2
50.00Single8GG3Constrained Epinephrine8GG3-β2-Constrained Epinephrine-GTP-Gs/β1/γ2
50.00Single8GG4Constrained Epinephrine8GG4-β2-Constrained Epinephrine-GTP-Gs/β1/γ2
50.00Single8GG6Constrained Epinephrine8GG6-β2-Constrained Epinephrine-GTP-Gs/β1/γ2
50.00Single8GG9Constrained Epinephrine8GG9-β2-Constrained Epinephrine-GTP-Gs/β1/γ2
50.00Single8GGIConstrained Epinephrine8GGI-β2-Constrained Epinephrine
50.00Single8GGJConstrained Epinephrine8GGJ-β2-Constrained Epinephrine
50.00Single8GGKConstrained Epinephrine8GGK-β2-Constrained Epinephrine
50.00Single8GGNConstrained Epinephrine8GGN-β2-Constrained Epinephrine
50.00Single8GGOConstrained Epinephrine8GGO-β2-Constrained Epinephrine
50.00Single8GGUConstrained Epinephrine8GGU-β2-Constrained Epinephrine
50.00Single8GHVAMG3158GHV-CB1-AMG315-Gi1/β1/γ2
50.00Single8IA8E7 peptide8IA8-C3aB-E7 peptide-Gi1/β1/γ2
50.00Single8IRTRotigotine8IRT-D3-Rotigotine-Gi1/β1/γ2
50.00Single8JWZEtrumadenant8JWZ-A2A-Etrumadenant-Na
50.00Single8PJKST1718PJK-5-HT1A-ST171-Gi1/β1/γ1
50.00Single8PKMBefiradol8PKM-5-HT1A-Befiradol-Gi1/β1/γ1
50.00Single8UGYMianserin8UGY-5-HT1E-Mianserin-Gi1/β1/γ1
50.00Single8UH3Setiptiline8UH3-5-HT1E-Setiptiline-Gi1/β1/γ1
50.00Single8UNQConstrained Epinephrine8UNQ-β2-Constrained Epinephrine-GTP-Gs/β1/γ2
50.00Single8UNRConstrained Epinephrine8UNR-β2-Constrained Epinephrine-GTP-Gs/β1/γ2
50.00Single8UNUConstrained Epinephrine8UNU-β2-Constrained Epinephrine-GTP-Gs/β1/γ2
50.00Single8UNYConstrained Epinephrine8UNY-β2-Constrained Epinephrine-GTP-Gs/β1/γ2
50.00Single8UO3Constrained Epinephrine8UO3-β2-Constrained Epinephrine-GTP; Mg-Gs/β1/γ2
50.00Single8VVGGB188VVG-κ-GB18-Gi1/β1/γ2
50.00Single8WDTphotoNECA8WDT-A2A-photoNECA
50.00Single8XWPEndothelin-18XWP-ETB-Endothelin-1-Gi1/β1/γ2
50.00Single8ZBISomatostatin-148ZBI-SST3-Somatostatin-14-Gi1/β1/γ2
50.00Single8ZSPLSD8ZSP-TA1-LSD-chim(NtGi1L-Gs)/β1/γ2
50.00Single9BUYLM1899BUY-β2-LM189-Gi1/β1/γ2
50.00Single9CHXCarazolol9CHX-β2-Carazolol
50.00Single9D61JDTic9D61-κ-JDTic-Gi1/β1/γ2
50.00Single9GL2Befiradol9GL2-5-HT1A-Befiradol-Gs/β1/γ2
50.00Single9HB3Mambaquaretin-19HB3-V2-Mambaquaretin-1
50.00Single9U9VMETH9U9V-β2-METH-Gs/β1/γ2
50.00Single9UYJChemerin-99UYJ-CML2-Chemerin-9-Arrestin2
50.00Single9VJ6F-155999VJ6-5-HT1A-F-15599-Gi3/β1/γ2
50.00Single9VMYTMU41429VMY-5-HT1A-TMU4142-Go/β1/γ2
50.00Consensus5ht5_onOrthosteric Ligand5ht5a_on
50.00Consensus5ht5a_onOrthosteric Ligand7X5H-5-HT5A-5-CT-Gi1/β1/γ2 7UM6-5-HT5A-Lisuride-chim(NtGi1-Go)/β1/γ2 7UM7-5-HT5A-Methylergometrine-chim(NtGi1-Go)/β1/γ2
50.00Consensusadenosine_on_gpOrthosteric Liganda1_on_gp a2_on_gp a3_on_gp
50.00Consensusadrenergic_onOrthosteric Ligandalpha_on beta_on
50.00Consensusalpha1_offOrthosteric Ligandalpha1a_off
50.00Consensusalpha1a_offOrthosteric Ligand7YMJ-Alpha1A-Tamsulosin
50.00Consensusangiotensin_on_gpOrthosteric Ligandat1_on_gp
50.00Consensusat1_on_gpOrthosteric Ligand7F6G-AT1-(Sar1)-Angiotensin II-Gq/β1/γ2
50.00Consensusbeta_onOrthosteric Ligandbeta1_on beta2_on beta3_on
50.00Consensusbeta_on_gpOrthosteric Ligandbeta1_on_gp beta2_on_gp beta3_on_gp
50.00Consensusc3a_onOrthosteric Ligand8HK2-C3aB-C3a-Gi1/β1/γ2 8IA8-C3aB-E7 peptide-Gi1/β1/γ2
50.00Consensusd2_on_gpOrthosteric Ligand7JVR-D2-Bromoergocryptine-Gi1/β1/γ2 8IRS-D2-Rotigotine-Gi1/β1/γ2
50.00Consensusd5_onOrthosteric Ligand8IRV-D5-Rotigotine-chim(NtGi1-Gs)/β1/γ2
50.00Consensusdopamine_offOrthosteric Ligandd2_off d3_off
50.00Consensusdopamine_onOrthosteric Ligandd2_on d1_on d3_on d4_on d5_on
50.00Consensusdopamine_on_gpOrthosteric Ligandd2_on_gp d1_on_gp d3_on_gp d4_on_gp d5_on_gp
50.00Consensusgi_class-aOrthosteric Ligandgi_peptide gi_sensory gi_alicarboxylic gi_amine gi_lipid gi_nucleotide gi_protein
50.00Consensusgq_angiotensinOrthosteric Ligand7F6G-AT1-(Sar1)-Angiotensin II-Gq/β1/γ2
50.00Consensusgq_peptideOrthosteric Ligandgq_cck gq_kisspeptin gq_bradykinin gq_bombesin gq_angiotensin
50.00Consensuskop_onOrthosteric Ligand8F7W-κ-Dynorphin-Gi1/β1/γ2 8DZS-κ-GR89,696-chim(NtGi2-Gz)/β1/γ2 8DZP-κ-momSalB-Gi1/β1/γ2
50.00Consensuslipid_offonOrthosteric Ligandlipid_off lipid_on
50.00Consensuslipid_offon_gpOrthosteric Ligandlipid_on_gp lipid_off
50.00Consensuslpa1_offOrthosteric Ligand4Z36-LPA1-ONO-3080573 4Z35-LPA1-ONO-9910539 4Z34-LPA1-ONO-9780307
50.00Consensuslpa_offOrthosteric Ligandlpa1_off
50.00Consensuslpl_offOrthosteric Ligands1p_off lpa_off
50.00Consensuslpl_onOrthosteric Ligands1p_on lpa_on
50.00Consensuslpl_on_gpOrthosteric Ligands1p_on_gp lpa_on_gp
50.00Consensusmop_offOrthosteric Ligand4DKL-μ-β-Funaltrexamine 8QOT-μ-Nanobody-E 7UL4-μ-Alvimopan
50.00Consensusopioid_offOrthosteric Ligandmop_off nop_off dop_off kop_off
50.00Consensuspeptide_onOrthosteric Ligandcck_on angiotensin_on apelin_on bombesin_on bradykinin_on compl-peptide_on endothelin_on formylpeptide_on galanin_on ghrelin_on kisspeptin_on melanocortin_on motilin_on neuromedin-u_on npy_on neurotensin_on opioid_on orexin_on relaxin_on somatostatin_on tachykinin_on trh_on vasop-oxy_on
50.00Consensuspeptide_on_gpOrthosteric Ligandcck_on_gp angiotensin_on_gp apelin_on_gp bombesin_on_gp bradykinin_on_gp compl-peptide_on_gp endothelin_on_gp formylpeptide_on_gp galanin_on_gp ghrelin_on_gp kisspeptin_on_gp melanocortin_on_gp motilin_on_gp neuromedin-u_on_gp npy_on_gp neurotensin_on_gp opioid_on_gp orexin_on_gp relaxin_on_gp somatostatin_on_gp tachykinin_on_gp trh_on_gp vasop-oxy_on_gp
48.00Single6IGLIRL16206IGL-ETB-IRL1620
47.83Single8ZPSPrRP208ZPS-PrRP-PrRP20-chim(NtGi1-Gs-CtGi1)/β1/γ2
47.83Single8ZRTEndothelin-18ZRT-ETB-Endothelin-1
47.83Consensusopioid_onOrthosteric Ligandmop_on nop_on dop_on kop_on
47.62Single6DO1(Sar1,Ile8)-Angiotensin II6DO1-AT1-(Sar1,Ile8)-Angiotensin II
47.62Single7DDZJNJ-310200287DDZ-Y2-JNJ-31020028
47.62Single8F7WDynorphin8F7W-κ-Dynorphin-Gi1/β1/γ2
47.62Consensuscompl-peptide_onOrthosteric Ligandc5a1_on c3a_on
47.62Consensusnpy2_offOrthosteric Ligand7DDZ-Y2-JNJ-31020028
47.37Single4Z35ONO-99105394Z35-LPA1-ONO-9910539
47.37Single5TUDErgotamine5TUD-5-HT2B-Ergotamine
47.37Single5X93K-87945X93-ETB-K-8794
47.37Single6IBLArformoterol6IBL-β1-Arformoterol
47.37Single6TKOArformoterol6TKO-β1-Arformoterol-Arrestin2
47.37Single7EW0Ozanimod7EW0-S1P1-Ozanimod-Gi1/β1/γ2
47.37Single7WVVfMLFII7WVV-FPR2-ALX-fMLFII-Gi2/β1/γ2
47.37Single7X1UTRH7X1U-TRH-TRH-chim(NtGi2L-Gs-CtGq)/β1/γ2
47.37Single7X2DTavapadon7X2D-D1-Tavapadon-Gs/β1/γ2
47.37Single7XJISolabegron7XJI-β3-Solabegron-Gs/β1/γ2
47.37Single7XK2MK68927XK2-HCA2-MK6892-Gi1/β1/γ2
47.37Single7YU8ONO-07405567YU8-LPA1-ONO-0740556-Gi1/β1/γ2
47.37Single8S2TIsoprenaline8S2T-β1-Isoprenaline-chim(NtGi1-Gs)/β1/γ2
47.37Single8WRZAM8418WRZ-CB1-AM841-Arrestin2
47.37Single8XIOL7975918XIO-SST1-L797591-chim(NtGi1-Gs-CtGi1)/β1/γ2
47.37Single9HYIDP819HYI-5-HT1A-DP81-Gi1/β1/γ2
47.37Single9IZFLPA9IZF-LPA1-LPA-Gi1/β1/γ2
47.37Single9YDRDADLE9YDR-δ-DADLE-MIPS3983-chim(NtGi1L-Gs-CtGi1)/β1/γ2
47.37Consensusc3a_on_gpOrthosteric Ligand8HK2-C3aB-C3a-Gi1/β1/γ2 8IA8-C3aB-E7 peptide-Gi1/β1/γ2
47.37Consensuscb1_on_gpOrthosteric Ligand6KPG-CB1-AM841-Gi1/β1/γ2 8K8J-CB1-Fenofibrate-chim(Gs-CtGq)/β1/γ2
47.37Consensusd2_offOrthosteric Ligand6CM4-D2-Risperidone 6LUQ-D2-Haloperidol 7DFP-D2-Spiperone
47.37Consensusgi_s1pOrthosteric Ligand7VIE-S1P1-S1P-Gi1/β1/γ2 7EW3-S1P3-S1P-Gi1/β1/γ2 7EVY-S1P1-Siponimod-Gi1/β1/γ2 7EW1-S1P5-Siponimod-Gi1/β1/γ2 7VIF-S1P1-FTY720-P-Gi1/β1/γ2 7VIG-S1P1-CBP-307-Gi1/β1/γ2 7EVZ-S1P1-Cenerimod-Gi1/β1/γ2 7EW4-S1P3-CYM-5541-Gi1/β1/γ2 7EW2-S1P3-FTY720-P-Gi1/β1/γ2 7EW0-S1P1-Ozanimod-Gi1/β1/γ2 7EW7-S1P1-SEW2871-Gi1/β1/γ2
47.37Consensuskop_on_gpOrthosteric Ligand8F7W-κ-Dynorphin-Gi1/β1/γ2 8DZS-κ-GR89,696-chim(NtGi2-Gz)/β1/γ2 8DZP-κ-momSalB-Gi1/β1/γ2
47.37Consensuspeptide_offOrthosteric Ligandcck_off angiotensin_off bombesin_off endothelin_off ghrelin_off npy_off opioid_off orexin_off somatostatin_off tachykinin_off vasop-oxy_off neurotensin_off
47.06Single2RH1Carazolol2RH1-β2-Carazolol
47.06Single2Y00Dobutamine2Y00-β1-Dobutamine
47.06Single2Y03Isoprenaline2Y03-β1-Isoprenaline
47.06Single2YCWCarazolol2YCW-β1-Carazolol
47.06Single4ZJ8Suvorexant4ZJ8-OX1-Suvorexant
47.06Single5D6LCarazolol5D6L-β2-Carazolol
47.06Single5JQHCarazolol5JQH-β2-Carazolol
47.06Single5TVNLSD5TVN-5-HT2B-LSD
47.06Single5WIUNemonapride5WIU-D4-Nemonapride
47.06Single5WIVNemonapride5WIV-D4-Nemonapride-Na
47.06Single5WQCEMPA5WQC-OX2-EMPA
47.06Single5X7DCarazolol5X7D-β2-Carazolol-PubChem 129318963
47.06Single6D26Fevipiprant6D26-DP2-Fevipiprant
47.06Single6KUWPubChem 572132346KUW-α2c-PubChem 57213234
47.06Single6PS3Carvedilol6PS3-β2-Carvedilol
47.06Single6TO7Suvorexant6TO7-OX1-Suvorexant-Na
47.06Single6TP6Filorexant6TP6-OX1-Filorexant
47.06Single7BVQCarazolol7BVQ-β1-Carazolol
47.06Single7LD3Adenosine7LD3-A1-Adenosine-MIPS521-Gi2/β1/γ2
47.06Single7S0FIsoprenaline7S0F-β1-Isoprenaline-Gi1/β1/γ2
47.06Single7SBFPZM217SBF-μ-PZM21-Gi1/β1/γ2
47.06Single7XK9Constrained Isoproterenol7XK9-β2-Constrained Isoproterenol-Na
47.06Single7YU6ONO-07405567YU6-LPA1-ONO-0740556-Gi1/β1/γ2
47.06Single8GFYConstrained Epinephrine8GFY-β2-Constrained Epinephrine-GTP-Gs/β1/γ2
47.06Single8GG2Constrained Epinephrine8GG2-β2-Constrained Epinephrine-GTP-Gs/β1/γ2
47.06Single8HNLPS3724248HNL-CXCR3-PS372424-Gi1/β1/γ2
47.06Single8JXSPF-61428JXS-D1-PF-6142
47.06Single8ZRKGSK12922638ZRK-GPR119-GSK1292263-Gs/β1/γ2
47.06Single9K07DSO-5a9K07-BB3-DSO-5a-chim(NtGi2L-Gs-CtGq)/β1/γ2
47.06Single9KUTJR14a9KUT-C3aB-JR14a-Go/β1/γ2
47.06Single9L74S1P d16:19L74-S1P3-S1P d16:1-chim(NtGi2L-Gs-CtGq)/β1/γ2
47.06Single9PXYNaloxone9PXY-μ-Naloxone-GDPβS-Gi1/β1/γ2
47.06Single9U81Tolvaptan9U81-V2-Tolvaptan
47.06Single9VJFBuspirone9VJF-5-HT1A-Buspirone-Gi3/β1/γ2
47.06Consensus5ht5_on_gpOrthosteric Ligand5ht5a_on_gp
47.06Consensus5ht5a_on_gpOrthosteric Ligand7X5H-5-HT5A-5-CT-Gi1/β1/γ2 7UM6-5-HT5A-Lisuride-chim(NtGi1-Go)/β1/γ2 7UM7-5-HT5A-Methylergometrine-chim(NtGi1-Go)/β1/γ2
47.06Consensusadrenergic_offOrthosteric Ligandalpha_off beta_off
47.06Consensusadrenergic_on_gpOrthosteric Ligandalpha_on_gp beta_on_gp
47.06Consensusalpha2c_offOrthosteric Ligand6KUW-α2c-PubChem 57213234
47.06Consensusamine_offOrthosteric Ligand5ht_off adrenergic_off dopamine_off histamine_off muscarinic_off
47.06Consensusamine_offonOrthosteric Ligandamine_off amine_on
47.06Consensusamine_offon_gpOrthosteric Ligandamine_on_gp amine_off
47.06Consensusamine_onOrthosteric Ligand5ht_on adrenergic_on dopamine_on histamine_on muscarinic_on trace-amine_on
47.06Consensusbeta2_offOrthosteric Ligand2RH1-β2-Carazolol 6PS3-β2-Carvedilol 6PS5-β2-Propranolol 3D4S-β2-Timolol 3NY8-β2-ICI118-551 3NY9-β2-PubChem 913103 6PRZ-β2-Alprenolol
47.06Consensusbeta_offOrthosteric Ligandbeta1_off beta2_off
47.06Consensuscb2_onOrthosteric Ligand8GUR-CB2-CP55940-Gi1/β1/γ2 8GUS-CB2-HU-308-Gi1/β1/γ2 8GUT-CB2-LEI-102-Gi1/β1/γ2 6KPF-CB2-AM12033-Gi1/β1/γ2 6PT0-CB2-WIN 55212-2-Gi1/β1/γ2 8GUQ-CB2-Olorinab-Gi1/β1/γ2
47.06Consensuscb2_on_gpOrthosteric Ligand8GUR-CB2-CP55940-Gi1/β1/γ2 8GUS-CB2-HU-308-Gi1/β1/γ2 8GUT-CB2-LEI-102-Gi1/β1/γ2 6KPF-CB2-AM12033-Gi1/β1/γ2 6PT0-CB2-WIN 55212-2-Gi1/β1/γ2 8GUQ-CB2-Olorinab-Gi1/β1/γ2
47.06Consensusd2_onOrthosteric Ligand7JVR-D2-Bromoergocryptine-Gi1/β1/γ2 8IRS-D2-Rotigotine-Gi1/β1/γ2
47.06Consensusdp2_offOrthosteric Ligand6D26-DP2-Fevipiprant
47.06Consensusdp_offOrthosteric Liganddp2_off
47.06Consensusgi_adrenergicOrthosteric Ligand7EJ0-α2a-Norepinephrine-Go/β1/γ2 7EJK-α2a-Oxymetazoline-Go/β1/γ2 7W7E-α2a-PubChem 164946676-Go/β1/γ2 7W6P-α2a-N-pyridin-4-ylisoquinolin-4-amine-Go/β1/γ2 7EJ8-α2a-Brimonidine-Go/β1/γ2 6K42-α2b-Dexmedetomidine-Gi1/β1/γ2 7EJA-α2a-Dexmedetomidine-Go/β1/γ2 7S0F-β1-Isoprenaline-Gi1/β1/γ2
47.06Consensusgs_amineOrthosteric Ligandgs_5ht gs_adrenergic gs_dopamine gs_histamine gs_trace-amine
47.06Consensuslipid_onOrthosteric Ligandcannabinoid_on ffa_on lpl_on prostanoid_on leukotriene_on
47.06Consensuslipid_on_gpOrthosteric Ligandcannabinoid_on_gp ffa_on_gp lpl_on_gp prostanoid_on_gp leukotriene_on_gp
46.67Single3V2WPubChem 518926453V2W-S1P1-PubChem 51892645
46.67Single5WS3EMPA5WS3-OX2-EMPA
46.67Single6AKYMaraviroc6AKY-CCR5-Maraviroc
46.67Single6B73MP11046B73-κ-MP1104
46.67Single6OBAAlprenolol6OBA-β2-Alprenolol-GTPL11074
46.67Single6TODEMPA6TOD-OX1-EMPA-Na
46.67Single7LD4Adenosine7LD4-A1-Adenosine-Gi2/β1/γ2
46.67Single7X5H5-CT7X5H-5-HT5A-5-CT-Gi1/β1/γ2
46.67Single7YMHNorepinephrine7YMH-Alpha1A-Norepinephrine-chim(Gs-CtGq)
46.67Single8GGAConstrained Epinephrine8GGA-β2-Constrained Epinephrine-GTP-Gs/β1/γ2
46.67Single8GGRConstrained Epinephrine8GGR-β2-Constrained Epinephrine
46.67Single8GGWConstrained Epinephrine8GGW-β2-Constrained Epinephrine
46.67Single8GH0Constrained Epinephrine8GH0-β2-Constrained Epinephrine
46.67Single8RW0Istradefylline8RW0-A2A-Istradefylline-Na
46.67Single8UNSConstrained Epinephrine8UNS-β2-Constrained Epinephrine-GTP-Gs/β1/γ2
46.67Single8UNTConstrained Epinephrine8UNT-β2-Constrained Epinephrine-GTP-Gs/β1/γ2
46.67Single8UNXConstrained Epinephrine8UNX-β2-Constrained Epinephrine-GTP-Gs/β1/γ2
46.67Single9EBHAdenosine9EBH-A3A-Adenosine-Gi1/β1/γ2
46.67Single9EEAAdenosine9EEA-A2A-Adenosine-Gs/β1/γ2
46.67Single9J5VCpY9J5V-LPA1-CpY-Gi1/β1/γ2
46.67Single9VJEBuspirone9VJE-5-HT1A-Buspirone-Go/β1/γ2
46.67Consensus5ht1e_onOrthosteric Ligand7E33-5-HT1E-BRL-54443-Gi1/β1/γ2 8UGY-5-HT1E-Mianserin-Gi1/β1/γ1 8UH3-5-HT1E-Setiptiline-Gi1/β1/γ1
46.67Consensus5ht_onOrthosteric Ligand5ht1_on 5ht2_on 5ht4_on 5ht5_on 5ht6_on 5ht7_on
46.67Consensusa1_onOrthosteric Ligand7LD4-A1-Adenosine-Gi2/β1/γ2
46.67Consensusa1_on_gpOrthosteric Ligand7LD4-A1-Adenosine-Gi2/β1/γ2
46.67Consensusalpha2_offOrthosteric Ligandalpha2c_off
46.67Consensusgs_5htOrthosteric Ligand7XTC-5-HT7-5-CT-Gs/β1/γ2 7XTB-5-HT6-Serotonin-Gs/β1/γ2 8JLZ-5-HT6-ST1936-Gs/β1/γ2 7XT8-5-HT4-Serotonin-Gs/β1/γ2
46.67Consensusox1_offOrthosteric Ligand6TP6-OX1-Filorexant 6TP4-OX1-ACT-462206 6V9S-OX1-GTPL11403 6TOT-OX1-Lemborexant 6TP3-OX1-Nemorexant 6TQ6-OX1-PubChem 145714283 6TQ9-OX1-SB-408124 4ZJC-OX1-SB-674042 4ZJ8-OX1-Suvorexant 6TOD-OX1-EMPA-Na 6TOS-OX1-GSK1059865-Na 6TQ4-OX1-PubChem 16046844-Na
46.67Consensuss1p1_offOrthosteric Ligand3V2W-S1P1-PubChem 51892645
46.15Single6IGKEndothelin-36IGK-ETB-Endothelin-3
46.15Single9L0HJR14a9L0H-C3aB-JR14a-Go/β1/γ2
45.83Consensusgi_compl-peptOrthosteric Ligand8HK5-C5a1-C5a-Gi1/β1/γ2 8IA8-C3aB-E7 peptide-Gi1/β1/γ2 7Y66-C5a1-BM213-Gi1/β1/γ2 7Y67-C5a1-C089 peptide-Gi1/β1/γ2 8HK2-C3aB-C3a-Gi1/β1/γ2 7Y64-C5a1-C5a-Gi1/β1/γ2
45.83Consensusopioid_on_gpOrthosteric Ligandmop_on_gp nop_on_gp dop_on_gp kop_on_gp
45.45Single6PT2KGCHM076PT2-δ-KGCHM07
45.45Single7TD2LPA7TD2-LPA1-LPA-Gi1/β1/γ2
45.45Single9MEUCXCL129MEU-CXCR4-CXCL12
45.45Consensuscompl-peptide_on_gpOrthosteric Ligandc5a1_on_gp c3a_on_gp
45.45Consensusgi_somatostatinOrthosteric Ligand7WIC-SST2-Somatostatin-14-Gi1/β1/γ2 7XMS-SST4-Somatostatin-14-Gi1/β1/γ2 8X8L-SST5-Cortistatin-14-chim(NtGi1-Gs-CtGi1)/β1/γ2 7XMT-SST4-J-2156-Gi1/β1/γ2 7WIG-SST2-L-054264-Gi1/β1/γ2 8X8N-SST5-Octreotide-chim(NtGi1-Gs-CtGi1)/β1/γ2 7YAE-SST2-Octreotide-Gi1/β1/γ2 7YAC-SST2-Paltusotine-Gi1/β1/γ2
45.45Consensussomatostatin_onOrthosteric Ligandsst2_on sst4_on sst5_on
45.45Consensussomatostatin_on_gpOrthosteric Ligandsst2_on_gp sst4_on_gp sst5_on_gp
45.00Single3NY9PubChem 9131033NY9-β2-PubChem 913103
45.00Single4UG2CGS216804UG2-A2A-CGS21680
45.00Single5ZTYAM102575ZTY-CB2-AM10257
45.00Single7XN9L-0545227XN9-SST2-L-054522
45.00Single8IA7Cholecystokinin-88IA7-CCKB-Cholecystokinin-8-chim(NtGi1L-Gq)/β1/γ2
45.00Single8JLRA776368JLR-TA1-A77636-chim(NtGi1-Gs)/β1/γ2
45.00Single8QJ2pN1628QJ2-MC4-pN162-Gs/β1/γ2
45.00Single8X3LXWD8X3L-CB2-XWD-Gi1/β1/γ2
45.00Single9M0RNeuropeptide-VF9M0R-NPFF1-Neuropeptide-VF-Gi1/β1/γ2
45.00Single9UMJEP549UMJ-C3aB-EP54-Go/β1/γ2
45.00Consensuscb2_offOrthosteric Ligand5ZTY-CB2-AM10257
45.00Consensuss1p_onOrthosteric Ligands1p1_on s1p3_on s1p5_on
45.00Consensuss1p_on_gpOrthosteric Ligands1p1_on_gp s1p3_on_gp s1p5_on_gp
45.00Consensussst2_onOrthosteric Ligand7WIC-SST2-Somatostatin-14-Gi1/β1/γ2 7WIG-SST2-L-054264-Gi1/β1/γ2 7YAE-SST2-Octreotide-Gi1/β1/γ2 7YAC-SST2-Paltusotine-Gi1/β1/γ2
45.00Consensussst2_on_gpOrthosteric Ligand7WIC-SST2-Somatostatin-14-Gi1/β1/γ2 7WIG-SST2-L-054264-Gi1/β1/γ2 7YAE-SST2-Octreotide-Gi1/β1/γ2 7YAC-SST2-Paltusotine-Gi1/β1/γ2
44.44Single2YDVNECA2YDV-A2A-NECA
44.44Single4DJHJDTic4DJH-κ-JDTic
44.44Single4IAQDihydroergotamine4IAQ-5-HT1B-Dihydroergotamine
44.44Single4UHRCGS216804UHR-A2A-CGS21680
44.44Single5A8E7-Methylcyanopindolol5A8E-β1-7-Methylcyanopindolol-Na
44.44Single5D5ACarazolol5D5A-β2-Carazolol
44.44Single5D5BCarazolol5D5B-β2-Carazolol
44.44Single5G53NECA5G53-A2A-NECA-Gs
44.44Single6GT3Imaradenant6GT3-A2A-Imaradenant-Na
44.44Single6TQ7SB-3348676TQ7-OX1-SB-334867
44.44Single6WGTLSD6WGT-5-HT2A-LSD
44.44Single7EW7SEW28717EW7-S1P1-SEW2871-Gi1/β1/γ2
44.44Single7F58THIQ7F58-MC4-THIQ-Gs/β1/γ2
44.44Single7T2HLofentanil7T2H-μ-Lofentanil-Gi1/β1/γ2
44.44Single7TD1LPA7TD1-LPA1-LPA-Gi1/β1/γ2
44.44Single7U2LC5-guano7U2L-μ-C5-guano-Gi1/β1/γ2
44.44Single7W6PN-pyridin-4-ylisoquinolin-4-amine7W6P-α2a-N-pyridin-4-ylisoquinolin-4-amine-Go/β1/γ2
44.44Single7W7EPubChem 1649466767W7E-α2a-PubChem 164946676-Go/β1/γ2
44.44Single7WV9CP559407WV9-CB1-CP55940-ZCZ011-Gi2/β1/γ2
44.44Single7YU7ONO-07405567YU7-LPA1-ONO-0740556-Gi1/β1/γ2
44.44Single8EFLSR170188EFL-μ-SR17018-Gi1/β1/γ2
44.44Single8HDOBAY 60-65838HDO-A2B-BAY 60-6583-Gs/β1/γ2
44.44Single8HQCC5a8HQC-C5a1-C5a-Go/β1/γ2
44.44Single8I9LC3a8I9L-C3aB-C3a-Go/β1/γ2
44.44Single8IHHLUF62838IHH-HCA2-LUF6283-Gi1/β1/γ2
44.44Single8JSRAnamorelin8JSR-Ghrelin-Anamorelin-chim(NtGi1-Gs-CtGq)/β1/γ2
44.44Single8JT6(R)-IHCH-71798JT6-5-HT1A-(R)-IHCH-7179-PtdIns4P-Gi1/β1/γ2
44.44Single8T1VPubChem 1183102098T1V-GPR6-PubChem 118310209-Na
44.44Single8UGWCGS216808UGW-A2A-CGS21680
44.44Single8WU1MDMB-Fubinaca8WU1-CB1-MDMB-Fubinaca-Arrestin2
44.44Single8XVLZibotentan8XVL-ETA-Zibotentan
44.44Single9B65MDMB-Fubinaca9B65-CB1-MDMB-Fubinaca-Gi1/β1/γ2
44.44Single9BJKNaloxone9BJK-μ-Naloxone-PubChem 171642066
44.44Single9BS9LSD9BS9-D2-LSD
44.44Single9BSBLSD9BSB-D2-LSD-chim(NtGi1-Go)/β1/γ2
44.44Single9IJDCarazolol9IJD-β3-Carazolol-chim(NtGi1-Gs)/β1/γ2
44.44Single9IZGLPA9IZG-LPA1-LPA-chim(NtGi1-Gs-CtGq)/β1/γ2
44.44Single9KUXCMPD6449KUX-Apelin; Apelin-CMPD644-Arrestin2
44.44Single9PY3Loperamide9PY3-μ-Loperamide-GDPβS-Gi1/β1/γ2
44.44Single9PY4Loperamide9PY4-μ-Loperamide-GDPβS-Gi1/β1/γ2
44.44Single9UY3Anamorelin9UY3-Ghrelin-Anamorelin-chim(NtGi1-Gs-CtGq)/β1/γ2
44.44Consensusamine_on_gpOrthosteric Ligand5ht_on_gp adrenergic_on_gp dopamine_on_gp histamine_on_gp muscarinic_on_gp trace-amine_on_gp
44.44Consensusbeta1_offOrthosteric Ligand2VT4-β1-Cyanopindolol 2YCW-β1-Carazolol 2YCZ-β1-Iodocyanopindolol 5A8E-β1-7-Methylcyanopindolol-Na 3ZPQ-β1-PubChem 594590-Na 3ZPR-β1-PubChem 598754-Na
44.44Consensusclass-a_offOrthosteric Ligandsensory_off alicarboxylic_off amine_off lipid_off nucleotide_off peptide_off protein_off
44.44Consensusgi_cannabinoidOrthosteric Ligand8GUR-CB2-CP55940-Gi1/β1/γ2 8GUS-CB2-HU-308-Gi1/β1/γ2 8GUT-CB2-LEI-102-Gi1/β1/γ2 8GUQ-CB2-Olorinab-Gi1/β1/γ2 6KPF-CB2-AM12033-Gi1/β1/γ2 6PT0-CB2-WIN 55212-2-Gi1/β1/γ2 6KPG-CB1-AM841-Gi1/β1/γ2
44.44Consensusgs_adrenergicOrthosteric Ligand7DHI-β2-Salbutamol-Gs/β1/γ2 7XJI-β3-Solabegron-Gs/β1/γ2 7JJO-β1-Isoprenaline-Gs/β1/γ2 6NI3-β2-BI167107-Gs/β1/γ2 8DCR-β1-Dobutamine-Gs/β1/γ2 7XJH-β3-Isoprenaline-Gs/β1/γ2 7DH5-β3-Mirabegron-Gs/β1/γ2
44.44Consensuskop_offOrthosteric Ligand4DJH-κ-JDTic
44.00Single7F4FAfamelanotide7F4F-MC1-Afamelanotide-chim(NtGi1-Gs)/β1/γ2
44.00Single8FEG(DNCP)-Beta-Naloxamine8FEG-κ-(DNCP)-β-Naloxamine-Gi1/β1/γ2
44.00Single8ZH8QRFP268ZH8-QRFP-QRFP26-Gq/β1/γ1
44.00Single9KDFRES-701-39KDF-ETB-RES-701-3
43.75Single3V2YPubChem 518926453V2Y-S1P1-PubChem 51892645
43.75Single4DKLBeta-Funaltrexamine4DKL-μ-β-Funaltrexamine
43.75Single6IQLL7458706IQL-D4-L745870
43.75Single6TOSGSK10598656TOS-OX1-GSK1059865-Na
43.75Single6TPNHTL66416TPN-OX2-HTL6641
43.75Single6V9SGTPL114036V9S-OX1-GTPL11403
43.75Single7AROLUF58337ARO-A2A-LUF5833-Na
43.75Single7CMUPramipexole7CMU-D3-Pramipexole-Gi1/β1/γ2
43.75Single7DHISalbutamol7DHI-β2-Salbutamol-Gs/β1/γ2
43.75Single7EJADexmedetomidine7EJA-α2a-Dexmedetomidine-Go/β1/γ2
43.75Single7RANPubChem 1645758477RAN-5-HT2A-PubChem 164575847-chim(NtGi2L-Gs-CtGq)/β1/γ2
43.75Single7UL3Famotidine7UL3-H2-Famotidine
43.75Single8GE1Constrained Epinephrine8GE1-β2-Constrained Epinephrine-Gs/β1/γ2
43.75Single8GE4Constrained Epinephrine8GE4-β2-Constrained Epinephrine-Gs/β1/γ2
43.75Single8GE5Constrained Epinephrine8GE5-β2-Constrained Epinephrine-Gs/β1/γ1
43.75Single8GE6Constrained Epinephrine8GE6-β2-Constrained Epinephrine-Gs/β1/γ2
43.75Single8GE7Constrained Epinephrine8GE7-β2-Constrained Epinephrine-Gs/β1/γ2
43.75Single8GE8Constrained Epinephrine8GE8-β2-Constrained Epinephrine-Gs/β1/γ2
43.75Single8GEAConstrained Epinephrine8GEA-β2-Constrained Epinephrine-Gs/β1/γ2
43.75Single8GEDConstrained Epinephrine8GED-β2-Constrained Epinephrine-Gs/β1/γ2
43.75Single8GEFConstrained Epinephrine8GEF-β2-Constrained Epinephrine-Gs/β1/γ2
43.75Single8GG5Constrained Epinephrine8GG5-β2-Constrained Epinephrine-GTP-Gs/β1/γ2
43.75Single8GG8Constrained Epinephrine8GG8-β2-Constrained Epinephrine-GTP-Gs/β1/γ2
43.75Single8GGVConstrained Epinephrine8GGV-β2-Constrained Epinephrine
43.75Single8GURCP559408GUR-CB2-CP55940-Gi1/β1/γ2
43.75Single8IY9Niacin8IY9-HCA2-Niacin-Go/β1/γ2
43.75Single8K5CAcipimox8K5C-HCA2-Acipimox
43.75Single8K9LDAMGO8K9L-μ-DAMGO-BMS-986122-Gi3/β1/γ1
43.75Single8RLNLUF58348RLN-A2A-LUF5834
43.75Single8RWIStilSwitch28RWI-A2A-StilSwitch2-Na
43.75Single8THLEpinephrine8THL-Alpha1A-Epinephrine-chim(NtGi2L-Gs-CtGq)/β1/γ2
43.75Single8UNMConstrained Epinephrine8UNM-β2-Constrained Epinephrine-GTP-Gs/β1/γ2
43.75Single8UNWConstrained Epinephrine8UNW-β2-Constrained Epinephrine-GTP-Gs/β1/γ2
43.75Single8Y45ADL58598Y45-δ-ADL5859-Gi2/β1/γ2
43.75Single9AS5Mescaline9AS5-5-HT2A-Mescaline
43.75Single9AS6Mescaline9AS6-5-HT2A-Mescaline-chim(NtGi1-Gs-CtGq)/β1/γ2
43.75Single9KUWCMPD6449KUW-Apelin; Apelin-CMPD644-Arrestin2 ; Arrestin2
43.75Single9ODJMitragynine Pseudoindoxyl9ODJ-μ-Mitragynine Pseudoindoxyl-GTP; Mg-Gi1/β1/γ2
43.75Single9PXVNaloxone9PXV-μ-Naloxone-Gi1/β1/γ2
43.75Single9PXXNaloxone9PXX-μ-Naloxone-GDPβS-Gi1/β1/γ2
43.75Single9VNFPindolol9VNF-5-HT1A-Pindolol-Go/β1/γ2
43.75Single9W6W5-CT9W6W-5-HT5A-5-CT-Gi1/β1/γ2
43.75Consensusadenosine_onOrthosteric Liganda1_on a2_on a3_on
43.75Consensusalpha1_onOrthosteric Ligandalpha1a_on
43.75Consensusalpha1_on_gpOrthosteric Ligandalpha1a_on_gp
43.75Consensusalpha1a_onOrthosteric Ligand7EJ0-α2a-Norepinephrine-Go/β1/γ2 7EJ8-α2a-Brimonidine-Go/β1/γ2 7EJA-α2a-Dexmedetomidine-Go/β1/γ2 7EJK-α2a-Oxymetazoline-Go/β1/γ2 7W6P-α2a-N-pyridin-4-ylisoquinolin-4-amine-Go/β1/γ2 7W7E-α2a-PubChem 164946676-Go/β1/γ2
43.75Consensusalpha1a_on_gpOrthosteric Ligand7EJ0-α2a-Norepinephrine-Go/β1/γ2 7EJ8-α2a-Brimonidine-Go/β1/γ2 7EJA-α2a-Dexmedetomidine-Go/β1/γ2 7EJK-α2a-Oxymetazoline-Go/β1/γ2 7W6P-α2a-N-pyridin-4-ylisoquinolin-4-amine-Go/β1/γ2 7W7E-α2a-PubChem 164946676-Go/β1/γ2
43.75Consensusd3_onOrthosteric Ligand7CMV-D3-PD128907-Gi1/β1/γ2 8IRT-D3-Rotigotine-Gi1/β1/γ2 7CMU-D3-Pramipexole-Gi1/β1/γ2
43.75Consensusd3_on_gpOrthosteric Ligand7CMV-D3-PD128907-Gi1/β1/γ2 8IRT-D3-Rotigotine-Gi1/β1/γ2 7CMU-D3-Pramipexole-Gi1/β1/γ2
43.75Consensusghrelin_offOrthosteric Ligand6KO5-Ghrelin-PubChem 57400002 7F83-Ghrelin-PF-05190457
43.75Consensusgi_adenosineOrthosteric Ligand7LD4-A1-Adenosine-Gi2/β1/γ2 8X17-A3A-Namodenoson-Gi1/β1/γ2 8X16-A3A-Piclidenoson-Gi1/β1/γ2
43.75Consensusnop_offOrthosteric Ligand4EA3-NOP-PubChem 10296561 5DHG-NOP-C-35 5DHH-NOP-SB-612111
43.48Single6JODAngiotensin II6JOD-AT2-Angiotensin II
43.48Single7DW9AVP7DW9-V2-AVP-chim(NtGi1-Gs)/β1/γ2
43.48Single9BKKCholecystokinin-89BKK-CCKA-Cholecystokinin-8-chim(NtGi1-Gs-CtGq)/β1/γ2
43.48Consensusgs_vasop-oxyOrthosteric Ligand7DW9-V2-AVP-chim(NtGi1-Gs)/β1/γ2
43.48Consensusv2_onOrthosteric Ligand7DW9-V2-AVP-chim(NtGi1-Gs)/β1/γ2
43.48Consensusv2_on_gpOrthosteric Ligand7DW9-V2-AVP-chim(NtGi1-Gs)/β1/γ2
43.48Consensusvasop-oxy_onOrthosteric Ligandv2_on
43.48Consensusvasop-oxy_on_gpOrthosteric Ligandv2_on_gp
42.86Single4AMJCarvedilol4AMJ-β1-Carvedilol
42.86Single7EJKOxymetazoline7EJK-α2a-Oxymetazoline-Go/β1/γ2
42.86Single7F4ISHU91197F4I-MC1-SHU9119-chim(NtGi1-Gs)/β1/γ2
42.86Single7WKDTRH7WKD-TRH-TRH-chim(NtGi1-Gs-CtGq)/β1/γ2
42.86Single7XAUOctreotide7XAU-SST2-Octreotide-Gi1/β1/γ2
42.86Single8FYLVilazodone8FYL-5-HT1A-Vilazodone-PtdIns4P-Gi1/β1/γ1
42.86Single8GGFConstrained Epinephrine8GGF-β2-Constrained Epinephrine-GTP-Gs/β1/γ2
42.86Single8ZBJSomatostatin-148ZBJ-SST5-Somatostatin-14-Gi1/β1/γ2
42.86Single9KWGC5a9KWG-C5a1-C5a-Go/β1/γ2
42.86Single9UMRC5a-pep9UMR-C5a1-C5a-pep-Go/β1/γ2
42.86Consensus5ht2_onOrthosteric Ligand5ht2b_on
42.86Consensus5ht2b_onOrthosteric Ligand7SRR-5-HT2B-LSD-chim(NtGi2L-Gs-CtGq)/β1/γ2
42.86Consensusgs_peptideOrthosteric Ligandgs_cck gs_melanocortin gs_vasop-oxy
42.11Single3D4STimolol3D4S-β2-Timolol
42.11Single4AMIBucindolol4AMI-β1-Bucindolol
42.11Single6A93Risperidone6A93-5-HT2A-Risperidone
42.11Single6H7NXamoterol6H7N-β1-Xamoterol
42.11Single6H7OCyanopindolol6H7O-β1-Cyanopindolol
42.11Single6VMSBromoergocryptine6VMS-D2-Bromoergocryptine-Gi1/β1/γ2
42.11Single6ZG4HTL00099366ZG4-M1-HTL0009936
42.11Single7BZ2Arformoterol7BZ2-β2-Arformoterol-Gs/β1/γ2
42.11Single7DH5Mirabegron7DH5-β3-Mirabegron-Gs/β1/γ2
42.11Single7EO4Siponimod7EO4-S1P1-Siponimod-Gi1/β1/γ2
42.11Single7SUSPubChem 1227019087SUS-Apelin-PubChem 122701908
42.11Single7W0LPubChem 1227019087W0L-Apelin; Apelin-PubChem 122701908-Gi1/β1/γ2
42.11Single7WCNAR2314537WCN-GPR119-AR231453-Gs/β1/γ2
42.11Single7XMTJ-21567XMT-SST4-J-2156-Gi1/β1/γ2
42.11Single7XW9TRH7XW9-TRH-TRH-chim(NtGi1L-Gs-CtGq)/β1/γ2
42.11Single8FYE4-F,5-MeO-PyrT8FYE-5-HT1A-4-F,5-MeO-PyrT-PtdIns4P-Gi1/β1/γ1
42.11Single8FYTLSD8FYT-5-HT1A-LSD-PtdIns4P-Gi1/β1/γ1
42.11Single8HK2C3a8HK2-C3aB-C3a-Gi1/β1/γ2
42.11Single8ID9Icosapent8ID9-FFA4-Icosapent-Gi1/β1/γ2
42.11Single8IRSRotigotine8IRS-D2-Rotigotine-Gi1/β1/γ2
42.11Single8IYWGSK2560738IYW-HCA2-GSK256073-Go/β1/γ2
42.11Single8J6DEP1418J6D-C3aB-EP141-Go/β1/γ2
42.11Single8JWY2-1188JWY-A2A-2-118
42.11Single8W1VPubChem 1717162658W1V-β2-PubChem 171716265
42.11Single8XYIVUF106618XYI-CXCR3-VUF10661
42.11Single9IZHLPA9IZH-LPA1-LPA-chim(NtGi2-G13)/β1/γ2
42.11Single9KVG5-MeO-DMT9KVG-5-HT1A-5-MeO-DMT-PtdIns4P-Gi1/β1/γ2
42.11Consensus5ht1a_onOrthosteric Ligand8FYT-5-HT1A-LSD-PtdIns4P-Gi1/β1/γ1 7E2Y-5-HT1A-Serotonin-PtdIns4P-Gi1/β1/γ2 7E2Z-5-HT1A-Aripiprazole-PtdIns4P-Gi1/β1/γ2 8FYX-5-HT1A-Buspirone-PtdIns4P-Gi1/β1/γ1 8JSP-5-HT1A-Ulotaront-Gi1/β1/γ2 8JT6-5-HT1A-(R)-IHCH-7179-PtdIns4P-Gi1/β1/γ2 8FY8-5-HT1A-5-MeO-DMT-PtdIns4P-Gi1/β1/γ1 8FYE-5-HT1A-4-F,5-MeO-PyrT-PtdIns4P-Gi1/β1/γ1 8FYL-5-HT1A-Vilazodone-PtdIns4P-Gi1/β1/γ1
42.11Consensus5ht1a_on_gpOrthosteric Ligand8FYT-5-HT1A-LSD-PtdIns4P-Gi1/β1/γ1 8FYX-5-HT1A-Buspirone-PtdIns4P-Gi1/β1/γ1 8JSP-5-HT1A-Ulotaront-Gi1/β1/γ2 8JT6-5-HT1A-(R)-IHCH-7179-PtdIns4P-Gi1/β1/γ2 7E2Y-5-HT1A-Serotonin-PtdIns4P-Gi1/β1/γ2 7E2Z-5-HT1A-Aripiprazole-PtdIns4P-Gi1/β1/γ2 8FY8-5-HT1A-5-MeO-DMT-PtdIns4P-Gi1/β1/γ1 8FYE-5-HT1A-4-F,5-MeO-PyrT-PtdIns4P-Gi1/β1/γ1 8FYL-5-HT1A-Vilazodone-PtdIns4P-Gi1/β1/γ1
42.11Consensusbeta3_onOrthosteric Ligand7DH5-β3-Mirabegron-Gs/β1/γ2 7XJH-β3-Isoprenaline-Gs/β1/γ2 7XJI-β3-Solabegron-Gs/β1/γ2
42.11Consensusbeta3_on_gpOrthosteric Ligand7DH5-β3-Mirabegron-Gs/β1/γ2 7XJH-β3-Isoprenaline-Gs/β1/γ2 7XJI-β3-Solabegron-Gs/β1/γ2
42.11Consensuscannabinoid_onOrthosteric Ligandcb2_on cb1_on
42.11Consensuscannabinoid_on_gpOrthosteric Ligandcb2_on_gp cb1_on_gp
42.11Consensuscb1_onOrthosteric Ligand6KPG-CB1-AM841-Gi1/β1/γ2 8K8J-CB1-Fenofibrate-chim(Gs-CtGq)/β1/γ2
42.11Consensuss1p1_onOrthosteric Ligand7VIE-S1P1-S1P-Gi1/β1/γ2 7VIF-S1P1-FTY720-P-Gi1/β1/γ2 7VIG-S1P1-CBP-307-Gi1/β1/γ2 7EVY-S1P1-Siponimod-Gi1/β1/γ2 7EVZ-S1P1-Cenerimod-Gi1/β1/γ2 7EW0-S1P1-Ozanimod-Gi1/β1/γ2 7EW7-S1P1-SEW2871-Gi1/β1/γ2
42.11Consensuss1p1_on_gpOrthosteric Ligand7VIE-S1P1-S1P-Gi1/β1/γ2 7VIF-S1P1-FTY720-P-Gi1/β1/γ2 7VIG-S1P1-CBP-307-Gi1/β1/γ2 7EVY-S1P1-Siponimod-Gi1/β1/γ2 7EVZ-S1P1-Cenerimod-Gi1/β1/γ2 7EW0-S1P1-Ozanimod-Gi1/β1/γ2 7EW7-S1P1-SEW2871-Gi1/β1/γ2
42.11Consensustrh_onOrthosteric Ligand7XW9-TRH-TRH-chim(NtGi1L-Gs-CtGq)/β1/γ2
42.11Consensustrh_on_gpOrthosteric Ligand7XW9-TRH-TRH-chim(NtGi1L-Gs-CtGq)/β1/γ2
41.67Single7Y64C5a7Y64-C5a1-C5a-Gi1/β1/γ2
41.67Single8IODPG-9018IOD-MC5-PG-901-Ca-chim(NtGi1-Gs)/β1/γ2
41.67Consensusmc1_onOrthosteric Ligand7F4H-MC1-Afamelanotide-chim(NtGi1-Gs)/β1/γ2 7F4D-MC1-α-MSH-chim(NtGi1-Gs)/β1/γ2 7F4I-MC1-SHU9119-chim(NtGi1-Gs)/β1/γ2
41.67Consensusmc1_on_gpOrthosteric Ligand7F4H-MC1-Afamelanotide-chim(NtGi1-Gs)/β1/γ2 7F4D-MC1-α-MSH-chim(NtGi1-Gs)/β1/γ2 7F4I-MC1-SHU9119-chim(NtGi1-Gs)/β1/γ2
41.67Consensussst5_on_gpOrthosteric Ligand8X8L-SST5-Cortistatin-14-chim(NtGi1-Gs-CtGi1)/β1/γ2 8X8N-SST5-Octreotide-chim(NtGi1-Gs-CtGi1)/β1/γ2
41.18Single2VT4Cyanopindolol2VT4-β1-Cyanopindolol
41.18Single2Y01Dobutamine2Y01-β1-Dobutamine
41.18Single2Y02Carmoterol2Y02-β1-Carmoterol
41.18Single2YCYCyanopindolol2YCY-β1-Cyanopindolol
41.18Single3NYAAlprenolol3NYA-β2-Alprenolol
41.18Single3ZPRPubChem 5987543ZPR-β1-PubChem 598754-Na
41.18Single4EJ4Naltrindole4EJ4-δ-Naltrindole
41.18Single5DHGC-355DHG-NOP-C-35
41.18Single5DHHSB-6121115DHH-NOP-SB-612111
41.18Single5NDDAZ8838; Na5NDD-PAR2-AZ8838; Na
41.18Single5UENDU1725UEN-A1-DU172
41.18Single6D27CAY104716D27-DP2-CAY10471
41.18Single6H7MSalbutamol6H7M-β1-Salbutamol
41.18Single6PRZAlprenolol6PRZ-β2-Alprenolol
41.18Single7E32Serotonin7E32-5-HT1D-Serotonin-Gi1/β1/γ2
41.18Single7JOZPubChem 752020227JOZ-D1-PubChem 75202022-Gs/β1/γ2
41.18Single7JVQApomorphine7JVQ-D1-Apomorphine-Gs/β1/γ2
41.18Single7LJCSKF812977LJC-D1-SKF81297-Mevidalen-Gs/β1/γ2
41.18Single7NA8Ibutamoren7NA8-Ghrelin-Ibutamoren-Gi1/β1/γ2
41.18Single7UM55-CT7UM5-5-HT5A-5-CT-chim(NtGi1-Go)/β1/γ2
41.18Single7V3ZCP559407V3Z-CB1-CP55940
41.18Single7WC7Lisuride7WC7-5-HT2A-Lisuride
41.18Single7XTC5-CT7XTC-5-HT7-5-CT-Gs/β1/γ2
41.18Single7YU4ONO-07405567YU4-LPA1-ONO-0740556
41.18Single8CU6LJ-45178CU6-A2A-LJ-4517
41.18Single8I7VAcipimox8I7V-HCA2-Acipimox-Gi1/β1/γ2
41.18Single8IHJAcifran8IHJ-HCA3-Acifran-Gi1/β1/γ2
41.18Single8JIINiacin8JII-HCA2-Niacin-PubChem 25101223-Gi1/β1/γ2
41.18Single8JJOAlprenolol8JJO-β2-Alprenolol
41.18Single8JXRLSD8JXR-D1-LSD
41.18Single8K5DGSK2560738K5D-HCA2-GSK256073
41.18Single8RW7StilSwitch18RW7-A2A-StilSwitch1-Na
41.18Single8RWXStilSwitch38RWX-A2A-StilSwitch3-Na
41.18Single8X17Namodenoson8X17-A3A-Namodenoson-Gi1/β1/γ2
41.18Single8XVKAmbrisentan8XVK-ETA-Ambrisentan
41.18Single8YH5Riboprine8YH5-A3A-Riboprine-Gi1/β1/γ2
41.18Single8ZQEGPR15L(CT)8ZQE-GPR15-GPR15L(CT)-Gi1/β1/γ1
41.18Single8ZSSRO52633978ZSS-TA1-RO5263397-chim(NtGi1-Gs)/β1/γ2
41.18Single9BQJRO769BQJ-μ-RO76-Gi1/β1/γ2
41.18Single9CBMDexmedetomidine9CBM-α2a-Dexmedetomidine-Gi1/β1/γ2
41.18Single9H37PubChem 1756706469H37-A2A-PubChem 175670646-Na
41.18Single9KFJPubChem 1383196749KFJ-RXFP3-PubChem 138319674-Gi2/β1/γ2
41.18Single9KUXCMPD6449KUX-Apelin; Apelin-CMPD644-Arrestin2
41.18Single9PLNPubChem 1682595949PLN-α2a-PubChem 168259594
41.18Single9PLOPubChem 1682595949PLO-α2a-PubChem 168259594-Go/β1/γ2
41.18Single9PQDPubChem 1764919279PQD-α2a-PubChem 176491927
41.18Single9PXWNaloxone9PXW-μ-Naloxone-GDPβS-Gi1/β1/γ2
41.18Consensus5ht1d_onOrthosteric Ligand7E32-5-HT1D-Serotonin-Gi1/β1/γ2
41.18Consensus5ht1d_on_gpOrthosteric Ligand7E32-5-HT1D-Serotonin-Gi1/β1/γ2
41.18Consensus5ht7_onOrthosteric Ligand7XTC-5-HT7-5-CT-Gs/β1/γ2
41.18Consensus5ht7_on_gpOrthosteric Ligand7XTC-5-HT7-5-CT-Gs/β1/γ2
41.18Consensusa3_onOrthosteric Liganda3a_on
41.18Consensusalicarboxylic_on_gpOrthosteric Ligandsuccinate_on_gp hca_on_gp
41.18Consensusalpha_onOrthosteric Ligandalpha1_on alpha2_on
41.18Consensusdop_offOrthosteric Ligand4EJ4-δ-Naltrindole
41.18Consensusgi_alicarboxylicOrthosteric Ligandgi_hca gi_succinate
40.91Single3QAKUK-4320973QAK-A2A-UK-432097
40.91Single5XJM(Sar1,Ile8)-Angiotensin II5XJM-AT2-(Sar1,Ile8)-Angiotensin II
40.91Single7RKMCX3CL17RKM-US28-CX3CL1-Gi1/β1/γ2
40.91Single7XMSSomatostatin-147XMS-SST4-Somatostatin-14-Gi1/β1/γ2
40.91Single9E82CXCL12 (fragment)9E82-ACKR3-CXCL12 (fragment)-Arrestin2
40.91Single9IK8Pasireotide9IK8-SST1-Pasireotide-Gi1/β1/γ2
40.91Single9KV6TLQP219KV6-C3aB-TLQP21-Go/β1/γ2
40.91Single9L60Dynorphin9L60-κ-Dynorphin-MPAM-15-Gi1/β1/γ2
40.91Single9ME1CXCL129ME1-CXCR4-CXCL12
40.91Single9UMXEP549UMX-C5a1-EP54-Go/β1/γ2
40.91Consensusghrelin_onOrthosteric Ligand7NA7-Ghrelin-Ghrelin-Gi1/β1/γ2 7F9Z-Ghrelin-GHRP-6-chim(NtGi1-Gs-CtGq)/β1/γ2 7NA8-Ghrelin-Ibutamoren-Gi1/β1/γ2
40.91Consensusghrelin_on_gpOrthosteric Ligand7NA7-Ghrelin-Ghrelin-Gi1/β1/γ2 7F9Z-Ghrelin-GHRP-6-chim(NtGi1-Gs-CtGq)/β1/γ2 7NA8-Ghrelin-Ibutamoren-Gi1/β1/γ2
40.91Consensusgi_ghrelinOrthosteric Ligand7NA7-Ghrelin-Ghrelin-Gi1/β1/γ2 7NA8-Ghrelin-Ibutamoren-Gi1/β1/γ2
40.91Consensusgq_class-aOrthosteric Ligandgq_peptide gq_amine gq_nucleotide
40.91Consensusmc5_onOrthosteric Ligand8INR-MC5-α-MSH-Ca-chim(NtGi1-Gs)/β1/γ2 8IOD-MC5-PG-901-Ca-chim(NtGi1-Gs)/β1/γ2
40.91Consensuss1p3_on_gpOrthosteric Ligand7EW3-S1P3-S1P-Gi1/β1/γ2 7EW4-S1P3-CYM-5541-Gi1/β1/γ2 7EW2-S1P3-FTY720-P-Gi1/β1/γ2
40.91Consensussst4_onOrthosteric Ligand7XMS-SST4-Somatostatin-14-Gi1/β1/γ2 7XMT-SST4-J-2156-Gi1/β1/γ2
40.91Consensussst4_on_gpOrthosteric Ligand7XMS-SST4-Somatostatin-14-Gi1/β1/γ2 7XMT-SST4-J-2156-Gi1/β1/γ2
40.74Single5GLHEndothelin-15GLH-ETB-Endothelin-1
40.74Consensusccr5_on_gpOrthosteric Ligand7O7F-CCR5-6P4-CCL5-Gi1/β1/γ1 7F1Q-CCR5-CCL3-Gi1/β1/γ2
40.00Single2YCZIodocyanopindolol2YCZ-β1-Iodocyanopindolol
40.00Single3OE9IT1t3OE9-CXCR4-IT1t
40.00Single3PBLEticlopride3PBL-D3-Eticlopride
40.00Single4BVNCyanopindolol4BVN-β1-Cyanopindolol-Na
40.00Single4NC3Ergotamine4NC3-5-HT2B-Ergotamine
40.00Single6HLLCP999946HLL-NK1-CP99994
40.00Single6K1QIRL25006K1Q-ETB-IRL2500
40.00Single6TQ4PubChem 160468446TQ4-OX1-PubChem 16046844-Na
40.00Single7EVZCenerimod7EVZ-S1P1-Cenerimod-Gi1/β1/γ2
40.00Single7EZCUK-4320977EZC-A2A-UK-432097
40.00Single7JVRBromoergocryptine7JVR-D2-Bromoergocryptine-Gi1/β1/γ2
40.00Single7MTSADX551647MTS-mGlu2; mGlu2-Glutamate-ADX55164-Gi1/β1/γ2
40.00Single7SK7CCX6627SK7-ACKR3-CXCL12-CCX662
40.00Single7SK8CCX6627SK8-ACKR3-CXCL12-CCX662
40.00Single7SRQLSD7SRQ-5-HT2B-LSD
40.00Single7UM4AS26747237UM4-5-HT5A-AS2674723
40.00Single7XT9Serotonin7XT9-5-HT4-Serotonin-Gs/β1/γ2
40.00Single7XTASerotonin7XTA-5-HT4-Serotonin-Gi1/β1/γ2
40.00Single7XTBSerotonin7XTB-5-HT6-Serotonin-Gs/β1/γ2
40.00Single7XZ6APD6687XZ6-GPR119-APD668-Gs/β1/γ2
40.00Single7Y65C5a (C-terminal peptide)7Y65-C5a1-C5a (C-terminal peptide)-Gi1/β1/γ2
40.00Single7YS6Serotonin7YS6-5-HT6-Serotonin-chim(NtGi1-Gs)/β1/γ2
40.00Single8GGYConstrained Epinephrine8GGY-β2-Constrained Epinephrine
40.00Single8GUTLEI-1028GUT-CB2-LEI-102-Gi1/β1/γ2
40.00Single8IHIAcifran8IHI-HCA2-Acifran-Gi1/β1/γ2
40.00Single8IJDMK68928IJD-HCA2-MK6892-Gi1/β1/γ2
40.00Single8JPNCis-Epoxysuccinic acid8JPN-Succinate-Cis-Epoxysuccinic acid-Gi1/β1/γ1
40.00Single8UO4Constrained Epinephrine8UO4-β2-Constrained Epinephrine-GTP; Mg-Gs/β1/γ2
40.00Single8WP1Cis-Epoxysuccinic acid8WP1-Succinate-Cis-Epoxysuccinic acid-Gi1/β1/γ2
40.00Single8YH3N-methyladenosine8YH3-A3A-N-methyladenosine-Gi1/β1/γ2
40.00Single8YN4Histamine8YN4-H2-Histamine-chim(NtGi1L-Gs-CtGq)/β1/γ2
40.00Single9EAILosartan9EAI-AT1-Losartan-Nanobody AT209
40.00Single9IJEEpinephrine9IJE-β3-Epinephrine-chim(NtGi1-Gs)/β1/γ2
40.00Single9IXJHistamine9IXJ-H2-Histamine-Gs/β1/γ2
40.00Single9KT8Acifran9KT8-HCA2-Acifran-Gi1/β1/γ2
40.00Single9KUGEP679KUG-C5a1-EP67-Go/β1/γ2
40.00Single9KUWCMPD6449KUW-Apelin; Apelin-CMPD644-Arrestin2 ; Arrestin2
40.00Single9KV8TLQP219KV8-C3aB-TLQP21-Go/β1/γ2
40.00Single9L79AR2314539L79-GPR119-AR231453-chim(NtGi1-Gs)/β1/γ2
40.00Single9M54Neuropeptide-VF9M54-NPFF2-Neuropeptide-VF-Gi1/β1/γ2
40.00Single9WP9S1P9WP9-S1P3-S1P-chim(NtGi2L-Gs-CtGq)/β1/γ2
40.00Consensus5ht4_onOrthosteric Ligand7XTA-5-HT4-Serotonin-Gi1/β1/γ2
40.00Consensus5ht4_on_gpOrthosteric Ligand7XTA-5-HT4-Serotonin-Gi1/β1/γ2
40.00Consensusd3_offOrthosteric Ligand3PBL-D3-Eticlopride
40.00Consensusnucleotide_on_gpOrthosteric Ligandadenosine_on_gp p2y_on_gp
40.00Consensusprostanoid_offOrthosteric Ligandep_off dp_off
39.29Consensusmelanocortin_onOrthosteric Ligandmc1_on mc4_on mc2_on mc3_on mc5_on
39.29Consensusmelanocortin_on_gpOrthosteric Ligandmc1_on_gp mc4_on_gp mc2_on_gp mc3_on_gp mc5_on_gp
39.13Single5WF5UK-4320975WF5-A2A-UK-432097
39.13Single7MBXCholecystokinin-87MBX-CCKA-Cholecystokinin-8-Gs/β1/γ1
39.13Single7T6TfMLFII7T6T-FPR1-ALX-fMLFII-Gi1/β1/γ2
39.13Single8WKZSBL-MC-318WKZ-MC4-SBL-MC-31
39.13Single8XGUTAK4488XGU-Kiss1-TAK448-Gi1/β1/γ2
39.13Single9B54VIP369B54-CB1-VIP36-Gi1/β1/γ2
39.13Single9K27PrRP319K27-PrRP-PrRP31-chim(NtGi1-Gq)/β1/γ2
39.13Single9U4WGonadoliberin-19U4W-GnRH1-Gonadoliberin-1-chim(NtGi1L-Gs-CtGq)/β1/γ2
39.13Single9UYIChemerin-99UYI-CML2-Chemerin-9-Arrestin2
39.13Consensusfpr2-alx_onOrthosteric Ligand7WVX-FPR2-ALX-Humanin-Gi2/β1/γ2 7T6U-FPR2-ALX-CGEN-855A-Gi1/β1/γ2 7T6V-FPR2-ALX-fMLFII-Gi1/β1/γ2 7WVY-FPR2-ALX-Amyloid-β42-Gi2/β1/γ2 7T6S-FPR2-ALX-TC-FPR 43-Gi1/β1/γ2 6OMM-FPR2-ALX-WKYMVX-Gi1/β1/γ2
39.13Consensusgs_cckOrthosteric Ligand7MBX-CCKA-Cholecystokinin-8-Gs/β1/γ1
38.89Single5N2RPSB365N2R-A2A-PSB36-Na
38.89Single5N2SPSB365N2S-A1-PSB36
38.89Single5NM2ZM-2413855NM2-A2A-ZM-241385-Na
38.89Single5OM4PubChem 1355666095OM4-A2A-PubChem 135566609-Na
38.89Single5XPRBosentan5XPR-ETB-Bosentan
38.89Single6ME62-Phenylmelatonin6ME6-MT2-2-Phenylmelatonin
38.89Single6ME82-Phenylmelatonin6ME8-MT2-2-Phenylmelatonin
38.89Single6PS6Timolol6PS6-β2-Timolol
38.89Single7EO2FTY720-P7EO2-S1P1-FTY720-P-Gi1/β1/γ2
38.89Single7VFXfMIFL7VFX-FPR1-ALX-fMIFL-Gi1/β1/γ2
38.89Single7WC6LSD7WC6-5-HT2A-LSD
38.89Single7WIGL-0542647WIG-SST2-L-054264-Gi1/β1/γ2
38.89Single7YU3ONO-07405567YU3-LPA1-ONO-0740556-Gi1/β1/γ2
38.89Single8C9WEtrumadenant8C9W-A2A-Etrumadenant
38.89Single8EFBOliceridine8EFB-μ-Oliceridine-Gi1/β1/γ2
38.89Single8I7WGSK2560738I7W-HCA2-GSK256073-Gi1/β1/γ2
38.89Single8ID4Linoleic acid8ID4-FFA4-Linoleic acid-Gi1/β1/γ2
38.89Single8J6JGSK2560738J6J-HCA2-GSK256073-Gi1/β1/γ2
38.89Single8K8JFenofibrate8K8J-CB1-Fenofibrate-chim(Gs-CtGq)/β1/γ2
38.89Single8KFXLMD-0098KFX-CCR8-LMD-009-Gi1/β1/γ2
38.89Single8S4DCMF-0198S4D-Apelin-CMF-019
38.89Single8SZGCa; Ca; Tryptophan; Cinacalcet; PO4; Spermine8SZG-CaS; CaS-Ca; Ca; Tryptophan; Cinacalcet; PO4; Spermine-chim(NtGi1-Gq)/β1/γ2
38.89Single8TH4Losartan8TH4-AT1-Losartan-AT118-L Nanobody
38.89Single8UUJFCH-22964138UUJ-HCA2-FCH-2296413-Gi1/β1/γ2
38.89Single8WGBVU01550418WGB-mGlu4; mGlu2-Glutamate-VU0155041-Gi3/β1/γ2
38.89Single8XYKVUF106618XYK-CXCR3-VUF10661-Go/β1/γ2
38.89Single8YH0NECA8YH0-A3A-NECA-Gi1/β1/γ2
38.89Single8YICSAR2477998YIC-S1P1-SAR247799-Gi1/β1/γ2
38.89Single9ARYSerotonin9ARY-5-HT2A-Serotonin-chim(NtGi1-Gs-CtGq)/β1/γ2
38.89Single9AVLCa; Ca; Cyclomethyltryptophan; R-568; PO49AVL-CaS; CaS-Ca-Ca; Ca; Cyclomethyltryptophan; R-568; PO4-Gi3/β2/γ2
38.89Single9AXFCa; Ca; Ca; Cyclomethyltryptophan; R-568; PO49AXF-CaS; CaS-Ca-Ca; Ca; Ca; Cyclomethyltryptophan; R-568; PO4-chim(NtGi1-Gs-CtGq)/β1/γ2
38.89Single9CIBFCH-22964139CIB-HCA2-FCH-2296413
38.89Single9EAHOlmesartan9EAH-AT1-Olmesartan-Nanobody AT209
38.89Single9EE8Adenosine9EE8-A2A-Adenosine-Gs/β1/γ2
38.89Single9F34FOB02-04A9F34-D3-FOB02-04A-Go/β1/γ2
38.89Single9HAPTolvaptan9HAP-V2-Tolvaptan
38.89Single9IYBPGD29IYB-DP2-PGD2-A1D5Q-Gi1/β1/γ2
38.89Single9JKSPubChem 442501769JKS-HCA3-PubChem 44250176-Gi1/β1/γ2
38.89Single9KT6Acifran9KT6-HCA3-Acifran-Gi1/β1/γ2
38.89Single9KUVCMPD6449KUV-Apelin-CMPD644-Arrestin2
38.89Single9M8POleic monoethanolamide9M8P-GPR3 ; GPR3-Oleic monoethanolamide-AF64394
38.89Consensus5ht1_onOrthosteric Ligand5ht1a_on 5ht1d_on 5ht1e_on 5ht1f_on
38.89Consensus5ht1_on_gpOrthosteric Ligand5ht1a_on_gp 5ht1d_on_gp 5ht1e_on_gp 5ht1f_on_gp
38.89Consensus5ht1e_on_gpOrthosteric Ligand7E33-5-HT1E-BRL-54443-Gi1/β1/γ2 8UGY-5-HT1E-Mianserin-Gi1/β1/γ1 8UH3-5-HT1E-Setiptiline-Gi1/β1/γ1
38.89Consensusa1_offOrthosteric Ligand5UEN-A1-DU172 5N2S-A1-PSB36
38.89Consensusa3_on_gpOrthosteric Liganda3a_on_gp
38.89Consensusa3a_onOrthosteric Ligand8X17-A3A-Namodenoson-Gi1/β1/γ2 8X16-A3A-Piclidenoson-Gi1/β1/γ2
38.89Consensusa3a_on_gpOrthosteric Ligand8X17-A3A-Namodenoson-Gi1/β1/γ2 8X16-A3A-Piclidenoson-Gi1/β1/γ2
38.89Consensusadenosine_offOrthosteric Liganda1_off a2_off
38.89Consensusalpha_on_gpOrthosteric Ligandalpha1_on_gp alpha2_on_gp
38.89Consensusfpr1-alx_onOrthosteric Ligand7VFX-FPR1-ALX-fMIFL-Gi1/β1/γ2
38.89Consensusfpr1-alx_on_gpOrthosteric Ligand7VFX-FPR1-ALX-fMIFL-Gi1/β1/γ2
38.89Consensush1_offOrthosteric Ligand8X63-H1-Mepyramine 3RZE-H1-Cidoxepin 8X5Y-H1-Astemizole
38.89Consensuslpa1_onOrthosteric Ligand7TD1-LPA1-LPA-Gi1/β1/γ2 7YU3-LPA1-ONO-0740556-Gi1/β1/γ2
38.89Consensuslpa1_on_gpOrthosteric Ligand7TD1-LPA1-LPA-Gi1/β1/γ2 7YU3-LPA1-ONO-0740556-Gi1/β1/γ2
38.89Consensusnucleotide_onOrthosteric Ligandadenosine_on p2y_on
38.89Consensusta1_onOrthosteric Ligand8W87-TA1-METH-chim(NtGi1L-Gs)/β1/γ2 8W89-TA1-2-Phenylethylamine-chim(NtGi1L-Gs)/β1/γ2 8JLP-TA1-Ralmitaront-Gs/β1/γ2 8W8A-TA1-RO5256390-chim(NtGi1L-Gs)/β1/γ2 8W88-TA1-SEP-363856-Gs/β1/γ2 8JLO-TA1-Ulotaront-Gs/β1/γ2 8JLR-TA1-A77636-chim(NtGi1-Gs)/β1/γ2 8JSO-TA1-AMPH-chim(NtGi1-Gs)/β1/γ2 8ZSP-TA1-LSD-chim(NtGi1L-Gs)/β1/γ2
38.89Consensustrace-amine_onOrthosteric Ligandta1_on
38.46Single7F53Alpha-MSH7F53-MC4-α-MSH-Gs/β1/γ2
38.46Single7XATSomatostatin-147XAT-SST2-Somatostatin-14-Gi1/β1/γ2
38.46Single8W8WAlpha-MSH8W8W-MC3-α-MSH-Ca-Gs/β1/γ2
38.46Single9K26PrRP319K26-PrRP-PrRP31-Gi1/β1/γ2
38.10Single5WF6UK-4320975WF6-A2A-UK-432097
38.10Single6C1QPMX536C1Q-C5a1-PMX53-NDT9513727
38.10Single6G79Donitriptan6G79-5-HT1B-Donitriptan-Go/β1/γ2
38.10Single6PT3DPI-2876PT3-δ-DPI-287
38.10Single7RKFCX3CL17RKF-US28-CX3CL1-GDP-chim(NtGi1-G11)/β1/γ2
38.10Single7SK9CCX6627SK9-ACKR3-CCX662
38.10Single7T11Octreotide7T11-SST2-Octreotide-Gi3/β1/γ2
38.10Single7Y1FDynorphin7Y1F-κ-Dynorphin-Gi1/β1/γ2
38.10Single7YJ4INSL57YJ4-RXFP4-INSL5-Gi2/β1/γ2
38.10Single9CGKC5-Quino9CGK-δ-C5-Quino-Gi1/β1/γ2
38.10Single9IZASCH9002719IZA-HCA2-SCH900271-Gi1/β1/γ2
38.10Single9MD1Buspirone9MD1-5-HT1A-Buspirone-PtdIns4P-Gz/β1/γ2
38.10Consensuscxcr3_onOrthosteric Ligand8HNK-CXCR3-CXCL11-Gi1/β1/γ2 8HNL-CXCR3-PS372424-Gi1/β1/γ2
37.93Single6LRYSarafotoxin-B6LRY-ETB-Sarafotoxin-B
37.50Single2X72All-trans-Retinal2X72-Rhodopsin-All-trans-Retinal-Gt(CT)
37.50Single3PWHZM-2413853PWH-A2A-ZM-241385
37.50Single3VGAZM-2413853VGA-A2A-ZM-241385-Antibody
37.50Single4S0VSuvorexant4S0V-OX2-Suvorexant
37.50Single5OLHVipadenant5OLH-A2A-Vipadenant-Na
37.50Single5OLVLUAA470705OLV-A2A-LUAA47070-Na
37.50Single6DS0LY2660976DS0-5-HT2B-LY266097
37.50Single6TPJSuvorexant6TPJ-OX2-Suvorexant
37.50Single7DHRIsoprenaline7DHR-β2-Isoprenaline-Gs/β1/γ2
37.50Single7EJ0Norepinephrine7EJ0-α2a-Norepinephrine-Go/β1/γ2
37.50Single7F1ODopamine7F1O-D1-Dopamine-GDP; Mg-Gs/β1/γ2
37.50Single7F4HAfamelanotide7F4H-MC1-Afamelanotide-chim(NtGi1-Gs)/β1/γ2
37.50Single7SRRLSD7SRR-5-HT2B-LSD-chim(NtGi2L-Gs-CtGq)/β1/γ2
37.50Single7SRSLSD7SRS-5-HT2B-LSD-Arrestin2
37.50Single7VIHCBP-3077VIH-S1P1-CBP-307-Gi1/β1/γ2
37.50Single7W0MPubChem 1227019087W0M-Apelin-PubChem 122701908-Gi1/β1/γ2
37.50Single7W40Bombesin7W40-BB2-Bombesin-chim(NtGi1L-Gq)/β1/γ2
37.50Single7X2FDopamine7X2F-D1-Dopamine-Mevidalen-Gs/β1/γ2
37.50Single7XT8Serotonin7XT8-5-HT4-Serotonin-Gs/β1/γ2
37.50Single8DWGML3828DWG-MRGPRX1-BAM8-22-ML382-chim(NtGi2L-Gs-CtGq)/β1/γ2
37.50Single8FYXBuspirone8FYX-5-HT1A-Buspirone-PtdIns4P-Gi1/β1/γ1
37.50Single8GNGIstradefylline8GNG-A2A-Istradefylline
37.50Single8H4KGW95088H4K-FFA4-GW9508-chim(NtGi1-Gs-CtGq)/β1/γ2
37.50Single8IHFMK68928IHF-HCA2-MK6892-Gi1/β1/γ2
37.50Single8IJANiacin8IJA-HCA2-Niacin-Gi1/β1/γ2
37.50Single8IJBAcipimox8IJB-HCA2-Acipimox-Gi1/β1/γ2
37.50Single8IW4Spermidine8IW4-TAA9-Spermidine-chim(NtGi1-Gs)/β1/γ2
37.50Single8IWESpermidine8IWE-TAA9-Spermidine
37.50Single8J6IMK68928J6I-HCA2-MK6892-Gi1/β1/γ2
37.50Single8JSOAMPH8JSO-TA1-AMPH-chim(NtGi1-Gs)/β1/γ2
37.50Single8TZQDopamine8TZQ-D2-Dopamine-Go/β1/γ2
37.50Single8WC4ZH86518WC4-TA1-ZH8651-chim(NtGi1-Gs)/β1/γ2
37.50Single8WCA2-Phenylethylamine8WCA-TA1-2-Phenylethylamine-chim(NtGi1-Gs)/β1/γ2
37.50Single8WOGSuccinic acid8WOG-Succinate-Succinic acid-Gi1/β1/γ2
37.50Single8X8LCortistatin-148X8L-SST5-Cortistatin-14-chim(NtGi1-Gs-CtGi1)/β1/γ2
37.50Single8XZJWN3538XZJ-Apelin; Apelin-WN353-Gi1/β1/γ2
37.50Single8Y0HVUF114188Y0H-CXCR3-VUF11418
37.50Single8Y0NVUF114188Y0N-CXCR3-VUF11418-Go/β1/γ2
37.50Single8YKXMaleic acid8YKX-Succinate-Maleic acid-Gi1/β1/γ1
37.50Single8YUTAmthamine8YUT-H2-Amthamine-Gs/β1/γ2
37.50Single8Z87CHBA8Z87-HCA1-CHBA-Gi1/β1/γ2
37.50Single9KPESalicin9KPE-TAS2R16-Salicin-Gi1/β1/γ2
37.50Single9LKDPL459LKD-OR5V1-PL45
37.50Single9LL9DOI9LL9-5-HT2A-DOI-chim(NtGi1L-Gs-CtGq)/β1/γ2
37.50Single9LLBDOI-NBOMe9LLB-5-HT2A-DOI-NBOMe-chim(NtGi1L-Gs-CtGq)/β1/γ2
37.50Single9MQJIsoquinuclidine9MQJ-μ-Isoquinuclidine
37.50Single9PXUNaloxone9PXU-μ-Naloxone-Na
37.50Single9VJ5Gepirone9VJ5-5-HT1A-Gepirone-Go/β1/γ2
37.50Single9W49U-50488H9W49-κ-U-50488H-Gi1/β1/γ2
37.50Consensus5ht2_on_gpOrthosteric Ligand5ht2b_on_gp
37.50Consensus5ht2b_on_gpOrthosteric Ligand7SRR-5-HT2B-LSD-chim(NtGi2L-Gs-CtGq)/β1/γ2
37.50Consensusc5a1_on_gpOrthosteric Ligand8HK5-C5a1-C5a-Gi1/β1/γ2 7Y66-C5a1-BM213-Gi1/β1/γ2 7Y67-C5a1-C089 peptide-Gi1/β1/γ2 7Y64-C5a1-C5a-Gi1/β1/γ2
37.50Consensuscxcr3_on_gpOrthosteric Ligand8HNK-CXCR3-CXCL11-Gi1/β1/γ2 8HNL-CXCR3-PS372424-Gi1/β1/γ2
37.50Consensusfpr2-alx_on_gpOrthosteric Ligand7WVX-FPR2-ALX-Humanin-Gi2/β1/γ2 7T6U-FPR2-ALX-CGEN-855A-Gi1/β1/γ2 7T6V-FPR2-ALX-fMLFII-Gi1/β1/γ2 7WVY-FPR2-ALX-Amyloid-β42-Gi2/β1/γ2 7T6S-FPR2-ALX-TC-FPR 43-Gi1/β1/γ2 6OMM-FPR2-ALX-WKYMVX-Gi1/β1/γ2
37.50Consensusgi_formylpeptideOrthosteric Ligand7WVY-FPR2-ALX-Amyloid-β42-Gi2/β1/γ2 7T6U-FPR2-ALX-CGEN-855A-Gi1/β1/γ2 7VFX-FPR1-ALX-fMIFL-Gi1/β1/γ2 7T6V-FPR2-ALX-fMLFII-Gi1/β1/γ2 7WVX-FPR2-ALX-Humanin-Gi2/β1/γ2 7T6S-FPR2-ALX-TC-FPR 43-Gi1/β1/γ2 6OMM-FPR2-ALX-WKYMVX-Gi1/β1/γ2
37.50Consensusgi_succinateOrthosteric Ligand8YKW-Succinate-Succinic acid-Gi1/β1/γ1 8YKX-Succinate-Maleic acid-Gi1/β1/γ1
37.50Consensusmc5_on_gpOrthosteric Ligand8INR-MC5-α-MSH-Ca-chim(NtGi1-Gs)/β1/γ2 8IOD-MC5-PG-901-Ca-chim(NtGi1-Gs)/β1/γ2
37.50Consensusprotein_onOrthosteric Ligandchemokine_on chemerin_on
37.50Consensussuccinate_onOrthosteric Ligand8YKW-Succinate-Succinic acid-Gi1/β1/γ1 8YKX-Succinate-Maleic acid-Gi1/β1/γ1
37.50Consensussuccinate_on_gpOrthosteric Ligand8YKW-Succinate-Succinic acid-Gi1/β1/γ1 8YKX-Succinate-Maleic acid-Gi1/β1/γ1
37.04Single8WWNMCH8WWN-MCH1-MCH-Gi1/β1/γ2
37.04Consensusbk2_onOrthosteric Ligand7F6H-BK2-Bradykinin-Gq/β1/γ2 7F6I-BK2-Kallidin-Gq/β1/γ2
37.04Consensusbk2_on_gpOrthosteric Ligand7F6H-BK2-Bradykinin-Gq/β1/γ2 7F6I-BK2-Kallidin-Gq/β1/γ2
37.04Consensusbradykinin_onOrthosteric Ligandbk2_on
37.04Consensusbradykinin_on_gpOrthosteric Ligandbk2_on_gp
37.04Consensusgq_bradykininOrthosteric Ligand7F6H-BK2-Bradykinin-Gq/β1/γ2 7F6I-BK2-Kallidin-Gq/β1/γ2
37.04Consensusgs_melanocortinOrthosteric Ligand7F4H-MC1-Afamelanotide-chim(NtGi1-Gs)/β1/γ2 7F54-MC4-Afamelanotide-Gs/β1/γ2 7F4D-MC1-α-MSH-chim(NtGi1-Gs)/β1/γ2 8INR-MC5-α-MSH-Ca-chim(NtGi1-Gs)/β1/γ2 7F53-MC4-α-MSH-Gs/β1/γ2 7F55-MC4-Bremelanotide-Gs/β1/γ2 8GY7-MC2-Corticotropin-Ca-chim(NtGi1-Gs)/β1/γ2; MRAP1 8IOC-MC3-γ-MSH-Ca-chim(NtGi1-Gs)/β1/γ2 8IOD-MC5-PG-901-Ca-chim(NtGi1-Gs)/β1/γ2 7AUE-MC4-Setmelanotide-chim(NtGi1L-Gs)/β1/γ2 7F4I-MC1-SHU9119-chim(NtGi1-Gs)/β1/γ2 7F58-MC4-THIQ-Gs/β1/γ2
36.84Single4Z34ONO-97803074Z34-LPA1-ONO-9780307
36.84Single5XR8AM120335XR8-CB1-AM12033
36.84Single5XRAAM115425XRA-CB1-AM11542
36.84Single6J20Aprepitant6J20-NK1-Aprepitant
36.84Single6J21Aprepitant6J21-NK1-Aprepitant
36.84Single7B6WCyclazosin7B6W-α1b-Cyclazosin
36.84Single7E2ZAripiprazole7E2Z-5-HT1A-Aripiprazole-PtdIns4P-Gi1/β1/γ2
36.84Single7FEECP559407FEE-CB1-CP55940-ZCZ011
36.84Single7XTQR3997XTQ-GPBA-R399-Gs/β1/γ2
36.84Single7XY7NECA7XY7-A2B-NECA-chim(NtGi1-Gs)/β1/γ2
36.84Single7Y24Octreotide7Y24-SST2-Octreotide-Go/β1/γ2
36.84Single7YU5ONO-07405567YU5-LPA1-ONO-0740556-Gi1/β1/γ2
36.84Single8DCSCyanopindolol8DCS-β1-Cyanopindolol-Gs/β1/γ2
36.84Single8ID39-Hydroxystearic acid8ID3-FFA4-9-Hydroxystearic acid-Gi1/β1/γ2
36.84Single8ID6Oleic acid8ID6-FFA4-Oleic acid-Gi1/β1/γ2
36.84Single8IHBGSK2560738IHB-HCA2-GSK256073-Gi1/β1/γ2
36.84Single8JXVClozapine8JXV-H4-Clozapine-Gi1/β1/γ2
36.84Single8JZPC5a8JZP-C5a1-C5a-Go/β1/γ2
36.84Single8YH6Namodenoson8YH6-A3A-Namodenoson-Gi1/β1/γ2
36.84Single9AYFCa; Ca; Ca; Cyclomethyltryptophan; R-568; PO49AYF-CaS; CaS-Ca-Ca; Ca; Ca; Cyclomethyltryptophan; R-568; PO4-Gi1/β1/γ2
36.84Single9IK9Lanreotide9IK9-SST1-Lanreotide-Gi1/β1/γ2
36.84Consensus5ht_offOrthosteric Ligand5ht2_off 5ht1_off
36.84Consensusa2_onOrthosteric Liganda2b_on
36.84Consensusa2_on_gpOrthosteric Liganda2b_on_gp
36.84Consensusa2b_onOrthosteric Ligand8HDP-A2B-Adenosine-Gs/β1/γ2 7XY6-A2B-BAY 60-6583-chim(NtGi1-Gs)/β1/γ2 7XY7-A2B-NECA-chim(NtGi1-Gs)/β1/γ2 8HDO-A2B-BAY 60-6583-Gs/β1/γ2
36.84Consensusa2b_on_gpOrthosteric Ligand8HDP-A2B-Adenosine-Gs/β1/γ2 7XY6-A2B-BAY 60-6583-chim(NtGi1-Gs)/β1/γ2 7XY7-A2B-NECA-chim(NtGi1-Gs)/β1/γ2 8HDO-A2B-BAY 60-6583-Gs/β1/γ2
36.84Consensusgi_lpaOrthosteric Ligand7TD1-LPA1-LPA-Gi1/β1/γ2 7YU3-LPA1-ONO-0740556-Gi1/β1/γ2
36.84Consensusgs_adenosineOrthosteric Ligand8HDP-A2B-Adenosine-Gs/β1/γ2 8HDO-A2B-BAY 60-6583-Gs/β1/γ2 7XY7-A2B-NECA-chim(NtGi1-Gs)/β1/γ2 7XY6-A2B-BAY 60-6583-chim(NtGi1-Gs)/β1/γ2
36.84Consensusgs_nucleotideOrthosteric Ligandgs_adenosine
36.84Consensuslpa_onOrthosteric Ligandlpa1_on
36.84Consensuslpa_on_gpOrthosteric Ligandlpa1_on_gp
36.84Consensusta1_on_gpOrthosteric Ligand8W87-TA1-METH-chim(NtGi1L-Gs)/β1/γ2 8W89-TA1-2-Phenylethylamine-chim(NtGi1L-Gs)/β1/γ2 8JLP-TA1-Ralmitaront-Gs/β1/γ2 8W8A-TA1-RO5256390-chim(NtGi1L-Gs)/β1/γ2 8W88-TA1-SEP-363856-Gs/β1/γ2 8JLO-TA1-Ulotaront-Gs/β1/γ2 8JLR-TA1-A77636-chim(NtGi1-Gs)/β1/γ2 8JSO-TA1-AMPH-chim(NtGi1-Gs)/β1/γ2 8ZSP-TA1-LSD-chim(NtGi1L-Gs)/β1/γ2
36.84Consensustrace-amine_on_gpOrthosteric Ligandta1_on_gp
36.36Single4XT1CX3CL14XT1-US28-CX3CL1
36.36Single7F54Afamelanotide7F54-MC4-Afamelanotide-Gs/β1/γ2
36.36Single7WVWfMYFINILTL7WVW-FPR2-ALX-fMYFINILTL-Gi2/β1/γ2
36.36Single8F7XNociceptin8F7X-NOP-Nociceptin-Gi1/β1/γ2
36.36Single8G59TUG-8918G59-FFA4-TUG-891-chim(Gi1-CtGq)/β1/γ2
36.36Single8K3ZCXCL128K3Z-CXCR4-CXCL12-Gi1/β1/γ1
36.36Single8WKYPG-9348WKY-MC4-PG-934
36.36Single8WZ2Orexigenic Neuropeptide QRFP8WZ2-QRFP-Orexigenic Neuropeptide QRFP-chim(NtGi1L-Gs-CtGq)/β1/γ2
36.36Single9M4TSilodosin9M4T-Alpha1A-Silodosin
36.36Consensuschemerin_on_gpOrthosteric Ligandcml1_on_gp
36.36Consensuscml1_onOrthosteric Ligand7YKD-CML1-Chemerin-9-Gi1/β1/γ2
36.36Consensusgi_chemerinOrthosteric Ligand7YKD-CML1-Chemerin-9-Gi1/β1/γ2
36.36Consensusgi_nucleotideOrthosteric Ligandgi_adenosine gi_p2y
36.36Consensusmc4_onOrthosteric Ligand7AUE-MC4-Setmelanotide-chim(NtGi1L-Gs)/β1/γ2 7F58-MC4-THIQ-Gs/β1/γ2 7F54-MC4-Afamelanotide-Gs/β1/γ2 7F53-MC4-α-MSH-Gs/β1/γ2 7F55-MC4-Bremelanotide-Gs/β1/γ2
36.36Consensusnop_onOrthosteric Ligand8F7X-NOP-Nociceptin-Gi1/β1/γ2
36.36Consensusnop_on_gpOrthosteric Ligand8F7X-NOP-Nociceptin-Gi1/β1/γ2
36.00Single7F6HBradykinin7F6H-BK2-Bradykinin-Gq/β1/γ2
36.00Single8HK5C5a8HK5-C5a1-C5a-Gi1/β1/γ2
36.00Single8IA2C5a8IA2-C5a1-C5a-Go/β1/γ2
36.00Single8WWKMCH8WWK-MCH1-MCH-Gi1/β1/γ2
36.00Single8XQEApelin-138XQE-Apelin; Apelin-Apelin-13-Gi1/β1/γ2
36.00Single8XVHEndothelin-18XVH-ETB-Endothelin-1-chim(Gs-CtGq)/β1/γ2
36.00Single9JFYNeuropeptide-SF9JFY-NPFF2-Neuropeptide-SF-Gi1/β1/γ2
36.00Consensuschemokine_on_gpOrthosteric Ligandccr_on_gp cxcr_on_gp
36.00Consensusgi_chemokineOrthosteric Ligand6WWZ-CCR6-CCL20-Go/β1/γ2 8HNK-CXCR3-CXCL11-Gi1/β1/γ2 8K3Z-CXCR4-CXCL12-Gi1/β1/γ1 8IC0-CXCR1-CXCL8-Gi1/β1/γ2 6LFM-CXCR2-CXCL8-Gi1/β1/γ2 8KFX-CCR8-LMD-009-Gi1/β1/γ2 7F1Q-CCR5-CCL3-Gi1/β1/γ2 8HNL-CXCR3-PS372424-Gi1/β1/γ2 8KFY-CCR8-ZK-756326-Gi1/β1/γ2 7O7F-CCR5-6P4-CCL5-Gi1/β1/γ1 8U1U-CCR8-CCL1-Gi1/β1/γ2 7VLA-CCR1-CCL15(27-92)-Gi1/β1/γ2 7XA3-CCR2-CCL2-Gi1/β1/γ2
35.71Single3OE8IT1t3OE8-CXCR4-IT1t
35.71Single3RFMCaffeine3RFM-A2A-Caffeine
35.71Single6TQ9SB-4081246TQ9-OX1-SB-408124
35.71Single8A2OTheophylline8A2O-A2A-Theophylline-Na
35.71Single8DPHLorcaserin8DPH-5-HT2C-Lorcaserin-chim(NtGi2L-Gs-CtGq)/β1/γ2
35.71Single8GEIConstrained Epinephrine8GEI-β2-Constrained Epinephrine-Gs/β1/γ2
35.71Single8IWM2-Phenylethylamine8IWM-TAA9-2-Phenylethylamine
35.71Single8Z8ALactate8Z8A-HCA1-Lactate-Gi1/β1/γ2
35.71Single9CHUNorepinephrine9CHU-β2-Norepinephrine
35.71Single9EE9Adenosine9EE9-A2A-Adenosine-Gs/β1/γ2
35.71Consensusbb2_onOrthosteric Ligand7W40-BB2-Bombesin-chim(NtGi1L-Gq)/β1/γ2 7W3Z-BB2-Gastrin Releasing Peptide-chim(NtGi1L-Gq)/β1/γ2
35.71Consensusbb2_on_gpOrthosteric Ligand7W40-BB2-Bombesin-chim(NtGi1L-Gq)/β1/γ2 7W3Z-BB2-Gastrin Releasing Peptide-chim(NtGi1L-Gq)/β1/γ2
35.71Consensusbombesin_onOrthosteric Ligandbb2_on
35.71Consensusbombesin_on_gpOrthosteric Ligandbb2_on_gp
35.71Consensusgi_endothelinOrthosteric Ligand8IY5-ETB-Endothelin-1-Gi1/β1/γ2 8HBD-ETB-IRL1620-Gi1/β1/γ2
35.71Consensusgq_bombesinOrthosteric Ligand7W40-BB2-Bombesin-chim(NtGi1L-Gq)/β1/γ2 7W3Z-BB2-Gastrin Releasing Peptide-chim(NtGi1L-Gq)/β1/γ2
35.71Consensusgs_histamineOrthosteric Ligand8POK-H2-Histamine-Gs/β1/γ2
35.71Consensush2_onOrthosteric Ligand8POK-H2-Histamine-Gs/β1/γ2
35.29Single2YDOAdenosine2YDO-A2A-Adenosine
35.29Single3REYPubChem 56973REY-A2A-PubChem 5697
35.29Single3UZCPubChem 1355666093UZC-A2A-PubChem 135566609
35.29Single4N6HNaltrindole4N6H-δ-Naltrindole-Na
35.29Single5IU4ZM-2413855IU4-A2A-ZM-241385-Na
35.29Single5IUBQ274563445IUB-A2A-Q27456344-Na
35.29Single5K2CZM-2413855K2C-A2A-ZM-241385-Na
35.29Single5NM4ZM-2413855NM4-A2A-ZM-241385-Na
35.29Single6A94Zotepine6A94-5-HT2A-Zotepine
35.29Single6AQFZM-2413856AQF-A2A-ZM-241385
35.29Single6K41Dexmedetomidine6K41-α2b-Dexmedetomidine-Go/β1/γ2
35.29Single6KUXRS799486KUX-α2a-RS79948
35.29Single6ME32-Phenylmelatonin6ME3-MT1-2-Phenylmelatonin
35.29Single6PS82-Phenylmelatonin6PS8-MT1-2-Phenylmelatonin
35.29Single6PT0WIN 55212-26PT0-CB2-WIN 55212-2-Gi1/β1/γ2
35.29Single6TP3Nemorexant6TP3-OX1-Nemorexant
35.29Single6VI4JDTic6VI4-κ-JDTic
35.29Single6ZDVPubChem 9840736ZDV-A2A-PubChem 984073-Na
35.29Single6ZFZ77-LH-28-16ZFZ-M1-77-LH-28-1
35.29Single6ZG9GSK10347026ZG9-M1-GSK1034702
35.29Single7CKWFenoldopam7CKW-D1-Fenoldopam-Gs/β1/γ2
35.29Single7CKZDopamine7CKZ-D1-Dopamine-Mevidalen-Gs/β1/γ2
35.29Single7CMVPD1289077CMV-D3-PD128907-Gi1/β1/γ2
35.29Single7E33BRL-544437E33-5-HT1E-BRL-54443-Gi1/β1/γ2
35.29Single7EJ8Brimonidine7EJ8-α2a-Brimonidine-Go/β1/γ2
35.29Single7F0TDopamine7F0T-D1-Dopamine-Gs/β1/γ2
35.29Single7F1ZDopamine7F1Z-D1-Dopamine-GDP-Gs/β1/γ2
35.29Single7F24Dopamine7F24-D1-Dopamine-GDP-Gs/β1/γ2
35.29Single7T32ZM-2413857T32-A2A-ZM-241385
35.29Single7UM7Methylergometrine7UM7-5-HT5A-Methylergometrine-chim(NtGi1-Go)/β1/γ2
35.29Single7WC9PubChem 1624213647WC9-5-HT2A-PubChem 162421364
35.29Single7YK6PubChem 1383196747YK6-RXFP4-PubChem 138319674-Gi2/β1/γ2
35.29Single8GUQOlorinab8GUQ-CB2-Olorinab-Gi1/β1/γ2
35.29Single8IHKAcifran8IHK-HCA3-Acifran
35.29Single8JEIPubChem 117155568JEI-HCAR3-PubChem 11715556-Gi1/β1/γ2
35.29Single8JERAcipimox8JER-HCA2-Acipimox-Go/β1/γ2
35.29Single8JIMMonomethyl fumarate8JIM-HCA2-Monomethyl fumarate-Gi1/β1/γ2
35.29Single8JLNT1AM8JLN-TA1-T1AM-Gs/β1/γ2
35.29Single8JSPUlotaront8JSP-5-HT1A-Ulotaront-Gi1/β1/γ2
35.29Single8RWCStilSwitch28RWC-A2A-StilSwitch2-Na
35.29Single8RWDStilSwitch38RWD-A2A-StilSwitch3-Na
35.29Single8THKA-616038THK-Alpha1A-A-61603-chim(NtGi2L-Gs-CtGq)/β1/γ2
35.29Single8U02Dopamine8U02-D2-Dopamine-Go/β1/γ2
35.29Single8V6UPubChem 1713924568V6U-5-HT2A-PubChem 171392456-chim(NtGi2-Gs-CtGq)/β1/γ2
35.29Single8W88SEP-3638568W88-TA1-SEP-363856-Gs/β1/γ2
35.29Single8WC8ZH86518WC8-TA1-ZH8651-chim(NtGi1-Gs)/β1/γ2
35.29Single8Y6YGLPG09748Y6Y-FFA2-GLPG0974
35.29Single8YKVPubChem 1375531688YKV-Succinate-PubChem 137553168-Gi1/β1/γ2
35.29Single8YN3Histamine8YN3-H2-Histamine-Gs/β1/γ2
35.29Single8ZPMAMD0708ZPM-CXCR4-AMD070
35.29Single9ARXSerotonin9ARX-5-HT2A-Serotonin
35.29Single9AS3LSD9AS3-5-HT2A-LSD
35.29Single9AS4LSD9AS4-5-HT2A-LSD-chim(NtGi1-Gs-CtGq)/β1/γ2
35.29Single9ASBCa; Ca; Cyclomethyltryptophan; R-568; PO49ASB-CaS; CaS-Ca-Ca; Ca; Cyclomethyltryptophan; R-568; PO4-chim(NtGi1-Gs-CtGq)/β1/γ2
35.29Single9CBLEpinephrine9CBL-α2a-Epinephrine-Gi1/β1/γ2
35.29Single9JH3CMF-0199JH3-Apelin; Apelin-CMF-019-Gi1/β1/γ2
35.29Single9JKQMETH9JKQ-TA1-METH-Gs/β1/γ2
35.29Single9JKYAcifran9JKY-HCA2-Acifran-Gi1/β1/γ2
35.29Single9JMDAzithromycin9JMD-Motilin-Azithromycin-chim(Gs-CtGq)/β1/γ2
35.29Single9KPDSalicin9KPD-TAS2R16-Salicin-chim(Gs-CtGt3)/β1/γ2
35.29Single9LKBPL459LKB-OR5V1-PL45-chim(NtGi1-Gs)/β1
35.29Single9LL8Psilocin9LL8-5-HT2A-Psilocin-Gi1/β1/γ2
35.29Single9MQIIsoquinuclidine9MQI-μ-Isoquinuclidine
35.29Single9PY2Loperamide9PY2-μ-Loperamide-GDPβS-Gi1/β1/γ2
35.29Single9VJG8-OH-DPAT9VJG-5-HT1A-8-OH-DPAT-chim(NtGi2-Gz)/β1/γ2
35.29Single9W33S5A19W33-SST5-S5A1
35.29Consensusat1_offOrthosteric Ligand4YAY-AT1-ZD-7155 4ZUD-AT1-Olmesartan
35.29Consensushca_onOrthosteric Ligandhca2_on
35.00Single2YCXCyanopindolol2YCX-β1-Cyanopindolol
35.00Single6C1RPMX536C1R-C5a1-PMX53-Avacopan; Na
35.00Single6CM4Risperidone6CM4-D2-Risperidone
35.00Single6DRYMethylergometrine6DRY-5-HT2B-Methylergometrine
35.00Single6KQICP559406KQI-CB1-CP55940-Org27569
35.00Single6OS0Angiotensin II6OS0-AT1-Angiotensin II
35.00Single7DFPSpiperone7DFP-D2-Spiperone
35.00Single7EVYSiponimod7EVY-S1P1-Siponimod-Gi1/β1/γ2
35.00Single7EW2FTY720-P7EW2-S1P3-FTY720-P-Gi1/β1/γ2
35.00Single7EXDLasmiditan7EXD-5-HT1F-Lasmiditan-Gi1/β1/γ2
35.00Single7F55Bremelanotide7F55-MC4-Bremelanotide-Gs/β1/γ2
35.00Single7K15MKD0467K15-BLT1-MKD046-Na
35.00Single7MTRADX551647MTR-mGlu2; mGlu2-Glutamate-ADX55164
35.00Single7W0LPubChem 1227019087W0L-Apelin; Apelin-PubChem 122701908-Gi1/β1/γ2
35.00Single7WCMMBX-29827WCM-GPR119-MBX-2982-Gs/β1/γ2
35.00Single8JZ7MK68928JZ7-HCA2-MK6892-Gi1/β1/γ2
35.00Single8T3QDoconexent8T3Q-FFA4-Doconexent-chim(NtGi2L-Gs-CtGq)/β1/γ2
35.00Single8VHFMBX-29828VHF-GPR119-MBX-2982-Gs/β1/γ2
35.00Single9DGIZ85267113509DGI-CB1-Z8526711350
35.00Single9EBIPiclidenoson9EBI-A3A-Piclidenoson-chim(NtGi1L-Gs-CtGi1)/β1/γ2
35.00Single9L3WChemerin9L3W-CML1-Chemerin-Gi1/β1/γ2
35.00Single9M8POleic monoethanolamide9M8P-GPR3 ; GPR3-Oleic monoethanolamide-AF64394
35.00Consensus5ht1f_onOrthosteric Ligand7EXD-5-HT1F-Lasmiditan-Gi1/β1/γ2
35.00Consensus5ht1f_on_gpOrthosteric Ligand7EXD-5-HT1F-Lasmiditan-Gi1/β1/γ2
35.00Consensuscannabinoid_offOrthosteric Ligandcb2_off cb1_off
35.00Consensusccr8_onOrthosteric Ligand8KFX-CCR8-LMD-009-Gi1/β1/γ2 8KFY-CCR8-ZK-756326-Gi1/β1/γ2 8U1U-CCR8-CCL1-Gi1/β1/γ2
35.00Consensusgi_amineOrthosteric Ligandgi_5ht gi_muscarinic gi_adrenergic gi_dopamine gi_histamine
35.00Consensusleukotriene_offOrthosteric Ligandblt_off cyslt_off
35.00Consensusnk1_offOrthosteric Ligand6HLP-NK1-Netupitant 6HLO-NK1-Aprepitant 6HLL-NK1-CP99994 6E59-NK1-L-760735
35.00Consensuss1p3_onOrthosteric Ligand7EW3-S1P3-S1P-Gi1/β1/γ2 7EW4-S1P3-CYM-5541-Gi1/β1/γ2 7EW2-S1P3-FTY720-P-Gi1/β1/γ2
34.78Single7EZKCholecystokinin-87EZK-CCKA-Cholecystokinin-8-chim(NtGi1-Gs)/β1/γ2
34.78Single7PIVAfamelanotide7PIV-MC4-Afamelanotide-Gs/β1/γ2
34.78Single8F7QBeta-Endorphin8F7Q-μ-β-Endorphin-Gi1/β1/γ2
34.78Single8SG1Chemerin-98SG1-CML1-Chemerin-9-Gi1/β1/γ2
34.78Single9EAINanobody AT2099EAI-AT1-Losartan-Nanobody AT209
34.78Single9IQSMuscarinic toxin 39IQS-M4-Muscarinic toxin 3
34.78Single9KT7MK68929KT7-HCA2-MK6892-Gi1/β1/γ2
34.78Consensusformylpeptide_on_gpOrthosteric Ligandfpr2-alx_on_gp fpr1-alx_on_gp
34.78Consensusgi_cckOrthosteric Ligand7EZH-CCKA-Cholecystokinin-8-Gi1/β1/γ2 7F8V-CCKB-Gastrin-17-Gi2/β1/γ2
34.78Consensusmc4_on_gpOrthosteric Ligand7AUE-MC4-Setmelanotide-chim(NtGi1L-Gs)/β1/γ2 7F58-MC4-THIQ-Gs/β1/γ2 7F54-MC4-Afamelanotide-Gs/β1/γ2 7F53-MC4-α-MSH-Gs/β1/γ2 7F55-MC4-Bremelanotide-Gs/β1/γ2
34.62Single4XT3CX3CL14XT3-US28-CX3CL1
34.62Single5UIW5P7-CCL55UIW-CCR5-5P7-CCL5
34.62Single7F8VGastrin-177F8V-CCKB-Gastrin-17-Gi2/β1/γ2
34.62Single7YKDChemerin-97YKD-CML1-Chemerin-9-Gi1/β1/γ2
34.62Single8H0PNMB308H0P-BB1-NMB30-chim(NtGi1-Gs-CtGq)/β1/γ2
34.62Consensusccr5_offOrthosteric Ligand5UIW-CCR5-5P7-CCL5
34.62Consensusgi_proteinOrthosteric Ligandgi_chemokine gi_chemerin
34.62Consensusprotein_on_gpOrthosteric Ligandchemokine_on_gp chemerin_on_gp
34.48Single8HBDIRL16208HBD-ETB-IRL1620-Gi1/β1/γ2
34.48Consensusendothelin_on_gpOrthosteric Ligandetb_on_gp eta_on_gp
34.48Consensusetb_on_gpOrthosteric Ligand8IY5-ETB-Endothelin-1-Gi1/β1/γ2 8HBD-ETB-IRL1620-Gi1/β1/γ2
34.38Consensusmc2_onOrthosteric Ligand8GY7-MC2-Corticotropin-Ca-chim(NtGi1-Gs)/β1/γ2; MRAP1
34.38Consensusmc2_on_gpOrthosteric Ligand8GY7-MC2-Corticotropin-Ca-chim(NtGi1-Gs)/β1/γ2; MRAP1
33.33Single3OE6IT1t3OE6-CXCR4-IT1t
33.33Single4EIYZM-2413854EIY-A2A-ZM-241385-Na
33.33Single4J4QOctyl Beta-D-Glucopyranoside4J4Q-Rhodopsin-Octyl β-D-Glucopyranoside-Gt(CT)
33.33Single4X1HNonyl-Beta-D-Glucopyranoside4X1H-Rhodopsin-Nonyl-β-D-Glucopyranoside-Gt(CT)
33.33Single4YAYZD-71554YAY-AT1-ZD-7155
33.33Single5IU8Q274563475IU8-A2A-Q27456347-Na
33.33Single5OLGZM-2413855OLG-A2A-ZM-241385-Na
33.33Single5OLZPubChem 1355666095OLZ-A2A-PubChem 135566609-Na
33.33Single5OM1PubChem 1355666095OM1-A2A-PubChem 135566609-Na
33.33Single5ZKPSR274175ZKP-PAF-SR27417
33.33Single6BQHRitanserin6BQH-5-HT2C-Ritanserin
33.33Single6DRXLisuride6DRX-5-HT2B-Lisuride
33.33Single6DRZMethysergide6DRZ-5-HT2B-Methysergide
33.33Single6FUFAll-trans-Retinal6FUF-Rhodopsin-All-trans-Retinal-Go
33.33Single6GPSMK08126GPS-CCR2-MK0812
33.33Single6K42Dexmedetomidine6K42-α2b-Dexmedetomidine-Gi1/β1/γ2
33.33Single6KPGAM8416KPG-CB1-AM841-Gi1/β1/γ2
33.33Single6LPJZM-2413856LPJ-A2A-ZM-241385-Na
33.33Single6LPKZM-2413856LPK-A2A-ZM-241385-Na
33.33Single6MEOGp160; CD46MEO-CCR5-Gp160; CD4
33.33Single6W25SHU91196W25-MC4-SHU9119-Ca
33.33Single6Z10PubChem 1545855546Z10-Succinate-PubChem 154585554
33.33Single7DB6Ramelteon7DB6-MT1-Ramelteon-Gi1/β1/γ2
33.33Single7DD7Ca; Ca; Tryptophan; Evocalcet7DD7-CaS; CaS-Ca-Ca; Ca; Tryptophan; Evocalcet
33.33Single7F4DAlpha-MSH7F4D-MC1-α-MSH-chim(NtGi1-Gs)/β1/γ2
33.33Single7MBYCholecystokinin-87MBY-CCKA-Cholecystokinin-8-chim(NtGi1L-Gs-CtGq)/β1/γ2
33.33Single7O7F6P4-CCL57O7F-CCR5-6P4-CCL5-Gi1/β1/γ1
33.33Single7PYRPSB-21157PYR-A2A-PSB-2115
33.33Single7U2KC6-guano7U2K-μ-C6-guano-Gi1/β1/γ2
33.33Single7VGY2-Iodomelatonin7VGY-MT1-2-Iodomelatonin-Gi1/β1/γ2
33.33Single7VGZRamelteon7VGZ-MT1-Ramelteon-Gi1/β1/γ2
33.33Single7VIFFTY720-P7VIF-S1P1-FTY720-P-Gi1/β1/γ2
33.33Single7VKTLTB47VKT-BLT1-LTB4-Gi1/β1/γ2
33.33Single7WC5Psilocin7WC5-5-HT2A-Psilocin
33.33Single7WVYAmyloid-Beta427WVY-FPR2-ALX-Amyloid-β42-Gi2/β1/γ2
33.33Single7X2CFenoldopam7X2C-D1-Fenoldopam-Fenoldopam-Gs/β1/γ2
33.33Single7XOUCholecystokinin-87XOU-CCKA-Cholecystokinin-8-Gs/β1/γ2
33.33Single7YK7DC5910537YK7-RXFP4-DC591053-Gi2/β1/γ2
33.33Single7YOONeuropeptide-Y7YOO-Y2-Neuropeptide-Y-Gi1/β1/γ2
33.33Single8CICEtrumadenant8CIC-A2A-Etrumadenant-Na
33.33Single8CU7LJ-45178CU7-A2A-LJ-4517-Na
33.33Single8DZSGR89,6968DZS-κ-GR89,696-chim(NtGi2-Gz)/β1/γ2
33.33Single8E9X2-Deoxycytidine8E9X-M4-2-Deoxycytidine-chim(NtGi1-Go)/β1/γ2
33.33Single8E9YClozapine-N-oxide8E9Y-M3-Clozapine-N-oxide-chim(NtGi2L-Gs-CtGq)/β1/γ2
33.33Single8FX5Xanomeline8FX5-M4-Xanomeline-Xanomeline-Gi1/β1/γ2
33.33Single8FY85-MeO-DMT8FY8-5-HT1A-5-MeO-DMT-PtdIns4P-Gi1/β1/γ1
33.33Single8GAGZ85267113508GAG-CB1-Z8526711350-Gi1/β1/γ2
33.33Single8IW72-Phenylethylamine8IW7-TAA9-2-Phenylethylamine-chim(NtGi1-Gs)/β1/γ2
33.33Single8IYSTUG-8918IYS-FFA4-TUG-891-GDP-chim(NtGi1L-Gq)/β1/γ2
33.33Single8J21Butyric acid8J21-FFA3-Butyric acid-Gi1/β1/γ2
33.33Single8J24Acetic acid8J24-FFA2-Acetic acid-Gi1/β1/γ2
33.33Single8J6PNiacin8J6P-HCA2-Niacin-PubChem 25101223-Gi1/β1/γ2
33.33Single8J6QBeta-Hydroxybutyrate8J6Q-HCA2-β-Hydroxybutyrate-PubChem 25101223-Gi1/β1/γ2
33.33Single8JD0NAM5638JD0-mGlu2; mGlu3-Glutamate-NAM563
33.33Single8JHNMonomethyl fumarate8JHN-HCA2-Monomethyl fumarate-Go/β1/γ2
33.33Single8JLJT1AM8JLJ-TA1-T1AM-chim(NtGi1-Gs)/β1/γ2
33.33Single8JLZST19368JLZ-5-HT6-ST1936-Gs/β1/γ2
33.33Single8K2XCXCL108K2X-CXCR3-CXCL10-Gi1/β1/γ2
33.33Single8KEXDCA-3P8KEX-MRGPRX4-DCA-3P
33.33Single8POKHistamine8POK-H2-Histamine-Gs/β1/γ2
33.33Single8T1WCVN4248T1W-GPR6-CVN424
33.33Single8T3OTUG-8918T3O-FFA4-TUG-891-chim(NtGi2L-Gs-CtGq)/β1/γ2
33.33Single8W87METH8W87-TA1-METH-chim(NtGi1L-Gs)/β1/γ2
33.33Single8W8ARO52563908W8A-TA1-RO5256390-chim(NtGi1L-Gs)/β1/γ2
33.33Single8WC7ZH86678WC7-TA1-ZH8667-chim(NtGi1-Gs)/β1/γ2
33.33Single8WC9ZH86518WC9-TA1-ZH8651-chim(NtGi1-Gs-CtGq)/β1/γ2
33.33Single8WWLMCH8WWL-MCH1-MCH-Gi1/β1/γ2
33.33Single8X63Mepyramine8X63-H1-Mepyramine
33.33Single8X64Desloratadine8X64-H1-Desloratadine
33.33Single8XGSKisspeptin-18XGS-Kiss1-Kisspeptin-1-chim(NtGi1-Gq)/β1/γ2
33.33Single8Y71A1D6F8Y71-δ-A1D6F-BMS986187-Gi1/β1/γ2
33.33Single8YN9Histamine8YN9-H4-Histamine-Gi1/β1/γ2
33.33Single8YUUHistamine8YUU-H3-Histamine-Gi1/β1/γ1
33.33Single9AS02-bromo-LSD9AS0-5-HT2A-2-bromo-LSD-chim(NtGi1-Gs-CtGq)/β1/γ2
33.33Single9AS1DMT9AS1-5-HT2A-DMT
33.33Single9AVGCa; Ca; Cyclomethyltryptophan; R-568; PO49AVG-CaS; CaS-Ca-Ca; Ca; Cyclomethyltryptophan; R-568; PO4-chim(NtGi1-Gs)/β1/γ2
33.33Single9CGJC6-Quino9CGJ-δ-C6-Quino-Gi1/β1/γ2
33.33Single9DYEBuspirone9DYE-5-HT1A-Buspirone-PtdIns4P-Go/β1/γ2
33.33Single9DYFAsenapine9DYF-5-HT1A-Asenapine-PtdIns4P-Gi1/β1/γ2
33.33Single9IZCMK19039IZC-HCA2-MK1903-Gi1/β1/γ2
33.33Single9JGKBalovaptan9JGK-5-HT2B-Balovaptan
33.33Single9JKT(2R)-2-hydroxy-3-phenylpropanoic acid9JKT-HCA3-(2R)-2-hydroxy-3-phenylpropanoic acid-Gi1/β1/γ2
33.33Single9KWXC5a-des-Arg9KWX-C5a1-C5a-des-Arg-Go/β1/γ2
33.33Single9LLAAriadne9LLA-5-HT2A-Ariadne-chim(NtGi1L-Gs-CtGq)/β1/γ2
33.33Single9LRCHistamine9LRC-H4-Histamine
33.33Single9LREHistamine9LRE-H4-Histamine-Gi1/β1/γ2
33.33Consensus5ht2b_offOrthosteric Ligand6DRZ-5-HT2B-Methysergide
33.33Consensus5ht2c_offOrthosteric Ligand6BQH-5-HT2C-Ritanserin
33.33Consensus5ht6_onOrthosteric Ligand7XTB-5-HT6-Serotonin-Gs/β1/γ2 8JLZ-5-HT6-ST1936-Gs/β1/γ2
33.33Consensus5ht6_on_gpOrthosteric Ligand7XTB-5-HT6-Serotonin-Gs/β1/γ2 8JLZ-5-HT6-ST1936-Gs/β1/γ2
33.33Consensusalpha2_onOrthosteric Ligandalpha2b_on
33.33Consensusalpha2_on_gpOrthosteric Ligandalpha2b_on_gp
33.33Consensusalpha2b_onOrthosteric Ligand6K42-α2b-Dexmedetomidine-Gi1/β1/γ2
33.33Consensusalpha2b_on_gpOrthosteric Ligand6K42-α2b-Dexmedetomidine-Gi1/β1/γ2
33.33Consensusblt1_onOrthosteric Ligand7VKT-BLT1-LTB4-Gi1/β1/γ2
33.33Consensusblt1_on_gpOrthosteric Ligand7VKT-BLT1-LTB4-Gi1/β1/γ2
33.33Consensusblt_onOrthosteric Ligandblt1_on
33.33Consensusblt_on_gpOrthosteric Ligandblt1_on_gp
33.33Consensusc5a1_onOrthosteric Ligand8HK5-C5a1-C5a-Gi1/β1/γ2 7Y66-C5a1-BM213-Gi1/β1/γ2 7Y67-C5a1-C089 peptide-Gi1/β1/γ2 7Y64-C5a1-C5a-Gi1/β1/γ2
33.33Consensuscck_offOrthosteric Ligandccka_off
33.33Consensuscck_onOrthosteric Ligandccka_on cckb_on
33.33Consensuscck_on_gpOrthosteric Ligandccka_on_gp cckb_on_gp
33.33Consensusccka_offOrthosteric Ligand7F8Y-CCKA-Devazepide 7F8U-CCKA-Lintitript
33.33Consensusccr2_offOrthosteric Ligand6GPS-CCR2-MK0812
33.33Consensusccr_onOrthosteric Ligandccr6_on ccr8_on ccr2_on ccr1_on ccr5_on
33.33Consensuscxcr4_on_gpOrthosteric Ligand8K3Z-CXCR4-CXCL12-Gi1/β1/γ1
33.33Consensusffa3_onOrthosteric Ligand8J21-FFA3-Butyric acid-Gi1/β1/γ2
33.33Consensusffa3_on_gpOrthosteric Ligand8J21-FFA3-Butyric acid-Gi1/β1/γ2
33.33Consensusgi_hcaOrthosteric Ligand8J6R-HCA2-MK6892-Gi1/β1/γ2 8JIM-HCA2-Monomethyl fumarate-Gi1/β1/γ2 8IHI-HCA2-Acifran-Gi1/β1/γ2 8IHH-HCA2-LUF6283-Gi1/β1/γ2 8I7V-HCA2-Acipimox-Gi1/β1/γ2 8I7W-HCA2-GSK256073-Gi1/β1/γ2
33.33Consensusgi_leukotrieneOrthosteric Ligand7VKT-BLT1-LTB4-Gi1/β1/γ2
33.33Consensusgs_trace-amineOrthosteric Ligand8W88-TA1-SEP-363856-Gs/β1/γ2 8JLJ-TA1-T1AM-chim(NtGi1-Gs)/β1/γ2 8JLO-TA1-Ulotaront-Gs/β1/γ2 8WC4-TA1-ZH8651-chim(NtGi1-Gs)/β1/γ2 8WC7-TA1-ZH8667-chim(NtGi1-Gs)/β1/γ2 8JLR-TA1-A77636-chim(NtGi1-Gs)/β1/γ2 8JSO-TA1-AMPH-chim(NtGi1-Gs)/β1/γ2 8W87-TA1-METH-chim(NtGi1L-Gs)/β1/γ2 8W89-TA1-2-Phenylethylamine-chim(NtGi1L-Gs)/β1/γ2 8JLP-TA1-Ralmitaront-Gs/β1/γ2 8W8A-TA1-RO5256390-chim(NtGi1L-Gs)/β1/γ2
33.33Consensush2_on_gpOrthosteric Ligand8POK-H2-Histamine-Gs/β1/γ2
33.33Consensush3_onOrthosteric Ligand8YUU-H3-Histamine-Gi1/β1/γ1
33.33Consensush3_on_gpOrthosteric Ligand8YUU-H3-Histamine-Gi1/β1/γ1
33.33Consensushca2_onOrthosteric Ligand8J6R-HCA2-MK6892-Gi1/β1/γ2 8JIM-HCA2-Monomethyl fumarate-Gi1/β1/γ2 8I7V-HCA2-Acipimox-Gi1/β1/γ2 8I7W-HCA2-GSK256073-Gi1/β1/γ2 8IHH-HCA2-LUF6283-Gi1/β1/γ2 8IHI-HCA2-Acifran-Gi1/β1/γ2
33.33Consensushca2_on_gpOrthosteric Ligand8J6R-HCA2-MK6892-Gi1/β1/γ2 8IHI-HCA2-Acifran-Gi1/β1/γ2 8IHH-HCA2-LUF6283-Gi1/β1/γ2 8I7V-HCA2-Acipimox-Gi1/β1/γ2 8JIM-HCA2-Monomethyl fumarate-Gi1/β1/γ2 8I7W-HCA2-GSK256073-Gi1/β1/γ2
33.33Consensushca_on_gpOrthosteric Ligandhca2_on_gp
33.33Consensushistamine_offOrthosteric Ligandh1_off
33.33Consensusleukotriene_onOrthosteric Ligandblt_on
33.33Consensusleukotriene_on_gpOrthosteric Ligandblt_on_gp
33.33Consensuslipid_offOrthosteric Ligandcannabinoid_off paf_off lpl_off prostanoid_off leukotriene_off
33.33Consensusnpy2_onOrthosteric Ligand7YOO-Y2-Neuropeptide-Y-Gi1/β1/γ2
33.33Consensusnpy2_on_gpOrthosteric Ligand7YOO-Y2-Neuropeptide-Y-Gi1/β1/γ2
33.33Consensusnucleotide_offonOrthosteric Ligandnucleotide_off nucleotide_on
33.33Consensusnucleotide_offon_gpOrthosteric Ligandnucleotide_on_gp nucleotide_off
32.26Consensusclass-a_class-b1_cons_on_gpOrthosteric Ligandclass-a_on_gp class-b1_on_gp
32.14Single7VGXNeuropeptide-Y7VGX-Y1-Neuropeptide-Y-Gi1/β1/γ2
32.14Single8IY6Endothelin-18IY6-ETB-Endothelin-1
32.14Consensusendothelin_onOrthosteric Ligandetb_on eta_on
32.14Consensusetb_onOrthosteric Ligand8IY5-ETB-Endothelin-1-Gi1/β1/γ2 8HBD-ETB-IRL1620-Gi1/β1/γ2
32.00Single6METGp160; CD46MET-CCR5-Gp160; CD4
32.00Single7KH0AVP7KH0-V2-AVP-chim(NtGi1-Gs)/β1/γ2
32.00Single7XK8Neuromedin-U-257XK8-NMUR2-Neuromedin-U-25-Gi1/β1/γ2
32.00Single7YONPeptide-YY(3-36)7YON-Y2-Peptide-YY(3-36)-Gi1/β1/γ2
32.00Consensusp2y_on_gpOrthosteric Ligandp2y1_on_gp p2y10_on_gp p2y12_on_gp
32.00Consensusprotein_offonOrthosteric Ligandprotein_off protein_on
32.00Consensusprotein_offon_gpOrthosteric Ligandprotein_on_gp protein_off
31.82Single6OMMWKYMVX6OMM-FPR2-ALX-WKYMVX-Gi1/β1/γ2
31.82Single7F2OBradykinin7F2O-BK2-Bradykinin-chim(NtGi1-Gs-CtGq)/β1/γ2
31.82Single7F8WGastrin-177F8W-CCKB-Gastrin-17-chim(NtGsL-Gq)/β1/γ2
31.82Single7F9ZGHRP-67F9Z-Ghrelin-GHRP-6-chim(NtGi1-Gs-CtGq)/β1/γ2
31.82Single7RKNCX3CL17RKN-US28-CX3CL1-Gi1/β1/γ2
31.82Single7YAEOctreotide7YAE-SST2-Octreotide-Gi1/β1/γ2
31.82Single8H4IDoconexent8H4I-FFA4-Doconexent-chim(NtGi1-Gs)/β1/γ2
31.82Single8XZFWN5618XZF-Apelin; Apelin-WN561-Gi1/β1/γ2
31.82Consensuscxcr_on_gpOrthosteric Ligandcxcr3_on_gp cxcr4_on_gp cxcr1_on_gp cxcr2_on_gp
31.82Consensusformylpeptide_onOrthosteric Ligandfpr2-alx_on fpr1-alx_on
31.82Consensusgq_cckOrthosteric Ligand8IA7-CCKB-Cholecystokinin-8-chim(NtGi1L-Gq)/β1/γ2 7XOW-CCKB-Sulfated Gastrin-(10-17)-chim(NtGi1-Gq)/β1/γ2 7EZM-CCKA-Cholecystokinin-8-chim(NtGsL-Gq)/β1/γ2 7F8W-CCKB-Gastrin-17-chim(NtGsL-Gq)/β1/γ2
31.58Single5IUAQ274563485IUA-A2A-Q27456348-Na
31.58Single6GDGNECA6GDG-A2A-NECA-Gs/β1/γ1
31.58Single6GPXMK08126GPX-CCR2-MK0812
31.58Single6KPCAM120336KPC-CB2-AM12033
31.58Single6LPLZM-2413856LPL-A2A-ZM-241385-Na
31.58Single6LUQHaloperidol6LUQ-D2-Haloperidol
31.58Single6ME72-Phenylmelatonin6ME7-MT2-2-Phenylmelatonin
31.58Single6S0QZM-2413856S0Q-A2A-ZM-241385
31.58Single6WQAZM-2413856WQA-A2A-ZM-241385-Na
31.58Single7BB7AVP7BB7-V2-AVP-Gs/β1/γ2
31.58Single7C4SS1P7C4S-S1P3-S1P
31.58Single7EPFNAM5977EPF-mGlu2-NAM597
31.58Single7EUOfMLF7EUO-FPR1-ALX-fMLF-Gi1/β1/γ2
31.58Single7RM5ZM-2413857RM5-A2A-ZM-241385-Na
31.58Single7SINNPS-21437SIN-CaS; CaS-NPS-2143
31.58Single7SINNPS-21437SIN-CaS; CaS-NPS-2143
31.58Single7TD3S1P7TD3-S1P1-S1P-Gi1/β1/γ2
31.58Single7VUHJNJ-635330547VUH-GPR139-JNJ-63533054-chim(Gs-CtGq)/β1/γ2
31.58Single7W41PD1762527W41-BB2-PD176252
31.58Single8FYNZM-2413858FYN-A2A-ZM-241385-Na
31.58Single8GNEKW-63568GNE-A2A-KW-6356-Na
31.58Single8ZMFPubChem 1719206738ZMF-5-HT2C-PubChem 171920673
31.58Single8ZPTPrRP208ZPT-PrRP-PrRP20-chim(NtGi1-Gs-CtGq)/β1/γ2
31.58Single9ARZ2-bromo-LSD9ARZ-5-HT2A-2-bromo-LSD
31.58Single9AYFCa; Ca; Ca; Cyclomethyltryptophan; R-568; PO49AYF-CaS; CaS-Ca-Ca; Ca; Ca; Cyclomethyltryptophan; R-568; PO4-Gi1/β1/γ2
31.58Single9DYDAsenapine9DYD-5-HT1A-Asenapine-PtdIns4P-Go/β1/γ2
31.58Single9ERXD9-THC analog9ERX-CB1-D9-THC analog-Gi1/β1/γ2
31.58Single9F33FOB02-04A9F33-D3-FOB02-04A-Go/β1/γ2
31.58Single9KPFSalicin9KPF-TAS2R16-Salicin-Gi1/β1/γ2
31.58Consensus5ht2_offOrthosteric Ligand5ht2a_off 5ht2b_off 5ht2c_off
31.58Consensusbb2_offOrthosteric Ligand7W41-BB2-PD176252
31.58Consensusblt1_offOrthosteric Ligand5X33-BLT1-BIIL260 7K15-BLT1-MKD046-Na
31.58Consensusblt_offOrthosteric Ligandblt1_off
31.58Consensusbombesin_offOrthosteric Ligandbb2_off
31.58Consensusrxfp4_onOrthosteric Ligand7YK7-RXFP4-DC591053-Gi2/β1/γ2 7YJ4-RXFP4-INSL5-Gi2/β1/γ2 7YK6-RXFP4-PubChem 138319674-Gi2/β1/γ2
31.58Consensusrxfp4_on_gpOrthosteric Ligand7YK7-RXFP4-DC591053-Gi2/β1/γ2 7YJ4-RXFP4-INSL5-Gi2/β1/γ2 7YK6-RXFP4-PubChem 138319674-Gi2/β1/γ2
31.58Consensuss1p_offOrthosteric Ligands1p1_off s1p5_off
31.25Single6TP4ACT-4622066TP4-OX1-ACT-462206
31.25Single7DD7Ca; Ca; Tryptophan; Evocalcet7DD7-CaS; CaS-Ca-Ca; Ca; Tryptophan; Evocalcet
31.25Single7E2YSerotonin7E2Y-5-HT1A-Serotonin-PtdIns4P-Gi1/β1/γ2
31.25Single7T96LY21196207T96-M2-Acetylcholine-LY2119620-Go/β1/γ2
31.25Single7XP6Strychnine7XP6-TAS2R46-Strychnine-chim(Gs-CtGt3)/β1/γ2
31.25Single7YFCHistamine7YFC-H4-Histamine-chim(NtGi1-Gs-CtGq)/β1/γ2
31.25Single8A2PLUAA470708A2P-A2A-LUAA47070-Na
31.25Single8DPFLorcaserin8DPF-5-HT2C-Lorcaserin-chim(NtGi2L-Gs-CtGq)/β1/γ2
31.25Single8H2GNiacin8H2G-HCA2-Niacin-Gi1/β1/γ2
31.25Single8JLOUlotaront8JLO-TA1-Ulotaront-Gs/β1/γ2
31.25Single8K5BNiacin8K5B-HCA2-Niacin
31.25Single8RWHStilSwitch28RWH-A2A-StilSwitch2-Na
31.25Single8YKWSuccinic acid8YKW-Succinate-Succinic acid-Gi1/β1/γ1
31.25Single8YN5Histamine8YN5-H3-Histamine-Gi1/β1/γ2
31.25Single8YN6Imetit8YN6-H3-Imetit-Gi1/β1/γ2
31.25Single8YN7Immethridine8YN7-H3-Immethridine-Go/β1/γ2
31.25Single8ZSVRO52633978ZSV-TA1-RO5263397-chim(NtGi1-Gs)/β1/γ2
31.25Single9AS2DMT9AS2-5-HT2A-DMT-chim(NtGi1-Gs-CtGq)/β1/γ2
31.25Single9IQTNiacin9IQT-HCA2-Niacin-Gi1/β1/γ2
31.25Single9IZDCHBA9IZD-HCA1-CHBA-Gi1/β1/γ2
31.25Single9JEDHistamine9JED-H4-Histamine-PO4-Gi1/β1/γ2
31.25Single9JEQHistamine9JEQ-H3-Histamine-Gi1/β1/γ2
31.25Single9JLCAVE 09919JLC-MAS1-AVE 0991-Gi1/β1/γ2
31.25Single9L3ZLRH7-C29L3Z-CML1-LRH7-C2
31.25Single9L42Histamine9L42-H4-Histamine-Gi1/β1/γ2
31.03Single8U1UCCL18U1U-CCR8-CCL1-Gi1/β1/γ2
31.03Single8ZJETAK4488ZJE-Kiss1-TAK448-chim(NtGi1-Gq)/β1/γ1
31.03Consensusclass-a_class-b1_cons_onOrthosteric Ligandclass-a_on class-b1_on
31.03Consensusgi_npyOrthosteric Ligand8K6M-Y1-Neuropeptide-Y-Gi2/β1/γ1 7X9C-Y4-Pancreatic Hormone-Gi1/β1/γ2 7YOO-Y2-Neuropeptide-Y-Gi1/β1/γ2
31.03Consensusnpy_onOrthosteric Ligandnpy1_on npy2_on npy4_on
31.03Consensusnpy_on_gpOrthosteric Ligandnpy1_on_gp npy2_on_gp npy4_on_gp
30.77Single5MZPCaffeine5MZP-A2A-Caffeine-Na
30.77Single7F6IKallidin7F6I-BK2-Kallidin-Gq/β1/γ2
30.77Single7X9BNeuropeptide-Y7X9B-Y2-Neuropeptide-Y-Gi1/β1/γ2
30.77Single7X9CPancreatic Hormone7X9C-Y4-Pancreatic Hormone-Gi1/β1/γ2
30.77Single7XV3Lysophosphatidylserine (WJS)7XV3-GPR174-Lysophosphatidylserine (WJS)-chim(NtGi1-Gs)/β1/γ2
30.77Single8E3ZVIP8E3Z-VPAC1-VIP-Gs/β1/γ2
30.77Single8GEJConstrained Epinephrine8GEJ-β2-Constrained Epinephrine-Gs/β1/γ2
30.77Single8HCXEndothelin-18HCX-ETB-Endothelin-1-chim(NtGi2L-Gs-CtGq)/β1/γ2
30.77Single8XVIEndothelin-18XVI-ETA-Endothelin-1-chim(Gs-CtGq)/β1/γ2
30.77Consensusccr_on_gpOrthosteric Ligandccr6_on_gp ccr8_on_gp ccr2_on_gp ccr1_on_gp ccr5_on_gp
30.77Consensuschemokine_offOrthosteric Ligandccr_off cxcr_off
30.77Consensuscml1_on_gpOrthosteric Ligand7YKD-CML1-Chemerin-9-Gi1/β1/γ2
30.77Consensuscxcr_offOrthosteric Ligandcxcr3_off cxcr4_off
30.43Single7F8XNN90567F8X-CCKA-NN9056
30.43Single7T6UCGEN-855A7T6U-FPR2-ALX-CGEN-855A-Gi1/β1/γ2
30.43Single7TD4Siponimod7TD4-S1P1-Siponimod-Gi1/β1/γ2
30.43Single7WICSomatostatin-147WIC-SST2-Somatostatin-14-Gi1/β1/γ2
30.43Single8IZBLysophosphatidylserine (UBL)8IZB-GPR174-Lysophosphatidylserine (UBL)-Gs/β1/γ2
30.43Single8J6RMK68928J6R-HCA2-MK6892-Gi1/β1/γ2
30.43Single8U4OCXCL128U4O-CXCR4-CXCL12-Gi1/β1/γ2
30.43Single8ZJDKisspeptin-18ZJD-Kiss1-Kisspeptin-1-chim(NtGi1-Gq)/β1/γ1
30.43Single9BKJCholecystokinin-89BKJ-CCKA-Cholecystokinin-8-chim(NtGi1-Gs-CtGq)/β1/γ2
30.43Consensuscxcr4_onOrthosteric Ligand8K3Z-CXCR4-CXCL12-Gi1/β1/γ1
30.43Consensusgq_kisspeptinOrthosteric Ligand8ZJD-Kiss1-Kisspeptin-1-chim(NtGi1-Gq)/β1/γ1
30.43Consensuskiss1_on_gpOrthosteric Ligand8ZJD-Kiss1-Kisspeptin-1-chim(NtGi1-Gq)/β1/γ1
30.43Consensuskisspeptin_on_gpOrthosteric Ligandkiss1_on_gp
30.43Consensusp2y_onOrthosteric Ligandp2y1_on p2y10_on p2y12_on
30.43Consensussst5_onOrthosteric Ligand8X8L-SST5-Cortistatin-14-chim(NtGi1-Gs-CtGi1)/β1/γ2 8X8N-SST5-Octreotide-chim(NtGi1-Gs-CtGi1)/β1/γ2
30.00Single4U15Tiotropium4U15-M3-Tiotropium
30.00Single5V54Methiothepin5V54-5-HT1B-Methiothepin
30.00Single5ZKBAF-DX 3845ZKB-M2-AF-DX 384
30.00Single6E59L-7607356E59-NK1-L-760735
30.00Single6N4BMDMB-Fubinaca6N4B-CB1-MDMB-Fubinaca-Gi1/β1/γ2
30.00Single6OL9Tiotropium6OL9-M5-Tiotropium
30.00Single7EW3S1P7EW3-S1P3-S1P-Gi1/β1/γ2
30.00Single7EW4CYM-55417EW4-S1P3-CYM-5541-Gi1/β1/γ2
30.00Single7PX4PSB-21137PX4-A2A-PSB-2113
30.00Single7VIGCBP-3077VIG-S1P1-CBP-307-Gi1/β1/γ2
30.00Single7XAVLanreotide7XAV-SST2-Lanreotide-Gi1/β1/γ2
30.00Single7XOWSulfated Gastrin-(10-17)7XOW-CCKB-Sulfated Gastrin-(10-17)-chim(NtGi1-Gq)/β1/γ2
30.00Single8GUSHU-3088GUS-CB2-HU-308-Gi1/β1/γ2
30.00Single8IYHMK68928IYH-HCA2-MK6892-Go/β1/γ2
30.00Single8JLPRalmitaront8JLP-TA1-Ralmitaront-Gs/β1/γ2
30.00Single8JXWVUF68848JXW-H4-VUF6884-Gi1/β1/γ2
30.00Single8JXXClobenpropit8JXX-H4-Clobenpropit-Gi1/β1/γ2
30.00Single8VVEnorBNI8VVE-κ-norBNI-Gi1/β1/γ2
30.00Single8X16Piclidenoson8X16-A3A-Piclidenoson-Gi1/β1/γ2
30.00Single8XZICMF-0198XZI-Apelin; Apelin-CMF-019-Gi1/β1/γ2
30.00Single8ZR5Firuglipel8ZR5-GPR119-Firuglipel-Gs/β1/γ2
30.00Single9EGOZ85267113509EGO-CB1-Z8526711350-Gi1/β1/γ2
30.00Consensus5ht1_offOrthosteric Ligand5ht1b_off
30.00Consensus5ht1b_offOrthosteric Ligand5V54-5-HT1B-Methiothepin
30.00Consensuscyslt1_offOrthosteric Ligand6RZ5-CysLT1-Zafirlukast-Na 6RZ4-CysLT1-Pranlukast-Na
30.00Consensusgi_relaxinOrthosteric Ligand7YK7-RXFP4-DC591053-Gi2/β1/γ2 7YJ4-RXFP4-INSL5-Gi2/β1/γ2 7YK6-RXFP4-PubChem 138319674-Gi2/β1/γ2
30.00Consensush4_on_gpOrthosteric Ligand8HN8-H4-Histamine-Gi1/β1/γ2 8HOC-H4-Imetit-Gi1/β1/γ2 8JXV-H4-Clozapine-Gi1/β1/γ2 8JXW-H4-VUF6884-Gi1/β1/γ2 8JXX-H4-Clobenpropit-Gi1/β1/γ2
30.00Consensusm3_offOrthosteric Ligand4U15-M3-Tiotropium 4U16-M3-N-methyl-Scopolamine 5ZHP-M3-PubChem 134828589
30.00Consensusm5_offOrthosteric Ligand6OL9-M5-Tiotropium
30.00Consensusmotilin_onOrthosteric Ligand8IBU-Motilin-Erythromycin-A-chim(NtGi1-Gs-CtGq)/β1/γ2
30.00Consensusmuscarinic_offOrthosteric Ligandm2_off m3_off m4_off m5_off m1_off
30.00Consensusnpy_offOrthosteric Ligandnpy1_off npy2_off
30.00Consensusprotein_offOrthosteric Ligandchemokine_off grh_off
30.00Consensusrelaxin_onOrthosteric Ligandrxfp4_on
30.00Consensusrelaxin_on_gpOrthosteric Ligandrxfp4_on_gp
30.00Consensustachykinin_offOrthosteric Ligandnk1_off
29.63Single7RGPTirzepatide7RGP-GLP-1-Tirzepatide-chim(NtGi1-Gs)/β1/γ2
29.63Single8XQFApelin-138XQF-Apelin-Apelin-13-Gi1/β1/γ2
29.63Single9KFKRelaxin-39KFK-RXFP4-Relaxin-3-Gi2/β1/γ2
29.63Consensusccr5_onOrthosteric Ligand7O7F-CCR5-6P4-CCL5-Gi1/β1/γ1 7F1Q-CCR5-CCL3-Gi1/β1/γ2
29.63Consensusnpy4_onOrthosteric Ligand7X9C-Y4-Pancreatic Hormone-Gi1/β1/γ2
29.63Consensusnpy4_on_gpOrthosteric Ligand7X9C-Y4-Pancreatic Hormone-Gi1/β1/γ2
29.41Single3ODUIT1t3ODU-CXCR4-IT1t
29.41Single3VG9ZM-2413853VG9-A2A-ZM-241385-Antibody
29.41Single5K2DZM-2413855K2D-A2A-ZM-241385-Na
29.41Single5OLOTozadenant5OLO-A2A-Tozadenant-Na
29.41Single6D9HAdenosine6D9H-A1-Adenosine-Gi2/β1/γ2
29.41Single6JZHZM-2413856JZH-A2A-ZM-241385-Na
29.41Single6KUYPubChem 1457046436KUY-α2a-PubChem 145704643
29.41Single6ME2Ramelteon6ME2-MT1-Ramelteon
29.41Single6NWEOctyl-Beta-D-Glucopyranoside6NWE-Rhodopsin-Octyl-β-D-Glucopyranoside-Gt(CT)
29.41Single6PS7ZM-2413856PS7-A2A-ZM-241385-Na
29.41Single6TQ6PubChem 1457142836TQ6-OX1-PubChem 145714283
29.41Single7BR3Elagolix7BR3-GnRH1-Elagolix
29.41Single7F8ULintitript7F8U-CCKA-Lintitript
29.41Single7F8YDevazepide7F8Y-CCKA-Devazepide
29.41Single7LJDDopamine7LJD-D1-Dopamine-Mevidalen-Gs/β1/γ1
29.41Single7M3ECa; Ca; Tryptophan; NPS-21437M3E-CaS; CaS-Ca; Ca; Tryptophan; NPS-2143
29.41Single7M3ECa; Ca; Tryptophan; NPS-21437M3E-CaS; CaS-Ca; Ca; Tryptophan; NPS-2143
29.41Single7M3FCa; Ca; Tryptophan; Cinacalcet7M3F-CaS; CaS-Ca; Ca; Tryptophan; Cinacalcet
29.41Single7T6STC-FPR 437T6S-FPR2-ALX-TC-FPR 43-Gi1/β1/γ2
29.41Single7T8XAcetylcholine7T8X-M2-Acetylcholine-chim(NtGi1-Go)/β1/γ2
29.41Single7T90Acetylcholine7T90-M2-Acetylcholine-chim(NtGi1-Go)/β1/γ2
29.41Single7T96Acetylcholine7T96-M2-Acetylcholine-LY2119620-Go/β1/γ2
29.41Single7TUZ7-alpha,25-dihydroxycholesterol7TUZ-GPR183-7-α,25-dihydroxycholesterol-Gi1/β1/γ2
29.41Single7VUJJNJ-635330547VUJ-GPR139-JNJ-63533054-GDP-chim(Gs-CtGq)/β1/γ2
29.41Single7WF7S1P7WF7-S1P1-S1P-Gi1/β1/γ2
29.41Single7YM8Oxymetazoline7YM8-Alpha1A-Oxymetazoline-chim(Gs-CtGq)
29.41Single8DU3PubChem 1055260648DU3-A2A-PubChem 105526064
29.41Single8H8JLodoxamide8H8J-GPR35-Lodoxamide-Ca-chim(NtGi1L-G13)/β1/γ2
29.41Single8HDPAdenosine8HDP-A2B-Adenosine-Gs/β1/γ2
29.41Single8HOCImetit8HOC-H4-Imetit-Gi1/β1/γ2
29.41Single8J20Valeric acid8J20-FFA3-Valeric acid-AR420626-Gi1/β1/γ2
29.41Single8J6LNiacin8J6L-HCA2-Niacin-Gi1/β1/γ2
29.41Single8JPPSuccinic acid8JPP-Succinate-Succinic acid-chim(Gs-CtGq)/β1/γ1
29.41Single8RVWStilSwitch38RVW-A2A-StilSwitch3-Na
29.41Single8RW4AzoSwitch28RW4-A2A-AzoSwitch2-Na
29.41Single8RWEStilSwitch48RWE-A2A-StilSwitch4-Na
29.41Single8T3SButyric acid8T3S-FFA2-Butyric acid-chim(NtGi2L-Gs-CtGq)/β1/γ2
29.41Single8UTDMK19038UTD-HCA2-MK1903-Gi1/β1/γ2
29.41Single8WC3SEP-3638568WC3-TA1-SEP-363856-chim(NtGi1-Gs)/β1/γ2
29.41Single8WPGTryptophan; Cinacalcet; PO4; Ca8WPG-CaS; CaS-Tryptophan; Cinacalcet; PO4; Ca
29.41Single8XXVIndomethacin8XXV-DP2-Indomethacin-A1D5Q-Gi1/β1/γ2
29.41Single8YNAImmepip8YNA-H4-Immepip-Gi1/β1/γ2
29.41Single8YUVImmepip8YUV-H3-Immepip-Gi1/β1/γ2
29.41Single9C1PCa; Tryptophan; '6218; PO49C1P-CaS; CaS-Ca-Ca; Tryptophan; '6218; PO4
29.41Single9C2FCa; Ca; Tryptophan; '54149; PO49C2F-CaS; CaS-Ca-Ca; Ca; Tryptophan; '54149; PO4
29.41Single9FUPIstradefylline9FUP-A2A-Istradefylline-Na
29.41Single9H2XPubChem 1756706449H2X-A2A-PubChem 175670644-Na
29.41Single9JKXAcifran9JKX-HCA3-Acifran-Gi1/β1/γ2
29.41Single9K6LSalicin9K6L-TAS2R16-Salicin-Gi2/β1/γ2
29.41Single9KVHCinobufotenine9KVH-5-HT1A-Cinobufotenine-PtdIns4P-Gi1/β1/γ2
29.41Single9LRBHistamine9LRB-H1-Histamine-Gs/β1/γ2
29.41Single9M88Oleic monoethanolamide9M88-GPR3 ; GPR3-Oleic monoethanolamide-AF64394
29.41Consensusangiotensin_offOrthosteric Ligandat1_off
29.41Consensusgnrh1_offOrthosteric Ligand7BR3-GnRH1-Elagolix
29.41Consensusgq_histamineOrthosteric Ligand7DFL-H1-Histamine-chim(NtGi1L-Gq)/β1/γ2
29.41Consensush1_on_gpOrthosteric Ligand7DFL-H1-Histamine-chim(NtGi1L-Gq)/β1/γ2
29.41Consensushistamine_onOrthosteric Ligandh1_on h2_on h3_on h4_on
29.41Consensushistamine_on_gpOrthosteric Ligandh1_on_gp h2_on_gp h3_on_gp h4_on_gp
29.41Consensusm2_onOrthosteric Ligand7T8X-M2-Acetylcholine-chim(NtGi1-Go)/β1/γ2
29.41Consensusm2_on_gpOrthosteric Ligand7T8X-M2-Acetylcholine-chim(NtGi1-Go)/β1/γ2
29.41Consensussensory_offonOrthosteric Ligandsensory_off sensory_on
29.41Consensussensory_offon_gpOrthosteric Ligandsensory_on_gp sensory_on
29.17Single6HLOAprepitant6HLO-NK1-Aprepitant
29.17Single7SK5CXCL127SK5-ACKR3-CXCL12
29.17Single7W0NElabela7W0N-Apelin; Apelin-Elabela-Gi1/β1/γ2
29.17Single7WJ5Somatostatin-147WJ5-SST2-Somatostatin-14-Gi1/β1/γ2
29.17Single8JZZC5a-des-Arg8JZZ-C5a1-C5a-des-Arg-Go/β1/γ2
29.17Single8KH5Lysophosphatidylserine8KH5-GPR174-Lysophosphatidylserine-Gs/β1/γ2
29.17Single8WSSMCH8WSS-MCH1-MCH-Gi1/β1/γ1
29.17Single9IQRMuscarinic toxin 39IQR-α2a-Muscarinic toxin 3
29.17Single9IQVMuscarinic toxin 39IQV-Alpha1A-Muscarinic toxin 3
29.17Single9J0FNADH9J0F-P2Y14-NADH-Gi1/β1/γ2
29.17Single9JFK(Pen5)-Urotensin II9JFK-UT-(Pen5)-Urotensin II-chim(NtGi2L-Gs-CtGq)/β1/γ2
29.17Single9KFIRelaxin-39KFI-RXFP3-Relaxin-3-Gi2/β1/γ2
29.17Consensuscckb_onOrthosteric Ligand8IA7-CCKB-Cholecystokinin-8-chim(NtGi1L-Gq)/β1/γ2 7XOW-CCKB-Sulfated Gastrin-(10-17)-chim(NtGi1-Gq)/β1/γ2 7F8V-CCKB-Gastrin-17-Gi2/β1/γ2
29.17Consensusccr8_on_gpOrthosteric Ligand8KFX-CCR8-LMD-009-Gi1/β1/γ2 8KFY-CCR8-ZK-756326-Gi1/β1/γ2 8U1U-CCR8-CCL1-Gi1/β1/γ2
28.95Single8GY7Corticotropin8GY7-MC2-Corticotropin-Ca-chim(NtGi1-Gs)/β1/γ2; MRAP1
28.57Single4OR2FITM4OR2-mGlu1; mGlu1-FITM
28.57Single5CXVTiotropium5CXV-M1-Tiotropium
28.57Single5MZJTheophylline5MZJ-A2A-Theophylline-Na
28.57Single6OS2TRV0266OS2-AT1-TRV026
28.57Single7EIBKallidin-des-Arg107EIB-BK1-Kallidin-des-Arg10-chim(NtGi1-Gs-CtGq)/β1/γ2
28.57Single7EPENAM5637EPE-mGlu2-NAM563
28.57Single7L1UOrexin7L1U-OX2-Orexin-chim(NtGi1-Gs-CtGq)/β1/γ2
28.57Single7W0NElabela7W0N-Apelin; Apelin-Elabela-Gi1/β1/γ2
28.57Single7XZ5Lysophosphatidylcholine7XZ5-GPR119-Lysophosphatidylcholine-Gs/β1/γ2
28.57Single7Y66BM2137Y66-C5a1-BM213-Gi1/β1/γ2
28.57Single8E9W2-Deoxycytidine8E9W-M3-2-Deoxycytidine-chim(NtGi2L-Gs-CtGq)/β1/γ2
28.57Single8H0QGastrin Releasing Peptide8H0Q-BB2-Gastrin Releasing Peptide-chim(NtGi1-Gs-CtGq)/β1/γ2
28.57Single8IBUErythromycin-A8IBU-Motilin-Erythromycin-A-chim(NtGi1-Gs-CtGq)/β1/γ2
28.57Single8JD3JNJ-404118138JD3-mGlu2; mGlu3-Glutamate-JNJ-40411813-Gi1/β1/γ2
28.57Single8PWNTheophylline8PWN-A2A-Theophylline
28.57Single8W8XBeta-MSH8W8X-MC3-β-MSH-Ca-Gs/β1/γ2
28.57Single8X8NOctreotide8X8N-SST5-Octreotide-chim(NtGi1-Gs-CtGi1)/β1/γ2
28.57Single9BJKPubChem 1716420669BJK-μ-Naloxone-PubChem 171642066
28.57Single9JIDNiacin9JID-HCA3-Niacin-Gi1/β1/γ2
28.57Single9VIFNeuropeptide-VF9VIF-NPFF1-Neuropeptide-VF-Gi1/β1/γ2
28.57Single9W32SSTR5 antagonist 19W32-SST5-SSTR5 antagonist 1
28.57Single9YDUUDP-Glucose9YDU-P2Y14-UDP-Glucose-Gi1/β1/γ2
28.57Consensuscxcr_onOrthosteric Ligandcxcr3_on cxcr4_on cxcr1_on cxcr2_on
28.57Consensusgi_muscarinicOrthosteric Ligand8E9X-M4-2-Deoxycytidine-chim(NtGi1-Go)/β1/γ2 7T8X-M2-Acetylcholine-chim(NtGi1-Go)/β1/γ2 7TRS-M4-Acetylcholine-Gi1/β1/γ2 7TRK-M4-Iperoxo-Gi1/β1/γ2 7V6A-M4-PubChem 9864275-Gi1/β1/γ2
28.57Consensusm1_offOrthosteric Ligand5CXV-M1-Tiotropium
28.57Consensusm4_onOrthosteric Ligand7TRS-M4-Acetylcholine-Gi1/β1/γ2 7V6A-M4-PubChem 9864275-Gi1/β1/γ2 8E9X-M4-2-Deoxycytidine-chim(NtGi1-Go)/β1/γ2 7TRK-M4-Iperoxo-Gi1/β1/γ2
28.57Consensusm4_on_gpOrthosteric Ligand7TRS-M4-Acetylcholine-Gi1/β1/γ2 7V6A-M4-PubChem 9864275-Gi1/β1/γ2 8E9X-M4-2-Deoxycytidine-chim(NtGi1-Go)/β1/γ2 7TRK-M4-Iperoxo-Gi1/β1/γ2
28.57Consensusmotilin_on_gpOrthosteric Ligand8IBU-Motilin-Erythromycin-A-chim(NtGi1-Gs-CtGq)/β1/γ2
28.12Single7X9ANeuropeptide-Y7X9A-Y1-Neuropeptide-Y-Gi1/β1/γ2
28.00Single3OE0CVX153OE0-CXCR4-CVX15
28.00Single6LW5WKYMVm6LW5-FPR2-ALX-WKYMVm
28.00Single7RYCOxytocin7RYC-OT-Oxytocin-chim(NtGi2L-Gs-CtGq)/β1/γ2
28.00Single7XA3CCL27XA3-CCR2-CCL2-Gi1/β1/γ2
28.00Single8K6NNeuropeptide-Y8K6N-Y2-Neuropeptide-Y-Gi2/β1/γ1
28.00Single8W8YGamma-MSH8W8Y-MC3-γ-MSH-Ca-Gs/β1/γ2
28.00Single8XZHMM078XZH-Apelin; Apelin-MM07-Gi1/β1/γ2
28.00Single9M1ONeuropeptide-FF9M1O-NPFF2-Neuropeptide-FF-Gi1/β1/γ2
28.00Consensuscckb_on_gpOrthosteric Ligand8IA7-CCKB-Cholecystokinin-8-chim(NtGi1L-Gq)/β1/γ2 7XOW-CCKB-Sulfated Gastrin-(10-17)-chim(NtGi1-Gq)/β1/γ2 7F8V-CCKB-Gastrin-17-Gi2/β1/γ2
28.00Consensusccr2_onOrthosteric Ligand7XA3-CCR2-CCL2-Gi1/β1/γ2
28.00Consensusccr2_on_gpOrthosteric Ligand7XA3-CCR2-CCL2-Gi1/β1/γ2
27.78Single3RZECidoxepin3RZE-H1-Cidoxepin
27.78Single4MQTIperoxo4MQT-M2-Iperoxo-LY2119620
27.78Single4ZUDOlmesartan4ZUD-AT1-Olmesartan
27.78Single5IU7Q274563465IU7-A2A-Q27456346-Na
27.78Single5JTBZM-2413855JTB-A2A-ZM-241385
27.78Single5K2BZM-2413855K2B-A2A-ZM-241385-Na
27.78Single5NLXZM-2413855NLX-A2A-ZM-241385-Na
27.78Single5TE3Octyl-Beta-D-Glucopyranoside5TE3-Rhodopsin-Octyl-β-D-Glucopyranoside
27.78Single6ME42-Iodomelatonin6ME4-MT1-2-Iodomelatonin
27.78Single6MH8ZM-2413856MH8-A2A-ZM-241385
27.78Single6TPKRetosiban6TPK-OT-Retosiban
27.78Single6U1NLY21196206U1N-M2-LY2119620-Arrestin2
27.78Single6WH4Methiothepin6WH4-5-HT2A-Methiothepin
27.78Single6WJCAtropine6WJC-M1-Atropine-Muscarinic toxin 7
27.78Single6WJCMuscarinic toxin 76WJC-M1-Atropine-Muscarinic toxin 7
27.78Single6ZDRHMS1413f126ZDR-A2A-HMS1413f12-Na
27.78Single7BB6AVP7BB6-V2-AVP-Gs/β1/γ2
27.78Single7T94Acetylcholine7T94-M2-Acetylcholine-LY2119620-chim(NtGi1-Go)/β1/γ2
27.78Single7T94LY21196207T94-M2-Acetylcholine-LY2119620-chim(NtGi1-Go)/β1/γ2
27.78Single7TRSAcetylcholine7TRS-M4-Acetylcholine-Gi1/β1/γ2
27.78Single7VUGJNJ-635330547VUG-GPR139-JNJ-63533054-Gi1/β1/γ2
27.78Single7WVUfMLF7WVU-FPR1-ALX-fMLF-Gi1/β1/γ2
27.78Single7XOVSR1461317XOV-CCKA-SR146131-Gs/β1/γ2
27.78Single8DPGPsilocin8DPG-5-HT2C-Psilocin-chim(NtGi2L-Gs-CtGq)/β1/γ2
27.78Single8HNMVUF112228HNM-CXCR3-VUF11222-Gi1/β1/γ2
27.78Single8JLKUlotaront8JLK-TA1-Ulotaront-chim(NtGi1-Gs)/β1/γ2
27.78Single8K2WAMG4878K2W-CXCR3-AMG487
27.78Single8K4SDCA-3P8K4S-MRGPRX4-DCA-3P-chim(NtGi1L-Gs-CtGq)/β1/γ2
27.78Single8PM2DMCHA8PM2-TA7-DMCHA-Gs/β1/γ2
27.78Single8RQQZM-2413858RQQ-A2A-ZM-241385-Na
27.78Single8UHBRO52563908UHB-TA1-RO5256390-Gs/β1/γ2
27.78Single8W8BSEP-3638568W8B-5-HT1A-SEP-363856-Gi1/β1/γ2
27.78Single8WPGTryptophan; Cinacalcet; PO4; Ca8WPG-CaS; CaS-Tryptophan; Cinacalcet; PO4; Ca
27.78Single8WPUTryptophan; Cinacalcet; PO4; Ca8WPU-CaS; CaS-Tryptophan; Cinacalcet; PO4; Ca-chim(NtGi2L-Gs-CtGq)/β1/γ2
27.78Single8Y53MK50468Y53-BB3-MK5046-chim(NtGi1-Gs-CtGq)/β1/γ2
27.78Single8Y62C16:0 Ceramide8Y62-FPR2-ALX-C16:0 Ceramide-Gi1/β1/γ2
27.78Single8ZMGPimavanserin8ZMG-5-HT2A-Pimavanserin
27.78Single9AS8Psilocin9AS8-5-HT2A-Psilocin-chim(NtGi2L-Gs-CtGq)/β1/γ2
27.78Single9ASBCa; Ca; Cyclomethyltryptophan; R-568; PO49ASB-CaS; CaS-Ca-Ca; Ca; Cyclomethyltryptophan; R-568; PO4-chim(NtGi1-Gs-CtGq)/β1/γ2
27.78Single9AVGCa; Ca; Cyclomethyltryptophan; R-568; PO49AVG-CaS; CaS-Ca-Ca; Ca; Cyclomethyltryptophan; R-568; PO4-chim(NtGi1-Gs)/β1/γ2
27.78Single9AXFCa; Ca; Ca; Cyclomethyltryptophan; R-568; PO49AXF-CaS; CaS-Ca-Ca; Ca; Ca; Cyclomethyltryptophan; R-568; PO4-chim(NtGi1-Gs-CtGq)/β1/γ2
27.78Single9K1DButyric acid9K1D-FFA2-Butyric acid-Gi1/β1/γ2
27.78Single9KVIBufotenin9KVI-5-HT1A-Bufotenin-PtdIns4P-Gi1/β1/γ2
27.78Single9KXSEP679KXS-C5a1-EP67-Go/β1/γ2
27.78Single9LRDHistamine9LRD-H1-Histamine-Gi1/β1/γ2
27.78Single9M2FNeuropeptide-FF9M2F-NPFF1-Neuropeptide-FF-Gi1/β1/γ2
27.78Single9P1TZM-2413859P1T-A2A-ZM-241385
27.78Single9U80Conivaptan9U80-V2-Conivaptan
27.78Consensus5ht2a_offOrthosteric Ligand6A94-5-HT2A-Zotepine 6A93-5-HT2A-Risperidone 7VOD-5-HT2A-Cariprazine 7WC8-5-HT2A-Lumateperone 8JT8-5-HT2A-(R)-IHCH-7179
27.78Consensusa2_offOrthosteric Liganda2a_off
27.78Consensusa2a_offOrthosteric Ligand3RFM-A2A-Caffeine 8C9W-A2A-Etrumadenant 3UZA-A2A-GTPL9236 8GNG-A2A-Istradefylline 8CU6-A2A-LJ-4517 7PX4-A2A-PSB-2113 7PYR-A2A-PSB-2115 8DU3-A2A-PubChem 105526064 8JWY-A2A-2-118 8PWN-A2A-Theophylline 5IU4-A2A-ZM-241385-Na 5OLZ-A2A-PubChem 135566609-Na 6GT3-A2A-Imaradenant-Na 5OLV-A2A-LUAA47070-Na 5N2R-A2A-PSB36-Na 5IU7-A2A-Q27456346-Na 5OLH-A2A-Vipadenant-Na 5OLO-A2A-Tozadenant-Na 6ZDR-A2A-HMS1413f12-Na 8GNE-A2A-KW-6356-Na 8JWZ-A2A-Etrumadenant-Na 5IU8-A2A-Q27456347-Na 5IUB-A2A-Q27456344-Na 6ZDV-A2A-PubChem 984073-Na 5IUA-A2A-Q27456348-Na 8A2P-A2A-LUAA47070-Na
27.78Consensuscxcr3_offOrthosteric Ligand8K2W-CXCR3-AMG487
27.78Consensusgrh_offOrthosteric Ligandgnrh1_off
27.78Consensusnucleotide_offOrthosteric Ligandadenosine_off p2y_off
27.78Consensusot_offOrthosteric Ligand6TPK-OT-Retosiban
27.78Consensusvasop-oxy_offOrthosteric Ligandot_off
27.59Single8IY5Endothelin-18IY5-ETB-Endothelin-1-Gi1/β1/γ2
27.59Single8KGGLysophosphatidylserine (WJS)8KGG-P2Y10-Lysophosphatidylserine (WJS)-chim(NtGi2-G13)/β1/γ2
27.59Single8Y52BA18Y52-BB3-BA1-chim(NtGi1-Gs-CtGq)/β1/γ2
27.27Single4OR2FITM4OR2-mGlu1; mGlu1-FITM
27.27Single7EZHCholecystokinin-87EZH-CCKA-Cholecystokinin-8-Gi1/β1/γ2
27.27Single7EZMCholecystokinin-87EZM-CCKA-Cholecystokinin-8-chim(NtGsL-Gq)/β1/γ2
27.27Single7LLLExendin-47LLL-GLP-1-Exendin-4-Gs/β1/γ2
27.27Single7PIUSetmelanotide7PIU-MC4-Setmelanotide-Gs/β1/γ2
27.27Single7QVMOxytocin7QVM-OT-Oxytocin-chim(NtGi1-Go-CtGq)/β1/γ2
27.27Single7X8RBOC57X8R-GLP-1-BOC5-Gs/β1/γ2
27.27Single7Y27Somatostatin-147Y27-SST2-Somatostatin-14-chim(NtGi2L-Gs-CtGq)/β1/γ2
27.27Single8ID8TUG-8918ID8-FFA4-TUG-891-Gi1/β1/γ2
27.27Single8J19LY2378J19-GPR84-LY237-Gi1/β1/γ2
27.27Single8XVJMacitentan8XVJ-ETA-Macitentan
27.27Single8ZPLHF511168ZPL-CXCR4-HF51116
27.27Single9GE3Lysophosphatidylinositol9GE3-GPR55-Lysophosphatidylinositol-chim(NtGi1-G13)/β1/γ2
27.27Single9J0BUDP-Glucose9J0B-P2Y14-UDP-Glucose-Gi1/β1/γ2
27.27Single9VI9RFRP-39VI9-NPFF1-RFRP-3-Gi1/β1/γ2
27.27Consensusccka_onOrthosteric Ligand7EZH-CCKA-Cholecystokinin-8-Gi1/β1/γ2
27.27Consensusccka_on_gpOrthosteric Ligand7EZH-CCKA-Cholecystokinin-8-Gi1/β1/γ2
27.27Consensuschemerin_onOrthosteric Ligandcml1_on
27.27Consensuspth_onOrthosteric Ligandpth1_on pth2_on
26.92Single6WI9Secretin6WI9-Secretin-Secretin-Gs/β1/γ2
26.92Single7FIMTirzepatide7FIM-GLP-1-Tirzepatide-Gs/β1/γ2
26.92Single7V9MSomatoliberin7V9M-GHRH (SV1)-Somatoliberin-Gs/β1/γ2
26.92Single8IEDPubChem 1347468948IED-GPR156; GPR156-PubChem 134746894-Go/β1/γ2
26.92Single8WSTMCH8WST-MCH2-MCH-chim(NtGi1L-Gs-CtGq)/β1/γ2
26.92Consensusapelin_onOrthosteric Ligand8XZH-Apelin; Apelin-MM07-Gi1/β1/γ2 7W0M-Apelin-PubChem 122701908-Gi1/β1/γ2 8XZJ-Apelin; Apelin-WN353-Gi1/β1/γ2 8XZF-Apelin; Apelin-WN561-Gi1/β1/γ2 8XZG-Apelin; Apelin-Apelin-13-Gi1/β1/γ2
26.92Consensusapelin_on_gpOrthosteric Ligand8XZH-Apelin; Apelin-MM07-Gi1/β1/γ2 7W0M-Apelin-PubChem 122701908-Gi1/β1/γ2 8XZJ-Apelin; Apelin-WN353-Gi1/β1/γ2 8XZF-Apelin; Apelin-WN561-Gi1/β1/γ2 8XZG-Apelin; Apelin-Apelin-13-Gi1/β1/γ2
26.67Single7DD5Ca; Ca; Tryptophan; NPS-21437DD5-CaS; CaS-Ca-Ca; Ca; Tryptophan; NPS-2143
26.67Single7MTBAll-trans-Retinal7MTB-Rhodopsin-All-trans-Retinal-GRK1
26.67Single8WC5Tetramethylammonium Ion8WC5-TA1-Tetramethylammonium Ion-chim(NtGi1-Gs)/β1/γ2
26.67Single9C2FCa; Ca; Tryptophan; '54149; PO49C2F-CaS; CaS-Ca-Ca; Ca; Tryptophan; '54149; PO4
26.67Single9M42A1L8O9M42-GPR139-A1L8O-chim(Gs-CtGq)/β1/γ2
26.67Consensusopsins_onOrthosteric Ligandrhodopsin_on opsin1lw_on
26.67Consensussensory_onOrthosteric Ligandopsins_on
26.32Single3EMLZM-2413853EML-A2A-ZM-241385
26.32Single4DAJTiotropium4DAJ-M3-Tiotropium
26.32Single4MQSIperoxo4MQS-M2-Iperoxo
26.32Single4U14Tiotropium4U14-M3-Tiotropium
26.32Single4U16N-methyl-Scopolamine4U16-M3-N-methyl-Scopolamine
26.32Single5K2AZM-2413855K2A-A2A-ZM-241385-Na
26.32Single5VRAZM-2413855VRA-A2A-ZM-241385-Na
26.32Single5YC8N-methyl-Scopolamine5YC8-M2-N-methyl-Scopolamine
26.32Single5ZK8N-methyl-Scopolamine5ZK8-M2-N-methyl-Scopolamine
26.32Single5ZKCN-methyl-Scopolamine5ZKC-M2-N-methyl-Scopolamine
26.32Single6KPFAM120336KPF-CB2-AM12033-Gi1/β1/γ2
26.32Single6S0LZM-2413856S0L-A2A-ZM-241385
26.32Single6XBM25(S)-Epoxycholesterol6XBM-SMO-25(S)-Epoxycholesterol-Gi1/β1/γ2
26.32Single7CFMP3957CFM-GPBA-P395-Gs/β1/γ2
26.32Single7F83PF-051904577F83-Ghrelin-PF-05190457
26.32Single7LCKDanuglipron7LCK-GLP-1-Danuglipron
26.32Single7M3JNPS-2143; PO47M3J-CaS; CaS-NPS-2143; PO4
26.32Single7PP1Selatogrel7PP1-P2Y12-Selatogrel
26.32Single7TRPIperoxo7TRP-M4-Iperoxo-LY2033298-Gi1/β1/γ2
26.32Single7TRQVU04671547TRQ-M4-Iperoxo-VU0467154-Gi1/β1/γ2
26.32Single7VH0Ramelteon7VH0-MT2-Ramelteon-Gi1/β1/γ1
26.32Single7WC8Lumateperone7WC8-5-HT2A-Lumateperone
26.32Single7YXAONO-54306087YXA-S1P5-ONO-5430608
26.32Single8JT8(R)-IHCH-71798JT8-5-HT2A-(R)-IHCH-7179
26.32Single8UWLLisuride8UWL-5-HT2A-Lisuride-chim(NtGi2-Gs-CtGq)/β1/γ2
26.32Single8YN8Proxyfan8YN8-H3-Proxyfan-Go/β1/γ2
26.32Single8ZBEOctreotide8ZBE-SST5-Octreotide-Gi1/β1/γ1
26.32Single9EPP11,20-Ethanoretinal9EPP-Rhodopsin-11,20-Ethanoretinal-chim(Gi1-CtGq)/β1/γ2
26.32Single9IYAONO-97105319IYA-GPR55-ONO-9710531
26.32Single9JEAAtropine9JEA-M1-Atropine
26.32Single9KFTfMLFC9KFT-FPR1-ALX-fMLFC-Gi1/β1/γ2
26.32Single9P1SZM-2413859P1S-A2A-ZM-241385
26.32Single9UAZAtropine9UAZ-M1-Atropine
26.32Consensusgi_histamineOrthosteric Ligand8JXX-H4-Clobenpropit-Gi1/β1/γ2 8JXV-H4-Clozapine-Gi1/β1/γ2 8YUU-H3-Histamine-Gi1/β1/γ1 8HN8-H4-Histamine-Gi1/β1/γ2 8HOC-H4-Imetit-Gi1/β1/γ2 8JXW-H4-VUF6884-Gi1/β1/γ2
26.32Consensusgq_amineOrthosteric Ligandgq_muscarinic gq_histamine
26.32Consensusmuscarinic_onOrthosteric Ligandm2_on m3_on m4_on m1_on
26.32Consensusmuscarinic_on_gpOrthosteric Ligandm2_on_gp m3_on_gp m4_on_gp m1_on_gp
26.09Single6XBJCholesterol6XBJ-SMO-Cholesterol-Gi1/β1/γ2
26.09Single7XBXCX3CL17XBX-CX3CR1-CX3CL1-Gi1/β1/γ2
26.09Single8JBFSenktide8JBF-NK3-Senktide-chim(NtGi1-Gs-CtGq)/β1/γ2
26.09Single9EAJNanobody AT2099EAJ-AT1-Nanobody AT209
26.09Single9KX6C5a-des-Arg9KX6-C5a1-C5a-des-Arg-Go/β1/γ2
26.09Consensuscxcr4_offOrthosteric Ligand4RWS-CXCR4-vMIP-II 3OE0-CXCR4-CVX15 3OE6-CXCR4-IT1t
26.09Consensuskiss1_onOrthosteric Ligand8ZJD-Kiss1-Kisspeptin-1-chim(NtGi1-Gq)/β1/γ1
26.09Consensuskisspeptin_onOrthosteric Ligandkiss1_on
25.93Single7F9YGhrelin7F9Y-Ghrelin-Ghrelin-chim(NtGi1-Gs-CtGq)/β1/γ2
25.93Single7WBJPACAP277WBJ-VPAC1-PACAP27-Gs/β1/γ2
25.93Single8E3YPACAP278E3Y-VPAC1-PACAP27-Gs/β1/γ2
25.93Single8HCQEndothelin-18HCQ-ETA-Endothelin-1-chim(NtGi1-Gs-CtGq)/β1/γ2
25.93Single8HNKCXCL118HNK-CXCR3-CXCL11-Gi1/β1/γ2
25.93Single8WWMMCH8WWM-MCH1-MCH-Gi1/β1/γ2
25.93Consensuseta_onOrthosteric Ligand8HCQ-ETA-Endothelin-1-chim(NtGi1-Gs-CtGq)/β1/γ2
25.93Consensuseta_on_gpOrthosteric Ligand8HCQ-ETA-Endothelin-1-chim(NtGi1-Gs-CtGq)/β1/γ2
25.93Consensusgi_apelinOrthosteric Ligand8XZH-Apelin; Apelin-MM07-Gi1/β1/γ2 7W0M-Apelin-PubChem 122701908-Gi1/β1/γ2 8XZJ-Apelin; Apelin-WN353-Gi1/β1/γ2 8XZF-Apelin; Apelin-WN561-Gi1/β1/γ2 8XZG-Apelin; Apelin-Apelin-13-Gi1/β1/γ2
25.81Single6LPBPACAP276LPB-PAC1-PACAP27-Gs/β1/γ1
25.81Single7SK6CXCL12_LRHQ7SK6-ACKR3-CXCL12_LRHQ
25.81Single8FLULA-PTH Analog8FLU-PTH1-LA-PTH Analog-Gs/β1/γ2
25.71Single7F16TIP397F16-PTH2-TIP39-Gs/β1/γ2
25.00Single3UZAGTPL92363UZA-A2A-GTPL9236
25.00Single4NTJAZD12834NTJ-P2Y12-AZD1283
25.00Single5T1ABMS-6815T1A-CCR2-BMS-681-PubChem 12093170
25.00Single5WKTOctyl-Beta-D-Glucopyranoside5WKT-Rhodopsin-Octyl-β-D-Glucopyranoside-Gt(CT)
25.00Single5ZK33-quinuclidinyl-benzilate5ZK3-M2-3-quinuclidinyl-benzilate
25.00Single6HLPNetupitant6HLP-NK1-Netupitant
25.00Single6ME5Agomelatine6ME5-MT1-Agomelatine
25.00Single7F23Dopamine7F23-D1-Dopamine-GDP-Gs/β1/γ2
25.00Single7M3JNPS-2143; PO47M3J-CaS; CaS-NPS-2143; PO4
25.00Single7NA7Ghrelin7NA7-Ghrelin-Ghrelin-Gi1/β1/γ2
25.00Single7QA8Antagonist Peptide7QA8-STE2; STE2-Antagonist Peptide
25.00Single7QA8Antagonist Peptide7QA8-STE2; STE2-Antagonist Peptide
25.00Single7SK3CXCL127SK3-ACKR3-CXCL12
25.00Single7SK4CXCL12_LRHQ7SK4-ACKR3-CXCL12_LRHQ
25.00Single7TRKIperoxo7TRK-M4-Iperoxo-Gi1/β1/γ2
25.00Single7VABTirzepatide (non-acylated)7VAB-GIP-Tirzepatide (non-acylated)-chim(NtGi1-Gs)/β1/γ2
25.00Single7VOEAripiprazole7VOE-5-HT2A-Aripiprazole
25.00Single7VV4Cortistatin-147VV4-MRGPRX2-Cortistatin-14
25.00Single7W3ZGastrin Releasing Peptide7W3Z-BB2-Gastrin Releasing Peptide-chim(NtGi1L-Gq)/β1/γ2
25.00Single7W53Neuromedin-U-257W53-NMUR1-Neuromedin-U-25-chim(NtGi1-Gs-CtGq)/β1/γ2
25.00Single7W56Neuromedin-S7W56-NMUR1-Neuromedin-S-chim(NtGi1-Gs-CtGq)/β1/γ2
25.00Single7XMRSomatostatin-147XMR-SST2-Somatostatin-14-Gi1/β1/γ2
25.00Single7Y26Octreotide7Y26-SST2-Octreotide-chim(NtGi2L-Gs-CtGq)/β1/γ2
25.00Single8DPILorcaserin8DPI-5-HT2C-Lorcaserin-chim(NtGi2L-Gs-CtGq)/β1/γ2
25.00Single8E3XPACAP278E3X-PAC1-PACAP27-Gs/β1/γ2
25.00Single8E9ZIperoxo8E9Z-M3-Iperoxo-chim(NtGi2L-Gs-CtGq)/β1/γ2
25.00Single8EITDoconexent8EIT-FFA1-Doconexent-chim(NtGi1L-Gs-CtGq)/β1/γ2
25.00Single8IEBPubChem 1347468948IEB-GPR156; GPR156-PubChem 134746894
25.00Single8INRAlpha-MSH8INR-MC5-α-MSH-Ca-chim(NtGi1-Gs)/β1/γ2
25.00Single8ITFDMCHA8ITF-TAA9-DMCHA-chim(NtGi1-Gs)/β1/γ2
25.00Single8J18(3R)-3-Hydroxydodecanoic acid8J18-GPR84-(3R)-3-Hydroxydodecanoic acid-Gi1/β1/γ2
25.00Single8JXTHistamine8JXT-H4-Histamine-PO4-Gi1/β1/γ2
25.00Single8KIGSHU91198KIG-MC3-SHU9119-Ca
25.00Single8QOTNanobody-E8QOT-μ-Nanobody-E
25.00Single8WC62-Phenylethylamine8WC6-TA1-2-Phenylethylamine-chim(NtGi1-Gs)/β1/γ2
25.00Single8XBHPubChem 1626566368XBH-GPR34-PubChem 162656636-Gi1/β1/γ2
25.00Single8XGMChemerin8XGM-CML2-Chemerin-Gi1/β1/γ2
25.00Single8Y63C20:0 Ceramide8Y63-FPR2-ALX-C20:0 Ceramide-Gi1/β1/γ2
25.00Single8ZCJPasireotide8ZCJ-SST5-Pasireotide-Gi1/β1/γ1
25.00Single9GE2ML1849GE2-GPR55-ML184-chim(NtGi1-G13)/β1/γ2
25.00Single9IV15alpha-DHT9IV1-ADGRD1-5α-DHT-chim(NtGi1-Gs)/β1/γ2
25.00Single9J0IUDP-Glucuronic acid9J0I-P2Y14-UDP-Glucuronic acid-Gi1/β1/γ2
25.00Single9KO4CCL219KO4-CCR7-CCL21-Gi1/β1/γ2
25.00Single9KT93,5-DHBA9KT9-HCA1-3,5-DHBA-Gi1/β1/γ2
25.00Single9L3YChemerin9L3Y-CML2-Chemerin-Gi1/β1/γ2
25.00Single9LL7DOI9LL7-5-HT2A-DOI-Gi1/β1/γ2
25.00Single9P92VIP9P92-PAC1-VIP-Gs/β1/γ2
25.00Consensusccr_offOrthosteric Ligandccr2_off ccr5_off
25.00Consensuschemokine_onOrthosteric Ligandccr_on cxcr_on
25.00Consensuscrf_on_gpOrthosteric Ligandcrf2_on_gp crf1_on_gp
25.00Consensusgq_muscarinicOrthosteric Ligand6OIJ-M1-Iperoxo-chim(NtGi1L-G11)/β1/γ2
25.00Consensusm1_onOrthosteric Ligand6OIJ-M1-Iperoxo-chim(NtGi1L-G11)/β1/γ2
25.00Consensusm2_offOrthosteric Ligand5ZKC-M2-N-methyl-Scopolamine 5ZK3-M2-3-quinuclidinyl-benzilate 5ZKB-M2-AF-DX 384
25.00Consensusm3_onOrthosteric Ligand8E9Z-M3-Iperoxo-chim(NtGi2L-Gs-CtGq)/β1/γ2 8E9W-M3-2-Deoxycytidine-chim(NtGi2L-Gs-CtGq)/β1/γ2 8E9Y-M3-Clozapine-N-oxide-chim(NtGi2L-Gs-CtGq)/β1/γ2
25.00Consensusm3_on_gpOrthosteric Ligand8E9Z-M3-Iperoxo-chim(NtGi2L-Gs-CtGq)/β1/γ2 8E9W-M3-2-Deoxycytidine-chim(NtGi2L-Gs-CtGq)/β1/γ2 8E9Y-M3-Clozapine-N-oxide-chim(NtGi2L-Gs-CtGq)/β1/γ2
25.00Consensusnk3_onOrthosteric Ligand8JBF-NK3-Senktide-chim(NtGi1-Gs-CtGq)/β1/γ2
25.00Consensusnk3_on_gpOrthosteric Ligand8JBF-NK3-Senktide-chim(NtGi1-Gs-CtGq)/β1/γ2
25.00Consensusnmur1_on_gpOrthosteric Ligand7W53-NMUR1-Neuromedin-U-25-chim(NtGi1-Gs-CtGq)/β1/γ2
25.00Consensusopsins_on_gpOrthosteric Ligandrhodopsin_on_gp opsin1lw_on_gp
25.00Consensuspac_on_gpOrthosteric Ligandpac1_on_gp
25.00Consensusrhodopsin_onOrthosteric Ligand6OYA-Rhodopsin-All-trans-Retinal-Gt/β1/γ1
25.00Consensuss1p5_offOrthosteric Ligand7YXA-S1P5-ONO-5430608
25.00Consensussensory_on_gpOrthosteric Ligandopsins_on_gp
25.00Consensussomatostatin_offOrthosteric Ligandsst2_off
24.32Consensuspth_on_gpOrthosteric Ligandpth1_on_gp pth2_on_gp
24.24Single7Y36PTH7Y36-PTH1-PTH-Gs/β1/γ2
24.24Single8FLQPTH8FLQ-PTH1-PTH-Gs/β1/γ2
24.14Single6VCBGLP-16VCB-GLP-1-GLP-1-LSN3160440-Gs/β1/γ2
24.14Single8ZJGChemerin8ZJG-CML1-Chemerin-Gi1/β1/γ2
24.14Consensusglp_onOrthosteric Ligandglp1_on glp2_on
24.14Consensusglp_on_gpOrthosteric Ligandglp1_on_gp glp2_on_gp
24.14Consensusp2y10_on_gpOrthosteric Ligand8KGG-P2Y10-Lysophosphatidylserine (WJS)-chim(NtGi2-G13)/β1/γ2
24.00Single7C6A(Sar1,Ile8)-Angiotensin II7C6A-AT2-(Sar1,Ile8)-Angiotensin II
24.00Single7F1QCCL37F1Q-CCR5-CCL3-Gi1/β1/γ2
24.00Single7XNACYN1548067XNA-SST2-CYN154806
24.00Single8XYDPlatelet Activating Factor8XYD-PAF-Platelet Activating Factor-Gi1/β1/γ2
24.00Single8Z7JJN241-98Z7J-Apelin-JN241-9-Gi1/β1/γ2
24.00Consensussst2_offOrthosteric Ligand7XNA-SST2-CYN154806
23.81Single3UON3-quinuclidinyl-benzilate3UON-M2-3-quinuclidinyl-benzilate
23.81Single5ZHPPubChem 1348285895ZHP-M3-PubChem 134828589
23.81Single6OIJIperoxo6OIJ-M1-Iperoxo-chim(NtGi1L-G11)/β1/γ2
23.81Single6OS1TRV0266OS1-AT1-TRV026
23.81Single6RZ5Zafirlukast6RZ5-CysLT1-Zafirlukast-Na
23.81Single7S8MCortistatin-147S8M-MRGPRX2-Cortistatin-14-Gi1/β1/γ2
23.81Single7TRQIperoxo7TRQ-M4-Iperoxo-VU0467154-Gi1/β1/γ2
23.81Single7WVXHumanin7WVX-FPR2-ALX-Humanin-Gi2/β1/γ2
23.81Single7XBDGalanin7XBD-GAL2-Galanin-chim(NtGi2L-Gs-CtGq)/β1/γ2
23.81Single7Y67C089 peptide7Y67-C5a1-C089 peptide-Gi1/β1/γ2
23.81Single8EA0Iperoxo8EA0-M3-Iperoxo
23.81Single8XBIPubChem 1626566368XBI-GPR34-PubChem 162656636
23.81Single9ASTLymphotactin9AST-XCR1-Lymphotactin-Gi1/β1/γ2
23.81Single9L16CCL219L16-CCR7-CCL21
23.81Single9RHGC4079RHG-FZD7-C407
23.81Single9YDVMRS29059YDV-P2Y14-MRS2905-Gi1/β1/γ2
23.81Consensusffa_onOrthosteric Ligandffa2_on ffa3_on
23.81Consensusffa_on_gpOrthosteric Ligandffa2_on_gp ffa3_on_gp
23.81Consensusgi_ffaOrthosteric Ligand8J21-FFA3-Butyric acid-Gi1/β1/γ2 8J22-FFA2-TUG-1375-Gi1/β1/γ2
23.81Consensusm1_on_gpOrthosteric Ligand6OIJ-M1-Iperoxo-chim(NtGi1L-G11)/β1/γ2
23.81Consensusnpy1_offOrthosteric Ligand5ZBH-Y1-BMS-193885 5ZBQ-Y1-UR-MK-299
23.53Single6QNOAll-trans-Retinal6QNO-Rhodopsin-All-trans-Retinal-Gi1/β1/γ1
23.53Single7DD5Ca; Ca; Tryptophan; NPS-21437DD5-CaS; CaS-Ca-Ca; Ca; Tryptophan; NPS-2143
23.53Single7DFLHistamine7DFL-H1-Histamine-chim(NtGi1L-Gq)/β1/γ2
23.53Single7TRPLY20332987TRP-M4-Iperoxo-LY2033298-Gi1/β1/γ2
23.53Single7V68Iperoxo7V68-M4-Iperoxo-LY2119620-Gi1/β1/γ2
23.53Single7VUIJNJ-635330547VUI-GPR139-JNJ-63533054-GTP-chim(Gs-CtGq)/β1/γ2
23.53Single7YFDImetit7YFD-H4-Imetit-chim(NtGi1-Gs-CtGq)/β1/γ2
23.53Single8HN8Histamine8HN8-H4-Histamine-Gi1/β1/γ2
23.53Single8JILNiacin8JIL-HCA2-Niacin-Gi1/β1/γ2
23.53Single8W892-Phenylethylamine8W89-TA1-2-Phenylethylamine-chim(NtGi1L-Gs)/β1/γ2
23.53Single8WPUTryptophan; Cinacalcet; PO4; Ca8WPU-CaS; CaS-Tryptophan; Cinacalcet; PO4; Ca-chim(NtGi2L-Gs-CtGq)/β1/γ2
23.53Single8YN2Histamine8YN2-H1-Histamine-chim(NtGi1L-Gs-CtGq)/β1/γ2
23.53Single8ZX5AM2518ZX5-GPR55-AM251-chim(NtGi1-G13)/β1/γ2
23.53Single9AS7Psilocin9AS7-5-HT2A-Psilocin
23.53Single9C1PCa; Tryptophan; '6218; PO49C1P-CaS; CaS-Ca-Ca; Tryptophan; '6218; PO4
23.53Single9LMPNE52-QQ579LMP-GPR4-NE52-QQ57
23.53Single9M88Oleic monoethanolamide9M88-GPR3 ; GPR3-Oleic monoethanolamide-AF64394
23.53Consensush1_onOrthosteric Ligand7DFL-H1-Histamine-chim(NtGi1L-Gq)/β1/γ2
23.53Consensush4_onOrthosteric Ligand8HN8-H4-Histamine-Gi1/β1/γ2 8HOC-H4-Imetit-Gi1/β1/γ2 8JXV-H4-Clozapine-Gi1/β1/γ2 8JXW-H4-VUF6884-Gi1/β1/γ2 8JXX-H4-Clobenpropit-Gi1/β1/γ2
23.33Single5VAIGLP-15VAI-GLP-1-GLP-1-Gs/β1/γ2
23.33Single6NBHLA-PTH Analog6NBH-PTH1-LA-PTH Analog-Gs/β1/γ2
23.33Single6WZGSecretin6WZG-Secretin-Secretin-Gs/β1/γ2
23.33Single7KI1Taspoglutide7KI1-GLP-1-Taspoglutide-Gs/β1/γ2
23.33Single7TS0Urocortin7TS0-CRF2-Urocortin-chim(NtGi1L-Go)/β1/γ2
23.33Single8HAFPTHrP(1-36)8HAF-PTH1-PTHrP(1-36)-chim(NtGi1-Gs)/β1/γ2
23.33Single9BYOExendin-39BYO-GLP-1-Exendin-3-Gs/β1/γ2
23.33Single9P93VIP9P93-PAC1-VIP-Gs/β1/γ2
23.33Consensusvip-pacap_onOrthosteric Ligandvpac_on pac_on
23.33Consensusvip-pacap_on_gpOrthosteric Ligandvpac_on_gp pac_on_gp
23.08Single6VN7PACAP276VN7-VPAC1-PACAP27-Gs/β1/γ2
23.08Single8K6MNeuropeptide-Y8K6M-Y1-Neuropeptide-Y-Gi2/β1/γ1
23.08Single8XZGApelin-138XZG-Apelin; Apelin-Apelin-13-Gi1/β1/γ2
23.08Single9LXRLA-PTH Analog9LXR-PTH1-LA-PTH Analog-Arrestin2
23.08Consensusnpy1_onOrthosteric Ligand8K6M-Y1-Neuropeptide-Y-Gi2/β1/γ1
23.08Consensusnpy1_on_gpOrthosteric Ligand8K6M-Y1-Neuropeptide-Y-Gi2/β1/γ1
22.73Single4N4WSANT-14N4W-SMO-SANT-1
22.73Single4PXFOctyl-Beta-D-Glucopyranoside4PXF-Rhodopsin-Octyl-β-D-Glucopyranoside-Arrestin1 Finger Loop
22.73Single4PXZ2MeSADP4PXZ-P2Y12-2MeSADP
22.73Single5TZYMK8666; AP85TZY-FFA1-MK8666; AP8
22.73Single5X33BIIL2605X33-BLT1-BIIL260
22.73Single6XBLCholesterol6XBL-SMO-SAG-Cholesterol-Gi1/β1/γ2
22.73Single7T6BS1P7T6B-S1P2-S1P-chim(NtGi1L-G13)/β1/γ2
22.73Single8G056-OAU8G05-GPR84-6-OAU-Gi1/β1/γ2
22.73Single8JJPChemerin-98JJP-CML2-Chemerin-9-Gi1/β1/γ2
22.73Single8U26Substance-P8U26-NK1-Substance-P-Gs/β1/γ2
22.73Single9EK0Iperoxo9EK0-M5-Iperoxo-chim(NtGi1-Gs-CtGq)/β1/γ2
22.73Consensusffa2_on_gpOrthosteric Ligand8J22-FFA2-TUG-1375-Gi1/β1/γ2
22.73Consensusgalanin_onOrthosteric Ligandgal2_on gal1_on
22.73Consensusgalanin_on_gpOrthosteric Ligandgal2_on_gp gal1_on_gp
22.58Single6PB0Urocortin6PB0-CRF1-Urocortin-chim(NtGi1-Gs)/β1/γ2
22.58Single7DUQGLP-17DUQ-GLP-1-GLP-1-PubChem 156022738-Gs/β1/γ2
22.22Single1GZM11-cis-Retinal1GZM-Rhodopsin-11-cis-Retinal
22.22Single2PED9-cis-Retinal2PED-Rhodopsin-9-cis-Retinal
22.22Single3C9L11-cis-Retinal3C9L-Rhodopsin-11-cis-Retinal
22.22Single4MQTLY21196204MQT-M2-Iperoxo-LY2119620
22.22Single5WB2CX3CL1.355WB2-US28-CX3CL1.35
22.22Single6M1IPACAP276M1I-PAC1-PACAP27-Gs/β1/γ2
22.22Single6ME9Ramelteon6ME9-MT2-Ramelteon
22.22Single6OYAAll-trans-Retinal6OYA-Rhodopsin-All-trans-Retinal-Gt/β1/γ1
22.22Single6RNKNF-56-EJ406RNK-Succinate-NF-56-EJ40
22.22Single7M3FCa; Ca; Tryptophan; Cinacalcet7M3F-CaS; CaS-Ca; Ca; Tryptophan; Cinacalcet
22.22Single7S8PMS471347S8P-MRGPRX4-MS47134-chim(NtGi2L-Gs-CtGq)/β1/γ2
22.22Single7SILCa; Ca; Ca; Cyclomethyltryptophan; R-568; PO47SIL-CaS; CaS-Ca-Ca; Ca; Ca; Cyclomethyltryptophan; R-568; PO4
22.22Single7SILCa; Ca; Ca; Cyclomethyltryptophan; R-568; PO47SIL-CaS; CaS-Ca-Ca; Ca; Ca; Cyclomethyltryptophan; R-568; PO4
22.22Single7T10Somatostatin-147T10-SST2-Somatostatin-14-Gi3/β1/γ2
22.22Single7VDLCortistatin-147VDL-MRGPRX2-Cortistatin-14-Gi1/β1/γ2
22.22Single7W0OElabela7W0O-Apelin-Elabela-Gi1/β1/γ2
22.22Single7W57Neuromedin-S7W57-NMUR2-Neuromedin-S-chim(NtGi1-Gs-CtGq)/β1/γ2
22.22Single7X2CFenoldopam7X2C-D1-Fenoldopam-Fenoldopam-Gs/β1/γ2
22.22Single7XJJGalanin7XJJ-GAL1-Galanin-Go/β1/γ2
22.22Single8IEDPubChem 1347468948IED-GPR156; GPR156-PubChem 134746894-Go/β1/γ2
22.22Single8U4PAMD31008U4P-CXCR4-AMD3100-Gi1/β1/γ2
22.22Single8YW4Retatrutide8YW4-GIP-Retatrutide-chim(NtGi1-Gs)/β1/γ2
22.22Single9AVLCa; Ca; Cyclomethyltryptophan; R-568; PO49AVL-CaS; CaS-Ca-Ca; Ca; Cyclomethyltryptophan; R-568; PO4-Gi3/β2/γ2
22.22Consensusrhodopsin_on_gpOrthosteric Ligand6OYA-Rhodopsin-All-trans-Retinal-Gt/β1/γ1
21.88Single8FLSAbaloparatide8FLS-PTH1-Abaloparatide-Gs/β1/γ2
21.74Single4RWSvMIP-II4RWS-CXCR4-vMIP-II
21.74Single7P00Substance-P7P00-NK1-Substance-P-chim(NtGi1-Gs-CtGq)/β1/γ2
21.74Single8HN1Toxin AdTx18HN1-Alpha1A-Toxin AdTx1
21.74Single8IULLatanoprost8IUL-FP-alpha-Latanoprost-chim(NtGi1-Gs-CtGq)/β1/γ2
21.74Single8XBES3E-Lysophosphatidylserine 8XBE-GPR34-S3E-Lysophosphatidylserine-Gi1/β1/γ1
21.74Single8ZX4Lysophosphatidylinositol 8ZX4-GPR55-Lysophosphatidylinositol-chim(NtGi1-G13)/β1/γ2
21.74Single9UYHChemerin-99UYH-CML2-Chemerin-9-Arrestin2
21.74Single9UYMChemerin-99UYM-CML2-Chemerin-9-chim(Arrestin3-CtArrestin2)
21.74Consensusfp-alpha_onOrthosteric Ligand8IUK-FP-alpha-PGF2-α-chim(NtGi1-Gs-CtGq)/β1/γ2 8IUL-FP-alpha-Latanoprost-chim(NtGi1-Gs-CtGq)/β1/γ2 8IUM-FP-alpha-Tafluprost acid-chim(NtGi1-Gs-CtGq)/β1/γ2
21.74Consensusfp-alpha_on_gpOrthosteric Ligand8IUK-FP-alpha-PGF2-α-chim(NtGi1-Gs-CtGq)/β1/γ2 8IUL-FP-alpha-Latanoprost-chim(NtGi1-Gs-CtGq)/β1/γ2 8IUM-FP-alpha-Tafluprost acid-chim(NtGi1-Gs-CtGq)/β1/γ2
21.74Consensusgal2_onOrthosteric Ligand7WQ4-GAL2-Galanin-chim(NtGi1-Gs-CtGq)/β1/γ2 7XJL-GAL2-Spexin-chim(NtGi2L-Gs-CtGq)/β1/γ2
21.74Consensusgal2_on_gpOrthosteric Ligand7WQ4-GAL2-Galanin-chim(NtGi1-Gs-CtGq)/β1/γ2 7XJL-GAL2-Spexin-chim(NtGi2L-Gs-CtGq)/β1/γ2
21.74Consensusnk1_onOrthosteric Ligand7P00-NK1-Substance-P-chim(NtGi1-Gs-CtGq)/β1/γ2
21.74Consensusnk1_on_gpOrthosteric Ligand7P00-NK1-Substance-P-chim(NtGi1-Gs-CtGq)/β1/γ2
21.74Consensusnk2_onOrthosteric Ligand7XWO-NK2-Neurokinin-A-chim(NtGi1-Gs-CtGq)/β1/γ2
21.43Single6X18GLP-16X18-GLP-1-GLP-1-Gs/β1/γ2
21.43Single7LLYOxyntomodulin7LLY-GLP-1-Oxyntomodulin-Gs/β1/γ2
21.43Single7P02Substance-P7P02-NK1-Substance-P-chim(NtGi1-Gs)/β1/γ2
21.43Single7QBIAlpha-factor mating pheromone7QBI-STE2; STE2-α-factor mating pheromone
21.43Single8WCCCyclohexylammonium Ion8WCC-TA1-Cyclohexylammonium Ion
21.43Single9E2AGLP-19E2A-GLP-1-GLP-1-Gs/β1/γ2
21.43Consensusp2y10_onOrthosteric Ligand8KGG-P2Y10-Lysophosphatidylserine (WJS)-chim(NtGi2-G13)/β1/γ2
21.43Consensuspac_onOrthosteric Ligandpac1_on
21.43Consensusvpac_onOrthosteric Ligandvpac1_on vpac2_on
21.21Single7VVMPTH7VVM-PTH1-PTH-Gs/β1/γ2
21.21Consensusglp1_on_gpOrthosteric Ligand7S1M-GLP-1-Exendin-4-D-Ala-Gs/β1/γ2 7X8R-GLP-1-BOC5-Gs/β1/γ2 6X19-GLP-1-CHU-128-Gs/β1/γ2 6X1A-GLP-1-Danuglipron-Gs/β1/γ2 6X18-GLP-1-GLP-1-Gs/β1/γ2 8JIP-GLP-1-MEDI0382-chim(NtGi1-Gs)/β1/γ2 7C2E-GLP-1-PubChem 149050799-Gs/β1/γ2 7KI0-GLP-1-Semaglutide-Gs/β1/γ2 7KI1-GLP-1-Taspoglutide-Gs/β1/γ2 7X8S-GLP-1-WB4-24-Gs/β1/γ2 8JIS-GLP-1-Peptide-15-chim(NtGi1-Gs)/β1/γ2 7VBI-GLP-1-Tirzepatide (non-acylated)-Gs/β1/γ2
21.05Single1F8811-cis-Retinal1F88-Rhodopsin-11-cis-Retinal
21.05Single3OAX11-cis-Retinal3OAX-Rhodopsin-11-cis-Retinal
21.05Single5UVIZM-2413855UVI-A2A-ZM-241385
21.05Single6FK8PubChem 1324730356FK8-Rhodopsin-PubChem 132473035
21.05Single7C2EPubChem 1490507997C2E-GLP-1-PubChem 149050799-Gs/β1/γ2
21.05Single7XXH2MeSADP7XXH-P2Y1-2MeSADP-chim(NtGi1-G11)/β1/γ2
21.05Single7ZBC11-cis-Retinal7ZBC-Rhodopsin-11-cis-Retinal
21.05Single7ZBE11-cis-Retinal7ZBE-Rhodopsin-11-cis-Retinal
21.05Single8FCZ11-cis-Retinal8FCZ-Rhodopsin-11-cis-Retinal
21.05Single8H4LDoconexent8H4L-FFA4-Doconexent-chim(NtGi1-Gs-CtGq)/β1/γ2
21.05Single8Y01All-trans-Retinal8Y01-Opsin1MW-All-trans-Retinal-Gi1/β1/γ2
21.05Single8ZBWQuin-C18ZBW-FPR2-ALX-Quin-C1-Gi2/β1/γ2
21.05Single8ZPNAMD31008ZPN-CXCR4-AMD3100
21.05Single9BA0MRI-18919BA0-CB1-MRI-1891
21.05Single9EPQ11,20-Ethanoretinal9EPQ-Rhodopsin-11,20-Ethanoretinal-chim(Gi1-CtGq)/β1/γ2
21.05Single9JFUNE52-QQ579JFU-GPR4-NE52-QQ57
21.05Consensusp2y1_on_gpOrthosteric Ligand7XXH-P2Y1-2MeSADP-chim(NtGi1-G11)/β1/γ2
20.83Single5VBLAMG3054 5VBL-Apelin-AMG3054
20.83Single7AUESetmelanotide7AUE-MC4-Setmelanotide-chim(NtGi1L-Gs)/β1/γ2
20.83Single7RMGSubstance-P7RMG-NK1-Substance-P-chim(Gs-CtGq)/β1/γ2
20.83Single7RMHSubstance-P7RMH-NK1-Substance-P-Gs/β1/γ2
20.83Single7S8LCortistatin-147S8L-MRGPRX2-Cortistatin-14-chim(NtGi2L-Gs-CtGq)/β1/γ2
20.83Single8IUMTafluprost acid8IUM-FP-alpha-Tafluprost acid-chim(NtGi1-Gs-CtGq)/β1/γ2
20.83Single8J22TUG-13758J22-FFA2-TUG-1375-Gi1/β1/γ2
20.83Single8Z74JN241-98Z74-Apelin; Apelin-JN241-9
20.83Single8Z74JN241-98Z74-Apelin; Apelin-JN241-9
20.83Single9JF4PD1683689JF4-BB1-PD168368
20.83Single9JH6C20:0 Ceramide9JH6-CysLT2-C20:0 Ceramide-chim(NtGi1-Gs-CtGq)/β1/γ2
20.83Single9NS9TUG-13759NS9-FFA2-TUG-1375-PubChem 118615810-Gi1/β1/γ2
20.83Consensusnmur1_onOrthosteric Ligand7W53-NMUR1-Neuromedin-U-25-chim(NtGi1-Gs-CtGq)/β1/γ2
20.69Single6FJ3PTH6FJ3-PTH1-PTH
20.69Single6NBFLA-PTH Analog6NBF-PTH1-LA-PTH Analog-Gs/β1/γ2
20.69Single6P9YPACAP276P9Y-PAC1-PACAP27-Gs/β1/γ2
20.69Single7D3SSecretin7D3S-Secretin-Secretin-Gs/β1/γ2
20.69Single7QBIAlpha-factor mating pheromone7QBI-STE2; STE2-α-factor mating pheromone
20.69Single7RA3GIP7RA3-GIP-GIP-chim(NtGi1-Gs)/β1/γ2
20.69Single8JISPeptide-158JIS-GLP-1-Peptide-15-chim(NtGi1-Gs)/β1/γ2
20.69Single9J1Pg1:Ox9J1P-GLP-1-g1:Ox-chim(NtGi1-Gs)/β1/γ2
20.69Consensuspac1_onOrthosteric Ligand8E3X-PAC1-PACAP27-Gs/β1/γ2 6M1H-PAC1-Maxadilan-Gs/β1/γ2
20.69Consensuspac1_on_gpOrthosteric Ligand8E3X-PAC1-PACAP27-Gs/β1/γ2 6M1H-PAC1-Maxadilan-Gs/β1/γ2
20.69Consensusvpac_on_gpOrthosteric Ligandvpac1_on_gp vpac2_on_gp
20.59Single9JR3PTH9JR3-PTH1-PTH-chim(NtGi1L-Gs-CtGq)/β1/γ2
20.59Consensusglucagon_onOrthosteric Ligandglp_on gluc_on secretin_on gip_on
20.00Single1HZX11-cis-Retinal1HZX-Rhodopsin-11-cis-Retinal
20.00Single3PXOAll-trans-Retinal3PXO-Rhodopsin-All-trans-Retinal
20.00Single5DSGTiotropium5DSG-M4-Tiotropium
20.00Single5DYSAll-trans-Retinal5DYS-Rhodopsin-All-trans-Retinal
20.00Single5TGZAM65385TGZ-CB1-AM6538
20.00Single6B3JExendin-P56B3J-GLP-1-Exendin-P5-Gs/β1/γ2
20.00Single6FK7PubChem 1324730346FK7-Rhodopsin-PubChem 132473034
20.00Single6FKCPubChem 1324730396FKC-Rhodopsin-PubChem 132473039
20.00Single6FKDPubChem 1373491836FKD-Rhodopsin-PubChem 137349183
20.00Single6WHADB139486WHA-5-HT2A-DB13948-chim(NtGi2L-Gs-CtGq)/β1/γ2
20.00Single6WIVPubChem 52923113; PubChem 529246456WIV-GABAB1, GABAB2-PubChem 52923113; PubChem 52924645
20.00Single6X19CHU-1286X19-GLP-1-CHU-128-Gs/β1/γ2
20.00Single6X1ADanuglipron6X1A-GLP-1-Danuglipron-Gs/β1/γ2
20.00Single7AD3Alpha-factor mating pheromone7AD3-STE2; STE2-α-factor mating pheromone-Gi1/STE4/γ2
20.00Single7DTYGIP7DTY-GIP-GIP-Gs/β1/γ2
20.00Single7FIYTirzepatide7FIY-GIP-Tirzepatide-Gs/β1/γ2
20.00Single7LCIDanuglipron7LCI-GLP-1-Danuglipron-Gs/β1/γ2
20.00Single7QBCAlpha-factor mating pheromone7QBC-STE2; STE2-α-factor mating pheromone
20.00Single7S15PubChem 1346112237S15-GLP-1-PubChem 134611223
20.00Single7S1MExendin-4-D-Ala7S1M-GLP-1-Exendin-4-D-Ala-Gs/β1/γ2
20.00Single7VQXPACAP277VQX-VPAC1-PACAP27-Gs/β1/γ2
20.00Single7WC4Serotonin7WC4-5-HT2A-Serotonin
20.00Single7WQ3Galanin7WQ3-GAL1-Galanin-Gi1/β1/γ2
20.00Single8HAOPTH8HAO-PTH1-PTH-chim(NtGi1-Gs)/β1/γ2
20.00Single8IEIPubChem 1347468948IEI-GPR156; GPR156-PubChem 134746894
20.00Single8IEIPubChem 1347468948IEI-GPR156; GPR156-PubChem 134746894
20.00Single8IEPPubChem 1347468948IEP-GPR156; GPR156-PubChem 134746894
20.00Single8IEPPubChem 1347468948IEP-GPR156; GPR156-PubChem 134746894
20.00Single8KFYZK-7563268KFY-CCR8-ZK-756326-Gi1/β1/γ2
20.00Single8XBGS3E-Lysophosphatidylserine 8XBG-GPR34-S3E-Lysophosphatidylserine
20.00Single8YWFRetatrutide8YWF-GLP-1-Retatrutide-chim(NtGi1-Gs)/β1/γ2
20.00Single8ZYYNeurotensin-(8-13)8ZYY-NTS1-Neurotensin-(8-13)-SBI-553-Arrestin2
20.00Single9BUCCagrilintide9BUC-CT-Cagrilintide-Gs/β1/γ2
20.00Single9IV25alpha-DHT9IV2-ADGRD1-5α-DHT-chim(NtGi1-Gs)/β1/γ2
20.00Single9JKVPubChem 27366909JKV-HCA3-PubChem 2736690-Gi1/β1/γ2
20.00Single9MEJGp1209MEJ-CXCR4-Gp120
20.00Single9P94PACAP279P94-PAC1-PACAP27-Gs/β1/γ2
20.00Single9UYLChemerin-99UYL-CML2-Chemerin-9-Arrestin2
20.00Consensusalicarboxylic_offOrthosteric Ligandsuccinate_off
20.00Consensusgal1_onOrthosteric Ligand7WQ3-GAL1-Galanin-Gi1/β1/γ2
20.00Consensusgal1_on_gpOrthosteric Ligand7WQ3-GAL1-Galanin-Gi1/β1/γ2
20.00Consensusgi_galaninOrthosteric Ligand7WQ3-GAL1-Galanin-Gi1/β1/γ2
20.00Consensusglucagon_on_gpOrthosteric Ligandglp_on_gp gluc_on_gp secretin_on_gp gip_on_gp
20.00Consensusm4_offOrthosteric Ligand5DSG-M4-Tiotropium
20.00Consensussuccinate_offOrthosteric Ligand6RNK-Succinate-NF-56-EJ40 6Z10-Succinate-PubChem 154585554
19.35Single6LMLGlucagon6LML-Glucagon-Glucagon-Gi1/β1/γ1
19.35Single6PB1Urocortin6PB1-CRF2-Urocortin-chim(NtGi1-Gs)/β1/γ2
19.35Single7D68GLP-27D68-GLP-2-GLP-2-Gs/β1/γ2
19.35Single7QBCAlpha-factor mating pheromone7QBC-STE2; STE2-α-factor mating pheromone
19.35Single7VVJPTHrP(1-36)7VVJ-PTH1-PTHrP(1-36)-Gs/β1/γ2
19.35Single8F0KPramlintide Analogue San3858F0K-CT (AMY3)-Pramlintide Analogue San385-Gs/β1/γ2; RAMP3
19.35Single8FLTM-PTH(1-14)8FLT-PTH1-M-PTH(1-14)-Gs/β1/γ2
19.35Consensuspth1_onOrthosteric Ligand6NBF-PTH1-LA-PTH Analog-Gs/β1/γ2 8HA0-PTH1-PTH-chim(NtGi1-Gs)/β1/γ2 8HAF-PTH1-PTHrP(1-36)-chim(NtGi1-Gs)/β1/γ2 7Y36-PTH1-PTH-Gs/β1/γ2 7Y35-PTH1-Abaloparatide-Gs/β1/γ2
19.23Single7E14Orforglipron7E14-GLP-1-Orforglipron-PubChem 156022738-Gs/β1/γ2
19.23Single7VBITirzepatide (non-acylated)7VBI-GLP-1-Tirzepatide (non-acylated)-Gs/β1/γ2
19.23Single8IBVMotilin8IBV-Motilin-Motilin-chim(NtGi1-Gs-CtGq)/β1/γ2
19.23Single8IEBPubChem 1347468948IEB-GPR156; GPR156-PubChem 134746894
19.23Single8JBHSubstance-P8JBH-NK3-Substance-P-chim(NtGi1-Gs-CtGq)/β1/γ2
19.23Single8K6ONeuropeptide-Y8K6O-Y1-Neuropeptide-Y-Gi2/β1/γ1
19.23Consensustachykinin_on_gpOrthosteric Ligandnk1_on_gp nk2_on_gp nk3_on_gp
19.05Single4PHUFasiglifam4PHU-FFA1-Fasiglifam
19.05Single5CGCHTL142425CGC-mGlu5-HTL14242
19.05Single5YHLPubChem 1351213525YHL-EP4-PubChem 135121352
19.05Single5YWYONO-AE3-2085YWY-EP4-ONO-AE3-208
19.05Single5ZBQUR-MK-2995ZBQ-Y1-UR-MK-299
19.05Single6OIKIperoxo6OIK-M2-Iperoxo-LY2119620-chim(NtGi1-Go)/β1/γ2
19.05Single6RZ4Pranlukast6RZ4-CysLT1-Pranlukast-Na
19.05Single6XBKCholesterol6XBK-SMO-Cholesterol-Gi1/β1/γ2
19.05Single7E9GJNJ-404118137E9G-mGlu2; mGlu2-Eglumetad-JNJ-40411813-Gi1/β1/γ2
19.05Single8GD9Rivenprost8GD9-EP4-Rivenprost-Gs/β1/γ2
19.05Single8X0DVU04244658X0D-mGlu5; mGlu5-Quisqualate-VU0424465
19.05Single8X0DVU04244658X0D-mGlu5; mGlu5-Quisqualate-VU0424465
19.05Single8YNSSNAP-948478YNS-MCH1-SNAP-94847
19.05Single9B9ZMRI-18679B9Z-CB1-MRI-1867
19.05Consensuscyslt_offOrthosteric Ligandcyslt2_off cyslt1_off
19.05Consensusep4_offOrthosteric Ligand5YWY-EP4-ONO-AE3-208 5YHL-EP4-PubChem 135121352
19.05Consensusep_offOrthosteric Ligandep4_off
18.92Consensusclass-b1_onOrthosteric Ligandglucagon_on vip-pacap_on pth_on crf_on calcitonin_on
18.92Consensuspth2_on_gpOrthosteric Ligand7F16-PTH2-TIP39-Gs/β1/γ2
18.75Single6OY9All-trans-Retinal6OY9-Rhodopsin-All-trans-Retinal-Gt/β1/γ1
18.75Single8XOFLys058XOF-GPR30-Lys05-chim(NtGi1-Gs-CtGq)/β1/γ2
18.52Single6UUNAdrenomedullin6UUN-CT Like (AM1)-Adrenomedullin-Gs/β1/γ2; RAMP2
18.52Single7W55Neuromedin-U-257W55-NMUR2-Neuromedin-U-25-chim(NtGi1-Gs-CtGq)/β1/γ2
18.52Single9B5YLA-PTH Analog9B5Y-PTH1-LA-PTH Analog-chim(NtGi1-Gq)/β1/γ2
18.52Single9IVMGLP-1 (Truncated)9IVM-GLP-1-GLP-1 (Truncated)-LSN3318839-chim(NtGi1-Gs)/β2/γ2
18.52Consensusclass-b1_class-b2_cons_onOrthosteric Ligandclass-b1_on class-b2_on
18.52Consensusclass-b1_class-b2_cons_on_gpOrthosteric Ligandclass-b1_on_gp class-b2_on_gp
18.52Consensusmc3_onOrthosteric Ligand8IOC-MC3-γ-MSH-Ca-chim(NtGi1-Gs)/β1/γ2
18.52Consensusmc3_on_gpOrthosteric Ligand8IOC-MC3-γ-MSH-Ca-chim(NtGi1-Gs)/β1/γ2
18.52Consensusnmur2_onOrthosteric Ligand7W55-NMUR2-Neuromedin-U-25-chim(NtGi1-Gs-CtGq)/β1/γ2
18.52Consensusnmur2_on_gpOrthosteric Ligand7W55-NMUR2-Neuromedin-U-25-chim(NtGi1-Gs-CtGq)/β1/γ2
18.18Single5TZRMK86665TZR-FFA1-MK8666
18.18Single5ZBHBMS-1938855ZBH-Y1-BMS-193885
18.18Single6O3CCholesterol6O3C-SMO-SAG21k-Cholesterol
18.18Single7F1TCCL37F1T-CCR5-CCL3
18.18Single7R0CAVP7R0C-V2-AVP-Arrestin2
18.18Single7T9NDPPC7T9N-TSH-M22 Fab-DPPC-Gs/β1/γ2
18.18Single7XJLSpexin7XJL-GAL2-Spexin-chim(NtGi2L-Gs-CtGq)/β1/γ2
18.18Single7XWONeurokinin-A7XWO-NK2-Neurokinin-A-chim(NtGi1-Gs-CtGq)/β1/γ2
18.18Single8FN1Neurotensin-(8-13)8FN1-NTS1-Neurotensin-(8-13)-chim(NtGi1-Go)/β1/γ2
18.18Single8I2GPubChem 675302408I2G-FSH-FSH-PubChem 67530240-Gs/β1/γ2
18.18Single8IUKPGF2-alpha8IUK-FP-alpha-PGF2-α-chim(NtGi1-Gs-CtGq)/β1/γ2
18.18Single8JBGNeurokinin-B8JBG-NK3-Neurokinin-B-chim(NtGi1-Gs-CtGq)/β1/γ2
18.18Single8WJXADP8WJX-P2Y1-ADP-chim(Gs-CtGq)/β1/γ2
18.18Single8X0FVU298X0F-mGlu5; mGlu5-Quisqualate-VU29
18.18Single8XJMLatanoprost8XJM-FP-alpha-Latanoprost-chim(NtGi2-Gs-CtGq)/β1/γ2
18.18Single8YNTSNAP-948478YNT-MCH1-SNAP-94847
18.18Single9AS9RS130-1809AS9-5-HT2A-RS130-180
18.18Single9ASARS130-1809ASA-5-HT2A-RS130-180-chim(NtGi1-Gs-CtGq)/β1/γ2
18.18Single9UCPIperoxo9UCP-M1-Iperoxo-G11(CT)
18.18Consensusffa2_onOrthosteric Ligand8J22-FFA2-TUG-1375-Gi1/β1/γ2
18.18Consensusglp1_onOrthosteric Ligand7S1M-GLP-1-Exendin-4-D-Ala-Gs/β1/γ2 7X8R-GLP-1-BOC5-Gs/β1/γ2 6X19-GLP-1-CHU-128-Gs/β1/γ2 6X1A-GLP-1-Danuglipron-Gs/β1/γ2 6X18-GLP-1-GLP-1-Gs/β1/γ2 8JIP-GLP-1-MEDI0382-chim(NtGi1-Gs)/β1/γ2 7C2E-GLP-1-PubChem 149050799-Gs/β1/γ2 7KI0-GLP-1-Semaglutide-Gs/β1/γ2 7KI1-GLP-1-Taspoglutide-Gs/β1/γ2 7X8S-GLP-1-WB4-24-Gs/β1/γ2 8JIS-GLP-1-Peptide-15-chim(NtGi1-Gs)/β1/γ2 7VBI-GLP-1-Tirzepatide (non-acylated)-Gs/β1/γ2
18.18Consensusnk2_on_gpOrthosteric Ligand7XWO-NK2-Neurokinin-A-chim(NtGi1-Gs-CtGq)/β1/γ2
18.18Consensusp2y12_onOrthosteric Ligand7XXI-P2Y12-2MeSADP-Gi2/β1/γ2
17.86Single6WIVPubChem 52923113; PubChem 529246456WIV-GABAB1, GABAB2-PubChem 52923113; PubChem 52924645
17.86Single7AD3Alpha-factor mating pheromone7AD3-STE2; STE2-α-factor mating pheromone-Gi1/STE4/γ2
17.86Single8HA0PTH8HA0-PTH1-PTH-chim(NtGi1-Gs)/β1/γ2
17.86Single8YW3Retatrutide8YW3-GLP-1-Retatrutide-Gs/β1/γ2
17.86Single9EBOGLP-1 (ACPC18)9EBO-GLP-1-GLP-1 (ACPC18)-Gs/β1/γ2
17.86Consensusneuromedin-u_onOrthosteric Ligandnmur1_on nmur2_on
17.86Consensustachykinin_onOrthosteric Ligandnk1_on nk2_on nk3_on
17.65Single2J4Y11-cis-Retinal2J4Y-Rhodopsin-11-cis-Retinal
17.65Single3C9M11-cis-Retinal3C9M-Rhodopsin-11-cis-Retinal
17.65Single3PQRAll-trans-Retinal3PQR-Rhodopsin-All-trans-Retinal-Gt(CT)
17.65Single6FK9PubChem 1324730366FK9-Rhodopsin-PubChem 132473036
17.65Single6OIKLY21196206OIK-M2-Iperoxo-LY2119620-chim(NtGi1-Go)/β1/γ2
17.65Single6WPWZP37806WPW-Glucagon-ZP3780-Gs/β1/γ2
17.65Single7MT8All-trans-Retinal7MT8-Rhodopsin-All-trans-Retinal-GRK1
17.65Single7MT9All-trans-Retinal7MT9-Rhodopsin-All-trans-Retinal-GRK1
17.65Single7MTAAll-trans-Retinal7MTA-Rhodopsin-All-trans-Retinal-GRK1
17.65Single7V6APubChem 98642757V6A-M4-PubChem 9864275-Gi1/β1/γ2
17.65Single8IU2All-trans-Retinal8IU2-Opsin1LW-All-trans-Retinal-Gi1/β1/γ2
17.65Single8JEFPubChem 113671668JEF-HCA3-PubChem 11367166-Gi1/β1/γ2
17.65Single8JIPMEDI03828JIP-GLP-1-MEDI0382-chim(NtGi1-Gs)/β1/γ2
17.65Single8JIRSAR4258998JIR-GLP-1-SAR425899-chim(NtGi1-Gs)/β1/γ2
17.65Single8RQLFlufenamic acid8RQL-TAS2R14-Flufenamic acid-Flufenamic acid-chim(NtGi1-Gt3)/β1/γ2
17.65Single8SZFCa; Ca; Tryptophan; Cinacalcet; PO4; Spermine8SZF-CaS; CaS-Ca; Ca; Tryptophan; Cinacalcet; PO4; Spermine
17.65Single8X9UMetenolone8X9U-ADGRD1-Metenolone-chim(NtGi1-Gs)/β1/γ2
17.65Single9JG1Adriforant9JG1-H4-Adriforant
17.65Single9JR2PTH9JR2-PTH1-PTH-chim(NtGi1L-Gs-CtGq)/β1/γ2
17.65Consensusgi_opsinsOrthosteric Ligand8IU2-Opsin1LW-All-trans-Retinal-Gi1/β1/γ2
17.65Consensusgi_sensoryOrthosteric Ligandgi_opsins
17.65Consensusopsin1lw_onOrthosteric Ligand8IU2-Opsin1LW-All-trans-Retinal-Gi1/β1/γ2
17.65Consensusopsin1lw_on_gpOrthosteric Ligand8IU2-Opsin1LW-All-trans-Retinal-Gi1/β1/γ2
17.65Consensuspth1_on_gpOrthosteric Ligand6NBF-PTH1-LA-PTH Analog-Gs/β1/γ2 8HA0-PTH1-PTH-chim(NtGi1-Gs)/β1/γ2 8HAF-PTH1-PTHrP(1-36)-chim(NtGi1-Gs)/β1/γ2 7Y36-PTH1-PTH-Gs/β1/γ2 7Y35-PTH1-Abaloparatide-Gs/β1/γ2
17.39Single4PY02MeSATP4PY0-P2Y12-2MeSATP
17.39Single4XEENeurotensin-(8-13)4XEE-NTS1-Neurotensin-(8-13)
17.39Single4XESNeurotensin-(8-13)4XES-NTS1-Neurotensin-(8-13)
17.39Single6XOXOrforglipron6XOX-GLP-1-Orforglipron-chim(NtGi1-Gs)/β1/γ2
17.39Single7L0SNeurotensin-(8-13)7L0S-NTS1-Neurotensin-(8-13)-Gi1/β1/γ1
17.39Single7WQ4Galanin7WQ4-GAL2-Galanin-chim(NtGi1-Gs-CtGq)/β1/γ2
17.39Single7XJKGalanin7XJK-GAL2-Galanin-chim(NtGi2L-Gs-CtGq)/β1/γ2
17.39Single7XW5ML1097XW5-TSH-TSH-ML109-Gs/β1/γ2
17.39Single7XW6ML1097XW6-TSH-M22 Fab-ML109-Gs/β1/γ2
17.39Single7XXI2MeSADP7XXI-P2Y12-2MeSADP-Gi2/β1/γ2
17.39Single8GCPPGE28GCP-EP4-PGE2-Gi1/β1/γ2
17.39Single8WRBLysophosphatidylserine (UBL)8WRB-GPR34-Lysophosphatidylserine (UBL)-Gi1/β1/γ2
17.39Single8XQSCholesterol8XQS-TAS2R14-Cholesterol-Flufenamic acid-Gi1/β1/γ1
17.39Single8Y6WTUG-13758Y6W-FFA2-TUG-1375-4-CMTB-Gi1/β1/γ2
17.39Single9CM3TUG-13759CM3-FFA2-TUG-1375-PubChem 118615810-chim(NtGi1L-Gs-CtGq)/β1/γ2
17.39Single9ECJS-geranylgeranyl-L-glutathione9ECJ-P2Y8-S-geranylgeranyl-L-glutathione-G13/β1/γ2
17.39Single9WXMGPR15L(CT)9WXM-GPR15-GPR15L(CT)-Gi3/β1/γ2
17.39Consensusgi_p2yOrthosteric Ligand7XXI-P2Y12-2MeSADP-Gi2/β1/γ2
17.39Consensusp2y12_on_gpOrthosteric Ligand7XXI-P2Y12-2MeSADP-Gi2/β1/γ2
17.24Single7VL9CCL15(26-92)7VL9-CCR1-CCL15(26-92)-Gi1/β1/γ2
17.24Single8YG4LA-PTH Analog8YG4-PTH1-LA-PTH Analog-chim(NtGi1-Gs)/β1/γ2
17.24Consensusneuromedin-u_on_gpOrthosteric Ligandnmur1_on_gp nmur2_on_gp
17.24Consensusvpac1_onOrthosteric Ligand8E3Z-VPAC1-VIP-Gs/β1/γ2
17.14Consensuspth2_onOrthosteric Ligand7F16-PTH2-TIP39-Gs/β1/γ2
17.07Consensusclass-b1_on_gpOrthosteric Ligandglucagon_on_gp vip-pacap_on_gp pth_on_gp crf_on_gp calcitonin_on_gp
16.67Single1L9H11-cis-Retinal1L9H-Rhodopsin-11-cis-Retinal
16.67Single1U1911-cis-Retinal1U19-Rhodopsin-11-cis-Retinal
16.67Single2G87All-trans-Retinal2G87-Rhodopsin-All-trans-Retinal
16.67Single2I3511-cis-Retinal2I35-Rhodopsin-11-cis-Retinal
16.67Single4BUONeurotensin-(8-13)4BUO-NTS1-Neurotensin-(8-13)
16.67Single5CGDHTL142425CGD-mGlu5-HTL14242
16.67Single5TE520-Methanoretinal5TE5-Rhodopsin-20-Methanoretinal
16.67Single6E3YCalcitonin gene-related peptide-16E3Y-CT Like-Calcitonin gene-related peptide-1-Gs/β1/γ2; RAMP1
16.67Single6FK6PubChem 1324730336FK6-Rhodopsin-PubChem 132473033
16.67Single6I9K9-cis-Retinal6I9K-Rhodopsin-9-cis-Retinal
16.67Single6PGSGeraniol6PGS-Rhodopsin-Geraniol-Gt(CT)
16.67Single6PH7Nerol6PH7-Rhodopsin-Nerol-Gt(CT)
16.67Single7CZ5Somatoliberin7CZ5-GHRH-Somatoliberin-Gs/β1/γ2
16.67Single7D7MPGE27D7M-EP4-PGE2-Gs/β1/γ1
16.67Single7KI0Semaglutide7KI0-GLP-1-Semaglutide-Gs/β1/γ2
16.67Single7VVNPTH7VVN-PTH1-PTH-Gs/β1/γ2
16.67Single8FX5Xanomeline8FX5-M4-Xanomeline-Xanomeline-Gi1/β1/γ2
16.67Single8K4OCXCL18K4O-KSHV-CXCL1-Gi1/β1/γ1
16.67Single8SZFCa; Ca; Tryptophan; Cinacalcet; PO4; Spermine8SZF-CaS; CaS-Ca; Ca; Tryptophan; Cinacalcet; PO4; Spermine
16.67Single8X2KOleic monoethanolamide8X2K-GPR3-Oleic monoethanolamide-chim(NtGi1-Gs)/β1/γ2
16.67Single8XJKCloprosetnol8XJK-FP-alpha-Cloprosetnol-chim(NtGi1-Gs-CtGq)/β1/γ2
16.67Single9B9YTaranabant9B9Y-CB1-Taranabant
16.67Single9BLWCagrilintide (non-acylated)9BLW-CT (AMY1)-Cagrilintide (non-acylated)-Gs/β1/γ2; RAMP1
16.67Single9C0KExendin-49C0K-GLP-1-Exendin-4-Gs/β1/γ2
16.67Single9EPRAll-trans-Retinal9EPR-Rhodopsin-All-trans-Retinal-Gi1/β1/γ2
16.67Single9M1HPGE29M1H-EP1-PGE2-chim(NtGi1-Gs-CtGq)/β1/γ2
16.67Single9YDAAll-trans-Retinal9YDA-Opsin1MW-All-trans-Retinal-chim(NtGi1L-Gs-CtGt)/β1/γ2
16.67Consensusgq_nucleotideOrthosteric Ligandgq_p2y
16.67Consensusgq_p2yOrthosteric Ligand7XXH-P2Y1-2MeSADP-chim(NtGi1-G11)/β1/γ2
16.67Consensussecretin_onOrthosteric Ligand7D3S-Secretin-Secretin-Gs/β1/γ2
16.67Consensusvpac1_on_gpOrthosteric Ligand8E3Z-VPAC1-VIP-Gs/β1/γ2
16.13Single6P9XCorticoliberin-16P9X-CRF1-Corticoliberin-1-Gs/β1/γ2
16.13Single6UVAAdrenomedullin-26UVA-CT Like (AM2)-Adrenomedullin-2-Gs/β1/γ2; RAMP3
16.13Single7TYFAmylin7TYF-CT (AMY1)-Amylin-Gs/β1/γ2; RAMP1
16.13Single7VVKPTH7VVK-PTH1-PTH-Gs/β1/γ2
16.13Single8FU6ZP37808FU6-Glucagon-ZP3780-Gs/β1/γ2
16.13Consensuscrf_onOrthosteric Ligandcrf2_on crf1_on
16.13Consensussecretin_on_gpOrthosteric Ligand7D3S-Secretin-Secretin-Gs/β1/γ2
16.00Single6RZ6ONO-25703666RZ6-CysLT2-ONO-2570366
16.00Single7X8SWB4-247X8S-GLP-1-WB4-24-Gs/β1/γ2
16.00Single8GDAL9026888GDA-EP4-L902688-Gs/β1/γ2
16.00Single8IQ4Carboprost8IQ4-FP-alpha-Carboprost-chim(NtGi1-Gs-CtGq)/β1/γ2
16.00Single8SAILysophosphatidylserine (S12)8SAI-GPR34-Lysophosphatidylserine (S12)-Gi1/β1/γ2
16.00Single8XQLCholesterol8XQL-TAS2R14-Cholesterol-Aristolochic acid A-Gt3/β1/γ1
16.00Single9CM7TUG-13759CM7-FFA2-TUG-1375-AZ-1729-Gi1/β1/γ2
15.79Single5ZKQABT-4915ZKQ-PAF-ABT-491
15.79Single6FKBPubChem 1324730386FKB-Rhodopsin-PubChem 132473038
15.79Single6ZA8RTI-3a6ZA8-NTS1-RTI-3a
15.79Single7LCJDanuglipron7LCJ-GLP-1-Danuglipron
15.79Single8A6CAll-trans-Retinal8A6C-Rhodopsin-All-trans-Retinal
15.79Single8A6DAll-trans-Retinal8A6D-Rhodopsin-All-trans-Retinal
15.79Single8A6EAll-trans-Retinal8A6E-Rhodopsin-All-trans-Retinal
15.79Single8T3VDoconexent8T3V-FFA1-Doconexent-chim(NtGi2L-Gs-CtGq)/β1/γ2
15.79Single8YYWAlpha-ketoglutarate8YYW-Oxoglutarate-α-ketoglutarate-α-ketoglutarate-chim(Gi1-CtGq)/β1/γ2
15.79Single9KO2CCL199KO2-CCR7-CCL19-Gi1/β1
15.79Single9KO6CCL199KO6-CCR7-CCL19
15.79Single9PEEPF-07054894; OXM29PEE-CCR6-PF-07054894; OXM2
15.79Consensuscxcr1_onOrthosteric Ligand8IC0-CXCR1-CXCL8-Gi1/β1/γ2
15.79Consensusp2y1_onOrthosteric Ligand7XXH-P2Y1-2MeSADP-chim(NtGi1-G11)/β1/γ2
15.79Consensuspaf_offOrthosteric Ligand5ZKQ-PAF-ABT-491
15.79Consensusrhodopsin_offOrthosteric Ligand1U19-Rhodopsin-11-cis-Retinal 2PED-Rhodopsin-9-cis-Retinal 5TE5-Rhodopsin-20-Methanoretinal
15.62Single6UUSAdrenomedullin6UUS-CT Like (AM2)-Adrenomedullin-Gs/β1/γ2; RAMP3
15.62Single7VVLPTH7VVL-PTH1-PTH-Gs/β1/γ2
15.38Single6RZ8ONO-20803656RZ8-CysLT2-ONO-2080365
15.38Single7L0RNeurotensin-(8-13)7L0R-NTS1-Neurotensin-(8-13)-Gi1/β1/γ1
15.38Single7W2ZGhrelin7W2Z-Ghrelin-Ghrelin-Go/β1/γ2
15.15Single7RBTTirzepatide7RBT-GIP-Tirzepatide-LSN3556672-chim(NtGi1-Gs)/β1/γ2
15.15Single7TYXAmylin7TYX-CT (AMY2)-Amylin-Gs/β1/γ2; RAMP2
15.15Consensuscrf1_onOrthosteric Ligand6PB0-CRF1-Urocortin-chim(NtGi1-Gs)/β1/γ2 6P9X-CRF1-Corticoliberin-1-Gs/β1/γ2
15.00Single6FKAPubChem 1324730376FKA-Rhodopsin-PubChem 132473037
15.00Single6PELCitronellol6PEL-Rhodopsin-Citronellol-Gt(CT)
15.00Single6ZINSR486926ZIN-NTS1-SR48692
15.00Single7M3GCa; Ca; Tryptophan; Evocalcet; Etelcalcetide; PO47M3G-CaS; CaS-Ca; Ca; Tryptophan; Evocalcet; Etelcalcetide; PO4
15.00Single7VODCariprazine7VOD-5-HT2A-Cariprazine
15.00Single8HQN9-S-HODE8HQN-GPR132-9-S-HODE-Gi1/β1/γ2
15.00Single8K4NPubChem 1687197658K4N-GPR34-PubChem 168719765-Gi1/β1/γ2
15.00Single8YRGFospropofol8YRG-MRGPRX4-Fospropofol-chim(NtGi1-Gs-CtGq)/β1/γ2
15.00Single9IXXLTD49IXX-CysLT2-LTD4-chim(NtGi1-Gs-CtGq)/β1/γ2
15.00Single9K0KUTP9K0K-P2Y4-UTP-chim(NtGi1-Gs-CtGq)/β1/γ2
15.00Single9K0XATP9K0X-P2Y2-ATP-chim(NtGi1-Gs-CtGq)/β1/γ2
15.00Single9K20ATP9K20-P2Y2-ATP-chim(NtGi1-Go)/β1/γ2
15.00Consensuscb1_offOrthosteric Ligand5U09-CB1-Taranabant 5TGZ-CB1-AM6538
15.00Consensusopsins_offOrthosteric Ligandrhodopsin_off
15.00Consensussensory_offOrthosteric Ligandopsins_off
14.81Single7RMISubstance-P7RMI-NK1-Substance-P-chim(Gs-CtGq)/β1/γ2
14.81Single7TRYUrocortin7TRY-CRF2-Urocortin-chim(NtGi1-G11)/β1/γ2
14.81Single8IOCGamma-MSH8IOC-MC3-γ-MSH-Ca-chim(NtGi1-Gs)/β1/γ2
14.71Single7TZFAmylin7TZF-CT (AMY3)-Amylin-Gs/β1/γ2; RAMP3
14.71Single7VBHPeptide-207VBH-GLP-1-Peptide-20-Gs/β1/γ2
14.71Single9AUCCalcitonin gene-related peptide-19AUC-CT (AMY1)-Calcitonin gene-related peptide-1-Gs/β1/γ2; RAMP1
14.29Single4QIMANTA XV4QIM-SMO-ANTA XV
14.29Single6ORVTT-OAD26ORV-GLP-1-TT-OAD2-Gs/β1/γ2
14.29Single6Z4VNeurotensin-(9-13)6Z4V-NTS1-Neurotensin-(9-13)
14.29Single7V35Peptide-207V35-Glucagon-Peptide-20-Gs/β1/γ2
14.29Single8EJKTAK-8758EJK-FFA1-TAK-875-chim(NtGi1L-Gs-CtGq)/β1/γ2
14.29Single8IC0CXCL88IC0-CXCR1-CXCL8-Gi1/β1/γ2
14.29Single8X9TAP5038X9T-ADGRD1-AP503-chim(NtGi1-Gs)/β1/γ2
14.29Single8XJLPGF2-alpha8XJL-FP-alpha-PGF2-α-chim(NtGi2-Gs-CtGq)/β1/γ2
14.29Single8YFOAc-LA-PTH Analog8YFO-PTH1-Ac-LA-PTH Analog-chim(NtGi1-Gs)/β1/γ2
14.29Consensuscrf1_on_gpOrthosteric Ligand6PB0-CRF1-Urocortin-chim(NtGi1-Gs)/β1/γ2 6P9X-CRF1-Corticoliberin-1-Gs/β1/γ2
14.29Consensuscxcr1_on_gpOrthosteric Ligand8IC0-CXCR1-CXCL8-Gi1/β1/γ2
13.89Single8JIUSAR4258998JIU-Glucagon-SAR425899-Gs/β1/γ2
13.79Single7FINPeptide-20; GGL7FIN-GIP-Peptide-20; GGL-Gs/β1/γ2
13.79Single7WUIIP157WUI-ADGRG2-IP15-chim(NtGi1-Gs)/β1/γ2
13.79Single8YW5Retatrutide8YW5-Glucagon-Retatrutide-Gs/β1/γ2
13.79Single9BLCCagrilintide (non-acylated)9BLC-CT-Cagrilintide (non-acylated)-Gs/β1/γ2
13.64Single4WW3All-trans-Retinal4WW3-Rhodopsin-All-trans-Retinal
13.64Single6LFMCXCL86LFM-CXCR2-CXCL8-Gi1/β1/γ2
13.64Single6M9TMisoprostol-FA6M9T-EP3-Misoprostol-FA
13.64Single6Z4QSR142948A6Z4Q-NTS1-SR142948A
13.64Single6Z4SSR486926Z4S-NTS1-SR48692
13.64Single7M3GCa; Ca; Tryptophan; Evocalcet; Etelcalcetide; PO47M3G-CaS; CaS-Ca; Ca; Tryptophan; Evocalcet; Etelcalcetide; PO4
13.64Single7VV0PAMP-127VV0-MRGPRX2-PAMP-12
13.64Single8EJCTAK-8758EJC-FFA1-TAK-875-chim(NtGi1L-Gs-CtGq)/β1/γ2
13.64Single8IZ4Lysophosphatidylserine (TJR)8IZ4-GPR34-Lysophosphatidylserine (TJR)-Gi1/β1/γ2
13.64Single8JGGBAM8-228JGG-MRGPRX1-BAM8-22-Gi1/β1/γ2
13.64Single8X0BVU04244658X0B-mGlu5; mGlu5-Quisqualate-VU0424465
13.64Single8X0CVU04244658X0C-mGlu5; mGlu5-Quisqualate-VU0424465
13.64Single8ZYTNeurotensin-(8-13)8ZYT-NTS1-Neurotensin-(8-13)-SBI-553-Arrestin2
13.64Single9HC04YI9HC0-mGlu5-4YI
13.64Consensuscxcr2_on_gpOrthosteric Ligand6LFM-CXCR2-CXCL8-Gi1/β1/γ2
13.33Single4A4MAll-trans-Retinal4A4M-Rhodopsin-All-trans-Retinal-Gt(CT)
13.33Single5EN0All-trans-Retinal5EN0-Rhodopsin-All-trans-Retinal-Gt(CT)
13.33Single5YQZNNC17025YQZ-Glucagon-NNC1702
13.33Single7Y35Abaloparatide7Y35-PTH1-Abaloparatide-Gs/β1/γ2
13.33Single8WCBCyclohexylammonium Ion8WCB-TA1-Cyclohexylammonium Ion-chim(NtGi1-Gs-CtGq)/β1/γ2
13.33Consensuscalcitonin_onOrthosteric Ligandctlike_on
13.04Single3ZEVNeurotensin-(7-13)3ZEV-NTS1-Neurotensin-(7-13)
13.04Single4BV0Neurotensin-(7-13)4BV0-NTS1-Neurotensin-(7-13)
13.04Single4OO9Mavoglurant4OO9-mGlu5-Mavoglurant
13.04Single5V56TC1145V56-SMO-TC114
13.04Single6Z8NSRI-98296Z8N-NTS1-SRI-9829
13.04Single7L0PNeurotensin-(8-13)7L0P-NTS1-Neurotensin-(8-13)-Gi1/β1/γ1
13.04Single7L0QNeurotensin-(8-13)7L0Q-NTS1-Neurotensin-(8-13)-Gi1/β1/γ1
13.04Single7P2L4YI7P2L-mGlu5-4YI
13.04Single8FMZNeurotensin-(8-13)8FMZ-NTS1-Neurotensin-(8-13)-chim(NtGi2L-Gs-CtGq)/β1/γ2
13.04Single8GDBPGE28GDB-EP4-PGE2-Gs/β1/γ2
13.04Single8JD5JNJ-40411813; ADX881788JD5-mGlu2; mGlu4-Glutamate-JNJ-40411813; ADX88178-Gi1/β1/γ2
13.04Single8JGFBAM8-228JGF-MRGPRX1-BAM8-22-chim(NtGi1-Gs-CtGq)/β1/γ2
13.04Single8X0BVU04244658X0B-mGlu5; mGlu5-Quisqualate-VU0424465
13.04Single8X79MRE-2698X79-I2-MRE-269-Gs/β1/γ2
13.04Single8ZW0PGD28ZW0-DP1-PGD2-Gs/β1/γ2
13.04Single9CLWTUG-13759CLW-FFA2-TUG-1375-4-CMTB-chim(NtGi1L-Gs-CtGq)/β1/γ2
13.04Single9E9SPGD29E9S-DP1-PGD2-Gs/β1/γ1
13.04Single9ITELPA9ITE-LPA6-LPA-chim(NtGi2-G13)/β1/γ2
13.04Single9JCLADP9JCL-P2Y1-ADP-chim(Gs-CtGq)/β1/γ2
13.04Single9MENGp120 (V3 loop)9MEN-CXCR4-Gp120 (V3 loop)
13.04Consensusneurotensin_onOrthosteric Ligandnts1_on
13.04Consensusnts1_onOrthosteric Ligand6OSA-NTS1-JMV449-Gi1/β1/γ2 7L0S-NTS1-Neurotensin-(8-13)-Gi1/β1/γ1
12.90Single6NBILA-PTH Analog6NBI-PTH1-LA-PTH Analog-Gs/β1/γ2
12.90Single8FLRPTHrP(1-36)8FLR-PTH1-PTHrP(1-36)-Gs/β1/γ2
12.90Single9BP3Cagrilintide9BP3-CT (AMY1)-Cagrilintide-Gs/β1/γ2; RAMP1
12.90Consensuscalcitonin_on_gpOrthosteric Ligandctlike_on_gp
12.50Single3VW7Vorapaxar; Na3VW7-PAR1-Vorapaxar; Na
12.50Single4GRVNeurotensin-(8-13)4GRV-NTS1-Neurotensin-(8-13)
12.50Single6AK3PGE26AK3-EP3-PGE2
12.50Single6OSAJMV4496OSA-NTS1-JMV449-Gi1/β1/γ2
12.50Single6RZ7ONO-25703666RZ7-CysLT2-ONO-2570366
12.50Single6YVRNeurotensin-(6-13)6YVR-NTS1-Neurotensin-(6-13)
12.50Single7V68LY21196207V68-M4-Iperoxo-LY2119620-Gi1/β1/γ2
12.50Single7XKEDehydroepiandrosterone7XKE-ADGRG2-Dehydroepiandrosterone-chim(NtGi1-Gs)/β1/γ2
12.50Single8F0JPramlintide Analogue San458F0J-CT-Pramlintide Analogue San45-Gs/β1/γ2
12.50Single8IQ6Latanoprost8IQ6-FP-alpha-Latanoprost-chim(NtGi1-Gs-CtGq)/β1/γ2
12.50Single8JPBNeurotensin-(8-13)8JPB-NTS1-Neurotensin-(8-13)-SBI-553; GDP; Mg-Gq; GRK2
12.50Single8JPCNeurotensin-(8-13)8JPC-NTS1-Neurotensin-(8-13)-SBI-553; GDP; Mg-Gq; GRK2
12.50Single8XJNCloprosetnol8XJN-TXA2-Cloprosetnol-chim(NtGi1-Gs-CtGq)/β1/γ2
12.50Single8XQNCholesterol8XQN-TAS2R14-Cholesterol-Aristolochic acid A-Gi1/β1/γ1
12.50Single9AU0BW245C9AU0-DP1-BW245C-Gs/β1/γ2
12.50Single9GGGI-BOP9GGG-TXA2-I-BOP-chim(NtGi2L-Gs-CtGq)/β1/γ2
12.50Consensusgi_neurotensinOrthosteric Ligand6OSA-NTS1-JMV449-Gi1/β1/γ2 7L0S-NTS1-Neurotensin-(8-13)-Gi1/β1/γ1
12.50Consensusneurotensin_on_gpOrthosteric Ligandnts1_on_gp
12.50Consensusnts1_on_gpOrthosteric Ligand6OSA-NTS1-JMV449-Gi1/β1/γ2 7L0S-NTS1-Neurotensin-(8-13)-Gi1/β1/γ1
12.20Single8F2BPramlintide Analogue San458F2B-CT (AMY3)-Pramlintide Analogue San45-Gs/β1/γ2; RAMP3
12.12Single6LMKGlucagon6LMK-Glucagon-Glucagon-Gs/β1/γ2
12.12Consensusvpac2_onOrthosteric Ligand7VQX-VPAC1-PACAP27-Gs/β1/γ2
12.12Consensusvpac2_on_gpOrthosteric Ligand7VQX-VPAC1-PACAP27-Gs/β1/γ2
12.00Single6RZ9ONO-27703726RZ9-CysLT2-ONO-2770372
12.00Single8FN0Neurotensin-(8-13)8FN0-NTS1-Neurotensin-(8-13)-SBI-553-chim(NtGi1-Go)/β1/γ2
12.00Single8JPFNeurotensin-(8-13)8JPF-NTS1-Neurotensin-(8-13)-SBI-553
12.00Single8XJOU466198XJO-TXA2-U46619-chim(NtGi1-Gs-CtGq)/β1/γ2
12.00Single9GG5U466199GG5-TXA2-U46619-chim(NtGi2L-Gs-CtGq)/β1/γ2
12.00Consensuscyslt2_offOrthosteric Ligand6RZ7-CysLT2-ONO-2570366 6RZ8-CysLT2-ONO-2080365 6RZ9-CysLT2-ONO-2770372
12.00Consensusprostanoid_onOrthosteric Ligandtp_on fp-alpha_on
12.00Consensusprostanoid_on_gpOrthosteric Ligandtp_on_gp fp-alpha_on_gp
12.00Consensustp_onOrthosteric Ligand8XJO-TXA2-U46619-chim(NtGi1-Gs-CtGq)/β1/γ2
12.00Consensustp_on_gpOrthosteric Ligand8XJO-TXA2-U46619-chim(NtGi1-Gs-CtGq)/β1/γ2
11.76Single2HPYAll-trans-Retinal2HPY-Rhodopsin-All-trans-Retinal
11.76Single6OT025(S)-Epoxycholesterol6OT0-SMO-25(S)-Epoxycholesterol-Gi1/β1/γ2
11.76Single8Y02All-trans-Retinal8Y02-OPN1SW-All-trans-Retinal-Gi1/β1/γ2
11.76Consensusgip_onOrthosteric Ligand7FIN-GIP-Peptide-20; GGL-Gs/β1/γ2 7FIY-GIP-Tirzepatide-Gs/β1/γ2 7DTY-GIP-GIP-Gs/β1/γ2
11.76Consensusgip_on_gpOrthosteric Ligand7FIN-GIP-Peptide-20; GGL-Gs/β1/γ2 7FIY-GIP-Tirzepatide-Gs/β1/γ2 7DTY-GIP-GIP-Gs/β1/γ2
11.54Single8XQJJN2418XQJ-Apelin; Apelin-JN241
11.54Single8XQOCholesterol8XQO-TAS2R14-Cholesterol-Aristolochic acid A-Gi1/β1/γ1
11.54Single8XX6CXCL88XX6-CXCR2-CXCL8-Go/β1/γ2
11.54Single9ITBLPA9ITB-LPA6-LPA-chim(NtGi1-Gs-CtGq)/β1/γ2
11.43Single8F2APramlintide Analogue San3858F2A-CT (AMY3)-Pramlintide Analogue San385-Gs/β1/γ2; RAMP3
11.11Single7VLACCL15(27-92)7VLA-CCR1-CCL15(27-92)-Gi1/β1/γ2
11.11Single8DWGBAM8-228DWG-MRGPRX1-BAM8-22-ML382-chim(NtGi2L-Gs-CtGq)/β1/γ2
11.11Single8F76Propanoic acid8F76-OR51E2-Propanoic acid-Gs/β1/γ2
11.11Single8XWNCXCL88XWN-CXCR2-CXCL8
11.11Single9BUECagrilintide9BUE-CT-Cagrilintide-Gs/β1/γ2
11.11Single9IJRC179IJR-GPR52-C17-Arrestin2
11.11Single9JHJC18:0 Ceramide9JHJ-FPR2-ALX-C18:0 Ceramide-Gi1/β1/γ2
11.11Consensusccr1_onOrthosteric Ligand7VLA-CCR1-CCL15(27-92)-Gi1/β1/γ2
11.11Consensusccr1_on_gpOrthosteric Ligand7VLA-CCR1-CCL15(27-92)-Gi1/β1/γ2
10.81Single7TYOCalcitonin7TYO-CT-Calcitonin-Gs/β1/γ2
10.81Single7TYYCalcitonin-17TYY-CT (AMY2)-Calcitonin-1-Gs/β1/γ2; RAMP2
10.81Single8JITMEDI03828JIT-Glucagon-MEDI0382-Gs/β1/γ2
10.71Single6WHCGlu16 analog of GCG6WHC-Glucagon-Glu16 analog of GCG-Gs/β1/γ2
10.53Single3AYMAll-trans-Retinal3AYM-Rhodopsin-All-trans-Retinal
10.53Single5L7IVismodegib5L7I-SMO-Vismodegib
10.53Single6LI0C176LI0-GPR52-C17
10.53Single7D76Beclomethasone7D76-ADGRG3-Beclomethasone-Go/β1/γ2
10.53Single8U4RREGN7663-Fab8U4R-CXCR4-REGN7663-Fab
10.53Consensusgluc_onOrthosteric Ligand6LMK-Glucagon-Glucagon-Gs/β1/γ2 8JIT-Glucagon-MEDI0382-Gs/β1/γ2 7V35-Glucagon-Peptide-20-Gs/β1/γ2
10.26Consensusgluc_on_gpOrthosteric Ligand6LMK-Glucagon-Glucagon-Gs/β1/γ2 8JIT-Glucagon-MEDI0382-Gs/β1/γ2 7V35-Glucagon-Peptide-20-Gs/β1/γ2
10.00Single2Z7311-cis-Retinal2Z73-Rhodopsin-11-cis-Retinal
10.00Single3AYN9-cis-Retinal3AYN-Rhodopsin-9-cis-Retinal
10.00Single5U09Taranabant5U09-CB1-Taranabant
10.00Single6LFOCXCL86LFO-CXCR2-CXCL8-Gi1/β1/γ2
10.00Single6NIYCalcitonin-16NIY-CT-Calcitonin-1-Gs/β1/γ2
10.00Single7TYIAmylin7TYI-CT-Amylin-Gs/β1/γ2
10.00Single8DWHPubChem 1390305318DWH-MRGPRX1-PubChem 139030531-chim(NtGi2L-Gs-CtGq)/β1/γ2
10.00Single8HMPC178HMP-GPR52-C17-Gs/β1/γ2
10.00Single8U8FPalmitic Acid8U8F-GPR3-Palmitic Acid-Gs/β1/γ2
10.00Single9BUDCagrilintide9BUD-CT-Cagrilintide-Gs/β1/γ2
10.00Consensuscrf2_onOrthosteric Ligand7TS0-CRF2-Urocortin-chim(NtGi1L-Go)/β1/γ2
9.68Single7TYWCalcitonin-17TYW-CT (AMY1)-Calcitonin-1-Gs/β1/γ2; RAMP1
9.52Single6FFIMPEP6FFI-mGlu5-MPEP
9.52Single7UTZDPPC7UTZ-TSH-TSH-DPPC-Gs/β1/γ2
9.52Single8HJ5PubChem 1390305318HJ5-MRGPRX1-PubChem 139030531-chim(NtGi1-Gs-CtGq)/β1/γ2
9.52Single9DQJEP-39459DQJ-MRGPRD-EP-3945-chim(NtGi1-Gs-CtGq)/β1/γ2
9.52Consensuscxcr2_onOrthosteric Ligand6LFM-CXCR2-CXCL8-Gi1/β1/γ2
9.38Single9BLBCagrilintide (non-acylated)9BLB-CT-Cagrilintide (non-acylated)-Gs/β1/γ2
9.38Consensuscrf2_on_gpOrthosteric Ligand7TS0-CRF2-Urocortin-chim(NtGi1L-Go)/β1/γ2
9.09Single5NX2GLP-1 (Truncated)5NX2-GLP-1-GLP-1 (Truncated)
9.09Single6FFHFenobam6FFH-mGlu5-Fenobam
9.09Single6IIVDaltroban6IIV-TXA2-Daltroban
9.09Single7FIHOrg435537FIH-LH-hCG-Org43553-chim(NtGi1-Gs)/β1/γ2
9.09Single8GCML-9026888GCM-EP4-L-902688-Gi1/β1/γ2
9.09Single8TH3AT118-H Nanobody8TH3-AT1-AT118-H Nanobody
9.09Single9IMATalquetamab9IMA-GPRC5D; GPRC5D-Talquetamab
9.09Single9JQZGrapiprant 9JQZ-EP4-Grapiprant
9.09Single9METGp120; CD49MET-CXCR4-Gp120; CD4
9.09Consensusglp2_onOrthosteric Ligand7D68-GLP-2-GLP-2-Gs/β1/γ2
9.09Consensusglp2_on_gpOrthosteric Ligand7D68-GLP-2-GLP-2-Gs/β1/γ2
8.82Single7TYLAmylin7TYL-CT-Amylin-Gs/β1/γ2
8.70Single4JKVTaladegib4JKV-SMO-Taladegib
8.70Single8GDCPGE28GDC-EP3-PGE2-Gi1/β1/γ2
8.70Single8TH4AT118-L Nanobody8TH4-AT1-Losartan-AT118-L Nanobody
8.70Single8X0CVU04244658X0C-mGlu5; mGlu5-Quisqualate-VU0424465
8.70Single8XQPCholesterol8XQP-TAS2R14-Cholesterol-Aristolochic acid A-Gt3/β1/γ1
8.70Single8ZVZBW245C8ZVZ-DP1-BW245C-Gs/β1/γ2
8.70Single9DQHEP-28259DQH-MRGPRD-EP-2825-chim(NtGi1-Gs-CtGq)/β1/γ2
8.70Single9EAHNanobody AT2099EAH-AT1-Olmesartan-Nanobody AT209
8.70Single9EE5ONO-25502899EE5-DP1-ONO-2550289
8.70Single9EKHONO-30302979EKH-DP1-ONO-3030297
8.33Single5V57TC1145V57-SMO-TC114
8.33Single8TAOCDPPB8TAO-mGlu5; mGlu5-Quisqualate-CDPPB
8.33Single8XQTCholesterol8XQT-TAS2R14-Cholesterol-Gi1/β1/γ1
8.00Single6IIURamatroban6IIU-TXA2-Ramatroban
8.00Single8DWCBAM8-228DWC-MRGPRX1-BAM8-22-chim(NtGi2L-Gs-CtGq)/β1/γ2
8.00Single8XQJJN2418XQJ-Apelin; Apelin-JN241
8.00Single8XX3CXCL38XX3-CXCR2-CXCL3-Go/β1/γ2
7.69Single6UP7Neurotensin-(8-13)6UP7-NTS1-Neurotensin-(8-13)-Arrestin2
7.69Single7CX4Evatanepag7CX4-EP2-Evatanepag-Gs/β1/γ2
7.69Single8XVUCXCL28XVU-CXCR2-CXCL2
7.69Single8XWFCXCL38XWF-CXCR2-CXCL3
7.69Single8XXHCXCL28XXH-CXCR2-CXCL2-Go/β1/γ2
7.69Single9JH5C16:0 Ceramide9JH5-CysLT2-C16:0 Ceramide-chim(NtGi1-Gs-CtGq)/β1/γ2
7.41Single6KNMJN241-96KNM-Apelin-JN241-9
7.41Single6OS9JMV4496OS9-NTS1-JMV449-Gi1/β1/γ2
7.41Single7CX2PGE27CX2-EP2-PGE2-Gs/β1/γ2
7.14Single7CX3Taprenepag7CX3-EP2-Taprenepag-Gs/β1/γ2
7.14Single7RTBPeptide-197RTB-GLP-1-Peptide-19-Gs/β1/γ2
7.14Single8JIQPeptide-158JIQ-Glucagon-Peptide-15-Gs/β1/γ2
6.25Single7TYHCalcitonin7TYH-CT (AMY2)-Calcitonin-Gs/β1/γ2; RAMP2
6.25Single8JGBConorfamide-Tx28JGB-MRGPRX1-Conorfamide-Tx2-Gi1/β1/γ2
6.06Single9BUBCagrilintide9BUB-CT-Cagrilintide-Gs/β1/γ2
6.06Consensusctlike_onOrthosteric Ligand6E3Y-CT Like-Calcitonin gene-related peptide-1-Gs/β1/γ2; RAMP1
5.88Single7TYNCalcitonin-17TYN-CT-Calcitonin-1-Gs/β1/γ2
5.88Single7XKDDehydroepiandrosterone7XKD-ADGRG2-Dehydroepiandrosterone-Gs/β1/γ2
5.88Single8HQMNPGLY8HQM-GPR132-NPGLY-Gi1/β1/γ2
5.88Single8HVINOX-6-78HVI-GPR132-NOX-6-7-Gi1/β1/γ2
5.71Single9BQ3Cagrilintide9BQ3-CT (AMY2)-Cagrilintide-Gs/β1/γ2; RAMP2
5.71Single9BTWCagrilintide9BTW-CT (AMY3)-Cagrilintide-Gs/β1/γ2; RAMP3
5.71Consensusctlike_on_gpOrthosteric Ligand6E3Y-CT Like-Calcitonin gene-related peptide-1-Gs/β1/γ2; RAMP1
5.56Single7VDMSubstance-P7VDM-MRGPRX2-Substance-P-Gi1/β1/γ2
5.56Single7Y14Beta-Alanine7Y14-MRGPRD-β-Alanine
5.56Consensusp2y_offOrthosteric Ligandp2y1_off
5.26Single4XNWMRS25004XNW-P2Y1-MRS2500
5.26Single6D32Cyclopamine6D32-SMO-Cyclopamine-Cyclopamine
5.26Single6PWCNeurotensin-(9-13)6PWC-NTS1-Neurotensin-(9-13)-Arrestin2
5.26Single7D77Hydrocortisone7D77-ADGRG3-Hydrocortisone-Go/β1/γ2
5.26Single7Y12Beta-Alanine7Y12-MRGPRD-β-Alanine-Gi1/β1/γ2
5.26Single8JRVGlucagon8JRV-Glucagon-Glucagon-Arrestin2
5.26Consensusp2y1_offOrthosteric Ligand4XNW-P2Y1-MRS2500
5.00Single4O9RCyclopamine4O9R-SMO-Cyclopamine
5.00Single7S8NR-Zinc-35737S8N-MRGPRX2-R-Zinc-3573-chim(NtGi2L-Gs-CtGq)/β1/γ2
5.00Single7S8OR-Zinc-35737S8O-MRGPRX2-R-Zinc-3573-Gi1/β1/γ2
5.00Single7UL2SR486927UL2-NTS1-SR48692-Na
5.00Single7VDHC48/807VDH-MRGPRX2-C48/80-Gi1/β1/γ2
5.00Consensusadgrg_onOrthosteric Ligandadgrg2_on adgrg4_on
5.00Consensusadgrg_on_gpOrthosteric Ligandadgrg2_on_gp adgrg4_on_gp
5.00Consensusneurotensin_offOrthosteric Ligandnts1_off
5.00Consensusnts1_offOrthosteric Ligand7UL2-NTS1-SR48692-Na
4.76Single4BWBNeurotensin-(8-12)4BWB-NTS1-Neurotensin-(8-12)
4.76Single4QINSAG1.54QIN-SMO-SAG1.5
4.76Single6O3CSAG21k6O3C-SMO-SAG21k-Cholesterol
4.76Single6WWZCCL206WWZ-CCR6-CCL20-Go/β1/γ2
4.76Single7VV5C48/807VV5-MRGPRX2-C48/80-Gi1/β1/γ2
4.76Single7VVOPTH7VVO-PTH1-PTH-Gs/β1/γ2
4.76Single8YNFCXCL88YNF-ACKR1-CXCL8
4.76Consensusccr6_onOrthosteric Ligand6WWZ-CCR6-CCL20-Go/β1/γ2
4.76Consensusccr6_on_gpOrthosteric Ligand6WWZ-CCR6-CCL20-Go/β1/γ2
4.55Single6XBLSAG6XBL-SMO-SAG-Cholesterol-Gi1/β1/γ2
4.55Single7VV6C48/807VV6-MRGPRX2-C48/80
4.55Single7ZI0SAG7ZI0-SMO-SAG-Cholesterol
4.55Single8IYXYL-3658IYX-GPR34-YL-365
4.55Single8X7ATreprostinil8X7A-I2-Treprostinil-Gs/β1/γ2
4.35Single5T04Neurotensin-(8-13)5T04-NTS1-Neurotensin-(8-13)
4.35Single7SK8CXCL127SK8-ACKR3-CXCL12-CCX662
4.35Single9IVGGLP-1 (Truncated)9IVG-GLP-1-GLP-1 (Truncated)-chim(NtGi1-Gs)/β1/γ2
4.17Single8T6JCDPPB8T6J-mGlu5; mGlu5-CDPPB
4.17Single8T6JCDPPB8T6J-mGlu5; mGlu5-CDPPB
4.17Consensusadgrg2_onOrthosteric Ligand7WUI-ADGRG2-IP15-chim(NtGi1-Gs)/β1/γ2 7WUQ-ADGRG2-Gs/β1/γ2 7XKF-ADGRG2-Dehydroepiandrosterone-Gs/β1/γ2
4.17Consensusadgrg2_on_gpOrthosteric Ligand7WUI-ADGRG2-IP15-chim(NtGi1-Gs)/β1/γ2 7WUQ-ADGRG2-Gs/β1/γ2 7XKF-ADGRG2-Dehydroepiandrosterone-Gs/β1/γ2
4.00Single7SK7CXCL127SK7-ACKR3-CXCL12-CCX662
4.00Single8XX7CXCL58XX7-CXCR2-CXCL5-Go/β1/γ2
3.85Single8XWACXCL18XWA-CXCR2-CXCL1
3.85Single8XWMCXCL68XWM-CXCR2-CXCL6
3.85Single8XWSCXCL58XWS-CXCR2-CXCL5
3.70Single6M1HMaxadilan6M1H-PAC1-Maxadilan-Gs/β1/γ2
3.70Single8XWVCXCL18XWV-CXCR2-CXCL1-Go/β1/γ2

PDB Summary
PDB 9KVP
Class A
SubFamily Peptide
Type Complement Peptide
SubType C3A
Species Homo Sapiens
Ligand SB290157
Other Ligand(s) -
Protein Partners Go/Beta1/Gamma2
PDB Resolution 2.79
Date 2025-11-26
D.O.I. 10.1101/2025.05.26.656101
Net Summary
Imin 2.98
Number of Linked Nodes 818
Number of Links 984
Number of Hubs 162
Number of Links mediated by Hubs 599
Number of Communities 27
Number of Nodes involved in Communities 226
Number of Links involved in Communities 324
Path Summary
Number Of Nodes in MetaPath 106
Number Of Links MetaPath 105
Number of Shortest Paths 3456623
Length Of Smallest Path 3
Average Path Length 51.5113
Length of Longest Path 88
Minimum Path Strength 1.205
Average Path Strength 6.26362
Maximum Path Strength 31.82
Minimum Path Correlation 0.7
Average Path Correlation 0.988663
Maximum Path Correlation 1
Minimum % Of Corr. Nodes 1.40845
Average % Of Corr. Nodes 28.3315
Maximum % Of Corr. Nodes 100
Minimum Path Hubs % 0
Average Path Hubs % 56.5365
Maximum Path Hubs % 100
AnnotationTypeLinks
Gene OntologyMolecular Function• neurotransmitter receptor activity   • G protein-coupled amine receptor activity   • G protein-coupled acetylcholine receptor activity   • postsynaptic neurotransmitter receptor activity   • molecular transducer activity   • G protein-coupled receptor activity   • signaling receptor activity   • transmembrane signaling receptor activity   • G protein-coupled neurotransmitter receptor activity   • acetylcholine receptor activity   • complement component C3a receptor activity   • complement receptor activity   • immune receptor activity   • opsonin receptor activity   • complement component C5a receptor activity   • cellular response to stimulus   • cellular response to nitrogen compound   • regulation of cellular process   • response to stimulus   • signaling   • cell communication   • synaptic signaling   • signal transduction   • cellular response to acetylcholine   • regulation of biological process   • biological regulation   • response to oxygen-containing compound   • cell-cell signaling   • response to nitrogen compound
Gene OntologyBiological Process• cellular response to stimulus   • cellular response to nitrogen compound   • regulation of cellular process   • response to stimulus   • signaling   • cell communication   • synaptic signaling   • signal transduction   • cellular response to acetylcholine   • regulation of biological process   • biological regulation   • response to oxygen-containing compound   • cell-cell signaling   • response to nitrogen compound   • acetylcholine receptor signaling pathway   • postsynaptic signal transduction   • cellular response to oxygen-containing compound   • adenylate cyclase-inhibiting G protein-coupled receptor signaling pathway   • cellular response to chemical stimulus   • G protein-coupled acetylcholine receptor signaling pathway   • response to chemical   • adenylate cyclase-modulating G protein-coupled receptor signaling pathway   • response to acetylcholine   • G protein-coupled receptor signaling pathway   • cellular process   • adenylate cyclase-inhibiting G protein-coupled acetylcholine receptor signaling pathway   • cell surface receptor signaling pathway   • trans-synaptic signaling   • anterograde trans-synaptic signaling   • chemical synaptic transmission   • regulation of locomotion   • locomotion   • G protein-coupled receptor signaling pathway, coupled to cyclic nucleotide second messenger   • positive regulation of locomotion   • regulation of cell motility   • macrophage migration   • positive regulation of chemotaxis   • positive regulation of cell migration   • taxis   • cell migration   • regulation of immune system process   • regulation of mononuclear cell migration   • positive regulation of immune system process   • chemotaxis   • regulation of leukocyte chemotaxis   • regulation of leukocyte migration   • positive regulation of macrophage migration   • response to external stimulus   • positive regulation of leukocyte chemotaxis   • granulocyte migration   • leukocyte migration   • regulation of response to stimulus   • regulation of response to external stimulus   • macrophage chemotaxis   • positive regulation of biological process   • positive regulation of response to stimulus   • regulation of granulocyte chemotaxis   • regulation of macrophage migration   • positive regulation of response to external stimulus   • positive regulation of cell motility   • regulation of cell migration   • myeloid leukocyte migration   • positive regulation of mononuclear cell migration   • cell motility   • positive regulation of cellular process   • cell chemotaxis   • regulation of macrophage chemotaxis   • positive regulation of leukocyte migration   • regulation of chemotaxis   • immune system process   • granulocyte chemotaxis   • mononuclear cell migration   • positive regulation of macrophage chemotaxis   • leukocyte chemotaxis   • positive regulation of cytosolic calcium ion concentration   • regulation of biological quality   • multicellular organismal process   • positive regulation of macromolecule biosynthetic process   • positive regulation of metabolic process   • positive regulation of biosynthetic process   • regulation of cytokine production   • cytokine production   • regulation of multicellular organismal process   • positive regulation of macromolecule metabolic process   • regulation of vascular endothelial growth factor production   • regulation of biosynthetic process   • regulation of macromolecule metabolic process   • gene expression   • macromolecule biosynthetic process   • regulation of gene expression   • vascular endothelial growth factor production   • biosynthetic process   • positive regulation of gene expression   • positive regulation of multicellular organismal process   • positive regulation of vascular endothelial growth factor production   • regulation of macromolecule biosynthetic process   • metabolic process   • macromolecule metabolic process   • positive regulation of cytokine production   • regulation of metabolic process   • regulation of developmental process   • angiogenesis   • regulation of vasculature development   • positive regulation of developmental process   • multicellular organism development   • tube morphogenesis   • anatomical structure development   • regulation of anatomical structure morphogenesis   • blood vessel development   • system development   • developmental process   • regulation of multicellular organismal development   • blood vessel morphogenesis   • tube development   • positive regulation of angiogenesis   • vasculature development   • circulatory system development   • anatomical structure morphogenesis   • positive regulation of vasculature development   • regulation of angiogenesis   • anatomical structure formation involved in morphogenesis   • phospholipase C-activating G protein-coupled receptor signaling pathway   • immune response-regulating cell surface receptor signaling pathway   • complement receptor mediated signaling pathway   • immune response-activating signaling pathway   • immune response-regulating signaling pathway   • positive regulation of immune response   • immune response-activating cell surface receptor signaling pathway   • immune response   • regulation of immune response   • activation of immune response   • defense response   • response to stress   • inflammatory response   • positive regulation of neutrophil chemotaxis   • neutrophil migration   • positive regulation of granulocyte chemotaxis   • regulation of neutrophil chemotaxis   • regulation of neutrophil migration   • neutrophil chemotaxis   • positive regulation of neutrophil migration   • intracellular signal transduction   • calcium-mediated signaling   • intracellular signaling cassette   • system process   • circulatory system process   • blood circulation   • cell periphery   • postsynapse   • cellular anatomical structure   • postsynaptic membrane   • synapse   • cell junction   • membrane   • plasma membrane   • plasma membrane region   • synaptic membrane   • somatodendritic compartment   • cell projection   • dendrite   • dendritic tree
Gene OntologyCellular Component• cell periphery   • postsynapse   • cellular anatomical structure   • postsynaptic membrane   • synapse   • cell junction   • membrane   • plasma membrane   • plasma membrane region   • synaptic membrane   • somatodendritic compartment   • cell projection   • dendrite   • dendritic tree   • neuron projection   • plasma membrane bounded cell projection   • membrane-bounded organelle   • intracellular anatomical structure   • intracellular vesicle   • intracellular membrane-bounded organelle   • endomembrane system   • specific granule membrane   • intracellular organelle   • cytoplasmic vesicle membrane   • bounding membrane of organelle   • vesicle membrane   • cytoplasmic vesicle   • organelle   • secretory granule   • secretory vesicle   • cytoplasm   • vesicle   • organelle membrane   • secretory granule membrane   • specific granule   • lytic vacuole   • lysosome   • vacuolar membrane   • azurophil granule   • vacuole   • lytic vacuole membrane   • lysosomal membrane   • primary lysosome   • azurophil granule membrane   • protein binding   • binding   • G-protein beta-subunit binding   • fibroblast proliferation   • cell population proliferation   • cellular process   • cellular response to nitrogen compound   • cellular response to stimulus   • response to dopamine   • regulation of cellular process   • response to stimulus   • signaling   • cellular response to dopamine   • response to monoamine   • cell communication   • response to catecholamine   • adenylate cyclase-activating dopamine receptor signaling pathway   • cellular response to catecholamine stimulus   • signal transduction   • regulation of biological process   • G protein-coupled dopamine receptor signaling pathway   • biological regulation   • response to oxygen-containing compound   • response to nitrogen compound   • adenylate cyclase-activating G protein-coupled receptor signaling pathway   • cellular response to oxygen-containing compound   • cellular response to chemical stimulus   • cellular response to monoamine stimulus   • response to chemical   • adenylate cyclase-modulating G protein-coupled receptor signaling pathway   • G protein-coupled receptor signaling pathway   • response to ketone   • response to prostaglandin   • response to lipid   • response to endogenous stimulus   • response to alcohol   • cellular response to prostaglandin stimulus   • cellular response to endogenous stimulus   • cellular response to prostaglandin E stimulus   • cellular response to alcohol   • response to hormone   • cellular response to lipid   • response to prostaglandin E   • cellular response to ketone   • cellular response to hormone stimulus   • protein-containing complex   • extrinsic component of plasma membrane   • catalytic complex   • plasma membrane protein complex   • cytoplasmic side of membrane   • membrane protein complex   • heterotrimeric G-protein complex   • side of membrane   • cytoplasmic side of plasma membrane   • GTPase complex   • extrinsic component of membrane   • extrinsic component of cytoplasmic side of plasma membrane   • extracellular exosome   • extracellular vesicle   • extracellular organelle   • extracellular region   • extracellular space   • extracellular membrane-bounded organelle   • enzyme binding   • GTPase binding   • protein-containing complex binding   • pyrophosphatase activity   • GTPase activity   • ribonucleoside triphosphate phosphatase activity   • hydrolase activity, acting on acid anhydrides, in phosphorus-containing anhydrides   • hydrolase activity   • hydrolase activity, acting on acid anhydrides   • catalytic activity   • signaling receptor complex adaptor activity   • protein-macromolecule adaptor activity   • molecular adaptor activity   • signaling adaptor activity   • multicellular organismal process   • system process   • sensory perception of chemical stimulus   • sensory perception   • nervous system process   • sensory perception of taste   • developmental process   • sensory organ development   • eye development   • animal organ development   • retina development in camera-type eye   • visual system development   • multicellular organism development   • camera-type eye development   • anatomical structure development   • sensory system development   • system development   • small GTPase-mediated signal transduction   • Ras protein signal transduction   • intracellular signal transduction   • intracellular signaling cassette   • phospholipase C-activating G protein-coupled receptor signaling pathway   • synaptic signaling   • cellular response to acetylcholine   • cell-cell signaling   • acetylcholine receptor signaling pathway   • postsynaptic signal transduction   • G protein-coupled acetylcholine receptor signaling pathway   • response to acetylcholine   • non-motile cilium   • 9+0 non-motile cilium   • cilium   • photoreceptor disc membrane   • photoreceptor outer segment   • photoreceptor cell cilium   • cytosol   • mu-type opioid receptor binding   • signaling receptor binding   • G protein-coupled receptor binding   • opioid receptor binding   • guanyl nucleotide binding   • GTP binding   • nucleotide binding   • guanyl ribonucleotide binding   • purine ribonucleotide binding   • purine ribonucleoside triphosphate binding   • nucleoside phosphate binding   • ion binding   • purine nucleotide binding   • anion binding   • heterocyclic compound binding   • carbohydrate derivative binding   • ribonucleotide binding   • small molecule binding   • peptide hormone receptor binding   • corticotropin-releasing hormone receptor binding   • corticotropin-releasing hormone receptor 1 binding   • hormone receptor binding   • neuropeptide receptor binding   • G protein-coupled serotonin receptor binding   • G-protein beta/gamma-subunit complex binding   • G protein activity   • molecular function regulator activity   • cation binding   • metal ion binding   • adenylate cyclase-inhibiting serotonin receptor signaling pathway   • G protein-coupled serotonin receptor signaling pathway   • adenylate cyclase-inhibiting G protein-coupled receptor signaling pathway   • heart process   • regulation of heart contraction   • regulation of system process   • circulatory system process   • regulation of blood circulation   • regulation of multicellular organismal process   • heart contraction   • blood circulation   • behavior   • locomotory behavior   • transport   • secretion   • export from cell   • membrane docking   • establishment of localization   • vesicle-mediated transport   • localization   • organelle localization by membrane tethering   • secretion by cell   • exocytosis   • organelle localization   • vesicle docking   • exocytic process   • vesicle docking involved in exocytosis   • negative regulation of protein transport   • regulation of localization   • establishment of protein localization   • nitrogen compound transport   • negative regulation of biological process   • negative regulation of transport   • negative regulation of secretion   • negative regulation of hormone secretion   • negative regulation of secretion by cell   • intracellular protein localization   • regulation of biological quality   • regulation of peptide hormone secretion   • negative regulation of peptide hormone secretion   • regulation of hormone levels   • establishment of protein localization to extracellular region   • negative regulation of establishment of protein localization   • protein secretion   • regulation of protein secretion   • regulation of secretion   • negative regulation of protein secretion   • regulation of hormone secretion   • regulation of protein localization   • regulation of peptide secretion   • negative regulation of signaling   • hormone secretion   • negative regulation of cell communication   • protein localization to extracellular region   • negative regulation of peptide secretion   • peptide secretion   • regulation of secretion by cell   • signal release   • negative regulation of cellular process   • negative regulation of protein localization   • regulation of signaling   • regulation of transport   • regulation of peptide transport   • regulation of establishment of protein localization   • regulation of protein transport   • peptide transport   • negative regulation of insulin secretion   • protein transport   • regulation of insulin secretion   • peptide hormone secretion   • macromolecule localization   • hormone transport   • regulation of cell communication   • insulin secretion   • trans-synaptic signaling   • modulation of chemical synaptic transmission   • chemical synaptic transmission   • regulation of trans-synaptic signaling   • anterograde trans-synaptic signaling   • postsynaptic modulation of chemical synaptic transmission   • muscle contraction   • muscle system process   • parallel fiber to Purkinje cell synapse   • excitatory synapse   • presynapse   • presynaptic membrane   • GABA-ergic synapse   • glutamatergic synapse   • cell body
SCOP2Domain Identifier• Transducin (heterotrimeric G protein), gamma chain
SCOP2Family Identifier• Transducin (heterotrimeric G protein), gamma chain
Membrane Protein Annotations-• Orientations of Proteins in Membranes database (OPM)   • Protein Data Bank of Transmembrane Proteins (PDBTM)   • MemProtMD


Details about the values in these tables can be found in the corresponding documentation page .
Code_L_
PDB ResiduesL:L:?1
Environment DetailsOpen EMBL-EBI Page
Code_L_
Name
Synonyms
Identifier
Formula
Molecular Weight
SMILES
PubChem
Formal Charge
Total Atoms
Total Chiral Atoms
Total Bonds
Total Aromatic Bonds

PDBsumOpen PDBsum Page
ChainA
ProteinG Protein α Sub unit
UniProtP09471
Sequence
>9KVP_Chain_A
AEERAALER SKAIEKNLK EDGISAAKD VKLLLLGAS GKSTIVKQM 
TGIVETHFT FKNLHFRLF DVGGQRSER KKWIHCFED VTAIIFCVL 
SHESLMLFD SICNNKFFI DTSIILFLN KKDLFGEKI KKSPLTICF 
PEYTGPNTY EDAAAYIQA QFESKNRSP NKEIYCHMT CATDTNNQV 
FDAVTDIII ANNLRGCGL YDNDDAI


Click on each residue to open a popup with some information about it.

ConSurf Conservation Grade (See documentation): 

 n/a   1    2    3    4    5    6    7    8    9  

ChainB
ProteinG Protein β Sub unit
UniProtP62873
Sequence
>9KVP_Chain_B
ELDQLRQEA EQLKNQIRD ARKACADAT LSQITNNID PVGRIQMRT 
RRTLRGHLA KIYAMHWGT DSRLLVSAS QDGKLIIWD SYTTNKVHA 
IPLRSSWVM TCAYAPSGN YVACGGLDN ICSIYNLKT REGNVRVSR 
ELAGHTGYL SCCRFLDDN QIVTSSGDT TCALWDIET GQQTTTFTG 
HTGDVMSLS LAPDTRLFV SGACDASAK LWDVREGMC RQTFTGHES 
DINAICFFP NGNAFATGS DDATCRLFD LRADQELMT YSHDNIICG 
ITSVSFSKS GRLLLAGYD DFNCNVWDA LKADRAGVL AGHDNRVSC 
LGVTDDGMA VATGSWDSF LKIWN


Click on each residue to open a popup with some information about it.

ConSurf Conservation Grade (See documentation): 

 n/a   1    2    3    4    5    6    7    8    9  

ChainG
ProteinG Protein γ Sub unit
UniProtP59768
Sequence
>9KVP_Chain_G
ASIAQARKL VEQLKMEAN IDRIKVSKA AADLMAYCE AHAKEDPLL 
TPVPASENP FR


Click on each residue to open a popup with some information about it.

ConSurf Conservation Grade (See documentation): 

 n/a   1    2    3    4    5    6    7    8    9  

ChainR
ProteinReceptor
UniProtQ16581
Sequence
>9KVP_Chain_R
EPPVILSMV ILSLTFLLG LPGNGLVLW VAGLKMQRT VNTIWFLHL 
TLADLLCCL SLPFSLAHL ALQGQWPYG RFLCKLIPS IIVLNMFAS 
VFLLTAISL DRCLVVFKP IWCQNHRNV GMACSICGC IWVVAFVMC 
IPVFVYREI FTNHNRCGY KTPLVAITI TRLVVGFLL PSVIMIACY 
SFIVFRMQR GRFAKSQSK TFRVAVVVV AVFLVCWTP YHIFGVLSL 
LTDPETPLG KTLMSWDHV CIALASANS CFNPFLYAL LGKDFRKKA 
RQSI


Click on each residue to open a popup with some information about it.

ConSurf Conservation Grade (See documentation): 

 n/a   1    2    3    4    5    6    7    8    9  




This receptor, from the same or other species and bound to the same or other ligands, is also present in the following networks:
Show PDB Class SubFamily Type SubType Species Orthosteric Ligand Other Ligand(s) Protein Partners Resolution Date DOI
8HK2APeptideComplement PeptideC3aBHomo sapiensC3a-Gi1/β1/γ22.92023-05-10doi.org/10.1038/s41589-023-01339-w
8HK2 (No Gprot) APeptideComplement PeptideC3aBHomo sapiensC3a-2.92023-05-10doi.org/10.1038/s41589-023-01339-w
8HK3APeptideComplement PeptideC3aBHomo sapiens--Gi1/β1/γ23.22023-05-10doi.org/10.1038/s41589-023-01339-w
8HK3 (No Gprot) APeptideComplement PeptideC3aBHomo sapiens--3.22023-05-10doi.org/10.1038/s41589-023-01339-w
8IA8APeptideComplement PeptideC3aBHomo sapiensE7 peptide-Gi1/β1/γ22.862023-05-24To be published
8IA8 (No Gprot) APeptideComplement PeptideC3aBHomo sapiensE7 peptide-2.862023-05-24To be published
8I95APeptideComplement PeptideC3aBHomo sapiensEP54-Go/β1/γ22.882023-10-18doi.org/10.1016/j.cell.2023.09.020
8I95 (No Gprot) APeptideComplement PeptideC3aBHomo sapiensEP54-2.882023-10-18doi.org/10.1016/j.cell.2023.09.020
8I97APeptideComplement PeptideC3aBHomo sapiens--Go/β1/γ23.12023-10-18doi.org/10.1016/j.cell.2023.09.020
8I97 (No Gprot) APeptideComplement PeptideC3aBHomo sapiens--3.12023-10-18doi.org/10.1016/j.cell.2023.09.020
8I9AAPeptideComplement PeptideC3aBHomo sapiensEP54-chim(NtGi1-Gs-CtGq)/β1/γ23.572023-10-18doi.org/10.1016/j.cell.2023.09.020
8I9A (No Gprot) APeptideComplement PeptideC3aBHomo sapiensEP54-3.572023-10-18doi.org/10.1016/j.cell.2023.09.020
8I9LAPeptideComplement PeptideC3aBHomo sapiensC3a-Go/β1/γ23.182023-10-18doi.org/10.1016/j.cell.2023.09.020
8I9L (No Gprot) APeptideComplement PeptideC3aBHomo sapiensC3a-3.182023-10-18doi.org/10.1016/j.cell.2023.09.020
8I9SAPeptideComplement PeptideC3aBHomo sapiens--Go/β1/γ23.262023-10-18doi.org/10.1016/j.cell.2023.09.020
8I9S (No Gprot) APeptideComplement PeptideC3aBHomo sapiens--3.262023-10-18doi.org/10.1016/j.cell.2023.09.020
8J6DAPeptideComplement PeptideC3aBHomo sapiensEP141-Go/β1/γ23.12023-10-18doi.org/10.1016/j.cell.2023.09.020
8J6D (No Gprot) APeptideComplement PeptideC3aBHomo sapiensEP141-3.12023-10-18doi.org/10.1016/j.cell.2023.09.020
9KVP (No Gprot) APeptideComplement PeptideC3aBHomo sapiensSB290157-2.792025-11-2610.1101/2025.05.26.656101
9KZ2APeptideComplement PeptideC3aBHomo sapiensEP67-Go/β1/γ23.432025-11-2610.1101/2025.05.26.656101
9KZ2 (No Gprot) APeptideComplement PeptideC3aBHomo sapiensEP67-3.432025-11-2610.1101/2025.05.26.656101
9KZ8APeptideComplement PeptideC3aBMus musculusEP67-Go/β1/γ23.32025-11-2610.1101/2025.05.26.656101
9KZ8 (No Gprot) APeptideComplement PeptideC3aBMus musculusEP67-3.32025-11-2610.1101/2025.05.26.656101
9KZKAPeptideComplement PeptideC3aBMus musculusC3a (fragment)-Go/β1/γ23.542025-11-2610.1101/2025.05.26.656101
9KZK (No Gprot) APeptideComplement PeptideC3aBMus musculusC3a (fragment)-3.542025-11-2610.1101/2025.05.26.656101
9L0HAPeptideComplement PeptideC3aBMus musculusJR14a-Go/β1/γ23.572025-11-2610.1101/2025.05.26.656101
9L0H (No Gprot) APeptideComplement PeptideC3aBMus musculusJR14a-3.572025-11-2610.1101/2025.05.26.656101
9UMJAPeptideComplement PeptideC3aBMus musculusEP54-Go/β1/γ23.382025-11-2610.1101/2025.05.26.656101
9UMJ (No Gprot) APeptideComplement PeptideC3aBMus musculusEP54-3.382025-11-2610.1101/2025.05.26.656101
9IPVAPeptideComplement PeptideC3aBHomo sapiensJR14a-Gi1/β1/γ22.532025-04-23doi.org/10.1038/s44318-025-00429-w
9IPV (No Gprot) APeptideComplement PeptideC3aBHomo sapiensJR14a-2.532025-04-23doi.org/10.1038/s44318-025-00429-w
9IPYAPeptideComplement PeptideC3aBHomo sapiensJR14a--3.552025-04-23doi.org/10.1038/s44318-025-00429-w
9ISIAPeptideComplement PeptideC3aBHomo sapiens---3.562025-04-23doi.org/10.1038/s44318-025-00429-w
8ZWFAPeptideComplement PeptideC3aBHomo sapiensJR14a--32025-05-14doi.org/10.1038/s41421-024-00765-x
8ZWF (No Gprot) APeptideComplement PeptideC3aBHomo sapiensJR14a-32025-05-14doi.org/10.1038/s41421-024-00765-x
8ZWGAPeptideComplement PeptideC3aBHomo sapiensJR14a-Gi1/β1/γ22.872025-05-14doi.org/10.1038/s41421-024-00765-x
8ZWG (No Gprot) APeptideComplement PeptideC3aBHomo sapiensJR14a-2.872025-05-14doi.org/10.1038/s41421-024-00765-x
9KUTAPeptideComplement PeptideC3aBHomo sapiensJR14a-Go/β1/γ23.292025-11-2610.1101/2025.05.26.656101
9KUT (No Gprot) APeptideComplement PeptideC3aBHomo sapiensJR14a-3.292025-11-2610.1101/2025.05.26.656101
9KV6APeptideComplement PeptideC3aBMus musculusTLQP21-Go/β1/γ22.882025-11-2610.1101/2025.05.26.656101
9KV6 (No Gprot) APeptideComplement PeptideC3aBMus musculusTLQP21-2.882025-11-2610.1101/2025.05.26.656101
9KV8APeptideComplement PeptideC3aBMus musculusTLQP21-Go/β1/γ23.172025-11-2610.1101/2025.05.26.656101
9KV8 (No Gprot) APeptideComplement PeptideC3aBMus musculusTLQP21-3.172025-11-2610.1101/2025.05.26.656101




You can download a compressed (zip) file with structure(s), 3D outputs (as PyMol and VMD scripts) and numerical data files (as csv and plain text files).

Download 9KVP.zip



You can click to copy the link of this page to easily come back here later

or use this QR code to link and share this page.



You can also  read or  download a guide explaining the meaning of all files and numerical data.