Color ConSurf Grade
      No Conservation data available
      1
      2
      3
      4
      5
      6
      7
      8
      9

Index: hub id, click on each number to highlight the corresponding hub in the 3D visualization.

Hub: the hub being considered.

Avg Int. Strength: the average interaction strength of all the links of the corresponding hub.

Num Of Links: the number of links of the corresponding hub.

Community: the id of the community the link belong to, otherwise 0.

ConSurf: this column reports the ConSurf conservation grades of each hub.

Index Hub Avg Int. Strength Num Of Links Community ConSurf
1A:A:E33 7.46407
2A:A:L37 6.4275419
3A:A:L38 5.99439
4A:A:T41 3.22408
5A:A:S44 3.73539
6A:A:K46 6.208539
7A:A:I49 4.06538
8A:A:K51 8.98439
9A:A:M53 4.5425439
10A:A:I56 4.752538
11A:A:K70 4.3875405
12A:A:I78 4.5675484
13A:A:L81 6.8425487
14A:A:R83 4.435484
15A:A:L88 6.75754117
16A:A:I93 3.53254116
17A:A:F95 13.32676114
18A:A:R100 9.576676116
19A:A:Q106 7.024211
20A:A:L107 5.66584
21A:A:L110 3.61403
22A:A:L124 4.96167684
23A:A:M128 8.8675486
24A:A:W132 9.36588
25A:A:C140 5.29254115
26A:A:F141 6.495684
27A:A:Y147 4.715406
28A:A:L149 6.395488
29A:A:Y156 6.892586
30A:A:Y168 4.998508
31A:A:P170 4.21539
32A:A:I175 6.4975438
33A:A:I185 4.892518
34A:A:N188 6.3275437
35A:A:F190 5.84833638
36A:A:F192 10.31535
37A:A:F197 4.80714737
38A:A:K198 9.65407
39A:A:M199 6.1275437
40A:A:V200 5.6675417
41A:A:V202 5.9675419
42A:A:Q205 7.37833619
43A:A:S207 7.1025418
44A:A:R209 6.222519
45A:A:K211 6.33619
46A:A:W212 7.75857719
47A:A:I213 5.0975418
48A:A:C215 3.71417
49A:A:F216 6.83619
50A:A:I222 6.898518
51A:A:I223 5.15538
52A:A:C225 5.2525437
53A:A:E227 8.316168
54A:A:L228 7.14254137
55A:A:Y231 5.68258149
56A:A:F251 8.41167609
57A:A:I254 5.31418
58A:A:C255 5.424185
59A:A:W259 9.76333614
60A:A:F260 8.455419
61A:A:I266 4.742538
62A:A:F268 5.01875839
63A:A:L269 6.725139
64A:A:N270 5.886539
65A:A:K271 7.28754169
66A:A:I282 5.34754145
67A:A:F288 6.825148
68A:A:Y291 11.164507
69A:A:Y297 6.068336133
70A:A:Y303 16.55254146
71A:A:Q305 8.00254134
72A:A:F308 9.1408
73A:A:N312 6.854187
74A:A:K318 6.1754187
75A:A:Y321 9.4885198
76A:A:H323 11.7575439
77A:A:F324 6.9585134
78A:A:T325 7.43439
79A:A:I333 6.562537
80A:A:Q334 8.225435
81A:A:V336 3.978538
82A:A:F337 5.64429738
83A:A:V343 2.91754197
84A:A:I344 4.2525408
85A:A:N348 10.95754227
86A:A:Y351 6.53254224
87A:A:L354 5.464507
88B:B:L7 3.6375408
89B:B:L14 3.75408
90B:B:R22 8.5725466
91B:B:L30 5.4225405
92B:B:I37 6.3425452
93B:B:I43 3.608553
94B:B:M45 5.10833654
95B:B:L51 9.6775449
96B:B:H54 9.02649
97B:B:I58 4.392549
98B:B:Y59 9.858518
99B:B:M61 5.5325446
100B:B:W63 7.925647
101B:B:L70 8.215445
102B:B:V71 4.232598
103B:B:S74 6.9175449
104B:B:D76 7.875449
105B:B:K78 7.31408
106B:B:L79 6.6175497
107B:B:I80 10.74448
108B:B:I81 5.36497
109B:B:W82 10.0543749
110B:B:Y85 16.0125444
111B:B:N88 6.35407
112B:B:K89 8.03649
113B:B:H91 6.575495
114B:B:I93 6.6125497
115B:B:L95 5.795498
116B:B:W99 7.93819
117B:B:M101 5.4375419
118B:B:Y105 5.04714796
119B:B:N110 8.67414
120B:B:Y111 5.61667614
121B:B:V112 5.675498
122B:B:C114 5.71498
123B:B:L117 4.81667619
124B:B:C121 4.135418
125B:B:I123 5.56516
126B:B:Y124 5.91857796
127B:B:L126 5.2225495
128B:B:T128 7.224263
129B:B:E130 6.774263
130B:B:V133 7.2125494
131B:B:E138 5.1575496
132B:B:L139 9.2625409
133B:B:H142 8.93167619
134B:B:Y145 7.4121018
135B:B:C149 4.132518
136B:B:R150 8.0075406
137B:B:F151 5.33875819
138B:B:I157 5.995417
139B:B:T159 5.842519
140B:B:G162 5.285419
141B:B:D163 10.0675419
142B:B:C166 4.0225108
143B:B:W169 10.655618
144B:B:Q176 7.014514
145B:B:F180 9.5985107
146B:B:H183 9.314297109
147B:B:D186 5.27619
148B:B:V187 5.5965109
149B:B:M188 5.8925418
150B:B:L190 6.2625105
151B:B:F199 9.0585109
152B:B:S201 5.26254109
153B:B:C204 7.095417
154B:B:D205 7.135109
155B:B:S207 5.84754105
156B:B:K209 10.1385106
157B:B:L210 5.7405
158B:B:W211 9.826108
159B:B:C218 5.26254105
160B:B:Q220 8.3075467
161B:B:F222 7.99833668
162B:B:H225 10.3414769
163B:B:D228 7.955419
164B:B:I232 5.8625468
165B:B:F234 5.84505
166B:B:F235 9.53576
167B:B:P236 6.3775477
168B:B:F241 9.49566
169B:B:T243 8.065468
170B:B:D247 8.215469
171B:B:T249 6.485466
172B:B:R251 11.098568
173B:B:L252 4.495477
174B:B:F253 7.40286766
175B:B:R256 8.8254179
176B:B:D258 12.2467
177B:B:M262 6.9275404
178B:B:T263 5.975461
179B:B:Y264 8575
180B:B:H266 5.8404
181B:B:I269 4.275474
182B:B:F278 6.4677
183B:B:R283 7.01667659
184B:B:L284 6.1975455
185B:B:L285 5.306576
186B:B:Y289 7.89777
187B:B:D290 9.4325406
188B:B:N295 7.316576
189B:B:V296 4.5075455
190B:B:W297 7.835478
191B:B:D298 8.4525459
192B:B:H311 9.704559
193B:B:V327 5456
194B:B:W332 13.5229719
195B:B:D333 7.936559
196B:B:F335 7.72554
197B:B:L336 5.564547
198B:B:K337 9.335456
199B:B:I338 4.994545
200B:B:W339 9.42167659
201G:G:R27 6.528508
202G:G:Y40 11.8525476
203G:G:D48 9.3225409
204G:G:L51 7.9425406
205G:G:N59 6.98449
206G:G:P60 8.2275449
207G:G:F61 6.2325848
208L:L:?1 10.1591020
209R:R:N54 4.966509
210R:R:V57 4.026509
211R:R:L67 4.6785238
212R:R:L78 6.90667629
213R:R:A79 2.5425409
214R:R:D82 7.19529
215R:R:L83 3.68408
216R:R:Y96 4.54754126
217R:R:V98 3.8175406
218R:R:W102 8.197129
219R:R:C109 5.04754129
220R:R:D116 10.5125428
221R:R:T121 4.75428
222R:R:S122 9.085428
223R:R:W125 10.905427
224R:R:H126 9.49571728
225R:R:L127 7.09528
226R:R:C128 3.93427
227R:R:R134 7.892529
228R:R:Y135 9.15509
229R:R:P141 6.8408
230R:R:R148 9.8145228
231R:R:T160 7.9075428
232R:R:W161 8.515629
233R:R:I167 4.31428
234R:R:P170 5.08754208
235R:R:P171 6.21254207
236R:R:C187 6.25754129
237R:R:S190 5.6254206
238R:R:Y195 7.7456208
239R:R:T200 4.236527
240R:R:F204 10.045628
241R:R:Y205 6.046527
242R:R:P207 6.69429
243R:R:M211 5.926529
244R:R:Y215 6.74571729
245R:R:F219 3.22406
246R:R:R225 8.56254197
247R:R:I226 4.5254156
248R:R:R339 6.6785157
249R:R:M351 4.37428
250R:R:F354 6.20833629
251R:R:W358 7.39889928
252R:R:F361 9.71667628
253R:R:F362 9.56627
254R:R:C375 3.5054244
255R:R:M377 5.964274
256R:R:I385 3.3406
257R:R:W387 11.7428
258R:R:Y390 9.71628
259R:R:N396 11.6429
260R:R:Y400 7.01629
261R:R:Y402 5.1625406
262R:R:F407 8.0045238
   

Color ConSurf Grade
      No Conservation data available
      1
      2
      3
      4
      5
      6
      7
      8
      9

Index: link id, click on each number to highlight the corresponding link in the 3D visualization.

Node1 Node2: the two nodes of the corresponding link.

Recurrence: the relative Recurrence in the pool of shortest paths.

Int. Strength: the interaction strength between the two nodes.

Hub1?, Hub2?: "Yes" if the corresponding node has more than 3 links, otherwise "No".

Community: the id of the community the link belong to, otherwise 0.

ConSurf1, ConSurf2: these columns report the ConSurf conservation grades of the two nodes involved in a link.

Index Node1 Node2 Recurrence Int. Strength Hub1? Hub2? Community ConSurf1 ConSurf2
1B:B:W332 B:B:Y59 31.527414.47YesYes198
2B:B:M325 G:G:P60 13.33048.39NoYes059
3B:B:M325 G:G:P49 15.47418.39NoNo057
4G:G:D48 G:G:P49 15.75873.22YesNo097
5B:B:S279 G:G:D48 15.41058.83NoYes099
6B:B:S279 G:G:L50 15.46996.01NoNo099
7B:B:M45 G:G:L50 15.35217.07YesNo549
8B:B:M45 B:B:W339 40.57634.65YesYes549
9B:B:T329 B:B:W339 49.82768.49NoYes589
10B:B:H311 B:B:T329 49.797310.95YesNo598
11B:B:D333 B:B:H311 99.68888.82YesYes599
12B:B:D312 B:B:D333 99.98395.32NoYes059
13B:B:D312 R:R:K413 99.97898.3NoNo056
14R:R:E64 R:R:K413 99.97519.45NoNo076
15R:R:A410 R:R:E64 99.95893.02NoNo087
16R:R:A410 R:R:L67 99.95473.15NoYes088
17R:R:I61 R:R:L67 99.60524.28NoYes2388
18R:R:I61 R:R:V57 1003.07NoYes089
19R:R:A79 R:R:V57 50.28613.39YesYes099
20R:R:A79 R:R:N54 50.1643.13YesYes099
21R:R:D82 R:R:N54 98.95748.08YesYes099
22R:R:D82 R:R:L78 79.0418.14YesYes299
23R:R:I130 R:R:L78 35.98424.28NoYes299
24R:R:I130 R:R:R134 35.87447.52NoYes299
25A:A:I352 R:R:R134 69.446313.78NoYes049
26A:A:I352 A:A:Y351 64.18313.63NoYes044
27A:A:N348 A:A:Y351 59.635610.47YesYes2274
28A:A:I344 A:A:N348 59.29444.25YesYes087
29A:A:I344 A:A:V340 53.5463.07YesNo088
30B:B:K337 B:B:W339 49.90836.96YesYes569
31B:B:H311 B:B:K337 49.84817.86YesYes596
32R:R:P397 R:R:V57 50.12023.53NoYes099
33R:R:N54 R:R:P397 50.08976.52YesNo099
34R:R:L78 R:R:Y400 36.87094.69YesYes299
35R:R:R134 R:R:Y400 37.02456.17YesYes299
36A:A:F197 A:A:V340 52.20225.24YesNo078
37A:A:N257 A:A:W259 25.39175.65NoYes184
38A:A:F260 A:A:N257 10.5379.67YesNo198
39A:A:F260 A:A:I222 10.363410.05YesYes198
40A:A:F190 A:A:F197 37.91263.22YesYes387
41A:A:I213 A:A:N257 14.75215.66YesNo188
42A:A:I222 A:A:L265 10.16348.56YesNo086
43A:A:F190 A:A:K54 34.179411.17YesNo387
44A:A:K54 A:A:Y69 34.00085.97NoNo374
45A:A:I175 A:A:Y69 31.382710.88YesNo384
46A:A:I175 A:A:P170 31.28683.39YesYes389
47A:A:K70 A:A:P170 28.44693.35YesYes059
48A:A:K70 A:A:Y168 27.26753.58YesYes058
49A:A:I163 A:A:Y168 25.861513.3NoYes078
50A:A:I163 A:A:Y156 25.624910.88NoYes076
51A:A:L81 A:A:Y156 15.09743.52YesYes876
52A:A:I213 A:A:W212 14.14874.7YesYes189
53A:A:C215 B:B:Y59 26.98525.38YesYes178
54A:A:C215 B:B:L117 13.41283.17YesYes179
55A:A:C215 B:B:M101 13.48713.24YesYes179
56B:B:M101 B:B:Y145 13.175510.78YesYes198
57B:B:L117 B:B:Y145 13.40734.69YesYes198
58B:B:R314 B:B:W332 34.862223.99NoYes189
59R:R:D82 R:R:N396 19.48169.42YesYes299
60B:B:L30 B:B:T34 14.60184.42YesNo055
61B:B:L30 B:B:M262 10.65824.24YesYes054
62B:B:R283 B:B:V40 14.88695.23YesNo593
63B:B:S147 B:B:Y145 25.97133.82NoYes198
64B:B:L190 B:B:S160 11.50039.01YesNo056
65B:B:S147 B:B:S160 25.67424.89NoNo096
66B:B:F180 B:B:T178 11.099110.38YesNo074
67B:B:S160 B:B:V187 13.96614.85NoYes069
68B:B:D290 B:B:R314 60.448423.82YesNo068
69B:B:D290 B:B:T274 60.1744.34YesNo068
70B:B:S275 B:B:T274 60.25224.8NoNo088
71B:B:L318 B:B:S275 60.3317.51NoNo068
72B:B:C294 B:B:L308 59.13829.52NoNo057
73R:R:N392 R:R:N396 14.323512.26NoYes099
74R:R:N392 R:R:W358 14.056914.69NoYes098
75L:L:?1 R:R:W358 10.32763.28YesYes208
76B:B:C294 B:B:L318 59.05713.17NoNo056
77B:B:L308 B:B:W339 59.037323.92NoYes579
78A:A:W212 B:B:Y145 13.5735.79YesYes198
79B:B:I43 B:B:M45 16.1674.37YesYes534
80B:B:I43 B:B:V40 15.53233.07YesNo533
81A:A:W259 B:B:R314 25.50136YesNo148
Download PSN data

2D representation of the global metapath, ligand(s) interactions and
histograms of path distribution according to several parameters
(click on the image to enlarge it 🔍):

A 2D representation of the global communication in the network.

ConSurf Conservation Grade (See documentation): 

 n/a   1    2    3    4    5    6    7    8    9  

Number of shortest communication paths as a function of the average residue correlation.

Number of shortest communication paths as a function of the average interaction strength of their links.

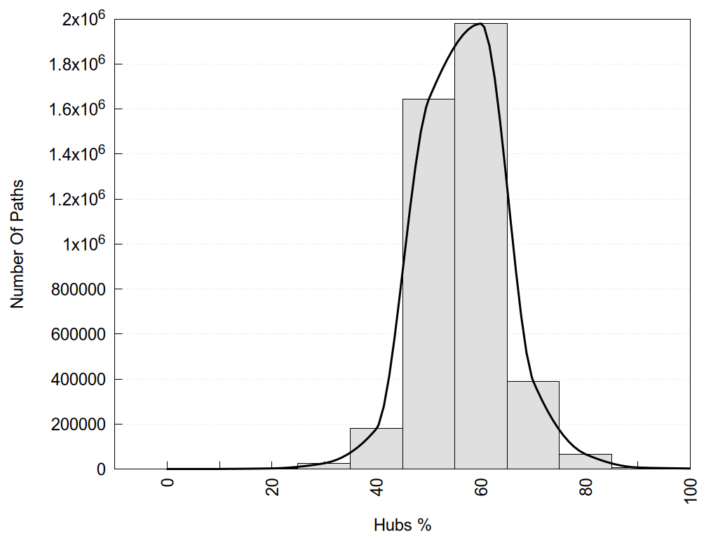
Number of shortest communication paths as a function of the % of hub nodes in each path.

Number of shortest communication paths as a function of the number of nodes in each path.

Number of shortest communication paths as a function of the % of correlated nodes in each path.


2D representation of the interactions of this orthosteric/allosteric ligand.


Links and nodes colored according to ConSurf Conservation Grade (See documentation): 

 n/a   1    2    3    4    5    6    7    8    9  

Node1 Node2 LinkStrength Comm IsNode1Hub? IsNode2Hub? Node1Cons Node2Cons Node1Shell Node2Shell
L:L:?1 R:R:D116 18.59 2 Yes Yes 0 8 0 1
L:L:?1 R:R:V117 8.59 2 Yes No 0 8 0 1
L:L:?1 R:R:C120 4.58 2 Yes No 0 7 0 1
L:L:?1 R:R:T121 4.25 2 Yes Yes 0 8 0 1
L:L:?1 R:R:I189 7.2 2 Yes No 0 6 0 1
L:L:?1 R:R:S199 6.49 2 Yes No 0 8 0 1
L:L:?1 R:R:W358 3.28 2 Yes Yes 0 8 0 1
L:L:?1 R:R:F361 25.46 2 Yes Yes 0 8 0 1
L:L:?1 R:R:F362 8.78 2 Yes Yes 0 7 0 1
L:L:?1 R:R:Y390 14.37 2 Yes Yes 0 8 0 1
R:R:D116 R:R:V89 7.3 2 Yes No 8 8 1 2
R:R:V89 R:R:Y390 3.79 2 No Yes 8 8 2 1
R:R:L90 R:R:W387 3.42 2 No Yes 8 8 2 2
R:R:L90 R:R:Y390 8.21 2 No Yes 8 8 2 1
R:R:A93 R:R:Y390 4 0 No Yes 7 8 2 1
R:R:C120 R:R:D116 4.67 2 No Yes 7 8 1 1
R:R:D116 R:R:Y390 11.49 2 Yes Yes 8 8 1 1
R:R:I167 R:R:V117 3.07 2 Yes No 8 8 2 1
R:R:S168 R:R:V117 3.23 0 No No 8 8 2 1
R:R:C120 R:R:W358 5.22 2 No Yes 7 8 1 1
R:R:G164 R:R:T121 3.64 0 No Yes 8 8 2 1
R:R:I167 R:R:T121 6.08 2 Yes Yes 8 8 2 1
R:R:A203 R:R:T121 5.03 2 No Yes 8 8 2 1
R:R:F354 R:R:I124 5.02 2 Yes No 9 8 2 2
R:R:I124 R:R:W358 12.92 2 No Yes 8 8 2 1
R:R:A203 R:R:I167 3.25 2 No Yes 8 8 2 2
R:R:I189 R:R:Y195 7.25 0 No Yes 6 8 1 2
R:R:S199 R:R:Y195 11.45 0 No Yes 8 8 1 2
R:R:S199 R:R:T200 3.2 0 No Yes 8 7 1 2
R:R:T200 R:R:Y205 3.75 2 Yes Yes 7 7 2 2
R:R:F362 R:R:T200 5.19 2 Yes Yes 7 7 1 2
R:R:F204 R:R:Y205 9.28 2 Yes Yes 8 7 2 2
R:R:F204 R:R:F354 7.5 2 Yes Yes 8 9 2 2
R:R:F204 R:R:W358 5.01 2 Yes Yes 8 8 2 1
R:R:F204 R:R:F362 21.43 2 Yes Yes 8 7 2 1
R:R:F362 R:R:Y205 3.09 2 Yes Yes 7 7 1 2
R:R:F354 R:R:W358 5.01 2 Yes Yes 9 8 2 1
R:R:F361 R:R:W358 6.01 2 Yes Yes 8 8 1 1
R:R:F362 R:R:W358 6.01 2 Yes Yes 7 8 1 1
R:R:G389 R:R:W358 8.44 0 No Yes 8 8 2 1
R:R:N392 R:R:W358 14.69 0 No Yes 9 8 2 1
R:R:F361 R:R:F362 12.86 2 Yes Yes 8 7 1 1
R:R:A365 R:R:F361 4.16 0 No Yes 8 8 2 1
R:R:F361 R:R:I385 3.77 2 Yes Yes 8 6 1 2
R:R:F361 R:R:N386 6.04 2 Yes No 8 7 1 2
R:R:W387 R:R:Y390 16.4 2 Yes Yes 8 8 2 1

Location and physicochemical properties of the interaction partners of this ligand

Interactions of this ligand

Similarities between the interactions of this ligand and those of other networks

ShowSimilarityNetwork TypeNameLigandDescription
90.91Single8FY85-MeO-DMT8FY8-5-HT1A-5-MeO-DMT-PtdIns4P-Gi1/β1/γ1
90.91Single9DYFAsenapine9DYF-5-HT1A-Asenapine-PtdIns4P-Gi1/β1/γ2
83.33Single9DYDAsenapine9DYD-5-HT1A-Asenapine-PtdIns4P-Go/β1/γ2
83.33Consensus5ht1_onOrthosteric Ligand5ht1a_on 5ht1d_on 5ht1e_on 5ht1f_on
83.33Consensus5ht1_on_gpOrthosteric Ligand5ht1a_on_gp 5ht1d_on_gp 5ht1e_on_gp 5ht1f_on_gp
83.33Consensus5ht1e_on_gpOrthosteric Ligand7E33-5-HT1E-BRL-54443-Gi1/β1/γ2 8UGY-5-HT1E-Mianserin-Gi1/β1/γ1 8UH3-5-HT1E-Setiptiline-Gi1/β1/γ1
81.82Single8JSPUlotaront8JSP-5-HT1A-Ulotaront-Gi1/β1/γ2
81.82Single8W8BSEP-3638568W8B-5-HT1A-SEP-363856-Gi1/β1/γ2
81.82Single8YN3Histamine8YN3-H2-Histamine-Gs/β1/γ2
81.82Single9KVIBufotenin9KVI-5-HT1A-Bufotenin-PtdIns4P-Gi1/β1/γ2
81.82Single9VNFPindolol9VNF-5-HT1A-Pindolol-Go/β1/γ2
81.82Single9W6W5-CT9W6W-5-HT5A-5-CT-Gi1/β1/γ2
76.92Single5V54Methiothepin5V54-5-HT1B-Methiothepin
76.92Single7W6PN-pyridin-4-ylisoquinolin-4-amine7W6P-α2a-N-pyridin-4-ylisoquinolin-4-amine-Go/β1/γ2
76.92Single7W7EPubChem 1649466767W7E-α2a-PubChem 164946676-Go/β1/γ2
76.92Consensus5ht1_offOrthosteric Ligand5ht1b_off
76.92Consensus5ht1b_offOrthosteric Ligand5V54-5-HT1B-Methiothepin
76.92Consensus5ht_offOrthosteric Ligand5ht2_off 5ht1_off
76.92Consensusamine_on_gpOrthosteric Ligand5ht_on_gp adrenergic_on_gp dopamine_on_gp histamine_on_gp muscarinic_on_gp trace-amine_on_gp
76.92Consensusta1_on_gpOrthosteric Ligand8W87-TA1-METH-chim(NtGi1L-Gs)/β1/γ2 8W89-TA1-2-Phenylethylamine-chim(NtGi1L-Gs)/β1/γ2 8JLP-TA1-Ralmitaront-Gs/β1/γ2 8W8A-TA1-RO5256390-chim(NtGi1L-Gs)/β1/γ2 8W88-TA1-SEP-363856-Gs/β1/γ2 8JLO-TA1-Ulotaront-Gs/β1/γ2 8JLR-TA1-A77636-chim(NtGi1-Gs)/β1/γ2 8JSO-TA1-AMPH-chim(NtGi1-Gs)/β1/γ2 8ZSP-TA1-LSD-chim(NtGi1L-Gs)/β1/γ2
76.92Consensustrace-amine_on_gpOrthosteric Ligandta1_on_gp
75.00Single3NY8ICI118-5513NY8-β2-ICI118-551
75.00Single4GBRCarazolol4GBR-β2-Carazolol
75.00Single7E32Serotonin7E32-5-HT1D-Serotonin-Gi1/β1/γ2
75.00Single7UM55-CT7UM5-5-HT5A-5-CT-chim(NtGi1-Go)/β1/γ2
75.00Single8UGYMianserin8UGY-5-HT1E-Mianserin-Gi1/β1/γ1
75.00Single8ZSSRO52633978ZSS-TA1-RO5263397-chim(NtGi1-Gs)/β1/γ2
75.00Single9VMYTMU41429VMY-5-HT1A-TMU4142-Go/β1/γ2
75.00Consensus5ht1d_onOrthosteric Ligand7E32-5-HT1D-Serotonin-Gi1/β1/γ2
75.00Consensus5ht1d_on_gpOrthosteric Ligand7E32-5-HT1D-Serotonin-Gi1/β1/γ2
75.00Consensusdopamine_offOrthosteric Ligandd2_off d3_off
72.73Single2PED9-cis-Retinal2PED-Rhodopsin-9-cis-Retinal
72.73Single7YMHNorepinephrine7YMH-Alpha1A-Norepinephrine-chim(Gs-CtGq)
72.73Single8GGAConstrained Epinephrine8GGA-β2-Constrained Epinephrine-GTP-Gs/β1/γ2
72.73Single8GGRConstrained Epinephrine8GGR-β2-Constrained Epinephrine
72.73Single8GH0Constrained Epinephrine8GH0-β2-Constrained Epinephrine
72.73Single9KVHCinobufotenine9KVH-5-HT1A-Cinobufotenine-PtdIns4P-Gi1/β1/γ2
72.73Consensus5ht1e_onOrthosteric Ligand7E33-5-HT1E-BRL-54443-Gi1/β1/γ2 8UGY-5-HT1E-Mianserin-Gi1/β1/γ1 8UH3-5-HT1E-Setiptiline-Gi1/β1/γ1
72.73Consensussensory_offonOrthosteric Ligandsensory_off sensory_on
72.73Consensussensory_offon_gpOrthosteric Ligandsensory_on_gp sensory_on
71.43Single3D4STimolol3D4S-β2-Timolol
71.43Single7EXDLasmiditan7EXD-5-HT1F-Lasmiditan-Gi1/β1/γ2
71.43Single8FYE4-F,5-MeO-PyrT8FYE-5-HT1A-4-F,5-MeO-PyrT-PtdIns4P-Gi1/β1/γ1
71.43Single8FYTLSD8FYT-5-HT1A-LSD-PtdIns4P-Gi1/β1/γ1
71.43Consensus5ht1f_onOrthosteric Ligand7EXD-5-HT1F-Lasmiditan-Gi1/β1/γ2
71.43Consensus5ht1f_on_gpOrthosteric Ligand7EXD-5-HT1F-Lasmiditan-Gi1/β1/γ2
70.00Single6FUFAll-trans-Retinal6FUF-Rhodopsin-All-trans-Retinal-Go
70.00Single8POKHistamine8POK-H2-Histamine-Gs/β1/γ2
70.00Consensush2_on_gpOrthosteric Ligand8POK-H2-Histamine-Gs/β1/γ2
70.00Consensusopsins_on_gpOrthosteric Ligandrhodopsin_on_gp opsin1lw_on_gp
70.00Consensusrhodopsin_onOrthosteric Ligand6OYA-Rhodopsin-All-trans-Retinal-Gt/β1/γ1
70.00Consensussensory_on_gpOrthosteric Ligandopsins_on_gp
69.23Single2RH1Carazolol2RH1-β2-Carazolol
69.23Single2YCWCarazolol2YCW-β1-Carazolol
69.23Single5D6LCarazolol5D6L-β2-Carazolol
69.23Single5X7DCarazolol5X7D-β2-Carazolol-PubChem 129318963
69.23Single8GFYConstrained Epinephrine8GFY-β2-Constrained Epinephrine-GTP-Gs/β1/γ2
69.23Single8GG2Constrained Epinephrine8GG2-β2-Constrained Epinephrine-GTP-Gs/β1/γ2
69.23Single8ZMFPubChem 1719206738ZMF-5-HT2C-PubChem 171920673
69.23Consensus5ht2_offOrthosteric Ligand5ht2a_off 5ht2b_off 5ht2c_off
69.23Consensus5ht5_on_gpOrthosteric Ligand5ht5a_on_gp
69.23Consensus5ht5a_on_gpOrthosteric Ligand7X5H-5-HT5A-5-CT-Gi1/β1/γ2 7UM6-5-HT5A-Lisuride-chim(NtGi1-Go)/β1/γ2 7UM7-5-HT5A-Methylergometrine-chim(NtGi1-Go)/β1/γ2
69.23Consensusalpha_on_gpOrthosteric Ligandalpha1_on_gp alpha2_on_gp
69.23Consensusamine_offOrthosteric Ligand5ht_off adrenergic_off dopamine_off histamine_off muscarinic_off
69.23Consensusamine_offonOrthosteric Ligandamine_off amine_on
69.23Consensusamine_offon_gpOrthosteric Ligandamine_on_gp amine_off
69.23Consensusamine_onOrthosteric Ligand5ht_on adrenergic_on dopamine_on histamine_on muscarinic_on trace-amine_on
69.23Consensusbeta2_offOrthosteric Ligand2RH1-β2-Carazolol 6PS3-β2-Carvedilol 6PS5-β2-Propranolol 3D4S-β2-Timolol 3NY8-β2-ICI118-551 3NY9-β2-PubChem 913103 6PRZ-β2-Alprenolol
69.23Consensusbeta_offOrthosteric Ligandbeta1_off beta2_off
69.23Consensusgi_adrenergicOrthosteric Ligand7EJ0-α2a-Norepinephrine-Go/β1/γ2 7EJK-α2a-Oxymetazoline-Go/β1/γ2 7W7E-α2a-PubChem 164946676-Go/β1/γ2 7W6P-α2a-N-pyridin-4-ylisoquinolin-4-amine-Go/β1/γ2 7EJ8-α2a-Brimonidine-Go/β1/γ2 6K42-α2b-Dexmedetomidine-Gi1/β1/γ2 7EJA-α2a-Dexmedetomidine-Go/β1/γ2 7S0F-β1-Isoprenaline-Gi1/β1/γ2
69.23Consensusta1_onOrthosteric Ligand8W87-TA1-METH-chim(NtGi1L-Gs)/β1/γ2 8W89-TA1-2-Phenylethylamine-chim(NtGi1L-Gs)/β1/γ2 8JLP-TA1-Ralmitaront-Gs/β1/γ2 8W8A-TA1-RO5256390-chim(NtGi1L-Gs)/β1/γ2 8W88-TA1-SEP-363856-Gs/β1/γ2 8JLO-TA1-Ulotaront-Gs/β1/γ2 8JLR-TA1-A77636-chim(NtGi1-Gs)/β1/γ2 8JSO-TA1-AMPH-chim(NtGi1-Gs)/β1/γ2 8ZSP-TA1-LSD-chim(NtGi1L-Gs)/β1/γ2
69.23Consensustrace-amine_onOrthosteric Ligandta1_on
66.67Single4LDOEpinephrine4LDO-β2-Epinephrine
66.67Single6A94Zotepine6A94-5-HT2A-Zotepine
66.67Single6PS0Carazolol6PS0-β2-Carazolol
66.67Single6PS4ICI118-5516PS4-β2-ICI118-551
66.67Single6WH4Methiothepin6WH4-5-HT2A-Methiothepin
66.67Single7DHISalbutamol7DHI-β2-Salbutamol-Gs/β1/γ2
66.67Single7E33BRL-544437E33-5-HT1E-BRL-54443-Gi1/β1/γ2
66.67Single7F0TDopamine7F0T-D1-Dopamine-Gs/β1/γ2
66.67Single7F24Dopamine7F24-D1-Dopamine-GDP-Gs/β1/γ2
66.67Single7UM7Methylergometrine7UM7-5-HT5A-Methylergometrine-chim(NtGi1-Go)/β1/γ2
66.67Single8FCZ11-cis-Retinal8FCZ-Rhodopsin-11-cis-Retinal
66.67Single8GE1Constrained Epinephrine8GE1-β2-Constrained Epinephrine-Gs/β1/γ2
66.67Single8GE4Constrained Epinephrine8GE4-β2-Constrained Epinephrine-Gs/β1/γ2
66.67Single8GE5Constrained Epinephrine8GE5-β2-Constrained Epinephrine-Gs/β1/γ1
66.67Single8GE6Constrained Epinephrine8GE6-β2-Constrained Epinephrine-Gs/β1/γ2
66.67Single8GE7Constrained Epinephrine8GE7-β2-Constrained Epinephrine-Gs/β1/γ2
66.67Single8GE8Constrained Epinephrine8GE8-β2-Constrained Epinephrine-Gs/β1/γ2
66.67Single8GEFConstrained Epinephrine8GEF-β2-Constrained Epinephrine-Gs/β1/γ2
66.67Single8GGQConstrained Epinephrine8GGQ-β2-Constrained Epinephrine
66.67Single8GGSConstrained Epinephrine8GGS-β2-Constrained Epinephrine
66.67Single8GGTConstrained Epinephrine8GGT-β2-Constrained Epinephrine
66.67Single8GGVConstrained Epinephrine8GGV-β2-Constrained Epinephrine
66.67Single8GGXConstrained Epinephrine8GGX-β2-Constrained Epinephrine
66.67Single8JLNT1AM8JLN-TA1-T1AM-Gs/β1/γ2
66.67Single8S2TIsoprenaline8S2T-β1-Isoprenaline-chim(NtGi1-Gs)/β1/γ2
66.67Single8THKA-616038THK-Alpha1A-A-61603-chim(NtGi2L-Gs-CtGq)/β1/γ2
66.67Single8THLEpinephrine8THL-Alpha1A-Epinephrine-chim(NtGi2L-Gs-CtGq)/β1/γ2
66.67Single8U02Dopamine8U02-D2-Dopamine-Go/β1/γ2
66.67Single8UHBRO52563908UHB-TA1-RO5256390-Gs/β1/γ2
66.67Single8W88SEP-3638568W88-TA1-SEP-363856-Gs/β1/γ2
66.67Single8WC8ZH86518WC8-TA1-ZH8651-chim(NtGi1-Gs)/β1/γ2
66.67Single9CBLEpinephrine9CBL-α2a-Epinephrine-Gi1/β1/γ2
66.67Consensusalpha1_onOrthosteric Ligandalpha1a_on
66.67Consensusalpha1_on_gpOrthosteric Ligandalpha1a_on_gp
66.67Consensusalpha1a_onOrthosteric Ligand7EJ0-α2a-Norepinephrine-Go/β1/γ2 7EJ8-α2a-Brimonidine-Go/β1/γ2 7EJA-α2a-Dexmedetomidine-Go/β1/γ2 7EJK-α2a-Oxymetazoline-Go/β1/γ2 7W6P-α2a-N-pyridin-4-ylisoquinolin-4-amine-Go/β1/γ2 7W7E-α2a-PubChem 164946676-Go/β1/γ2
66.67Consensusalpha1a_on_gpOrthosteric Ligand7EJ0-α2a-Norepinephrine-Go/β1/γ2 7EJ8-α2a-Brimonidine-Go/β1/γ2 7EJA-α2a-Dexmedetomidine-Go/β1/γ2 7EJK-α2a-Oxymetazoline-Go/β1/γ2 7W6P-α2a-N-pyridin-4-ylisoquinolin-4-amine-Go/β1/γ2 7W7E-α2a-PubChem 164946676-Go/β1/γ2
64.29Single2YDVNECA2YDV-A2A-NECA
64.29Single4U15Tiotropium4U15-M3-Tiotropium
64.29Single4UHRCGS216804UHR-A2A-CGS21680
64.29Single5A8E7-Methylcyanopindolol5A8E-β1-7-Methylcyanopindolol-Na
64.29Single5D5ACarazolol5D5A-β2-Carazolol
64.29Single5D5BCarazolol5D5B-β2-Carazolol
64.29Single5G53NECA5G53-A2A-NECA-Gs
64.29Single6J21Aprepitant6J21-NK1-Aprepitant
64.29Single6OL9Tiotropium6OL9-M5-Tiotropium
64.29Single8IRRRotigotine8IRR-D1-Rotigotine-Gs/β1/γ2
64.29Single9BS9LSD9BS9-D2-LSD
64.29Single9BSBLSD9BSB-D2-LSD-chim(NtGi1-Go)/β1/γ2
64.29Single9PY4Loperamide9PY4-μ-Loperamide-GDPβS-Gi1/β1/γ2
64.29Consensusbeta1_offOrthosteric Ligand2VT4-β1-Cyanopindolol 2YCW-β1-Carazolol 2YCZ-β1-Iodocyanopindolol 5A8E-β1-7-Methylcyanopindolol-Na 3ZPQ-β1-PubChem 594590-Na 3ZPR-β1-PubChem 598754-Na
64.29Consensusgi_5htOrthosteric Ligand8FYT-5-HT1A-LSD-PtdIns4P-Gi1/β1/γ1 7UM7-5-HT5A-Methylergometrine-chim(NtGi1-Go)/β1/γ2 8UGY-5-HT1E-Mianserin-Gi1/β1/γ1 8W8B-5-HT1A-SEP-363856-Gi1/β1/γ2 7E2Y-5-HT1A-Serotonin-PtdIns4P-Gi1/β1/γ2 7E32-5-HT1D-Serotonin-Gi1/β1/γ2 7XTA-5-HT4-Serotonin-Gi1/β1/γ2 8UH3-5-HT1E-Setiptiline-Gi1/β1/γ1 8JSP-5-HT1A-Ulotaront-Gi1/β1/γ2 8FYL-5-HT1A-Vilazodone-PtdIns4P-Gi1/β1/γ1 8JT6-5-HT1A-(R)-IHCH-7179-PtdIns4P-Gi1/β1/γ2 8FYE-5-HT1A-4-F,5-MeO-PyrT-PtdIns4P-Gi1/β1/γ1 7X5H-5-HT5A-5-CT-Gi1/β1/γ2 8FY8-5-HT1A-5-MeO-DMT-PtdIns4P-Gi1/β1/γ1 7E2Z-5-HT1A-Aripiprazole-PtdIns4P-Gi1/β1/γ2 7E33-5-HT1E-BRL-54443-Gi1/β1/γ2 8FYX-5-HT1A-Buspirone-PtdIns4P-Gi1/β1/γ1 7EXD-5-HT1F-Lasmiditan-Gi1/β1/γ2 7UM6-5-HT5A-Lisuride-chim(NtGi1-Go)/β1/γ2
64.29Consensusm5_offOrthosteric Ligand6OL9-M5-Tiotropium
63.64Single1U1911-cis-Retinal1U19-Rhodopsin-11-cis-Retinal
63.64Single2G87All-trans-Retinal2G87-Rhodopsin-All-trans-Retinal
63.64Single2I3511-cis-Retinal2I35-Rhodopsin-11-cis-Retinal
63.64Single3PBLEticlopride3PBL-D3-Eticlopride
63.64Single7DFLHistamine7DFL-H1-Histamine-chim(NtGi1L-Gq)/β1/γ2
63.64Single8GGYConstrained Epinephrine8GGY-β2-Constrained Epinephrine
63.64Single8JLOUlotaront8JLO-TA1-Ulotaront-Gs/β1/γ2
63.64Single8W892-Phenylethylamine8W89-TA1-2-Phenylethylamine-chim(NtGi1L-Gs)/β1/γ2
63.64Single8YN4Histamine8YN4-H2-Histamine-chim(NtGi1L-Gs-CtGq)/β1/γ2
63.64Single9AS2DMT9AS2-5-HT2A-DMT-chim(NtGi1-Gs-CtGq)/β1/γ2
63.64Single9IXJHistamine9IXJ-H2-Histamine-Gs/β1/γ2
63.64Consensusd3_offOrthosteric Ligand3PBL-D3-Eticlopride
63.64Consensush1_onOrthosteric Ligand7DFL-H1-Histamine-chim(NtGi1L-Gq)/β1/γ2
62.50Single8JLRA776368JLR-TA1-A77636-chim(NtGi1-Gs)/β1/γ2
61.54Single1HZX11-cis-Retinal1HZX-Rhodopsin-11-cis-Retinal
61.54Single2Y04Salbutamol2Y04-β1-Salbutamol
61.54Single3NYAAlprenolol3NYA-β2-Alprenolol
61.54Single3ZPQPubChem 5945903ZPQ-β1-PubChem 594590-Na
61.54Single3ZPRPubChem 5987543ZPR-β1-PubChem 598754-Na
61.54Single4X1HNonyl-Beta-D-Glucopyranoside4X1H-Rhodopsin-Nonyl-β-D-Glucopyranoside-Gt(CT)
61.54Single6DRZMethysergide6DRZ-5-HT2B-Methysergide
61.54Single6H7MSalbutamol6H7M-β1-Salbutamol
61.54Single6K42Dexmedetomidine6K42-α2b-Dexmedetomidine-Gi1/β1/γ2
61.54Single6PS2Alprenolol6PS2-β2-Alprenolol
61.54Single7BTSEpinephrine7BTS-β1-Epinephrine
61.54Single7BU6Norepinephrine7BU6-β1-Norepinephrine
61.54Single7S0GIsoprenaline7S0G-β1-Isoprenaline-chim(Gi1-CtGs)/β1/γ2
61.54Single7UM6Lisuride7UM6-5-HT5A-Lisuride-chim(NtGi1-Go)/β1/γ2
61.54Single7WC7Lisuride7WC7-5-HT2A-Lisuride
61.54Single7XTC5-CT7XTC-5-HT7-5-CT-Gs/β1/γ2
61.54Single8GE2Constrained Epinephrine8GE2-β2-Constrained Epinephrine-Gs/β1/γ1
61.54Single8GE3Constrained Epinephrine8GE3-β2-Constrained Epinephrine-Gs/β1/γ2
61.54Single8GE9Constrained Epinephrine8GE9-β2-Constrained Epinephrine-Gs/β1/γ2
61.54Single8GECConstrained Epinephrine8GEC-β2-Constrained Epinephrine-Gs/β1/γ2
61.54Single8GEEConstrained Epinephrine8GEE-β2-Constrained Epinephrine-Gs/β1/γ2
61.54Single8GFVConstrained Epinephrine8GFV-β2-Constrained Epinephrine-GTP-Gs/β1/γ2
61.54Single8GFWConstrained Epinephrine8GFW-β2-Constrained Epinephrine-GTP-Gs/β1/γ2
61.54Single8GFXConstrained Epinephrine8GFX-β2-Constrained Epinephrine-GTP-Gs/β1/γ2
61.54Single8GFZConstrained Epinephrine8GFZ-β2-Constrained Epinephrine-GTP-Gs/β1/γ2
61.54Single8GG0Constrained Epinephrine8GG0-β2-Constrained Epinephrine-GTP-Gs/β1/γ2
61.54Single8GG1Constrained Epinephrine8GG1-β2-Constrained Epinephrine-GTP-Gs/β1/γ2
61.54Single8GG3Constrained Epinephrine8GG3-β2-Constrained Epinephrine-GTP-Gs/β1/γ2
61.54Single8GG4Constrained Epinephrine8GG4-β2-Constrained Epinephrine-GTP-Gs/β1/γ2
61.54Single8GG6Constrained Epinephrine8GG6-β2-Constrained Epinephrine-GTP-Gs/β1/γ2
61.54Single8GG9Constrained Epinephrine8GG9-β2-Constrained Epinephrine-GTP-Gs/β1/γ2
61.54Single8GGIConstrained Epinephrine8GGI-β2-Constrained Epinephrine
61.54Single8GGJConstrained Epinephrine8GGJ-β2-Constrained Epinephrine
61.54Single8GGKConstrained Epinephrine8GGK-β2-Constrained Epinephrine
61.54Single8GGNConstrained Epinephrine8GGN-β2-Constrained Epinephrine
61.54Single8GGOConstrained Epinephrine8GGO-β2-Constrained Epinephrine
61.54Single8GGUConstrained Epinephrine8GGU-β2-Constrained Epinephrine
61.54Single8JJOAlprenolol8JJO-β2-Alprenolol
61.54Single8JLJT1AM8JLJ-TA1-T1AM-chim(NtGi1-Gs)/β1/γ2
61.54Single8JXRLSD8JXR-D1-LSD
61.54Single8PJKST1718PJK-5-HT1A-ST171-Gi1/β1/γ1
61.54Single8UH3Setiptiline8UH3-5-HT1E-Setiptiline-Gi1/β1/γ1
61.54Single8UNQConstrained Epinephrine8UNQ-β2-Constrained Epinephrine-GTP-Gs/β1/γ2
61.54Single8UNVConstrained Epinephrine8UNV-β2-Constrained Epinephrine-GTP-Gs/β1/γ2
61.54Single8UNYConstrained Epinephrine8UNY-β2-Constrained Epinephrine-GTP-Gs/β1/γ2
61.54Single8UNZConstrained Epinephrine8UNZ-β2-Constrained Epinephrine-GTP-Gs/β1/γ2
61.54Single8UO2Constrained Epinephrine8UO2-β2-Constrained Epinephrine-GTP-Gs/β1/γ2
61.54Single8W87METH8W87-TA1-METH-chim(NtGi1L-Gs)/β1/γ2
61.54Single8W8ARO52563908W8A-TA1-RO5256390-chim(NtGi1L-Gs)/β1/γ2
61.54Single8WC7ZH86678WC7-TA1-ZH8667-chim(NtGi1-Gs)/β1/γ2
61.54Single8X64Desloratadine8X64-H1-Desloratadine
61.54Single8XVKAmbrisentan8XVK-ETA-Ambrisentan
61.54Single9AS1DMT9AS1-5-HT2A-DMT
61.54Single9CBMDexmedetomidine9CBM-α2a-Dexmedetomidine-Gi1/β1/γ2
61.54Single9CHXCarazolol9CHX-β2-Carazolol
61.54Single9JEAAtropine9JEA-M1-Atropine
61.54Single9LLAAriadne9LLA-5-HT2A-Ariadne-chim(NtGi1L-Gs-CtGq)/β1/γ2
61.54Single9PLNPubChem 1682595949PLN-α2a-PubChem 168259594
61.54Single9PLOPubChem 1682595949PLO-α2a-PubChem 168259594-Go/β1/γ2
61.54Single9PQDPubChem 1764919279PQD-α2a-PubChem 176491927
61.54Consensus5ht2b_offOrthosteric Ligand6DRZ-5-HT2B-Methysergide
61.54Consensus5ht5_onOrthosteric Ligand5ht5a_on
61.54Consensus5ht5a_onOrthosteric Ligand7X5H-5-HT5A-5-CT-Gi1/β1/γ2 7UM6-5-HT5A-Lisuride-chim(NtGi1-Go)/β1/γ2 7UM7-5-HT5A-Methylergometrine-chim(NtGi1-Go)/β1/γ2
61.54Consensus5ht7_onOrthosteric Ligand7XTC-5-HT7-5-CT-Gs/β1/γ2
61.54Consensus5ht7_on_gpOrthosteric Ligand7XTC-5-HT7-5-CT-Gs/β1/γ2
61.54Consensusadrenergic_onOrthosteric Ligandalpha_on beta_on
61.54Consensusalpha2_onOrthosteric Ligandalpha2b_on
61.54Consensusalpha2_on_gpOrthosteric Ligandalpha2b_on_gp
61.54Consensusalpha2b_onOrthosteric Ligand6K42-α2b-Dexmedetomidine-Gi1/β1/γ2
61.54Consensusalpha2b_on_gpOrthosteric Ligand6K42-α2b-Dexmedetomidine-Gi1/β1/γ2
61.54Consensusalpha_onOrthosteric Ligandalpha1_on alpha2_on
61.54Consensusd5_onOrthosteric Ligand8IRV-D5-Rotigotine-chim(NtGi1-Gs)/β1/γ2
61.54Consensusdopamine_onOrthosteric Ligandd2_on d1_on d3_on d4_on d5_on
61.54Consensusdopamine_on_gpOrthosteric Ligandd2_on_gp d1_on_gp d3_on_gp d4_on_gp d5_on_gp
61.54Consensusgq_amineOrthosteric Ligandgq_muscarinic gq_histamine
61.54Consensusgs_trace-amineOrthosteric Ligand8W88-TA1-SEP-363856-Gs/β1/γ2 8JLJ-TA1-T1AM-chim(NtGi1-Gs)/β1/γ2 8JLO-TA1-Ulotaront-Gs/β1/γ2 8WC4-TA1-ZH8651-chim(NtGi1-Gs)/β1/γ2 8WC7-TA1-ZH8667-chim(NtGi1-Gs)/β1/γ2 8JLR-TA1-A77636-chim(NtGi1-Gs)/β1/γ2 8JSO-TA1-AMPH-chim(NtGi1-Gs)/β1/γ2 8W87-TA1-METH-chim(NtGi1L-Gs)/β1/γ2 8W89-TA1-2-Phenylethylamine-chim(NtGi1L-Gs)/β1/γ2 8JLP-TA1-Ralmitaront-Gs/β1/γ2 8W8A-TA1-RO5256390-chim(NtGi1L-Gs)/β1/γ2
60.00Single4AMIBucindolol4AMI-β1-Bucindolol
60.00Single5CXVTiotropium5CXV-M1-Tiotropium
60.00Single6DRYMethylergometrine6DRY-5-HT2B-Methylergometrine
60.00Single6H7NXamoterol6H7N-β1-Xamoterol
60.00Single6H7OCyanopindolol6H7O-β1-Cyanopindolol
60.00Single8IRSRotigotine8IRS-D2-Rotigotine-Gi1/β1/γ2
60.00Single8IWM2-Phenylethylamine8IWM-TAA9-2-Phenylethylamine
60.00Single9KVG5-MeO-DMT9KVG-5-HT1A-5-MeO-DMT-PtdIns4P-Gi1/β1/γ2
60.00Consensus5ht1a_onOrthosteric Ligand8FYT-5-HT1A-LSD-PtdIns4P-Gi1/β1/γ1 7E2Y-5-HT1A-Serotonin-PtdIns4P-Gi1/β1/γ2 7E2Z-5-HT1A-Aripiprazole-PtdIns4P-Gi1/β1/γ2 8FYX-5-HT1A-Buspirone-PtdIns4P-Gi1/β1/γ1 8JSP-5-HT1A-Ulotaront-Gi1/β1/γ2 8JT6-5-HT1A-(R)-IHCH-7179-PtdIns4P-Gi1/β1/γ2 8FY8-5-HT1A-5-MeO-DMT-PtdIns4P-Gi1/β1/γ1 8FYE-5-HT1A-4-F,5-MeO-PyrT-PtdIns4P-Gi1/β1/γ1 8FYL-5-HT1A-Vilazodone-PtdIns4P-Gi1/β1/γ1
60.00Consensus5ht1a_on_gpOrthosteric Ligand8FYT-5-HT1A-LSD-PtdIns4P-Gi1/β1/γ1 8FYX-5-HT1A-Buspirone-PtdIns4P-Gi1/β1/γ1 8JSP-5-HT1A-Ulotaront-Gi1/β1/γ2 8JT6-5-HT1A-(R)-IHCH-7179-PtdIns4P-Gi1/β1/γ2 7E2Y-5-HT1A-Serotonin-PtdIns4P-Gi1/β1/γ2 7E2Z-5-HT1A-Aripiprazole-PtdIns4P-Gi1/β1/γ2 8FY8-5-HT1A-5-MeO-DMT-PtdIns4P-Gi1/β1/γ1 8FYE-5-HT1A-4-F,5-MeO-PyrT-PtdIns4P-Gi1/β1/γ1 8FYL-5-HT1A-Vilazodone-PtdIns4P-Gi1/β1/γ1
60.00Consensusd2_on_gpOrthosteric Ligand7JVR-D2-Bromoergocryptine-Gi1/β1/γ2 8IRS-D2-Rotigotine-Gi1/β1/γ2
60.00Consensusgi_amineOrthosteric Ligandgi_5ht gi_muscarinic gi_adrenergic gi_dopamine gi_histamine
60.00Consensusgs_histamineOrthosteric Ligand8POK-H2-Histamine-Gs/β1/γ2
60.00Consensush2_onOrthosteric Ligand8POK-H2-Histamine-Gs/β1/γ2
60.00Consensusm1_offOrthosteric Ligand5CXV-M1-Tiotropium
60.00Consensusnk1_offOrthosteric Ligand6HLP-NK1-Netupitant 6HLO-NK1-Aprepitant 6HLL-NK1-CP99994 6E59-NK1-L-760735
60.00Consensusopsins_onOrthosteric Ligandrhodopsin_on opsin1lw_on
60.00Consensussensory_onOrthosteric Ligandopsins_on
58.82Single7WVWfMYFINILTL7WVW-FPR2-ALX-fMYFINILTL-Gi2/β1/γ2
58.82Single8FYLVilazodone8FYL-5-HT1A-Vilazodone-PtdIns4P-Gi1/β1/γ1
58.82Single8ZSPLSD8ZSP-TA1-LSD-chim(NtGi1L-Gs)/β1/γ2
58.33Single1GZM11-cis-Retinal1GZM-Rhodopsin-11-cis-Retinal
58.33Single3C9L11-cis-Retinal3C9L-Rhodopsin-11-cis-Retinal
58.33Single6KUYPubChem 1457046436KUY-α2a-PubChem 145704643
58.33Single6OBAAlprenolol6OBA-β2-Alprenolol-GTPL11074
58.33Single6OYAAll-trans-Retinal6OYA-Rhodopsin-All-trans-Retinal-Gt/β1/γ1
58.33Single7F1ODopamine7F1O-D1-Dopamine-GDP; Mg-Gs/β1/γ2
58.33Single7LJDDopamine7LJD-D1-Dopamine-Mevidalen-Gs/β1/γ1
58.33Single7T6STC-FPR 437T6S-FPR2-ALX-TC-FPR 43-Gi1/β1/γ2
58.33Single7X2FDopamine7X2F-D1-Dopamine-Mevidalen-Gs/β1/γ2
58.33Single7X5H5-CT7X5H-5-HT5A-5-CT-Gi1/β1/γ2
58.33Single7YM8Oxymetazoline7YM8-Alpha1A-Oxymetazoline-chim(Gs-CtGq)
58.33Single8GGCConstrained Epinephrine8GGC-β2-Constrained Epinephrine-GTP-Gs/β1/γ2
58.33Single8GGWConstrained Epinephrine8GGW-β2-Constrained Epinephrine
58.33Single8GGZConstrained Epinephrine8GGZ-β2-Constrained Epinephrine
58.33Single8JSOAMPH8JSO-TA1-AMPH-chim(NtGi1-Gs)/β1/γ2
58.33Single8TZQDopamine8TZQ-D2-Dopamine-Go/β1/γ2
58.33Single8UNXConstrained Epinephrine8UNX-β2-Constrained Epinephrine-GTP-Gs/β1/γ2
58.33Single8WC3SEP-3638568WC3-TA1-SEP-363856-chim(NtGi1-Gs)/β1/γ2
58.33Single8WC4ZH86518WC4-TA1-ZH8651-chim(NtGi1-Gs)/β1/γ2
58.33Single8WCA2-Phenylethylamine8WCA-TA1-2-Phenylethylamine-chim(NtGi1-Gs)/β1/γ2
58.33Single8YUTAmthamine8YUT-H2-Amthamine-Gs/β1/γ2
58.33Single9LL9DOI9LL9-5-HT2A-DOI-chim(NtGi1L-Gs-CtGq)/β1/γ2
58.33Single9LLBDOI-NBOMe9LLB-5-HT2A-DOI-NBOMe-chim(NtGi1L-Gs-CtGq)/β1/γ2
58.33Single9MQJIsoquinuclidine9MQJ-μ-Isoquinuclidine
58.33Consensus5ht_onOrthosteric Ligand5ht1_on 5ht2_on 5ht4_on 5ht5_on 5ht6_on 5ht7_on
58.33Consensusalpha2_offOrthosteric Ligandalpha2c_off
58.33Consensusgq_histamineOrthosteric Ligand7DFL-H1-Histamine-chim(NtGi1L-Gq)/β1/γ2
58.33Consensusgs_5htOrthosteric Ligand7XTC-5-HT7-5-CT-Gs/β1/γ2 7XTB-5-HT6-Serotonin-Gs/β1/γ2 8JLZ-5-HT6-ST1936-Gs/β1/γ2 7XT8-5-HT4-Serotonin-Gs/β1/γ2
58.33Consensush1_on_gpOrthosteric Ligand7DFL-H1-Histamine-chim(NtGi1L-Gq)/β1/γ2
58.33Consensusrhodopsin_offOrthosteric Ligand1U19-Rhodopsin-11-cis-Retinal 2PED-Rhodopsin-9-cis-Retinal 5TE5-Rhodopsin-20-Methanoretinal
58.33Consensusrhodopsin_on_gpOrthosteric Ligand6OYA-Rhodopsin-All-trans-Retinal-Gt/β1/γ1
57.14Single2Y03Isoprenaline2Y03-β1-Isoprenaline
57.14Single5JQHCarazolol5JQH-β2-Carazolol
57.14Single5WIUNemonapride5WIU-D4-Nemonapride
57.14Single5WIVNemonapride5WIV-D4-Nemonapride-Na
57.14Single6KUWPubChem 572132346KUW-α2c-PubChem 57213234
57.14Single6ME82-Phenylmelatonin6ME8-MT2-2-Phenylmelatonin
57.14Single6PS3Carvedilol6PS3-β2-Carvedilol
57.14Single6PS6Timolol6PS6-β2-Timolol
57.14Single7BVQCarazolol7BVQ-β1-Carazolol
57.14Single7S0FIsoprenaline7S0F-β1-Isoprenaline-Gi1/β1/γ2
57.14Single7XK9Constrained Isoproterenol7XK9-β2-Constrained Isoproterenol-Na
57.14Single7XKAConstrained Epinephrine7XKA-β2-Constrained Epinephrine
57.14Single8GDZConstrained Epinephrine8GDZ-β2-Constrained Epinephrine-Gs/β1/γ2
57.14Single8GEBConstrained Epinephrine8GEB-β2-Constrained Epinephrine-Gs/β1/γ2
57.14Single8GEGConstrained Epinephrine8GEG-β2-Constrained Epinephrine-Gs/β1/γ2
57.14Single8GGBConstrained Epinephrine8GGB-β2-Constrained Epinephrine-GTP-Gs/β1/γ2
57.14Single8UNNConstrained Epinephrine8UNN-β2-Constrained Epinephrine-GTP-Gs/β1/γ2
57.14Single8UNPConstrained Epinephrine8UNP-β2-Constrained Epinephrine-GTP-Gs/β1/γ2
57.14Single9ARYSerotonin9ARY-5-HT2A-Serotonin-chim(NtGi1-Gs-CtGq)/β1/γ2
57.14Single9K07DSO-5a9K07-BB3-DSO-5a-chim(NtGi2L-Gs-CtGq)/β1/γ2
57.14Single9MQKIsoquinuclidine9MQK-κ-Isoquinuclidine
57.14Single9PXYNaloxone9PXY-μ-Naloxone-GDPβS-Gi1/β1/γ2
57.14Consensusadrenergic_offOrthosteric Ligandalpha_off beta_off
57.14Consensusadrenergic_on_gpOrthosteric Ligandalpha_on_gp beta_on_gp
57.14Consensusalpha2c_offOrthosteric Ligand6KUW-α2c-PubChem 57213234
57.14Consensusalpha_offOrthosteric Ligandalpha1_off alpha2_off
57.14Consensusd2_onOrthosteric Ligand7JVR-D2-Bromoergocryptine-Gi1/β1/γ2 8IRS-D2-Rotigotine-Gi1/β1/γ2
57.14Consensusgs_amineOrthosteric Ligandgs_5ht gs_adrenergic gs_dopamine gs_histamine gs_trace-amine
57.14Consensusm3_onOrthosteric Ligand8E9Z-M3-Iperoxo-chim(NtGi2L-Gs-CtGq)/β1/γ2 8E9W-M3-2-Deoxycytidine-chim(NtGi2L-Gs-CtGq)/β1/γ2 8E9Y-M3-Clozapine-N-oxide-chim(NtGi2L-Gs-CtGq)/β1/γ2
57.14Consensusm3_on_gpOrthosteric Ligand8E9Z-M3-Iperoxo-chim(NtGi2L-Gs-CtGq)/β1/γ2 8E9W-M3-2-Deoxycytidine-chim(NtGi2L-Gs-CtGq)/β1/γ2 8E9Y-M3-Clozapine-N-oxide-chim(NtGi2L-Gs-CtGq)/β1/γ2
56.25Single2YCZIodocyanopindolol2YCZ-β1-Iodocyanopindolol
56.25Single4BVNCyanopindolol4BVN-β1-Cyanopindolol-Na
56.25Single6BQHRitanserin6BQH-5-HT2C-Ritanserin
56.25Single7JVRBromoergocryptine7JVR-D2-Bromoergocryptine-Gi1/β1/γ2
56.25Single7SK8CCX6627SK8-ACKR3-CXCL12-CCX662
56.25Single7VGY2-Iodomelatonin7VGY-MT1-2-Iodomelatonin-Gi1/β1/γ2
56.25Single7XJISolabegron7XJI-β3-Solabegron-Gs/β1/γ2
56.25Single8E9X2-Deoxycytidine8E9X-M4-2-Deoxycytidine-chim(NtGi1-Go)/β1/γ2
56.25Single8E9YClozapine-N-oxide8E9Y-M3-Clozapine-N-oxide-chim(NtGi2L-Gs-CtGq)/β1/γ2
56.25Single8FX5Xanomeline8FX5-M4-Xanomeline-Xanomeline-Gi1/β1/γ2
56.25Single9AS02-bromo-LSD9AS0-5-HT2A-2-bromo-LSD-chim(NtGi1-Gs-CtGq)/β1/γ2
56.25Single9DYEBuspirone9DYE-5-HT1A-Buspirone-PtdIns4P-Go/β1/γ2
56.25Single9HYIDP819HYI-5-HT1A-DP81-Gi1/β1/γ2
56.25Consensus5ht2c_offOrthosteric Ligand6BQH-5-HT2C-Ritanserin
54.55Single3PQRAll-trans-Retinal3PQR-Rhodopsin-All-trans-Retinal-Gt(CT)
54.55Single7EJKOxymetazoline7EJK-α2a-Oxymetazoline-Go/β1/γ2
54.55Single7F23Dopamine7F23-D1-Dopamine-GDP-Gs/β1/γ2
54.55Single8IW72-Phenylethylamine8IW7-TAA9-2-Phenylethylamine-chim(NtGi1-Gs)/β1/γ2
54.55Single8WC62-Phenylethylamine8WC6-TA1-2-Phenylethylamine-chim(NtGi1-Gs)/β1/γ2
54.55Single8WC9ZH86518WC9-TA1-ZH8651-chim(NtGi1-Gs-CtGq)/β1/γ2
54.55Single9LL7DOI9LL7-5-HT2A-DOI-Gi1/β1/γ2
53.85Single1F8811-cis-Retinal1F88-Rhodopsin-11-cis-Retinal
53.85Single3OAX11-cis-Retinal3OAX-Rhodopsin-11-cis-Retinal
53.85Single3RZECidoxepin3RZE-H1-Cidoxepin
53.85Single4DKLBeta-Funaltrexamine4DKL-μ-β-Funaltrexamine
53.85Single4MQTIperoxo4MQT-M2-Iperoxo-LY2119620
53.85Single4N6HNaltrindole4N6H-δ-Naltrindole-Na
53.85Single6K41Dexmedetomidine6K41-α2b-Dexmedetomidine-Go/β1/γ2
53.85Single6KUXRS799486KUX-α2a-RS79948
53.85Single6PS5Propranolol6PS5-β2-Propranolol
53.85Single6TPNHTL66416TPN-OX2-HTL6641
53.85Single6WJCAtropine6WJC-M1-Atropine-Muscarinic toxin 7
53.85Single7CKZDopamine7CKZ-D1-Dopamine-Mevidalen-Gs/β1/γ2
53.85Single7CMUPramipexole7CMU-D3-Pramipexole-Gi1/β1/γ2
53.85Single7CMVPD1289077CMV-D3-PD128907-Gi1/β1/γ2
53.85Single7EJ8Brimonidine7EJ8-α2a-Brimonidine-Go/β1/γ2
53.85Single7EJADexmedetomidine7EJA-α2a-Dexmedetomidine-Go/β1/γ2
53.85Single7F1ZDopamine7F1Z-D1-Dopamine-GDP-Gs/β1/γ2
53.85Single7RANPubChem 1645758477RAN-5-HT2A-PubChem 164575847-chim(NtGi2L-Gs-CtGq)/β1/γ2
53.85Single7UL3Famotidine7UL3-H2-Famotidine
53.85Single7ZBC11-cis-Retinal7ZBC-Rhodopsin-11-cis-Retinal
53.85Single7ZBE11-cis-Retinal7ZBE-Rhodopsin-11-cis-Retinal
53.85Single8DPGPsilocin8DPG-5-HT2C-Psilocin-chim(NtGi2L-Gs-CtGq)/β1/γ2
53.85Single8GEAConstrained Epinephrine8GEA-β2-Constrained Epinephrine-Gs/β1/γ2
53.85Single8GEDConstrained Epinephrine8GED-β2-Constrained Epinephrine-Gs/β1/γ2
53.85Single8GG5Constrained Epinephrine8GG5-β2-Constrained Epinephrine-GTP-Gs/β1/γ2
53.85Single8GG7Constrained Epinephrine8GG7-β2-Constrained Epinephrine-GTP-Gs/β1/γ2
53.85Single8GG8Constrained Epinephrine8GG8-β2-Constrained Epinephrine-GTP-Gs/β1/γ2
53.85Single8GGLConstrained Epinephrine8GGL-β2-Constrained Epinephrine
53.85Single8GGMConstrained Epinephrine8GGM-β2-Constrained Epinephrine
53.85Single8GGPConstrained Epinephrine8GGP-β2-Constrained Epinephrine
53.85Single8JLKUlotaront8JLK-TA1-Ulotaront-chim(NtGi1-Gs)/β1/γ2
53.85Single8PM2DMCHA8PM2-TA7-DMCHA-Gs/β1/γ2
53.85Single8UNLConstrained Epinephrine8UNL-β2-Constrained Epinephrine-GTP-Gs/β1/γ2
53.85Single8UNMConstrained Epinephrine8UNM-β2-Constrained Epinephrine-GTP-Gs/β1/γ2
53.85Single8UNOConstrained Epinephrine8UNO-β2-Constrained Epinephrine-GTP-Gs/β1/γ2
53.85Single8UNWConstrained Epinephrine8UNW-β2-Constrained Epinephrine-GTP-Gs/β1/γ2
53.85Single8UO0Constrained Epinephrine8UO0-β2-Constrained Epinephrine-GTP-Gs/β1/γ2
53.85Single8V6UPubChem 1713924568V6U-5-HT2A-PubChem 171392456-chim(NtGi2-Gs-CtGq)/β1/γ2
53.85Single8ZBWQuin-C18ZBW-FPR2-ALX-Quin-C1-Gi2/β1/γ2
53.85Single8ZMGPimavanserin8ZMG-5-HT2A-Pimavanserin
53.85Single9AS3LSD9AS3-5-HT2A-LSD
53.85Single9AS4LSD9AS4-5-HT2A-LSD-chim(NtGi1-Gs-CtGq)/β1/γ2
53.85Single9AS5Mescaline9AS5-5-HT2A-Mescaline
53.85Single9AS6Mescaline9AS6-5-HT2A-Mescaline-chim(NtGi1-Gs-CtGq)/β1/γ2
53.85Single9JKQMETH9JKQ-TA1-METH-Gs/β1/γ2
53.85Single9L84Epinephrine9L84-β1-Epinephrine-Atazanavir-Gs/β1/γ2
53.85Single9LL8Psilocin9LL8-5-HT2A-Psilocin-Gi1/β1/γ2
53.85Single9LRDHistamine9LRD-H1-Histamine-Gi1/β1/γ2
53.85Single9MQIIsoquinuclidine9MQI-μ-Isoquinuclidine
53.85Single9PXVNaloxone9PXV-μ-Naloxone-Gi1/β1/γ2
53.85Single9PY2Loperamide9PY2-μ-Loperamide-GDPβS-Gi1/β1/γ2
53.85Consensus5ht_on_gpOrthosteric Ligand5ht1_on_gp 5ht2_on_gp 5ht4_on_gp 5ht5_on_gp 5ht6_on_gp 5ht7_on_gp
53.85Consensusd3_onOrthosteric Ligand7CMV-D3-PD128907-Gi1/β1/γ2 8IRT-D3-Rotigotine-Gi1/β1/γ2 7CMU-D3-Pramipexole-Gi1/β1/γ2
53.85Consensusd3_on_gpOrthosteric Ligand7CMV-D3-PD128907-Gi1/β1/γ2 8IRT-D3-Rotigotine-Gi1/β1/γ2 7CMU-D3-Pramipexole-Gi1/β1/γ2
53.85Consensusopsins_offOrthosteric Ligandrhodopsin_off
53.85Consensussensory_offOrthosteric Ligandopsins_off
53.33Single4LDLHydroxybenzyl Isoproterenol4LDL-β2-Hydroxybenzyl Isoproterenol
53.33Single5ZKBAF-DX 3845ZKB-M2-AF-DX 384
53.33Single6H7JIsoprenaline6H7J-β1-Isoprenaline
53.33Single6N48BI1671076N48-β2-BI167107-PubChem 138454256
53.33Single7JJOIsoprenaline7JJO-β1-Isoprenaline-Gs/β1/γ2
53.33Single7TRQIperoxo7TRQ-M4-Iperoxo-VU0467154-Gi1/β1/γ2
53.33Single7XY7NECA7XY7-A2B-NECA-chim(NtGi1-Gs)/β1/γ2
53.33Single8IRVRotigotine8IRV-D5-Rotigotine-chim(NtGi1-Gs)/β1/γ2
53.33Single8JXXClobenpropit8JXX-H4-Clobenpropit-Gi1/β1/γ2
53.33Single9AS9RS130-1809AS9-5-HT2A-RS130-180
53.33Single9ASARS130-1809ASA-5-HT2A-RS130-180-chim(NtGi1-Gs-CtGq)/β1/γ2
53.33Single9BJKNaloxone9BJK-μ-Naloxone-PubChem 171642066
53.33Single9IJDCarazolol9IJD-β3-Carazolol-chim(NtGi1-Gs)/β1/γ2
53.33Single9PY3Loperamide9PY3-μ-Loperamide-GDPβS-Gi1/β1/γ2
53.33Consensusbeta2_onOrthosteric Ligand7DHI-β2-Salbutamol-Gs/β1/γ2 6NI3-β2-BI167107-Gs/β1/γ2
53.33Consensusbeta2_on_gpOrthosteric Ligand7DHI-β2-Salbutamol-Gs/β1/γ2 6NI3-β2-BI167107-Gs/β1/γ2
53.33Consensusd1_on_gpOrthosteric Ligand7F0T-D1-Dopamine-Gs/β1/γ2 7CKY-D1-PW0464-Gs/β1/γ2 8IRR-D1-Rotigotine-Gs/β1/γ2 7JV5-D1-SKF81297-Gs/β1/γ2 7JVP-D1-SKF83959-Gs/β1/γ2 7X2D-D1-Tavapadon-Gs/β1/γ2 7CKX-D1-A77636-Gs/β1/γ2 7JVQ-D1-Apomorphine-Gs/β1/γ2 7CKW-D1-Fenoldopam-Gs/β1/γ2
53.33Consensusd5_on_gpOrthosteric Ligand8IRV-D5-Rotigotine-chim(NtGi1-Gs)/β1/γ2
53.33Consensusgi_dopamineOrthosteric Ligand7JVR-D2-Bromoergocryptine-Gi1/β1/γ2 7CMV-D3-PD128907-Gi1/β1/γ2 7CMU-D3-Pramipexole-Gi1/β1/γ2 8IRS-D2-Rotigotine-Gi1/β1/γ2 8IRT-D3-Rotigotine-Gi1/β1/γ2
53.33Consensusgs_adrenergicOrthosteric Ligand7DHI-β2-Salbutamol-Gs/β1/γ2 7XJI-β3-Solabegron-Gs/β1/γ2 7JJO-β1-Isoprenaline-Gs/β1/γ2 6NI3-β2-BI167107-Gs/β1/γ2 8DCR-β1-Dobutamine-Gs/β1/γ2 7XJH-β3-Isoprenaline-Gs/β1/γ2 7DH5-β3-Mirabegron-Gs/β1/γ2
53.33Consensusgs_dopamineOrthosteric Ligand7F0T-D1-Dopamine-Gs/β1/γ2 7CKW-D1-Fenoldopam-Gs/β1/γ2 7CKY-D1-PW0464-Gs/β1/γ2 8IRV-D5-Rotigotine-chim(NtGi1-Gs)/β1/γ2 8IRR-D1-Rotigotine-Gs/β1/γ2 7JV5-D1-SKF81297-Gs/β1/γ2 7JVP-D1-SKF83959-Gs/β1/γ2 7X2D-D1-Tavapadon-Gs/β1/γ2 7CKX-D1-A77636-Gs/β1/γ2 7JVQ-D1-Apomorphine-Gs/β1/γ2
53.33Consensush4_on_gpOrthosteric Ligand8HN8-H4-Histamine-Gi1/β1/γ2 8HOC-H4-Imetit-Gi1/β1/γ2 8JXV-H4-Clozapine-Gi1/β1/γ2 8JXW-H4-VUF6884-Gi1/β1/γ2 8JXX-H4-Clobenpropit-Gi1/β1/γ2
53.33Consensusm3_offOrthosteric Ligand4U15-M3-Tiotropium 4U16-M3-N-methyl-Scopolamine 5ZHP-M3-PubChem 134828589
53.33Consensusmuscarinic_offOrthosteric Ligandm2_off m3_off m4_off m5_off m1_off
53.33Consensustachykinin_offOrthosteric Ligandnk1_off
52.94Single3NY9PubChem 9131033NY9-β2-PubChem 913103
52.94Single4UG2CGS216804UG2-A2A-CGS21680
52.94Single6G79Donitriptan6G79-5-HT1B-Donitriptan-Go/β1/γ2
52.94Single7SK9CCX6627SK9-ACKR3-CCX662
50.00Single1L9H11-cis-Retinal1L9H-Rhodopsin-11-cis-Retinal
50.00Single2VT4Cyanopindolol2VT4-β1-Cyanopindolol
50.00Single2Y01Dobutamine2Y01-β1-Dobutamine
50.00Single2YCYCyanopindolol2YCY-β1-Cyanopindolol
50.00Single3AYMAll-trans-Retinal3AYM-Rhodopsin-All-trans-Retinal
50.00Single3PXOAll-trans-Retinal3PXO-Rhodopsin-All-trans-Retinal
50.00Single4AMJCarvedilol4AMJ-β1-Carvedilol
50.00Single4EJ4Naltrindole4EJ4-δ-Naltrindole
50.00Single4IARErgotamine4IAR-5-HT1B-Ergotamine
50.00Single4LDEBI1671074LDE-β2-BI167107
50.00Single4MQSIperoxo4MQS-M2-Iperoxo
50.00Single4QKXPubChem 762106284QKX-β2-PubChem 76210628
50.00Single4U14Tiotropium4U14-M3-Tiotropium
50.00Single4U16N-methyl-Scopolamine4U16-M3-N-methyl-Scopolamine
50.00Single5DYSAll-trans-Retinal5DYS-Rhodopsin-All-trans-Retinal
50.00Single5F8UCyanopindolol5F8U-β1-Cyanopindolol
50.00Single5YC8N-methyl-Scopolamine5YC8-M2-N-methyl-Scopolamine
50.00Single5ZK8N-methyl-Scopolamine5ZK8-M2-N-methyl-Scopolamine
50.00Single5ZKCN-methyl-Scopolamine5ZKC-M2-N-methyl-Scopolamine
50.00Single6PRZAlprenolol6PRZ-β2-Alprenolol
50.00Single6PS1Timolol6PS1-β2-Timolol
50.00Single6VMSBromoergocryptine6VMS-D2-Bromoergocryptine-Gi1/β1/γ2
50.00Single6WHADB139486WHA-5-HT2A-DB13948-chim(NtGi2L-Gs-CtGq)/β1/γ2
50.00Single7CRHSKF839597CRH-D1-SKF83959-Gs/β1/γ2
50.00Single7DB6Ramelteon7DB6-MT1-Ramelteon-Gi1/β1/γ2
50.00Single7E2YSerotonin7E2Y-5-HT1A-Serotonin-PtdIns4P-Gi1/β1/γ2
50.00Single7JNIOlodanrigan7JNI-AT2-Olodanrigan
50.00Single7JVQApomorphine7JVQ-D1-Apomorphine-Gs/β1/γ2
50.00Single7LJCSKF812977LJC-D1-SKF81297-Mevidalen-Gs/β1/γ2
50.00Single7T6VfMLFII7T6V-FPR2-ALX-fMLFII-Gi1/β1/γ2
50.00Single7TRPIperoxo7TRP-M4-Iperoxo-LY2033298-Gi1/β1/γ2
50.00Single7V68Iperoxo7V68-M4-Iperoxo-LY2119620-Gi1/β1/γ2
50.00Single7VGZRamelteon7VGZ-MT1-Ramelteon-Gi1/β1/γ2
50.00Single7VH0Ramelteon7VH0-MT2-Ramelteon-Gi1/β1/γ1
50.00Single7X2CFenoldopam7X2C-D1-Fenoldopam-Fenoldopam-Gs/β1/γ2
50.00Single7XJHIsoprenaline7XJH-β3-Isoprenaline-Gs/β1/γ2
50.00Single7XMTJ-21567XMT-SST4-J-2156-Gi1/β1/γ2
50.00Single7XT9Serotonin7XT9-5-HT4-Serotonin-Gs/β1/γ2
50.00Single7XTASerotonin7XTA-5-HT4-Serotonin-Gi1/β1/γ2
50.00Single7XTBSerotonin7XTB-5-HT6-Serotonin-Gs/β1/γ2
50.00Single7YITNalfurafine7YIT-κ-Nalfurafine
50.00Single7YS6Serotonin7YS6-5-HT6-Serotonin-chim(NtGi1-Gs)/β1/γ2
50.00Single8DZSGR89,6968DZS-κ-GR89,696-chim(NtGi2-Gz)/β1/γ2
50.00Single8E9W2-Deoxycytidine8E9W-M3-2-Deoxycytidine-chim(NtGi2L-Gs-CtGq)/β1/γ2
50.00Single8EF6Morphine8EF6-μ-Morphine-Gi1/β1/γ2
50.00Single8GEHConstrained Epinephrine8GEH-β2-Constrained Epinephrine-Gs/β1/γ2
50.00Single8IRTRotigotine8IRT-D3-Rotigotine-Gi1/β1/γ2
50.00Single8JJ8Arformoterol8JJ8-β2-Arformoterol
50.00Single8JLZST19368JLZ-5-HT6-ST1936-Gs/β1/γ2
50.00Single8PKMBefiradol8PKM-5-HT1A-Befiradol-Gi1/β1/γ1
50.00Single8T1WCVN4248T1W-GPR6-CVN424
50.00Single8UNRConstrained Epinephrine8UNR-β2-Constrained Epinephrine-GTP-Gs/β1/γ2
50.00Single8UNUConstrained Epinephrine8UNU-β2-Constrained Epinephrine-GTP-Gs/β1/γ2
50.00Single8UO3Constrained Epinephrine8UO3-β2-Constrained Epinephrine-GTP; Mg-Gs/β1/γ2
50.00Single8UO4Constrained Epinephrine8UO4-β2-Constrained Epinephrine-GTP; Mg-Gs/β1/γ2
50.00Single8VVGGB188VVG-κ-GB18-Gi1/β1/γ2
50.00Single8WDTphotoNECA8WDT-A2A-photoNECA
50.00Single8Y71A1D6F8Y71-δ-A1D6F-BMS986187-Gi1/β1/γ2
50.00Single8YN2Histamine8YN2-H1-Histamine-chim(NtGi1L-Gs-CtGq)/β1/γ2
50.00Single8ZSVRO52633978ZSV-TA1-RO5263397-chim(NtGi1-Gs)/β1/γ2
50.00Single9EBIPiclidenoson9EBI-A3A-Piclidenoson-chim(NtGi1L-Gs-CtGi1)/β1/γ2
50.00Single9EK0Iperoxo9EK0-M5-Iperoxo-chim(NtGi1-Gs-CtGq)/β1/γ2
50.00Single9IJEEpinephrine9IJE-β3-Epinephrine-chim(NtGi1-Gs)/β1/γ2
50.00Single9L42Histamine9L42-H4-Histamine-Gi1/β1/γ2
50.00Single9MQLIsoquinuclidine9MQL-κ-Isoquinuclidine
50.00Single9PXWNaloxone9PXW-μ-Naloxone-GDPβS-Gi1/β1/γ2
50.00Single9U9VMETH9U9V-β2-METH-Gs/β1/γ2
50.00Single9UAZAtropine9UAZ-M1-Atropine
50.00Single9V6ONalfurafine9V6O-κ-Nalfurafine-Gi1/β1/γ2
50.00Single9VJ6F-155999VJ6-5-HT1A-F-15599-Gi3/β1/γ2
50.00Consensus5ht4_onOrthosteric Ligand7XTA-5-HT4-Serotonin-Gi1/β1/γ2
50.00Consensus5ht4_on_gpOrthosteric Ligand7XTA-5-HT4-Serotonin-Gi1/β1/γ2
50.00Consensusbeta3_onOrthosteric Ligand7DH5-β3-Mirabegron-Gs/β1/γ2 7XJH-β3-Isoprenaline-Gs/β1/γ2 7XJI-β3-Solabegron-Gs/β1/γ2
50.00Consensusbeta3_on_gpOrthosteric Ligand7DH5-β3-Mirabegron-Gs/β1/γ2 7XJH-β3-Isoprenaline-Gs/β1/γ2 7XJI-β3-Solabegron-Gs/β1/γ2
50.00Consensusbeta_onOrthosteric Ligandbeta1_on beta2_on beta3_on
50.00Consensusbeta_on_gpOrthosteric Ligandbeta1_on_gp beta2_on_gp beta3_on_gp
50.00Consensusdop_offOrthosteric Ligand4EJ4-δ-Naltrindole
50.00Consensusgi_histamineOrthosteric Ligand8JXX-H4-Clobenpropit-Gi1/β1/γ2 8JXV-H4-Clozapine-Gi1/β1/γ2 8YUU-H3-Histamine-Gi1/β1/γ1 8HN8-H4-Histamine-Gi1/β1/γ2 8HOC-H4-Imetit-Gi1/β1/γ2 8JXW-H4-VUF6884-Gi1/β1/γ2
50.00Consensusmop_offOrthosteric Ligand4DKL-μ-β-Funaltrexamine 8QOT-μ-Nanobody-E 7UL4-μ-Alvimopan
50.00Consensusmop_onOrthosteric Ligand8F7R-μ-Endomorphin-Gi1/β1/γ2 8EF5-μ-Fentanyl-Gi1/β1/γ2 7SCG-μ-FH210-Gi1/β1/γ2 7T2H-μ-Lofentanil-Gi1/β1/γ2 7T2G-μ-Mitragynine Pseudoindoxyl-Gi1/β1/γ2 8EF6-μ-Morphine-Gi1/β1/γ2 8EFB-μ-Oliceridine-Gi1/β1/γ2 7U2L-μ-C5-guano-Gi1/β1/γ2 8EFO-μ-PZM21-Gi1/β1/γ2 8EFL-μ-SR17018-Gi1/β1/γ2 8F7Q-μ-β-Endorphin-Gi1/β1/γ2 7U2K-μ-C6-guano-Gi1/β1/γ2 8EFQ-μ-DAMGO-Gi1/β1/γ2
50.00Consensusmop_on_gpOrthosteric Ligand8F7R-μ-Endomorphin-Gi1/β1/γ2 8EF5-μ-Fentanyl-Gi1/β1/γ2 7SCG-μ-FH210-Gi1/β1/γ2 7T2H-μ-Lofentanil-Gi1/β1/γ2 7T2G-μ-Mitragynine Pseudoindoxyl-Gi1/β1/γ2 8EF6-μ-Morphine-Gi1/β1/γ2 8EFB-μ-Oliceridine-Gi1/β1/γ2 7U2L-μ-C5-guano-Gi1/β1/γ2 8EFO-μ-PZM21-Gi1/β1/γ2 8EFL-μ-SR17018-Gi1/β1/γ2 8F7Q-μ-β-Endorphin-Gi1/β1/γ2 7U2K-μ-C6-guano-Gi1/β1/γ2 8EFQ-μ-DAMGO-Gi1/β1/γ2
50.00Consensusmuscarinic_onOrthosteric Ligandm2_on m3_on m4_on m1_on
50.00Consensusmuscarinic_on_gpOrthosteric Ligandm2_on_gp m3_on_gp m4_on_gp m1_on_gp
50.00Consensusopioid_offOrthosteric Ligandmop_off nop_off dop_off kop_off
47.06Single5X93K-87945X93-ETB-K-8794
47.06Single6BQGErgotamine6BQG-5-HT2C-Ergotamine
47.06Single6H7LDobutamine6H7L-β1-Dobutamine
47.06Single6IBLArformoterol6IBL-β1-Arformoterol
47.06Single6TKOArformoterol6TKO-β1-Arformoterol-Arrestin2
47.06Single7SK7CCX6627SK7-ACKR3-CXCL12-CCX662
47.06Single7UM4AS26747237UM4-5-HT5A-AS2674723
47.06Single7WVVfMLFII7WVV-FPR2-ALX-fMLFII-Gi2/β1/γ2
47.06Single9CGJC6-Quino9CGJ-δ-C6-Quino-Gi1/β1/γ2
47.06Consensusbeta1_onOrthosteric Ligand8DCR-β1-Dobutamine-Gs/β1/γ2 7S0F-β1-Isoprenaline-Gi1/β1/γ2
47.06Consensusbeta1_on_gpOrthosteric Ligand8DCR-β1-Dobutamine-Gs/β1/γ2 7S0F-β1-Isoprenaline-Gi1/β1/γ2
47.06Consensusd2_offOrthosteric Ligand6CM4-D2-Risperidone 6LUQ-D2-Haloperidol 7DFP-D2-Spiperone
47.06Consensusendothelin_offOrthosteric Ligandetb_off
47.06Consensusetb_offOrthosteric Ligand5X93-ETB-K-8794 5XPR-ETB-Bosentan 6K1Q-ETB-IRL2500
46.67Single2Y00Dobutamine2Y00-β1-Dobutamine
46.67Single4WW3All-trans-Retinal4WW3-Rhodopsin-All-trans-Retinal
46.67Single5C1MBU725C1M-μ-BU72
46.67Single5TVNLSD5TVN-5-HT2B-LSD
46.67Single6E67BI1671076E67-β2-BI167107-Gs(CT)
46.67Single6HLPNetupitant6HLP-NK1-Netupitant
46.67Single6LUQHaloperidol6LUQ-D2-Haloperidol
46.67Single6ME62-Phenylmelatonin6ME6-MT2-2-Phenylmelatonin
46.67Single6ME72-Phenylmelatonin6ME7-MT2-2-Phenylmelatonin
46.67Single6OIKIperoxo6OIK-M2-Iperoxo-LY2119620-chim(NtGi1-Go)/β1/γ2
46.67Single7C61Ergotamine7C61-5-HT1B-Ergotamine
46.67Single7CKXA776367CKX-D1-A77636-Gs/β1/γ2
46.67Single7EUOfMLF7EUO-FPR1-ALX-fMLF-Gi1/β1/γ2
46.67Single7TRKIperoxo7TRK-M4-Iperoxo-Gi1/β1/γ2
46.67Single7WC6LSD7WC6-5-HT2A-LSD
46.67Single8C9WEtrumadenant8C9W-A2A-Etrumadenant
46.67Single8DZRGR89,6968DZR-κ-GR89,696-chim(NtGi2-Gt3)/β1/γ2
46.67Single8E9ZIperoxo8E9Z-M3-Iperoxo-chim(NtGi2L-Gs-CtGq)/β1/γ2
46.67Single8EFBOliceridine8EFB-μ-Oliceridine-Gi1/β1/γ2
46.67Single8YH0NECA8YH0-A3A-NECA-Gi1/β1/γ2
46.67Single9ARZ2-bromo-LSD9ARZ-5-HT2A-2-bromo-LSD
46.67Single9EE8Adenosine9EE8-A2A-Adenosine-Gs/β1/γ2
46.67Single9F33FOB02-04A9F33-D3-FOB02-04A-Go/β1/γ2
46.67Single9F34FOB02-04A9F34-D3-FOB02-04A-Go/β1/γ2
46.67Single9VJFBuspirone9VJF-5-HT1A-Buspirone-Gi3/β1/γ2
46.67Consensusd1_onOrthosteric Ligand7F0T-D1-Dopamine-Gs/β1/γ2 7CKY-D1-PW0464-Gs/β1/γ2 8IRR-D1-Rotigotine-Gs/β1/γ2 7JV5-D1-SKF81297-Gs/β1/γ2 7JVP-D1-SKF83959-Gs/β1/γ2 7X2D-D1-Tavapadon-Gs/β1/γ2 7CKX-D1-A77636-Gs/β1/γ2 7JVQ-D1-Apomorphine-Gs/β1/γ2 7CKW-D1-Fenoldopam-Gs/β1/γ2
46.67Consensusd4_onOrthosteric Ligand8IRU-D4-Rotigotine-chim(NtGi1-Gs-CtGi1)/β1/γ2
46.67Consensusgq_muscarinicOrthosteric Ligand6OIJ-M1-Iperoxo-chim(NtGi1L-G11)/β1/γ2
46.67Consensush1_offOrthosteric Ligand8X63-H1-Mepyramine 3RZE-H1-Cidoxepin 8X5Y-H1-Astemizole
46.67Consensusm1_onOrthosteric Ligand6OIJ-M1-Iperoxo-chim(NtGi1L-G11)/β1/γ2
46.67Consensusm2_offOrthosteric Ligand5ZKC-M2-N-methyl-Scopolamine 5ZK3-M2-3-quinuclidinyl-benzilate 5ZKB-M2-AF-DX 384
46.15Single2Z7311-cis-Retinal2Z73-Rhodopsin-11-cis-Retinal
46.15Single3AYN9-cis-Retinal3AYN-Rhodopsin-9-cis-Retinal
46.15Single6B73MP11046B73-κ-MP1104
46.15Single6ME2Ramelteon6ME2-MT1-Ramelteon
46.15Single6NWEOctyl-Beta-D-Glucopyranoside6NWE-Rhodopsin-Octyl-β-D-Glucopyranoside-Gt(CT)
46.15Single7DHRIsoprenaline7DHR-β2-Isoprenaline-Gs/β1/γ2
46.15Single7LD4Adenosine7LD4-A1-Adenosine-Gi2/β1/γ2
46.15Single7T8XAcetylcholine7T8X-M2-Acetylcholine-chim(NtGi1-Go)/β1/γ2
46.15Single7T90Acetylcholine7T90-M2-Acetylcholine-chim(NtGi1-Go)/β1/γ2
46.15Single7T96Acetylcholine7T96-M2-Acetylcholine-LY2119620-Go/β1/γ2
46.15Single7XT8Serotonin7XT8-5-HT4-Serotonin-Gs/β1/γ2
46.15Single8A6CAll-trans-Retinal8A6C-Rhodopsin-All-trans-Retinal
46.15Single8A6DAll-trans-Retinal8A6D-Rhodopsin-All-trans-Retinal
46.15Single8A6EAll-trans-Retinal8A6E-Rhodopsin-All-trans-Retinal
46.15Single8FYXBuspirone8FYX-5-HT1A-Buspirone-PtdIns4P-Gi1/β1/γ1
46.15Single8HOCImetit8HOC-H4-Imetit-Gi1/β1/γ2
46.15Single8IW4Spermidine8IW4-TAA9-Spermidine-chim(NtGi1-Gs)/β1/γ2
46.15Single8IWESpermidine8IWE-TAA9-Spermidine
46.15Single8UNSConstrained Epinephrine8UNS-β2-Constrained Epinephrine-GTP-Gs/β1/γ2
46.15Single8UNTConstrained Epinephrine8UNT-β2-Constrained Epinephrine-GTP-Gs/β1/γ2
46.15Single8YNAImmepip8YNA-H4-Immepip-Gi1/β1/γ2
46.15Single9LRBHistamine9LRB-H1-Histamine-Gs/β1/γ2
46.15Single9VJ5Gepirone9VJ5-5-HT1A-Gepirone-Go/β1/γ2
46.15Single9VJEBuspirone9VJE-5-HT1A-Buspirone-Go/β1/γ2
46.15Consensusa1_onOrthosteric Ligand7LD4-A1-Adenosine-Gi2/β1/γ2
46.15Consensusa1_on_gpOrthosteric Ligand7LD4-A1-Adenosine-Gi2/β1/γ2
46.15Consensushistamine_onOrthosteric Ligandh1_on h2_on h3_on h4_on
46.15Consensushistamine_on_gpOrthosteric Ligandh1_on_gp h2_on_gp h3_on_gp h4_on_gp
46.15Consensusm2_onOrthosteric Ligand7T8X-M2-Acetylcholine-chim(NtGi1-Go)/β1/γ2
46.15Consensusm2_on_gpOrthosteric Ligand7T8X-M2-Acetylcholine-chim(NtGi1-Go)/β1/γ2
45.45Single2HPYAll-trans-Retinal2HPY-Rhodopsin-All-trans-Retinal
45.45Single6OY9All-trans-Retinal6OY9-Rhodopsin-All-trans-Retinal-Gt/β1/γ1
45.45Single7MTBAll-trans-Retinal7MTB-Rhodopsin-All-trans-Retinal-GRK1
45.45Single8DPHLorcaserin8DPH-5-HT2C-Lorcaserin-chim(NtGi2L-Gs-CtGq)/β1/γ2
45.45Single8GEIConstrained Epinephrine8GEI-β2-Constrained Epinephrine-Gs/β1/γ2
45.45Single8WC5Tetramethylammonium Ion8WC5-TA1-Tetramethylammonium Ion-chim(NtGi1-Gs)/β1/γ2
45.45Single9CHUNorepinephrine9CHU-β2-Norepinephrine
45.00Single5WF5UK-4320975WF5-A2A-UK-432097
45.00Single7T6TfMLFII7T6T-FPR1-ALX-fMLFII-Gi1/β1/γ2
44.44Single6PT3DPI-2876PT3-δ-DPI-287
44.44Single8X5YAstemizole8X5Y-H1-Astemizole
44.44Single9CGKC5-Quino9CGK-δ-C5-Quino-Gi1/β1/γ2
44.44Single9MD1Buspirone9MD1-5-HT1A-Buspirone-PtdIns4P-Gz/β1/γ2
43.75Single3P0GBI1671073P0G-β2-BI167107
43.75Single3SN6BI1671073SN6-β2-BI167107-Gs/β1/γ2
43.75Single4IAQDihydroergotamine4IAQ-5-HT1B-Dihydroergotamine
43.75Single5ZHPPubChem 1348285895ZHP-M3-PubChem 134828589
43.75Single6GT3Imaradenant6GT3-A2A-Imaradenant-Na
43.75Single6J20Aprepitant6J20-NK1-Aprepitant
43.75Single6NI3BI1671076NI3-β2-BI167107-Gs/β1/γ2
43.75Single6OIJIperoxo6OIJ-M1-Iperoxo-chim(NtGi1L-G11)/β1/γ2
43.75Single6TQ7SB-3348676TQ7-OX1-SB-334867
43.75Single6WGTLSD6WGT-5-HT2A-LSD
43.75Single7CKYPW04647CKY-D1-PW0464-Gs/β1/γ2
43.75Single7E2ZAripiprazole7E2Z-5-HT1A-Aripiprazole-PtdIns4P-Gi1/β1/γ2
43.75Single7EW4CYM-55417EW4-S1P3-CYM-5541-Gi1/β1/γ2
43.75Single7JV5SKF812977JV5-D1-SKF81297-Gs/β1/γ2
43.75Single7JVPSKF839597JVP-D1-SKF83959-Gs/β1/γ2
43.75Single7T2HLofentanil7T2H-μ-Lofentanil-Gi1/β1/γ2
43.75Single7U2LC5-guano7U2L-μ-C5-guano-Gi1/β1/γ2
43.75Single7WVXHumanin7WVX-FPR2-ALX-Humanin-Gi2/β1/γ2
43.75Single8DCSCyanopindolol8DCS-β1-Cyanopindolol-Gs/β1/γ2
43.75Single8DZPmomSalB8DZP-κ-momSalB-Gi1/β1/γ2
43.75Single8EA0Iperoxo8EA0-M3-Iperoxo
43.75Single8EF5Fentanyl8EF5-μ-Fentanyl-Gi1/β1/γ2
43.75Single8ID39-Hydroxystearic acid8ID3-FFA4-9-Hydroxystearic acid-Gi1/β1/γ2
43.75Single8IRURotigotine8IRU-D4-Rotigotine-chim(NtGi1-Gs-CtGi1)/β1/γ2
43.75Single8IYHMK68928IYH-HCA2-MK6892-Go/β1/γ2
43.75Single8JLPRalmitaront8JLP-TA1-Ralmitaront-Gs/β1/γ2
43.75Single8JT6(R)-IHCH-71798JT6-5-HT1A-(R)-IHCH-7179-PtdIns4P-Gi1/β1/γ2
43.75Single8JXVClozapine8JXV-H4-Clozapine-Gi1/β1/γ2
43.75Single8JXWVUF68848JXW-H4-VUF6884-Gi1/β1/γ2
43.75Single8T1VPubChem 1183102098T1V-GPR6-PubChem 118310209-Na
43.75Single8UGWCGS216808UGW-A2A-CGS21680
43.75Single8VVEnorBNI8VVE-κ-norBNI-Gi1/β1/γ2
43.75Single8XVLZibotentan8XVL-ETA-Zibotentan
43.75Single9I54PubChem 1764520919I54-D1-PubChem 176452091-Gs/β1/γ2
43.75Single9UCPIperoxo9UCP-M1-Iperoxo-G11(CT)
43.75Consensusa2_onOrthosteric Liganda2b_on
43.75Consensusa2_on_gpOrthosteric Liganda2b_on_gp
43.75Consensusa2b_onOrthosteric Ligand8HDP-A2B-Adenosine-Gs/β1/γ2 7XY6-A2B-BAY 60-6583-chim(NtGi1-Gs)/β1/γ2 7XY7-A2B-NECA-chim(NtGi1-Gs)/β1/γ2 8HDO-A2B-BAY 60-6583-Gs/β1/γ2
43.75Consensusa2b_on_gpOrthosteric Ligand8HDP-A2B-Adenosine-Gs/β1/γ2 7XY6-A2B-BAY 60-6583-chim(NtGi1-Gs)/β1/γ2 7XY7-A2B-NECA-chim(NtGi1-Gs)/β1/γ2 8HDO-A2B-BAY 60-6583-Gs/β1/γ2
43.75Consensusd4_on_gpOrthosteric Ligand8IRU-D4-Rotigotine-chim(NtGi1-Gs-CtGi1)/β1/γ2
43.75Consensusgs_adenosineOrthosteric Ligand8HDP-A2B-Adenosine-Gs/β1/γ2 8HDO-A2B-BAY 60-6583-Gs/β1/γ2 7XY7-A2B-NECA-chim(NtGi1-Gs)/β1/γ2 7XY6-A2B-BAY 60-6583-chim(NtGi1-Gs)/β1/γ2
43.75Consensusgs_nucleotideOrthosteric Ligandgs_adenosine
43.75Consensusm1_on_gpOrthosteric Ligand6OIJ-M1-Iperoxo-chim(NtGi1L-G11)/β1/γ2
42.86Single2YDOAdenosine2YDO-A2A-Adenosine
42.86Single3UZCPubChem 1355666093UZC-A2A-PubChem 135566609
42.86Single5TE3Octyl-Beta-D-Glucopyranoside5TE3-Rhodopsin-Octyl-β-D-Glucopyranoside
42.86Single6ME32-Phenylmelatonin6ME3-MT1-2-Phenylmelatonin
42.86Single6ME42-Iodomelatonin6ME4-MT1-2-Iodomelatonin
42.86Single6PS82-Phenylmelatonin6PS8-MT1-2-Phenylmelatonin
42.86Single6TPGEMPA6TPG-OX2-EMPA
42.86Single7CKWFenoldopam7CKW-D1-Fenoldopam-Gs/β1/γ2
42.86Single7T94Acetylcholine7T94-M2-Acetylcholine-LY2119620-chim(NtGi1-Go)/β1/γ2
42.86Single7TRSAcetylcholine7TRS-M4-Acetylcholine-Gi1/β1/γ2
42.86Single7WVUfMLF7WVU-FPR1-ALX-fMLF-Gi1/β1/γ2
42.86Single8JLQFenoldopam8JLQ-TA1-Fenoldopam-Gs/β1/γ2
42.86Single8UO1Constrained Epinephrine8UO1-β2-Constrained Epinephrine-GTP; Mg-Gs/β1/γ2
42.86Single8Y01All-trans-Retinal8Y01-Opsin1MW-All-trans-Retinal-Gi1/β1/γ2
42.86Single8Y53MK50468Y53-BB3-MK5046-chim(NtGi1-Gs-CtGq)/β1/γ2
42.86Single8YH2Adenosine8YH2-A3A-Adenosine-Gi1/β1/γ2
42.86Single9ARXSerotonin9ARX-5-HT2A-Serotonin
42.86Single9AS8Psilocin9AS8-5-HT2A-Psilocin-chim(NtGi2L-Gs-CtGq)/β1/γ2
42.86Single9EPQ11,20-Ethanoretinal9EPQ-Rhodopsin-11,20-Ethanoretinal-chim(Gi1-CtGq)/β1/γ2
42.86Single9L8LBI1671079L8L-β2-BI167107-Atazanavir-Gs/β1/γ2 ; Arrestin2
42.86Single9ODJMitragynine Pseudoindoxyl9ODJ-μ-Mitragynine Pseudoindoxyl-GTP; Mg-Gi1/β1/γ2
42.86Single9PXXNaloxone9PXX-μ-Naloxone-GDPβS-Gi1/β1/γ2
42.86Consensus5ht2a_offOrthosteric Ligand6A94-5-HT2A-Zotepine 6A93-5-HT2A-Risperidone 7VOD-5-HT2A-Cariprazine 7WC8-5-HT2A-Lumateperone 8JT8-5-HT2A-(R)-IHCH-7179
42.11Single4IB4Ergotamine4IB4-5-HT2B-Ergotamine
42.11Single5UNFPubChem 157800525UNF-AT2-PubChem 15780052
42.11Single8DCRDobutamine8DCR-β1-Dobutamine-Gs/β1/γ2
42.11Single9M4TSilodosin9M4T-Alpha1A-Silodosin
42.11Consensusgi_opioidOrthosteric Ligand8F7R-μ-Endomorphin-Gi1/β1/γ2 8EF5-μ-Fentanyl-Gi1/β1/γ2 7SCG-μ-FH210-Gi1/β1/γ2 7T2H-μ-Lofentanil-Gi1/β1/γ2 7T2G-μ-Mitragynine Pseudoindoxyl-Gi1/β1/γ2 8DZP-κ-momSalB-Gi1/β1/γ2 8EF6-μ-Morphine-Gi1/β1/γ2 8F7X-NOP-Nociceptin-Gi1/β1/γ2 8EFB-μ-Oliceridine-Gi1/β1/γ2 7U2L-μ-C5-guano-Gi1/β1/γ2 8EFO-μ-PZM21-Gi1/β1/γ2 8EFL-μ-SR17018-Gi1/β1/γ2 8F7Q-μ-β-Endorphin-Gi1/β1/γ2 7U2K-μ-C6-guano-Gi1/β1/γ2 8EFQ-μ-DAMGO-Gi1/β1/γ2 8F7S-δ-Deltorphin-Gi1/β1/γ2 8F7W-κ-Dynorphin-Gi1/β1/γ2
41.67Single2J4Y11-cis-Retinal2J4Y-Rhodopsin-11-cis-Retinal
41.67Single3C9M11-cis-Retinal3C9M-Rhodopsin-11-cis-Retinal
41.67Single5WKTOctyl-Beta-D-Glucopyranoside5WKT-Rhodopsin-Octyl-β-D-Glucopyranoside-Gt(CT)
41.67Single7MT8All-trans-Retinal7MT8-Rhodopsin-All-trans-Retinal-GRK1
41.67Single7MT9All-trans-Retinal7MT9-Rhodopsin-All-trans-Retinal-GRK1
41.67Single7MTAAll-trans-Retinal7MTA-Rhodopsin-All-trans-Retinal-GRK1
41.67Single8DPILorcaserin8DPI-5-HT2C-Lorcaserin-chim(NtGi2L-Gs-CtGq)/β1/γ2
41.67Single8GGEConstrained Epinephrine8GGE-β2-Constrained Epinephrine-GTP-Gs/β1/γ2
41.67Single8GH1Constrained Epinephrine8GH1-β2-Constrained Epinephrine
41.67Single8ITFDMCHA8ITF-TAA9-DMCHA-chim(NtGi1-Gs)/β1/γ2
41.67Single8IU2All-trans-Retinal8IU2-Opsin1LW-All-trans-Retinal-Gi1/β1/γ2
41.67Single8Y63C20:0 Ceramide8Y63-FPR2-ALX-C20:0 Ceramide-Gi1/β1/γ2
41.67Single8YN9Histamine8YN9-H4-Histamine-Gi1/β1/γ2
41.67Single8YUUHistamine8YUU-H3-Histamine-Gi1/β1/γ1
41.67Single9LRCHistamine9LRC-H4-Histamine
41.67Single9LREHistamine9LRE-H4-Histamine-Gi1/β1/γ2
41.67Consensusgi_opsinsOrthosteric Ligand8IU2-Opsin1LW-All-trans-Retinal-Gi1/β1/γ2
41.67Consensusgi_sensoryOrthosteric Ligandgi_opsins
41.67Consensush3_onOrthosteric Ligand8YUU-H3-Histamine-Gi1/β1/γ1
41.67Consensush3_on_gpOrthosteric Ligand8YUU-H3-Histamine-Gi1/β1/γ1
41.67Consensusopsin1lw_onOrthosteric Ligand8IU2-Opsin1LW-All-trans-Retinal-Gi1/β1/γ2
41.67Consensusopsin1lw_on_gpOrthosteric Ligand8IU2-Opsin1LW-All-trans-Retinal-Gi1/β1/γ2
41.18Single2YCXCyanopindolol2YCX-β1-Cyanopindolol
41.18Single4PXFOctyl-Beta-D-Glucopyranoside4PXF-Rhodopsin-Octyl-β-D-Glucopyranoside-Arrestin1 Finger Loop
41.18Single4RWADIPP-NH24RWA-δ-DIPP-NH2
41.18Single5UNHPubChem 1264564065UNH-AT2-PubChem 126456406
41.18Single6A93Risperidone6A93-5-HT2A-Risperidone
41.18Single6CM4Risperidone6CM4-D2-Risperidone
41.18Single6MXTSalmeterol6MXT-β2-Salmeterol
41.18Single6ZG4HTL00099366ZG4-M1-HTL0009936
41.18Single7BZ2Arformoterol7BZ2-β2-Arformoterol-Gs/β1/γ2
41.18Single7DFPSpiperone7DFP-D2-Spiperone
41.18Single7DH5Mirabegron7DH5-β3-Mirabegron-Gs/β1/γ2
41.18Single7YMJTamsulosin7YMJ-Alpha1A-Tamsulosin
41.18Single8G056-OAU8G05-GPR84-6-OAU-Gi1/β1/γ2
41.18Single8JJLOlodaterol8JJL-β2-Olodaterol
41.18Single8JZ7MK68928JZ7-HCA2-MK6892-Gi1/β1/γ2
41.18Single8T3QDoconexent8T3Q-FFA4-Doconexent-chim(NtGi2L-Gs-CtGq)/β1/γ2
41.18Single9GL2Befiradol9GL2-5-HT1A-Befiradol-Gs/β1/γ2
41.18Single9M4QDoxazosin9M4Q-Alpha1A-Doxazosin
41.18Consensusalpha1_offOrthosteric Ligandalpha1a_off
41.18Consensusalpha1a_offOrthosteric Ligand7YMJ-Alpha1A-Tamsulosin
41.18Consensusgi_muscarinicOrthosteric Ligand8E9X-M4-2-Deoxycytidine-chim(NtGi1-Go)/β1/γ2 7T8X-M2-Acetylcholine-chim(NtGi1-Go)/β1/γ2 7TRS-M4-Acetylcholine-Gi1/β1/γ2 7TRK-M4-Iperoxo-Gi1/β1/γ2 7V6A-M4-PubChem 9864275-Gi1/β1/γ2
40.00Single2Y02Carmoterol2Y02-β1-Carmoterol
40.00Single3QAKUK-4320973QAK-A2A-UK-432097
40.00Single4A4MAll-trans-Retinal4A4M-Rhodopsin-All-trans-Retinal-Gt(CT)
40.00Single4DAJTiotropium4DAJ-M3-Tiotropium
40.00Single4J4QOctyl Beta-D-Glucopyranoside4J4Q-Rhodopsin-Octyl β-D-Glucopyranoside-Gt(CT)
40.00Single5DSGTiotropium5DSG-M4-Tiotropium
40.00Single5EN0All-trans-Retinal5EN0-Rhodopsin-All-trans-Retinal-Gt(CT)
40.00Single5OLZPubChem 1355666095OLZ-A2A-PubChem 135566609-Na
40.00Single5OM1PubChem 1355666095OM1-A2A-PubChem 135566609-Na
40.00Single6DRXLisuride6DRX-5-HT2B-Lisuride
40.00Single6HLOAprepitant6HLO-NK1-Aprepitant
40.00Single7BU7BI1671077BU7-β1-BI167107
40.00Single7JOZPubChem 752020227JOZ-D1-PubChem 75202022-Gs/β1/γ2
40.00Single7SCGFH2107SCG-μ-FH210-Gi1/β1/γ2
40.00Single7T2GMitragynine Pseudoindoxyl7T2G-μ-Mitragynine Pseudoindoxyl-Gi1/β1/γ2
40.00Single7UL4Alvimopan7UL4-μ-Alvimopan
40.00Single7VKTLTB47VKT-BLT1-LTB4-Gi1/β1/γ2
40.00Single7YACPaltusotine7YAC-SST2-Paltusotine-Gi1/β1/γ2
40.00Single8CICEtrumadenant8CIC-A2A-Etrumadenant-Na
40.00Single8CU7LJ-45178CU7-A2A-LJ-4517-Na
40.00Single8JD0NAM5638JD0-mGlu2; mGlu3-Glutamate-NAM563
40.00Single8UWLLisuride8UWL-5-HT2A-Lisuride-chim(NtGi2-Gs-CtGq)/β1/γ2
40.00Single8X63Mepyramine8X63-H1-Mepyramine
40.00Single8YN8Proxyfan8YN8-H3-Proxyfan-Go/β1/γ2
40.00Single9EPP11,20-Ethanoretinal9EPP-Rhodopsin-11,20-Ethanoretinal-chim(Gi1-CtGq)/β1/γ2
40.00Single9KFJPubChem 1383196749KFJ-RXFP3-PubChem 138319674-Gi2/β1/γ2
40.00Consensus5ht6_onOrthosteric Ligand7XTB-5-HT6-Serotonin-Gs/β1/γ2 8JLZ-5-HT6-ST1936-Gs/β1/γ2
40.00Consensus5ht6_on_gpOrthosteric Ligand7XTB-5-HT6-Serotonin-Gs/β1/γ2 8JLZ-5-HT6-ST1936-Gs/β1/γ2
40.00Consensusadenosine_on_gpOrthosteric Liganda1_on_gp a2_on_gp a3_on_gp
40.00Consensusblt1_onOrthosteric Ligand7VKT-BLT1-LTB4-Gi1/β1/γ2
40.00Consensusblt1_on_gpOrthosteric Ligand7VKT-BLT1-LTB4-Gi1/β1/γ2
40.00Consensusblt_onOrthosteric Ligandblt1_on
40.00Consensusblt_on_gpOrthosteric Ligandblt1_on_gp
40.00Consensusgi_leukotrieneOrthosteric Ligand7VKT-BLT1-LTB4-Gi1/β1/γ2
40.00Consensushistamine_offOrthosteric Ligandh1_off
40.00Consensusleukotriene_onOrthosteric Ligandblt_on
40.00Consensusleukotriene_on_gpOrthosteric Ligandblt_on_gp
40.00Consensusm4_offOrthosteric Ligand5DSG-M4-Tiotropium
40.00Consensuss1p3_on_gpOrthosteric Ligand7EW3-S1P3-S1P-Gi1/β1/γ2 7EW4-S1P3-CYM-5541-Gi1/β1/γ2 7EW2-S1P3-FTY720-P-Gi1/β1/γ2
38.89Single4NC3Ergotamine4NC3-5-HT2B-Ergotamine
38.89Single5TUDErgotamine5TUD-5-HT2B-Ergotamine
38.89Single5UNGPubChem 157800525UNG-AT2-PubChem 15780052
38.89Single7EVZCenerimod7EVZ-S1P1-Cenerimod-Gi1/β1/γ2
38.89Single7EW0Ozanimod7EW0-S1P1-Ozanimod-Gi1/β1/γ2
38.89Single7EZCUK-4320977EZC-A2A-UK-432097
38.89Single7U2KC6-guano7U2K-μ-C6-guano-Gi1/β1/γ2
38.89Single7X2DTavapadon7X2D-D1-Tavapadon-Gs/β1/γ2
38.89Single7XK2MK68927XK2-HCA2-MK6892-Gi1/β1/γ2
38.89Single8E0GBU728E0G-μ-BU72
38.89Single8IJDMK68928IJD-HCA2-MK6892-Gi1/β1/γ2
38.89Single8J19LY2378J19-GPR84-LY237-Gi1/β1/γ2
38.89Single8T3OTUG-8918T3O-FFA4-TUG-891-chim(NtGi2L-Gs-CtGq)/β1/γ2
38.89Single8XIOL7975918XIO-SST1-L797591-chim(NtGi1-Gs-CtGi1)/β1/γ2
38.89Single9L79AR2314539L79-GPR119-AR231453-chim(NtGi1-Gs)/β1/γ2
38.89Single9WP9S1P9WP9-S1P3-S1P-chim(NtGi2L-Gs-CtGq)/β1/γ2
38.89Consensusclass-a_onOrthosteric Ligandsensory_on alicarboxylic_on amine_on lipid_on nucleotide_on peptide_on protein_on
38.89Consensusgi_s1pOrthosteric Ligand7VIE-S1P1-S1P-Gi1/β1/γ2 7EW3-S1P3-S1P-Gi1/β1/γ2 7EVY-S1P1-Siponimod-Gi1/β1/γ2 7EW1-S1P5-Siponimod-Gi1/β1/γ2 7VIF-S1P1-FTY720-P-Gi1/β1/γ2 7VIG-S1P1-CBP-307-Gi1/β1/γ2 7EVZ-S1P1-Cenerimod-Gi1/β1/γ2 7EW4-S1P3-CYM-5541-Gi1/β1/γ2 7EW2-S1P3-FTY720-P-Gi1/β1/γ2 7EW0-S1P1-Ozanimod-Gi1/β1/γ2 7EW7-S1P1-SEW2871-Gi1/β1/γ2
38.89Consensuskop_on_gpOrthosteric Ligand8F7W-κ-Dynorphin-Gi1/β1/γ2 8DZS-κ-GR89,696-chim(NtGi2-Gz)/β1/γ2 8DZP-κ-momSalB-Gi1/β1/γ2
38.46Single5TE520-Methanoretinal5TE5-Rhodopsin-20-Methanoretinal
38.46Single6HLLCP999946HLL-NK1-CP99994
38.46Single6I9K9-cis-Retinal6I9K-Rhodopsin-9-cis-Retinal
38.46Single7SRQLSD7SRQ-5-HT2B-LSD
38.46Single7YFCHistamine7YFC-H4-Histamine-chim(NtGi1-Gs-CtGq)/β1/γ2
38.46Single7YFDImetit7YFD-H4-Imetit-chim(NtGi1-Gs-CtGq)/β1/γ2
38.46Single8DPFLorcaserin8DPF-5-HT2C-Lorcaserin-chim(NtGi2L-Gs-CtGq)/β1/γ2
38.46Single8HN8Histamine8HN8-H4-Histamine-Gi1/β1/γ2
38.46Single8YN5Histamine8YN5-H3-Histamine-Gi1/β1/γ2
38.46Single8YN6Imetit8YN6-H3-Imetit-Gi1/β1/γ2
38.46Single8YN7Immethridine8YN7-H3-Immethridine-Go/β1/γ2
38.46Single9AS7Psilocin9AS7-5-HT2A-Psilocin
38.46Single9JEDHistamine9JED-H4-Histamine-PO4-Gi1/β1/γ2
38.46Single9JEQHistamine9JEQ-H3-Histamine-Gi1/β1/γ2
38.46Consensush4_onOrthosteric Ligand8HN8-H4-Histamine-Gi1/β1/γ2 8HOC-H4-Imetit-Gi1/β1/γ2 8JXV-H4-Clozapine-Gi1/β1/γ2 8JXW-H4-VUF6884-Gi1/β1/γ2 8JXX-H4-Clobenpropit-Gi1/β1/γ2
38.10Single6PT2KGCHM076PT2-δ-KGCHM07
37.50Single4RWDDIPP-NH24RWD-δ-DIPP-NH2-Na
37.50Single5OM4PubChem 1355666095OM4-A2A-PubChem 135566609-Na
37.50Single5WQCEMPA5WQC-OX2-EMPA
37.50Single5XPRBosentan5XPR-ETB-Bosentan
37.50Single5ZK33-quinuclidinyl-benzilate5ZK3-M2-3-quinuclidinyl-benzilate
37.50Single6GDGNECA6GDG-A2A-NECA-Gs/β1/γ1
37.50Single7LD3Adenosine7LD3-A1-Adenosine-MIPS521-Gi2/β1/γ2
37.50Single7SBFPZM217SBF-μ-PZM21-Gi1/β1/γ2
37.50Single7VFXfMIFL7VFX-FPR1-ALX-fMIFL-Gi1/β1/γ2
37.50Single7VOEAripiprazole7VOE-5-HT2A-Aripiprazole
37.50Single7WVYAmyloid-Beta427WVY-FPR2-ALX-Amyloid-β42-Gi2/β1/γ2
37.50Single7X1TTaltirelin7X1T-TRH-Taltirelin-chim(NtGi2L-Gs-CtGq)/β1/γ2
37.50Single8DZQmomSalB8DZQ-κ-momSalB-Go/β1/γ2
37.50Single8HNLPS3724248HNL-CXCR3-PS372424-Gi1/β1/γ2
37.50Single8J18(3R)-3-Hydroxydodecanoic acid8J18-GPR84-(3R)-3-Hydroxydodecanoic acid-Gi1/β1/γ2
37.50Single8JXSPF-61428JXS-D1-PF-6142
37.50Single8XYKVUF106618XYK-CXCR3-VUF10661-Go/β1/γ2
37.50Single8ZRKGSK12922638ZRK-GPR119-GSK1292263-Gs/β1/γ2
37.50Single9AVLCa; Ca; Cyclomethyltryptophan; R-568; PO49AVL-CaS; CaS-Ca-Ca; Ca; Cyclomethyltryptophan; R-568; PO4-Gi3/β2/γ2
37.50Single9AXFCa; Ca; Ca; Cyclomethyltryptophan; R-568; PO49AXF-CaS; CaS-Ca-Ca; Ca; Ca; Cyclomethyltryptophan; R-568; PO4-chim(NtGi1-Gs-CtGq)/β1/γ2
37.50Single9I52A1IZU9I52-D1-A1IZU-Gs/β1/γ2
37.50Single9M8POleic monoethanolamide9M8P-GPR3 ; GPR3-Oleic monoethanolamide-AF64394
37.50Consensusa3_on_gpOrthosteric Liganda3a_on_gp
37.50Consensusa3a_onOrthosteric Ligand8X17-A3A-Namodenoson-Gi1/β1/γ2 8X16-A3A-Piclidenoson-Gi1/β1/γ2
37.50Consensusa3a_on_gpOrthosteric Ligand8X17-A3A-Namodenoson-Gi1/β1/γ2 8X16-A3A-Piclidenoson-Gi1/β1/γ2
37.50Consensusfpr1-alx_onOrthosteric Ligand7VFX-FPR1-ALX-fMIFL-Gi1/β1/γ2
37.50Consensusfpr1-alx_on_gpOrthosteric Ligand7VFX-FPR1-ALX-fMIFL-Gi1/β1/γ2
36.84Single5WF6UK-4320975WF6-A2A-UK-432097
36.84Single7XY6BAY 60-65837XY6-A2B-BAY 60-6583-chim(NtGi1-Gs)/β1/γ2
36.84Single8Y72Peptide8Y72-μ-Peptide-BMS-986122-Gi1/β1/γ2
36.84Consensusformylpeptide_onOrthosteric Ligandfpr2-alx_on fpr1-alx_on
36.84Consensuss1p_onOrthosteric Ligands1p1_on s1p3_on s1p5_on
36.84Consensuss1p_on_gpOrthosteric Ligands1p1_on_gp s1p3_on_gp s1p5_on_gp
36.36Consensusfpr2-alx_on_gpOrthosteric Ligand7WVX-FPR2-ALX-Humanin-Gi2/β1/γ2 7T6U-FPR2-ALX-CGEN-855A-Gi1/β1/γ2 7T6V-FPR2-ALX-fMLFII-Gi1/β1/γ2 7WVY-FPR2-ALX-Amyloid-β42-Gi2/β1/γ2 7T6S-FPR2-ALX-TC-FPR 43-Gi1/β1/γ2 6OMM-FPR2-ALX-WKYMVX-Gi1/β1/γ2
35.71Single2X72All-trans-Retinal2X72-Rhodopsin-All-trans-Retinal-Gt(CT)
35.71Single6AKXA4R6AKX-CCR5-A4R
35.71Single6AKYMaraviroc6AKY-CCR5-Maraviroc
35.71Single6D9HAdenosine6D9H-A1-Adenosine-Gi2/β1/γ2
35.71Single6ME9Ramelteon6ME9-MT2-Ramelteon
35.71Single6TODEMPA6TOD-OX1-EMPA-Na
35.71Single7EJ0Norepinephrine7EJ0-α2a-Norepinephrine-Go/β1/γ2
35.71Single7SRSLSD7SRS-5-HT2B-LSD-Arrestin2
35.71Single8EFOPZM218EFO-μ-PZM21-Gi1/β1/γ2
35.71Single8HDPAdenosine8HDP-A2B-Adenosine-Gs/β1/γ2
35.71Single8Y0HVUF114188Y0H-CXCR3-VUF11418
35.71Single8Y0NVUF114188Y0N-CXCR3-VUF11418-Go/β1/γ2
35.71Single8YUVImmepip8YUV-H3-Immepip-Gi1/β1/γ2
35.71Single9EBHAdenosine9EBH-A3A-Adenosine-Gi1/β1/γ2
35.71Single9EEAAdenosine9EEA-A2A-Adenosine-Gs/β1/γ2
35.71Single9M88Oleic monoethanolamide9M88-GPR3 ; GPR3-Oleic monoethanolamide-AF64394
35.71Single9PEEPF-07054894; OXM29PEE-CCR6-PF-07054894; OXM2
35.71Single9PXUNaloxone9PXU-μ-Naloxone-Na
35.71Single9W49U-50488H9W49-κ-U-50488H-Gi1/β1/γ2
35.29Single3PDSFAUC503PDS-β2-FAUC50
35.29Single3UON3-quinuclidinyl-benzilate3UON-M2-3-quinuclidinyl-benzilate
35.29Single4DJHJDTic4DJH-κ-JDTic
35.29Single6E59L-7607356E59-NK1-L-760735
35.29Single7B6WCyclazosin7B6W-α1b-Cyclazosin
35.29Single7EW1Siponimod7EW1-S1P5-Siponimod-Gi1/β1/γ2
35.29Single7EW7SEW28717EW7-S1P1-SEW2871-Gi1/β1/γ2
35.29Single8EFLSR170188EFL-μ-SR17018-Gi1/β1/γ2
35.29Single8HDOBAY 60-65838HDO-A2B-BAY 60-6583-Gs/β1/γ2
35.29Single8VVFJDTic8VVF-κ-JDTic-Gi1/β1/γ2
35.29Single8X16Piclidenoson8X16-A3A-Piclidenoson-Gi1/β1/γ2
35.29Single8YH6Namodenoson8YH6-A3A-Namodenoson-Gi1/β1/γ2
35.29Single8ZR5Firuglipel8ZR5-GPR119-Firuglipel-Gs/β1/γ2
35.29Single9AYFCa; Ca; Ca; Cyclomethyltryptophan; R-568; PO49AYF-CaS; CaS-Ca-Ca; Ca; Ca; Cyclomethyltryptophan; R-568; PO4-Gi1/β1/γ2
35.29Single9KVPSB2901579KVP-C3aB-SB290157-Go/β1/γ2
35.29Consensusclass-a_offOrthosteric Ligandsensory_off alicarboxylic_off amine_off lipid_off nucleotide_off peptide_off protein_off
35.29Consensuskop_offOrthosteric Ligand4DJH-κ-JDTic
35.29Consensuss1p5_onOrthosteric Ligand7EW1-S1P5-Siponimod-Gi1/β1/γ2
35.29Consensuss1p5_on_gpOrthosteric Ligand7EW1-S1P5-Siponimod-Gi1/β1/γ2
35.00Single7T6UCGEN-855A7T6U-FPR2-ALX-CGEN-855A-Gi1/β1/γ2
35.00Single8J6RMK68928J6R-HCA2-MK6892-Gi1/β1/γ2
35.00Single9BUYLM1899BUY-β2-LM189-Gi1/β1/γ2
35.00Consensusclass-a_on_gpOrthosteric Ligandsensory_on_gp alicarboxylic_on_gp amine_on_gp lipid_on_gp nucleotide_on_gp peptide_on_gp protein_on_gp
33.33Single4MBSMaraviroc4MBS-CCR5-Maraviroc
33.33Single4ZJCSB-6740424ZJC-OX1-SB-674042
33.33Single6IQLL7458706IQL-D4-L745870
33.33Single6PELCitronellol6PEL-Rhodopsin-Citronellol-Gt(CT)
33.33Single6VI4JDTic6VI4-κ-JDTic
33.33Single7EPENAM5637EPE-mGlu2-NAM563
33.33Single7EVYSiponimod7EVY-S1P1-Siponimod-Gi1/β1/γ2
33.33Single7SR8TAK-9257SR8-OX2-TAK-925-chim(NtGi1L-Gs-CtGq)/β1/γ2
33.33Single7T32ZM-2413857T32-A2A-ZM-241385
33.33Single7VODCariprazine7VOD-5-HT2A-Cariprazine
33.33Single7VUGJNJ-635330547VUG-GPR139-JNJ-63533054-Gi1/β1/γ2
33.33Single7W0LPubChem 1227019087W0L-Apelin; Apelin-PubChem 122701908-Gi1/β1/γ2
33.33Single7WC9PubChem 1624213647WC9-5-HT2A-PubChem 162421364
33.33Single7WCMMBX-29827WCM-GPR119-MBX-2982-Gs/β1/γ2
33.33Single7WCNAR2314537WCN-GPR119-AR231453-Gs/β1/γ2
33.33Single7XW9TRH7XW9-TRH-TRH-chim(NtGi1L-Gs-CtGq)/β1/γ2
33.33Single8HNMVUF112228HNM-CXCR3-VUF11222-Gi1/β1/γ2
33.33Single8ID9Icosapent8ID9-FFA4-Icosapent-Gi1/β1/γ2
33.33Single8JD3JNJ-404118138JD3-mGlu2; mGlu3-Glutamate-JNJ-40411813-Gi1/β1/γ2
33.33Single8JWY2-1188JWY-A2A-2-118
33.33Single8JWZEtrumadenant8JWZ-A2A-Etrumadenant-Na
33.33Single8RLNLUF58348RLN-A2A-LUF5834
33.33Single8VHFMBX-29828VHF-GPR119-MBX-2982-Gs/β1/γ2
33.33Single8XYIVUF106618XYI-CXCR3-VUF10661
33.33Single8Y45ADL58598Y45-δ-ADL5859-Gi2/β1/γ2
33.33Single8Y62C16:0 Ceramide8Y62-FPR2-ALX-C16:0 Ceramide-Gi1/β1/γ2
33.33Single8Z8ALactate8Z8A-HCA1-Lactate-Gi1/β1/γ2
33.33Single9EE9Adenosine9EE9-A2A-Adenosine-Gs/β1/γ2
33.33Single9GYOP3959GYO-GPBA-P395-chim(NtGi1-Gs)/β1/γ2
33.33Single9KT7MK68929KT7-HCA2-MK6892-Gi1/β1/γ2
33.33Single9M8POleic monoethanolamide9M8P-GPR3 ; GPR3-Oleic monoethanolamide-AF64394
33.33Single9ODLMitragynine Pseudoindoxyl9ODL-μ-Mitragynine Pseudoindoxyl-GTP; Mg-Gi1/β1/γ2
33.33Single9WSVDAMGO9WSV-μ-DAMGO-Arrestin2
33.33Single9YDQDADLE9YDQ-δ-DADLE-MIPS3614-chim(NtGi1L-Gs-CtGi1)/β1/γ2
33.33Consensusadenosine_onOrthosteric Liganda1_on a2_on a3_on
33.33Consensuscannabinoid_offOrthosteric Ligandcb2_off cb1_off
33.33Consensusformylpeptide_on_gpOrthosteric Ligandfpr2-alx_on_gp fpr1-alx_on_gp
33.33Consensusgi_adenosineOrthosteric Ligand7LD4-A1-Adenosine-Gi2/β1/γ2 8X17-A3A-Namodenoson-Gi1/β1/γ2 8X16-A3A-Piclidenoson-Gi1/β1/γ2
33.33Consensusgq_class-aOrthosteric Ligandgq_peptide gq_amine gq_nucleotide
33.33Consensuskop_onOrthosteric Ligand8F7W-κ-Dynorphin-Gi1/β1/γ2 8DZS-κ-GR89,696-chim(NtGi2-Gz)/β1/γ2 8DZP-κ-momSalB-Gi1/β1/γ2
33.33Consensusm4_onOrthosteric Ligand7TRS-M4-Acetylcholine-Gi1/β1/γ2 7V6A-M4-PubChem 9864275-Gi1/β1/γ2 8E9X-M4-2-Deoxycytidine-chim(NtGi1-Go)/β1/γ2 7TRK-M4-Iperoxo-Gi1/β1/γ2
33.33Consensusm4_on_gpOrthosteric Ligand7TRS-M4-Acetylcholine-Gi1/β1/γ2 7V6A-M4-PubChem 9864275-Gi1/β1/γ2 8E9X-M4-2-Deoxycytidine-chim(NtGi1-Go)/β1/γ2 7TRK-M4-Iperoxo-Gi1/β1/γ2
33.33Consensusnop_offOrthosteric Ligand4EA3-NOP-PubChem 10296561 5DHG-NOP-C-35 5DHH-NOP-SB-612111
33.33Consensuss1p1_onOrthosteric Ligand7VIE-S1P1-S1P-Gi1/β1/γ2 7VIF-S1P1-FTY720-P-Gi1/β1/γ2 7VIG-S1P1-CBP-307-Gi1/β1/γ2 7EVY-S1P1-Siponimod-Gi1/β1/γ2 7EVZ-S1P1-Cenerimod-Gi1/β1/γ2 7EW0-S1P1-Ozanimod-Gi1/β1/γ2 7EW7-S1P1-SEW2871-Gi1/β1/γ2
33.33Consensuss1p1_on_gpOrthosteric Ligand7VIE-S1P1-S1P-Gi1/β1/γ2 7VIF-S1P1-FTY720-P-Gi1/β1/γ2 7VIG-S1P1-CBP-307-Gi1/β1/γ2 7EVY-S1P1-Siponimod-Gi1/β1/γ2 7EVZ-S1P1-Cenerimod-Gi1/β1/γ2 7EW0-S1P1-Ozanimod-Gi1/β1/γ2 7EW7-S1P1-SEW2871-Gi1/β1/γ2
33.33Consensussst4_onOrthosteric Ligand7XMS-SST4-Somatostatin-14-Gi1/β1/γ2 7XMT-SST4-J-2156-Gi1/β1/γ2
33.33Consensussst4_on_gpOrthosteric Ligand7XMS-SST4-Somatostatin-14-Gi1/β1/γ2 7XMT-SST4-J-2156-Gi1/β1/γ2
33.33Consensustrh_onOrthosteric Ligand7XW9-TRH-TRH-chim(NtGi1L-Gs-CtGq)/β1/γ2
33.33Consensustrh_on_gpOrthosteric Ligand7XW9-TRH-TRH-chim(NtGi1L-Gs-CtGq)/β1/γ2
31.82Single6LW5WKYMVm6LW5-FPR2-ALX-WKYMVm
31.82Single8XIQL7967788XIQ-SST3-L796778-chim(NtGi1-Gs-CtGi1)/β1/γ2
31.82Single9B54VIP369B54-CB1-VIP36-Gi1/β1/γ2
31.82Single9MEUCXCL129MEU-CXCR4-CXCL12
31.82Consensusangiotensin_onOrthosteric Ligandat1_on
31.82Consensusat1_onOrthosteric Ligand7F6G-AT1-(Sar1)-Angiotensin II-Gq/β1/γ2
31.82Consensusfpr2-alx_onOrthosteric Ligand7WVX-FPR2-ALX-Humanin-Gi2/β1/γ2 7T6U-FPR2-ALX-CGEN-855A-Gi1/β1/γ2 7T6V-FPR2-ALX-fMLFII-Gi1/β1/γ2 7WVY-FPR2-ALX-Amyloid-β42-Gi2/β1/γ2 7T6S-FPR2-ALX-TC-FPR 43-Gi1/β1/γ2 6OMM-FPR2-ALX-WKYMVX-Gi1/β1/γ2
31.82Consensusgs_class-aOrthosteric Ligandgs_peptide gs_nucleotide gs_amine
31.58Single6DDFDAMGO6DDF-μ-DAMGO-Gi1/β1/γ2
31.58Single7MTSADX551647MTS-mGlu2; mGlu2-Glutamate-ADX55164-Gi1/β1/γ2
31.58Single7XZ6APD6687XZ6-GPR119-APD668-Gs/β1/γ2
31.58Single8XVJMacitentan8XVJ-ETA-Macitentan
31.58Single9YDPDADLE9YDP-δ-DADLE-chim(NtGi1L-Gs-CtGi1)/β1/γ2
31.58Single9YDRDADLE9YDR-δ-DADLE-MIPS3983-chim(NtGi1L-Gs-CtGi1)/β1/γ2
31.58Consensuschemerin_onOrthosteric Ligandcml1_on
31.58Consensusnucleotide_on_gpOrthosteric Ligandadenosine_on_gp p2y_on_gp
31.25Single4EA3PubChem 102965614EA3-NOP-PubChem 10296561
31.25Single5DHGC-355DHG-NOP-C-35
31.25Single5DHHSB-6121115DHH-NOP-SB-612111
31.25Single6TOTLemborexant6TOT-OX1-Lemborexant
31.25Single7M3JNPS-2143; PO47M3J-CaS; CaS-NPS-2143; PO4
31.25Single7SQOTAK-9257SQO-OX2-TAK-925-Gi1/β1/γ2
31.25Single7VIES1P7VIE-S1P1-S1P-Gi1/β1/γ2
31.25Single7VIFFTY720-P7VIF-S1P1-FTY720-P-Gi1/β1/γ2
31.25Single7WC8Lumateperone7WC8-5-HT2A-Lumateperone
31.25Single8CU6LJ-45178CU6-A2A-LJ-4517
31.25Single8JT8(R)-IHCH-71798JT8-5-HT2A-(R)-IHCH-7179
31.25Single8X17Namodenoson8X17-A3A-Namodenoson-Gi1/β1/γ2
31.25Single9BQJRO769BQJ-μ-RO76-Gi1/β1/γ2
31.25Single9D61JDTic9D61-κ-JDTic-Gi1/β1/γ2
31.25Single9JGKBalovaptan9JGK-5-HT2B-Balovaptan
31.25Single9KFTfMLFC9KFT-FPR1-ALX-fMLFC-Gi1/β1/γ2
31.25Single9KUXCMPD6449KUX-Apelin; Apelin-CMPD644-Arrestin2
31.25Consensusa3_onOrthosteric Liganda3a_on
31.25Consensusalicarboxylic_on_gpOrthosteric Ligandsuccinate_on_gp hca_on_gp
31.25Consensusgi_alicarboxylicOrthosteric Ligandgi_hca gi_succinate
31.25Consensusgi_orexinOrthosteric Ligand7SQO-OX2-TAK-925-Gi1/β1/γ2
30.77Single2ZIY11-cis-Retinal2ZIY-Rhodopsin-11-cis-Retinal
30.77Single3UZAGTPL92363UZA-A2A-GTPL9236
30.77Single6ME5Agomelatine6ME5-MT1-Agomelatine
30.77Single8EITDoconexent8EIT-FFA1-Doconexent-chim(NtGi1L-Gs-CtGq)/β1/γ2
30.77Single8GGFConstrained Epinephrine8GGF-β2-Constrained Epinephrine-GTP-Gs/β1/γ2
30.77Single8J6QBeta-Hydroxybutyrate8J6Q-HCA2-β-Hydroxybutyrate-PubChem 25101223-Gi1/β1/γ2
30.77Single8JXTHistamine8JXT-H4-Histamine-PO4-Gi1/β1/γ2
30.77Single9IV15alpha-DHT9IV1-ADGRD1-5α-DHT-chim(NtGi1-Gs)/β1/γ2
30.77Consensus5ht2_onOrthosteric Ligand5ht2b_on
30.77Consensus5ht2b_onOrthosteric Ligand7SRR-5-HT2B-LSD-chim(NtGi2L-Gs-CtGq)/β1/γ2
30.43Single7F6G(Sar1)-Angiotensin II7F6G-AT1-(Sar1)-Angiotensin II-Gq/β1/γ2
30.43Single8H4KGW95088H4K-FFA4-GW9508-chim(NtGi1-Gs-CtGq)/β1/γ2
30.43Single8IHFMK68928IHF-HCA2-MK6892-Gi1/β1/γ2
30.43Single8J6IMK68928J6I-HCA2-MK6892-Gi1/β1/γ2
30.43Single9BKKCholecystokinin-89BKK-CCKA-Cholecystokinin-8-chim(NtGi1-Gs-CtGq)/β1/γ2
30.43Consensusangiotensin_on_gpOrthosteric Ligandat1_on_gp
30.43Consensusat1_on_gpOrthosteric Ligand7F6G-AT1-(Sar1)-Angiotensin II-Gq/β1/γ2
30.43Consensuscxcr3_on_gpOrthosteric Ligand8HNK-CXCR3-CXCL11-Gi1/β1/γ2 8HNL-CXCR3-PS372424-Gi1/β1/γ2
30.43Consensusgi_class-aOrthosteric Ligandgi_peptide gi_sensory gi_alicarboxylic gi_amine gi_lipid gi_nucleotide gi_protein
30.43Consensusgi_formylpeptideOrthosteric Ligand7WVY-FPR2-ALX-Amyloid-β42-Gi2/β1/γ2 7T6U-FPR2-ALX-CGEN-855A-Gi1/β1/γ2 7VFX-FPR1-ALX-fMIFL-Gi1/β1/γ2 7T6V-FPR2-ALX-fMLFII-Gi1/β1/γ2 7WVX-FPR2-ALX-Humanin-Gi2/β1/γ2 7T6S-FPR2-ALX-TC-FPR 43-Gi1/β1/γ2 6OMM-FPR2-ALX-WKYMVX-Gi1/β1/γ2
30.43Consensusgq_angiotensinOrthosteric Ligand7F6G-AT1-(Sar1)-Angiotensin II-Gq/β1/γ2
30.00Single5ZTYAM102575ZTY-CB2-AM10257
30.00Single6OMMWKYMVX6OMM-FPR2-ALX-WKYMVX-Gi1/β1/γ2
30.00Single7T11Octreotide7T11-SST2-Octreotide-Gi3/β1/γ2
30.00Single7XN9L-0545227XN9-SST2-L-054522
30.00Single9M0RNeuropeptide-VF9M0R-NPFF1-Neuropeptide-VF-Gi1/β1/γ2
30.00Consensuscb2_offOrthosteric Ligand5ZTY-CB2-AM10257
30.00Consensuscxcr3_onOrthosteric Ligand8HNK-CXCR3-CXCL11-Gi1/β1/γ2 8HNL-CXCR3-PS372424-Gi1/β1/γ2
30.00Consensussst2_onOrthosteric Ligand7WIC-SST2-Somatostatin-14-Gi1/β1/γ2 7WIG-SST2-L-054264-Gi1/β1/γ2 7YAE-SST2-Octreotide-Gi1/β1/γ2 7YAC-SST2-Paltusotine-Gi1/β1/γ2
30.00Consensussst2_on_gpOrthosteric Ligand7WIC-SST2-Somatostatin-14-Gi1/β1/γ2 7WIG-SST2-L-054264-Gi1/β1/γ2 7YAE-SST2-Octreotide-Gi1/β1/γ2 7YAC-SST2-Paltusotine-Gi1/β1/γ2
29.63Consensusbb2_onOrthosteric Ligand7W40-BB2-Bombesin-chim(NtGi1L-Gq)/β1/γ2 7W3Z-BB2-Gastrin Releasing Peptide-chim(NtGi1L-Gq)/β1/γ2
29.63Consensusbb2_on_gpOrthosteric Ligand7W40-BB2-Bombesin-chim(NtGi1L-Gq)/β1/γ2 7W3Z-BB2-Gastrin Releasing Peptide-chim(NtGi1L-Gq)/β1/γ2
29.63Consensusbombesin_onOrthosteric Ligandbb2_on
29.63Consensusbombesin_on_gpOrthosteric Ligandbb2_on_gp
29.63Consensusgq_bombesinOrthosteric Ligand7W40-BB2-Bombesin-chim(NtGi1L-Gq)/β1/γ2 7W3Z-BB2-Gastrin Releasing Peptide-chim(NtGi1L-Gq)/β1/γ2
29.41Single4ZJ8Suvorexant4ZJ8-OX1-Suvorexant
29.41Single5CGCHTL142425CGC-mGlu5-HTL14242
29.41Single5NM2ZM-2413855NM2-A2A-ZM-241385-Na
29.41Single6TO7Suvorexant6TO7-OX1-Suvorexant-Na
29.41Single6TP6Filorexant6TP6-OX1-Filorexant
29.41Single7BB7AVP7BB7-V2-AVP-Gs/β1/γ2
29.41Single7CFNINT-7777CFN-GPBA-INT-777-Gs/β1/γ2
29.41Single7EPFNAM5977EPF-mGlu2-NAM597
29.41Single7M3JNPS-2143; PO47M3J-CaS; CaS-NPS-2143; PO4
29.41Single7SINNPS-21437SIN-CaS; CaS-NPS-2143
29.41Single7SINNPS-21437SIN-CaS; CaS-NPS-2143
29.41Single7VUHJNJ-635330547VUH-GPR139-JNJ-63533054-chim(Gs-CtGq)/β1/γ2
29.41Single7W41PD1762527W41-BB2-PD176252
29.41Single8ID4Linoleic acid8ID4-FFA4-Linoleic acid-Gi1/β1/γ2
29.41Single8J6JGSK2560738J6J-HCA2-GSK256073-Gi1/β1/γ2
29.41Single8QOTNanobody-E8QOT-μ-Nanobody-E
29.41Single8SZGCa; Ca; Tryptophan; Cinacalcet; PO4; Spermine8SZG-CaS; CaS-Ca; Ca; Tryptophan; Cinacalcet; PO4; Spermine-chim(NtGi1-Gq)/β1/γ2
29.41Single8TH4Losartan8TH4-AT1-Losartan-AT118-L Nanobody
29.41Single8YICSAR2477998YIC-S1P1-SAR247799-Gi1/β1/γ2
29.41Single8YNSSNAP-948478YNS-MCH1-SNAP-94847
29.41Single9AYFCa; Ca; Ca; Cyclomethyltryptophan; R-568; PO49AYF-CaS; CaS-Ca-Ca; Ca; Ca; Cyclomethyltryptophan; R-568; PO4-Gi1/β1/γ2
29.41Single9EAHOlmesartan9EAH-AT1-Olmesartan-Nanobody AT209
29.41Single9HAPTolvaptan9HAP-V2-Tolvaptan
29.41Single9KUVCMPD6449KUV-Apelin-CMPD644-Arrestin2
29.41Single9L74S1P d16:19L74-S1P3-S1P d16:1-chim(NtGi2L-Gs-CtGq)/β1/γ2
29.41Single9U81Tolvaptan9U81-V2-Tolvaptan
29.41Consensusadenosine_offOrthosteric Liganda1_off a2_off
29.41Consensusbb2_offOrthosteric Ligand7W41-BB2-PD176252
29.41Consensusbombesin_offOrthosteric Ligandbb2_off
29.41Consensusnucleotide_onOrthosteric Ligandadenosine_on p2y_on
29.17Single8XGOTAK4488XGO-Kiss1-TAK448-chim(NtGi1-Gq)/β1/γ2
29.17Single8ZPSPrRP208ZPS-PrRP-PrRP20-chim(NtGi1-Gs-CtGi1)/β1/γ2
29.17Consensuscml1_on_gpOrthosteric Ligand7YKD-CML1-Chemerin-9-Gi1/β1/γ2
29.17Consensusopioid_onOrthosteric Ligandmop_on nop_on dop_on kop_on
28.57Single6PGSGeraniol6PGS-Rhodopsin-Geraniol-Gt(CT)
28.57Single6PH7Nerol6PH7-Rhodopsin-Nerol-Gt(CT)
28.57Single6QNOAll-trans-Retinal6QNO-Rhodopsin-All-trans-Retinal-Gi1/β1/γ1
28.57Single6TP4ACT-4622066TP4-OX1-ACT-462206
28.57Single6TQ4PubChem 160468446TQ4-OX1-PubChem 16046844-Na
28.57Single7DD5Ca; Ca; Tryptophan; NPS-21437DD5-CaS; CaS-Ca-Ca; Ca; Tryptophan; NPS-2143
28.57Single7DD7Ca; Ca; Tryptophan; Evocalcet7DD7-CaS; CaS-Ca-Ca; Ca; Tryptophan; Evocalcet
28.57Single7W0PElabela7W0P-Apelin-Elabela-Gi1/β1/γ2
28.57Single7WICSomatostatin-147WIC-SST2-Somatostatin-14-Gi1/β1/γ2
28.57Single7WKDTRH7WKD-TRH-TRH-chim(NtGi1-Gs-CtGq)/β1/γ2
28.57Single8G59TUG-8918G59-FFA4-TUG-891-chim(Gi1-CtGq)/β1/γ2
28.57Single8H2GNiacin8H2G-HCA2-Niacin-Gi1/β1/γ2
28.57Single8K5BNiacin8K5B-HCA2-Niacin
28.57Single8X2KOleic monoethanolamide8X2K-GPR3-Oleic monoethanolamide-chim(NtGi1-Gs)/β1/γ2
28.57Single8YH3N-methyladenosine8YH3-A3A-N-methyladenosine-Gi1/β1/γ2
28.57Single8ZBJSomatostatin-148ZBJ-SST5-Somatostatin-14-Gi1/β1/γ2
28.57Single9EPRAll-trans-Retinal9EPR-Rhodopsin-All-trans-Retinal-Gi1/β1/γ2
28.57Single9IQTNiacin9IQT-HCA2-Niacin-Gi1/β1/γ2
28.57Single9L3ZLRH7-C29L3Z-CML1-LRH7-C2
28.57Single9M88Oleic monoethanolamide9M88-GPR3 ; GPR3-Oleic monoethanolamide-AF64394
28.57Single9UYJChemerin-99UYJ-CML2-Chemerin-9-Arrestin2
28.57Single9YDAAll-trans-Retinal9YDA-Opsin1MW-All-trans-Retinal-chim(NtGi1L-Gs-CtGt)/β1/γ2
28.57Consensuschemerin_on_gpOrthosteric Ligandcml1_on_gp
28.57Consensuscml1_onOrthosteric Ligand7YKD-CML1-Chemerin-9-Gi1/β1/γ2
28.57Consensusgi_chemerinOrthosteric Ligand7YKD-CML1-Chemerin-9-Gi1/β1/γ2
28.57Consensusgi_nucleotideOrthosteric Ligandgi_adenosine gi_p2y
28.00Single7YKDChemerin-97YKD-CML1-Chemerin-9-Gi1/β1/γ2
28.00Single8H0PNMB308H0P-BB1-NMB30-chim(NtGi1-Gs-CtGq)/β1/γ2
28.00Consensusopioid_on_gpOrthosteric Ligandmop_on_gp nop_on_gp dop_on_gp kop_on_gp
27.78Single6DDEDAMGO6DDE-μ-DAMGO-Gi1/β1/γ2
27.78Single6KO5PubChem 574000026KO5-Ghrelin-PubChem 57400002
27.78Single7VIGCBP-3077VIG-S1P1-CBP-307-Gi1/β1/γ2
27.78Single7XAVLanreotide7XAV-SST2-Lanreotide-Gi1/β1/γ2
27.78Single7XTQR3997XTQ-GPBA-R399-Gs/β1/γ2
27.78Single7Y24Octreotide7Y24-SST2-Octreotide-Go/β1/γ2
27.78Single8ID6Oleic acid8ID6-FFA4-Oleic acid-Gi1/β1/γ2
27.78Single8WU1MDMB-Fubinaca8WU1-CB1-MDMB-Fubinaca-Arrestin2
27.78Single8XJMLatanoprost8XJM-FP-alpha-Latanoprost-chim(NtGi2-Gs-CtGq)/β1/γ2
27.78Single8XZICMF-0198XZI-Apelin; Apelin-CMF-019-Gi1/β1/γ2
27.78Single8YNTSNAP-948478YNT-MCH1-SNAP-94847
27.78Single9WSTDAMGO9WST-μ-DAMGO-chim(NtGi1-Gz)/β1/γ2
27.27Single6DO1(Sar1,Ile8)-Angiotensin II6DO1-AT1-(Sar1,Ile8)-Angiotensin II
27.27Single7DDZJNJ-310200287DDZ-Y2-JNJ-31020028
27.27Single8GEJConstrained Epinephrine8GEJ-β2-Constrained Epinephrine-Gs/β1/γ2
27.27Single8SG1Chemerin-98SG1-CML1-Chemerin-9-Gi1/β1/γ2
27.27Single8WCBCyclohexylammonium Ion8WCB-TA1-Cyclohexylammonium Ion-chim(NtGi1-Gs-CtGq)/β1/γ2
27.27Single8WCCCyclohexylammonium Ion8WCC-TA1-Cyclohexylammonium Ion
27.27Single9IK8Pasireotide9IK8-SST1-Pasireotide-Gi1/β1/γ2
27.27Single9ME1CXCL129ME1-CXCR4-CXCL12
27.27Consensusnpy2_offOrthosteric Ligand7DDZ-Y2-JNJ-31020028
26.92Single8ZH8QRFP268ZH8-QRFP-QRFP26-Gq/β1/γ1
26.92Single9K26PrRP319K26-PrRP-PrRP31-Gi1/β1/γ2
26.92Single9KDFRES-701-39KDF-ETB-RES-701-3
26.92Consensusgq_peptideOrthosteric Ligandgq_cck gq_kisspeptin gq_bradykinin gq_bombesin gq_angiotensin
26.67Single3V2WPubChem 518926453V2W-S1P1-PubChem 51892645
26.67Single3VG9ZM-2413853VG9-A2A-ZM-241385-Antibody
26.67Single3VGAZM-2413853VGA-A2A-ZM-241385-Antibody
26.67Single5WS3EMPA5WS3-OX2-EMPA
26.67Single6TQ6PubChem 1457142836TQ6-OX1-PubChem 145714283
26.67Single7M3ECa; Ca; Tryptophan; NPS-21437M3E-CaS; CaS-Ca; Ca; Tryptophan; NPS-2143
26.67Single7M3ECa; Ca; Tryptophan; NPS-21437M3E-CaS; CaS-Ca; Ca; Tryptophan; NPS-2143
26.67Single7M3FCa; Ca; Tryptophan; Cinacalcet7M3F-CaS; CaS-Ca; Ca; Tryptophan; Cinacalcet
26.67Single7M3FCa; Ca; Tryptophan; Cinacalcet7M3F-CaS; CaS-Ca; Ca; Tryptophan; Cinacalcet
26.67Single7SRRLSD7SRR-5-HT2B-LSD-chim(NtGi2L-Gs-CtGq)/β1/γ2
26.67Single7TUZ7-alpha,25-dihydroxycholesterol7TUZ-GPR183-7-α,25-dihydroxycholesterol-Gi1/β1/γ2
26.67Single7VIHCBP-3077VIH-S1P1-CBP-307-Gi1/β1/γ2
26.67Single7VUJJNJ-635330547VUJ-GPR139-JNJ-63533054-GDP-chim(Gs-CtGq)/β1/γ2
26.67Single8DU3PubChem 1055260648DU3-A2A-PubChem 105526064
26.67Single8IJANiacin8IJA-HCA2-Niacin-Gi1/β1/γ2
26.67Single8IJBAcipimox8IJB-HCA2-Acipimox-Gi1/β1/γ2
26.67Single8J20Valeric acid8J20-FFA3-Valeric acid-AR420626-Gi1/β1/γ2
26.67Single8WOGSuccinic acid8WOG-Succinate-Succinic acid-Gi1/β1/γ2
26.67Single8WPGTryptophan; Cinacalcet; PO4; Ca8WPG-CaS; CaS-Tryptophan; Cinacalcet; PO4; Ca
26.67Single8XXVIndomethacin8XXV-DP2-Indomethacin-A1D5Q-Gi1/β1/γ2
26.67Single8YKXMaleic acid8YKX-Succinate-Maleic acid-Gi1/β1/γ1
26.67Single8YYWAlpha-ketoglutarate8YYW-Oxoglutarate-α-ketoglutarate-α-ketoglutarate-chim(Gi1-CtGq)/β1/γ2
26.67Single8Z87CHBA8Z87-HCA1-CHBA-Gi1/β1/γ2
26.67Single9C1PCa; Tryptophan; '6218; PO49C1P-CaS; CaS-Ca-Ca; Tryptophan; '6218; PO4
26.67Single9H2XPubChem 1756706449H2X-A2A-PubChem 175670644-Na
26.67Single9J5VCpY9J5V-LPA1-CpY-Gi1/β1/γ2
26.67Consensus5ht2_on_gpOrthosteric Ligand5ht2b_on_gp
26.67Consensus5ht2b_on_gpOrthosteric Ligand7SRR-5-HT2B-LSD-chim(NtGi2L-Gs-CtGq)/β1/γ2
26.67Consensusangiotensin_offOrthosteric Ligandat1_off
26.67Consensusgi_succinateOrthosteric Ligand8YKW-Succinate-Succinic acid-Gi1/β1/γ1 8YKX-Succinate-Maleic acid-Gi1/β1/γ1
26.67Consensusorexin_offOrthosteric Ligandox2_off ox1_off
26.67Consensusox1_offOrthosteric Ligand6TP6-OX1-Filorexant 6TP4-OX1-ACT-462206 6V9S-OX1-GTPL11403 6TOT-OX1-Lemborexant 6TP3-OX1-Nemorexant 6TQ6-OX1-PubChem 145714283 6TQ9-OX1-SB-408124 4ZJC-OX1-SB-674042 4ZJ8-OX1-Suvorexant 6TOD-OX1-EMPA-Na 6TOS-OX1-GSK1059865-Na 6TQ4-OX1-PubChem 16046844-Na
26.67Consensusox2_offOrthosteric Ligand5WQC-OX2-EMPA 6TPN-OX2-HTL6641 7XRR-OX2-Lemborexant 6TPJ-OX2-Suvorexant
26.67Consensuss1p1_offOrthosteric Ligand3V2W-S1P1-PubChem 51892645
26.67Consensussuccinate_onOrthosteric Ligand8YKW-Succinate-Succinic acid-Gi1/β1/γ1 8YKX-Succinate-Maleic acid-Gi1/β1/γ1
26.67Consensussuccinate_on_gpOrthosteric Ligand8YKW-Succinate-Succinic acid-Gi1/β1/γ1 8YKX-Succinate-Maleic acid-Gi1/β1/γ1
26.32Single4OR2FITM4OR2-mGlu1; mGlu1-FITM
26.32Single4Z36ONO-30805734Z36-LPA1-ONO-3080573
26.32Single6OS0Angiotensin II6OS0-AT1-Angiotensin II
26.32Single6XBLCholesterol6XBL-SMO-SAG-Cholesterol-Gi1/β1/γ2
26.32Single7EO4Siponimod7EO4-S1P1-Siponimod-Gi1/β1/γ2
26.32Single7EW2FTY720-P7EW2-S1P3-FTY720-P-Gi1/β1/γ2
26.32Single7K15MKD0467K15-BLT1-MKD046-Na
26.32Single7L1VPubChem 1554910097L1V-OX2-PubChem 155491009-chim(NtGi1-Gs-CtGq)/β1/γ2
26.32Single7MTRADX551647MTR-mGlu2; mGlu2-Glutamate-ADX55164
26.32Single7W0LPubChem 1227019087W0L-Apelin; Apelin-PubChem 122701908-Gi1/β1/γ2
26.32Single7XZ5Lysophosphatidylcholine7XZ5-GPR119-Lysophosphatidylcholine-Gs/β1/γ2
26.32Single8I9AEP548I9A-C3aB-EP54-chim(NtGi1-Gs-CtGq)/β1/γ2
26.32Single8JJPChemerin-98JJP-CML2-Chemerin-9-Gi1/β1/γ2
26.32Single8W1VPubChem 1717162658W1V-β2-PubChem 171716265
26.32Single9VIFNeuropeptide-VF9VIF-NPFF1-Neuropeptide-VF-Gi1/β1/γ2
26.32Single9WSWEndomorphin9WSW-μ-Endomorphin-chim(NtGi1-Gz)/β1/γ2
26.32Consensusleukotriene_offOrthosteric Ligandblt_off cyslt_off
26.32Consensuslpa1_offOrthosteric Ligand4Z36-LPA1-ONO-3080573 4Z35-LPA1-ONO-9910539 4Z34-LPA1-ONO-9780307
26.32Consensuslpa_offOrthosteric Ligandlpa1_off
26.32Consensusorexin_onOrthosteric Ligandox2_on
26.32Consensuss1p3_onOrthosteric Ligand7EW3-S1P3-S1P-Gi1/β1/γ2 7EW4-S1P3-CYM-5541-Gi1/β1/γ2 7EW2-S1P3-FTY720-P-Gi1/β1/γ2
26.09Single8XGUTAK4488XGU-Kiss1-TAK448-Gi1/β1/γ2
26.09Consensusgi_somatostatinOrthosteric Ligand7WIC-SST2-Somatostatin-14-Gi1/β1/γ2 7XMS-SST4-Somatostatin-14-Gi1/β1/γ2 8X8L-SST5-Cortistatin-14-chim(NtGi1-Gs-CtGi1)/β1/γ2 7XMT-SST4-J-2156-Gi1/β1/γ2 7WIG-SST2-L-054264-Gi1/β1/γ2 8X8N-SST5-Octreotide-chim(NtGi1-Gs-CtGi1)/β1/γ2 7YAE-SST2-Octreotide-Gi1/β1/γ2 7YAC-SST2-Paltusotine-Gi1/β1/γ2
26.09Consensuspeptide_offonOrthosteric Ligandpeptide_off peptide_on
26.09Consensussomatostatin_onOrthosteric Ligandsst2_on sst4_on sst5_on
26.09Consensussomatostatin_on_gpOrthosteric Ligandsst2_on_gp sst4_on_gp sst5_on_gp
25.93Single8Y52BA18Y52-BB3-BA1-chim(NtGi1-Gs-CtGq)/β1/γ2
25.00Single4OR2FITM4OR2-mGlu1; mGlu1-FITM
25.00Single4Z35ONO-99105394Z35-LPA1-ONO-9910539
25.00Single4ZUDOlmesartan4ZUD-AT1-Olmesartan
25.00Single5CGDHTL142425CGD-mGlu5-HTL14242
25.00Single5IU7Q274563465IU7-A2A-Q27456346-Na
25.00Single5JTBZM-2413855JTB-A2A-ZM-241385
25.00Single5K2BZM-2413855K2B-A2A-ZM-241385-Na
25.00Single5UVIZM-2413855UVI-A2A-ZM-241385
25.00Single6AQFZM-2413856AQF-A2A-ZM-241385
25.00Single6FFIMPEP6FFI-mGlu5-MPEP
25.00Single6FKAPubChem 1324730376FKA-Rhodopsin-PubChem 132473037
25.00Single6JODAngiotensin II6JOD-AT2-Angiotensin II
25.00Single6K1QIRL25006K1Q-ETB-IRL2500
25.00Single6TOSGSK10598656TOS-OX1-GSK1059865-Na
25.00Single6TPKRetosiban6TPK-OT-Retosiban
25.00Single6V9SGTPL114036V9S-OX1-GTPL11403
25.00Single6WIVPubChem 52923113; PubChem 529246456WIV-GABAB1, GABAB2-PubChem 52923113; PubChem 52924645
25.00Single6ZDRHMS1413f126ZDR-A2A-HMS1413f12-Na
25.00Single6ZFZ77-LH-28-16ZFZ-M1-77-LH-28-1
25.00Single6ZG9GSK10347026ZG9-M1-GSK1034702
25.00Single7DW9AVP7DW9-V2-AVP-chim(NtGi1-Gs)/β1/γ2
25.00Single7F61PF-036547467F61-H3-PF-03654746
25.00Single7M3GCa; Ca; Tryptophan; Evocalcet; Etelcalcetide; PO47M3G-CaS; CaS-Ca; Ca; Tryptophan; Evocalcet; Etelcalcetide; PO4
25.00Single7W40Bombesin7W40-BB2-Bombesin-chim(NtGi1L-Gq)/β1/γ2
25.00Single7WC4Serotonin7WC4-5-HT2A-Serotonin
25.00Single7X1UTRH7X1U-TRH-TRH-chim(NtGi2L-Gs-CtGq)/β1/γ2
25.00Single7Y27Somatostatin-147Y27-SST2-Somatostatin-14-chim(NtGi2L-Gs-CtGq)/β1/γ2
25.00Single8GURCP559408GUR-CB2-CP55940-Gi1/β1/γ2
25.00Single8H4LDoconexent8H4L-FFA4-Doconexent-chim(NtGi1-Gs-CtGq)/β1/γ2
25.00Single8HQN9-S-HODE8HQN-GPR132-9-S-HODE-Gi1/β1/γ2
25.00Single8I95EP548I95-C3aB-EP54-Go/β1/γ2
25.00Single8IULLatanoprost8IUL-FP-alpha-Latanoprost-chim(NtGi1-Gs-CtGq)/β1/γ2
25.00Single8IY9Niacin8IY9-HCA2-Niacin-Go/β1/γ2
25.00Single8IYSTUG-8918IYS-FFA4-TUG-891-GDP-chim(NtGi1L-Gq)/β1/γ2
25.00Single8JEIPubChem 117155568JEI-HCAR3-PubChem 11715556-Gi1/β1/γ2
25.00Single8JERAcipimox8JER-HCA2-Acipimox-Go/β1/γ2
25.00Single8JIMMonomethyl fumarate8JIM-HCA2-Monomethyl fumarate-Gi1/β1/γ2
25.00Single8K2XCXCL108K2X-CXCR3-CXCL10-Gi1/β1/γ2
25.00Single8K5CAcipimox8K5C-HCA2-Acipimox
25.00Single8K9KDAMGO8K9K-μ-DAMGO-Gi3/β1/γ1
25.00Single8RQQZM-2413858RQQ-A2A-ZM-241385-Na
25.00Single8WPGTryptophan; Cinacalcet; PO4; Ca8WPG-CaS; CaS-Tryptophan; Cinacalcet; PO4; Ca
25.00Single8WPUTryptophan; Cinacalcet; PO4; Ca8WPU-CaS; CaS-Tryptophan; Cinacalcet; PO4; Ca-chim(NtGi2L-Gs-CtGq)/β1/γ2
25.00Single8X8LCortistatin-148X8L-SST5-Cortistatin-14-chim(NtGi1-Gs-CtGi1)/β1/γ2
25.00Single8XJKCloprosetnol8XJK-FP-alpha-Cloprosetnol-chim(NtGi1-Gs-CtGq)/β1/γ2
25.00Single8ZBISomatostatin-148ZBI-SST3-Somatostatin-14-Gi1/β1/γ2
25.00Single8ZWGJR14a8ZWG-C3aB-JR14a-Gi1/β1/γ2
25.00Single9ASBCa; Ca; Cyclomethyltryptophan; R-568; PO49ASB-CaS; CaS-Ca-Ca; Ca; Cyclomethyltryptophan; R-568; PO4-chim(NtGi1-Gs-CtGq)/β1/γ2
25.00Single9ASBCa; Ca; Cyclomethyltryptophan; R-568; PO49ASB-CaS; CaS-Ca-Ca; Ca; Cyclomethyltryptophan; R-568; PO4-chim(NtGi1-Gs-CtGq)/β1/γ2
25.00Single9AVGCa; Ca; Cyclomethyltryptophan; R-568; PO49AVG-CaS; CaS-Ca-Ca; Ca; Cyclomethyltryptophan; R-568; PO4-chim(NtGi1-Gs)/β1/γ2
25.00Single9AXFCa; Ca; Ca; Cyclomethyltryptophan; R-568; PO49AXF-CaS; CaS-Ca-Ca; Ca; Ca; Cyclomethyltryptophan; R-568; PO4-chim(NtGi1-Gs-CtGq)/β1/γ2
25.00Single9EAILosartan9EAI-AT1-Losartan-Nanobody AT209
25.00Single9IV25alpha-DHT9IV2-ADGRD1-5α-DHT-chim(NtGi1-Gs)/β1/γ2
25.00Single9JH3CMF-0199JH3-Apelin; Apelin-CMF-019-Gi1/β1/γ2
25.00Single9JIDNiacin9JID-HCA3-Niacin-Gi1/β1/γ2
25.00Single9JKYAcifran9JKY-HCA2-Acifran-Gi1/β1/γ2
25.00Single9KUGEP679KUG-C5a1-EP67-Go/β1/γ2
25.00Single9KUWCMPD6449KUW-Apelin; Apelin-CMPD644-Arrestin2 ; Arrestin2
25.00Single9M54Neuropeptide-VF9M54-NPFF2-Neuropeptide-VF-Gi1/β1/γ2
25.00Single9P1TZM-2413859P1T-A2A-ZM-241385
25.00Consensusa2_offOrthosteric Liganda2a_off
25.00Consensusa2a_offOrthosteric Ligand3RFM-A2A-Caffeine 8C9W-A2A-Etrumadenant 3UZA-A2A-GTPL9236 8GNG-A2A-Istradefylline 8CU6-A2A-LJ-4517 7PX4-A2A-PSB-2113 7PYR-A2A-PSB-2115 8DU3-A2A-PubChem 105526064 8JWY-A2A-2-118 8PWN-A2A-Theophylline 5IU4-A2A-ZM-241385-Na 5OLZ-A2A-PubChem 135566609-Na 6GT3-A2A-Imaradenant-Na 5OLV-A2A-LUAA47070-Na 5N2R-A2A-PSB36-Na 5IU7-A2A-Q27456346-Na 5OLH-A2A-Vipadenant-Na 5OLO-A2A-Tozadenant-Na 6ZDR-A2A-HMS1413f12-Na 8GNE-A2A-KW-6356-Na 8JWZ-A2A-Etrumadenant-Na 5IU8-A2A-Q27456347-Na 5IUB-A2A-Q27456344-Na 6ZDV-A2A-PubChem 984073-Na 5IUA-A2A-Q27456348-Na 8A2P-A2A-LUAA47070-Na
25.00Consensusat1_offOrthosteric Ligand4YAY-AT1-ZD-7155 4ZUD-AT1-Olmesartan
25.00Consensusgs_vasop-oxyOrthosteric Ligand7DW9-V2-AVP-chim(NtGi1-Gs)/β1/γ2
25.00Consensushca_onOrthosteric Ligandhca2_on
25.00Consensusorexin_on_gpOrthosteric Ligandox2_on_gp
25.00Consensusot_offOrthosteric Ligand6TPK-OT-Retosiban
25.00Consensuspeptide_offOrthosteric Ligandcck_off angiotensin_off bombesin_off endothelin_off ghrelin_off npy_off opioid_off orexin_off somatostatin_off tachykinin_off vasop-oxy_off neurotensin_off
25.00Consensuspeptide_offon_gpOrthosteric Ligandpeptide_on_gp peptide_off
25.00Consensusprostanoid_offOrthosteric Ligandep_off dp_off
25.00Consensusprotein_onOrthosteric Ligandchemokine_on chemerin_on
25.00Consensusv2_onOrthosteric Ligand7DW9-V2-AVP-chim(NtGi1-Gs)/β1/γ2
25.00Consensusv2_on_gpOrthosteric Ligand7DW9-V2-AVP-chim(NtGi1-Gs)/β1/γ2
25.00Consensusvasop-oxy_offOrthosteric Ligandot_off
25.00Consensusvasop-oxy_onOrthosteric Ligandv2_on
25.00Consensusvasop-oxy_on_gpOrthosteric Ligandv2_on_gp
24.00Single7QBIAlpha-factor mating pheromone7QBI-STE2; STE2-α-factor mating pheromone
24.00Single8HNKCXCL118HNK-CXCR3-CXCL11-Gi1/β1/γ2
24.00Single8XQEApelin-138XQE-Apelin; Apelin-Apelin-13-Gi1/β1/γ2
24.00Consensussst5_on_gpOrthosteric Ligand8X8L-SST5-Cortistatin-14-chim(NtGi1-Gs-CtGi1)/β1/γ2 8X8N-SST5-Octreotide-chim(NtGi1-Gs-CtGi1)/β1/γ2
23.81Single6XBJCholesterol6XBJ-SMO-Cholesterol-Gi1/β1/γ2
23.81Single7YAEOctreotide7YAE-SST2-Octreotide-Gi1/β1/γ2
23.81Single7YJ4INSL57YJ4-RXFP4-INSL5-Gi2/β1/γ2
23.81Single8H4IDoconexent8H4I-FFA4-Doconexent-chim(NtGi1-Gs)/β1/γ2
23.81Single8IA7Cholecystokinin-88IA7-CCKB-Cholecystokinin-8-chim(NtGi1L-Gq)/β1/γ2
23.81Single9IPVJR14a9IPV-C3aB-JR14a-Gi1/β1/γ2
23.81Single9JF4PD1683689JF4-BB1-PD168368
23.81Single9KZ2EP679KZ2-C3aB-EP67-Go/β1/γ2
23.81Single9UMJEP549UMJ-C3aB-EP54-Go/β1/γ2
23.81Consensusdop_onOrthosteric Ligand8F7S-δ-Deltorphin-Gi1/β1/γ2
23.81Consensusox2_onOrthosteric Ligand7L1V-OX2-PubChem 155491009-chim(NtGi1-Gs-CtGq)/β1/γ2 7SQO-OX2-TAK-925-Gi1/β1/γ2 7L1U-OX2-Orexin-chim(NtGi1-Gs-CtGq)/β1/γ2
23.81Consensusox2_on_gpOrthosteric Ligand7L1V-OX2-PubChem 155491009-chim(NtGi1-Gs-CtGq)/β1/γ2 7SQO-OX2-TAK-925-Gi1/β1/γ2 7L1U-OX2-Orexin-chim(NtGi1-Gs-CtGq)/β1/γ2
23.53Single3EMLZM-2413853EML-A2A-ZM-241385
23.53Single4EIYZM-2413854EIY-A2A-ZM-241385-Na
23.53Single4YAYZD-71554YAY-AT1-ZD-7155
23.53Single5IU8Q274563475IU8-A2A-Q27456347-Na
23.53Single5K2AZM-2413855K2A-A2A-ZM-241385-Na
23.53Single5OLGZM-2413855OLG-A2A-ZM-241385-Na
23.53Single5TGZAM65385TGZ-CB1-AM6538
23.53Single5UIGPubChem 1240811965UIG-A2A-PubChem 124081196
23.53Single5VRAZM-2413855VRA-A2A-ZM-241385-Na
23.53Single5ZKPSR274175ZKP-PAF-SR27417
23.53Single6FFHFenobam6FFH-mGlu5-Fenobam
23.53Single6S0LZM-2413856S0L-A2A-ZM-241385
23.53Single7CFMP3957CFM-GPBA-P395-Gs/β1/γ2
23.53Single7PYRPSB-21157PYR-A2A-PSB-2115
23.53Single8EFQDAMGO8EFQ-μ-DAMGO-Gi1/β1/γ2
23.53Single8I7VAcipimox8I7V-HCA2-Acipimox-Gi1/β1/γ2
23.53Single8J6PNiacin8J6P-HCA2-Niacin-PubChem 25101223-Gi1/β1/γ2
23.53Single8JHNMonomethyl fumarate8JHN-HCA2-Monomethyl fumarate-Go/β1/γ2
23.53Single8JIINiacin8JII-HCA2-Niacin-PubChem 25101223-Gi1/β1/γ2
23.53Single8K5DGSK2560738K5D-HCA2-GSK256073
23.53Single8YH5Riboprine8YH5-A3A-Riboprine-Gi1/β1/γ2
23.53Single8ZBEOctreotide8ZBE-SST5-Octreotide-Gi1/β1/γ1
23.53Single8ZQEGPR15L(CT)8ZQE-GPR15-GPR15L(CT)-Gi1/β1/γ1
23.53Single9AVGCa; Ca; Cyclomethyltryptophan; R-568; PO49AVG-CaS; CaS-Ca-Ca; Ca; Cyclomethyltryptophan; R-568; PO4-chim(NtGi1-Gs)/β1/γ2
23.53Single9H37PubChem 1756706469H37-A2A-PubChem 175670646-Na
23.53Single9IYAONO-97105319IYA-GPR55-ONO-9710531
23.53Single9IZCMK19039IZC-HCA2-MK1903-Gi1/β1/γ2
23.53Single9P1SZM-2413859P1S-A2A-ZM-241385
23.53Consensusgi_hcaOrthosteric Ligand8J6R-HCA2-MK6892-Gi1/β1/γ2 8JIM-HCA2-Monomethyl fumarate-Gi1/β1/γ2 8IHI-HCA2-Acifran-Gi1/β1/γ2 8IHH-HCA2-LUF6283-Gi1/β1/γ2 8I7V-HCA2-Acipimox-Gi1/β1/γ2 8I7W-HCA2-GSK256073-Gi1/β1/γ2
23.53Consensushca2_onOrthosteric Ligand8J6R-HCA2-MK6892-Gi1/β1/γ2 8JIM-HCA2-Monomethyl fumarate-Gi1/β1/γ2 8I7V-HCA2-Acipimox-Gi1/β1/γ2 8I7W-HCA2-GSK256073-Gi1/β1/γ2 8IHH-HCA2-LUF6283-Gi1/β1/γ2 8IHI-HCA2-Acifran-Gi1/β1/γ2
23.53Consensushca2_on_gpOrthosteric Ligand8J6R-HCA2-MK6892-Gi1/β1/γ2 8IHI-HCA2-Acifran-Gi1/β1/γ2 8IHH-HCA2-LUF6283-Gi1/β1/γ2 8I7V-HCA2-Acipimox-Gi1/β1/γ2 8JIM-HCA2-Monomethyl fumarate-Gi1/β1/γ2 8I7W-HCA2-GSK256073-Gi1/β1/γ2
23.53Consensushca_on_gpOrthosteric Ligandhca2_on_gp
23.08Single6TQ9SB-4081246TQ9-OX1-SB-408124
23.08Single7DD5Ca; Ca; Tryptophan; NPS-21437DD5-CaS; CaS-Ca-Ca; Ca; Tryptophan; NPS-2143
23.08Single7F8VGastrin-177F8V-CCKB-Gastrin-17-Gi2/β1/γ2
23.08Single7QBIAlpha-factor mating pheromone7QBI-STE2; STE2-α-factor mating pheromone
23.08Single8XOFLys058XOF-GPR30-Lys05-chim(NtGi1-Gs-CtGq)/β1/γ2
23.08Single9KFKRelaxin-39KFK-RXFP4-Relaxin-3-Gi2/β1/γ2
23.08Consensusgi_peptideOrthosteric Ligandgi_cck gi_apelin gi_compl-pept gi_endothelin gi_formylpeptide gi_galanin gi_ghrelin gi_npy gi_neurotensin gi_opioid gi_orexin gi_relaxin gi_somatostatin
23.08Consensusgi_proteinOrthosteric Ligandgi_chemokine gi_chemerin
23.08Consensusprotein_on_gpOrthosteric Ligandchemokine_on_gp chemerin_on_gp
22.73Single7F8XNN90567F8X-CCKA-NN9056
22.73Single7QA8Antagonist Peptide7QA8-STE2; STE2-Antagonist Peptide
22.73Single7QA8Antagonist Peptide7QA8-STE2; STE2-Antagonist Peptide
22.73Single7TD4Siponimod7TD4-S1P1-Siponimod-Gi1/β1/γ2
22.73Single7XAUOctreotide7XAU-SST2-Octreotide-Gi1/β1/γ2
22.73Single8F7XNociceptin8F7X-NOP-Nociceptin-Gi1/β1/γ2
22.73Single8WZ2Orexigenic Neuropeptide QRFP8WZ2-QRFP-Orexigenic Neuropeptide QRFP-chim(NtGi1L-Gs-CtGq)/β1/γ2
22.73Single9L3YChemerin9L3Y-CML2-Chemerin-Gi1/β1/γ2
22.73Single9UMRC5a-pep9UMR-C5a1-C5a-pep-Go/β1/γ2
22.73Consensuslpl_onOrthosteric Ligands1p_on lpa_on
22.73Consensuslpl_on_gpOrthosteric Ligands1p_on_gp lpa_on_gp
22.73Consensusnop_onOrthosteric Ligand8F7X-NOP-Nociceptin-Gi1/β1/γ2
22.73Consensusnop_on_gpOrthosteric Ligand8F7X-NOP-Nociceptin-Gi1/β1/γ2
22.22Single4NTJAZD12834NTJ-P2Y12-AZD1283
22.22Single5IUAQ274563485IUA-A2A-Q27456348-Na
22.22Single5N2RPSB365N2R-A2A-PSB36-Na
22.22Single5N2SPSB365N2S-A1-PSB36
22.22Single6D26Fevipiprant6D26-DP2-Fevipiprant
22.22Single6LPLZM-2413856LPL-A2A-ZM-241385-Na
22.22Single6S0QZM-2413856S0Q-A2A-ZM-241385
22.22Single6WQAZM-2413856WQA-A2A-ZM-241385-Na
22.22Single7C4SS1P7C4S-S1P3-S1P
22.22Single7E9GJNJ-404118137E9G-mGlu2; mGlu2-Eglumetad-JNJ-40411813-Gi1/β1/γ2
22.22Single7EIBKallidin-des-Arg107EIB-BK1-Kallidin-des-Arg10-chim(NtGi1-Gs-CtGq)/β1/γ2
22.22Single7EO2FTY720-P7EO2-S1P1-FTY720-P-Gi1/β1/γ2
22.22Single7M3GCa; Ca; Tryptophan; Evocalcet; Etelcalcetide; PO47M3G-CaS; CaS-Ca; Ca; Tryptophan; Evocalcet; Etelcalcetide; PO4
22.22Single7QBCAlpha-factor mating pheromone7QBC-STE2; STE2-α-factor mating pheromone
22.22Single7RM5ZM-2413857RM5-A2A-ZM-241385-Na
22.22Single7TD3S1P7TD3-S1P1-S1P-Gi1/β1/γ2
22.22Single7WIGL-0542647WIG-SST2-L-054264-Gi1/β1/γ2
22.22Single7XATSomatostatin-147XAT-SST2-Somatostatin-14-Gi1/β1/γ2
22.22Single8FEG(DNCP)-Beta-Naloxamine8FEG-κ-(DNCP)-β-Naloxamine-Gi1/β1/γ2
22.22Single8FYNZM-2413858FYN-A2A-ZM-241385-Na
22.22Single8GDCPGE28GDC-EP3-PGE2-Gi1/β1/γ2
22.22Single8GNEKW-63568GNE-A2A-KW-6356-Na
22.22Single8I7WGSK2560738I7W-HCA2-GSK256073-Gi1/β1/γ2
22.22Single8K8JFenofibrate8K8J-CB1-Fenofibrate-chim(Gs-CtGq)/β1/γ2
22.22Single8S4DCMF-0198S4D-Apelin-CMF-019
22.22Single8TF5Oleic acid8TF5-GPR6-Oleic acid
22.22Single8UUJFCH-22964138UUJ-HCA2-FCH-2296413-Gi1/β1/γ2
22.22Single8X0CVU04244658X0C-mGlu5; mGlu5-Quisqualate-VU0424465
22.22Single8X0CVU04244658X0C-mGlu5; mGlu5-Quisqualate-VU0424465
22.22Single8X0DVU04244658X0D-mGlu5; mGlu5-Quisqualate-VU0424465
22.22Single8X0DVU04244658X0D-mGlu5; mGlu5-Quisqualate-VU0424465
22.22Single8ZJGChemerin8ZJG-CML1-Chemerin-Gi1/β1/γ2
22.22Single8ZPTPrRP208ZPT-PrRP-PrRP20-chim(NtGi1-Gs-CtGq)/β1/γ2
22.22Single9BUCCagrilintide9BUC-CT-Cagrilintide-Gs/β1/γ2
22.22Single9CIBFCH-22964139CIB-HCA2-FCH-2296413
22.22Single9EHSLUF76029EHS-A3A-LUF7602
22.22Single9IYBPGD29IYB-DP2-PGD2-A1D5Q-Gi1/β1/γ2
22.22Consensusa1_offOrthosteric Ligand5UEN-A1-DU172 5N2S-A1-PSB36
22.22Consensusblt1_offOrthosteric Ligand5X33-BLT1-BIIL260 7K15-BLT1-MKD046-Na
22.22Consensusblt_offOrthosteric Ligandblt1_off
22.22Consensuscb2_onOrthosteric Ligand8GUR-CB2-CP55940-Gi1/β1/γ2 8GUS-CB2-HU-308-Gi1/β1/γ2 8GUT-CB2-LEI-102-Gi1/β1/γ2 6KPF-CB2-AM12033-Gi1/β1/γ2 6PT0-CB2-WIN 55212-2-Gi1/β1/γ2 8GUQ-CB2-Olorinab-Gi1/β1/γ2
22.22Consensuscb2_on_gpOrthosteric Ligand8GUR-CB2-CP55940-Gi1/β1/γ2 8GUS-CB2-HU-308-Gi1/β1/γ2 8GUT-CB2-LEI-102-Gi1/β1/γ2 6KPF-CB2-AM12033-Gi1/β1/γ2 6PT0-CB2-WIN 55212-2-Gi1/β1/γ2 8GUQ-CB2-Olorinab-Gi1/β1/γ2
22.22Consensusdp2_offOrthosteric Ligand6D26-DP2-Fevipiprant
22.22Consensusdp_offOrthosteric Liganddp2_off
22.22Consensuspeptide_onOrthosteric Ligandcck_on angiotensin_on apelin_on bombesin_on bradykinin_on compl-peptide_on endothelin_on formylpeptide_on galanin_on ghrelin_on kisspeptin_on melanocortin_on motilin_on neuromedin-u_on npy_on neurotensin_on opioid_on orexin_on relaxin_on somatostatin_on tachykinin_on trh_on vasop-oxy_on
22.22Consensuspeptide_on_gpOrthosteric Ligandcck_on_gp angiotensin_on_gp apelin_on_gp bombesin_on_gp bradykinin_on_gp compl-peptide_on_gp endothelin_on_gp formylpeptide_on_gp galanin_on_gp ghrelin_on_gp kisspeptin_on_gp melanocortin_on_gp motilin_on_gp neuromedin-u_on_gp npy_on_gp neurotensin_on_gp opioid_on_gp orexin_on_gp relaxin_on_gp somatostatin_on_gp tachykinin_on_gp trh_on_gp vasop-oxy_on_gp
22.22Consensuss1p_offOrthosteric Ligands1p1_off s1p5_off
21.74Single5XJM(Sar1,Ile8)-Angiotensin II5XJM-AT2-(Sar1,Ile8)-Angiotensin II
21.74Single7EZKCholecystokinin-87EZK-CCKA-Cholecystokinin-8-chim(NtGi1-Gs)/β1/γ2
21.74Single7WJ5Somatostatin-147WJ5-SST2-Somatostatin-14-Gi1/β1/γ2
21.74Single7XMSSomatostatin-147XMS-SST4-Somatostatin-14-Gi1/β1/γ2
21.74Single8F7SDeltorphin8F7S-δ-Deltorphin-Gi1/β1/γ2
21.74Single8JZZC5a-des-Arg8JZZ-C5a1-C5a-des-Arg-Go/β1/γ2
21.74Single9E82CXCL12 (fragment)9E82-ACKR3-CXCL12 (fragment)-Arrestin2
21.74Single9L60Dynorphin9L60-κ-Dynorphin-MPAM-15-Gi1/β1/γ2
21.74Single9UMXEP549UMX-C5a1-EP54-Go/β1/γ2
21.74Consensusdop_on_gpOrthosteric Ligand8F7S-δ-Deltorphin-Gi1/β1/γ2
21.43Single6FK9PubChem 1324730366FK9-Rhodopsin-PubChem 132473036
21.43Single6IGLIRL16206IGL-ETB-IRL1620
21.43Single7DD7Ca; Ca; Tryptophan; Evocalcet7DD7-CaS; CaS-Ca-Ca; Ca; Tryptophan; Evocalcet
21.43Single7QBCAlpha-factor mating pheromone7QBC-STE2; STE2-α-factor mating pheromone
21.43Single7TS0Urocortin7TS0-CRF2-Urocortin-chim(NtGi1L-Go)/β1/γ2
21.43Single7WC5Psilocin7WC5-5-HT2A-Psilocin
21.43Single8J21Butyric acid8J21-FFA3-Butyric acid-Gi1/β1/γ2
21.43Single8J24Acetic acid8J24-FFA2-Acetic acid-Gi1/β1/γ2
21.43Single8SZFCa; Ca; Tryptophan; Cinacalcet; PO4; Spermine8SZF-CaS; CaS-Ca; Ca; Tryptophan; Cinacalcet; PO4; Spermine
21.43Single8X9UMetenolone8X9U-ADGRD1-Metenolone-chim(NtGi1-Gs)/β1/γ2
21.43Single9JG1Adriforant9JG1-H4-Adriforant
21.43Single9JHJC18:0 Ceramide9JHJ-FPR2-ALX-C18:0 Ceramide-Gi1/β1/γ2
21.43Single9JKT(2R)-2-hydroxy-3-phenylpropanoic acid9JKT-HCA3-(2R)-2-hydroxy-3-phenylpropanoic acid-Gi1/β1/γ2
21.43Single9KT93,5-DHBA9KT9-HCA1-3,5-DHBA-Gi1/β1/γ2
21.43Consensusbk2_onOrthosteric Ligand7F6H-BK2-Bradykinin-Gq/β1/γ2 7F6I-BK2-Kallidin-Gq/β1/γ2
21.43Consensusbk2_on_gpOrthosteric Ligand7F6H-BK2-Bradykinin-Gq/β1/γ2 7F6I-BK2-Kallidin-Gq/β1/γ2
21.43Consensusbradykinin_onOrthosteric Ligandbk2_on
21.43Consensusbradykinin_on_gpOrthosteric Ligandbk2_on_gp
21.43Consensusetb_onOrthosteric Ligand8IY5-ETB-Endothelin-1-Gi1/β1/γ2 8HBD-ETB-IRL1620-Gi1/β1/γ2
21.43Consensusffa3_onOrthosteric Ligand8J21-FFA3-Butyric acid-Gi1/β1/γ2
21.43Consensusffa3_on_gpOrthosteric Ligand8J21-FFA3-Butyric acid-Gi1/β1/γ2
21.43Consensusgq_bradykininOrthosteric Ligand7F6H-BK2-Bradykinin-Gq/β1/γ2 7F6I-BK2-Kallidin-Gq/β1/γ2
21.05Single4OO9Mavoglurant4OO9-mGlu5-Mavoglurant
21.05Single4Z34ONO-97803074Z34-LPA1-ONO-9780307
21.05Single5XR8AM120335XR8-CB1-AM12033
21.05Single6RZ5Zafirlukast6RZ5-CysLT1-Zafirlukast-Na
21.05Single7EW3S1P7EW3-S1P3-S1P-Gi1/β1/γ2
21.05Single7M8W15r-Methyl-PGD27M8W-DP2-15r-Methyl-PGD2-Na
21.05Single7PX4PSB-21137PX4-A2A-PSB-2113
21.05Single7TUYGSK682753A7TUY-GPR183-GSK682753A
21.05Single7WV9CP559407WV9-CB1-CP55940-ZCZ011-Gi2/β1/γ2
21.05Single8HPTC5a (C-terminal peptide)8HPT-C5a1-C5a (C-terminal peptide)-Go/β1/γ2
21.05Single8I2GPubChem 675302408I2G-FSH-FSH-PubChem 67530240-Gs/β1/γ2
21.05Single8IHBGSK2560738IHB-HCA2-GSK256073-Gi1/β1/γ2
21.05Single8IHHLUF62838IHH-HCA2-LUF6283-Gi1/β1/γ2
21.05Single8JD5JNJ-40411813; ADX881788JD5-mGlu2; mGlu4-Glutamate-JNJ-40411813; ADX88178-Gi1/β1/γ2
21.05Single8TAOCDPPB8TAO-mGlu5; mGlu5-Quisqualate-CDPPB
21.05Single8X0BVU04244658X0B-mGlu5; mGlu5-Quisqualate-VU0424465
21.05Single8X0FVU298X0F-mGlu5; mGlu5-Quisqualate-VU29
21.05Single8XIPPasireotide8XIP-SST1-Pasireotide-chim(NtGi1-Gs-CtGi1)/β1/γ2
21.05Single8Y73Peptide8Y73-μ-Peptide-MPAM-15-Gi1/β1/γ2
21.05Single8ZWFJR14a8ZWF-C3aB-JR14a
21.05Single9B65MDMB-Fubinaca9B65-CB1-MDMB-Fubinaca-Gi1/β1/γ2
21.05Single9IK9Lanreotide9IK9-SST1-Lanreotide-Gi1/β1/γ2
21.05Single9JMCDS-3801b9JMC-Motilin-DS-3801b-chim(Gs-CtGq)/β1/γ2
21.05Single9KUXCMPD6449KUX-Apelin; Apelin-CMPD644-Arrestin2
21.05Consensuscyslt1_offOrthosteric Ligand6RZ5-CysLT1-Zafirlukast-Na 6RZ4-CysLT1-Pranlukast-Na
21.05Consensusgi_cannabinoidOrthosteric Ligand8GUR-CB2-CP55940-Gi1/β1/γ2 8GUS-CB2-HU-308-Gi1/β1/γ2 8GUT-CB2-LEI-102-Gi1/β1/γ2 8GUQ-CB2-Olorinab-Gi1/β1/γ2 6KPF-CB2-AM12033-Gi1/β1/γ2 6PT0-CB2-WIN 55212-2-Gi1/β1/γ2 6KPG-CB1-AM841-Gi1/β1/γ2
21.05Consensusnpy1_offOrthosteric Ligand5ZBH-Y1-BMS-193885 5ZBQ-Y1-UR-MK-299
20.83Single7MBXCholecystokinin-87MBX-CCKA-Cholecystokinin-8-Gs/β1/γ1
20.83Single7TD0LPA7TD0-LPA1-LPA-Gi1/β1/γ2
20.83Single7TD2LPA7TD2-LPA1-LPA-Gi1/β1/γ2
20.83Single8XIRPasireotide8XIR-SST3-Pasireotide-chim(NtGi1-Gs-CtGi1)/β1/γ2
20.83Single8XZGApelin-138XZG-Apelin; Apelin-Apelin-13-Gi1/β1/γ2
20.83Single8XZHMM078XZH-Apelin; Apelin-MM07-Gi1/β1/γ2
20.83Single9K27PrRP319K27-PrRP-PrRP31-chim(NtGi1-Gq)/β1/γ2
20.83Single9U4WGonadoliberin-19U4W-GnRH1-Gonadoliberin-1-chim(NtGi1L-Gs-CtGq)/β1/γ2
20.83Consensusgs_cckOrthosteric Ligand7MBX-CCKA-Cholecystokinin-8-Gs/β1/γ1
20.69Single5GLHEndothelin-15GLH-ETB-Endothelin-1
20.69Single6IGKEndothelin-36IGK-ETB-Endothelin-3
20.69Single6PB0Urocortin6PB0-CRF1-Urocortin-chim(NtGi1-Gs)/β1/γ2
20.69Single8ZJETAK4488ZJE-Kiss1-TAK448-chim(NtGi1-Gq)/β1/γ1
20.69Consensuscrf1_onOrthosteric Ligand6PB0-CRF1-Urocortin-chim(NtGi1-Gs)/β1/γ2 6P9X-CRF1-Corticoliberin-1-Gs/β1/γ2
20.69Consensusgi_endothelinOrthosteric Ligand8IY5-ETB-Endothelin-1-Gi1/β1/γ2 8HBD-ETB-IRL1620-Gi1/β1/γ2
20.00Single5TZYMK8666; AP85TZY-FFA1-MK8666; AP8
20.00Single6FK6PubChem 1324730336FK6-Rhodopsin-PubChem 132473033
20.00Single6WI9Secretin6WI9-Secretin-Secretin-Gs/β1/γ2
20.00Single7AD3Alpha-factor mating pheromone7AD3-STE2; STE2-α-factor mating pheromone-Gi1/STE4/γ2
20.00Single7D76Beclomethasone7D76-ADGRG3-Beclomethasone-Go/β1/γ2
20.00Single7KH0AVP7KH0-V2-AVP-chim(NtGi1-Gs)/β1/γ2
20.00Single7L1UOrexin7L1U-OX2-Orexin-chim(NtGi1-Gs-CtGq)/β1/γ2
20.00Single7SUSPubChem 1227019087SUS-Apelin-PubChem 122701908
20.00Single7WUIIP157WUI-ADGRG2-IP15-chim(NtGi1-Gs)/β1/γ2
20.00Single8A2PLUAA470708A2P-A2A-LUAA47070-Na
20.00Single8HBDIRL16208HBD-ETB-IRL1620-Gi1/β1/γ2
20.00Single8IA8E7 peptide8IA8-C3aB-E7 peptide-Gi1/β1/γ2
20.00Single8IEDPubChem 1347468948IED-GPR156; GPR156-PubChem 134746894-Go/β1/γ2
20.00Single8IHIAcifran8IHI-HCA2-Acifran-Gi1/β1/γ2
20.00Single8IQ6Latanoprost8IQ6-FP-alpha-Latanoprost-chim(NtGi1-Gs-CtGq)/β1/γ2
20.00Single8IYWGSK2560738IYW-HCA2-GSK256073-Go/β1/γ2
20.00Single8JILNiacin8JIL-HCA2-Niacin-Gi1/β1/γ2
20.00Single8JPNCis-Epoxysuccinic acid8JPN-Succinate-Cis-Epoxysuccinic acid-Gi1/β1/γ1
20.00Single8WP1Cis-Epoxysuccinic acid8WP1-Succinate-Cis-Epoxysuccinic acid-Gi1/β1/γ2
20.00Single8XJNCloprosetnol8XJN-TXA2-Cloprosetnol-chim(NtGi1-Gs-CtGq)/β1/γ2
20.00Single8XWQEndothelin-18XWQ-ETB-Endothelin-1-Gi1/β1/γ2
20.00Single8YKWSuccinic acid8YKW-Succinate-Succinic acid-Gi1/β1/γ1
20.00Single9DGIZ85267113509DGI-CB1-Z8526711350
20.00Single9GGGI-BOP9GGG-TXA2-I-BOP-chim(NtGi2L-Gs-CtGq)/β1/γ2
20.00Single9IZDCHBA9IZD-HCA1-CHBA-Gi1/β1/γ2
20.00Single9KUWCMPD6449KUW-Apelin; Apelin-CMPD644-Arrestin2 ; Arrestin2
20.00Single9KZKC3a (fragment)9KZK-C3aB-C3a (fragment)-Go/β1/γ2
20.00Single9L3WChemerin9L3W-CML1-Chemerin-Gi1/β1/γ2
20.00Single9WXMGPR15L(CT)9WXM-GPR15-GPR15L(CT)-Gi3/β1/γ2
20.00Consensusapelin_onOrthosteric Ligand8XZH-Apelin; Apelin-MM07-Gi1/β1/γ2 7W0M-Apelin-PubChem 122701908-Gi1/β1/γ2 8XZJ-Apelin; Apelin-WN353-Gi1/β1/γ2 8XZF-Apelin; Apelin-WN561-Gi1/β1/γ2 8XZG-Apelin; Apelin-Apelin-13-Gi1/β1/γ2
20.00Consensusapelin_on_gpOrthosteric Ligand8XZH-Apelin; Apelin-MM07-Gi1/β1/γ2 7W0M-Apelin-PubChem 122701908-Gi1/β1/γ2 8XZJ-Apelin; Apelin-WN353-Gi1/β1/γ2 8XZF-Apelin; Apelin-WN561-Gi1/β1/γ2 8XZG-Apelin; Apelin-Apelin-13-Gi1/β1/γ2
20.00Consensuscannabinoid_onOrthosteric Ligandcb2_on cb1_on
20.00Consensuscannabinoid_on_gpOrthosteric Ligandcb2_on_gp cb1_on_gp
20.00Consensuscb1_onOrthosteric Ligand6KPG-CB1-AM841-Gi1/β1/γ2 8K8J-CB1-Fenofibrate-chim(Gs-CtGq)/β1/γ2
20.00Consensusetb_on_gpOrthosteric Ligand8IY5-ETB-Endothelin-1-Gi1/β1/γ2 8HBD-ETB-IRL1620-Gi1/β1/γ2
20.00Consensusffa2_on_gpOrthosteric Ligand8J22-FFA2-TUG-1375-Gi1/β1/γ2
20.00Consensusgi_lipidOrthosteric Ligandgi_cannabinoid gi_ffa gi_leukotriene gi_lpa gi_s1p
20.00Consensuslpl_offOrthosteric Ligands1p_off lpa_off
19.35Single6LRYSarafotoxin-B6LRY-ETB-Sarafotoxin-B
19.35Consensuscrf1_on_gpOrthosteric Ligand6PB0-CRF1-Urocortin-chim(NtGi1-Gs)/β1/γ2 6P9X-CRF1-Corticoliberin-1-Gs/β1/γ2
19.35Consensuscrf_on_gpOrthosteric Ligandcrf2_on_gp crf1_on_gp
19.35Consensusgs_peptideOrthosteric Ligandgs_cck gs_melanocortin gs_vasop-oxy
19.23Single7F6HBradykinin7F6H-BK2-Bradykinin-Gq/β1/γ2
19.23Single7XV3Lysophosphatidylserine (WJS)7XV3-GPR174-Lysophosphatidylserine (WJS)-chim(NtGi1-Gs)/β1/γ2
19.23Single8HCXEndothelin-18HCX-ETB-Endothelin-1-chim(NtGi2L-Gs-CtGq)/β1/γ2
19.23Single8WWKMCH8WWK-MCH1-MCH-Gi1/β1/γ2
19.23Single8WWMMCH8WWM-MCH1-MCH-Gi1/β1/γ2
19.23Single8ZRTEndothelin-18ZRT-ETB-Endothelin-1
19.23Single9JFYNeuropeptide-SF9JFY-NPFF2-Neuropeptide-SF-Gi1/β1/γ2
19.23Consensusgi_apelinOrthosteric Ligand8XZH-Apelin; Apelin-MM07-Gi1/β1/γ2 7W0M-Apelin-PubChem 122701908-Gi1/β1/γ2 8XZJ-Apelin; Apelin-WN353-Gi1/β1/γ2 8XZF-Apelin; Apelin-WN561-Gi1/β1/γ2 8XZG-Apelin; Apelin-Apelin-13-Gi1/β1/γ2
19.23Consensusvpac1_onOrthosteric Ligand8E3Z-VPAC1-VIP-Gs/β1/γ2
19.05Single7EZHCholecystokinin-87EZH-CCKA-Cholecystokinin-8-Gi1/β1/γ2
19.05Single7EZMCholecystokinin-87EZM-CCKA-Cholecystokinin-8-chim(NtGsL-Gq)/β1/γ2
19.05Single7MBYCholecystokinin-87MBY-CCKA-Cholecystokinin-8-chim(NtGi1L-Gs-CtGq)/β1/γ2
19.05Single7Y65C5a (C-terminal peptide)7Y65-C5a1-C5a (C-terminal peptide)-Gi1/β1/γ2
19.05Single8GAGZ85267113508GAG-CB1-Z8526711350-Gi1/β1/γ2
19.05Single8GUTLEI-1028GUT-CB2-LEI-102-Gi1/β1/γ2
19.05Single8ID8TUG-8918ID8-FFA4-TUG-891-Gi1/β1/γ2
19.05Single8XGSKisspeptin-18XGS-Kiss1-Kisspeptin-1-chim(NtGi1-Gq)/β1/γ2
19.05Single8XJOU466198XJO-TXA2-U46619-chim(NtGi1-Gs-CtGq)/β1/γ2
19.05Single8ZX4Lysophosphatidylinositol 8ZX4-GPR55-Lysophosphatidylinositol-chim(NtGi1-G13)/β1/γ2
19.05Single9GE3Lysophosphatidylinositol9GE3-GPR55-Lysophosphatidylinositol-chim(NtGi1-G13)/β1/γ2
19.05Single9GG5U466199GG5-TXA2-U46619-chim(NtGi2L-Gs-CtGq)/β1/γ2
19.05Single9IZFLPA9IZF-LPA1-LPA-Gi1/β1/γ2
19.05Single9KT8Acifran9KT8-HCA2-Acifran-Gi1/β1/γ2
19.05Single9VI9RFRP-39VI9-NPFF1-RFRP-3-Gi1/β1/γ2
19.05Consensuscb1_on_gpOrthosteric Ligand6KPG-CB1-AM841-Gi1/β1/γ2 8K8J-CB1-Fenofibrate-chim(Gs-CtGq)/β1/γ2
19.05Consensuscck_onOrthosteric Ligandccka_on cckb_on
19.05Consensuscck_on_gpOrthosteric Ligandccka_on_gp cckb_on_gp
19.05Consensusccka_onOrthosteric Ligand7EZH-CCKA-Cholecystokinin-8-Gi1/β1/γ2
19.05Consensusccka_on_gpOrthosteric Ligand7EZH-CCKA-Cholecystokinin-8-Gi1/β1/γ2
19.05Consensusfp-alpha_onOrthosteric Ligand8IUK-FP-alpha-PGF2-α-chim(NtGi1-Gs-CtGq)/β1/γ2 8IUL-FP-alpha-Latanoprost-chim(NtGi1-Gs-CtGq)/β1/γ2 8IUM-FP-alpha-Tafluprost acid-chim(NtGi1-Gs-CtGq)/β1/γ2
19.05Consensusfp-alpha_on_gpOrthosteric Ligand8IUK-FP-alpha-PGF2-α-chim(NtGi1-Gs-CtGq)/β1/γ2 8IUL-FP-alpha-Latanoprost-chim(NtGi1-Gs-CtGq)/β1/γ2 8IUM-FP-alpha-Tafluprost acid-chim(NtGi1-Gs-CtGq)/β1/γ2
19.05Consensusnk2_onOrthosteric Ligand7XWO-NK2-Neurokinin-A-chim(NtGi1-Gs-CtGq)/β1/γ2
19.05Consensusprostanoid_onOrthosteric Ligandtp_on fp-alpha_on
19.05Consensusprostanoid_on_gpOrthosteric Ligandtp_on_gp fp-alpha_on_gp
19.05Consensustp_onOrthosteric Ligand8XJO-TXA2-U46619-chim(NtGi1-Gs-CtGq)/β1/γ2
19.05Consensustp_on_gpOrthosteric Ligand8XJO-TXA2-U46619-chim(NtGi1-Gs-CtGq)/β1/γ2
18.75Single4S0VSuvorexant4S0V-OX2-Suvorexant
18.75Single5K2DZM-2413855K2D-A2A-ZM-241385-Na
18.75Single5OLHVipadenant5OLH-A2A-Vipadenant-Na
18.75Single5OLOTozadenant5OLO-A2A-Tozadenant-Na
18.75Single5OLVLUAA470705OLV-A2A-LUAA47070-Na
18.75Single6DS0LY2660976DS0-5-HT2B-LY266097
18.75Single6FKBPubChem 1324730386FKB-Rhodopsin-PubChem 132473038
18.75Single6JZHZM-2413856JZH-A2A-ZM-241385-Na
18.75Single6PS7ZM-2413856PS7-A2A-ZM-241385-Na
18.75Single6TPJSuvorexant6TPJ-OX2-Suvorexant
18.75Single7F8ULintitript7F8U-CCKA-Lintitript
18.75Single7W0MPubChem 1227019087W0M-Apelin-PubChem 122701908-Gi1/β1/γ2
18.75Single7W0OElabela7W0O-Apelin-Elabela-Gi1/β1/γ2
18.75Single7XRRLemborexant7XRR-OX2-Lemborexant
18.75Single8GNGIstradefylline8GNG-A2A-Istradefylline
18.75Single8J6LNiacin8J6L-HCA2-Niacin-Gi1/β1/γ2
18.75Single8JPPSuccinic acid8JPP-Succinate-Succinic acid-chim(Gs-CtGq)/β1/γ1
18.75Single8RW0Istradefylline8RW0-A2A-Istradefylline-Na
18.75Single8T3SButyric acid8T3S-FFA2-Butyric acid-chim(NtGi2L-Gs-CtGq)/β1/γ2
18.75Single8U8FPalmitic Acid8U8F-GPR3-Palmitic Acid-Gs/β1/γ2
18.75Single8UTDMK19038UTD-HCA2-MK1903-Gi1/β1/γ2
18.75Single9AVLCa; Ca; Cyclomethyltryptophan; R-568; PO49AVL-CaS; CaS-Ca-Ca; Ca; Cyclomethyltryptophan; R-568; PO4-Gi3/β2/γ2
18.75Single9C2FCa; Ca; Tryptophan; '54149; PO49C2F-CaS; CaS-Ca-Ca; Ca; Tryptophan; '54149; PO4
18.75Single9JKXAcifran9JKX-HCA3-Acifran-Gi1/β1/γ2
18.75Single9K6LSalicin9K6L-TAS2R16-Salicin-Gi2/β1/γ2
18.75Single9KPESalicin9KPE-TAS2R16-Salicin-Gi1/β1/γ2
18.75Single9LKDPL459LKD-OR5V1-PL45
18.75Consensusclass-a_class-b1_cons_on_gpOrthosteric Ligandclass-a_on_gp class-b1_on_gp
18.75Consensuspth2_onOrthosteric Ligand7F16-PTH2-TIP39-Gs/β1/γ2
18.52Single7RGPTirzepatide7RGP-GLP-1-Tirzepatide-chim(NtGi1-Gs)/β1/γ2
18.52Single8XQFApelin-138XQF-Apelin-Apelin-13-Gi1/β1/γ2
18.52Single8XVEBQ30208XVE-ETB-BQ3020-chim(Gs-CtGq)/β1/γ2
18.52Single9BLWCagrilintide (non-acylated)9BLW-CT (AMY1)-Cagrilintide (non-acylated)-Gs/β1/γ2; RAMP1
18.52Consensusvpac1_on_gpOrthosteric Ligand8E3Z-VPAC1-VIP-Gs/β1/γ2
18.18Single7F2OBradykinin7F2O-BK2-Bradykinin-chim(NtGi1-Gs-CtGq)/β1/γ2
18.18Single7F8WGastrin-177F8W-CCKB-Gastrin-17-chim(NtGsL-Gq)/β1/γ2
18.18Single8F7REndomorphin8F7R-μ-Endomorphin-Gi1/β1/γ2
18.18Single8IUMTafluprost acid8IUM-FP-alpha-Tafluprost acid-chim(NtGi1-Gs-CtGq)/β1/γ2
18.18Single8J22TUG-13758J22-FFA2-TUG-1375-Gi1/β1/γ2
18.18Single8X3LXWD8X3L-CB2-XWD-Gi1/β1/γ2
18.18Single8XZFWN5618XZF-Apelin; Apelin-WN561-Gi1/β1/γ2
18.18Single9IPYJR14a9IPY-C3aB-JR14a
18.18Single9IZASCH9002719IZA-HCA2-SCH900271-Gi1/β1/γ2
18.18Single9KX6C5a-des-Arg9KX6-C5a1-C5a-des-Arg-Go/β1/γ2
18.18Single9KZ8EP679KZ8-C3aB-EP67-Go/β1/γ2
18.18Single9V2NMacimorelin9V2N-Ghrelin-Macimorelin-chim(NtGi1-Gs-CtGq)/β1/γ2
18.18Consensuscxcr_on_gpOrthosteric Ligandcxcr3_on_gp cxcr4_on_gp cxcr1_on_gp cxcr2_on_gp
18.18Consensuskiss1_onOrthosteric Ligand8ZJD-Kiss1-Kisspeptin-1-chim(NtGi1-Gq)/β1/γ1
18.18Consensuskisspeptin_onOrthosteric Ligandkiss1_on
17.86Single6B3JExendin-P56B3J-GLP-1-Exendin-P5-Gs/β1/γ2
17.86Single6P9XCorticoliberin-16P9X-CRF1-Corticoliberin-1-Gs/β1/γ2
17.86Single7AD3Alpha-factor mating pheromone7AD3-STE2; STE2-α-factor mating pheromone-Gi1/STE4/γ2
17.86Single7F4FAfamelanotide7F4F-MC1-Afamelanotide-chim(NtGi1-Gs)/β1/γ2
17.86Single7TYFAmylin7TYF-CT (AMY1)-Amylin-Gs/β1/γ2; RAMP1
17.86Single8WWLMCH8WWL-MCH1-MCH-Gi1/β1/γ2
17.86Single8XWPEndothelin-18XWP-ETB-Endothelin-1-Gi1/β1/γ2
17.86Consensuscrf_onOrthosteric Ligandcrf2_on crf1_on
17.65Single3REYPubChem 56973REY-A2A-PubChem 5697
17.65Single3V2YPubChem 518926453V2Y-S1P1-PubChem 51892645
17.65Single5IU4ZM-2413855IU4-A2A-ZM-241385-Na
17.65Single5IUBQ274563445IUB-A2A-Q27456344-Na
17.65Single5K2CZM-2413855K2C-A2A-ZM-241385-Na
17.65Single5NLXZM-2413855NLX-A2A-ZM-241385-Na
17.65Single5NM4ZM-2413855NM4-A2A-ZM-241385-Na
17.65Single6FK8PubChem 1324730356FK8-Rhodopsin-PubChem 132473035
17.65Single6MH8ZM-2413856MH8-A2A-ZM-241385
17.65Single6TP3Nemorexant6TP3-OX1-Nemorexant
17.65Single6ZDVPubChem 9840736ZDV-A2A-PubChem 984073-Na
17.65Single7AROLUF58337ARO-A2A-LUF5833-Na
17.65Single7BB6AVP7BB6-V2-AVP-Gs/β1/γ2
17.65Single7YK6PubChem 1383196747YK6-RXFP4-PubChem 138319674-Gi2/β1/γ2
17.65Single8GUQOlorinab8GUQ-CB2-Olorinab-Gi1/β1/γ2
17.65Single8IHKAcifran8IHK-HCA3-Acifran
17.65Single8K4SDCA-3P8K4S-MRGPRX4-DCA-3P-chim(NtGi1L-Gs-CtGq)/β1/γ2
17.65Single8K9LDAMGO8K9L-μ-DAMGO-BMS-986122-Gi3/β1/γ1
17.65Single8RWCStilSwitch28RWC-A2A-StilSwitch2-Na
17.65Single8RWDStilSwitch38RWD-A2A-StilSwitch3-Na
17.65Single8RWIStilSwitch28RWI-A2A-StilSwitch2-Na
17.65Single8YKVPubChem 1375531688YKV-Succinate-PubChem 137553168-Gi1/β1/γ2
17.65Single9K1DButyric acid9K1D-FFA2-Butyric acid-Gi1/β1/γ2
17.65Single9LKBPL459LKB-OR5V1-PL45-chim(NtGi1-Gs)/β1
17.65Consensusghrelin_offOrthosteric Ligand6KO5-Ghrelin-PubChem 57400002 7F83-Ghrelin-PF-05190457
17.39Single6WIVPubChem 52923113; PubChem 529246456WIV-GABAB1, GABAB2-PubChem 52923113; PubChem 52924645
17.39Single7F4ISHU91197F4I-MC1-SHU9119-chim(NtGi1-Gs)/β1/γ2
17.39Single7XMRSomatostatin-147XMR-SST2-Somatostatin-14-Gi1/β1/γ2
17.39Single8GHVAMG3158GHV-CB1-AMG315-Gi1/β1/γ2
17.39Single8IEBPubChem 1347468948IEB-GPR156; GPR156-PubChem 134746894
17.39Single8IZBLysophosphatidylserine (UBL)8IZB-GPR174-Lysophosphatidylserine (UBL)-Gs/β1/γ2
17.39Single8ZCJPasireotide8ZCJ-SST5-Pasireotide-Gi1/β1/γ1
17.39Single8ZJDKisspeptin-18ZJD-Kiss1-Kisspeptin-1-chim(NtGi1-Gq)/β1/γ1
17.39Consensusgq_kisspeptinOrthosteric Ligand8ZJD-Kiss1-Kisspeptin-1-chim(NtGi1-Gq)/β1/γ1
17.39Consensuskiss1_on_gpOrthosteric Ligand8ZJD-Kiss1-Kisspeptin-1-chim(NtGi1-Gq)/β1/γ1
17.39Consensuskisspeptin_on_gpOrthosteric Ligandkiss1_on_gp
17.39Consensussst5_onOrthosteric Ligand8X8L-SST5-Cortistatin-14-chim(NtGi1-Gs-CtGi1)/β1/γ2 8X8N-SST5-Octreotide-chim(NtGi1-Gs-CtGi1)/β1/γ2
17.24Single6PB1Urocortin6PB1-CRF2-Urocortin-chim(NtGi1-Gs)/β1/γ2
17.24Single8F0KPramlintide Analogue San3858F0K-CT (AMY3)-Pramlintide Analogue San385-Gs/β1/γ2; RAMP3
17.24Single8IY5Endothelin-18IY5-ETB-Endothelin-1-Gi1/β1/γ2
17.24Single8IY6Endothelin-18IY6-ETB-Endothelin-1
17.24Single8WWNMCH8WWN-MCH1-MCH-Gi1/β1/γ2
17.24Consensusendothelin_onOrthosteric Ligandetb_on eta_on
17.14Consensuspth2_on_gpOrthosteric Ligand7F16-PTH2-TIP39-Gs/β1/γ2
16.67Single5MZPCaffeine5MZP-A2A-Caffeine-Na
16.67Single5UENDU1725UEN-A1-DU172
16.67Single6D27CAY104716D27-DP2-CAY10471
16.67Single6FK7PubChem 1324730346FK7-Rhodopsin-PubChem 132473034
16.67Single6FKCPubChem 1324730396FKC-Rhodopsin-PubChem 132473039
16.67Single6FKDPubChem 1373491836FKD-Rhodopsin-PubChem 137349183
16.67Single6GPSMK08126GPS-CCR2-MK0812
16.67Single6IIVDaltroban6IIV-TXA2-Daltroban
16.67Single6KPFAM120336KPF-CB2-AM12033-Gi1/β1/γ2
16.67Single6LPJZM-2413856LPJ-A2A-ZM-241385-Na
16.67Single6LPKZM-2413856LPK-A2A-ZM-241385-Na
16.67Single6XBM25(S)-Epoxycholesterol6XBM-SMO-25(S)-Epoxycholesterol-Gi1/β1/γ2
16.67Single6Z10PubChem 1545855546Z10-Succinate-PubChem 154585554
16.67Single7F83PF-051904577F83-Ghrelin-PF-05190457
16.67Single7PP1Selatogrel7PP1-P2Y12-Selatogrel
16.67Single7RKMCX3CL17RKM-US28-CX3CL1-Gi1/β1/γ2
16.67Single7V3ZCP559407V3Z-CB1-CP55940
16.67Single7W0NElabela7W0N-Apelin; Apelin-Elabela-Gi1/β1/γ2
16.67Single7YK7DC5910537YK7-RXFP4-DC591053-Gi2/β1/γ2
16.67Single8EJKTAK-8758EJK-FFA1-TAK-875-chim(NtGi1L-Gs-CtGq)/β1/γ2
16.67Single8F7WDynorphin8F7W-κ-Dynorphin-Gi1/β1/γ2
16.67Single8IHJAcifran8IHJ-HCA3-Acifran-Gi1/β1/γ2
16.67Single8KEXDCA-3P8KEX-MRGPRX4-DCA-3P
16.67Single8RW7StilSwitch18RW7-A2A-StilSwitch1-Na
16.67Single8RWXStilSwitch38RWX-A2A-StilSwitch3-Na
16.67Single8X9TAP5038X9T-ADGRD1-AP503-chim(NtGi1-Gs)/β1/γ2
16.67Single8XYDPlatelet Activating Factor8XYD-PAF-Platelet Activating Factor-Gi1/β1/γ2
16.67Single8Z7JJN241-98Z7J-Apelin-JN241-9-Gi1/β1/γ2
16.67Single9IQVMuscarinic toxin 39IQV-Alpha1A-Muscarinic toxin 3
16.67Single9JFK(Pen5)-Urotensin II9JFK-UT-(Pen5)-Urotensin II-chim(NtGi2L-Gs-CtGq)/β1/γ2
16.67Single9KFIRelaxin-39KFI-RXFP3-Relaxin-3-Gi2/β1/γ2
16.67Consensuscck_offOrthosteric Ligandccka_off
16.67Consensusccka_offOrthosteric Ligand7F8Y-CCKA-Devazepide 7F8U-CCKA-Lintitript
16.67Consensuscckb_onOrthosteric Ligand8IA7-CCKB-Cholecystokinin-8-chim(NtGi1L-Gq)/β1/γ2 7XOW-CCKB-Sulfated Gastrin-(10-17)-chim(NtGi1-Gq)/β1/γ2 7F8V-CCKB-Gastrin-17-Gi2/β1/γ2
16.67Consensusccr2_offOrthosteric Ligand6GPS-CCR2-MK0812
16.67Consensusclass-a_class-b1_cons_onOrthosteric Ligandclass-a_on class-b1_on
16.67Consensusgi_cckOrthosteric Ligand7EZH-CCKA-Cholecystokinin-8-Gi1/β1/γ2 7F8V-CCKB-Gastrin-17-Gi2/β1/γ2
16.67Consensusnucleotide_offonOrthosteric Ligandnucleotide_off nucleotide_on
16.67Consensusnucleotide_offon_gpOrthosteric Ligandnucleotide_on_gp nucleotide_off
16.13Single6LPBPACAP276LPB-PAC1-PACAP27-Gs/β1/γ1
16.13Single7TZFAmylin7TZF-CT (AMY3)-Amylin-Gs/β1/γ2; RAMP3
16.13Consensusendothelin_on_gpOrthosteric Ligandetb_on_gp eta_on_gp
16.00Single6UUNAdrenomedullin6UUN-CT Like (AM1)-Adrenomedullin-Gs/β1/γ2; RAMP2
16.00Single6VN7PACAP276VN7-VPAC1-PACAP27-Gs/β1/γ2
16.00Single7XOUCholecystokinin-87XOU-CCKA-Cholecystokinin-8-Gs/β1/γ2
16.00Single8K6NNeuropeptide-Y8K6N-Y2-Neuropeptide-Y-Gi2/β1/γ1
16.00Single9M1ONeuropeptide-FF9M1O-NPFF2-Neuropeptide-FF-Gi1/β1/γ2
16.00Single9UYIChemerin-99UYI-CML2-Chemerin-9-Arrestin2
16.00Consensuscckb_on_gpOrthosteric Ligand8IA7-CCKB-Cholecystokinin-8-chim(NtGi1L-Gq)/β1/γ2 7XOW-CCKB-Sulfated Gastrin-(10-17)-chim(NtGi1-Gq)/β1/γ2 7F8V-CCKB-Gastrin-17-Gi2/β1/γ2
15.79Single4PHUFasiglifam4PHU-FFA1-Fasiglifam
15.79Single5ZBQUR-MK-2995ZBQ-Y1-UR-MK-299
15.79Single6GPXMK08126GPX-CCR2-MK0812
15.79Single6KPCAM120336KPC-CB2-AM12033
15.79Single6M9TMisoprostol-FA6M9T-EP3-Misoprostol-FA
15.79Single6RZ4Pranlukast6RZ4-CysLT1-Pranlukast-Na
15.79Single7Y26Octreotide7Y26-SST2-Octreotide-chim(NtGi2L-Gs-CtGq)/β1/γ2
15.79Single8EJCTAK-8758EJC-FFA1-TAK-875-chim(NtGi1L-Gs-CtGq)/β1/γ2
15.79Single8GD9Rivenprost8GD9-EP4-Rivenprost-Gs/β1/γ2
15.79Single8KFXLMD-0098KFX-CCR8-LMD-009-Gi1/β1/γ2
15.79Single8X0BVU04244658X0B-mGlu5; mGlu5-Quisqualate-VU0424465
15.79Single8ZVZBW245C8ZVZ-DP1-BW245C-Gs/β1/γ2
15.79Single9EE5ONO-25502899EE5-DP1-ONO-2550289
15.79Single9EKHONO-30302979EKH-DP1-ONO-3030297
15.79Single9ERXD9-THC analog9ERX-CB1-D9-THC analog-Gi1/β1/γ2
15.79Single9GE2ML1849GE2-GPR55-ML184-chim(NtGi1-G13)/β1/γ2
15.79Single9HC04YI9HC0-mGlu5-4YI
15.79Single9JKSPubChem 442501769JKS-HCA3-PubChem 44250176-Gi1/β1/γ2
15.79Single9KT6Acifran9KT6-HCA3-Acifran-Gi1/β1/γ2
15.79Single9KUTJR14a9KUT-C3aB-JR14a-Go/β1/γ2
15.79Consensuscyslt_offOrthosteric Ligandcyslt2_off cyslt1_off
15.79Consensuslipid_onOrthosteric Ligandcannabinoid_on ffa_on lpl_on prostanoid_on leukotriene_on
15.79Consensuslipid_on_gpOrthosteric Ligandcannabinoid_on_gp ffa_on_gp lpl_on_gp prostanoid_on_gp leukotriene_on_gp
15.79Consensusrxfp4_onOrthosteric Ligand7YK7-RXFP4-DC591053-Gi2/β1/γ2 7YJ4-RXFP4-INSL5-Gi2/β1/γ2 7YK6-RXFP4-PubChem 138319674-Gi2/β1/γ2
15.79Consensusrxfp4_on_gpOrthosteric Ligand7YK7-RXFP4-DC591053-Gi2/β1/γ2 7YJ4-RXFP4-INSL5-Gi2/β1/γ2 7YK6-RXFP4-PubChem 138319674-Gi2/β1/γ2
15.62Consensusglp1_on_gpOrthosteric Ligand7S1M-GLP-1-Exendin-4-D-Ala-Gs/β1/γ2 7X8R-GLP-1-BOC5-Gs/β1/γ2 6X19-GLP-1-CHU-128-Gs/β1/γ2 6X1A-GLP-1-Danuglipron-Gs/β1/γ2 6X18-GLP-1-GLP-1-Gs/β1/γ2 8JIP-GLP-1-MEDI0382-chim(NtGi1-Gs)/β1/γ2 7C2E-GLP-1-PubChem 149050799-Gs/β1/γ2 7KI0-GLP-1-Semaglutide-Gs/β1/γ2 7KI1-GLP-1-Taspoglutide-Gs/β1/γ2 7X8S-GLP-1-WB4-24-Gs/β1/γ2 8JIS-GLP-1-Peptide-15-chim(NtGi1-Gs)/β1/γ2 7VBI-GLP-1-Tirzepatide (non-acylated)-Gs/β1/γ2
15.62Consensuspth1_on_gpOrthosteric Ligand6NBF-PTH1-LA-PTH Analog-Gs/β1/γ2 8HA0-PTH1-PTH-chim(NtGi1-Gs)/β1/γ2 8HAF-PTH1-PTHrP(1-36)-chim(NtGi1-Gs)/β1/γ2 7Y36-PTH1-PTH-Gs/β1/γ2 7Y35-PTH1-Abaloparatide-Gs/β1/γ2
15.38Single5MZJTheophylline5MZJ-A2A-Theophylline-Na
15.38Single5WB2CX3CL1.355WB2-US28-CX3CL1.35
15.38Single7F4HAfamelanotide7F4H-MC1-Afamelanotide-chim(NtGi1-Gs)/β1/γ2
15.38Single7FIMTirzepatide7FIM-GLP-1-Tirzepatide-Gs/β1/γ2
15.38Single7T10Somatostatin-147T10-SST2-Somatostatin-14-Gi3/β1/γ2
15.38Single7V9MSomatoliberin7V9M-GHRH (SV1)-Somatoliberin-Gs/β1/γ2
15.38Single8IEDPubChem 1347468948IED-GPR156; GPR156-PubChem 134746894-Go/β1/γ2
15.38Single8PWNTheophylline8PWN-A2A-Theophylline
15.38Single8WSTMCH8WST-MCH2-MCH-chim(NtGi1L-Gs-CtGq)/β1/γ2
15.38Single9BLCCagrilintide (non-acylated)9BLC-CT-Cagrilintide (non-acylated)-Gs/β1/γ2
15.38Single9BUDCagrilintide9BUD-CT-Cagrilintide-Gs/β1/γ2
15.38Single9JKVPubChem 27366909JKV-HCA3-PubChem 2736690-Gi1/β1/γ2
15.38Consensuscrf2_onOrthosteric Ligand7TS0-CRF2-Urocortin-chim(NtGi1L-Go)/β1/γ2
15.38Consensusprotein_offonOrthosteric Ligandprotein_off protein_on
15.38Consensusprotein_offon_gpOrthosteric Ligandprotein_on_gp protein_off
15.00Single5TZRMK86665TZR-FFA1-MK8666
15.00Single5XRAAM115425XRA-CB1-AM11542
15.00Single5ZBHBMS-1938855ZBH-Y1-BMS-193885
15.00Single6N4BMDMB-Fubinaca6N4B-CB1-MDMB-Fubinaca-Gi1/β1/γ2
15.00Single6O3CCholesterol6O3C-SMO-SAG21k-Cholesterol
15.00Single7FEECP559407FEE-CB1-CP55940-ZCZ011
15.00Single7P2L4YI7P2L-mGlu5-4YI
15.00Single7T9NDPPC7T9N-TSH-M22 Fab-DPPC-Gs/β1/γ2
15.00Single7TD1LPA7TD1-LPA1-LPA-Gi1/β1/γ2
15.00Single8GUSHU-3088GUS-CB2-HU-308-Gi1/β1/γ2
15.00Single8IUKPGF2-alpha8IUK-FP-alpha-PGF2-α-chim(NtGi1-Gs-CtGq)/β1/γ2
15.00Single8JZPC5a8JZP-C5a1-C5a-Go/β1/γ2
15.00Single8X79MRE-2698X79-I2-MRE-269-Gs/β1/γ2
15.00Single9CLWTUG-13759CLW-FFA2-TUG-1375-4-CMTB-chim(NtGi1L-Gs-CtGq)/β1/γ2
15.00Single9E9SPGD29E9S-DP1-PGD2-Gs/β1/γ1
15.00Single9EGOZ85267113509EGO-CB1-Z8526711350-Gi1/β1/γ2
15.00Single9ITELPA9ITE-LPA6-LPA-chim(NtGi2-G13)/β1/γ2
15.00Single9RHGC4079RHG-FZD7-C407
15.00Single9UY3Anamorelin9UY3-Ghrelin-Anamorelin-chim(NtGi1-Gs-CtGq)/β1/γ2
15.00Consensusffa2_onOrthosteric Ligand8J22-FFA2-TUG-1375-Gi1/β1/γ2
15.00Consensusffa_onOrthosteric Ligandffa2_on ffa3_on
15.00Consensusffa_on_gpOrthosteric Ligandffa2_on_gp ffa3_on_gp
15.00Consensusgi_ffaOrthosteric Ligand8J21-FFA3-Butyric acid-Gi1/β1/γ2 8J22-FFA2-TUG-1375-Gi1/β1/γ2
15.00Consensusgi_relaxinOrthosteric Ligand7YK7-RXFP4-DC591053-Gi2/β1/γ2 7YJ4-RXFP4-INSL5-Gi2/β1/γ2 7YK6-RXFP4-PubChem 138319674-Gi2/β1/γ2
15.00Consensusnpy_offOrthosteric Ligandnpy1_off npy2_off
15.00Consensusprotein_offOrthosteric Ligandchemokine_off grh_off
15.00Consensusrelaxin_onOrthosteric Ligandrxfp4_on
15.00Consensusrelaxin_on_gpOrthosteric Ligandrxfp4_on_gp
14.81Single7F6IKallidin7F6I-BK2-Kallidin-Gq/β1/γ2
14.81Single7WBJPACAP277WBJ-VPAC1-PACAP27-Gs/β1/γ2
14.81Single7X9BNeuropeptide-Y7X9B-Y2-Neuropeptide-Y-Gi1/β1/γ2
14.81Single7X9CPancreatic Hormone7X9C-Y4-Pancreatic Hormone-Gi1/β1/γ2
14.81Single7Y64C5a7Y64-C5a1-C5a-Gi1/β1/γ2
14.81Single8E3YPACAP278E3Y-VPAC1-PACAP27-Gs/β1/γ2
14.81Single8E3ZVIP8E3Z-VPAC1-VIP-Gs/β1/γ2
14.81Single8HCQEndothelin-18HCQ-ETA-Endothelin-1-chim(NtGi1-Gs-CtGq)/β1/γ2
14.81Single8HK5C5a8HK5-C5a1-C5a-Gi1/β1/γ2
14.81Single8IODPG-9018IOD-MC5-PG-901-Ca-chim(NtGi1-Gs)/β1/γ2
14.81Single8XVHEndothelin-18XVH-ETB-Endothelin-1-chim(Gs-CtGq)/β1/γ2
14.81Single9E2AGLP-19E2A-GLP-1-GLP-1-Gs/β1/γ2
14.81Consensuseta_onOrthosteric Ligand8HCQ-ETA-Endothelin-1-chim(NtGi1-Gs-CtGq)/β1/γ2
14.81Consensuseta_on_gpOrthosteric Ligand8HCQ-ETA-Endothelin-1-chim(NtGi1-Gs-CtGq)/β1/γ2
14.81Consensusmc1_onOrthosteric Ligand7F4H-MC1-Afamelanotide-chim(NtGi1-Gs)/β1/γ2 7F4D-MC1-α-MSH-chim(NtGi1-Gs)/β1/γ2 7F4I-MC1-SHU9119-chim(NtGi1-Gs)/β1/γ2
14.81Consensusmc1_on_gpOrthosteric Ligand7F4H-MC1-Afamelanotide-chim(NtGi1-Gs)/β1/γ2 7F4D-MC1-α-MSH-chim(NtGi1-Gs)/β1/γ2 7F4I-MC1-SHU9119-chim(NtGi1-Gs)/β1/γ2
14.71Consensuspth_onOrthosteric Ligandpth1_on pth2_on
14.29Single3RFMCaffeine3RFM-A2A-Caffeine
14.29Single4N4WSANT-14N4W-SMO-SANT-1
14.29Single5X33BIIL2605X33-BLT1-BIIL260
14.29Single6AK3PGE26AK3-EP3-PGE2
14.29Single6IIURamatroban6IIU-TXA2-Ramatroban
14.29Single6KQICP559406KQI-CB1-CP55940-Org27569
14.29Single6P9YPACAP276P9Y-PAC1-PACAP27-Gs/β1/γ2
14.29Single6RZ7ONO-25703666RZ7-CysLT2-ONO-2570366
14.29Single7T6BS1P7T6B-S1P2-S1P-chim(NtGi1L-G13)/β1/γ2
14.29Single7VABTirzepatide (non-acylated)7VAB-GIP-Tirzepatide (non-acylated)-chim(NtGi1-Gs)/β1/γ2
14.29Single7W3ZGastrin Releasing Peptide7W3Z-BB2-Gastrin Releasing Peptide-chim(NtGi1L-Gq)/β1/γ2
14.29Single7XW5ML1097XW5-TSH-TSH-ML109-Gs/β1/γ2
14.29Single7XW6ML1097XW6-TSH-M22 Fab-ML109-Gs/β1/γ2
14.29Single7Y66BM2137Y66-C5a1-BM213-Gi1/β1/γ2
14.29Single8A2OTheophylline8A2O-A2A-Theophylline-Na
14.29Single8E3XPACAP278E3X-PAC1-PACAP27-Gs/β1/γ2
14.29Single8GCPPGE28GCP-EP4-PGE2-Gi1/β1/γ2
14.29Single8H0QGastrin Releasing Peptide8H0Q-BB2-Gastrin Releasing Peptide-chim(NtGi1-Gs-CtGq)/β1/γ2
14.29Single8J6DEP1418J6D-C3aB-EP141-Go/β1/γ2
14.29Single8X8NOctreotide8X8N-SST5-Octreotide-chim(NtGi1-Gs-CtGi1)/β1/γ2
14.29Single8Y02All-trans-Retinal8Y02-OPN1SW-All-trans-Retinal-Gi1/β1/γ2
14.29Single8Y6WTUG-13758Y6W-FFA2-TUG-1375-4-CMTB-Gi1/β1/γ2
14.29Single9AU0BW245C9AU0-DP1-BW245C-Gs/β1/γ2
14.29Single9BLBCagrilintide (non-acylated)9BLB-CT-Cagrilintide (non-acylated)-Gs/β1/γ2
14.29Single9BP3Cagrilintide9BP3-CT (AMY1)-Cagrilintide-Gs/β1/γ2; RAMP1
14.29Single9CM3TUG-13759CM3-FFA2-TUG-1375-PubChem 118615810-chim(NtGi1L-Gs-CtGq)/β1/γ2
14.29Single9ECJS-geranylgeranyl-L-glutathione9ECJ-P2Y8-S-geranylgeranyl-L-glutathione-G13/β1/γ2
14.29Single9IZHLPA9IZH-LPA1-LPA-chim(NtGi2-G13)/β1/γ2
14.29Single9M42A1L8O9M42-GPR139-A1L8O-chim(Gs-CtGq)/β1/γ2
14.29Single9P92VIP9P92-PAC1-VIP-Gs/β1/γ2
14.29Single9W32SSTR5 antagonist 19W32-SST5-SSTR5 antagonist 1
14.29Consensusc3a_onOrthosteric Ligand8HK2-C3aB-C3a-Gi1/β1/γ2 8IA8-C3aB-E7 peptide-Gi1/β1/γ2
14.29Consensusccr8_onOrthosteric Ligand8KFX-CCR8-LMD-009-Gi1/β1/γ2 8KFY-CCR8-ZK-756326-Gi1/β1/γ2 8U1U-CCR8-CCL1-Gi1/β1/γ2
14.29Consensuscrf2_on_gpOrthosteric Ligand7TS0-CRF2-Urocortin-chim(NtGi1L-Go)/β1/γ2
14.29Consensusgi_compl-peptOrthosteric Ligand8HK5-C5a1-C5a-Gi1/β1/γ2 8IA8-C3aB-E7 peptide-Gi1/β1/γ2 7Y66-C5a1-BM213-Gi1/β1/γ2 7Y67-C5a1-C089 peptide-Gi1/β1/γ2 8HK2-C3aB-C3a-Gi1/β1/γ2 7Y64-C5a1-C5a-Gi1/β1/γ2
14.29Consensuslipid_offonOrthosteric Ligandlipid_off lipid_on
14.29Consensuslipid_offon_gpOrthosteric Ligandlipid_on_gp lipid_off
14.29Consensusnpy4_onOrthosteric Ligand7X9C-Y4-Pancreatic Hormone-Gi1/β1/γ2
14.29Consensusnpy4_on_gpOrthosteric Ligand7X9C-Y4-Pancreatic Hormone-Gi1/β1/γ2
14.29Consensuspac1_onOrthosteric Ligand8E3X-PAC1-PACAP27-Gs/β1/γ2 6M1H-PAC1-Maxadilan-Gs/β1/γ2
14.29Consensuspac1_on_gpOrthosteric Ligand8E3X-PAC1-PACAP27-Gs/β1/γ2 6M1H-PAC1-Maxadilan-Gs/β1/γ2
14.29Consensuspac_on_gpOrthosteric Ligandpac1_on_gp
14.29Consensussecretin_onOrthosteric Ligand7D3S-Secretin-Secretin-Gs/β1/γ2
13.89Single7F16TIP397F16-PTH2-TIP39-Gs/β1/γ2
13.89Consensusclass-b1_onOrthosteric Ligandglucagon_on vip-pacap_on pth_on crf_on calcitonin_on
13.79Single6VCBGLP-16VCB-GLP-1-GLP-1-LSN3160440-Gs/β1/γ2
13.79Single7F53Alpha-MSH7F53-MC4-α-MSH-Gs/β1/γ2
13.79Single7TYNCalcitonin-17TYN-CT-Calcitonin-1-Gs/β1/γ2
13.79Single7YOONeuropeptide-Y7YOO-Y2-Neuropeptide-Y-Gi1/β1/γ2
13.79Consensusglp2_onOrthosteric Ligand7D68-GLP-2-GLP-2-Gs/β1/γ2
13.79Consensusglp2_on_gpOrthosteric Ligand7D68-GLP-2-GLP-2-Gs/β1/γ2
13.79Consensusglp_onOrthosteric Ligandglp1_on glp2_on
13.79Consensusglp_on_gpOrthosteric Ligandglp1_on_gp glp2_on_gp
13.79Consensusnpy2_onOrthosteric Ligand7YOO-Y2-Neuropeptide-Y-Gi1/β1/γ2
13.79Consensusnpy2_on_gpOrthosteric Ligand7YOO-Y2-Neuropeptide-Y-Gi1/β1/γ2
13.79Consensusp2y10_on_gpOrthosteric Ligand8KGG-P2Y10-Lysophosphatidylserine (WJS)-chim(NtGi2-G13)/β1/γ2
13.79Consensussecretin_on_gpOrthosteric Ligand7D3S-Secretin-Secretin-Gs/β1/γ2
13.64Single6KPGAM8416KPG-CB1-AM841-Gi1/β1/γ2
13.64Single6RZ9ONO-27703726RZ9-CysLT2-ONO-2770372
13.64Single7LLLExendin-47LLL-GLP-1-Exendin-4-Gs/β1/γ2
13.64Single7QVMOxytocin7QVM-OT-Oxytocin-chim(NtGi1-Go-CtGq)/β1/γ2
13.64Single7YU8ONO-07405567YU8-LPA1-ONO-0740556-Gi1/β1/γ2
13.64Single8WRZAM8418WRZ-CB1-AM841-Arrestin2
13.64Single9C0KExendin-49C0K-GLP-1-Exendin-4-Gs/β1/γ2
13.64Single9KV8TLQP219KV8-C3aB-TLQP21-Go/β1/γ2
13.64Single9M1HPGE29M1H-EP1-PGE2-chim(NtGi1-Gs-CtGq)/β1/γ2
13.64Single9UYHChemerin-99UYH-CML2-Chemerin-9-Arrestin2
13.64Single9UYMChemerin-99UYM-CML2-Chemerin-9-chim(Arrestin3-CtArrestin2)
13.64Consensusc3a_on_gpOrthosteric Ligand8HK2-C3aB-C3a-Gi1/β1/γ2 8IA8-C3aB-E7 peptide-Gi1/β1/γ2
13.64Consensuscyslt2_offOrthosteric Ligand6RZ7-CysLT2-ONO-2570366 6RZ8-CysLT2-ONO-2080365 6RZ9-CysLT2-ONO-2770372
13.51Single8F0JPramlintide Analogue San458F0J-CT-Pramlintide Analogue San45-Gs/β1/γ2
13.33Single5VAIGLP-15VAI-GLP-1-GLP-1-Gs/β1/γ2
13.33Single6LMLGlucagon6LML-Glucagon-Glucagon-Gi1/β1/γ1
13.33Single6UUSAdrenomedullin6UUS-CT Like (AM2)-Adrenomedullin-Gs/β1/γ2; RAMP3
13.33Single6WZGSecretin6WZG-Secretin-Secretin-Gs/β1/γ2
13.33Single7D68GLP-27D68-GLP-2-GLP-2-Gs/β1/γ2
13.33Single7D77Hydrocortisone7D77-ADGRG3-Hydrocortisone-Go/β1/γ2
13.33Single7KI1Taspoglutide7KI1-GLP-1-Taspoglutide-Gs/β1/γ2
13.33Single7TYLAmylin7TYL-CT-Amylin-Gs/β1/γ2
13.33Single7VGXNeuropeptide-Y7VGX-Y1-Neuropeptide-Y-Gi1/β1/γ2
13.33Single8F76Propanoic acid8F76-OR51E2-Propanoic acid-Gs/β1/γ2
13.33Single8JEFPubChem 113671668JEF-HCA3-PubChem 11367166-Gi1/β1/γ2
13.33Single8KGGLysophosphatidylserine (WJS)8KGG-P2Y10-Lysophosphatidylserine (WJS)-chim(NtGi2-G13)/β1/γ2
13.33Single9BYOExendin-39BYO-GLP-1-Exendin-3-Gs/β1/γ2
13.33Single9P93VIP9P93-PAC1-VIP-Gs/β1/γ2
13.33Consensusctlike_on_gpOrthosteric Ligand6E3Y-CT Like-Calcitonin gene-related peptide-1-Gs/β1/γ2; RAMP1
13.33Consensuspth1_onOrthosteric Ligand6NBF-PTH1-LA-PTH Analog-Gs/β1/γ2 8HA0-PTH1-PTH-chim(NtGi1-Gs)/β1/γ2 8HAF-PTH1-PTHrP(1-36)-chim(NtGi1-Gs)/β1/γ2 7Y36-PTH1-PTH-Gs/β1/γ2 7Y35-PTH1-Abaloparatide-Gs/β1/γ2
13.33Consensusvip-pacap_onOrthosteric Ligandvpac_on pac_on
13.33Consensusvip-pacap_on_gpOrthosteric Ligandvpac_on_gp pac_on_gp
13.16Single8F2BPramlintide Analogue San458F2B-CT (AMY3)-Pramlintide Analogue San45-Gs/β1/γ2; RAMP3
13.16Consensuspth_on_gpOrthosteric Ligandpth1_on_gp pth2_on_gp
13.04Single6RZ6ONO-25703666RZ6-CysLT2-ONO-2570366
13.04Single7RKFCX3CL17RKF-US28-CX3CL1-GDP-chim(NtGi1-G11)/β1/γ2
13.04Single7Y1FDynorphin7Y1F-κ-Dynorphin-Gi1/β1/γ2
13.04Single8GDAL9026888GDA-EP4-L902688-Gs/β1/γ2
13.04Single8IQ4Carboprost8IQ4-FP-alpha-Carboprost-chim(NtGi1-Gs-CtGq)/β1/γ2
13.04Single8JBFSenktide8JBF-NK3-Senktide-chim(NtGi1-Gs-CtGq)/β1/γ2
13.04Single8QJ2pN1628QJ2-MC4-pN162-Gs/β1/γ2
13.04Single8Z74JN241-98Z74-Apelin; Apelin-JN241-9
13.04Single8Z74JN241-98Z74-Apelin; Apelin-JN241-9
13.04Single9CM7TUG-13759CM7-FFA2-TUG-1375-AZ-1729-Gi1/β1/γ2
13.04Single9ITBLPA9ITB-LPA6-LPA-chim(NtGi1-Gs-CtGq)/β1/γ2
13.04Single9JH6C20:0 Ceramide9JH6-CysLT2-C20:0 Ceramide-chim(NtGi1-Gs-CtGq)/β1/γ2
13.04Single9NS9TUG-13759NS9-FFA2-TUG-1375-PubChem 118615810-Gi1/β1/γ2
13.04Single9WSXEndomorphin9WSX-μ-Endomorphin-Arrestin2
13.04Consensusgq_cckOrthosteric Ligand8IA7-CCKB-Cholecystokinin-8-chim(NtGi1L-Gq)/β1/γ2 7XOW-CCKB-Sulfated Gastrin-(10-17)-chim(NtGi1-Gq)/β1/γ2 7EZM-CCKA-Cholecystokinin-8-chim(NtGsL-Gq)/β1/γ2 7F8W-CCKB-Gastrin-17-chim(NtGsL-Gq)/β1/γ2
12.90Single7DUQGLP-17DUQ-GLP-1-GLP-1-PubChem 156022738-Gs/β1/γ2
12.90Single7TYXAmylin7TYX-CT (AMY2)-Amylin-Gs/β1/γ2; RAMP2
12.90Consensusccr5_on_gpOrthosteric Ligand7O7F-CCR5-6P4-CCL5-Gi1/β1/γ1 7F1Q-CCR5-CCL3-Gi1/β1/γ2
12.90Consensusgi_npyOrthosteric Ligand8K6M-Y1-Neuropeptide-Y-Gi2/β1/γ1 7X9C-Y4-Pancreatic Hormone-Gi1/β1/γ2 7YOO-Y2-Neuropeptide-Y-Gi1/β1/γ2
12.90Consensusnpy_onOrthosteric Ligandnpy1_on npy2_on npy4_on
12.90Consensusnpy_on_gpOrthosteric Ligandnpy1_on_gp npy2_on_gp npy4_on_gp
12.50Single3OE9IT1t3OE9-CXCR4-IT1t
12.50Single4XT1CX3CL14XT1-US28-CX3CL1
12.50Single6RZ8ONO-20803656RZ8-CysLT2-ONO-2080365
12.50Single7F54Afamelanotide7F54-MC4-Afamelanotide-Gs/β1/γ2
12.50Single7NA7Ghrelin7NA7-Ghrelin-Ghrelin-Gi1/β1/γ2
12.50Single7VUIJNJ-635330547VUI-GPR139-JNJ-63533054-GTP-chim(Gs-CtGq)/β1/γ2
12.50Single7XKFDehydroepiandrosterone7XKF-ADGRG2-Dehydroepiandrosterone-Gs/β1/γ2
12.50Single8FLSAbaloparatide8FLS-PTH1-Abaloparatide-Gs/β1/γ2
12.50Single8FLULA-PTH Analog8FLU-PTH1-LA-PTH Analog-Gs/β1/γ2
12.50Single8IEIPubChem 1347468948IEI-GPR156; GPR156-PubChem 134746894
12.50Single8IEIPubChem 1347468948IEI-GPR156; GPR156-PubChem 134746894
12.50Single8IEPPubChem 1347468948IEP-GPR156; GPR156-PubChem 134746894
12.50Single8IEPPubChem 1347468948IEP-GPR156; GPR156-PubChem 134746894
12.50Single8K3ZCXCL128K3Z-CXCR4-CXCL12-Gi1/β1/γ1
12.50Single8RWHStilSwitch28RWH-A2A-StilSwitch2-Na
12.50Single8SZFCa; Ca; Tryptophan; Cinacalcet; PO4; Spermine8SZF-CaS; CaS-Ca; Ca; Tryptophan; Cinacalcet; PO4; Spermine
12.50Single8WKYPG-9348WKY-MC4-PG-934
12.50Single8WPUTryptophan; Cinacalcet; PO4; Ca8WPU-CaS; CaS-Tryptophan; Cinacalcet; PO4; Ca-chim(NtGi2L-Gs-CtGq)/β1/γ2
12.50Single8XGMChemerin8XGM-CML2-Chemerin-Gi1/β1/γ2
12.50Single8YKDDehydroepiandrosterone8YKD-ADGRG2-Dehydroepiandrosterone-chim(NtGi1-Gs)/β1/γ2
12.50Single8YWFRetatrutide8YWF-GLP-1-Retatrutide-chim(NtGi1-Gs)/β1/γ2
12.50Single9AUCCalcitonin gene-related peptide-19AUC-CT (AMY1)-Calcitonin gene-related peptide-1-Gs/β1/γ2; RAMP1
12.50Single9B9YTaranabant9B9Y-CB1-Taranabant
12.50Single9BKJCholecystokinin-89BKJ-CCKA-Cholecystokinin-8-chim(NtGi1-Gs-CtGq)/β1/γ2
12.50Single9C1PCa; Tryptophan; '6218; PO49C1P-CaS; CaS-Ca-Ca; Tryptophan; '6218; PO4
12.50Single9HB3Mambaquaretin-19HB3-V2-Mambaquaretin-1
12.50Single9KWGC5a9KWG-C5a1-C5a-Go/β1/γ2
12.50Single9MEJGp1209MEJ-CXCR4-Gp120
12.50Consensusclass-b1_on_gpOrthosteric Ligandglucagon_on_gp vip-pacap_on_gp pth_on_gp crf_on_gp calcitonin_on_gp
12.50Consensuscxcr4_onOrthosteric Ligand8K3Z-CXCR4-CXCL12-Gi1/β1/γ1
12.50Consensusglp1_onOrthosteric Ligand7S1M-GLP-1-Exendin-4-D-Ala-Gs/β1/γ2 7X8R-GLP-1-BOC5-Gs/β1/γ2 6X19-GLP-1-CHU-128-Gs/β1/γ2 6X1A-GLP-1-Danuglipron-Gs/β1/γ2 6X18-GLP-1-GLP-1-Gs/β1/γ2 8JIP-GLP-1-MEDI0382-chim(NtGi1-Gs)/β1/γ2 7C2E-GLP-1-PubChem 149050799-Gs/β1/γ2 7KI0-GLP-1-Semaglutide-Gs/β1/γ2 7KI1-GLP-1-Taspoglutide-Gs/β1/γ2 7X8S-GLP-1-WB4-24-Gs/β1/γ2 8JIS-GLP-1-Peptide-15-chim(NtGi1-Gs)/β1/γ2 7VBI-GLP-1-Tirzepatide (non-acylated)-Gs/β1/γ2
12.50Consensusmelanocortin_onOrthosteric Ligandmc1_on mc4_on mc2_on mc3_on mc5_on
12.50Consensusmelanocortin_on_gpOrthosteric Ligandmc1_on_gp mc4_on_gp mc2_on_gp mc3_on_gp mc5_on_gp
12.50Consensusnk3_onOrthosteric Ligand8JBF-NK3-Senktide-chim(NtGi1-Gs-CtGq)/β1/γ2
12.50Consensusnk3_on_gpOrthosteric Ligand8JBF-NK3-Senktide-chim(NtGi1-Gs-CtGq)/β1/γ2
12.50Consensusp2y_onOrthosteric Ligandp2y1_on p2y10_on p2y12_on
12.50Consensussomatostatin_offOrthosteric Ligandsst2_off
12.12Single6WPWZP37806WPW-Glucagon-ZP3780-Gs/β1/γ2
12.12Single7VVMPTH7VVM-PTH1-PTH-Gs/β1/γ2
12.00Single7C6A(Sar1,Ile8)-Angiotensin II7C6A-AT2-(Sar1,Ile8)-Angiotensin II
12.00Single7PIVAfamelanotide7PIV-MC4-Afamelanotide-Gs/β1/γ2
12.00Single7TRYUrocortin7TRY-CRF2-Urocortin-chim(NtGi1-G11)/β1/γ2
12.00Single7VBITirzepatide (non-acylated)7VBI-GLP-1-Tirzepatide (non-acylated)-Gs/β1/γ2
12.00Single7XNACYN1548067XNA-SST2-CYN154806
12.00Single8F7QBeta-Endorphin8F7Q-μ-β-Endorphin-Gi1/β1/γ2
12.00Single8IEBPubChem 1347468948IEB-GPR156; GPR156-PubChem 134746894
12.00Single8KH5Lysophosphatidylserine8KH5-GPR174-Lysophosphatidylserine-Gs/β1/γ2
12.00Single8WSSMCH8WSS-MCH1-MCH-Gi1/β1/γ1
12.00Single9EAINanobody AT2099EAI-AT1-Losartan-Nanobody AT209
12.00Single9IQSMuscarinic toxin 39IQS-M4-Muscarinic toxin 3
12.00Consensusccr8_on_gpOrthosteric Ligand8KFX-CCR8-LMD-009-Gi1/β1/γ2 8KFY-CCR8-ZK-756326-Gi1/β1/γ2 8U1U-CCR8-CCL1-Gi1/β1/γ2
12.00Consensuscompl-peptide_onOrthosteric Ligandc5a1_on c3a_on
12.00Consensusghrelin_onOrthosteric Ligand7NA7-Ghrelin-Ghrelin-Gi1/β1/γ2 7F9Z-Ghrelin-GHRP-6-chim(NtGi1-Gs-CtGq)/β1/γ2 7NA8-Ghrelin-Ibutamoren-Gi1/β1/γ2
12.00Consensusghrelin_on_gpOrthosteric Ligand7NA7-Ghrelin-Ghrelin-Gi1/β1/γ2 7F9Z-Ghrelin-GHRP-6-chim(NtGi1-Gs-CtGq)/β1/γ2 7NA8-Ghrelin-Ibutamoren-Gi1/β1/γ2
12.00Consensusgi_ghrelinOrthosteric Ligand7NA7-Ghrelin-Ghrelin-Gi1/β1/γ2 7NA8-Ghrelin-Ibutamoren-Gi1/β1/γ2
12.00Consensusmc5_onOrthosteric Ligand8INR-MC5-α-MSH-Ca-chim(NtGi1-Gs)/β1/γ2 8IOD-MC5-PG-901-Ca-chim(NtGi1-Gs)/β1/γ2
12.00Consensussst2_offOrthosteric Ligand7XNA-SST2-CYN154806
11.76Single3PWHZM-2413853PWH-A2A-ZM-241385
11.76Single7BR3Elagolix7BR3-GnRH1-Elagolix
11.76Single7SILCa; Ca; Ca; Cyclomethyltryptophan; R-568; PO47SIL-CaS; CaS-Ca-Ca; Ca; Ca; Cyclomethyltryptophan; R-568; PO4
11.76Single7SILCa; Ca; Ca; Cyclomethyltryptophan; R-568; PO47SIL-CaS; CaS-Ca-Ca; Ca; Ca; Cyclomethyltryptophan; R-568; PO4
11.76Single7TYYCalcitonin-17TYY-CT (AMY2)-Calcitonin-1-Gs/β1/γ2; RAMP2
11.76Single7VVOPTH7VVO-PTH1-PTH-Gs/β1/γ2
11.76Single7WF7S1P7WF7-S1P1-S1P-Gi1/β1/γ2
11.76Single7X9ANeuropeptide-Y7X9A-Y1-Neuropeptide-Y-Gi1/β1/γ2
11.76Single7Y36PTH7Y36-PTH1-PTH-Gs/β1/γ2
11.76Single8DWGML3828DWG-MRGPRX1-BAM8-22-ML382-chim(NtGi2L-Gs-CtGq)/β1/γ2
11.76Single8FLQPTH8FLQ-PTH1-PTH-Gs/β1/γ2
11.76Single8RVWStilSwitch38RVW-A2A-StilSwitch3-Na
11.76Single8RW4AzoSwitch28RW4-A2A-AzoSwitch2-Na
11.76Single8RWEStilSwitch48RWE-A2A-StilSwitch4-Na
11.76Single9FUPIstradefylline9FUP-A2A-Istradefylline-Na
11.76Consensusglucagon_onOrthosteric Ligandglp_on gluc_on secretin_on gip_on
11.76Consensusgnrh1_offOrthosteric Ligand7BR3-GnRH1-Elagolix
11.54Single3OE0CVX153OE0-CXCR4-CVX15
11.54Single6W25SHU91196W25-MC4-SHU9119-Ca
11.54Single7F4DAlpha-MSH7F4D-MC1-α-MSH-chim(NtGi1-Gs)/β1/γ2
11.54Single7RYCOxytocin7RYC-OT-Oxytocin-chim(NtGi2L-Gs-CtGq)/β1/γ2
11.54Single8W8YGamma-MSH8W8Y-MC3-γ-MSH-Ca-Gs/β1/γ2
11.54Single8WKZSBL-MC-318WKZ-MC4-SBL-MC-31
11.54Single9LXRLA-PTH Analog9LXR-PTH1-LA-PTH Analog-Arrestin2
11.54Consensusc5a1_onOrthosteric Ligand8HK5-C5a1-C5a-Gi1/β1/γ2 7Y66-C5a1-BM213-Gi1/β1/γ2 7Y67-C5a1-C089 peptide-Gi1/β1/γ2 7Y64-C5a1-C5a-Gi1/β1/γ2
11.54Consensusclass-b1_class-b2_cons_onOrthosteric Ligandclass-b1_on class-b2_on
11.54Consensusclass-b1_class-b2_cons_on_gpOrthosteric Ligandclass-b1_on_gp class-b2_on_gp
11.54Consensuscompl-peptide_on_gpOrthosteric Ligandc5a1_on_gp c3a_on_gp
11.54Consensuscxcr4_on_gpOrthosteric Ligand8K3Z-CXCR4-CXCL12-Gi1/β1/γ1
11.54Consensusmc3_onOrthosteric Ligand8IOC-MC3-γ-MSH-Ca-chim(NtGi1-Gs)/β1/γ2
11.54Consensusmc3_on_gpOrthosteric Ligand8IOC-MC3-γ-MSH-Ca-chim(NtGi1-Gs)/β1/γ2
11.43Single6E3YCalcitonin gene-related peptide-16E3Y-CT Like-Calcitonin gene-related peptide-1-Gs/β1/γ2; RAMP1
11.43Consensusgluc_onOrthosteric Ligand6LMK-Glucagon-Glucagon-Gs/β1/γ2 8JIT-Glucagon-MEDI0382-Gs/β1/γ2 7V35-Glucagon-Peptide-20-Gs/β1/γ2
11.43Consensusglucagon_on_gpOrthosteric Ligandglp_on_gp gluc_on_gp secretin_on_gp gip_on_gp
11.11Single6M1IPACAP276M1I-PAC1-PACAP27-Gs/β1/γ2
11.11Single6PT0WIN 55212-26PT0-CB2-WIN 55212-2-Gi1/β1/γ2
11.11Single7TYIAmylin7TYI-CT-Amylin-Gs/β1/γ2
11.11Single7XK8Neuromedin-U-257XK8-NMUR2-Neuromedin-U-25-Gi1/β1/γ2
11.11Single7YONPeptide-YY(3-36)7YON-Y2-Peptide-YY(3-36)-Gi1/β1/γ2
11.11Single8HA0PTH8HA0-PTH1-PTH-chim(NtGi1-Gs)/β1/γ2
11.11Single8IYXYL-3658IYX-GPR34-YL-365
11.11Single8K4NPubChem 1687197658K4N-GPR34-PubChem 168719765-Gi1/β1/γ2
11.11Single8Y6YGLPG09748Y6Y-FFA2-GLPG0974
11.11Single8YW3Retatrutide8YW3-GLP-1-Retatrutide-Gs/β1/γ2
11.11Single8YW4Retatrutide8YW4-GIP-Retatrutide-chim(NtGi1-Gs)/β1/γ2
11.11Single8YW5Retatrutide8YW5-Glucagon-Retatrutide-Gs/β1/γ2
11.11Single8ZPMAMD0708ZPM-CXCR4-AMD070
11.11Single8ZPNAMD31008ZPN-CXCR4-AMD3100
11.11Single9BA0MRI-18919BA0-CB1-MRI-1891
11.11Single9DQJEP-39459DQJ-MRGPRD-EP-3945-chim(NtGi1-Gs-CtGq)/β1/γ2
11.11Single9EBOGLP-1 (ACPC18)9EBO-GLP-1-GLP-1 (ACPC18)-Gs/β1/γ2
11.11Single9IXXLTD49IXX-CysLT2-LTD4-chim(NtGi1-Gs-CtGq)/β1/γ2
11.11Single9JMDAzithromycin9JMD-Motilin-Azithromycin-chim(Gs-CtGq)/β1/γ2
11.11Single9KPDSalicin9KPD-TAS2R16-Salicin-chim(Gs-CtGt3)/β1/γ2
11.11Single9KXSEP679KXS-C5a1-EP67-Go/β1/γ2
11.11Single9M2FNeuropeptide-FF9M2F-NPFF1-Neuropeptide-FF-Gi1/β1/γ2
11.11Single9U80Conivaptan9U80-V2-Conivaptan
11.11Single9W33S5A19W33-SST5-S5A1
11.11Consensusc5a1_on_gpOrthosteric Ligand8HK5-C5a1-C5a-Gi1/β1/γ2 7Y66-C5a1-BM213-Gi1/β1/γ2 7Y67-C5a1-C089 peptide-Gi1/β1/γ2 7Y64-C5a1-C5a-Gi1/β1/γ2
11.11Consensuscb1_offOrthosteric Ligand5U09-CB1-Taranabant 5TGZ-CB1-AM6538
11.11Consensusgluc_on_gpOrthosteric Ligand6LMK-Glucagon-Glucagon-Gs/β1/γ2 8JIT-Glucagon-MEDI0382-Gs/β1/γ2 7V35-Glucagon-Peptide-20-Gs/β1/γ2
11.11Consensusgrh_offOrthosteric Ligandgnrh1_off
11.11Consensusmc2_onOrthosteric Ligand8GY7-MC2-Corticotropin-Ca-chim(NtGi1-Gs)/β1/γ2; MRAP1
11.11Consensusmc2_on_gpOrthosteric Ligand8GY7-MC2-Corticotropin-Ca-chim(NtGi1-Gs)/β1/γ2; MRAP1
11.11Consensusmc5_on_gpOrthosteric Ligand8INR-MC5-α-MSH-Ca-chim(NtGi1-Gs)/β1/γ2 8IOD-MC5-PG-901-Ca-chim(NtGi1-Gs)/β1/γ2
11.11Consensusnucleotide_offOrthosteric Ligandadenosine_off p2y_off
11.11Consensusp2y_on_gpOrthosteric Ligandp2y1_on_gp p2y10_on_gp p2y12_on_gp
10.71Single6X18GLP-16X18-GLP-1-GLP-1-Gs/β1/γ2
10.71Single7F9YGhrelin7F9Y-Ghrelin-Ghrelin-chim(NtGi1-Gs-CtGq)/β1/γ2
10.71Single7LLYOxyntomodulin7LLY-GLP-1-Oxyntomodulin-Gs/β1/γ2
10.71Single7P02Substance-P7P02-NK1-Substance-P-chim(NtGi1-Gs)/β1/γ2
10.71Single7TYWCalcitonin-17TYW-CT (AMY1)-Calcitonin-1-Gs/β1/γ2; RAMP1
10.71Single8IA2C5a8IA2-C5a1-C5a-Go/β1/γ2
10.71Single8XVIEndothelin-18XVI-ETA-Endothelin-1-chim(Gs-CtGq)/β1/γ2
10.71Consensuscalcitonin_onOrthosteric Ligandctlike_on
10.71Consensuschemokine_offOrthosteric Ligandccr_off cxcr_off
10.71Consensuschemokine_on_gpOrthosteric Ligandccr_on_gp cxcr_on_gp
10.71Consensuscxcr_offOrthosteric Ligandcxcr3_off cxcr4_off
10.71Consensusgi_chemokineOrthosteric Ligand6WWZ-CCR6-CCL20-Go/β1/γ2 8HNK-CXCR3-CXCL11-Gi1/β1/γ2 8K3Z-CXCR4-CXCL12-Gi1/β1/γ1 8IC0-CXCR1-CXCL8-Gi1/β1/γ2 6LFM-CXCR2-CXCL8-Gi1/β1/γ2 8KFX-CCR8-LMD-009-Gi1/β1/γ2 7F1Q-CCR5-CCL3-Gi1/β1/γ2 8HNL-CXCR3-PS372424-Gi1/β1/γ2 8KFY-CCR8-ZK-756326-Gi1/β1/γ2 7O7F-CCR5-6P4-CCL5-Gi1/β1/γ1 8U1U-CCR8-CCL1-Gi1/β1/γ2 7VLA-CCR1-CCL15(27-92)-Gi1/β1/γ2 7XA3-CCR2-CCL2-Gi1/β1/γ2
10.71Consensusp2y10_onOrthosteric Ligand8KGG-P2Y10-Lysophosphatidylserine (WJS)-chim(NtGi2-G13)/β1/γ2
10.71Consensuspac_onOrthosteric Ligandpac1_on
10.71Consensusvpac_onOrthosteric Ligandvpac1_on vpac2_on
10.53Single5NDDAZ8838; Na5NDD-PAR2-AZ8838; Na
10.53Single7NA8Ibutamoren7NA8-Ghrelin-Ibutamoren-Gi1/β1/γ2
10.53Single7YU4ONO-07405567YU4-LPA1-ONO-0740556
10.53Single7YXAONO-54306087YXA-S1P5-ONO-5430608
10.53Single8GCML-9026888GCM-EP4-L-902688-Gi1/β1/γ2
10.53Single8KFYZK-7563268KFY-CCR8-ZK-756326-Gi1/β1/γ2
10.53Single8XBGS3E-Lysophosphatidylserine 8XBG-GPR34-S3E-Lysophosphatidylserine
10.53Single8XJLPGF2-alpha8XJL-FP-alpha-PGF2-α-chim(NtGi2-Gs-CtGq)/β1/γ2
10.53Single9JQZGrapiprant 9JQZ-EP4-Grapiprant
10.53Consensusalicarboxylic_offOrthosteric Ligandsuccinate_off
10.53Consensuslipid_offOrthosteric Ligandcannabinoid_off paf_off lpl_off prostanoid_off leukotriene_off
10.53Consensussuccinate_offOrthosteric Ligand6RNK-Succinate-NF-56-EJ40 6Z10-Succinate-PubChem 154585554
10.34Single4XT3CX3CL14XT3-US28-CX3CL1
10.34Single6FJ3PTH6FJ3-PTH1-PTH
10.34Single6NBFLA-PTH Analog6NBF-PTH1-LA-PTH Analog-Gs/β1/γ2
10.34Single6NBILA-PTH Analog6NBI-PTH1-LA-PTH Analog-Gs/β1/γ2
10.34Single7CZ5Somatoliberin7CZ5-GHRH-Somatoliberin-Gs/β1/γ2
10.34Single7D3SSecretin7D3S-Secretin-Secretin-Gs/β1/γ2
10.34Single7KI0Semaglutide7KI0-GLP-1-Semaglutide-Gs/β1/γ2
10.34Single7RA3GIP7RA3-GIP-GIP-chim(NtGi1-Gs)/β1/γ2
10.34Single7SK4CXCL12_LRHQ7SK4-ACKR3-CXCL12_LRHQ
10.34Single8JISPeptide-158JIS-GLP-1-Peptide-15-chim(NtGi1-Gs)/β1/γ2
10.34Single9BUBCagrilintide9BUB-CT-Cagrilintide-Gs/β1/γ2
10.34Single9J1Pg1:Ox9J1P-GLP-1-g1:Ox-chim(NtGi1-Gs)/β1/γ2
10.34Consensuscalcitonin_on_gpOrthosteric Ligandctlike_on_gp
10.34Consensusccr_offOrthosteric Ligandccr2_off ccr5_off
10.34Consensusctlike_onOrthosteric Ligand6E3Y-CT Like-Calcitonin gene-related peptide-1-Gs/β1/γ2; RAMP1
10.34Consensusvpac_on_gpOrthosteric Ligandvpac1_on_gp vpac2_on_gp
10.00Single5T1ABMS-6815T1A-CCR2-BMS-681-PubChem 12093170
10.00Single5YHLPubChem 1351213525YHL-EP4-PubChem 135121352
10.00Single5YWYONO-AE3-2085YWY-EP4-ONO-AE3-208
10.00Single6UVAAdrenomedullin-26UVA-CT Like (AM2)-Adrenomedullin-2-Gs/β1/γ2; RAMP3
10.00Single6XBKCholesterol6XBK-SMO-Cholesterol-Gi1/β1/γ2
10.00Single7DTYGIP7DTY-GIP-GIP-Gs/β1/γ2
10.00Single7FIYTirzepatide7FIY-GIP-Tirzepatide-Gs/β1/γ2
10.00Single7S1MExendin-4-D-Ala7S1M-GLP-1-Exendin-4-D-Ala-Gs/β1/γ2
10.00Single7VQXPACAP277VQX-VPAC1-PACAP27-Gs/β1/γ2
10.00Single7YU3ONO-07405567YU3-LPA1-ONO-0740556-Gi1/β1/γ2
10.00Single7YU6ONO-07405567YU6-LPA1-ONO-0740556-Gi1/β1/γ2
10.00Single8FU6ZP37808FU6-Glucagon-ZP3780-Gs/β1/γ2
10.00Single8IZ4Lysophosphatidylserine (TJR)8IZ4-GPR34-Lysophosphatidylserine (TJR)-Gi1/β1/γ2
10.00Single8T6JCDPPB8T6J-mGlu5; mGlu5-CDPPB
10.00Single8T6JCDPPB8T6J-mGlu5; mGlu5-CDPPB
10.00Single8W8WAlpha-MSH8W8W-MC3-α-MSH-Ca-Gs/β1/γ2
10.00Single8WGBVU01550418WGB-mGlu4; mGlu2-Glutamate-VU0155041-Gi3/β1/γ2
10.00Single9B9ZMRI-18679B9Z-CB1-MRI-1867
10.00Single9DQHEP-28259DQH-MRGPRD-EP-2825-chim(NtGi1-Gs-CtGq)/β1/γ2
10.00Single9KO4CCL219KO4-CCR7-CCL21-Gi1/β1/γ2
10.00Single9KPFSalicin9KPF-TAS2R16-Salicin-Gi1/β1/γ2
10.00Single9P94PACAP279P94-PAC1-PACAP27-Gs/β1/γ2
10.00Consensusep4_offOrthosteric Ligand5YWY-EP4-ONO-AE3-208 5YHL-EP4-PubChem 135121352
10.00Consensusep_offOrthosteric Ligandep4_off
10.00Consensuslpa1_onOrthosteric Ligand7TD1-LPA1-LPA-Gi1/β1/γ2 7YU3-LPA1-ONO-0740556-Gi1/β1/γ2
10.00Consensuslpa1_on_gpOrthosteric Ligand7TD1-LPA1-LPA-Gi1/β1/γ2 7YU3-LPA1-ONO-0740556-Gi1/β1/γ2
10.00Consensuss1p5_offOrthosteric Ligand7YXA-S1P5-ONO-5430608
9.68Single6LMKGlucagon6LMK-Glucagon-Glucagon-Gs/β1/γ2
9.68Single6NBHLA-PTH Analog6NBH-PTH1-LA-PTH Analog-Gs/β1/γ2
9.68Single7VVJPTHrP(1-36)7VVJ-PTH1-PTHrP(1-36)-Gs/β1/γ2
9.68Single8FLTM-PTH(1-14)8FLT-PTH1-M-PTH(1-14)-Gs/β1/γ2
9.68Single8HAFPTHrP(1-36)8HAF-PTH1-PTHrP(1-36)-chim(NtGi1-Gs)/β1/γ2
9.68Single9BTWCagrilintide9BTW-CT (AMY3)-Cagrilintide-Gs/β1/γ2; RAMP3
9.68Consensusgs_melanocortinOrthosteric Ligand7F4H-MC1-Afamelanotide-chim(NtGi1-Gs)/β1/γ2 7F54-MC4-Afamelanotide-Gs/β1/γ2 7F4D-MC1-α-MSH-chim(NtGi1-Gs)/β1/γ2 8INR-MC5-α-MSH-Ca-chim(NtGi1-Gs)/β1/γ2 7F53-MC4-α-MSH-Gs/β1/γ2 7F55-MC4-Bremelanotide-Gs/β1/γ2 8GY7-MC2-Corticotropin-Ca-chim(NtGi1-Gs)/β1/γ2; MRAP1 8IOC-MC3-γ-MSH-Ca-chim(NtGi1-Gs)/β1/γ2 8IOD-MC5-PG-901-Ca-chim(NtGi1-Gs)/β1/γ2 7AUE-MC4-Setmelanotide-chim(NtGi1L-Gs)/β1/γ2 7F4I-MC1-SHU9119-chim(NtGi1-Gs)/β1/γ2 7F58-MC4-THIQ-Gs/β1/γ2
9.68Consensusvpac2_onOrthosteric Ligand7VQX-VPAC1-PACAP27-Gs/β1/γ2
9.68Consensusvpac2_on_gpOrthosteric Ligand7VQX-VPAC1-PACAP27-Gs/β1/γ2
9.52Single7F1TCCL37F1T-CCR5-CCL3
9.52Single7F58THIQ7F58-MC4-THIQ-Gs/β1/γ2
9.52Single7R0CAVP7R0C-V2-AVP-Arrestin2
9.52Single7XOWSulfated Gastrin-(10-17)7XOW-CCKB-Sulfated Gastrin-(10-17)-chim(NtGi1-Gq)/β1/γ2
9.52Single7XWONeurokinin-A7XWO-NK2-Neurokinin-A-chim(NtGi1-Gs-CtGq)/β1/γ2
9.52Single7YU5ONO-07405567YU5-LPA1-ONO-0740556-Gi1/β1/γ2
9.52Single7YU7ONO-07405567YU7-LPA1-ONO-0740556-Gi1/β1/γ2
9.52Single8GDBPGE28GDB-EP4-PGE2-Gs/β1/γ2
9.52Single8GY7Corticotropin8GY7-MC2-Corticotropin-Ca-chim(NtGi1-Gs)/β1/γ2; MRAP1
9.52Single8I9LC3a8I9L-C3aB-C3a-Go/β1/γ2
9.52Single8JSRAnamorelin8JSR-Ghrelin-Anamorelin-chim(NtGi1-Gs-CtGq)/β1/γ2
9.52Single8XBIPubChem 1626566368XBI-GPR34-PubChem 162656636
9.52Single8ZW0PGD28ZW0-DP1-PGD2-Gs/β1/γ2
9.52Single9ASTLymphotactin9AST-XCR1-Lymphotactin-Gi1/β1/γ2
9.52Single9IZGLPA9IZG-LPA1-LPA-chim(NtGi1-Gs-CtGq)/β1/γ2
9.52Single9L16CCL219L16-CCR7-CCL21
9.52Single9MENGp120 (V3 loop)9MEN-CXCR4-Gp120 (V3 loop)
9.52Single9YDVMRS29059YDV-P2Y14-MRS2905-Gi1/β1/γ2
9.52Consensusgi_lpaOrthosteric Ligand7TD1-LPA1-LPA-Gi1/β1/γ2 7YU3-LPA1-ONO-0740556-Gi1/β1/γ2
9.52Consensuslpa_onOrthosteric Ligandlpa1_on
9.52Consensuslpa_on_gpOrthosteric Ligandlpa1_on_gp
9.52Consensusnk2_on_gpOrthosteric Ligand7XWO-NK2-Neurokinin-A-chim(NtGi1-Gs-CtGq)/β1/γ2
9.52Consensusp2y12_onOrthosteric Ligand7XXI-P2Y12-2MeSADP-Gi2/β1/γ2
9.38Single8U1UCCL18U1U-CCR8-CCL1-Gi1/β1/γ2
9.38Consensusgip_onOrthosteric Ligand7FIN-GIP-Peptide-20; GGL-Gs/β1/γ2 7FIY-GIP-Tirzepatide-Gs/β1/γ2 7DTY-GIP-GIP-Gs/β1/γ2
9.38Consensusgip_on_gpOrthosteric Ligand7FIN-GIP-Peptide-20; GGL-Gs/β1/γ2 7FIY-GIP-Tirzepatide-Gs/β1/γ2 7DTY-GIP-GIP-Gs/β1/γ2
9.09Single4PXZ2MeSADP4PXZ-P2Y12-2MeSADP
9.09Single4PY02MeSATP4PY0-P2Y12-2MeSATP
9.09Single6C1RPMX536C1R-C5a1-PMX53-Avacopan; Na
9.09Single7F55Bremelanotide7F55-MC4-Bremelanotide-Gs/β1/γ2
9.09Single7W0NElabela7W0N-Apelin; Apelin-Elabela-Gi1/β1/γ2
9.09Single7XXI2MeSADP7XXI-P2Y12-2MeSADP-Gi2/β1/γ2
9.09Single8F2APramlintide Analogue San3858F2A-CT (AMY3)-Pramlintide Analogue San385-Gs/β1/γ2; RAMP3
9.09Single8HK2C3a8HK2-C3aB-C3a-Gi1/β1/γ2
9.09Single8U26Substance-P8U26-NK1-Substance-P-Gs/β1/γ2
9.09Single8WRBLysophosphatidylserine (UBL)8WRB-GPR34-Lysophosphatidylserine (UBL)-Gi1/β1/γ2
9.09Single9BJKPubChem 1716420669BJK-μ-Naloxone-PubChem 171642066
9.09Single9YDUUDP-Glucose9YDU-P2Y14-UDP-Glucose-Gi1/β1/γ2
9.09Consensuscxcr_onOrthosteric Ligandcxcr3_on cxcr4_on cxcr1_on cxcr2_on
9.09Consensusgi_p2yOrthosteric Ligand7XXI-P2Y12-2MeSADP-Gi2/β1/γ2
9.09Consensusp2y12_on_gpOrthosteric Ligand7XXI-P2Y12-2MeSADP-Gi2/β1/γ2
8.82Single7V35Peptide-207V35-Glucagon-Peptide-20-Gs/β1/γ2
8.82Single8JIPMEDI03828JIP-GLP-1-MEDI0382-chim(NtGi1-Gs)/β1/γ2
8.82Single8JIRSAR4258998JIR-GLP-1-SAR425899-chim(NtGi1-Gs)/β1/γ2
8.82Single9JR2PTH9JR2-PTH1-PTH-chim(NtGi1L-Gs-CtGq)/β1/γ2
8.70Single7CX4Evatanepag7CX4-EP2-Evatanepag-Gs/β1/γ2
8.70Single7D7MPGE27D7M-EP4-PGE2-Gs/β1/γ1
8.70Single7P00Substance-P7P00-NK1-Substance-P-chim(NtGi1-Gs-CtGq)/β1/γ2
8.70Single7PIUSetmelanotide7PIU-MC4-Setmelanotide-Gs/β1/γ2
8.70Single7VVNPTH7VVN-PTH1-PTH-Gs/β1/γ2
8.70Single7X8RBOC57X8R-GLP-1-BOC5-Gs/β1/γ2
8.70Single8HN1Toxin AdTx18HN1-Alpha1A-Toxin AdTx1
8.70Single8XBES3E-Lysophosphatidylserine 8XBE-GPR34-S3E-Lysophosphatidylserine-Gi1/β1/γ1
8.70Single9J0BUDP-Glucose9J0B-P2Y14-UDP-Glucose-Gi1/β1/γ2
8.70Single9JH5C16:0 Ceramide9JH5-CysLT2-C16:0 Ceramide-chim(NtGi1-Gs-CtGq)/β1/γ2
8.70Consensusnk1_onOrthosteric Ligand7P00-NK1-Substance-P-chim(NtGi1-Gs-CtGq)/β1/γ2
8.70Consensusnk1_on_gpOrthosteric Ligand7P00-NK1-Substance-P-chim(NtGi1-Gs-CtGq)/β1/γ2
8.57Single8JIUSAR4258998JIU-Glucagon-SAR425899-Gs/β1/γ2
8.57Single9JR3PTH9JR3-PTH1-PTH-chim(NtGi1L-Gs-CtGq)/β1/γ2
8.33Single5VBLAMG3054 5VBL-Apelin-AMG3054
8.33Single6C1QPMX536C1Q-C5a1-PMX53-NDT9513727
8.33Single7CX2PGE27CX2-EP2-PGE2-Gs/β1/γ2
8.33Single7F9ZGHRP-67F9Z-Ghrelin-GHRP-6-chim(NtGi1-Gs-CtGq)/β1/γ2
8.33Single7RMGSubstance-P7RMG-NK1-Substance-P-chim(Gs-CtGq)/β1/γ2
8.33Single7RMHSubstance-P7RMH-NK1-Substance-P-Gs/β1/γ2
8.33Single7XBXCX3CL17XBX-CX3CR1-CX3CL1-Gi1/β1/γ2
8.33Single8SAILysophosphatidylserine (S12)8SAI-GPR34-Lysophosphatidylserine (S12)-Gi1/β1/γ2
8.33Consensuscxcr4_offOrthosteric Ligand4RWS-CXCR4-vMIP-II 3OE0-CXCR4-CVX15 3OE6-CXCR4-IT1t
8.00Single6X19CHU-1286X19-GLP-1-CHU-128-Gs/β1/γ2
8.00Single7CX3Taprenepag7CX3-EP2-Taprenepag-Gs/β1/γ2
8.00Single7W2ZGhrelin7W2Z-Ghrelin-Ghrelin-Go/β1/γ2
8.00Single7W53Neuromedin-U-257W53-NMUR1-Neuromedin-U-25-chim(NtGi1-Gs-CtGq)/β1/γ2
8.00Single7W56Neuromedin-S7W56-NMUR1-Neuromedin-S-chim(NtGi1-Gs-CtGq)/β1/γ2
8.00Single8INRAlpha-MSH8INR-MC5-α-MSH-Ca-chim(NtGi1-Gs)/β1/γ2
8.00Single8KIGSHU91198KIG-MC3-SHU9119-Ca
8.00Single8U4OCXCL128U4O-CXCR4-CXCL12-Gi1/β1/γ2
8.00Single8XBHPubChem 1626566368XBH-GPR34-PubChem 162656636-Gi1/β1/γ2
8.00Single9J0IUDP-Glucuronic acid9J0I-P2Y14-UDP-Glucuronic acid-Gi1/β1/γ2
8.00Single9UYLChemerin-99UYL-CML2-Chemerin-9-Arrestin2
8.00Consensusmc4_onOrthosteric Ligand7AUE-MC4-Setmelanotide-chim(NtGi1L-Gs)/β1/γ2 7F58-MC4-THIQ-Gs/β1/γ2 7F54-MC4-Afamelanotide-Gs/β1/γ2 7F53-MC4-α-MSH-Gs/β1/γ2 7F55-MC4-Bremelanotide-Gs/β1/γ2
8.00Consensusnmur1_on_gpOrthosteric Ligand7W53-NMUR1-Neuromedin-U-25-chim(NtGi1-Gs-CtGq)/β1/γ2
7.69Single6WHCGlu16 analog of GCG6WHC-Glucagon-Glu16 analog of GCG-Gs/β1/γ2
7.69Single7E14Orforglipron7E14-GLP-1-Orforglipron-PubChem 156022738-Gs/β1/γ2
7.69Single7F1QCCL37F1Q-CCR5-CCL3-Gi1/β1/γ2
7.69Single7RMISubstance-P7RMI-NK1-Substance-P-chim(Gs-CtGq)/β1/γ2
7.69Single7SK5CXCL127SK5-ACKR3-CXCL12
7.69Single8IOCGamma-MSH8IOC-MC3-γ-MSH-Ca-chim(NtGi1-Gs)/β1/γ2
7.69Single8JBHSubstance-P8JBH-NK3-Substance-P-chim(NtGi1-Gs-CtGq)/β1/γ2
7.69Single9IQRMuscarinic toxin 39IQR-α2a-Muscarinic toxin 3
7.69Single9J0FNADH9J0F-P2Y14-NADH-Gi1/β1/γ2
7.69Single9KV6TLQP219KV6-C3aB-TLQP21-Go/β1/γ2
7.69Consensusmc4_on_gpOrthosteric Ligand7AUE-MC4-Setmelanotide-chim(NtGi1L-Gs)/β1/γ2 7F58-MC4-THIQ-Gs/β1/γ2 7F54-MC4-Afamelanotide-Gs/β1/γ2 7F53-MC4-α-MSH-Gs/β1/γ2 7F55-MC4-Bremelanotide-Gs/β1/γ2
7.69Consensustachykinin_on_gpOrthosteric Ligandnk1_on_gp nk2_on_gp nk3_on_gp
7.41Single6MEOGp160; CD46MEO-CCR5-Gp160; CD4
7.41Single7O7F6P4-CCL57O7F-CCR5-6P4-CCL5-Gi1/β1/γ1
7.41Single7XA3CCL27XA3-CCR2-CCL2-Gi1/β1/γ2
7.41Single8K6MNeuropeptide-Y8K6M-Y1-Neuropeptide-Y-Gi2/β1/γ1
7.41Single8YFOAc-LA-PTH Analog8YFO-PTH1-Ac-LA-PTH Analog-chim(NtGi1-Gs)/β1/γ2
7.41Consensusccr2_onOrthosteric Ligand7XA3-CCR2-CCL2-Gi1/β1/γ2
7.41Consensusccr2_on_gpOrthosteric Ligand7XA3-CCR2-CCL2-Gi1/β1/γ2
7.41Consensusccr_onOrthosteric Ligandccr6_on ccr8_on ccr2_on ccr1_on ccr5_on
7.41Consensusnpy1_onOrthosteric Ligand8K6M-Y1-Neuropeptide-Y-Gi2/β1/γ1
7.41Consensusnpy1_on_gpOrthosteric Ligand8K6M-Y1-Neuropeptide-Y-Gi2/β1/γ1
7.14Single6METGp160; CD46MET-CCR5-Gp160; CD4
7.14Single7FINPeptide-20; GGL7FIN-GIP-Peptide-20; GGL-Gs/β1/γ2
7.14Single7W57Neuromedin-S7W57-NMUR2-Neuromedin-S-chim(NtGi1-Gs-CtGq)/β1/γ2
7.14Single8HQMNPGLY8HQM-GPR132-NPGLY-Gi1/β1/γ2
7.14Single8HVINOX-6-78HVI-GPR132-NOX-6-7-Gi1/β1/γ2
7.14Single8XZJWN3538XZJ-Apelin; Apelin-WN353-Gi1/β1/γ2
7.14Consensustachykinin_onOrthosteric Ligandnk1_on nk2_on nk3_on
6.90Single7TYHCalcitonin7TYH-CT (AMY2)-Calcitonin-Gs/β1/γ2; RAMP2
6.90Single7VL9CCL15(26-92)7VL9-CCR1-CCL15(26-92)-Gi1/β1/γ2
6.90Single7Y35Abaloparatide7Y35-PTH1-Abaloparatide-Gs/β1/γ2
6.90Single8YG4LA-PTH Analog8YG4-PTH1-LA-PTH Analog-chim(NtGi1-Gs)/β1/γ2
6.90Consensusccr_on_gpOrthosteric Ligandccr6_on_gp ccr8_on_gp ccr2_on_gp ccr1_on_gp ccr5_on_gp
6.67Single3OE8IT1t3OE8-CXCR4-IT1t
6.67Single5UIW5P7-CCL55UIW-CCR5-5P7-CCL5
6.67Single6OT025(S)-Epoxycholesterol6OT0-SMO-25(S)-Epoxycholesterol-Gi1/β1/γ2
6.67Single8FLRPTHrP(1-36)8FLR-PTH1-PTHrP(1-36)-Gs/β1/γ2
6.67Single9C2FCa; Ca; Tryptophan; '54149; PO49C2F-CaS; CaS-Ca-Ca; Ca; Tryptophan; '54149; PO4
6.67Single9L0HJR14a9L0H-C3aB-JR14a-Go/β1/γ2
6.67Consensusccr5_offOrthosteric Ligand5UIW-CCR5-5P7-CCL5
6.67Consensusccr5_onOrthosteric Ligand7O7F-CCR5-6P4-CCL5-Gi1/β1/γ1 7F1Q-CCR5-CCL3-Gi1/β1/γ2
6.45Single8HAOPTH8HAO-PTH1-PTH-chim(NtGi1-Gs)/β1/γ2
6.45Single8W8XBeta-MSH8W8X-MC3-β-MSH-Ca-Gs/β1/γ2
6.25Single3OE6IT1t3OE6-CXCR4-IT1t
6.25Single6PWCNeurotensin-(9-13)6PWC-NTS1-Neurotensin-(9-13)-Arrestin2
6.25Single7V6APubChem 98642757V6A-M4-PubChem 9864275-Gi1/β1/γ2
6.25Single7VVLPTH7VVL-PTH1-PTH-Gs/β1/γ2
6.25Single8RQLFlufenamic acid8RQL-TAS2R14-Flufenamic acid-Flufenamic acid-chim(NtGi1-Gt3)/β1/γ2
6.25Single9BQ3Cagrilintide9BQ3-CT (AMY2)-Cagrilintide-Gs/β1/γ2; RAMP2
6.06Single7RBTTirzepatide7RBT-GIP-Tirzepatide-LSN3556672-chim(NtGi1-Gs)/β1/γ2
5.88Single5L7IVismodegib5L7I-SMO-Vismodegib
5.88Single7SK6CXCL12_LRHQ7SK6-ACKR3-CXCL12_LRHQ
5.88Single7VBHPeptide-207VBH-GLP-1-Peptide-20-Gs/β1/γ2
5.88Single7XP6Strychnine7XP6-TAS2R46-Strychnine-chim(Gs-CtGt3)/β1/γ2
5.88Single8U4RREGN7663-Fab8U4R-CXCR4-REGN7663-Fab
5.88Single8ZX5AM2518ZX5-GPR55-AM251-chim(NtGi1-G13)/β1/γ2
5.88Consensusgq_nucleotideOrthosteric Ligandgq_p2y
5.88Consensusgq_p2yOrthosteric Ligand7XXH-P2Y1-2MeSADP-chim(NtGi1-G11)/β1/γ2
5.56Single3ODUIT1t3ODU-CXCR4-IT1t
5.56Single4K5YCP-3763954K5Y-CRF1-CP-376395
5.56Single5U09Taranabant5U09-CB1-Taranabant
5.56Single5ZKQABT-4915ZKQ-PAF-ABT-491
5.56Single6RNKNF-56-EJ406RNK-Succinate-NF-56-EJ40
5.56Single7F8YDevazepide7F8Y-CCKA-Devazepide
5.56Single7LCJDanuglipron7LCJ-GLP-1-Danuglipron
5.56Single7S8PMS471347S8P-MRGPRX4-MS47134-chim(NtGi2L-Gs-CtGq)/β1/γ2
5.56Single7TYOCalcitonin7TYO-CT-Calcitonin-Gs/β1/γ2
5.56Single7VDLCortistatin-147VDL-MRGPRX2-Cortistatin-14-Gi1/β1/γ2
5.56Single7X2CFenoldopam7X2C-D1-Fenoldopam-Fenoldopam-Gs/β1/γ2
5.56Single8H8JLodoxamide8H8J-GPR35-Lodoxamide-Ca-chim(NtGi1L-G13)/β1/γ2
5.56Single8HMPC178HMP-GPR52-C17-Gs/β1/γ2
5.56Single8JITMEDI03828JIT-Glucagon-MEDI0382-Gs/β1/γ2
5.56Single8T3VDoconexent8T3V-FFA1-Doconexent-chim(NtGi2L-Gs-CtGq)/β1/γ2
5.56Single8U4PAMD31008U4P-CXCR4-AMD3100-Gi1/β1/γ2
5.56Single8YYWAlpha-ketoglutarate8YYW-Oxoglutarate-α-ketoglutarate-α-ketoglutarate-chim(Gi1-CtGq)/β1/γ2
5.56Single9KO2CCL199KO2-CCR7-CCL19-Gi1/β1
5.56Single9KO6CCL199KO6-CCR7-CCL19
5.56Consensusp2y1_onOrthosteric Ligand7XXH-P2Y1-2MeSADP-chim(NtGi1-G11)/β1/γ2
5.56Consensuspaf_offOrthosteric Ligand5ZKQ-PAF-ABT-491
5.26Single6U1NLY21196206U1N-M2-LY2119620-Arrestin2
5.26Single7C2EPubChem 1490507997C2E-GLP-1-PubChem 149050799-Gs/β1/γ2
5.26Single7UTZDPPC7UTZ-TSH-TSH-DPPC-Gs/β1/γ2
5.26Single7XOVSR1461317XOV-CCKA-SR146131-Gs/β1/γ2
5.26Single7XXH2MeSADP7XXH-P2Y1-2MeSADP-chim(NtGi1-G11)/β1/γ2
5.26Single8JD6VU03647708JD6-mGlu4; mGlu4-Phosphoserine-VU0364770-Gi3/β1/γ2
5.26Single8K2WAMG4878K2W-CXCR3-AMG487
5.26Single8X7ATreprostinil8X7A-I2-Treprostinil-Gs/β1/γ2
5.26Single9JQYTG6-1299JQY-EP4-TG6-129
5.26Single9K0KUTP9K0K-P2Y4-UTP-chim(NtGi1-Gs-CtGq)/β1/γ2
5.26Single9K0XATP9K0X-P2Y2-ATP-chim(NtGi1-Gs-CtGq)/β1/γ2
5.26Single9K20ATP9K20-P2Y2-ATP-chim(NtGi1-Go)/β1/γ2
5.26Consensuscxcr3_offOrthosteric Ligand8K2W-CXCR3-AMG487
5.26Consensusp2y1_on_gpOrthosteric Ligand7XXH-P2Y1-2MeSADP-chim(NtGi1-G11)/β1/γ2
5.00Single4Z9GCP-3763954Z9G-CRF1-CP-376395
5.00Single6X1ADanuglipron6X1A-GLP-1-Danuglipron-Gs/β1/γ2
5.00Single7FIHOrg435537FIH-LH-hCG-Org43553-chim(NtGi1-Gs)/β1/γ2
5.00Single7LCIDanuglipron7LCI-GLP-1-Danuglipron-Gs/β1/γ2
5.00Single7LCKDanuglipron7LCK-GLP-1-Danuglipron
5.00Single8GTIBMK-C2058GTI-CRF1-BMK-C205
5.00Single8ZYYNeurotensin-(8-13)8ZYY-NTS1-Neurotensin-(8-13)-SBI-553-Arrestin2
5.00Single9JROPF-044189489JRO-EP2-PF-04418948
5.00Single9METGp120; CD49MET-CXCR4-Gp120; CD4
4.76Single6LFMCXCL86LFM-CXCR2-CXCL8-Gi1/β1/γ2
4.76Single6Z4QSR142948A6Z4Q-NTS1-SR142948A
4.76Single7VV0PAMP-127VV0-MRGPRX2-PAMP-12
4.76Single7VV4Cortistatin-147VV4-MRGPRX2-Cortistatin-14
4.76Single8GTGBMK-I1528GTG-CRF1-BMK-I152
4.76Single8XQPCholesterol8XQP-TAS2R14-Cholesterol-Aristolochic acid A-Gt3/β1/γ1
4.76Single8ZYTNeurotensin-(8-13)8ZYT-NTS1-Neurotensin-(8-13)-SBI-553-Arrestin2
4.76Single9EAHNanobody AT2099EAH-AT1-Olmesartan-Nanobody AT209
4.76Single9JRTTG6-1299JRT-EP2-TG6-129
4.76Consensusadgrg2_onOrthosteric Ligand7WUI-ADGRG2-IP15-chim(NtGi1-Gs)/β1/γ2 7WUQ-ADGRG2-Gs/β1/γ2 7XKF-ADGRG2-Dehydroepiandrosterone-Gs/β1/γ2
4.76Consensusadgrg2_on_gpOrthosteric Ligand7WUI-ADGRG2-IP15-chim(NtGi1-Gs)/β1/γ2 7WUQ-ADGRG2-Gs/β1/γ2 7XKF-ADGRG2-Dehydroepiandrosterone-Gs/β1/γ2
4.76Consensuscxcr2_on_gpOrthosteric Ligand6LFM-CXCR2-CXCL8-Gi1/β1/γ2
4.55Single6OS1TRV0266OS1-AT1-TRV026
4.55Single7S8MCortistatin-147S8M-MRGPRX2-Cortistatin-14-Gi1/β1/γ2
4.55Single7XBDGalanin7XBD-GAL2-Galanin-chim(NtGi2L-Gs-CtGq)/β1/γ2
4.55Single7XJLSpexin7XJL-GAL2-Spexin-chim(NtGi2L-Gs-CtGq)/β1/γ2
4.55Single7Y67C089 peptide7Y67-C5a1-C089 peptide-Gi1/β1/γ2
4.55Single8FN1Neurotensin-(8-13)8FN1-NTS1-Neurotensin-(8-13)-chim(NtGi1-Go)/β1/γ2
4.55Single8HQCC5a8HQC-C5a1-C5a-Go/β1/γ2
4.55Single8JBGNeurokinin-B8JBG-NK3-Neurokinin-B-chim(NtGi1-Gs-CtGq)/β1/γ2
4.55Single8JD5JNJ-40411813; ADX881788JD5-mGlu2; mGlu4-Glutamate-JNJ-40411813; ADX88178-Gi1/β1/γ2
4.55Single8WJXADP8WJX-P2Y1-ADP-chim(Gs-CtGq)/β1/γ2
4.55Single8XQTCholesterol8XQT-TAS2R14-Cholesterol-Gi1/β1/γ1
4.35Single3VW7Vorapaxar; Na3VW7-PAR1-Vorapaxar; Na
4.35Single4XEENeurotensin-(8-13)4XEE-NTS1-Neurotensin-(8-13)
4.35Single4XESNeurotensin-(8-13)4XES-NTS1-Neurotensin-(8-13)
4.35Single6OS2TRV0266OS2-AT1-TRV026
4.35Single6XOXOrforglipron6XOX-GLP-1-Orforglipron-chim(NtGi1-Gs)/β1/γ2
4.35Single6YVRNeurotensin-(6-13)6YVR-NTS1-Neurotensin-(6-13)
4.35Single7L0SNeurotensin-(8-13)7L0S-NTS1-Neurotensin-(8-13)-Gi1/β1/γ1
4.35Single8GTMBMK-C2038GTM-CRF1-BMK-C203
4.35Single8JPCNeurotensin-(8-13)8JPC-NTS1-Neurotensin-(8-13)-SBI-553; GDP; Mg-Gq; GRK2
4.35Single8XQNCholesterol8XQN-TAS2R14-Cholesterol-Aristolochic acid A-Gi1/β1/γ1
4.35Single8XQSCholesterol8XQS-TAS2R14-Cholesterol-Flufenamic acid-Gi1/β1/γ1
4.35Consensusgalanin_onOrthosteric Ligandgal2_on gal1_on
4.35Consensusgalanin_on_gpOrthosteric Ligandgal2_on_gp gal1_on_gp
4.17Single4BUONeurotensin-(8-13)4BUO-NTS1-Neurotensin-(8-13)
4.17Single6M1HMaxadilan6M1H-PAC1-Maxadilan-Gs/β1/γ2
4.17Single8FN0Neurotensin-(8-13)8FN0-NTS1-Neurotensin-(8-13)-SBI-553-chim(NtGi1-Go)/β1/γ2
4.17Single8K4OCXCL18K4O-KSHV-CXCL1-Gi1/β1/γ1
4.17Single9KWXC5a-des-Arg9KWX-C5a1-C5a-des-Arg-Go/β1/γ2
4.17Consensusgal2_onOrthosteric Ligand7WQ4-GAL2-Galanin-chim(NtGi1-Gs-CtGq)/β1/γ2 7XJL-GAL2-Spexin-chim(NtGi2L-Gs-CtGq)/β1/γ2
4.17Consensusgal2_on_gpOrthosteric Ligand7WQ4-GAL2-Galanin-chim(NtGi1-Gs-CtGq)/β1/γ2 7XJL-GAL2-Spexin-chim(NtGi2L-Gs-CtGq)/β1/γ2
4.00Single6KNMJN241-96KNM-Apelin-JN241-9
4.00Single7AUESetmelanotide7AUE-MC4-Setmelanotide-chim(NtGi1L-Gs)/β1/γ2
4.00Single7RKNCX3CL17RKN-US28-CX3CL1-Gi1/β1/γ2
4.00Single7S8LCortistatin-147S8L-MRGPRX2-Cortistatin-14-chim(NtGi2L-Gs-CtGq)/β1/γ2
4.00Single7X8SWB4-247X8S-GLP-1-WB4-24-Gs/β1/γ2
4.00Single8XQJJN2418XQJ-Apelin; Apelin-JN241
4.00Single8XQLCholesterol8XQL-TAS2R14-Cholesterol-Aristolochic acid A-Gt3/β1/γ1
4.00Single8XQOCholesterol8XQO-TAS2R14-Cholesterol-Aristolochic acid A-Gi1/β1/γ1
4.00Single9EAJNanobody AT2099EAJ-AT1-Nanobody AT209
4.00Consensusnmur1_onOrthosteric Ligand7W53-NMUR1-Neuromedin-U-25-chim(NtGi1-Gs-CtGq)/β1/γ2
3.85Single7L0RNeurotensin-(8-13)7L0R-NTS1-Neurotensin-(8-13)-Gi1/β1/γ1
3.85Single8JIQPeptide-158JIQ-Glucagon-Peptide-15-Gs/β1/γ2
3.85Single9BUECagrilintide9BUE-CT-Cagrilintide-Gs/β1/γ2
3.85Consensuschemokine_onOrthosteric Ligandccr_on cxcr_on
3.70Single8IBVMotilin8IBV-Motilin-Motilin-chim(NtGi1-Gs-CtGq)/β1/γ2
3.70Single8K6ONeuropeptide-Y8K6O-Y1-Neuropeptide-Y-Gi2/β1/γ1
3.57Single9B5YLA-PTH Analog9B5Y-PTH1-LA-PTH Analog-chim(NtGi1-Gq)/β1/γ2
3.57Single9IVMGLP-1 (Truncated)9IVM-GLP-1-GLP-1 (Truncated)-LSN3318839-chim(NtGi1-Gs)/β2/γ2
3.45Single6NIYCalcitonin-16NIY-CT-Calcitonin-1-Gs/β1/γ2
3.45Consensusneuromedin-u_onOrthosteric Ligandnmur1_on nmur2_on
3.33Single5YQZNNC17025YQZ-Glucagon-NNC1702
3.33Consensusneuromedin-u_on_gpOrthosteric Ligandnmur1_on_gp nmur2_on_gp
3.23Single7SK3CXCL127SK3-ACKR3-CXCL12
3.12Single5NX2GLP-1 (Truncated)5NX2-GLP-1-GLP-1 (Truncated)
3.12Single7VVKPTH7VVK-PTH1-PTH-Gs/β1/γ2

PDB Summary
PDB 9VJG
Class A
SubFamily Amine
Type 5-Hydroxytryptamine
SubType 5-HT1A
Species Homo Sapiens
Ligand 8-OH-DPAT
Other Ligand(s) -
Protein Partners chim(NtGi2-Gz)/Beta1/Gamma2
PDB Resolution 2.67
Date 2025-11-12
D.O.I. To be published
Net Summary
Imin 3.02
Number of Linked Nodes 958
Number of Links 1296
Number of Hubs 262
Number of Links mediated by Hubs 921
Number of Communities 27
Number of Nodes involved in Communities 393
Number of Links involved in Communities 635
Path Summary
Number Of Nodes in MetaPath 82
Number Of Links MetaPath 81
Number of Shortest Paths 4294838
Length Of Smallest Path 3
Average Path Length 37.0376
Length of Longest Path 63
Minimum Path Strength 1.18
Average Path Strength 7.17759
Maximum Path Strength 29.39
Minimum Path Correlation 0.7
Average Path Correlation 0.991519
Maximum Path Correlation 1
Minimum % Of Corr. Nodes 1.92308
Average % Of Corr. Nodes 32.7441
Maximum % Of Corr. Nodes 100
Minimum Path Hubs % 0
Average Path Hubs % 56.0688
Maximum Path Hubs % 100
AnnotationTypeLinks
Gene OntologyMolecular Function• cation binding   • binding   • ion binding   • serotonin binding   • amine binding   • heterocyclic compound binding   • small molecule binding   • G protein-coupled amine receptor activity   • G protein-coupled serotonin receptor activity   • molecular transducer activity   • G protein-coupled receptor activity   • transmembrane signaling receptor activity   • signaling receptor activity   • Gi/o-coupled serotonin receptor activity   • neurotransmitter receptor activity   • serotonin receptor activity   • protein binding   • signaling receptor binding   • receptor-receptor interaction   • tetrapyrrole binding   • heme binding   • electron transfer activity   • transition metal ion binding   • iron ion binding   • metal ion binding   • cellular response to stimulus   • regulation of biological process   • regulation of cellular process   • response to stimulus   • signaling   • biological regulation   • adenylate cyclase-inhibiting serotonin receptor signaling pathway   • G protein-coupled serotonin receptor signaling pathway   • cell communication   • adenylate cyclase-inhibiting G protein-coupled receptor signaling pathway   • adenylate cyclase-modulating G protein-coupled receptor signaling pathway   • G protein-coupled receptor signaling pathway   • cellular process   • signal transduction
Gene OntologyBiological Process• cellular response to stimulus   • regulation of biological process   • regulation of cellular process   • response to stimulus   • signaling   • biological regulation   • adenylate cyclase-inhibiting serotonin receptor signaling pathway   • G protein-coupled serotonin receptor signaling pathway   • cell communication   • adenylate cyclase-inhibiting G protein-coupled receptor signaling pathway   • adenylate cyclase-modulating G protein-coupled receptor signaling pathway   • G protein-coupled receptor signaling pathway   • cellular process   • signal transduction   • behavior   • multicellular organismal process   • exploration behavior   • regulation of amine metabolic process   • dopamine metabolic process   • primary metabolic process   • catechol-containing compound metabolic process   • regulation of primary metabolic process   • amine metabolic process   • catecholamine metabolic process   • phenol-containing compound metabolic process   • metabolic process   • regulation of catecholamine metabolic process   • regulation of metabolic process   • biogenic amine metabolic process   • regulation of dopamine metabolic process   • adult behavior   • regulation of tube diameter   • system process   • regulation of tube size   • regulation of system process   • circulatory system process   • regulation of blood circulation   • regulation of vasoconstriction   • vascular process in circulatory system   • regulation of multicellular organismal process   • blood vessel diameter maintenance   • regulation of biological quality   • blood circulation   • vasoconstriction   • regulation of anatomical structure size   • cell-cell signaling   • gamma-aminobutyric acid signaling pathway   • regulation of behavior   • serotonin metabolic process   • indole-containing compound metabolic process   • cellular response to nitrogen compound   • response to dopamine   • serotonin receptor signaling pathway   • cellular response to dopamine   • response to monoamine   • response to oxygen-containing compound   • response to nitrogen compound   • cellular response to oxygen-containing compound   • cellular response to chemical stimulus   • response to catecholamine   • cellular response to monoamine stimulus   • response to chemical   • cellular response to catecholamine stimulus   • cell population proliferation   • positive regulation of cell population proliferation   • regulation of cell population proliferation   • positive regulation of biological process   • positive regulation of cellular process   • regulation of localization   • regulation of hormone secretion   • transport   • hormone secretion   • localization   • regulation of secretion by cell   • secretion by cell   • signal release   • regulation of signaling   • regulation of transport   • secretion   • regulation of hormone levels   • export from cell   • establishment of localization   • regulation of secretion   • regulation of cell communication   • hormone transport   • monoamine transport   • nitrogen compound transport   • organic hydroxy compound transport   • monoatomic ion transport   • serotonin secretion   • regulation of monoatomic ion transport   • regulation of serotonin secretion   • serotonin transport   • trans-synaptic signaling   • synaptic signaling   • anterograde trans-synaptic signaling   • chemical synaptic transmission   • behavioral defense response   • fear response   • behavioral fear response   • defense response   • response to stress   • multicellular organismal response to stress   • G protein-coupled receptor signaling pathway, coupled to cyclic nucleotide second messenger   • electron transport chain   • generation of precursor metabolites and energy   • cell periphery   • cellular anatomical structure   • plasma membrane   • membrane   • somatodendritic compartment   • cell projection   • dendrite   • dendritic tree   • neuron projection   • plasma membrane bounded cell projection   • synapse   • cell junction   • periplasmic space   • protein binding   • binding   • G-protein beta-subunit binding   • fibroblast proliferation   • adenylate cyclase-activating dopamine receptor signaling pathway   • G protein-coupled dopamine receptor signaling pathway   • adenylate cyclase-activating G protein-coupled receptor signaling pathway   • response to ketone   • response to prostaglandin   • response to lipid   • response to endogenous stimulus   • response to alcohol   • cellular response to prostaglandin stimulus   • cellular response to endogenous stimulus   • cellular response to prostaglandin E stimulus   • cellular response to alcohol   • response to hormone   • cellular response to lipid   • response to prostaglandin E   • cellular response to ketone   • cellular response to hormone stimulus   • protein-containing complex   • extrinsic component of plasma membrane   • catalytic complex   • plasma membrane protein complex   • cytoplasmic side of membrane   • membrane protein complex   • heterotrimeric G-protein complex   • side of membrane   • cytoplasmic side of plasma membrane   • GTPase complex   • extrinsic component of membrane   • extrinsic component of cytoplasmic side of plasma membrane   • extracellular exosome   • membrane-bounded organelle   • extracellular vesicle   • extracellular organelle   • extracellular region   • organelle   • extracellular space   • vesicle   • extracellular membrane-bounded organelle   • enzyme binding   • GTPase binding   • protein-containing complex binding   • pyrophosphatase activity   • GTPase activity   • ribonucleoside triphosphate phosphatase activity   • hydrolase activity, acting on acid anhydrides, in phosphorus-containing anhydrides   • hydrolase activity   • hydrolase activity, acting on acid anhydrides   • catalytic activity   • signaling receptor complex adaptor activity   • protein-macromolecule adaptor activity   • molecular adaptor activity   • signaling adaptor activity   • sensory perception of chemical stimulus   • sensory perception   • nervous system process   • sensory perception of taste   • developmental process   • sensory organ development   • eye development   • animal organ development   • retina development in camera-type eye   • visual system development   • multicellular organism development   • camera-type eye development   • anatomical structure development   • sensory system development   • system development   • small GTPase-mediated signal transduction   • Ras protein signal transduction   • intracellular signal transduction   • intracellular signaling cassette   • phospholipase C-activating G protein-coupled receptor signaling pathway   • cellular response to acetylcholine   • acetylcholine receptor signaling pathway   • postsynaptic signal transduction   • G protein-coupled acetylcholine receptor signaling pathway   • response to acetylcholine   • non-motile cilium   • 9+0 non-motile cilium   • cilium   • photoreceptor disc membrane   • photoreceptor outer segment   • photoreceptor cell cilium   • organelle membrane   • intracellular anatomical structure   • cytoplasm   • cytosol   • vacuolar membrane   • lytic vacuole   • vacuole   • intracellular membrane-bounded organelle   • intracellular organelle   • lytic vacuole membrane   • bounding membrane of organelle   • lysosomal membrane   • lysosome
Gene OntologyCellular Component
SCOP2Domain Identifier• Transducin (heterotrimeric G protein), gamma chain
SCOP2Family Identifier• Transducin (heterotrimeric G protein), gamma chain
Membrane Protein Annotations-• Orientations of Proteins in Membranes database (OPM)   • Protein Data Bank of Transmembrane Proteins (PDBTM)   • MemProtMD


Details about the values in these tables can be found in the corresponding documentation page .
Code_L_
PDB ResiduesL:L:?1
Environment DetailsOpen EMBL-EBI Page
Code_L_
Name
Synonyms
Identifier
Formula
Molecular Weight
SMILES
PubChem
Formal Charge
Total Atoms
Total Chiral Atoms
Total Bonds
Total Aromatic Bonds

PDBsumOpen PDBsum Page
ChainA
ProteinG Protein α Sub unit
UniProtP19086
Sequence
>9VJG_Chain_A
SEKAARSID LRQRREIKL LLLGTSNSG KTIVKQMKI IHSGGFNLE 
ACKEYKPLI IYNAIDSLT RIIRALAAL RIDFHNPDR AYDAVQLFA 
LTGPAESKG EITPELLGV MRRLWADPG AQACFSRSS EYHLEDNAA 
YYLNDLERI AAADYIPTV EDILRSRDM TTGIVENKF TFKELTFKM 
VDVGQRSER KKWIHCFEG VTAIIFCVE LSGYDLTSR MASLLFDSI 
CNNWFITSL ILFLNKKDL LAEKIRRIP LTICFPEYK GQNTYEEAA 
VYIQRQFED LNRNKETKE IYSHFTCTD TSNIQFVFD AVTDVIIQN 
NLKYIGLCV ADAEKMKNE DGEKNAAKK DS


Click on each residue to open a popup with some information about it.

ConSurf Conservation Grade (See documentation): 

 n/a   1    2    3    4    5    6    7    8    9  

ChainB
ProteinG Protein β Sub unit
UniProtP62873
Sequence
>9VJG_Chain_B
LRQEAEQLK NQIRDARKA CADATLSQI TNNIDPVGR IQMRTRRTL 
RGHLAKIYA MHWGTDSRL LVSASQDGK LIIWDSYTT NKVHAIPLR 
SSWVMTCAY APSGNYVAC GGLDNICSI YNLKTREGN VRVSRELAG 
HTGYLSCCR FLDDNQIVT SSGDTTCAL WDIETGQQT TTFTGHTGD 
VMSLSLAPD TRLFVSGAC DASAKLWDV REGMCRQTF TGHESDINA 
ICFFPNGNA FATGSDDAT CRLFDLRAD QELMTYSHD NIICGITSV 
SFSKSGRLL LAGYDDFNC NVWDALKAD RAGVLAGHD NRVSCLGVT 
DDGMAVATG SWDSFLKIW N


Click on each residue to open a popup with some information about it.

ConSurf Conservation Grade (See documentation): 

 n/a   1    2    3    4    5    6    7    8    9  

ChainG
ProteinG Protein γ Sub unit
UniProtP59768
Sequence
>9VJG_Chain_G
SIAQARKLV EQLKMEANI DRIKVSKAA ADLMAYCEA HAKEDPLLT 
PVPASENPF R


Click on each residue to open a popup with some information about it.

ConSurf Conservation Grade (See documentation): 

 n/a   1    2    3    4    5    6    7    8    9  

ChainR
ProteinReceptor
UniProtP08908
Sequence
>9VJG_Chain_R
SYQVITSLL LGTLIFCAV LGNACVVAA IALERSLQN VANYLIGSL 
AVTDLMVSV LVLPMAALY QVLNKWTLG QVTCDLFIA LDVLCCTSS 
IHLCAIALD RYWAITDPI DYVNKRTPR RAAALISLT WLIGFLISI 
PPMLGWRPD ACTISKDHG YTIYSTFGA FYIPLLLML VLYGRIFRA 
ARFRIRKTR NAEAKRKMA LARERKTVK TLGIIMGTF ILCWLPFFI 
VALVLPFCE SSCHMPTLL GAIINWLGY SNSLLNPVI YAYFNKDFQ 
NAFKKIW


Click on each residue to open a popup with some information about it.

ConSurf Conservation Grade (See documentation): 

 n/a   1    2    3    4    5    6    7    8    9  




This receptor, from the same or other species and bound to the same or other ligands, is also present in the following networks:
Show PDB Class SubFamily Type SubType Species Orthosteric Ligand Other Ligand(s) Protein Partners Resolution Date DOI
7E2XAAmine5-Hydroxytryptamine5-HT1AHomo sapiens-PtdIns4PGi1/β1/γ232021-04-14doi.org/10.1038/s41586-021-03376-8
7E2X (No Gprot) AAmine5-Hydroxytryptamine5-HT1AHomo sapiens-PtdIns4P32021-04-14doi.org/10.1038/s41586-021-03376-8
7E2YAAmine5-Hydroxytryptamine5-HT1AHomo sapiensSerotoninPtdIns4PGi1/β1/γ232021-04-14doi.org/10.1038/s41586-021-03376-8
7E2Y (No Gprot) AAmine5-Hydroxytryptamine5-HT1AHomo sapiensSerotoninPtdIns4P32021-04-14doi.org/10.1038/s41586-021-03376-8
7E2ZAAmine5-Hydroxytryptamine5-HT1AHomo sapiensAripiprazolePtdIns4PGi1/β1/γ23.12021-04-14doi.org/10.1038/s41586-021-03376-8
7E2Z (No Gprot) AAmine5-Hydroxytryptamine5-HT1AHomo sapiensAripiprazolePtdIns4P3.12021-04-14doi.org/10.1038/s41586-021-03376-8
8JSPAAmine5-Hydroxytryptamine5-HT1AHomo sapiensUlotaront-Gi1/β1/γ23.652023-11-15doi.org/10.1038/s41586-023-06804-z
8JSP (No Gprot) AAmine5-Hydroxytryptamine5-HT1AHomo sapiensUlotaront-3.652023-11-15doi.org/10.1038/s41586-023-06804-z
8W8BAAmine5-Hydroxytryptamine5-HT1AHomo sapiensSEP-363856-Gi1/β1/γ232023-11-22doi.org/10.1038/s41586-023-06775-1
8W8B (No Gprot) AAmine5-Hydroxytryptamine5-HT1AHomo sapiensSEP-363856-32023-11-22doi.org/10.1038/s41586-023-06775-1
8FY8AAmine5-Hydroxytryptamine5-HT1AHomo sapiens5-MeO-DMTPtdIns4PGi1/β1/γ12.792024-05-15doi.org/10.1038/s41586-024-07403-2
8FY8 (No Gprot) AAmine5-Hydroxytryptamine5-HT1AHomo sapiens5-MeO-DMTPtdIns4P2.792024-05-15doi.org/10.1038/s41586-024-07403-2
8FYEAAmine5-Hydroxytryptamine5-HT1AHomo sapiens4-F,5-MeO-PyrTPtdIns4PGi1/β1/γ12.852024-05-15doi.org/10.1038/s41586-024-07403-2
8FYE (No Gprot) AAmine5-Hydroxytryptamine5-HT1AHomo sapiens4-F,5-MeO-PyrTPtdIns4P2.852024-05-15doi.org/10.1038/s41586-024-07403-2
8FYLAAmine5-Hydroxytryptamine5-HT1AHomo sapiensVilazodonePtdIns4PGi1/β1/γ12.942024-05-15doi.org/10.1038/s41586-024-07403-2
8FYL (No Gprot) AAmine5-Hydroxytryptamine5-HT1AHomo sapiensVilazodonePtdIns4P2.942024-05-15doi.org/10.1038/s41586-024-07403-2
8FYTAAmine5-Hydroxytryptamine5-HT1AHomo sapiensLSDPtdIns4PGi1/β1/γ12.642024-05-15doi.org/10.1038/s41586-024-07403-2
8FYT (No Gprot) AAmine5-Hydroxytryptamine5-HT1AHomo sapiensLSDPtdIns4P2.642024-05-15doi.org/10.1038/s41586-024-07403-2
8FYXAAmine5-Hydroxytryptamine5-HT1AHomo sapiensBuspironePtdIns4PGi1/β1/γ12.722024-05-15doi.org/10.1038/s41586-024-07403-2
8FYX (No Gprot) AAmine5-Hydroxytryptamine5-HT1AHomo sapiensBuspironePtdIns4P2.722024-05-15doi.org/10.1038/s41586-024-07403-2
8PJKAAmine5-Hydroxytryptamine5-HT1AHomo sapiensST171-Gi1/β1/γ12.42024-05-29doi.org/10.1126/sciadv.adv9267
8PJK (No Gprot) AAmine5-Hydroxytryptamine5-HT1AHomo sapiensST171-2.42024-05-29doi.org/10.1126/sciadv.adv9267
8PKMAAmine5-Hydroxytryptamine5-HT1AHomo sapiensBefiradol-Gi1/β1/γ12.92024-05-29doi.org/10.1126/sciadv.adv9267
8PKM (No Gprot) AAmine5-Hydroxytryptamine5-HT1AHomo sapiensBefiradol-2.92024-05-29doi.org/10.1126/sciadv.adv9267
8JT6AAmine5-Hydroxytryptamine5-HT1AHomo sapiens(R)-IHCH-7179PtdIns4PGi1/β1/γ232024-02-28doi.org/10.1016/j.cell.2024.02.034
8JT6 (No Gprot) AAmine5-Hydroxytryptamine5-HT1AHomo sapiens(R)-IHCH-7179PtdIns4P32024-02-28doi.org/10.1016/j.cell.2024.02.034
9GL2AAmine5-Hydroxytryptamine5-HT1AHomo sapiensBefiradol-Gs/β1/γ23.22025-07-02doi.org/10.1126/sciadv.adv9267
9GL2 (No Gprot) AAmine5-Hydroxytryptamine5-HT1AHomo sapiensBefiradol-3.22025-07-02doi.org/10.1126/sciadv.adv9267
9DYDAAmine5-Hydroxytryptamine5-HT1AHomo sapiensAsenapinePtdIns4PGo/β1/γ22.962025-08-13doi.org/10.1126/sciadv.adu9851
9DYD (No Gprot) AAmine5-Hydroxytryptamine5-HT1AHomo sapiensAsenapinePtdIns4P2.962025-08-13doi.org/10.1126/sciadv.adu9851
9DYEAAmine5-Hydroxytryptamine5-HT1AHomo sapiensBuspironePtdIns4PGo/β1/γ22.92025-08-13doi.org/10.1126/sciadv.adu9851
9DYE (No Gprot) AAmine5-Hydroxytryptamine5-HT1AHomo sapiensBuspironePtdIns4P2.92025-08-13doi.org/10.1126/sciadv.adu9851
9DYFAAmine5-Hydroxytryptamine5-HT1AHomo sapiensAsenapinePtdIns4PGi1/β1/γ22.742025-08-13doi.org/10.1126/sciadv.adu9851
9DYF (No Gprot) AAmine5-Hydroxytryptamine5-HT1AHomo sapiensAsenapinePtdIns4P2.742025-08-13doi.org/10.1126/sciadv.adu9851
9MD1AAmine5-Hydroxytryptamine5-HT1AHomo sapiensBuspironePtdIns4PGz/β1/γ23.032025-08-13doi.org/10.1126/sciadv.adu9851
9MD1 (No Gprot) AAmine5-Hydroxytryptamine5-HT1AHomo sapiensBuspironePtdIns4P3.032025-08-13doi.org/10.1126/sciadv.adu9851
9VJ5AAmine5-Hydroxytryptamine5-HT1AHomo sapiensGepirone-Go/β1/γ22.692025-11-12To be published
9VJ5 (No Gprot) AAmine5-Hydroxytryptamine5-HT1AHomo sapiensGepirone-2.692025-11-12To be published
9VJ6AAmine5-Hydroxytryptamine5-HT1AHomo sapiensF-15599-Gi3/β1/γ22.622025-11-12To be published
9VJ6 (No Gprot) AAmine5-Hydroxytryptamine5-HT1AHomo sapiensF-15599-2.622025-11-12To be published
9VJEAAmine5-Hydroxytryptamine5-HT1AHomo sapiensBuspirone-Go/β1/γ22.472025-11-12To be published
9VJE (No Gprot) AAmine5-Hydroxytryptamine5-HT1AHomo sapiensBuspirone-2.472025-11-12To be published
9VJFAAmine5-Hydroxytryptamine5-HT1AHomo sapiensBuspirone-Gi3/β1/γ22.72025-11-12To be published
9VJF (No Gprot) AAmine5-Hydroxytryptamine5-HT1AHomo sapiensBuspirone-2.72025-11-12To be published
9VJG (No Gprot) AAmine5-Hydroxytryptamine5-HT1AHomo sapiens8-OH-DPAT-2.672025-11-12To be published
9VMYAAmine5-Hydroxytryptamine5-HT1AHomo sapiensTMU4142-Go/β1/γ22.862025-11-12To be published
9VMY (No Gprot) AAmine5-Hydroxytryptamine5-HT1AHomo sapiensTMU4142-2.862025-11-12To be published
9VNFAAmine5-Hydroxytryptamine5-HT1AHomo sapiensPindolol-Go/β1/γ22.742025-11-12To be published
9VNF (No Gprot) AAmine5-Hydroxytryptamine5-HT1AHomo sapiensPindolol-2.742025-11-12To be published
9KVGAAmine5-Hydroxytryptamine5-HT1AHomo sapiens5-MeO-DMTPtdIns4PGi1/β1/γ22.632025-12-03To be published
9KVG (No Gprot) AAmine5-Hydroxytryptamine5-HT1AHomo sapiens5-MeO-DMTPtdIns4P2.632025-12-03To be published
9KVHAAmine5-Hydroxytryptamine5-HT1AHomo sapiensCinobufoteninePtdIns4PGi1/β1/γ22.592025-12-03To be published
9KVH (No Gprot) AAmine5-Hydroxytryptamine5-HT1AHomo sapiensCinobufoteninePtdIns4P2.592025-12-03To be published
9KVIAAmine5-Hydroxytryptamine5-HT1AHomo sapiensBufoteninPtdIns4PGi1/β1/γ22.542025-12-03To be published
9KVI (No Gprot) AAmine5-Hydroxytryptamine5-HT1AHomo sapiensBufoteninPtdIns4P2.542025-12-03To be published
9HYIAAmine5-Hydroxytryptamine5-HT1AHomo sapiensDP81-Gi1/β1/γ22.32026-01-21To be published
9HYI (No Gprot) AAmine5-Hydroxytryptamine5-HT1AHomo sapiensDP81-2.32026-01-21To be published




You can download a compressed (zip) file with structure(s), 3D outputs (as PyMol and VMD scripts) and numerical data files (as csv and plain text files).

Download 9VJG.zip



You can click to copy the link of this page to easily come back here later

or use this QR code to link and share this page.



You can also  read or  download a guide explaining the meaning of all files and numerical data.