Color ConSurf Grade
      No Conservation data available
      1
      2
      3
      4
      5
      6
      7
      8
      9

Index: hub id, click on each number to highlight the corresponding hub in the 3D visualization.

Hub: the hub being considered.

Avg Int. Strength: the average interaction strength of all the links of the corresponding hub.

Num Of Links: the number of links of the corresponding hub.

Community: the id of the community the link belong to, otherwise 0.

ConSurf: this column reports the ConSurf conservation grades of each hub.

Index Hub Avg Int. Strength Num Of Links Community ConSurf
1A:A:Q19 9.43754184
2A:A:V214 4.155436
3A:A:F219 5.45738
4A:A:F222 6.18407
5A:A:Q227 4.9125459
6A:A:K233 4.54459
7A:A:W234 5.68409
8A:A:I244 4.0425408
9A:A:S251 4.1654219
10A:A:F273 4.535129
11A:A:W281 7.94833685
12A:A:F290 5.7285159
13A:A:K293 3.30754219
14A:A:F312 5.1125408
15A:A:F315 8.77506
16A:A:Y318 7.18406
17A:A:P321 5.6475405
18A:A:K338 6.6975405
19A:A:Y339 6.5675403
20A:A:F340 8.072507
21A:A:R342 5.644504
22A:A:F345 6.62254128
23A:A:S352 4.8075405
24A:A:C359 4.2885125
25A:A:Y360 6.402538
26A:A:D368 6.43254159
27A:A:N371 7.5345159
28A:A:R373 6.6825405
29A:A:F376 5.27333638
30A:A:R380 5.77537
31A:A:R385 8.185435
32A:A:Y391 5.4985194
33A:A:L393 3.94408
34B:B:L14 4.132508
35B:B:I37 5.92402
36B:B:H54 8.8225409
37B:B:K57 8.17409
38B:B:Y59 6.66488
39B:B:W63 7.6425107
40B:B:L70 6.154105
41B:B:I80 5.50254108
42B:B:W82 13.5354109
43B:B:D83 11.07754188
44B:B:T86 7.914186
45B:B:K89 6.743336109
46B:B:I93 5.65407
47B:B:L95 3.67408
48B:B:Y105 4.865406
49B:B:Y124 6.1925406
50B:B:L139 5.6025409
51B:B:H142 7.8975479
52B:B:Y145 4.405658
53B:B:F151 5.845409
54B:B:L152 3.1475403
55B:B:I157 6.61407
56B:B:D163 9.6479
57B:B:W169 6.76833678
58B:B:F180 7.96547
59B:B:H183 6.43549
60B:B:V187 4.442549
61B:B:K209 9.6725446
62B:B:W211 7.75167648
63B:B:T221 5.9975447
64B:B:F222 9.445428
65B:B:H225 9.814529
66B:B:D228 6.34459
67B:B:I229 4.2375427
68B:B:I232 5.075428
69B:B:F234 7.47425
70B:B:F235 6.24833666
71B:B:P236 6.3775467
72B:B:F241 6.12143726
73B:B:D247 7.746529
74B:B:R251 10.342528
75B:B:F253 7.21333626
76B:B:D258 12.555427
77B:B:M262 6.1125404
78B:B:Y264 6.72405
79B:B:C271 4.4405
80B:B:F278 6.7525467
81B:B:R283 7.75409
82B:B:C294 3.89754135
83B:B:L300 4.84226
84B:B:K301 6.475405
85B:B:V307 4.31754233
86B:B:H311 8.1925409
87B:B:R314 10.456588
88B:B:L318 3.50254136
89B:B:T329 6.1254138
90B:B:W332 11.82589
91B:B:K337 7.5454136
92B:B:W339 9.256676139
93B:B:N340 5.586599
94G:G:Y40 8.635466
95G:G:D48 8.2175409
96G:G:N59 5.785499
97G:G:P60 7.1499
98G:G:F61 6.00286798
99L:L:H125 5.43167619
100L:L:D127 5.5425419
101L:L:F130 5.436509
102L:L:L137 2.635405
103L:L:L151 6.275408
104R:R:F27 4.025406
105R:R:Q31 4.28404
106R:R:I38 2.9054246
107R:R:W64 12.95119
108R:R:P66 3.63754244
109R:R:R82 9.246676164
110R:R:F84 9.754165
111R:R:D107 8.4625403
112R:R:D110 6.9025404
113R:R:M111 5.5475403
114R:R:V113 2.1475401
115R:R:W123 15.36176119
116R:R:F131 10.66404
117R:R:Y149 3.235404
118R:R:Y150 4.8175404
119R:R:Y157 7.8725408
120R:R:Y161 5.90625817
121R:R:F178 8.2285146
122R:R:K180 7.62254147
123R:R:R185 9.33254199
124R:R:N186 5.13409
125R:R:H189 4.63254199
126R:R:R199 5.35518
127R:R:K206 4.862516
128R:R:Y211 6.71167614
129R:R:V229 2.2975416
130R:R:M230 4.2725416
131R:R:F233 6.196516
132R:R:H234 6.3675417
133R:R:S239 5.514178
134R:R:Y241 8.09417
135R:R:W243 11.52336179
136R:R:I246 5.1575408
137R:R:E247 7.00754199
138R:R:Y250 6.51408
139R:R:F252 5.1225407
140R:R:T258 6.53437
141R:R:F259 7.02571737
142R:R:F260 7.735406
143R:R:F266 4.13406
144R:R:Y269 5.952507
145R:R:W274 12.07254178
146R:R:P277 3.445409
147R:R:W284 5.74408
148R:R:W297 15.54254268
149R:R:D298 5.726516
150R:R:W306 8.61667615
151R:R:V314 2.105404
152R:R:L357 6.675408
153R:R:F362 7.274509
154R:R:H365 8.0575419
155R:R:Y366 10.154518
156R:R:F369 8.6375406
157R:R:R381 6.0975407
158R:R:L386 5.68408
159R:R:Q392 5.7375419
160R:R:E410 11.685148
   

Color ConSurf Grade
      No Conservation data available
      1
      2
      3
      4
      5
      6
      7
      8
      9

Index: link id, click on each number to highlight the corresponding link in the 3D visualization.

Node1 Node2: the two nodes of the corresponding link.

Recurrence: the relative Recurrence in the pool of shortest paths.

Int. Strength: the interaction strength between the two nodes.

Hub1?, Hub2?: "Yes" if the corresponding node has more than 3 links, otherwise "No".

Community: the id of the community the link belong to, otherwise 0.

ConSurf1, ConSurf2: these columns report the ConSurf conservation grades of the two nodes involved in a link.

Index Node1 Node2 Recurrence Int. Strength Hub1? Hub2? Community ConSurf1 ConSurf2
1A:A:N23 B:B:N88 11.1536.81NoNo077
2A:A:N23 B:B:K89 10.87159.79NoYes079
3B:B:D83 B:B:L69 22.06674.07YesNo085
4B:B:L69 B:B:Y105 22.33753.52NoYes056
5B:B:H62 B:B:Y105 22.74524.36NoYes066
6B:B:H62 B:B:R150 22.88196.77NoNo066
7B:B:C148 B:B:R150 22.99464.18NoNo066
8B:B:C148 B:B:L190 23.27243.17NoNo065
9B:B:L190 B:B:S160 37.7933NoNo056
10B:B:S147 B:B:S160 41.28013.26NoNo096
11B:B:M188 B:B:S147 41.41624.6NoNo089
12A:A:K233 B:B:M188 41.28967.2YesNo598
13A:A:K233 B:B:Y145 74.24833.58YesYes598
14B:B:L117 B:B:Y145 80.61663.52NoYes098
15B:B:L117 B:B:W99 80.74156.83NoNo099
16A:A:F238 B:B:W99 82.412516.04NoNo099
17A:A:F238 A:A:L44 84.13319.74NoNo099
18A:A:I244 A:A:L44 84.25728.56YesNo089
19A:A:I244 A:A:V287 86.50713.07YesNo086
20A:A:C359 A:A:V287 86.39183.42YesNo1256
21A:A:C359 A:A:P361 90.50773.77YesNo055
22A:A:P361 A:A:R342 90.63025.76NoYes054
23A:A:R342 A:A:Y339 91.18925.14YesYes043
24A:A:K338 A:A:Y339 96.53424.78YesYes053
25A:A:K338 A:A:Q294 97.864314.92YesNo056
26A:A:L297 A:A:Q294 97.9855.32NoNo086
27A:A:L297 A:A:S251 98.10573NoYes089
28A:A:K293 A:A:S251 98.32313.06YesYes2199
29A:A:K293 A:A:N292 99.074.2YesNo099
30A:A:I56 A:A:N292 99.67178.5NoNo079
31A:A:I56 A:A:M60 99.88054.37NoNo079
32A:A:M221 A:A:M60 1007.22NoNo089
33A:A:L43 A:A:M221 50.064.24NoNo078
34A:A:F219 A:A:L43 50.11386.09YesNo087
35A:A:F219 A:A:H41 23.81014.53YesNo086
36A:A:H41 R:R:F259 23.79325.66NoYes067
37R:R:F259 R:R:F260 76.01034.29YesYes076
38R:R:E257 R:R:F260 75.74838.16NoYes056
39R:R:E257 R:R:Y265 75.6615.61NoNo054
40R:R:E262 R:R:Y265 26.04974.49NoNo064
41R:R:E262 R:R:F266 25.94933.5NoYes066
42A:A:F212 A:A:M221 50.066.22NoNo098
43A:A:F212 A:A:F219 50.11388.57NoYes098
44A:A:F219 A:A:V217 23.78526.55YesNo385
45A:A:V217 R:R:F259 23.776714.42NoYes357
46A:A:F219 A:A:F376 28.8154.29YesYes388
47A:A:F376 R:R:F259 23.86987.5YesYes387
48A:A:C379 A:A:F219 23.78524.19NoYes088
49A:A:C379 R:R:F259 23.77684.19NoYes087
50A:A:K233 B:B:D228 33.2174.15YesYes599
51R:R:F259 R:R:T258 19.63597.78YesYes377
52A:A:H387 A:A:I383 24.44263.98NoNo088
53A:A:I383 R:R:T258 24.55746.08NoYes087
54A:A:H387 R:R:L254 24.212919.28NoNo087
55A:A:L393 A:A:Y391 10.09184.69YesYes084
56A:A:Y391 R:R:E247 30.16194.49YesYes1949
57R:R:E247 R:R:I188 61.61138.2YesNo099
58R:R:I188 R:R:Y250 43.28777.25NoYes098
59R:R:L254 R:R:Y250 23.98325.86NoYes078
60R:R:Y250 R:R:Y269 20.11727.94YesYes087
61R:R:Y265 R:R:Y269 49.682810.92NoYes047
62R:R:F266 R:R:I188 18.81253.77YesNo069
63A:A:Y391 R:R:R185 19.50149.26YesYes1949
64R:R:E247 R:R:H189 22.05617.39YesYes1999
65R:R:H189 R:R:R185 19.46983.39YesYes1999
66B:B:L285 B:B:Y264 14.73998.21NoYes065
67R:R:N186 R:R:R185 37.67474.82YesYes099
68R:R:L181 R:R:N186 41.85815.49NoYes099
69R:R:E410 R:R:L181 37.374115.9YesNo1489
70R:R:E410 R:R:K180 30.65076.75YesYes1487
71B:B:D312 R:R:K180 29.908913.83NoYes057
72B:B:D312 B:B:D333 29.16187.98NoNo059
73B:B:D333 B:B:F335 28.414710.75NoNo094
74B:B:F335 B:B:R52 26.920314.97NoNo047
75B:B:R52 B:B:T50 26.173110.35NoNo073
76B:B:K337 B:B:T50 25.42599.01YesNo063
77B:B:K337 B:B:W339 14.20945.8YesYes1369
78B:B:D153 B:B:Q156 13.41863.92NoNo055
79B:B:D153 B:B:N155 13.133810.77NoNo053
80B:B:E172 B:B:N155 12.84911.83NoNo063
81B:B:E172 B:B:I171 11.70959.56NoNo066
82B:B:I157 B:B:I171 11.42462.94YesNo076
83B:B:L190 B:B:V158 14.40842.98NoNo055
84B:B:D228 B:B:S227 33.05925.89YesNo096
85B:B:D247 B:B:S227 32.91914.42YesNo096
86B:B:D247 B:B:H225 21.33886.3YesYes299
87B:B:H225 B:B:I229 10.46173.98YesYes297
88B:B:D247 B:B:S245 10.58777.36YesNo299
89B:B:I229 B:B:S245 10.44544.64YesNo279
90B:B:F253 B:B:H225 10.33064.53YesYes269
91B:B:I229 B:B:T243 20.33893.04YesNo078
92B:B:C250 B:B:Y264 17.13314.03NoYes085
93B:B:C250 B:B:I273 17.9576.55NoNo086
94B:B:G244 B:B:I273 19.13.53NoNo056
95B:B:G244 B:B:T243 19.37893.64NoNo058
96R:R:I246 R:R:Y269 31.02173.63YesYes087
97R:R:I246 R:R:W243 30.52485.87YesYes089
98R:R:S195 R:R:W243 28.16778.65NoYes1799
99R:R:N240 R:R:S195 28.14995.96NoNo099
100R:R:N240 R:R:R199 27.32889.64NoYes098
101R:R:R199 R:R:Y241 14.38666.17YesYes187
102L:L:H125 R:R:Y241 14.21263.27YesYes197
103L:L:H125 R:R:W306 12.81584.23YesYes195
104R:R:N300 R:R:W306 12.161918.08NoYes065
105L:L:D132 R:R:N300 12.054912.12NoNo096
106L:L:D132 L:L:R136 11.83794.76NoNo099
107L:L:R136 R:R:P86 11.7324.32NoNo092
108R:R:D107 R:R:P86 11.52073.22YesNo032
109R:R:D107 R:R:D110 10.37679.31YesYes034
Download PSN data

2D representation of the global metapath, ligand(s) interactions and
histograms of path distribution according to several parameters
(click on the image to enlarge it 🔍):

A 2D representation of the global communication in the network.

ConSurf Conservation Grade (See documentation): 

 n/a   1    2    3    4    5    6    7    8    9  

Number of shortest communication paths as a function of the average residue correlation.

Number of shortest communication paths as a function of the average interaction strength of their links.

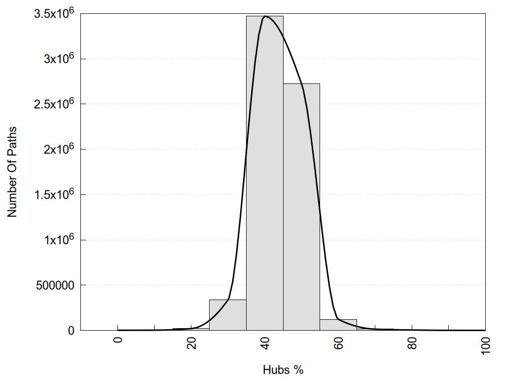
Number of shortest communication paths as a function of the % of hub nodes in each path.

Number of shortest communication paths as a function of the number of nodes in each path.

Number of shortest communication paths as a function of the % of correlated nodes in each path.


2D representation of the interactions of this orthosteric/allosteric ligand.


Links and nodes colored according to ConSurf Conservation Grade (See documentation): 

 n/a   1    2    3    4    5    6    7    8    9  

Node1 Node2 LinkStrength Comm IsNode1Hub? IsNode2Hub? Node1Cons Node2Cons Node1Shell Node2Shell
L:L:H125 R:R:F233 3.39 1 Yes Yes 9 6 0 1
L:L:H125 R:R:H234 4.78 1 Yes Yes 9 7 0 1
L:L:H125 R:R:V237 11.07 1 Yes No 9 6 0 1
L:L:H125 R:R:Y241 3.27 1 Yes Yes 9 7 0 1
L:L:H125 R:R:W306 4.23 1 Yes Yes 9 5 0 1
L:L:S126 R:R:E385 5.75 0 No No 9 8 0 1
L:L:S126 R:R:L386 6.01 0 No Yes 9 8 0 1
L:L:D127 R:R:Y161 3.45 1 Yes Yes 9 7 0 1
L:L:D127 R:R:R199 4.76 1 Yes Yes 9 8 0 1
L:L:D127 R:R:F233 7.17 1 Yes Yes 9 6 0 1
L:L:D127 R:R:L386 6.79 1 Yes Yes 9 8 0 1
L:L:V129 R:R:E374 7.13 0 No No 7 4 0 1
L:L:F130 R:R:Y150 5.16 0 Yes Yes 9 4 0 1
L:L:F130 R:R:V153 3.93 0 Yes No 9 6 0 1
L:L:F130 R:R:Y157 11.35 0 Yes Yes 9 8 0 1
L:L:F130 R:R:L382 3.65 0 Yes No 9 5 0 1
L:L:T131 R:R:K206 6.01 1 No Yes 9 6 0 1
L:L:T131 R:R:Y211 3.75 1 No Yes 9 4 0 1
L:L:T131 R:R:D298 4.34 1 No Yes 9 6 0 1
L:L:D132 R:R:M299 4.16 0 No No 9 5 0 1
L:L:D132 R:R:N300 12.12 0 No No 9 6 0 1
L:L:N133 R:R:Y150 5.81 0 No Yes 8 4 0 1
L:L:N133 R:R:K378 13.99 0 No No 8 5 0 1
L:L:Y134 R:R:Y211 15.89 1 No Yes 8 4 0 1
L:L:T135 R:R:D298 8.67 0 No Yes 9 6 0 1
L:L:T135 R:R:M299 6.02 0 No No 9 5 0 1
L:L:R136 R:R:P86 4.32 0 No No 9 2 0 1
L:L:R138 R:R:Y211 3.09 1 No Yes 8 4 0 1
L:L:Q140 R:R:F84 3.51 0 No Yes 7 5 0 1
L:L:K144 R:R:F81 7.44 0 No No 8 6 0 1
L:L:K144 R:R:F84 4.96 0 No Yes 8 5 0 1
L:L:Y146 R:R:F27 9.28 0 No Yes 8 6 0 1
L:L:Y146 R:R:Q31 5.64 0 No Yes 8 4 0 1
L:L:L147 R:R:F81 23.14 0 No No 9 6 0 1
L:L:I150 R:R:N60 11.33 0 No No 6 6 0 1
L:L:L151 R:R:I61 9.99 0 Yes No 8 4 0 1
R:R:K28 R:R:Q31 4.07 0 No Yes 3 4 2 1
R:R:A32 R:R:Q31 3.03 0 No Yes 2 4 2 1
R:R:Q31 R:R:W58 4.38 0 Yes No 4 7 1 2
R:R:F131 R:R:I61 21.35 0 Yes No 4 4 2 1
R:R:F84 R:R:R82 16.03 16 Yes Yes 5 4 1 2
R:R:N85 R:R:R82 7.23 16 No Yes 3 4 2 2
R:R:I83 R:R:P86 3.39 0 No No 4 2 2 1
R:R:F84 R:R:N85 14.5 16 Yes No 5 3 1 2
R:R:D107 R:R:P86 3.22 0 Yes No 3 2 2 1
R:R:D147 R:R:L151 6.79 0 No No 1 2 1 2
R:R:Y149 R:R:Y150 5.96 0 Yes Yes 4 4 2 1
R:R:L382 R:R:Y149 4.69 0 No Yes 5 4 1 2
R:R:K154 R:R:Y157 5.97 0 No Yes 5 8 2 1
R:R:D207 R:R:K154 9.68 0 No No 7 5 2 2
R:R:Y157 R:R:Y161 5.96 0 Yes Yes 8 7 1 1
R:R:L386 R:R:Y157 8.21 0 Yes Yes 8 8 1 1
R:R:R199 R:R:Y161 3.09 1 Yes Yes 8 7 1 1
R:R:A200 R:R:Y161 4 0 No Yes 8 7 2 1
R:R:V203 R:R:Y161 10.09 0 No Yes 7 7 2 1
R:R:F204 R:R:Y161 4.13 0 No Yes 7 7 2 1
R:R:S390 R:R:Y161 13.99 0 No Yes 9 7 2 1
R:R:N240 R:R:R199 9.64 0 No Yes 9 8 2 1
R:R:R199 R:R:Y241 6.17 1 Yes Yes 8 7 1 1
R:R:R199 R:R:Y366 3.09 1 Yes Yes 8 8 1 2
R:R:K206 R:R:Y211 3.58 1 Yes Yes 6 4 1 1
R:R:K206 R:R:M230 5.76 1 Yes Yes 6 6 1 2
R:R:F233 R:R:K206 7.44 1 Yes Yes 6 6 1 1
R:R:D207 R:R:Y211 5.75 0 No Yes 7 4 2 1
R:R:L210 R:R:Y211 8.21 1 No Yes 7 4 2 1
R:R:L210 R:R:M230 5.65 1 No Yes 7 6 2 2
R:R:D298 R:R:L210 6.79 1 Yes No 6 7 1 2
R:R:D298 R:R:M230 4.16 1 Yes Yes 6 6 1 2
R:R:F233 R:R:H234 9.05 1 Yes Yes 6 7 1 1
R:R:F233 R:R:V237 3.93 1 Yes No 6 6 1 1
R:R:H234 R:R:W284 7.41 1 Yes Yes 7 8 1 2
R:R:H234 R:R:W306 4.23 1 Yes Yes 7 5 1 1
R:R:V313 R:R:Y241 5.05 0 No Yes 7 7 2 1
R:R:Y241 R:R:Y366 17.87 1 Yes Yes 7 8 1 2
R:R:I309 R:R:W284 10.57 0 No Yes 7 8 2 2
R:R:C296 R:R:D298 4.67 0 No Yes 9 6 2 1
R:R:N300 R:R:W306 18.08 0 No Yes 6 5 1 1
R:R:I309 R:R:W306 10.57 0 No Yes 7 5 2 1
R:R:K310 R:R:W306 6.96 0 No Yes 6 5 2 1
R:R:E374 R:R:W306 7.63 0 No Yes 4 5 1 1
R:R:E385 R:R:Y366 10.1 0 No Yes 8 8 1 2
R:R:F369 R:R:R381 17.1 0 Yes Yes 6 7 2 2
R:R:E385 R:R:F369 8.16 0 No Yes 8 6 1 2
R:R:E374 R:R:R381 4.65 0 No Yes 4 7 1 2
R:R:K378 R:R:N375 6.99 0 No No 5 5 1 2
R:R:C25 R:R:F27 2.79 0 No Yes 4 6 2 1
L:L:A142 R:R:F27 2.77 0 No Yes 9 6 0 1
L:L:L137 R:R:D147 2.71 0 Yes No 5 1 0 1
L:L:L137 R:R:Q146 2.66 0 Yes No 5 1 0 1
L:L:V143 R:R:F81 2.62 0 No No 6 6 0 1
R:R:S164 R:R:Y161 2.54 0 No Yes 9 7 2 1
L:L:L137 R:R:Y150 2.34 0 Yes Yes 5 4 0 1
R:R:C236 R:R:V237 1.71 0 No No 5 6 2 1
R:R:G387 R:R:L386 1.71 0 No Yes 5 8 2 1
R:R:K206 R:R:V229 1.52 1 Yes Yes 6 6 1 2
R:R:M230 R:R:V229 1.52 1 Yes Yes 6 6 2 2
L:L:K139 R:R:M299 1.44 0 No No 8 5 0 1
R:R:I61 R:R:N60 1.42 0 No No 4 6 1 1
L:L:L151 R:R:D132 1.36 0 Yes No 8 6 0 1
R:R:F27 R:R:I26 1.26 0 Yes No 6 5 1 2
R:R:D132 R:R:H129 1.26 0 No No 6 2 1 2

Location and physicochemical properties of the interaction partners of this ligand

Interactions of this ligand

Similarities between the interactions of this ligand and those of other networks

ShowSimilarityNetwork TypeNameLigandDescription
91.67Single9P93VIP9P93-PAC1-VIP-Gs/β1/γ2
91.30Single8E3XPACAP278E3X-PAC1-PACAP27-Gs/β1/γ2
87.50Single9P94PACAP279P94-PAC1-PACAP27-Gs/β1/γ2
86.96Single8E3YPACAP278E3Y-VPAC1-PACAP27-Gs/β1/γ2
84.00Single7KI1Taspoglutide7KI1-GLP-1-Taspoglutide-Gs/β1/γ2
84.00Single9BYOExendin-39BYO-GLP-1-Exendin-3-Gs/β1/γ2
84.00Consensusvip-pacap_onOrthosteric Ligandvpac_on pac_on
84.00Consensusvip-pacap_on_gpOrthosteric Ligandvpac_on_gp pac_on_gp
83.33Consensuspac_on_gpOrthosteric Ligandpac1_on_gp
80.00Single6VCBGLP-16VCB-GLP-1-GLP-1-LSN3160440-Gs/β1/γ2
80.00Single7S1MExendin-4-D-Ala7S1M-GLP-1-Exendin-4-D-Ala-Gs/β1/γ2
79.17Single6X18GLP-16X18-GLP-1-GLP-1-Gs/β1/γ2
79.17Single8E3ZVIP8E3Z-VPAC1-VIP-Gs/β1/γ2
79.17Single9E2AGLP-19E2A-GLP-1-GLP-1-Gs/β1/γ2
79.17Consensuspac_onOrthosteric Ligandpac1_on
77.78Single6LPBPACAP276LPB-PAC1-PACAP27-Gs/β1/γ1
76.92Single6WZGSecretin6WZG-Secretin-Secretin-Gs/β1/γ2
76.00Single7D3SSecretin7D3S-Secretin-Secretin-Gs/β1/γ2
76.00Single7RA3GIP7RA3-GIP-GIP-chim(NtGi1-Gs)/β1/γ2
76.00Single9J1Pg1:Ox9J1P-GLP-1-g1:Ox-chim(NtGi1-Gs)/β1/γ2
75.00Single6M1IPACAP276M1I-PAC1-PACAP27-Gs/β1/γ2
75.00Single9EBOGLP-1 (ACPC18)9EBO-GLP-1-GLP-1 (ACPC18)-Gs/β1/γ2
74.07Single7DUQGLP-17DUQ-GLP-1-GLP-1-PubChem 156022738-Gs/β1/γ2
73.91Single7VBITirzepatide (non-acylated)7VBI-GLP-1-Tirzepatide (non-acylated)-Gs/β1/γ2
72.00Consensusvpac_onOrthosteric Ligandvpac1_on vpac2_on
71.43Single8FLSAbaloparatide8FLS-PTH1-Abaloparatide-Gs/β1/γ2
69.23Single7KI0Semaglutide7KI0-GLP-1-Semaglutide-Gs/β1/γ2
69.23Single7RGPTirzepatide7RGP-GLP-1-Tirzepatide-chim(NtGi1-Gs)/β1/γ2
69.23Single8JISPeptide-158JIS-GLP-1-Peptide-15-chim(NtGi1-Gs)/β1/γ2
69.23Consensusvpac_on_gpOrthosteric Ligandvpac1_on_gp vpac2_on_gp
68.97Single7VVMPTH7VVM-PTH1-PTH-Gs/β1/γ2
68.00Single7FIMTirzepatide7FIM-GLP-1-Tirzepatide-Gs/β1/γ2
68.00Single7V9MSomatoliberin7V9M-GHRH (SV1)-Somatoliberin-Gs/β1/γ2
66.67Single7DTYGIP7DTY-GIP-GIP-Gs/β1/γ2
66.67Single7FIYTirzepatide7FIY-GIP-Tirzepatide-Gs/β1/γ2
66.67Single7VQXPACAP277VQX-VPAC1-PACAP27-Gs/β1/γ2
66.67Consensusglp_onOrthosteric Ligandglp1_on glp2_on
66.67Consensusglp_on_gpOrthosteric Ligandglp1_on_gp glp2_on_gp
65.52Single8FLULA-PTH Analog8FLU-PTH1-LA-PTH Analog-Gs/β1/γ2
65.38Single7LLYOxyntomodulin7LLY-GLP-1-Oxyntomodulin-Gs/β1/γ2
65.38Single7WBJPACAP277WBJ-VPAC1-PACAP27-Gs/β1/γ2
64.29Single7D68GLP-27D68-GLP-2-GLP-2-Gs/β1/γ2
64.29Single8HAFPTHrP(1-36)8HAF-PTH1-PTHrP(1-36)-chim(NtGi1-Gs)/β1/γ2
64.00Single6VN7PACAP276VN7-VPAC1-PACAP27-Gs/β1/γ2
63.33Single6WPWZP37806WPW-Glucagon-ZP3780-Gs/β1/γ2
62.96Single6P9YPACAP276P9Y-PAC1-PACAP27-Gs/β1/γ2
62.07Single7RBTTirzepatide7RBT-GIP-Tirzepatide-LSN3556672-chim(NtGi1-Gs)/β1/γ2
61.54Single6WI9Secretin6WI9-Secretin-Secretin-Gs/β1/γ2
61.54Single8HA0PTH8HA0-PTH1-PTH-chim(NtGi1-Gs)/β1/γ2
61.54Single8YW4Retatrutide8YW4-GIP-Retatrutide-chim(NtGi1-Gs)/β1/γ2
61.29Single7Y36PTH7Y36-PTH1-PTH-Gs/β1/γ2
61.29Single8FLQPTH8FLQ-PTH1-PTH-Gs/β1/γ2
61.29Consensusglucagon_onOrthosteric Ligandglp_on gluc_on secretin_on gip_on
60.87Single7LLLExendin-47LLL-GLP-1-Exendin-4-Gs/β1/γ2
60.71Single7VVKPTH7VVK-PTH1-PTH-Gs/β1/γ2
60.71Single8FU6ZP37808FU6-Glucagon-ZP3780-Gs/β1/γ2
59.38Consensusglucagon_on_gpOrthosteric Ligandglp_on_gp gluc_on_gp secretin_on_gp gip_on_gp
58.62Single6LMLGlucagon6LML-Glucagon-Glucagon-Gi1/β1/γ1
58.62Single6NBHLA-PTH Analog6NBH-PTH1-LA-PTH Analog-Gs/β1/γ2
58.62Single7VVLPTH7VVL-PTH1-PTH-Gs/β1/γ2
58.06Single9JR2PTH9JR2-PTH1-PTH-chim(NtGi1L-Gs-CtGq)/β1/γ2
57.14Single6NBFLA-PTH Analog6NBF-PTH1-LA-PTH Analog-Gs/β1/γ2
57.14Single7CZ5Somatoliberin7CZ5-GHRH-Somatoliberin-Gs/β1/γ2
57.14Single7VABTirzepatide (non-acylated)7VAB-GIP-Tirzepatide (non-acylated)-chim(NtGi1-Gs)/β1/γ2
57.14Single8FLRPTHrP(1-36)8FLR-PTH1-PTHrP(1-36)-Gs/β1/γ2
56.25Consensusclass-a_class-b1_cons_on_gpOrthosteric Ligandclass-a_on_gp class-b1_on_gp
56.00Single8YWFRetatrutide8YWF-GLP-1-Retatrutide-chim(NtGi1-Gs)/β1/γ2
55.88Single7F16TIP397F16-PTH2-TIP39-Gs/β1/γ2
55.56Single7FINPeptide-20; GGL7FIN-GIP-Peptide-20; GGL-Gs/β1/γ2
55.56Single8YW3Retatrutide8YW3-GLP-1-Retatrutide-Gs/β1/γ2
55.17Single6B3JExendin-P56B3J-GLP-1-Exendin-P5-Gs/β1/γ2
54.55Consensuspth_onOrthosteric Ligandpth1_on pth2_on
54.05Consensusclass-b1_on_gpOrthosteric Ligandglucagon_on_gp vip-pacap_on_gp pth_on_gp crf_on_gp calcitonin_on_gp
53.57Single5YQZNNC17025YQZ-Glucagon-NNC1702
53.33Single7VVJPTHrP(1-36)7VVJ-PTH1-PTHrP(1-36)-Gs/β1/γ2
53.12Single8JIPMEDI03828JIP-GLP-1-MEDI0382-chim(NtGi1-Gs)/β1/γ2
53.12Single8JIRSAR4258998JIR-GLP-1-SAR425899-chim(NtGi1-Gs)/β1/γ2
52.78Consensuspth_on_gpOrthosteric Ligandpth1_on_gp pth2_on_gp
51.85Single6UUNAdrenomedullin6UUN-CT Like (AM1)-Adrenomedullin-Gs/β1/γ2; RAMP2
51.85Single8YFOAc-LA-PTH Analog8YFO-PTH1-Ac-LA-PTH Analog-chim(NtGi1-Gs)/β1/γ2
51.85Single9B5YLA-PTH Analog9B5Y-PTH1-LA-PTH Analog-chim(NtGi1-Gq)/β1/γ2
51.85Single9IVMGLP-1 (Truncated)9IVM-GLP-1-GLP-1 (Truncated)-LSN3318839-chim(NtGi1-Gs)/β2/γ2
51.72Single6FJ3PTH6FJ3-PTH1-PTH
51.72Single6NBILA-PTH Analog6NBI-PTH1-LA-PTH Analog-Gs/β1/γ2
51.61Consensusclass-a_class-b1_cons_onOrthosteric Ligandclass-a_on class-b1_on
51.52Single9JR3PTH9JR3-PTH1-PTH-chim(NtGi1L-Gs-CtGq)/β1/γ2
51.43Consensusclass-b1_onOrthosteric Ligandglucagon_on vip-pacap_on pth_on crf_on calcitonin_on
48.48Single7V35Peptide-207V35-Glucagon-Peptide-20-Gs/β1/γ2
48.39Single6LMKGlucagon6LMK-Glucagon-Glucagon-Gs/β1/γ2
48.39Single8F0KPramlintide Analogue San3858F0K-CT (AMY3)-Pramlintide Analogue San385-Gs/β1/γ2; RAMP3
48.39Single8FLTM-PTH(1-14)8FLT-PTH1-M-PTH(1-14)-Gs/β1/γ2
48.28Single7Y35Abaloparatide7Y35-PTH1-Abaloparatide-Gs/β1/γ2
48.28Single8YG4LA-PTH Analog8YG4-PTH1-LA-PTH Analog-chim(NtGi1-Gs)/β1/γ2
46.43Single9LXRLA-PTH Analog9LXR-PTH1-LA-PTH Analog-Arrestin2
45.45Single7TZFAmylin7TZF-CT (AMY3)-Amylin-Gs/β1/γ2; RAMP3
45.45Single7VBHPeptide-207VBH-GLP-1-Peptide-20-Gs/β1/γ2
45.16Single8HAOPTH8HAO-PTH1-PTH-chim(NtGi1-Gs)/β1/γ2
45.16Single9BUCCagrilintide9BUC-CT-Cagrilintide-Gs/β1/γ2
44.83Single8YW5Retatrutide8YW5-Glucagon-Retatrutide-Gs/β1/γ2
42.86Single6WHCGlu16 analog of GCG6WHC-Glucagon-Glu16 analog of GCG-Gs/β1/γ2
42.86Single8JIUSAR4258998JIU-Glucagon-SAR425899-Gs/β1/γ2
42.31Single9C0KExendin-49C0K-GLP-1-Exendin-4-Gs/β1/γ2
41.94Single9BP3Cagrilintide9BP3-CT (AMY1)-Cagrilintide-Gs/β1/γ2; RAMP1
41.94Consensuscalcitonin_on_gpOrthosteric Ligandctlike_on_gp
41.94Consensuspac1_onOrthosteric Ligand8E3X-PAC1-PACAP27-Gs/β1/γ2 6M1H-PAC1-Maxadilan-Gs/β1/γ2
41.94Consensuspac1_on_gpOrthosteric Ligand8E3X-PAC1-PACAP27-Gs/β1/γ2 6M1H-PAC1-Maxadilan-Gs/β1/γ2
41.94Consensusvpac1_on_gpOrthosteric Ligand8E3Z-VPAC1-VIP-Gs/β1/γ2
41.67Single6E3YCalcitonin gene-related peptide-16E3Y-CT Like-Calcitonin gene-related peptide-1-Gs/β1/γ2; RAMP1
40.62Single5NX2GLP-1 (Truncated)5NX2-GLP-1-GLP-1 (Truncated)
40.00Single7TYIAmylin7TYI-CT-Amylin-Gs/β1/γ2
40.00Single9BLCCagrilintide (non-acylated)9BLC-CT-Cagrilintide (non-acylated)-Gs/β1/γ2
40.00Single9BUDCagrilintide9BUD-CT-Cagrilintide-Gs/β1/γ2
40.00Consensusprotein_onOrthosteric Ligandchemokine_on chemerin_on
39.39Single6UUSAdrenomedullin6UUS-CT Like (AM2)-Adrenomedullin-Gs/β1/γ2; RAMP3
39.39Single9BQ3Cagrilintide9BQ3-CT (AMY2)-Cagrilintide-Gs/β1/γ2; RAMP2
39.39Consensusvpac2_onOrthosteric Ligand7VQX-VPAC1-PACAP27-Gs/β1/γ2
39.39Consensusvpac2_on_gpOrthosteric Ligand7VQX-VPAC1-PACAP27-Gs/β1/γ2
38.89Single7TYOCalcitonin7TYO-CT-Calcitonin-Gs/β1/γ2
38.89Single7TYYCalcitonin-17TYY-CT (AMY2)-Calcitonin-1-Gs/β1/γ2; RAMP2
38.89Single8JITMEDI03828JIT-Glucagon-MEDI0382-Gs/β1/γ2
38.71Single7TYWCalcitonin-17TYW-CT (AMY1)-Calcitonin-1-Gs/β1/γ2; RAMP1
38.71Consensuscalcitonin_onOrthosteric Ligandctlike_on
38.71Consensusvpac1_onOrthosteric Ligand8E3Z-VPAC1-VIP-Gs/β1/γ2
38.24Single7TYXAmylin7TYX-CT (AMY2)-Amylin-Gs/β1/γ2; RAMP2
37.93Single8JZZC5a-des-Arg8JZZ-C5a1-C5a-des-Arg-Go/β1/γ2
37.50Single9BLBCagrilintide (non-acylated)9BLB-CT-Cagrilintide (non-acylated)-Gs/β1/γ2
37.50Single9BLWCagrilintide (non-acylated)9BLW-CT (AMY1)-Cagrilintide (non-acylated)-Gs/β1/γ2; RAMP1
37.50Single9BUBCagrilintide9BUB-CT-Cagrilintide-Gs/β1/γ2
37.50Single9KFKRelaxin-39KFK-RXFP4-Relaxin-3-Gi2/β1/γ2
37.50Consensusgi_proteinOrthosteric Ligandgi_chemokine gi_chemerin
37.50Consensusprotein_on_gpOrthosteric Ligandchemokine_on_gp chemerin_on_gp
37.14Single8F2APramlintide Analogue San3858F2A-CT (AMY3)-Pramlintide Analogue San385-Gs/β1/γ2; RAMP3
37.04Single6M1HMaxadilan6M1H-PAC1-Maxadilan-Gs/β1/γ2
37.04Single7VVNPTH7VVN-PTH1-PTH-Gs/β1/γ2
36.67Consensusclass-b1_class-b2_cons_onOrthosteric Ligandclass-b1_on class-b2_on
36.67Consensusclass-b1_class-b2_cons_on_gpOrthosteric Ligandclass-b1_on_gp class-b2_on_gp
36.36Single6UVAAdrenomedullin-26UVA-CT Like (AM2)-Adrenomedullin-2-Gs/β1/γ2; RAMP3
36.36Single7TYFAmylin7TYF-CT (AMY1)-Amylin-Gs/β1/γ2; RAMP1
36.36Single7TYNCalcitonin-17TYN-CT-Calcitonin-1-Gs/β1/γ2
36.36Consensussecretin_on_gpOrthosteric Ligand7D3S-Secretin-Secretin-Gs/β1/γ2
36.11Consensuscrf_on_gpOrthosteric Ligandcrf2_on_gp crf1_on_gp
36.11Consensusglp1_on_gpOrthosteric Ligand7S1M-GLP-1-Exendin-4-D-Ala-Gs/β1/γ2 7X8R-GLP-1-BOC5-Gs/β1/γ2 6X19-GLP-1-CHU-128-Gs/β1/γ2 6X1A-GLP-1-Danuglipron-Gs/β1/γ2 6X18-GLP-1-GLP-1-Gs/β1/γ2 8JIP-GLP-1-MEDI0382-chim(NtGi1-Gs)/β1/γ2 7C2E-GLP-1-PubChem 149050799-Gs/β1/γ2 7KI0-GLP-1-Semaglutide-Gs/β1/γ2 7KI1-GLP-1-Taspoglutide-Gs/β1/γ2 7X8S-GLP-1-WB4-24-Gs/β1/γ2 8JIS-GLP-1-Peptide-15-chim(NtGi1-Gs)/β1/γ2 7VBI-GLP-1-Tirzepatide (non-acylated)-Gs/β1/γ2
36.11Consensuspth1_on_gpOrthosteric Ligand6NBF-PTH1-LA-PTH Analog-Gs/β1/γ2 8HA0-PTH1-PTH-chim(NtGi1-Gs)/β1/γ2 8HAF-PTH1-PTHrP(1-36)-chim(NtGi1-Gs)/β1/γ2 7Y36-PTH1-PTH-Gs/β1/γ2 7Y35-PTH1-Abaloparatide-Gs/β1/γ2
35.71Single7YJ4INSL57YJ4-RXFP4-INSL5-Gi2/β1/γ2
35.48Single6NIYCalcitonin-16NIY-CT-Calcitonin-1-Gs/β1/γ2
35.48Single7F6G(Sar1)-Angiotensin II7F6G-AT1-(Sar1)-Angiotensin II-Gq/β1/γ2
35.48Consensusangiotensin_on_gpOrthosteric Ligandat1_on_gp
35.48Consensusat1_on_gpOrthosteric Ligand7F6G-AT1-(Sar1)-Angiotensin II-Gq/β1/γ2
35.48Consensusgq_angiotensinOrthosteric Ligand7F6G-AT1-(Sar1)-Angiotensin II-Gq/β1/γ2
35.29Single5VAIGLP-15VAI-GLP-1-GLP-1-Gs/β1/γ2
35.29Single7TS0Urocortin7TS0-CRF2-Urocortin-chim(NtGi1L-Go)/β1/γ2
35.29Single7TYLAmylin7TYL-CT-Amylin-Gs/β1/γ2
35.29Consensuspth1_onOrthosteric Ligand6NBF-PTH1-LA-PTH Analog-Gs/β1/γ2 8HA0-PTH1-PTH-chim(NtGi1-Gs)/β1/γ2 8HAF-PTH1-PTHrP(1-36)-chim(NtGi1-Gs)/β1/γ2 7Y36-PTH1-PTH-Gs/β1/γ2 7Y35-PTH1-Abaloparatide-Gs/β1/γ2
35.00Single8F0JPramlintide Analogue San458F0J-CT-Pramlintide Analogue San45-Gs/β1/γ2
34.48Single4XT1CX3CL14XT1-US28-CX3CL1
34.48Single7RTBPeptide-197RTB-GLP-1-Peptide-19-Gs/β1/γ2
34.48Single7W0PElabela7W0P-Apelin-Elabela-Gi1/β1/γ2
34.48Single8JIQPeptide-158JIQ-Glucagon-Peptide-15-Gs/β1/γ2
34.48Single8XGMChemerin8XGM-CML2-Chemerin-Gi1/β1/γ2
34.48Single9UYJChemerin-99UYJ-CML2-Chemerin-9-Arrestin2
34.38Single8XQEApelin-138XQE-Apelin; Apelin-Apelin-13-Gi1/β1/γ2
34.38Single8XVHEndothelin-18XVH-ETB-Endothelin-1-chim(Gs-CtGq)/β1/γ2
34.38Consensussst5_on_gpOrthosteric Ligand8X8L-SST5-Cortistatin-14-chim(NtGi1-Gs-CtGi1)/β1/γ2 8X8N-SST5-Octreotide-chim(NtGi1-Gs-CtGi1)/β1/γ2
34.15Single8F2BPramlintide Analogue San458F2B-CT (AMY3)-Pramlintide Analogue San45-Gs/β1/γ2; RAMP3
33.33Single4XT3CX3CL14XT3-US28-CX3CL1
33.33Single6OS0Angiotensin II6OS0-AT1-Angiotensin II
33.33Single7RKMCX3CL17RKM-US28-CX3CL1-Gi1/β1/γ2
33.33Single7W0NElabela7W0N-Apelin; Apelin-Elabela-Gi1/β1/γ2
33.33Single7W0NElabela7W0N-Apelin; Apelin-Elabela-Gi1/β1/γ2
33.33Single7YKDChemerin-97YKD-CML1-Chemerin-9-Gi1/β1/γ2
33.33Single8Z7JJN241-98Z7J-Apelin-JN241-9-Gi1/β1/γ2
33.33Single9AUCCalcitonin gene-related peptide-19AUC-CT (AMY1)-Calcitonin gene-related peptide-1-Gs/β1/γ2; RAMP1
33.33Consensusgi_peptideOrthosteric Ligandgi_cck gi_apelin gi_compl-pept gi_endothelin gi_formylpeptide gi_galanin gi_ghrelin gi_npy gi_neurotensin gi_opioid gi_orexin gi_relaxin gi_somatostatin
33.33Consensusglp1_onOrthosteric Ligand7S1M-GLP-1-Exendin-4-D-Ala-Gs/β1/γ2 7X8R-GLP-1-BOC5-Gs/β1/γ2 6X19-GLP-1-CHU-128-Gs/β1/γ2 6X1A-GLP-1-Danuglipron-Gs/β1/γ2 6X18-GLP-1-GLP-1-Gs/β1/γ2 8JIP-GLP-1-MEDI0382-chim(NtGi1-Gs)/β1/γ2 7C2E-GLP-1-PubChem 149050799-Gs/β1/γ2 7KI0-GLP-1-Semaglutide-Gs/β1/γ2 7KI1-GLP-1-Taspoglutide-Gs/β1/γ2 7X8S-GLP-1-WB4-24-Gs/β1/γ2 8JIS-GLP-1-Peptide-15-chim(NtGi1-Gs)/β1/γ2 7VBI-GLP-1-Tirzepatide (non-acylated)-Gs/β1/γ2
33.33Consensussecretin_onOrthosteric Ligand7D3S-Secretin-Secretin-Gs/β1/γ2
32.35Single6P9XCorticoliberin-16P9X-CRF1-Corticoliberin-1-Gs/β1/γ2
32.35Single7YOONeuropeptide-Y7YOO-Y2-Neuropeptide-Y-Gi1/β1/γ2
32.35Consensuscrf_onOrthosteric Ligandcrf2_on crf1_on
32.35Consensusglp2_onOrthosteric Ligand7D68-GLP-2-GLP-2-Gs/β1/γ2
32.35Consensusglp2_on_gpOrthosteric Ligand7D68-GLP-2-GLP-2-Gs/β1/γ2
32.35Consensusgq_peptideOrthosteric Ligandgq_cck gq_kisspeptin gq_bradykinin gq_bombesin gq_angiotensin
32.35Consensusnpy2_onOrthosteric Ligand7YOO-Y2-Neuropeptide-Y-Gi1/β1/γ2
32.35Consensusnpy2_on_gpOrthosteric Ligand7YOO-Y2-Neuropeptide-Y-Gi1/β1/γ2
32.35Consensuspeptide_onOrthosteric Ligandcck_on angiotensin_on apelin_on bombesin_on bradykinin_on compl-peptide_on endothelin_on formylpeptide_on galanin_on ghrelin_on kisspeptin_on melanocortin_on motilin_on neuromedin-u_on npy_on neurotensin_on opioid_on orexin_on relaxin_on somatostatin_on tachykinin_on trh_on vasop-oxy_on
32.35Consensuspeptide_on_gpOrthosteric Ligandcck_on_gp angiotensin_on_gp apelin_on_gp bombesin_on_gp bradykinin_on_gp compl-peptide_on_gp endothelin_on_gp formylpeptide_on_gp galanin_on_gp ghrelin_on_gp kisspeptin_on_gp melanocortin_on_gp motilin_on_gp neuromedin-u_on_gp npy_on_gp neurotensin_on_gp opioid_on_gp orexin_on_gp relaxin_on_gp somatostatin_on_gp tachykinin_on_gp trh_on_gp vasop-oxy_on_gp
32.26Single7TD0LPA7TD0-LPA1-LPA-Gi1/β1/γ2
32.26Single7XA3CCL27XA3-CCR2-CCL2-Gi1/β1/γ2
32.26Single9K27PrRP319K27-PrRP-PrRP31-chim(NtGi1-Gq)/β1/γ2
32.26Single9MEUCXCL129MEU-CXCR4-CXCL12
32.26Consensusangiotensin_onOrthosteric Ligandat1_on
32.26Consensusat1_onOrthosteric Ligand7F6G-AT1-(Sar1)-Angiotensin II-Gq/β1/γ2
32.26Consensusccr2_onOrthosteric Ligand7XA3-CCR2-CCL2-Gi1/β1/γ2
32.26Consensusccr2_on_gpOrthosteric Ligand7XA3-CCR2-CCL2-Gi1/β1/γ2
32.26Consensuspeptide_offonOrthosteric Ligandpeptide_off peptide_on
32.14Single7Y65C5a (C-terminal peptide)7Y65-C5a1-C5a (C-terminal peptide)-Gi1/β1/γ2
32.14Consensusclass-a_onOrthosteric Ligandsensory_on alicarboxylic_on amine_on lipid_on nucleotide_on peptide_on protein_on
32.00Consensusalicarboxylic_on_gpOrthosteric Ligandsuccinate_on_gp hca_on_gp
32.00Consensusgi_alicarboxylicOrthosteric Ligandgi_hca gi_succinate
31.43Single6PB1Urocortin6PB1-CRF2-Urocortin-chim(NtGi1-Gs)/β1/γ2
31.43Single8WWNMCH8WWN-MCH1-MCH-Gi1/β1/γ2
31.43Single9BTWCagrilintide9BTW-CT (AMY3)-Cagrilintide-Gs/β1/γ2; RAMP3
31.25Single7DW9AVP7DW9-V2-AVP-chim(NtGi1-Gs)/β1/γ2
31.25Single7YONPeptide-YY(3-36)7YON-Y2-Peptide-YY(3-36)-Gi1/β1/γ2
31.25Single8H4KGW95088H4K-FFA4-GW9508-chim(NtGi1-Gs-CtGq)/β1/γ2
31.25Single8WSTMCH8WST-MCH2-MCH-chim(NtGi1L-Gs-CtGq)/β1/γ2
31.25Consensuscxcr3_on_gpOrthosteric Ligand8HNK-CXCR3-CXCL11-Gi1/β1/γ2 8HNL-CXCR3-PS372424-Gi1/β1/γ2
31.25Consensusgi_class-aOrthosteric Ligandgi_peptide gi_sensory gi_alicarboxylic gi_amine gi_lipid gi_nucleotide gi_protein
31.25Consensusgs_vasop-oxyOrthosteric Ligand7DW9-V2-AVP-chim(NtGi1-Gs)/β1/γ2
31.25Consensuspeptide_offon_gpOrthosteric Ligandpeptide_on_gp peptide_off
31.25Consensusprotein_offonOrthosteric Ligandprotein_off protein_on
31.25Consensusprotein_offon_gpOrthosteric Ligandprotein_on_gp protein_off
31.25Consensusv2_onOrthosteric Ligand7DW9-V2-AVP-chim(NtGi1-Gs)/β1/γ2
31.25Consensusv2_on_gpOrthosteric Ligand7DW9-V2-AVP-chim(NtGi1-Gs)/β1/γ2
31.25Consensusvasop-oxy_onOrthosteric Ligandv2_on
31.25Consensusvasop-oxy_on_gpOrthosteric Ligandv2_on_gp
31.03Single7F8WGastrin-177F8W-CCKB-Gastrin-17-chim(NtGsL-Gq)/β1/γ2
31.03Single7X8SWB4-247X8S-GLP-1-WB4-24-Gs/β1/γ2
31.03Single7XY6BAY 60-65837XY6-A2B-BAY 60-6583-chim(NtGi1-Gs)/β1/γ2
31.03Single9M0RNeuropeptide-VF9M0R-NPFF1-Neuropeptide-VF-Gi1/β1/γ2
31.03Single9UMJEP549UMJ-C3aB-EP54-Go/β1/γ2
30.77Single7BB7AVP7BB7-V2-AVP-Gs/β1/γ2
30.77Single8J6JGSK2560738J6J-HCA2-GSK256073-Gi1/β1/γ2
30.77Single8ZPTPrRP208ZPT-PrRP-PrRP20-chim(NtGi1-Gs-CtGq)/β1/γ2
30.56Single6IGKEndothelin-36IGK-ETB-Endothelin-3
30.56Consensusbb2_onOrthosteric Ligand7W40-BB2-Bombesin-chim(NtGi1L-Gq)/β1/γ2 7W3Z-BB2-Gastrin Releasing Peptide-chim(NtGi1L-Gq)/β1/γ2
30.56Consensusbb2_on_gpOrthosteric Ligand7W40-BB2-Bombesin-chim(NtGi1L-Gq)/β1/γ2 7W3Z-BB2-Gastrin Releasing Peptide-chim(NtGi1L-Gq)/β1/γ2
30.56Consensusbombesin_onOrthosteric Ligandbb2_on
30.56Consensusbombesin_on_gpOrthosteric Ligandbb2_on_gp
30.56Consensusccr5_on_gpOrthosteric Ligand7O7F-CCR5-6P4-CCL5-Gi1/β1/γ1 7F1Q-CCR5-CCL3-Gi1/β1/γ2
30.56Consensusgip_onOrthosteric Ligand7FIN-GIP-Peptide-20; GGL-Gs/β1/γ2 7FIY-GIP-Tirzepatide-Gs/β1/γ2 7DTY-GIP-GIP-Gs/β1/γ2
30.56Consensusgip_on_gpOrthosteric Ligand7FIN-GIP-Peptide-20; GGL-Gs/β1/γ2 7FIY-GIP-Tirzepatide-Gs/β1/γ2 7DTY-GIP-GIP-Gs/β1/γ2
30.56Consensusgq_bombesinOrthosteric Ligand7W40-BB2-Bombesin-chim(NtGi1L-Gq)/β1/γ2 7W3Z-BB2-Gastrin Releasing Peptide-chim(NtGi1L-Gq)/β1/γ2
30.30Single8WWKMCH8WWK-MCH1-MCH-Gi1/β1/γ2
30.30Single8WWMMCH8WWM-MCH1-MCH-Gi1/β1/γ2
30.30Single9JFYNeuropeptide-SF9JFY-NPFF2-Neuropeptide-SF-Gi1/β1/γ2
30.30Consensuschemokine_offOrthosteric Ligandccr_off cxcr_off
30.30Consensuscml1_on_gpOrthosteric Ligand7YKD-CML1-Chemerin-9-Gi1/β1/γ2
30.30Consensusgi_chemokineOrthosteric Ligand6WWZ-CCR6-CCL20-Go/β1/γ2 8HNK-CXCR3-CXCL11-Gi1/β1/γ2 8K3Z-CXCR4-CXCL12-Gi1/β1/γ1 8IC0-CXCR1-CXCL8-Gi1/β1/γ2 6LFM-CXCR2-CXCL8-Gi1/β1/γ2 8KFX-CCR8-LMD-009-Gi1/β1/γ2 7F1Q-CCR5-CCL3-Gi1/β1/γ2 8HNL-CXCR3-PS372424-Gi1/β1/γ2 8KFY-CCR8-ZK-756326-Gi1/β1/γ2 7O7F-CCR5-6P4-CCL5-Gi1/β1/γ1 8U1U-CCR8-CCL1-Gi1/β1/γ2 7VLA-CCR1-CCL15(27-92)-Gi1/β1/γ2 7XA3-CCR2-CCL2-Gi1/β1/γ2
30.00Single6X19CHU-1286X19-GLP-1-CHU-128-Gs/β1/γ2
30.00Single9L3YChemerin9L3Y-CML2-Chemerin-Gi1/β1/γ2
30.00Consensuschemerin_on_gpOrthosteric Ligandcml1_on_gp
30.00Consensusclass-a_on_gpOrthosteric Ligandsensory_on_gp alicarboxylic_on_gp amine_on_gp lipid_on_gp nucleotide_on_gp peptide_on_gp protein_on_gp
30.00Consensuscml1_onOrthosteric Ligand7YKD-CML1-Chemerin-9-Gi1/β1/γ2
30.00Consensusgi_chemerinOrthosteric Ligand7YKD-CML1-Chemerin-9-Gi1/β1/γ2
30.00Consensusmop_offOrthosteric Ligand4DKL-μ-β-Funaltrexamine 8QOT-μ-Nanobody-E 7UL4-μ-Alvimopan
30.00Consensussst5_onOrthosteric Ligand8X8L-SST5-Cortistatin-14-chim(NtGi1-Gs-CtGi1)/β1/γ2 8X8N-SST5-Octreotide-chim(NtGi1-Gs-CtGi1)/β1/γ2
29.63Single7EW1Siponimod7EW1-S1P5-Siponimod-Gi1/β1/γ2
29.63Single7TUYGSK682753A7TUY-GPR183-GSK682753A
29.63Consensuss1p5_onOrthosteric Ligand7EW1-S1P5-Siponimod-Gi1/β1/γ2
29.63Consensuss1p5_on_gpOrthosteric Ligand7EW1-S1P5-Siponimod-Gi1/β1/γ2
29.41Consensusccr_offOrthosteric Ligandccr2_off ccr5_off
29.41Consensusgi_compl-peptOrthosteric Ligand8HK5-C5a1-C5a-Gi1/β1/γ2 8IA8-C3aB-E7 peptide-Gi1/β1/γ2 7Y66-C5a1-BM213-Gi1/β1/γ2 7Y67-C5a1-C089 peptide-Gi1/β1/γ2 8HK2-C3aB-C3a-Gi1/β1/γ2 7Y64-C5a1-C5a-Gi1/β1/γ2
29.27Consensuspth2_on_gpOrthosteric Ligand7F16-PTH2-TIP39-Gs/β1/γ2
29.17Single8IJANiacin8IJA-HCA2-Niacin-Gi1/β1/γ2
29.03Single6DO1(Sar1,Ile8)-Angiotensin II6DO1-AT1-(Sar1,Ile8)-Angiotensin II
29.03Single7E14Orforglipron7E14-GLP-1-Orforglipron-PubChem 156022738-Gs/β1/γ2
29.03Single7TRYUrocortin7TRY-CRF2-Urocortin-chim(NtGi1-G11)/β1/γ2
29.03Single7XMSSomatostatin-147XMS-SST4-Somatostatin-14-Gi1/β1/γ2
29.03Single7XNACYN1548067XNA-SST2-CYN154806
29.03Single8F7QBeta-Endorphin8F7Q-μ-β-Endorphin-Gi1/β1/γ2
29.03Single8SG1Chemerin-98SG1-CML1-Chemerin-9-Gi1/β1/γ2
29.03Single8WSSMCH8WSS-MCH1-MCH-Gi1/β1/γ1
29.03Single9ME1CXCL129ME1-CXCR4-CXCL12
29.03Consensuscompl-peptide_onOrthosteric Ligandc5a1_on c3a_on
29.03Consensusformylpeptide_on_gpOrthosteric Ligandfpr2-alx_on_gp fpr1-alx_on_gp
29.03Consensusgi_cckOrthosteric Ligand7EZH-CCKA-Cholecystokinin-8-Gi1/β1/γ2 7F8V-CCKB-Gastrin-17-Gi2/β1/γ2
29.03Consensusgq_class-aOrthosteric Ligandgq_peptide gq_amine gq_nucleotide
29.03Consensussst2_offOrthosteric Ligand7XNA-SST2-CYN154806
28.57Single6OS2TRV0266OS2-AT1-TRV026
28.57Single7AD3Alpha-factor mating pheromone7AD3-STE2; STE2-α-factor mating pheromone-Gi1/STE4/γ2
28.57Single7EIBKallidin-des-Arg107EIB-BK1-Kallidin-des-Arg10-chim(NtGi1-Gs-CtGq)/β1/γ2
28.57Single7W0LPubChem 1227019087W0L-Apelin; Apelin-PubChem 122701908-Gi1/β1/γ2
28.57Single7WCNAR2314537WCN-GPR119-AR231453-Gs/β1/γ2
28.57Single8IA8E7 peptide8IA8-C3aB-E7 peptide-Gi1/β1/γ2
28.57Single8J6DEP1418J6D-C3aB-EP141-Go/β1/γ2
28.57Single8WWLMCH8WWL-MCH1-MCH-Gi1/β1/γ2
28.57Single8X8NOctreotide8X8N-SST5-Octreotide-chim(NtGi1-Gs-CtGi1)/β1/γ2
28.57Single8XQSCholesterol8XQS-TAS2R14-Cholesterol-Flufenamic acid-Gi1/β1/γ1
28.57Single8ZJGChemerin8ZJG-CML1-Chemerin-Gi1/β1/γ2
28.57Single9K26PrRP319K26-PrRP-PrRP31-Gi1/β1/γ2
28.57Consensuslpa1_offOrthosteric Ligand4Z36-LPA1-ONO-3080573 4Z35-LPA1-ONO-9910539 4Z34-LPA1-ONO-9780307
28.57Consensuslpa_offOrthosteric Ligandlpa1_off
28.57Consensuslpl_offOrthosteric Ligands1p_off lpa_off
28.21Consensuspth2_onOrthosteric Ligand7F16-PTH2-TIP39-Gs/β1/γ2
28.12Single9U4WGonadoliberin-19U4W-GnRH1-Gonadoliberin-1-chim(NtGi1L-Gs-CtGq)/β1/γ2
28.12Single9UYIChemerin-99UYI-CML2-Chemerin-9-Arrestin2
28.12Consensusccr_onOrthosteric Ligandccr6_on ccr8_on ccr2_on ccr1_on ccr5_on
28.12Consensuscompl-peptide_on_gpOrthosteric Ligandc5a1_on_gp c3a_on_gp
28.12Consensusgs_class-aOrthosteric Ligandgs_peptide gs_nucleotide gs_amine
28.12Consensussomatostatin_onOrthosteric Ligandsst2_on sst4_on sst5_on
28.12Consensussomatostatin_on_gpOrthosteric Ligandsst2_on_gp sst4_on_gp sst5_on_gp
28.00Single4ZUDOlmesartan4ZUD-AT1-Olmesartan
27.78Single7VGXNeuropeptide-Y7VGX-Y1-Neuropeptide-Y-Gi1/β1/γ2
27.59Single7SK7CCX6627SK7-ACKR3-CXCL12-CCX662
27.59Single7X8RBOC57X8R-GLP-1-BOC5-Gs/β1/γ2
27.59Single8E0GBU728E0G-μ-BU72
27.59Single8IJDMK68928IJD-HCA2-MK6892-Gi1/β1/γ2
27.59Single8XGSKisspeptin-18XGS-Kiss1-Kisspeptin-1-chim(NtGi1-Gq)/β1/γ2
27.59Single9KUGEP679KUG-C5a1-EP67-Go/β1/γ2
27.59Single9M54Neuropeptide-VF9M54-NPFF2-Neuropeptide-VF-Gi1/β1/γ2
27.59Single9UYMChemerin-99UYM-CML2-Chemerin-9-chim(Arrestin3-CtArrestin2)
27.59Consensusc3a_on_gpOrthosteric Ligand8HK2-C3aB-C3a-Gi1/β1/γ2 8IA8-C3aB-E7 peptide-Gi1/β1/γ2
27.27Single8X8LCortistatin-148X8L-SST5-Cortistatin-14-chim(NtGi1-Gs-CtGi1)/β1/γ2
27.27Single9BKKCholecystokinin-89BKK-CCKA-Cholecystokinin-8-chim(NtGi1-Gs-CtGq)/β1/γ2
27.27Consensusgi_formylpeptideOrthosteric Ligand7WVY-FPR2-ALX-Amyloid-β42-Gi2/β1/γ2 7T6U-FPR2-ALX-CGEN-855A-Gi1/β1/γ2 7VFX-FPR1-ALX-fMIFL-Gi1/β1/γ2 7T6V-FPR2-ALX-fMLFII-Gi1/β1/γ2 7WVX-FPR2-ALX-Humanin-Gi2/β1/γ2 7T6S-FPR2-ALX-TC-FPR 43-Gi1/β1/γ2 6OMM-FPR2-ALX-WKYMVX-Gi1/β1/γ2
27.03Single5GLHEndothelin-15GLH-ETB-Endothelin-1
27.03Single6PB0Urocortin6PB0-CRF1-Urocortin-chim(NtGi1-Gs)/β1/γ2
27.03Consensusgi_npyOrthosteric Ligand8K6M-Y1-Neuropeptide-Y-Gi2/β1/γ1 7X9C-Y4-Pancreatic Hormone-Gi1/β1/γ2 7YOO-Y2-Neuropeptide-Y-Gi1/β1/γ2
27.03Consensusnpy_onOrthosteric Ligandnpy1_on npy2_on npy4_on
27.03Consensusnpy_on_gpOrthosteric Ligandnpy1_on_gp npy2_on_gp npy4_on_gp
26.92Single8I7VAcipimox8I7V-HCA2-Acipimox-Gi1/β1/γ2
26.92Single8J6PNiacin8J6P-HCA2-Niacin-PubChem 25101223-Gi1/β1/γ2
26.92Single8JHNMonomethyl fumarate8JHN-HCA2-Monomethyl fumarate-Go/β1/γ2
26.92Single8ZQEGPR15L(CT)8ZQE-GPR15-GPR15L(CT)-Gi1/β1/γ1
26.92Single9KFJPubChem 1383196749KFJ-RXFP3-PubChem 138319674-Gi2/β1/γ2
26.92Single9KUXCMPD6449KUX-Apelin; Apelin-CMPD644-Arrestin2
26.92Consensusadenosine_on_gpOrthosteric Liganda1_on_gp a2_on_gp a3_on_gp
26.92Consensusgi_hcaOrthosteric Ligand8J6R-HCA2-MK6892-Gi1/β1/γ2 8JIM-HCA2-Monomethyl fumarate-Gi1/β1/γ2 8IHI-HCA2-Acifran-Gi1/β1/γ2 8IHH-HCA2-LUF6283-Gi1/β1/γ2 8I7V-HCA2-Acipimox-Gi1/β1/γ2 8I7W-HCA2-GSK256073-Gi1/β1/γ2
26.92Consensushca2_onOrthosteric Ligand8J6R-HCA2-MK6892-Gi1/β1/γ2 8JIM-HCA2-Monomethyl fumarate-Gi1/β1/γ2 8I7V-HCA2-Acipimox-Gi1/β1/γ2 8I7W-HCA2-GSK256073-Gi1/β1/γ2 8IHH-HCA2-LUF6283-Gi1/β1/γ2 8IHI-HCA2-Acifran-Gi1/β1/γ2
26.92Consensushca2_on_gpOrthosteric Ligand8J6R-HCA2-MK6892-Gi1/β1/γ2 8IHI-HCA2-Acifran-Gi1/β1/γ2 8IHH-HCA2-LUF6283-Gi1/β1/γ2 8I7V-HCA2-Acipimox-Gi1/β1/γ2 8JIM-HCA2-Monomethyl fumarate-Gi1/β1/γ2 8I7W-HCA2-GSK256073-Gi1/β1/γ2
26.92Consensushca_on_gpOrthosteric Ligandhca2_on_gp
26.83Consensusgluc_on_gpOrthosteric Ligand6LMK-Glucagon-Glucagon-Gs/β1/γ2 8JIT-Glucagon-MEDI0382-Gs/β1/γ2 7V35-Glucagon-Peptide-20-Gs/β1/γ2
26.67Single4UG2CGS216804UG2-A2A-CGS21680
26.67Single7RKFCX3CL17RKF-US28-CX3CL1-GDP-chim(NtGi1-G11)/β1/γ2
26.67Single7RKNCX3CL17RKN-US28-CX3CL1-Gi1/β1/γ2
26.67Single7XBXCX3CL17XBX-CX3CR1-CX3CL1-Gi1/β1/γ2
26.67Single8QJ2pN1628QJ2-MC4-pN162-Gs/β1/γ2
26.67Single9KX6C5a-des-Arg9KX6-C5a1-C5a-des-Arg-Go/β1/γ2
26.67Single9KZ2EP679KZ2-C3aB-EP67-Go/β1/γ2
26.67Consensuscxcr3_onOrthosteric Ligand8HNK-CXCR3-CXCL11-Gi1/β1/γ2 8HNL-CXCR3-PS372424-Gi1/β1/γ2
26.67Consensuss1p_onOrthosteric Ligands1p1_on s1p3_on s1p5_on
26.67Consensuss1p_on_gpOrthosteric Ligands1p1_on_gp s1p3_on_gp s1p5_on_gp
26.47Single7TYHCalcitonin7TYH-CT (AMY2)-Calcitonin-Gs/β1/γ2; RAMP2
26.47Single7X9BNeuropeptide-Y7X9B-Y2-Neuropeptide-Y-Gi1/β1/γ2
26.47Single7Y64C5a7Y64-C5a1-C5a-Gi1/β1/γ2
26.47Single8HCQEndothelin-18HCQ-ETA-Endothelin-1-chim(NtGi1-Gs-CtGq)/β1/γ2
26.47Single8HK5C5a8HK5-C5a1-C5a-Gi1/β1/γ2
26.47Single8XGOTAK4488XGO-Kiss1-TAK448-chim(NtGi1-Gq)/β1/γ2
26.47Single8ZPSPrRP208ZPS-PrRP-PrRP20-chim(NtGi1-Gs-CtGi1)/β1/γ2
26.47Single8ZRTEndothelin-18ZRT-ETB-Endothelin-1
26.47Consensusccr_on_gpOrthosteric Ligandccr6_on_gp ccr8_on_gp ccr2_on_gp ccr1_on_gp ccr5_on_gp
26.47Consensuschemokine_on_gpOrthosteric Ligandccr_on_gp cxcr_on_gp
26.47Consensuscxcr_offOrthosteric Ligandcxcr3_off cxcr4_off
26.47Consensuseta_onOrthosteric Ligand8HCQ-ETA-Endothelin-1-chim(NtGi1-Gs-CtGq)/β1/γ2
26.47Consensuseta_on_gpOrthosteric Ligand8HCQ-ETA-Endothelin-1-chim(NtGi1-Gs-CtGq)/β1/γ2
26.47Consensusgi_apelinOrthosteric Ligand8XZH-Apelin; Apelin-MM07-Gi1/β1/γ2 7W0M-Apelin-PubChem 122701908-Gi1/β1/γ2 8XZJ-Apelin; Apelin-WN353-Gi1/β1/γ2 8XZF-Apelin; Apelin-WN561-Gi1/β1/γ2 8XZG-Apelin; Apelin-Apelin-13-Gi1/β1/γ2
26.47Consensusmc1_onOrthosteric Ligand7F4H-MC1-Afamelanotide-chim(NtGi1-Gs)/β1/γ2 7F4D-MC1-α-MSH-chim(NtGi1-Gs)/β1/γ2 7F4I-MC1-SHU9119-chim(NtGi1-Gs)/β1/γ2
26.47Consensusmc1_on_gpOrthosteric Ligand7F4H-MC1-Afamelanotide-chim(NtGi1-Gs)/β1/γ2 7F4D-MC1-α-MSH-chim(NtGi1-Gs)/β1/γ2 7F4I-MC1-SHU9119-chim(NtGi1-Gs)/β1/γ2
26.47Consensusopioid_onOrthosteric Ligandmop_on nop_on dop_on kop_on
26.09Single8GGEConstrained Epinephrine8GGE-β2-Constrained Epinephrine-GTP-Gs/β1/γ2
26.09Single8RQLFlufenamic acid8RQL-TAS2R14-Flufenamic acid-Flufenamic acid-chim(NtGi1-Gt3)/β1/γ2
25.93Single5C1MBU725C1M-μ-BU72
25.93Single7EO2FTY720-P7EO2-S1P1-FTY720-P-Gi1/β1/γ2
25.93Single7LD3Adenosine7LD3-A1-Adenosine-MIPS521-Gi2/β1/γ2
25.93Single7TD3S1P7TD3-S1P1-S1P-Gi1/β1/γ2
25.93Single7X1TTaltirelin7X1T-TRH-Taltirelin-chim(NtGi2L-Gs-CtGq)/β1/γ2
25.93Single7YU6ONO-07405567YU6-LPA1-ONO-0740556-Gi1/β1/γ2
25.93Single8HNLPS3724248HNL-CXCR3-PS372424-Gi1/β1/γ2
25.93Single8KFXLMD-0098KFX-CCR8-LMD-009-Gi1/β1/γ2
25.93Single8S4DCMF-0198S4D-Apelin-CMF-019
25.93Single8UUJFCH-22964138UUJ-HCA2-FCH-2296413-Gi1/β1/γ2
25.93Single8XYKVUF106618XYK-CXCR3-VUF10661-Go/β1/γ2
25.93Single8YICSAR2477998YIC-S1P1-SAR247799-Gi1/β1/γ2
25.93Single8ZRKGSK12922638ZRK-GPR119-GSK1292263-Gs/β1/γ2
25.93Single9B9ZMRI-18679B9Z-CB1-MRI-1867
25.93Single9CIBFCH-22964139CIB-HCA2-FCH-2296413
25.93Single9EAHOlmesartan9EAH-AT1-Olmesartan-Nanobody AT209
25.93Single9EHSLUF76029EHS-A3A-LUF7602
25.93Single9KO4CCL219KO4-CCR7-CCL21-Gi1/β1/γ2
25.93Single9KUVCMPD6449KUV-Apelin-CMPD644-Arrestin2
25.93Consensuscb2_onOrthosteric Ligand8GUR-CB2-CP55940-Gi1/β1/γ2 8GUS-CB2-HU-308-Gi1/β1/γ2 8GUT-CB2-LEI-102-Gi1/β1/γ2 6KPF-CB2-AM12033-Gi1/β1/γ2 6PT0-CB2-WIN 55212-2-Gi1/β1/γ2 8GUQ-CB2-Olorinab-Gi1/β1/γ2
25.93Consensuscb2_on_gpOrthosteric Ligand8GUR-CB2-CP55940-Gi1/β1/γ2 8GUS-CB2-HU-308-Gi1/β1/γ2 8GUT-CB2-LEI-102-Gi1/β1/γ2 6KPF-CB2-AM12033-Gi1/β1/γ2 6PT0-CB2-WIN 55212-2-Gi1/β1/γ2 8GUQ-CB2-Olorinab-Gi1/β1/γ2
25.81Single7QA8Antagonist Peptide7QA8-STE2; STE2-Antagonist Peptide
25.81Single7QA8Antagonist Peptide7QA8-STE2; STE2-Antagonist Peptide
25.81Single7T6UCGEN-855A7T6U-FPR2-ALX-CGEN-855A-Gi1/β1/γ2
25.81Single7WVWfMYFINILTL7WVW-FPR2-ALX-fMYFINILTL-Gi2/β1/γ2
25.81Single9BUECagrilintide9BUE-CT-Cagrilintide-Gs/β1/γ2
25.81Single9KWGC5a9KWG-C5a1-C5a-Go/β1/γ2
25.81Consensuschemokine_onOrthosteric Ligandccr_on cxcr_on
25.81Consensusgi_opioidOrthosteric Ligand8F7R-μ-Endomorphin-Gi1/β1/γ2 8EF5-μ-Fentanyl-Gi1/β1/γ2 7SCG-μ-FH210-Gi1/β1/γ2 7T2H-μ-Lofentanil-Gi1/β1/γ2 7T2G-μ-Mitragynine Pseudoindoxyl-Gi1/β1/γ2 8DZP-κ-momSalB-Gi1/β1/γ2 8EF6-μ-Morphine-Gi1/β1/γ2 8F7X-NOP-Nociceptin-Gi1/β1/γ2 8EFB-μ-Oliceridine-Gi1/β1/γ2 7U2L-μ-C5-guano-Gi1/β1/γ2 8EFO-μ-PZM21-Gi1/β1/γ2 8EFL-μ-SR17018-Gi1/β1/γ2 8F7Q-μ-β-Endorphin-Gi1/β1/γ2 7U2K-μ-C6-guano-Gi1/β1/γ2 8EFQ-μ-DAMGO-Gi1/β1/γ2 8F7S-δ-Deltorphin-Gi1/β1/γ2 8F7W-κ-Dynorphin-Gi1/β1/γ2
25.81Consensuslpl_onOrthosteric Ligands1p_on lpa_on
25.81Consensuslpl_on_gpOrthosteric Ligands1p_on_gp lpa_on_gp
25.81Consensussomatostatin_offOrthosteric Ligandsst2_off
25.71Single5UIW5P7-CCL55UIW-CCR5-5P7-CCL5
25.71Single7F8VGastrin-177F8V-CCKB-Gastrin-17-Gi2/β1/γ2
25.71Consensusccr5_offOrthosteric Ligand5UIW-CCR5-5P7-CCL5
25.71Consensusccr5_onOrthosteric Ligand7O7F-CCR5-6P4-CCL5-Gi1/β1/γ1 7F1Q-CCR5-CCL3-Gi1/β1/γ2
25.71Consensusopioid_on_gpOrthosteric Ligandmop_on_gp nop_on_gp dop_on_gp kop_on_gp
25.64Single6LRYSarafotoxin-B6LRY-ETB-Sarafotoxin-B
25.64Consensusgs_peptideOrthosteric Ligandgs_cck gs_melanocortin gs_vasop-oxy
25.00Single3QAKUK-4320973QAK-A2A-UK-432097
25.00Single4Z34ONO-97803074Z34-LPA1-ONO-9780307
25.00Single6GT3Imaradenant6GT3-A2A-Imaradenant-Na
25.00Single6N4BMDMB-Fubinaca6N4B-CB1-MDMB-Fubinaca-Gi1/β1/γ2
25.00Single7EW7SEW28717EW7-S1P1-SEW2871-Gi1/β1/γ2
25.00Single7F4FAfamelanotide7F4F-MC1-Afamelanotide-chim(NtGi1-Gs)/β1/γ2
25.00Single7F53Alpha-MSH7F53-MC4-α-MSH-Gs/β1/γ2
25.00Single7JVPSKF839597JVP-D1-SKF83959-Gs/β1/γ2
25.00Single7QBCAlpha-factor mating pheromone7QBC-STE2; STE2-α-factor mating pheromone
25.00Single7WJ5Somatostatin-147WJ5-SST2-Somatostatin-14-Gi1/β1/γ2
25.00Single7WVYAmyloid-Beta427WVY-FPR2-ALX-Amyloid-β42-Gi2/β1/γ2
25.00Single7X9ANeuropeptide-Y7X9A-Y1-Neuropeptide-Y-Gi1/β1/γ2
25.00Single7XATSomatostatin-147XAT-SST2-Somatostatin-14-Gi1/β1/γ2
25.00Single7YU7ONO-07405567YU7-LPA1-ONO-0740556-Gi1/β1/γ2
25.00Single8H2GNiacin8H2G-HCA2-Niacin-Gi1/β1/γ2
25.00Single8ID6Oleic acid8ID6-FFA4-Oleic acid-Gi1/β1/γ2
25.00Single8IHBGSK2560738IHB-HCA2-GSK256073-Gi1/β1/γ2
25.00Single8IHHLUF62838IHH-HCA2-LUF6283-Gi1/β1/γ2
25.00Single8IRVRotigotine8IRV-D5-Rotigotine-chim(NtGi1-Gs)/β1/γ2
25.00Single8JPNCis-Epoxysuccinic acid8JPN-Succinate-Cis-Epoxysuccinic acid-Gi1/β1/γ1
25.00Single8K5BNiacin8K5B-HCA2-Niacin
25.00Single8UGWCGS216808UGW-A2A-CGS21680
25.00Single8WP1Cis-Epoxysuccinic acid8WP1-Succinate-Cis-Epoxysuccinic acid-Gi1/β1/γ2
25.00Single8XWPEndothelin-18XWP-ETB-Endothelin-1-Gi1/β1/γ2
25.00Single8XZICMF-0198XZI-Apelin; Apelin-CMF-019-Gi1/β1/γ2
25.00Single8ZH8QRFP268ZH8-QRFP-QRFP26-Gq/β1/γ1
25.00Single9IQSMuscarinic toxin 39IQS-M4-Muscarinic toxin 3
25.00Single9IQVMuscarinic toxin 39IQV-Alpha1A-Muscarinic toxin 3
25.00Single9IZGLPA9IZG-LPA1-LPA-chim(NtGi1-Gs-CtGq)/β1/γ2
25.00Single9JFK(Pen5)-Urotensin II9JFK-UT-(Pen5)-Urotensin II-chim(NtGi2L-Gs-CtGq)/β1/γ2
25.00Single9KUXCMPD6449KUX-Apelin; Apelin-CMPD644-Arrestin2
25.00Single9KVPSB2901579KVP-C3aB-SB290157-Go/β1/γ2
25.00Single9L16CCL219L16-CCR7-CCL21
25.00Consensuscckb_onOrthosteric Ligand8IA7-CCKB-Cholecystokinin-8-chim(NtGi1L-Gq)/β1/γ2 7XOW-CCKB-Sulfated Gastrin-(10-17)-chim(NtGi1-Gq)/β1/γ2 7F8V-CCKB-Gastrin-17-Gi2/β1/γ2
25.00Consensusccr8_on_gpOrthosteric Ligand8KFX-CCR8-LMD-009-Gi1/β1/γ2 8KFY-CCR8-ZK-756326-Gi1/β1/γ2 8U1U-CCR8-CCL1-Gi1/β1/γ2
25.00Consensusclass-a_offOrthosteric Ligandsensory_off alicarboxylic_off amine_off lipid_off nucleotide_off peptide_off protein_off
25.00Consensusd5_on_gpOrthosteric Ligand8IRV-D5-Rotigotine-chim(NtGi1-Gs)/β1/γ2
25.00Consensusgi_cannabinoidOrthosteric Ligand8GUR-CB2-CP55940-Gi1/β1/γ2 8GUS-CB2-HU-308-Gi1/β1/γ2 8GUT-CB2-LEI-102-Gi1/β1/γ2 8GUQ-CB2-Olorinab-Gi1/β1/γ2 6KPF-CB2-AM12033-Gi1/β1/γ2 6PT0-CB2-WIN 55212-2-Gi1/β1/γ2 6KPG-CB1-AM841-Gi1/β1/γ2
25.00Consensusprotein_offOrthosteric Ligandchemokine_off grh_off
25.00Consensussst4_onOrthosteric Ligand7XMS-SST4-Somatostatin-14-Gi1/β1/γ2 7XMT-SST4-J-2156-Gi1/β1/γ2
25.00Consensussst4_on_gpOrthosteric Ligand7XMS-SST4-Somatostatin-14-Gi1/β1/γ2 7XMT-SST4-J-2156-Gi1/β1/γ2
24.39Consensusgluc_onOrthosteric Ligand6LMK-Glucagon-Glucagon-Gs/β1/γ2 8JIT-Glucagon-MEDI0382-Gs/β1/γ2 7V35-Glucagon-Peptide-20-Gs/β1/γ2
24.32Single6IGLIRL16206IGL-ETB-IRL1620
24.32Single7QBCAlpha-factor mating pheromone7QBC-STE2; STE2-α-factor mating pheromone
24.32Single8IY6Endothelin-18IY6-ETB-Endothelin-1
24.32Consensusbk2_onOrthosteric Ligand7F6H-BK2-Bradykinin-Gq/β1/γ2 7F6I-BK2-Kallidin-Gq/β1/γ2
24.32Consensusbk2_on_gpOrthosteric Ligand7F6H-BK2-Bradykinin-Gq/β1/γ2 7F6I-BK2-Kallidin-Gq/β1/γ2
24.32Consensusbradykinin_onOrthosteric Ligandbk2_on
24.32Consensusbradykinin_on_gpOrthosteric Ligandbk2_on_gp
24.32Consensusctlike_on_gpOrthosteric Ligand6E3Y-CT Like-Calcitonin gene-related peptide-1-Gs/β1/γ2; RAMP1
24.32Consensusendothelin_onOrthosteric Ligandetb_on eta_on
24.32Consensusgq_bradykininOrthosteric Ligand7F6H-BK2-Bradykinin-Gq/β1/γ2 7F6I-BK2-Kallidin-Gq/β1/γ2
24.24Single5WF5UK-4320975WF5-A2A-UK-432097
24.24Single6LW5WKYMVm6LW5-FPR2-ALX-WKYMVm
24.24Single7O7F6P4-CCL57O7F-CCR5-6P4-CCL5-Gi1/β1/γ1
24.24Single7TD2LPA7TD2-LPA1-LPA-Gi1/β1/γ2
24.24Single8K6NNeuropeptide-Y8K6N-Y2-Neuropeptide-Y-Gi2/β1/γ1
24.24Single8XGUTAK4488XGU-Kiss1-TAK448-Gi1/β1/γ2
24.24Single8XIQL7967788XIQ-SST3-L796778-chim(NtGi1-Gs-CtGi1)/β1/γ2
24.24Single8XIRPasireotide8XIR-SST3-Pasireotide-chim(NtGi1-Gs-CtGi1)/β1/γ2
24.24Single8XZGApelin-138XZG-Apelin; Apelin-Apelin-13-Gi1/β1/γ2
24.24Single9M1ONeuropeptide-FF9M1O-NPFF2-Neuropeptide-FF-Gi1/β1/γ2
24.24Consensusc5a1_onOrthosteric Ligand8HK5-C5a1-C5a-Gi1/β1/γ2 7Y66-C5a1-BM213-Gi1/β1/γ2 7Y67-C5a1-C089 peptide-Gi1/β1/γ2 7Y64-C5a1-C5a-Gi1/β1/γ2
24.24Consensuscckb_on_gpOrthosteric Ligand8IA7-CCKB-Cholecystokinin-8-chim(NtGi1L-Gq)/β1/γ2 7XOW-CCKB-Sulfated Gastrin-(10-17)-chim(NtGi1-Gq)/β1/γ2 7F8V-CCKB-Gastrin-17-Gi2/β1/γ2
24.24Consensuscxcr4_on_gpOrthosteric Ligand8K3Z-CXCR4-CXCL12-Gi1/β1/γ1
24.24Consensusfpr2-alx_onOrthosteric Ligand7WVX-FPR2-ALX-Humanin-Gi2/β1/γ2 7T6U-FPR2-ALX-CGEN-855A-Gi1/β1/γ2 7T6V-FPR2-ALX-fMLFII-Gi1/β1/γ2 7WVY-FPR2-ALX-Amyloid-β42-Gi2/β1/γ2 7T6S-FPR2-ALX-TC-FPR 43-Gi1/β1/γ2 6OMM-FPR2-ALX-WKYMVX-Gi1/β1/γ2
24.24Consensusgi_somatostatinOrthosteric Ligand7WIC-SST2-Somatostatin-14-Gi1/β1/γ2 7XMS-SST4-Somatostatin-14-Gi1/β1/γ2 8X8L-SST5-Cortistatin-14-chim(NtGi1-Gs-CtGi1)/β1/γ2 7XMT-SST4-J-2156-Gi1/β1/γ2 7WIG-SST2-L-054264-Gi1/β1/γ2 8X8N-SST5-Octreotide-chim(NtGi1-Gs-CtGi1)/β1/γ2 7YAE-SST2-Octreotide-Gi1/β1/γ2 7YAC-SST2-Paltusotine-Gi1/β1/γ2
24.24Consensusgs_cckOrthosteric Ligand7MBX-CCKA-Cholecystokinin-8-Gs/β1/γ1
24.14Single4XEENeurotensin-(8-13)4XEE-NTS1-Neurotensin-(8-13)
24.14Single4XESNeurotensin-(8-13)4XES-NTS1-Neurotensin-(8-13)
24.14Single4Z36ONO-30805734Z36-LPA1-ONO-3080573
24.14Single5UNHPubChem 1264564065UNH-AT2-PubChem 126456406
24.14Single6A93Risperidone6A93-5-HT2A-Risperidone
24.14Single6XOXOrforglipron6XOX-GLP-1-Orforglipron-chim(NtGi1-Gs)/β1/γ2
24.14Single6YVRNeurotensin-(6-13)6YVR-NTS1-Neurotensin-(6-13)
24.14Single7BZ2Arformoterol7BZ2-β2-Arformoterol-Gs/β1/γ2
24.14Single7EO4Siponimod7EO4-S1P1-Siponimod-Gi1/β1/γ2
24.14Single7EVYSiponimod7EVY-S1P1-Siponimod-Gi1/β1/γ2
24.14Single7EW2FTY720-P7EW2-S1P3-FTY720-P-Gi1/β1/γ2
24.14Single7WCMMBX-29827WCM-GPR119-MBX-2982-Gs/β1/γ2
24.14Single7Y66BM2137Y66-C5a1-BM213-Gi1/β1/γ2
24.14Single8I9AEP548I9A-C3aB-EP54-chim(NtGi1-Gs-CtGq)/β1/γ2
24.14Single8JPCNeurotensin-(8-13)8JPC-NTS1-Neurotensin-(8-13)-SBI-553; GDP; Mg-Gq; GRK2
24.14Single8JZ7MK68928JZ7-HCA2-MK6892-Gi1/β1/γ2
24.14Single8VHFMBX-29828VHF-GPR119-MBX-2982-Gs/β1/γ2
24.14Single8XYIVUF106618XYI-CXCR3-VUF10661
24.14Single9GYOP3959GYO-GPBA-P395-chim(NtGi1-Gs)/β1/γ2
24.14Single9IZHLPA9IZH-LPA1-LPA-chim(NtGi2-G13)/β1/γ2
24.14Single9L3WChemerin9L3W-CML1-Chemerin-Gi1/β1/γ2
24.14Single9M8POleic monoethanolamide9M8P-GPR3 ; GPR3-Oleic monoethanolamide-AF64394
24.14Single9MQLIsoquinuclidine9MQL-κ-Isoquinuclidine
24.14Consensusc3a_onOrthosteric Ligand8HK2-C3aB-C3a-Gi1/β1/γ2 8IA8-C3aB-E7 peptide-Gi1/β1/γ2
24.14Consensuscannabinoid_onOrthosteric Ligandcb2_on cb1_on
24.14Consensuscannabinoid_on_gpOrthosteric Ligandcb2_on_gp cb1_on_gp
24.14Consensusccr8_onOrthosteric Ligand8KFX-CCR8-LMD-009-Gi1/β1/γ2 8KFY-CCR8-ZK-756326-Gi1/β1/γ2 8U1U-CCR8-CCL1-Gi1/β1/γ2
24.14Consensusgi_lipidOrthosteric Ligandgi_cannabinoid gi_ffa gi_leukotriene gi_lpa gi_s1p
24.14Consensuslipid_offonOrthosteric Ligandlipid_off lipid_on
24.14Consensuslipid_offon_gpOrthosteric Ligandlipid_on_gp lipid_off
24.14Consensuss1p1_onOrthosteric Ligand7VIE-S1P1-S1P-Gi1/β1/γ2 7VIF-S1P1-FTY720-P-Gi1/β1/γ2 7VIG-S1P1-CBP-307-Gi1/β1/γ2 7EVY-S1P1-Siponimod-Gi1/β1/γ2 7EVZ-S1P1-Cenerimod-Gi1/β1/γ2 7EW0-S1P1-Ozanimod-Gi1/β1/γ2 7EW7-S1P1-SEW2871-Gi1/β1/γ2
24.14Consensuss1p1_on_gpOrthosteric Ligand7VIE-S1P1-S1P-Gi1/β1/γ2 7VIF-S1P1-FTY720-P-Gi1/β1/γ2 7VIG-S1P1-CBP-307-Gi1/β1/γ2 7EVY-S1P1-Siponimod-Gi1/β1/γ2 7EVZ-S1P1-Cenerimod-Gi1/β1/γ2 7EW0-S1P1-Ozanimod-Gi1/β1/γ2 7EW7-S1P1-SEW2871-Gi1/β1/γ2
24.00Single3V2WPubChem 518926453V2W-S1P1-PubChem 51892645
24.00Single4BWBNeurotensin-(8-12)4BWB-NTS1-Neurotensin-(8-12)
24.00Single5U09Taranabant5U09-CB1-Taranabant
24.00Single6AKXA4R6AKX-CCR5-A4R
24.00Single6AKYMaraviroc6AKY-CCR5-Maraviroc
24.00Single7LD4Adenosine7LD4-A1-Adenosine-Gi2/β1/γ2
24.00Single7VVOPTH7VVO-PTH1-PTH-Gs/β1/γ2
24.00Single7W0OElabela7W0O-Apelin-Elabela-Gi1/β1/γ2
24.00Single7WF7S1P7WF7-S1P1-S1P-Gi1/β1/γ2
24.00Single8GGCConstrained Epinephrine8GGC-β2-Constrained Epinephrine-GTP-Gs/β1/γ2
24.00Single8JPPSuccinic acid8JPP-Succinate-Succinic acid-chim(Gs-CtGq)/β1/γ1
24.00Single8WOGSuccinic acid8WOG-Succinate-Succinic acid-Gi1/β1/γ2
24.00Single8YKXMaleic acid8YKX-Succinate-Maleic acid-Gi1/β1/γ1
24.00Single8YYWAlpha-ketoglutarate8YYW-Oxoglutarate-α-ketoglutarate-α-ketoglutarate-chim(Gi1-CtGq)/β1/γ2
24.00Single8Z87CHBA8Z87-HCA1-CHBA-Gi1/β1/γ2
24.00Consensusa1_onOrthosteric Ligand7LD4-A1-Adenosine-Gi2/β1/γ2
24.00Consensusa1_on_gpOrthosteric Ligand7LD4-A1-Adenosine-Gi2/β1/γ2
24.00Consensusangiotensin_offOrthosteric Ligandat1_off
24.00Consensusgi_succinateOrthosteric Ligand8YKW-Succinate-Succinic acid-Gi1/β1/γ1 8YKX-Succinate-Maleic acid-Gi1/β1/γ1
24.00Consensuss1p1_offOrthosteric Ligand3V2W-S1P1-PubChem 51892645
24.00Consensussuccinate_onOrthosteric Ligand8YKW-Succinate-Succinic acid-Gi1/β1/γ1 8YKX-Succinate-Maleic acid-Gi1/β1/γ1
24.00Consensussuccinate_on_gpOrthosteric Ligand8YKW-Succinate-Succinic acid-Gi1/β1/γ1 8YKX-Succinate-Maleic acid-Gi1/β1/γ1
23.53Single5WB2CX3CL1.355WB2-US28-CX3CL1.35
23.53Single6JODAngiotensin II6JOD-AT2-Angiotensin II
23.53Single7F4HAfamelanotide7F4H-MC1-Afamelanotide-chim(NtGi1-Gs)/β1/γ2
23.53Single7W40Bombesin7W40-BB2-Bombesin-chim(NtGi1L-Gq)/β1/γ2
23.53Single7WUIIP157WUI-ADGRG2-IP15-chim(NtGi1-Gs)/β1/γ2
23.53Single7XK8Neuromedin-U-257XK8-NMUR2-Neuromedin-U-25-Gi1/β1/γ2
23.53Single8IHFMK68928IHF-HCA2-MK6892-Gi1/β1/γ2
23.53Single8XWQEndothelin-18XWQ-ETB-Endothelin-1-Gi1/β1/γ2
23.53Single8XZJWN3538XZJ-Apelin; Apelin-WN353-Gi1/β1/γ2
23.53Single8ZBISomatostatin-148ZBI-SST3-Somatostatin-14-Gi1/β1/γ2
23.53Consensusapelin_onOrthosteric Ligand8XZH-Apelin; Apelin-MM07-Gi1/β1/γ2 7W0M-Apelin-PubChem 122701908-Gi1/β1/γ2 8XZJ-Apelin; Apelin-WN353-Gi1/β1/γ2 8XZF-Apelin; Apelin-WN561-Gi1/β1/γ2 8XZG-Apelin; Apelin-Apelin-13-Gi1/β1/γ2
23.53Consensusapelin_on_gpOrthosteric Ligand8XZH-Apelin; Apelin-MM07-Gi1/β1/γ2 7W0M-Apelin-PubChem 122701908-Gi1/β1/γ2 8XZJ-Apelin; Apelin-WN353-Gi1/β1/γ2 8XZF-Apelin; Apelin-WN561-Gi1/β1/γ2 8XZG-Apelin; Apelin-Apelin-13-Gi1/β1/γ2
23.53Consensusc5a1_on_gpOrthosteric Ligand8HK5-C5a1-C5a-Gi1/β1/γ2 7Y66-C5a1-BM213-Gi1/β1/γ2 7Y67-C5a1-C089 peptide-Gi1/β1/γ2 7Y64-C5a1-C5a-Gi1/β1/γ2
23.53Consensusfpr2-alx_on_gpOrthosteric Ligand7WVX-FPR2-ALX-Humanin-Gi2/β1/γ2 7T6U-FPR2-ALX-CGEN-855A-Gi1/β1/γ2 7T6V-FPR2-ALX-fMLFII-Gi1/β1/γ2 7WVY-FPR2-ALX-Amyloid-β42-Gi2/β1/γ2 7T6S-FPR2-ALX-TC-FPR 43-Gi1/β1/γ2 6OMM-FPR2-ALX-WKYMVX-Gi1/β1/γ2
23.33Single4BUONeurotensin-(8-13)4BUO-NTS1-Neurotensin-(8-13)
23.33Single4Z35ONO-99105394Z35-LPA1-ONO-9910539
23.33Single5UNGPubChem 157800525UNG-AT2-PubChem 15780052
23.33Single7EVZCenerimod7EVZ-S1P1-Cenerimod-Gi1/β1/γ2
23.33Single7EZCUK-4320977EZC-A2A-UK-432097
23.33Single7SK8CCX6627SK8-ACKR3-CXCL12-CCX662
23.33Single7XJISolabegron7XJI-β3-Solabegron-Gs/β1/γ2
23.33Single7XK2MK68927XK2-HCA2-MK6892-Gi1/β1/γ2
23.33Single7XZ6APD6687XZ6-GPR119-APD668-Gs/β1/γ2
23.33Single7Y27Somatostatin-147Y27-SST2-Somatostatin-14-chim(NtGi2L-Gs-CtGq)/β1/γ2
23.33Single7YU8ONO-07405567YU8-LPA1-ONO-0740556-Gi1/β1/γ2
23.33Single8FN0Neurotensin-(8-13)8FN0-NTS1-Neurotensin-(8-13)-SBI-553-chim(NtGi1-Go)/β1/γ2
23.33Single8IYSTUG-8918IYS-FFA4-TUG-891-GDP-chim(NtGi1L-Gq)/β1/γ2
23.33Single8K2XCXCL108K2X-CXCR3-CXCL10-Gi1/β1/γ2
23.33Single8ZWGJR14a8ZWG-C3aB-JR14a-Gi1/β1/γ2
23.33Single9EAILosartan9EAI-AT1-Losartan-Nanobody AT209
23.33Single9KT8Acifran9KT8-HCA2-Acifran-Gi1/β1/γ2
23.33Single9KWXC5a-des-Arg9KWX-C5a1-C5a-des-Arg-Go/β1/γ2
23.33Single9UYHChemerin-99UYH-CML2-Chemerin-9-Arrestin2
23.33Single9WP9S1P9WP9-S1P3-S1P-chim(NtGi2L-Gs-CtGq)/β1/γ2
23.33Consensuscb1_on_gpOrthosteric Ligand6KPG-CB1-AM841-Gi1/β1/γ2 8K8J-CB1-Fenofibrate-chim(Gs-CtGq)/β1/γ2
23.33Consensuscck_onOrthosteric Ligandccka_on cckb_on
23.33Consensuscck_on_gpOrthosteric Ligandccka_on_gp cckb_on_gp
23.33Consensuschemerin_onOrthosteric Ligandcml1_on
23.33Consensusd2_offOrthosteric Ligand6CM4-D2-Risperidone 6LUQ-D2-Haloperidol 7DFP-D2-Spiperone
23.33Consensusgal2_onOrthosteric Ligand7WQ4-GAL2-Galanin-chim(NtGi1-Gs-CtGq)/β1/γ2 7XJL-GAL2-Spexin-chim(NtGi2L-Gs-CtGq)/β1/γ2
23.33Consensusgal2_on_gpOrthosteric Ligand7WQ4-GAL2-Galanin-chim(NtGi1-Gs-CtGq)/β1/γ2 7XJL-GAL2-Spexin-chim(NtGi2L-Gs-CtGq)/β1/γ2
23.33Consensusgi_s1pOrthosteric Ligand7VIE-S1P1-S1P-Gi1/β1/γ2 7EW3-S1P3-S1P-Gi1/β1/γ2 7EVY-S1P1-Siponimod-Gi1/β1/γ2 7EW1-S1P5-Siponimod-Gi1/β1/γ2 7VIF-S1P1-FTY720-P-Gi1/β1/γ2 7VIG-S1P1-CBP-307-Gi1/β1/γ2 7EVZ-S1P1-Cenerimod-Gi1/β1/γ2 7EW4-S1P3-CYM-5541-Gi1/β1/γ2 7EW2-S1P3-FTY720-P-Gi1/β1/γ2 7EW0-S1P1-Ozanimod-Gi1/β1/γ2 7EW7-S1P1-SEW2871-Gi1/β1/γ2
23.33Consensuspeptide_offOrthosteric Ligandcck_off angiotensin_off bombesin_off endothelin_off ghrelin_off npy_off opioid_off orexin_off somatostatin_off tachykinin_off vasop-oxy_off neurotensin_off
23.08Single3V2YPubChem 518926453V2Y-S1P1-PubChem 51892645
23.08Single4MBSMaraviroc4MBS-CCR5-Maraviroc
23.08Single7BB6AVP7BB6-V2-AVP-Gs/β1/γ2
23.08Single7F61PF-036547467F61-H3-PF-03654746
23.08Single7T32ZM-2413857T32-A2A-ZM-241385
23.08Single7VUGJNJ-635330547VUG-GPR139-JNJ-63533054-Gi1/β1/γ2
23.08Single8GGSConstrained Epinephrine8GGS-β2-Constrained Epinephrine
23.08Single8GGTConstrained Epinephrine8GGT-β2-Constrained Epinephrine
23.08Single8GURCP559408GUR-CB2-CP55940-Gi1/β1/γ2
23.08Single8IY9Niacin8IY9-HCA2-Niacin-Go/β1/γ2
23.08Single8JIMMonomethyl fumarate8JIM-HCA2-Monomethyl fumarate-Gi1/β1/γ2
23.08Single8JLQFenoldopam8JLQ-TA1-Fenoldopam-Gs/β1/γ2
23.08Single8K5CAcipimox8K5C-HCA2-Acipimox
23.08Single8K9KDAMGO8K9K-μ-DAMGO-Gi3/β1/γ1
23.08Single8RWCStilSwitch28RWC-A2A-StilSwitch2-Na
23.08Single8RWDStilSwitch38RWD-A2A-StilSwitch3-Na
23.08Single8UO0Constrained Epinephrine8UO0-β2-Constrained Epinephrine-GTP-Gs/β1/γ2
23.08Single8W88SEP-3638568W88-TA1-SEP-363856-Gs/β1/γ2
23.08Single8YH2Adenosine8YH2-A3A-Adenosine-Gi1/β1/γ2
23.08Single8YKVPubChem 1375531688YKV-Succinate-PubChem 137553168-Gi1/β1/γ2
23.08Single9JH3CMF-0199JH3-Apelin; Apelin-CMF-019-Gi1/β1/γ2
23.08Single9JKQMETH9JKQ-TA1-METH-Gs/β1/γ2
23.08Single9K0KUTP9K0K-P2Y4-UTP-chim(NtGi1-Gs-CtGq)/β1/γ2
23.08Single9KUWCMPD6449KUW-Apelin; Apelin-CMPD644-Arrestin2 ; Arrestin2
23.08Single9LKBPL459LKB-OR5V1-PL45-chim(NtGi1-Gs)/β1
23.08Single9ODJMitragynine Pseudoindoxyl9ODJ-μ-Mitragynine Pseudoindoxyl-GTP; Mg-Gi1/β1/γ2
23.08Single9ODLMitragynine Pseudoindoxyl9ODL-μ-Mitragynine Pseudoindoxyl-GTP; Mg-Gi1/β1/γ2
23.08Consensusadenosine_onOrthosteric Liganda1_on a2_on a3_on
23.08Consensusat1_offOrthosteric Ligand4YAY-AT1-ZD-7155 4ZUD-AT1-Olmesartan
23.08Consensuscb1_offOrthosteric Ligand5U09-CB1-Taranabant 5TGZ-CB1-AM6538
23.08Consensusendothelin_on_gpOrthosteric Ligandetb_on_gp eta_on_gp
23.08Consensusgi_adenosineOrthosteric Ligand7LD4-A1-Adenosine-Gi2/β1/γ2 8X17-A3A-Namodenoson-Gi1/β1/γ2 8X16-A3A-Piclidenoson-Gi1/β1/γ2
23.08Consensushca_onOrthosteric Ligandhca2_on
23.08Consensusmelanocortin_onOrthosteric Ligandmc1_on mc4_on mc2_on mc3_on mc5_on
23.08Consensusmelanocortin_on_gpOrthosteric Ligandmc1_on_gp mc4_on_gp mc2_on_gp mc3_on_gp mc5_on_gp
22.86Single7F6HBradykinin7F6H-BK2-Bradykinin-Gq/β1/γ2
22.86Single7F6IKallidin7F6I-BK2-Kallidin-Gq/β1/γ2
22.86Single7QBIAlpha-factor mating pheromone7QBI-STE2; STE2-α-factor mating pheromone
22.86Single7VL9CCL15(26-92)7VL9-CCR1-CCL15(26-92)-Gi1/β1/γ2
22.86Single8IA2C5a8IA2-C5a1-C5a-Go/β1/γ2
22.86Single8XVIEndothelin-18XVI-ETA-Endothelin-1-chim(Gs-CtGq)/β1/γ2
22.73Single7XKDDehydroepiandrosterone7XKD-ADGRG2-Dehydroepiandrosterone-Gs/β1/γ2
22.73Single7XKEDehydroepiandrosterone7XKE-ADGRG2-Dehydroepiandrosterone-chim(NtGi1-Gs)/β1/γ2
22.58Single3NY9PubChem 9131033NY9-β2-PubChem 913103
22.58Single7F2OBradykinin7F2O-BK2-Bradykinin-chim(NtGi1-Gs-CtGq)/β1/γ2
22.58Single7SK9CCX6627SK9-ACKR3-CCX662
22.58Single7Y1FDynorphin7Y1F-κ-Dynorphin-Gi1/β1/γ2
22.58Single8H4IDoconexent8H4I-FFA4-Doconexent-chim(NtGi1-Gs)/β1/γ2
22.58Single8IA7Cholecystokinin-88IA7-CCKB-Cholecystokinin-8-chim(NtGi1L-Gq)/β1/γ2
22.58Single8JBFSenktide8JBF-NK3-Senktide-chim(NtGi1-Gs-CtGq)/β1/γ2
22.58Single8X3LXWD8X3L-CB2-XWD-Gi1/β1/γ2
22.58Single8XQLCholesterol8XQL-TAS2R14-Cholesterol-Aristolochic acid A-Gt3/β1/γ1
22.58Single8XQOCholesterol8XQO-TAS2R14-Cholesterol-Aristolochic acid A-Gi1/β1/γ1
22.58Single8Y72Peptide8Y72-μ-Peptide-BMS-986122-Gi1/β1/γ2
22.58Single9EAJNanobody AT2099EAJ-AT1-Nanobody AT209
22.58Single9IPVJR14a9IPV-C3aB-JR14a-Gi1/β1/γ2
22.58Single9IPYJR14a9IPY-C3aB-JR14a
22.58Single9IZASCH9002719IZA-HCA2-SCH900271-Gi1/β1/γ2
22.58Single9KZ8EP679KZ8-C3aB-EP67-Go/β1/γ2
22.58Consensusdop_onOrthosteric Ligand8F7S-δ-Deltorphin-Gi1/β1/γ2
22.58Consensusformylpeptide_onOrthosteric Ligandfpr2-alx_on fpr1-alx_on
22.58Consensusgq_cckOrthosteric Ligand8IA7-CCKB-Cholecystokinin-8-chim(NtGi1L-Gq)/β1/γ2 7XOW-CCKB-Sulfated Gastrin-(10-17)-chim(NtGi1-Gq)/β1/γ2 7EZM-CCKA-Cholecystokinin-8-chim(NtGsL-Gq)/β1/γ2 7F8W-CCKB-Gastrin-17-chim(NtGsL-Gq)/β1/γ2
22.58Consensusox2_onOrthosteric Ligand7L1V-OX2-PubChem 155491009-chim(NtGi1-Gs-CtGq)/β1/γ2 7SQO-OX2-TAK-925-Gi1/β1/γ2 7L1U-OX2-Orexin-chim(NtGi1-Gs-CtGq)/β1/γ2
22.58Consensusox2_on_gpOrthosteric Ligand7L1V-OX2-PubChem 155491009-chim(NtGi1-Gs-CtGq)/β1/γ2 7SQO-OX2-TAK-925-Gi1/β1/γ2 7L1U-OX2-Orexin-chim(NtGi1-Gs-CtGq)/β1/γ2
22.22Single4YAYZD-71554YAY-AT1-ZD-7155
22.22Single5UENDU1725UEN-A1-DU172
22.22Single5ZKPSR274175ZKP-PAF-SR27417
22.22Single6PS1Timolol6PS1-β2-Timolol
22.22Single6Z4VNeurotensin-(9-13)6Z4V-NTS1-Neurotensin-(9-13)
22.22Single7CRHSKF839597CRH-D1-SKF83959-Gs/β1/γ2
22.22Single7LCIDanuglipron7LCI-GLP-1-Danuglipron-Gs/β1/γ2
22.22Single7LCKDanuglipron7LCK-GLP-1-Danuglipron
22.22Single7QBIAlpha-factor mating pheromone7QBI-STE2; STE2-α-factor mating pheromone
22.22Single7S15PubChem 1346112237S15-GLP-1-PubChem 134611223
22.22Single7SK4CXCL12_LRHQ7SK4-ACKR3-CXCL12_LRHQ
22.22Single7T2GMitragynine Pseudoindoxyl7T2G-μ-Mitragynine Pseudoindoxyl-Gi1/β1/γ2
22.22Single7T6VfMLFII7T6V-FPR2-ALX-fMLFII-Gi1/β1/γ2
22.22Single7V3ZCP559407V3Z-CB1-CP55940
22.22Single7VIES1P7VIE-S1P1-S1P-Gi1/β1/γ2
22.22Single7W3ZGastrin Releasing Peptide7W3Z-BB2-Gastrin Releasing Peptide-chim(NtGi1L-Gq)/β1/γ2
22.22Single7YACPaltusotine7YAC-SST2-Paltusotine-Gi1/β1/γ2
22.22Single7YK7DC5910537YK7-RXFP4-DC591053-Gi2/β1/γ2
22.22Single7YU4ONO-07405567YU4-LPA1-ONO-0740556
22.22Single8GE9Constrained Epinephrine8GE9-β2-Constrained Epinephrine-Gs/β1/γ2
22.22Single8GEHConstrained Epinephrine8GEH-β2-Constrained Epinephrine-Gs/β1/γ2
22.22Single8H0PNMB308H0P-BB1-NMB30-chim(NtGi1-Gs-CtGq)/β1/γ2
22.22Single8JIINiacin8JII-HCA2-Niacin-PubChem 25101223-Gi1/β1/γ2
22.22Single8K5DGSK2560738K5D-HCA2-GSK256073
22.22Single8RWXStilSwitch38RWX-A2A-StilSwitch3-Na
22.22Single8UNVConstrained Epinephrine8UNV-β2-Constrained Epinephrine-GTP-Gs/β1/γ2
22.22Single8UNZConstrained Epinephrine8UNZ-β2-Constrained Epinephrine-GTP-Gs/β1/γ2
22.22Single8UO2Constrained Epinephrine8UO2-β2-Constrained Epinephrine-GTP-Gs/β1/γ2
22.22Single8W8ARO52563908W8A-TA1-RO5256390-chim(NtGi1L-Gs)/β1/γ2
22.22Single8X17Namodenoson8X17-A3A-Namodenoson-Gi1/β1/γ2
22.22Single8XQFApelin-138XQF-Apelin-Apelin-13-Gi1/β1/γ2
22.22Single8ZSSRO52633978ZSS-TA1-RO5263397-chim(NtGi1-Gs)/β1/γ2
22.22Single9CHXCarazolol9CHX-β2-Carazolol
22.22Single9IZCMK19039IZC-HCA2-MK1903-Gi1/β1/γ2
22.22Single9VMYTMU41429VMY-5-HT1A-TMU4142-Go/β1/γ2
22.22Consensusa3_onOrthosteric Liganda3a_on
22.22Consensusctlike_onOrthosteric Ligand6E3Y-CT Like-Calcitonin gene-related peptide-1-Gs/β1/γ2; RAMP1
22.22Consensusd5_onOrthosteric Ligand8IRV-D5-Rotigotine-chim(NtGi1-Gs)/β1/γ2
22.22Consensuslipid_offOrthosteric Ligandcannabinoid_off paf_off lpl_off prostanoid_off leukotriene_off
22.22Consensusnucleotide_offonOrthosteric Ligandnucleotide_off nucleotide_on
22.22Consensusnucleotide_offon_gpOrthosteric Ligandnucleotide_on_gp nucleotide_off
21.88Single5UNFPubChem 157800525UNF-AT2-PubChem 15780052
21.88Single7F4ISHU91197F4I-MC1-SHU9119-chim(NtGi1-Gs)/β1/γ2
21.88Single7L0RNeurotensin-(8-13)7L0R-NTS1-Neurotensin-(8-13)-Gi1/β1/γ1
21.88Single7TD4Siponimod7TD4-S1P1-Siponimod-Gi1/β1/γ2
21.88Single7W2ZGhrelin7W2Z-Ghrelin-Ghrelin-Go/β1/γ2
21.88Single7WICSomatostatin-147WIC-SST2-Somatostatin-14-Gi1/β1/γ2
21.88Single7XAUOctreotide7XAU-SST2-Octreotide-Gi1/β1/γ2
21.88Single7XMRSomatostatin-147XMR-SST2-Somatostatin-14-Gi1/β1/γ2
21.88Single8G59TUG-8918G59-FFA4-TUG-891-chim(Gi1-CtGq)/β1/γ2
21.88Single8J6RMK68928J6R-HCA2-MK6892-Gi1/β1/γ2
21.88Single8WDTphotoNECA8WDT-A2A-photoNECA
21.88Single8ZCJPasireotide8ZCJ-SST5-Pasireotide-Gi1/β1/γ1
21.88Single8ZSPLSD8ZSP-TA1-LSD-chim(NtGi1L-Gs)/β1/γ2
21.88Single9BKJCholecystokinin-89BKJ-CCKA-Cholecystokinin-8-chim(NtGi1-Gs-CtGq)/β1/γ2
21.88Single9BUYLM1899BUY-β2-LM189-Gi1/β1/γ2
21.88Single9UMRC5a-pep9UMR-C5a1-C5a-pep-Go/β1/γ2
21.88Consensuscxcr4_onOrthosteric Ligand8K3Z-CXCR4-CXCL12-Gi1/β1/γ1
21.88Consensusnk3_onOrthosteric Ligand8JBF-NK3-Senktide-chim(NtGi1-Gs-CtGq)/β1/γ2
21.88Consensusnk3_on_gpOrthosteric Ligand8JBF-NK3-Senktide-chim(NtGi1-Gs-CtGq)/β1/γ2
21.88Consensusp2y_onOrthosteric Ligandp2y1_on p2y10_on p2y12_on
21.74Single8Z8ALactate8Z8A-HCA1-Lactate-Gi1/β1/γ2
21.62Single8FEG(DNCP)-Beta-Naloxamine8FEG-κ-(DNCP)-β-Naloxamine-Gi1/β1/γ2
21.43Single5N2RPSB365N2R-A2A-PSB36-Na
21.43Single5N2SPSB365N2S-A1-PSB36
21.43Single5NM2ZM-2413855NM2-A2A-ZM-241385-Na
21.43Single5OM4PubChem 1355666095OM4-A2A-PubChem 135566609-Na
21.43Single6D26Fevipiprant6D26-DP2-Fevipiprant
21.43Single6KPCAM120336KPC-CB2-AM12033
21.43Single6ME62-Phenylmelatonin6ME6-MT2-2-Phenylmelatonin
21.43Single6ME72-Phenylmelatonin6ME7-MT2-2-Phenylmelatonin
21.43Single6ME82-Phenylmelatonin6ME8-MT2-2-Phenylmelatonin
21.43Single7C4SS1P7C4S-S1P3-S1P
21.43Single7C61Ergotamine7C61-5-HT1B-Ergotamine
21.43Single7CFNINT-7777CFN-GPBA-INT-777-Gs/β1/γ2
21.43Single7CKXA776367CKX-D1-A77636-Gs/β1/γ2
21.43Single7XKAConstrained Epinephrine7XKA-β2-Constrained Epinephrine
21.43Single7YU3ONO-07405567YU3-LPA1-ONO-0740556-Gi1/β1/γ2
21.43Single8C9WEtrumadenant8C9W-A2A-Etrumadenant
21.43Single8DZQmomSalB8DZQ-κ-momSalB-Go/β1/γ2
21.43Single8GDZConstrained Epinephrine8GDZ-β2-Constrained Epinephrine-Gs/β1/γ2
21.43Single8GEBConstrained Epinephrine8GEB-β2-Constrained Epinephrine-Gs/β1/γ2
21.43Single8GEGConstrained Epinephrine8GEG-β2-Constrained Epinephrine-Gs/β1/γ2
21.43Single8GGBConstrained Epinephrine8GGB-β2-Constrained Epinephrine-GTP-Gs/β1/γ2
21.43Single8I7WGSK2560738I7W-HCA2-GSK256073-Gi1/β1/γ2
21.43Single8J18(3R)-3-Hydroxydodecanoic acid8J18-GPR84-(3R)-3-Hydroxydodecanoic acid-Gi1/β1/γ2
21.43Single8JXSPF-61428JXS-D1-PF-6142
21.43Single8QOTNanobody-E8QOT-μ-Nanobody-E
21.43Single8TF5Oleic acid8TF5-GPR6-Oleic acid
21.43Single8TH4Losartan8TH4-AT1-Losartan-AT118-L Nanobody
21.43Single8UNNConstrained Epinephrine8UNN-β2-Constrained Epinephrine-GTP-Gs/β1/γ2
21.43Single8UNPConstrained Epinephrine8UNP-β2-Constrained Epinephrine-GTP-Gs/β1/γ2
21.43Single8ZYTNeurotensin-(8-13)8ZYT-NTS1-Neurotensin-(8-13)-SBI-553-Arrestin2
21.43Single9EE8Adenosine9EE8-A2A-Adenosine-Gs/β1/γ2
21.43Single9ERXD9-THC analog9ERX-CB1-D9-THC analog-Gi1/β1/γ2
21.43Single9I52A1IZU9I52-D1-A1IZU-Gs/β1/γ2
21.43Single9IYBPGD29IYB-DP2-PGD2-A1D5Q-Gi1/β1/γ2
21.43Single9JKSPubChem 442501769JKS-HCA3-PubChem 44250176-Gi1/β1/γ2
21.43Single9KPFSalicin9KPF-TAS2R16-Salicin-Gi1/β1/γ2
21.43Single9KUTJR14a9KUT-C3aB-JR14a-Go/β1/γ2
21.43Single9L74S1P d16:19L74-S1P3-S1P d16:1-chim(NtGi2L-Gs-CtGq)/β1/γ2
21.43Consensusa1_offOrthosteric Ligand5UEN-A1-DU172 5N2S-A1-PSB36
21.43Consensusa3_on_gpOrthosteric Liganda3a_on_gp
21.43Consensusa3a_onOrthosteric Ligand8X17-A3A-Namodenoson-Gi1/β1/γ2 8X16-A3A-Piclidenoson-Gi1/β1/γ2
21.43Consensusa3a_on_gpOrthosteric Ligand8X17-A3A-Namodenoson-Gi1/β1/γ2 8X16-A3A-Piclidenoson-Gi1/β1/γ2
21.43Consensusadenosine_offOrthosteric Liganda1_off a2_off
21.43Consensusd1_onOrthosteric Ligand7F0T-D1-Dopamine-Gs/β1/γ2 7CKY-D1-PW0464-Gs/β1/γ2 8IRR-D1-Rotigotine-Gs/β1/γ2 7JV5-D1-SKF81297-Gs/β1/γ2 7JVP-D1-SKF83959-Gs/β1/γ2 7X2D-D1-Tavapadon-Gs/β1/γ2 7CKX-D1-A77636-Gs/β1/γ2 7JVQ-D1-Apomorphine-Gs/β1/γ2 7CKW-D1-Fenoldopam-Gs/β1/γ2
21.43Consensusd2_onOrthosteric Ligand7JVR-D2-Bromoergocryptine-Gi1/β1/γ2 8IRS-D2-Rotigotine-Gi1/β1/γ2
21.43Consensusdp2_offOrthosteric Ligand6D26-DP2-Fevipiprant
21.43Consensusdp_offOrthosteric Liganddp2_off
21.43Consensusgs_amineOrthosteric Ligandgs_5ht gs_adrenergic gs_dopamine gs_histamine gs_trace-amine
21.43Consensuslipid_onOrthosteric Ligandcannabinoid_on ffa_on lpl_on prostanoid_on leukotriene_on
21.43Consensuslipid_on_gpOrthosteric Ligandcannabinoid_on_gp ffa_on_gp lpl_on_gp prostanoid_on_gp leukotriene_on_gp
21.43Consensusnucleotide_onOrthosteric Ligandadenosine_on p2y_on
21.43Consensuss1p_offOrthosteric Ligands1p1_off s1p5_off
21.43Consensusta1_onOrthosteric Ligand8W87-TA1-METH-chim(NtGi1L-Gs)/β1/γ2 8W89-TA1-2-Phenylethylamine-chim(NtGi1L-Gs)/β1/γ2 8JLP-TA1-Ralmitaront-Gs/β1/γ2 8W8A-TA1-RO5256390-chim(NtGi1L-Gs)/β1/γ2 8W88-TA1-SEP-363856-Gs/β1/γ2 8JLO-TA1-Ulotaront-Gs/β1/γ2 8JLR-TA1-A77636-chim(NtGi1-Gs)/β1/γ2 8JSO-TA1-AMPH-chim(NtGi1-Gs)/β1/γ2 8ZSP-TA1-LSD-chim(NtGi1L-Gs)/β1/γ2
21.43Consensustrace-amine_onOrthosteric Ligandta1_on
21.21Single5XJM(Sar1,Ile8)-Angiotensin II5XJM-AT2-(Sar1,Ile8)-Angiotensin II
21.21Single7EZKCholecystokinin-87EZK-CCKA-Cholecystokinin-8-chim(NtGi1-Gs)/β1/γ2
21.21Single7F1QCCL37F1Q-CCR5-CCL3-Gi1/β1/γ2
21.21Single7SK5CXCL127SK5-ACKR3-CXCL12
21.21Single8F7SDeltorphin8F7S-δ-Deltorphin-Gi1/β1/γ2
21.21Single8F7WDynorphin8F7W-κ-Dynorphin-Gi1/β1/γ2
21.21Single8IBVMotilin8IBV-Motilin-Motilin-chim(NtGi1-Gs-CtGq)/β1/γ2
21.21Single8KH5Lysophosphatidylserine8KH5-GPR174-Lysophosphatidylserine-Gs/β1/γ2
21.21Single9E82CXCL12 (fragment)9E82-ACKR3-CXCL12 (fragment)-Arrestin2
21.21Single9KFIRelaxin-39KFI-RXFP3-Relaxin-3-Gi2/β1/γ2
21.21Single9KV6TLQP219KV6-C3aB-TLQP21-Go/β1/γ2
21.21Single9L60Dynorphin9L60-κ-Dynorphin-MPAM-15-Gi1/β1/γ2
21.21Single9UMXEP549UMX-C5a1-EP54-Go/β1/γ2
21.21Consensusdop_on_gpOrthosteric Ligand8F7S-δ-Deltorphin-Gi1/β1/γ2
21.21Consensusgi_ghrelinOrthosteric Ligand7NA7-Ghrelin-Ghrelin-Gi1/β1/γ2 7NA8-Ghrelin-Ibutamoren-Gi1/β1/γ2
21.21Consensuss1p3_on_gpOrthosteric Ligand7EW3-S1P3-S1P-Gi1/β1/γ2 7EW4-S1P3-CYM-5541-Gi1/β1/γ2 7EW2-S1P3-FTY720-P-Gi1/β1/γ2
21.05Single8IY5Endothelin-18IY5-ETB-Endothelin-1-Gi1/β1/γ2
21.05Single8Y52BA18Y52-BB3-BA1-chim(NtGi1-Gs-CtGq)/β1/γ2
21.05Consensusgs_melanocortinOrthosteric Ligand7F4H-MC1-Afamelanotide-chim(NtGi1-Gs)/β1/γ2 7F54-MC4-Afamelanotide-Gs/β1/γ2 7F4D-MC1-α-MSH-chim(NtGi1-Gs)/β1/γ2 8INR-MC5-α-MSH-Ca-chim(NtGi1-Gs)/β1/γ2 7F53-MC4-α-MSH-Gs/β1/γ2 7F55-MC4-Bremelanotide-Gs/β1/γ2 8GY7-MC2-Corticotropin-Ca-chim(NtGi1-Gs)/β1/γ2; MRAP1 8IOC-MC3-γ-MSH-Ca-chim(NtGi1-Gs)/β1/γ2 8IOD-MC5-PG-901-Ca-chim(NtGi1-Gs)/β1/γ2 7AUE-MC4-Setmelanotide-chim(NtGi1L-Gs)/β1/γ2 7F4I-MC1-SHU9119-chim(NtGi1-Gs)/β1/γ2 7F58-MC4-THIQ-Gs/β1/γ2
20.93Consensusmc2_onOrthosteric Ligand8GY7-MC2-Corticotropin-Ca-chim(NtGi1-Gs)/β1/γ2; MRAP1
20.93Consensusmc2_on_gpOrthosteric Ligand8GY7-MC2-Corticotropin-Ca-chim(NtGi1-Gs)/β1/γ2; MRAP1
20.83Single8GGFConstrained Epinephrine8GGF-β2-Constrained Epinephrine-GTP-Gs/β1/γ2
20.83Single8GH1Constrained Epinephrine8GH1-β2-Constrained Epinephrine
20.83Single8J6QBeta-Hydroxybutyrate8J6Q-HCA2-β-Hydroxybutyrate-PubChem 25101223-Gi1/β1/γ2
20.83Single9KT93,5-DHBA9KT9-HCA1-3,5-DHBA-Gi1/β1/γ2
20.69Single2YDVNECA2YDV-A2A-NECA
20.69Single3P0GBI1671073P0G-β2-BI167107
20.69Single3SN6BI1671073SN6-β2-BI167107-Gs/β1/γ2
20.69Single3ZEVNeurotensin-(7-13)3ZEV-NTS1-Neurotensin-(7-13)
20.69Single4BV0Neurotensin-(7-13)4BV0-NTS1-Neurotensin-(7-13)
20.69Single4LDLHydroxybenzyl Isoproterenol4LDL-β2-Hydroxybenzyl Isoproterenol
20.69Single4UHRCGS216804UHR-A2A-CGS21680
20.69Single5A8E7-Methylcyanopindolol5A8E-β1-7-Methylcyanopindolol-Na
20.69Single5G53NECA5G53-A2A-NECA-Gs
20.69Single5XR8AM120335XR8-CB1-AM12033
20.69Single6NI3BI1671076NI3-β2-BI167107-Gs/β1/γ2
20.69Single6OS1TRV0266OS1-AT1-TRV026
20.69Single7CKYPW04647CKY-D1-PW0464-Gs/β1/γ2
20.69Single7EW3S1P7EW3-S1P3-S1P-Gi1/β1/γ2
20.69Single7F1TCCL37F1T-CCR5-CCL3
20.69Single7JV5SKF812977JV5-D1-SKF81297-Gs/β1/γ2
20.69Single7L0PNeurotensin-(8-13)7L0P-NTS1-Neurotensin-(8-13)-Gi1/β1/γ1
20.69Single7L0QNeurotensin-(8-13)7L0Q-NTS1-Neurotensin-(8-13)-Gi1/β1/γ1
20.69Single7PX4PSB-21137PX4-A2A-PSB-2113
20.69Single7T2HLofentanil7T2H-μ-Lofentanil-Gi1/β1/γ2
20.69Single7T9NDPPC7T9N-TSH-M22 Fab-DPPC-Gs/β1/γ2
20.69Single7TD1LPA7TD1-LPA1-LPA-Gi1/β1/γ2
20.69Single7VIGCBP-3077VIG-S1P1-CBP-307-Gi1/β1/γ2
20.69Single7WV9CP559407WV9-CB1-CP55940-ZCZ011-Gi2/β1/γ2
20.69Single7WVXHumanin7WVX-FPR2-ALX-Humanin-Gi2/β1/γ2
20.69Single7XJLSpexin7XJL-GAL2-Spexin-chim(NtGi2L-Gs-CtGq)/β1/γ2
20.69Single7XOWSulfated Gastrin-(10-17)7XOW-CCKB-Sulfated Gastrin-(10-17)-chim(NtGi1-Gq)/β1/γ2
20.69Single7XTQR3997XTQ-GPBA-R399-Gs/β1/γ2
20.69Single7YU5ONO-07405567YU5-LPA1-ONO-0740556-Gi1/β1/γ2
20.69Single8DZPmomSalB8DZP-κ-momSalB-Gi1/β1/γ2
20.69Single8FN1Neurotensin-(8-13)8FN1-NTS1-Neurotensin-(8-13)-chim(NtGi1-Go)/β1/γ2
20.69Single8HPTC5a (C-terminal peptide)8HPT-C5a1-C5a (C-terminal peptide)-Go/β1/γ2
20.69Single8HQCC5a8HQC-C5a1-C5a-Go/β1/γ2
20.69Single8I9LC3a8I9L-C3aB-C3a-Go/β1/γ2
20.69Single8ID39-Hydroxystearic acid8ID3-FFA4-9-Hydroxystearic acid-Gi1/β1/γ2
20.69Single8IYHMK68928IYH-HCA2-MK6892-Go/β1/γ2
20.69Single8JZPC5a8JZP-C5a1-C5a-Go/β1/γ2
20.69Single8T1VPubChem 1183102098T1V-GPR6-PubChem 118310209-Na
20.69Single8VVEnorBNI8VVE-κ-norBNI-Gi1/β1/γ2
20.69Single8VVFJDTic8VVF-κ-JDTic-Gi1/β1/γ2
20.69Single8WU1MDMB-Fubinaca8WU1-CB1-MDMB-Fubinaca-Arrestin2
20.69Single8X16Piclidenoson8X16-A3A-Piclidenoson-Gi1/β1/γ2
20.69Single8XIPPasireotide8XIP-SST1-Pasireotide-chim(NtGi1-Gs-CtGi1)/β1/γ2
20.69Single8YH6Namodenoson8YH6-A3A-Namodenoson-Gi1/β1/γ2
20.69Single8ZR5Firuglipel8ZR5-GPR119-Firuglipel-Gs/β1/γ2
20.69Single8ZWFJR14a8ZWF-C3aB-JR14a
20.69Single9ASTLymphotactin9AST-XCR1-Lymphotactin-Gi1/β1/γ2
20.69Single9B65MDMB-Fubinaca9B65-CB1-MDMB-Fubinaca-Gi1/β1/γ2
20.69Single9I54PubChem 1764520919I54-D1-PubChem 176452091-Gs/β1/γ2
20.69Single9IK9Lanreotide9IK9-SST1-Lanreotide-Gi1/β1/γ2
20.69Single9JMCDS-3801b9JMC-Motilin-DS-3801b-chim(Gs-CtGq)/β1/γ2
20.69Single9WSTDAMGO9WST-μ-DAMGO-chim(NtGi1-Gz)/β1/γ2
20.69Consensus5ht_offOrthosteric Ligand5ht2_off 5ht1_off
20.69Consensusd1_on_gpOrthosteric Ligand7F0T-D1-Dopamine-Gs/β1/γ2 7CKY-D1-PW0464-Gs/β1/γ2 8IRR-D1-Rotigotine-Gs/β1/γ2 7JV5-D1-SKF81297-Gs/β1/γ2 7JVP-D1-SKF83959-Gs/β1/γ2 7X2D-D1-Tavapadon-Gs/β1/γ2 7CKX-D1-A77636-Gs/β1/γ2 7JVQ-D1-Apomorphine-Gs/β1/γ2 7CKW-D1-Fenoldopam-Gs/β1/γ2
20.69Consensusgi_dopamineOrthosteric Ligand7JVR-D2-Bromoergocryptine-Gi1/β1/γ2 7CMV-D3-PD128907-Gi1/β1/γ2 7CMU-D3-Pramipexole-Gi1/β1/γ2 8IRS-D2-Rotigotine-Gi1/β1/γ2 8IRT-D3-Rotigotine-Gi1/β1/γ2
20.69Consensusgi_lpaOrthosteric Ligand7TD1-LPA1-LPA-Gi1/β1/γ2 7YU3-LPA1-ONO-0740556-Gi1/β1/γ2
20.69Consensusgi_relaxinOrthosteric Ligand7YK7-RXFP4-DC591053-Gi2/β1/γ2 7YJ4-RXFP4-INSL5-Gi2/β1/γ2 7YK6-RXFP4-PubChem 138319674-Gi2/β1/γ2
20.69Consensusgs_dopamineOrthosteric Ligand7F0T-D1-Dopamine-Gs/β1/γ2 7CKW-D1-Fenoldopam-Gs/β1/γ2 7CKY-D1-PW0464-Gs/β1/γ2 8IRV-D5-Rotigotine-chim(NtGi1-Gs)/β1/γ2 8IRR-D1-Rotigotine-Gs/β1/γ2 7JV5-D1-SKF81297-Gs/β1/γ2 7JVP-D1-SKF83959-Gs/β1/γ2 7X2D-D1-Tavapadon-Gs/β1/γ2 7CKX-D1-A77636-Gs/β1/γ2 7JVQ-D1-Apomorphine-Gs/β1/γ2
20.69Consensuslpa_onOrthosteric Ligandlpa1_on
20.69Consensuslpa_on_gpOrthosteric Ligandlpa1_on_gp
20.69Consensusneurotensin_onOrthosteric Ligandnts1_on
20.69Consensusnts1_onOrthosteric Ligand6OSA-NTS1-JMV449-Gi1/β1/γ2 7L0S-NTS1-Neurotensin-(8-13)-Gi1/β1/γ1
20.69Consensusrelaxin_onOrthosteric Ligandrxfp4_on
20.69Consensusrelaxin_on_gpOrthosteric Ligandrxfp4_on_gp
20.69Consensusta1_on_gpOrthosteric Ligand8W87-TA1-METH-chim(NtGi1L-Gs)/β1/γ2 8W89-TA1-2-Phenylethylamine-chim(NtGi1L-Gs)/β1/γ2 8JLP-TA1-Ralmitaront-Gs/β1/γ2 8W8A-TA1-RO5256390-chim(NtGi1L-Gs)/β1/γ2 8W88-TA1-SEP-363856-Gs/β1/γ2 8JLO-TA1-Ulotaront-Gs/β1/γ2 8JLR-TA1-A77636-chim(NtGi1-Gs)/β1/γ2 8JSO-TA1-AMPH-chim(NtGi1-Gs)/β1/γ2 8ZSP-TA1-LSD-chim(NtGi1L-Gs)/β1/γ2
20.69Consensustrace-amine_on_gpOrthosteric Ligandta1_on_gp
20.59Single3OE0CVX153OE0-CXCR4-CVX15
20.59Single6MEOGp160; CD46MEO-CCR5-Gp160; CD4
20.59Single6PT2KGCHM076PT2-δ-KGCHM07
20.59Single7F4DAlpha-MSH7F4D-MC1-α-MSH-chim(NtGi1-Gs)/β1/γ2
20.59Single7MBXCholecystokinin-87MBX-CCKA-Cholecystokinin-8-Gs/β1/γ1
20.59Single7T6TfMLFII7T6T-FPR1-ALX-fMLFII-Gi1/β1/γ2
20.59Single8XZHMM078XZH-Apelin; Apelin-MM07-Gi1/β1/γ2
20.51Single8U1UCCL18U1U-CCR8-CCL1-Gi1/β1/γ2
20.51Consensuscrf1_onOrthosteric Ligand6PB0-CRF1-Urocortin-chim(NtGi1-Gs)/β1/γ2 6P9X-CRF1-Corticoliberin-1-Gs/β1/γ2
20.51Consensusgi_endothelinOrthosteric Ligand8IY5-ETB-Endothelin-1-Gi1/β1/γ2 8HBD-ETB-IRL1620-Gi1/β1/γ2
20.00Single3OE9IT1t3OE9-CXCR4-IT1t
20.00Single4GRVNeurotensin-(8-13)4GRV-NTS1-Neurotensin-(8-13)
20.00Single6C1RPMX536C1R-C5a1-PMX53-Avacopan; Na
20.00Single6LI0C176LI0-GPR52-C17
20.00Single6METGp160; CD46MET-CCR5-Gp160; CD4
20.00Single6MXTSalmeterol6MXT-β2-Salmeterol
20.00Single6OSAJMV4496OSA-NTS1-JMV449-Gi1/β1/γ2
20.00Single6VMSBromoergocryptine6VMS-D2-Bromoergocryptine-Gi1/β1/γ2
20.00Single7DFPSpiperone7DFP-D2-Spiperone
20.00Single7DH5Mirabegron7DH5-β3-Mirabegron-Gs/β1/γ2
20.00Single7JNIOlodanrigan7JNI-AT2-Olodanrigan
20.00Single7L0SNeurotensin-(8-13)7L0S-NTS1-Neurotensin-(8-13)-Gi1/β1/γ1
20.00Single7SK6CXCL12_LRHQ7SK6-ACKR3-CXCL12_LRHQ
20.00Single7SUSPubChem 1227019087SUS-Apelin-PubChem 122701908
20.00Single7T10Somatostatin-147T10-SST2-Somatostatin-14-Gi3/β1/γ2
20.00Single7W0LPubChem 1227019087W0L-Apelin; Apelin-PubChem 122701908-Gi1/β1/γ2
20.00Single7XJKGalanin7XJK-GAL2-Galanin-chim(NtGi2L-Gs-CtGq)/β1/γ2
20.00Single7XKFDehydroepiandrosterone7XKF-ADGRG2-Dehydroepiandrosterone-Gs/β1/γ2
20.00Single7XT9Serotonin7XT9-5-HT4-Serotonin-Gs/β1/γ2
20.00Single7YITNalfurafine7YIT-κ-Nalfurafine
20.00Single8G056-OAU8G05-GPR84-6-OAU-Gi1/β1/γ2
20.00Single8HK2C3a8HK2-C3aB-C3a-Gi1/β1/γ2
20.00Single8IBUErythromycin-A8IBU-Motilin-Erythromycin-A-chim(NtGi1-Gs-CtGq)/β1/γ2
20.00Single8ID9Icosapent8ID9-FFA4-Icosapent-Gi1/β1/γ2
20.00Single8IYWGSK2560738IYW-HCA2-GSK256073-Go/β1/γ2
20.00Single8J6IMK68928J6I-HCA2-MK6892-Gi1/β1/γ2
20.00Single8JJ8Arformoterol8JJ8-β2-Arformoterol
20.00Single8JJLOlodaterol8JJL-β2-Olodaterol
20.00Single8JPBNeurotensin-(8-13)8JPB-NTS1-Neurotensin-(8-13)-SBI-553; GDP; Mg-Gq; GRK2
20.00Single8JWY2-1188JWY-A2A-2-118
20.00Single8JWZEtrumadenant8JWZ-A2A-Etrumadenant-Na
20.00Single8U26Substance-P8U26-NK1-Substance-P-Gs/β1/γ2
20.00Single8UO3Constrained Epinephrine8UO3-β2-Constrained Epinephrine-GTP; Mg-Gs/β1/γ2
20.00Single8W1VPubChem 1717162658W1V-β2-PubChem 171716265
20.00Single8XJNCloprosetnol8XJN-TXA2-Cloprosetnol-chim(NtGi1-Gs-CtGq)/β1/γ2
20.00Single8XQNCholesterol8XQN-TAS2R14-Cholesterol-Aristolochic acid A-Gi1/β1/γ1
20.00Single8YKWSuccinic acid8YKW-Succinate-Succinic acid-Gi1/β1/γ1
20.00Single8ZSVRO52633978ZSV-TA1-RO5263397-chim(NtGi1-Gs)/β1/γ2
20.00Single9B9YTaranabant9B9Y-CB1-Taranabant
20.00Single9DGIZ85267113509DGI-CB1-Z8526711350
20.00Single9EBIPiclidenoson9EBI-A3A-Piclidenoson-chim(NtGi1L-Gs-CtGi1)/β1/γ2
20.00Single9GL2Befiradol9GL2-5-HT1A-Befiradol-Gs/β1/γ2
20.00Single9IQTNiacin9IQT-HCA2-Niacin-Gi1/β1/γ2
20.00Single9KUWCMPD6449KUW-Apelin; Apelin-CMPD644-Arrestin2 ; Arrestin2
20.00Single9KZKC3a (fragment)9KZK-C3aB-C3a (fragment)-Go/β1/γ2
20.00Single9M4QDoxazosin9M4Q-Alpha1A-Doxazosin
20.00Single9U9VMETH9U9V-β2-METH-Gs/β1/γ2
20.00Single9V6ONalfurafine9V6O-κ-Nalfurafine-Gi1/β1/γ2
20.00Single9VJ6F-155999VJ6-5-HT1A-F-15599-Gi3/β1/γ2
20.00Single9WSVDAMGO9WSV-μ-DAMGO-Arrestin2
20.00Single9WSWEndomorphin9WSW-μ-Endomorphin-chim(NtGi1-Gz)/β1/γ2
20.00Consensusbeta3_onOrthosteric Ligand7DH5-β3-Mirabegron-Gs/β1/γ2 7XJH-β3-Isoprenaline-Gs/β1/γ2 7XJI-β3-Solabegron-Gs/β1/γ2
20.00Consensusbeta3_on_gpOrthosteric Ligand7DH5-β3-Mirabegron-Gs/β1/γ2 7XJH-β3-Isoprenaline-Gs/β1/γ2 7XJI-β3-Solabegron-Gs/β1/γ2
20.00Consensuscannabinoid_offOrthosteric Ligandcb2_off cb1_off
20.00Consensuscb1_onOrthosteric Ligand6KPG-CB1-AM841-Gi1/β1/γ2 8K8J-CB1-Fenofibrate-chim(Gs-CtGq)/β1/γ2
20.00Consensuscrf2_onOrthosteric Ligand7TS0-CRF2-Urocortin-chim(NtGi1L-Go)/β1/γ2
20.00Consensuscxcr_onOrthosteric Ligandcxcr3_on cxcr4_on cxcr1_on cxcr2_on
20.00Consensusd2_on_gpOrthosteric Ligand7JVR-D2-Bromoergocryptine-Gi1/β1/γ2 8IRS-D2-Rotigotine-Gi1/β1/γ2
20.00Consensusetb_on_gpOrthosteric Ligand8IY5-ETB-Endothelin-1-Gi1/β1/γ2 8HBD-ETB-IRL1620-Gi1/β1/γ2
20.00Consensusgalanin_onOrthosteric Ligandgal2_on gal1_on
20.00Consensusgalanin_on_gpOrthosteric Ligandgal2_on_gp gal1_on_gp
20.00Consensusgi_neurotensinOrthosteric Ligand6OSA-NTS1-JMV449-Gi1/β1/γ2 7L0S-NTS1-Neurotensin-(8-13)-Gi1/β1/γ1
20.00Consensuskop_onOrthosteric Ligand8F7W-κ-Dynorphin-Gi1/β1/γ2 8DZS-κ-GR89,696-chim(NtGi2-Gz)/β1/γ2 8DZP-κ-momSalB-Gi1/β1/γ2
20.00Consensusleukotriene_offOrthosteric Ligandblt_off cyslt_off
20.00Consensusm4_onOrthosteric Ligand7TRS-M4-Acetylcholine-Gi1/β1/γ2 7V6A-M4-PubChem 9864275-Gi1/β1/γ2 8E9X-M4-2-Deoxycytidine-chim(NtGi1-Go)/β1/γ2 7TRK-M4-Iperoxo-Gi1/β1/γ2
20.00Consensusm4_on_gpOrthosteric Ligand7TRS-M4-Acetylcholine-Gi1/β1/γ2 7V6A-M4-PubChem 9864275-Gi1/β1/γ2 8E9X-M4-2-Deoxycytidine-chim(NtGi1-Go)/β1/γ2 7TRK-M4-Iperoxo-Gi1/β1/γ2
20.00Consensusmop_onOrthosteric Ligand8F7R-μ-Endomorphin-Gi1/β1/γ2 8EF5-μ-Fentanyl-Gi1/β1/γ2 7SCG-μ-FH210-Gi1/β1/γ2 7T2H-μ-Lofentanil-Gi1/β1/γ2 7T2G-μ-Mitragynine Pseudoindoxyl-Gi1/β1/γ2 8EF6-μ-Morphine-Gi1/β1/γ2 8EFB-μ-Oliceridine-Gi1/β1/γ2 7U2L-μ-C5-guano-Gi1/β1/γ2 8EFO-μ-PZM21-Gi1/β1/γ2 8EFL-μ-SR17018-Gi1/β1/γ2 8F7Q-μ-β-Endorphin-Gi1/β1/γ2 7U2K-μ-C6-guano-Gi1/β1/γ2 8EFQ-μ-DAMGO-Gi1/β1/γ2
20.00Consensusmop_on_gpOrthosteric Ligand8F7R-μ-Endomorphin-Gi1/β1/γ2 8EF5-μ-Fentanyl-Gi1/β1/γ2 7SCG-μ-FH210-Gi1/β1/γ2 7T2H-μ-Lofentanil-Gi1/β1/γ2 7T2G-μ-Mitragynine Pseudoindoxyl-Gi1/β1/γ2 8EF6-μ-Morphine-Gi1/β1/γ2 8EFB-μ-Oliceridine-Gi1/β1/γ2 7U2L-μ-C5-guano-Gi1/β1/γ2 8EFO-μ-PZM21-Gi1/β1/γ2 8EFL-μ-SR17018-Gi1/β1/γ2 8F7Q-μ-β-Endorphin-Gi1/β1/γ2 7U2K-μ-C6-guano-Gi1/β1/γ2 8EFQ-μ-DAMGO-Gi1/β1/γ2
20.00Consensusmotilin_on_gpOrthosteric Ligand8IBU-Motilin-Erythromycin-A-chim(NtGi1-Gs-CtGq)/β1/γ2
20.00Consensusneuromedin-u_onOrthosteric Ligandnmur1_on nmur2_on
20.00Consensusneurotensin_on_gpOrthosteric Ligandnts1_on_gp
20.00Consensusnts1_on_gpOrthosteric Ligand6OSA-NTS1-JMV449-Gi1/β1/γ2 7L0S-NTS1-Neurotensin-(8-13)-Gi1/β1/γ1
20.00Consensusopioid_offOrthosteric Ligandmop_off nop_off dop_off kop_off
20.00Consensusorexin_onOrthosteric Ligandox2_on
20.00Consensusp2y_on_gpOrthosteric Ligandp2y1_on_gp p2y10_on_gp p2y12_on_gp
20.00Consensuss1p3_onOrthosteric Ligand7EW3-S1P3-S1P-Gi1/β1/γ2 7EW4-S1P3-CYM-5541-Gi1/β1/γ2 7EW2-S1P3-FTY720-P-Gi1/β1/γ2
19.51Consensuscrf1_on_gpOrthosteric Ligand6PB0-CRF1-Urocortin-chim(NtGi1-Gs)/β1/γ2 6P9X-CRF1-Corticoliberin-1-Gs/β1/γ2
19.44Single7X9CPancreatic Hormone7X9C-Y4-Pancreatic Hormone-Gi1/β1/γ2
19.44Single7XV3Lysophosphatidylserine (WJS)7XV3-GPR174-Lysophosphatidylserine (WJS)-chim(NtGi1-Gs)/β1/γ2
19.44Single8HNKCXCL118HNK-CXCR3-CXCL11-Gi1/β1/γ2
19.44Consensusneuromedin-u_on_gpOrthosteric Ligandnmur1_on_gp nmur2_on_gp
19.35Single2YCZIodocyanopindolol2YCZ-β1-Iodocyanopindolol
19.35Single4BVNCyanopindolol4BVN-β1-Cyanopindolol-Na
19.35Single4NC3Ergotamine4NC3-5-HT2B-Ergotamine
19.35Single5TUDErgotamine5TUD-5-HT2B-Ergotamine
19.35Single5X93K-87945X93-ETB-K-8794
19.35Single6BQGErgotamine6BQG-5-HT2C-Ergotamine
19.35Single6DDFDAMGO6DDF-μ-DAMGO-Gi1/β1/γ2
19.35Single6KPGAM8416KPG-CB1-AM841-Gi1/β1/γ2
19.35Single6UP7Neurotensin-(8-13)6UP7-NTS1-Neurotensin-(8-13)-Arrestin2
19.35Single7EW0Ozanimod7EW0-S1P1-Ozanimod-Gi1/β1/γ2
19.35Single7EZHCholecystokinin-87EZH-CCKA-Cholecystokinin-8-Gi1/β1/γ2
19.35Single7EZMCholecystokinin-87EZM-CCKA-Cholecystokinin-8-chim(NtGsL-Gq)/β1/γ2
19.35Single7JVRBromoergocryptine7JVR-D2-Bromoergocryptine-Gi1/β1/γ2
19.35Single7MBYCholecystokinin-87MBY-CCKA-Cholecystokinin-8-chim(NtGi1L-Gs-CtGq)/β1/γ2
19.35Single7MTSADX551647MTS-mGlu2; mGlu2-Glutamate-ADX55164-Gi1/β1/γ2
19.35Single7U2KC6-guano7U2K-μ-C6-guano-Gi1/β1/γ2
19.35Single7VGY2-Iodomelatonin7VGY-MT1-2-Iodomelatonin-Gi1/β1/γ2
19.35Single7WVVfMLFII7WVV-FPR2-ALX-fMLFII-Gi2/β1/γ2
19.35Single7X1UTRH7X1U-TRH-TRH-chim(NtGi2L-Gs-CtGq)/β1/γ2
19.35Single7X2DTavapadon7X2D-D1-Tavapadon-Gs/β1/γ2
19.35Single8GAGZ85267113508GAG-CB1-Z8526711350-Gi1/β1/γ2
19.35Single8GUTLEI-1028GUT-CB2-LEI-102-Gi1/β1/γ2
19.35Single8HN1Toxin AdTx18HN1-Alpha1A-Toxin AdTx1
19.35Single8I95EP548I95-C3aB-EP54-Go/β1/γ2
19.35Single8ID8TUG-8918ID8-FFA4-TUG-891-Gi1/β1/γ2
19.35Single8J19LY2378J19-GPR84-LY237-Gi1/β1/γ2
19.35Single8JPFNeurotensin-(8-13)8JPF-NTS1-Neurotensin-(8-13)-SBI-553
19.35Single8K4OCXCL18K4O-KSHV-CXCL1-Gi1/β1/γ1
19.35Single8WRZAM8418WRZ-CB1-AM841-Arrestin2
19.35Single8XIOL7975918XIO-SST1-L797591-chim(NtGi1-Gs-CtGi1)/β1/γ2
19.35Single8XJOU466198XJO-TXA2-U46619-chim(NtGi1-Gs-CtGq)/β1/γ2
19.35Single8XVUCXCL28XVU-CXCR2-CXCL2
19.35Single8XXHCXCL28XXH-CXCR2-CXCL2-Go/β1/γ2
19.35Single9DYEBuspirone9DYE-5-HT1A-Buspirone-PtdIns4P-Go/β1/γ2
19.35Single9GE3Lysophosphatidylinositol9GE3-GPR55-Lysophosphatidylinositol-chim(NtGi1-G13)/β1/γ2
19.35Single9HYIDP819HYI-5-HT1A-DP81-Gi1/β1/γ2
19.35Single9IZFLPA9IZF-LPA1-LPA-Gi1/β1/γ2
19.35Single9KV8TLQP219KV8-C3aB-TLQP21-Go/β1/γ2
19.35Single9L79AR2314539L79-GPR119-AR231453-chim(NtGi1-Gs)/β1/γ2
19.35Single9M1HPGE29M1H-EP1-PGE2-chim(NtGi1-Gs-CtGq)/β1/γ2
19.35Consensusccka_onOrthosteric Ligand7EZH-CCKA-Cholecystokinin-8-Gi1/β1/γ2
19.35Consensusccka_on_gpOrthosteric Ligand7EZH-CCKA-Cholecystokinin-8-Gi1/β1/γ2
19.35Consensusendothelin_offOrthosteric Ligandetb_off
19.35Consensusetb_offOrthosteric Ligand5X93-ETB-K-8794 5XPR-ETB-Bosentan 6K1Q-ETB-IRL2500
19.35Consensuskop_on_gpOrthosteric Ligand8F7W-κ-Dynorphin-Gi1/β1/γ2 8DZS-κ-GR89,696-chim(NtGi2-Gz)/β1/γ2 8DZP-κ-momSalB-Gi1/β1/γ2
19.35Consensusnk2_onOrthosteric Ligand7XWO-NK2-Neurokinin-A-chim(NtGi1-Gs-CtGq)/β1/γ2
19.35Consensusnucleotide_on_gpOrthosteric Ligandadenosine_on_gp p2y_on_gp
19.35Consensusorexin_on_gpOrthosteric Ligandox2_on_gp
19.35Consensusprostanoid_offOrthosteric Ligandep_off dp_off
19.35Consensusprostanoid_onOrthosteric Ligandtp_on fp-alpha_on
19.35Consensusprostanoid_on_gpOrthosteric Ligandtp_on_gp fp-alpha_on_gp
19.35Consensustp_onOrthosteric Ligand8XJO-TXA2-U46619-chim(NtGi1-Gs-CtGq)/β1/γ2
19.35Consensustp_on_gpOrthosteric Ligand8XJO-TXA2-U46619-chim(NtGi1-Gs-CtGq)/β1/γ2
19.23Single3VGAZM-2413853VGA-A2A-ZM-241385-Antibody
19.23Single4MQTLY21196204MQT-M2-Iperoxo-LY2119620
19.23Single5K2DZM-2413855K2D-A2A-ZM-241385-Na
19.23Single5OLOTozadenant5OLO-A2A-Tozadenant-Na
19.23Single5ZKQABT-4915ZKQ-PAF-ABT-491
19.23Single6JZHZM-2413856JZH-A2A-ZM-241385-Na
19.23Single6OBAAlprenolol6OBA-β2-Alprenolol-GTPL11074
19.23Single6PS7ZM-2413856PS7-A2A-ZM-241385-Na
19.23Single7LCJDanuglipron7LCJ-GLP-1-Danuglipron
19.23Single7VIHCBP-3077VIH-S1P1-CBP-307-Gi1/β1/γ2
19.23Single7W0MPubChem 1227019087W0M-Apelin-PubChem 122701908-Gi1/β1/γ2
19.23Single7XJJGalanin7XJJ-GAL1-Galanin-Go/β1/γ2
19.23Single7XT8Serotonin7XT8-5-HT4-Serotonin-Gs/β1/γ2
19.23Single7YMHNorepinephrine7YMH-Alpha1A-Norepinephrine-chim(Gs-CtGq)
19.23Single8EFOPZM218EFO-μ-PZM21-Gi1/β1/γ2
19.23Single8GGAConstrained Epinephrine8GGA-β2-Constrained Epinephrine-GTP-Gs/β1/γ2
19.23Single8GGRConstrained Epinephrine8GGR-β2-Constrained Epinephrine
19.23Single8GGWConstrained Epinephrine8GGW-β2-Constrained Epinephrine
19.23Single8GGZConstrained Epinephrine8GGZ-β2-Constrained Epinephrine
19.23Single8GH0Constrained Epinephrine8GH0-β2-Constrained Epinephrine
19.23Single8GNGIstradefylline8GNG-A2A-Istradefylline
19.23Single8IJBAcipimox8IJB-HCA2-Acipimox-Gi1/β1/γ2
19.23Single8IW4Spermidine8IW4-TAA9-Spermidine-chim(NtGi1-Gs)/β1/γ2
19.23Single8IWESpermidine8IWE-TAA9-Spermidine
19.23Single8J6LNiacin8J6L-HCA2-Niacin-Gi1/β1/γ2
19.23Single8JSOAMPH8JSO-TA1-AMPH-chim(NtGi1-Gs)/β1/γ2
19.23Single8RVWStilSwitch38RVW-A2A-StilSwitch3-Na
19.23Single8RW0Istradefylline8RW0-A2A-Istradefylline-Na
19.23Single8U4PAMD31008U4P-CXCR4-AMD3100-Gi1/β1/γ2
19.23Single8WC4ZH86518WC4-TA1-ZH8651-chim(NtGi1-Gs)/β1/γ2
19.23Single8WCA2-Phenylethylamine8WCA-TA1-2-Phenylethylamine-chim(NtGi1-Gs)/β1/γ2
19.23Single9EBHAdenosine9EBH-A3A-Adenosine-Gi1/β1/γ2
19.23Single9EEAAdenosine9EEA-A2A-Adenosine-Gs/β1/γ2
19.23Single9J5VCpY9J5V-LPA1-CpY-Gi1/β1/γ2
19.23Single9JKXAcifran9JKX-HCA3-Acifran-Gi1/β1/γ2
19.23Single9LKDPL459LKD-OR5V1-PL45
19.23Single9VJEBuspirone9VJE-5-HT1A-Buspirone-Go/β1/γ2
19.23Single9W49U-50488H9W49-κ-U-50488H-Gi1/β1/γ2
19.23Consensusalpha2_offOrthosteric Ligandalpha2c_off
19.23Consensuspaf_offOrthosteric Ligand5ZKQ-PAF-ABT-491
18.92Single7SK3CXCL127SK3-ACKR3-CXCL12
18.92Single8XVEBQ30208XVE-ETB-BQ3020-chim(Gs-CtGq)/β1/γ2
18.92Consensuscrf2_on_gpOrthosteric Ligand7TS0-CRF2-Urocortin-chim(NtGi1L-Go)/β1/γ2
18.92Consensusnpy4_onOrthosteric Ligand7X9C-Y4-Pancreatic Hormone-Gi1/β1/γ2
18.92Consensusnpy4_on_gpOrthosteric Ligand7X9C-Y4-Pancreatic Hormone-Gi1/β1/γ2
18.75Single5VBLAMG3054 5VBL-Apelin-AMG3054
18.75Single5WF6UK-4320975WF6-A2A-UK-432097
18.75Single5ZTYAM102575ZTY-CB2-AM10257
18.75Single6C1QPMX536C1Q-C5a1-PMX53-NDT9513727
18.75Single6G79Donitriptan6G79-5-HT1B-Donitriptan-Go/β1/γ2
18.75Single6OMMWKYMVX6OMM-FPR2-ALX-WKYMVX-Gi1/β1/γ2
18.75Single6OS9JMV4496OS9-NTS1-JMV449-Gi1/β1/γ2
18.75Single6PT3DPI-2876PT3-δ-DPI-287
18.75Single7AUESetmelanotide7AUE-MC4-Setmelanotide-chim(NtGi1L-Gs)/β1/γ2
18.75Single7F9ZGHRP-67F9Z-Ghrelin-GHRP-6-chim(NtGi1-Gs-CtGq)/β1/γ2
18.75Single7T11Octreotide7T11-SST2-Octreotide-Gi3/β1/γ2
18.75Single7XN9L-0545227XN9-SST2-L-054522
18.75Single7YAEOctreotide7YAE-SST2-Octreotide-Gi1/β1/γ2
18.75Single8F7REndomorphin8F7R-μ-Endomorphin-Gi1/β1/γ2
18.75Single8IUMTafluprost acid8IUM-FP-alpha-Tafluprost acid-chim(NtGi1-Gs-CtGq)/β1/γ2
18.75Single8JLRA776368JLR-TA1-A77636-chim(NtGi1-Gs)/β1/γ2
18.75Single8X5YAstemizole8X5Y-H1-Astemizole
18.75Single8XZFWN5618XZF-Apelin; Apelin-WN561-Gi1/β1/γ2
18.75Single9CGKC5-Quino9CGK-δ-C5-Quino-Gi1/β1/γ2
18.75Single9MD1Buspirone9MD1-5-HT1A-Buspirone-PtdIns4P-Gz/β1/γ2
18.75Single9V2NMacimorelin9V2N-Ghrelin-Macimorelin-chim(NtGi1-Gs-CtGq)/β1/γ2
18.75Consensuscb2_offOrthosteric Ligand5ZTY-CB2-AM10257
18.75Consensuscxcr4_offOrthosteric Ligand4RWS-CXCR4-vMIP-II 3OE0-CXCR4-CVX15 3OE6-CXCR4-IT1t
18.75Consensuscxcr_on_gpOrthosteric Ligandcxcr3_on_gp cxcr4_on_gp cxcr1_on_gp cxcr2_on_gp
18.75Consensussst2_onOrthosteric Ligand7WIC-SST2-Somatostatin-14-Gi1/β1/γ2 7WIG-SST2-L-054264-Gi1/β1/γ2 7YAE-SST2-Octreotide-Gi1/β1/γ2 7YAC-SST2-Paltusotine-Gi1/β1/γ2
18.75Consensussst2_on_gpOrthosteric Ligand7WIC-SST2-Somatostatin-14-Gi1/β1/γ2 7WIG-SST2-L-054264-Gi1/β1/γ2 7YAE-SST2-Octreotide-Gi1/β1/γ2 7YAC-SST2-Paltusotine-Gi1/β1/γ2
18.52Single2YDOAdenosine2YDO-A2A-Adenosine
18.52Single4LDOEpinephrine4LDO-β2-Epinephrine
18.52Single5IU4ZM-2413855IU4-A2A-ZM-241385-Na
18.52Single5IU7Q274563465IU7-A2A-Q27456346-Na
18.52Single5IUBQ274563445IUB-A2A-Q27456344-Na
18.52Single5JTBZM-2413855JTB-A2A-ZM-241385
18.52Single5K2BZM-2413855K2B-A2A-ZM-241385-Na
18.52Single5K2CZM-2413855K2C-A2A-ZM-241385-Na
18.52Single5NLXZM-2413855NLX-A2A-ZM-241385-Na
18.52Single5NM4ZM-2413855NM4-A2A-ZM-241385-Na
18.52Single6ME32-Phenylmelatonin6ME3-MT1-2-Phenylmelatonin
18.52Single6PS0Carazolol6PS0-β2-Carazolol
18.52Single6PS4ICI118-5516PS4-β2-ICI118-551
18.52Single6PS5Propranolol6PS5-β2-Propranolol
18.52Single6PS82-Phenylmelatonin6PS8-MT1-2-Phenylmelatonin
18.52Single6PT0WIN 55212-26PT0-CB2-WIN 55212-2-Gi1/β1/γ2
18.52Single6U1NLY21196206U1N-M2-LY2119620-Arrestin2
18.52Single6ZDRHMS1413f126ZDR-A2A-HMS1413f12-Na
18.52Single6ZFZ77-LH-28-16ZFZ-M1-77-LH-28-1
18.52Single7AROLUF58337ARO-A2A-LUF5833-Na
18.52Single7C2EPubChem 1490507997C2E-GLP-1-PubChem 149050799-Gs/β1/γ2
18.52Single7DHISalbutamol7DHI-β2-Salbutamol-Gs/β1/γ2
18.52Single7SR8TAK-9257SR8-OX2-TAK-925-chim(NtGi1L-Gs-CtGq)/β1/γ2
18.52Single7T94LY21196207T94-M2-Acetylcholine-LY2119620-chim(NtGi1-Go)/β1/γ2
18.52Single7UL3Famotidine7UL3-H2-Famotidine
18.52Single7XOVSR1461317XOV-CCKA-SR146131-Gs/β1/γ2
18.52Single7YK6PubChem 1383196747YK6-RXFP4-PubChem 138319674-Gi2/β1/γ2
18.52Single8GE1Constrained Epinephrine8GE1-β2-Constrained Epinephrine-Gs/β1/γ2
18.52Single8GE4Constrained Epinephrine8GE4-β2-Constrained Epinephrine-Gs/β1/γ2
18.52Single8GE5Constrained Epinephrine8GE5-β2-Constrained Epinephrine-Gs/β1/γ1
18.52Single8GE6Constrained Epinephrine8GE6-β2-Constrained Epinephrine-Gs/β1/γ2
18.52Single8GE7Constrained Epinephrine8GE7-β2-Constrained Epinephrine-Gs/β1/γ2
18.52Single8GE8Constrained Epinephrine8GE8-β2-Constrained Epinephrine-Gs/β1/γ2
18.52Single8GEAConstrained Epinephrine8GEA-β2-Constrained Epinephrine-Gs/β1/γ2
18.52Single8GEFConstrained Epinephrine8GEF-β2-Constrained Epinephrine-Gs/β1/γ2
18.52Single8GG7Constrained Epinephrine8GG7-β2-Constrained Epinephrine-GTP-Gs/β1/γ2
18.52Single8GG8Constrained Epinephrine8GG8-β2-Constrained Epinephrine-GTP-Gs/β1/γ2
18.52Single8GGLConstrained Epinephrine8GGL-β2-Constrained Epinephrine
18.52Single8GGMConstrained Epinephrine8GGM-β2-Constrained Epinephrine
18.52Single8GGPConstrained Epinephrine8GGP-β2-Constrained Epinephrine
18.52Single8GGQConstrained Epinephrine8GGQ-β2-Constrained Epinephrine
18.52Single8GGVConstrained Epinephrine8GGV-β2-Constrained Epinephrine
18.52Single8GGXConstrained Epinephrine8GGX-β2-Constrained Epinephrine
18.52Single8GUQOlorinab8GUQ-CB2-Olorinab-Gi1/β1/γ2
18.52Single8HNMVUF112228HNM-CXCR3-VUF11222-Gi1/β1/γ2
18.52Single8IHKAcifran8IHK-HCA3-Acifran
18.52Single8JEIPubChem 117155568JEI-HCAR3-PubChem 11715556-Gi1/β1/γ2
18.52Single8JERAcipimox8JER-HCA2-Acipimox-Go/β1/γ2
18.52Single8JLKUlotaront8JLK-TA1-Ulotaront-chim(NtGi1-Gs)/β1/γ2
18.52Single8JLNT1AM8JLN-TA1-T1AM-Gs/β1/γ2
18.52Single8K2WAMG4878K2W-CXCR3-AMG487
18.52Single8RLNLUF58348RLN-A2A-LUF5834
18.52Single8RQQZM-2413858RQQ-A2A-ZM-241385-Na
18.52Single8RWIStilSwitch28RWI-A2A-StilSwitch2-Na
18.52Single8UHBRO52563908UHB-TA1-RO5256390-Gs/β1/γ2
18.52Single8UNLConstrained Epinephrine8UNL-β2-Constrained Epinephrine-GTP-Gs/β1/γ2
18.52Single8UNOConstrained Epinephrine8UNO-β2-Constrained Epinephrine-GTP-Gs/β1/γ2
18.52Single8UO1Constrained Epinephrine8UO1-β2-Constrained Epinephrine-GTP; Mg-Gs/β1/γ2
18.52Single8WC8ZH86518WC8-TA1-ZH8651-chim(NtGi1-Gs)/β1/γ2
18.52Single8Y45ADL58598Y45-δ-ADL5859-Gi2/β1/γ2
18.52Single8Y62C16:0 Ceramide8Y62-FPR2-ALX-C16:0 Ceramide-Gi1/β1/γ2
18.52Single8Y6YGLPG09748Y6Y-FFA2-GLPG0974
18.52Single8ZPMAMD0708ZPM-CXCR4-AMD070
18.52Single9AS5Mescaline9AS5-5-HT2A-Mescaline
18.52Single9AS6Mescaline9AS6-5-HT2A-Mescaline-chim(NtGi1-Gs-CtGq)/β1/γ2
18.52Single9BA0MRI-18919BA0-CB1-MRI-1891
18.52Single9JFUNE52-QQ579JFU-GPR4-NE52-QQ57
18.52Single9JKYAcifran9JKY-HCA2-Acifran-Gi1/β1/γ2
18.52Single9K0XATP9K0X-P2Y2-ATP-chim(NtGi1-Gs-CtGq)/β1/γ2
18.52Single9K20ATP9K20-P2Y2-ATP-chim(NtGi1-Go)/β1/γ2
18.52Single9KPDSalicin9KPD-TAS2R16-Salicin-chim(Gs-CtGt3)/β1/γ2
18.52Single9KXSEP679KXS-C5a1-EP67-Go/β1/γ2
18.52Single9L84Epinephrine9L84-β1-Epinephrine-Atazanavir-Gs/β1/γ2
18.52Single9L8LBI1671079L8L-β2-BI167107-Atazanavir-Gs/β1/γ2 ; Arrestin2
18.52Single9M2FNeuropeptide-FF9M2F-NPFF1-Neuropeptide-FF-Gi1/β1/γ2
18.52Single9P1TZM-2413859P1T-A2A-ZM-241385
18.52Single9VNFPindolol9VNF-5-HT1A-Pindolol-Go/β1/γ2
18.52Consensus5ht_on_gpOrthosteric Ligand5ht1_on_gp 5ht2_on_gp 5ht4_on_gp 5ht5_on_gp 5ht6_on_gp 5ht7_on_gp
18.52Consensusa2_offOrthosteric Liganda2a_off
18.52Consensusa2a_offOrthosteric Ligand3RFM-A2A-Caffeine 8C9W-A2A-Etrumadenant 3UZA-A2A-GTPL9236 8GNG-A2A-Istradefylline 8CU6-A2A-LJ-4517 7PX4-A2A-PSB-2113 7PYR-A2A-PSB-2115 8DU3-A2A-PubChem 105526064 8JWY-A2A-2-118 8PWN-A2A-Theophylline 5IU4-A2A-ZM-241385-Na 5OLZ-A2A-PubChem 135566609-Na 6GT3-A2A-Imaradenant-Na 5OLV-A2A-LUAA47070-Na 5N2R-A2A-PSB36-Na 5IU7-A2A-Q27456346-Na 5OLH-A2A-Vipadenant-Na 5OLO-A2A-Tozadenant-Na 6ZDR-A2A-HMS1413f12-Na 8GNE-A2A-KW-6356-Na 8JWZ-A2A-Etrumadenant-Na 5IU8-A2A-Q27456347-Na 5IUB-A2A-Q27456344-Na 6ZDV-A2A-PubChem 984073-Na 5IUA-A2A-Q27456348-Na 8A2P-A2A-LUAA47070-Na
18.52Consensuscxcr2_onOrthosteric Ligand6LFM-CXCR2-CXCL8-Gi1/β1/γ2
18.52Consensuscxcr3_offOrthosteric Ligand8K2W-CXCR3-AMG487
18.52Consensusgrh_offOrthosteric Ligandgnrh1_off
18.52Consensusnucleotide_offOrthosteric Ligandadenosine_off p2y_off
18.42Consensusp2y10_on_gpOrthosteric Ligand8KGG-P2Y10-Lysophosphatidylserine (WJS)-chim(NtGi2-G13)/β1/γ2
18.37Single8GY7Corticotropin8GY7-MC2-Corticotropin-Ca-chim(NtGi1-Gs)/β1/γ2; MRAP1
18.18Single4IARErgotamine4IAR-5-HT1B-Ergotamine
18.18Single4IB4Ergotamine4IB4-5-HT2B-Ergotamine
18.18Single7F8XNN90567F8X-CCKA-NN9056
18.18Single7NA7Ghrelin7NA7-Ghrelin-Ghrelin-Gi1/β1/γ2
18.18Single7WKDTRH7WKD-TRH-TRH-chim(NtGi1-Gs-CtGq)/β1/γ2
18.18Single8DCRDobutamine8DCR-β1-Dobutamine-Gs/β1/γ2
18.18Single8GEJConstrained Epinephrine8GEJ-β2-Constrained Epinephrine-Gs/β1/γ2
18.18Single8GHVAMG3158GHV-CB1-AMG315-Gi1/β1/γ2
18.18Single8K3ZCXCL128K3Z-CXCR4-CXCL12-Gi1/β1/γ1
18.18Single8PKMBefiradol8PKM-5-HT1A-Befiradol-Gi1/β1/γ1
18.18Single8U4OCXCL128U4O-CXCR4-CXCL12-Gi1/β1/γ2
18.18Single8WZ2Orexigenic Neuropeptide QRFP8WZ2-QRFP-Orexigenic Neuropeptide QRFP-chim(NtGi1L-Gs-CtGq)/β1/γ2
18.18Single9HB3Mambaquaretin-19HB3-V2-Mambaquaretin-1
18.18Single9UYLChemerin-99UYL-CML2-Chemerin-9-Arrestin2
18.18Consensusgi_nucleotideOrthosteric Ligandgi_adenosine gi_p2y
18.18Consensusmc4_onOrthosteric Ligand7AUE-MC4-Setmelanotide-chim(NtGi1L-Gs)/β1/γ2 7F58-MC4-THIQ-Gs/β1/γ2 7F54-MC4-Afamelanotide-Gs/β1/γ2 7F53-MC4-α-MSH-Gs/β1/γ2 7F55-MC4-Bremelanotide-Gs/β1/γ2
17.95Single8KGGLysophosphatidylserine (WJS)8KGG-P2Y10-Lysophosphatidylserine (WJS)-chim(NtGi2-G13)/β1/γ2
17.95Consensusetb_onOrthosteric Ligand8IY5-ETB-Endothelin-1-Gi1/β1/γ2 8HBD-ETB-IRL1620-Gi1/β1/γ2
17.86Single2Y04Salbutamol2Y04-β1-Salbutamol
17.86Single3EMLZM-2413853EML-A2A-ZM-241385
17.86Single3NY8ICI118-5513NY8-β2-ICI118-551
17.86Single3NYAAlprenolol3NYA-β2-Alprenolol
17.86Single3ZPQPubChem 5945903ZPQ-β1-PubChem 594590-Na
17.86Single4EA3PubChem 102965614EA3-NOP-PubChem 10296561
17.86Single4EIYZM-2413854EIY-A2A-ZM-241385-Na
17.86Single4GBRCarazolol4GBR-β2-Carazolol
17.86Single4QKXPubChem 762106284QKX-β2-PubChem 76210628
17.86Single5DHHSB-6121115DHH-NOP-SB-612111
17.86Single5IU8Q274563475IU8-A2A-Q27456347-Na
17.86Single5K2AZM-2413855K2A-A2A-ZM-241385-Na
17.86Single5NDDAZ8838; Na5NDD-PAR2-AZ8838; Na
17.86Single5OLGZM-2413855OLG-A2A-ZM-241385-Na
17.86Single5OLZPubChem 1355666095OLZ-A2A-PubChem 135566609-Na
17.86Single5OM1PubChem 1355666095OM1-A2A-PubChem 135566609-Na
17.86Single5T04Neurotensin-(8-13)5T04-NTS1-Neurotensin-(8-13)
17.86Single5VRAZM-2413855VRA-A2A-ZM-241385-Na
17.86Single6D27CAY104716D27-DP2-CAY10471
17.86Single6DRZMethysergide6DRZ-5-HT2B-Methysergide
17.86Single6GPSMK08126GPS-CCR2-MK0812
17.86Single6H7MSalbutamol6H7M-β1-Salbutamol
17.86Single6KPFAM120336KPF-CB2-AM12033-Gi1/β1/γ2
17.86Single6LPJZM-2413856LPJ-A2A-ZM-241385-Na
17.86Single6LPKZM-2413856LPK-A2A-ZM-241385-Na
17.86Single6PS2Alprenolol6PS2-β2-Alprenolol
17.86Single6S0LZM-2413856S0L-A2A-ZM-241385
17.86Single6X1ADanuglipron6X1A-GLP-1-Danuglipron-Gs/β1/γ2
17.86Single7BTSEpinephrine7BTS-β1-Epinephrine
17.86Single7BU6Norepinephrine7BU6-β1-Norepinephrine
17.86Single7CFMP3957CFM-GPBA-P395-Gs/β1/γ2
17.86Single7FIHOrg435537FIH-LH-hCG-Org43553-chim(NtGi1-Gs)/β1/γ2
17.86Single7JVQApomorphine7JVQ-D1-Apomorphine-Gs/β1/γ2
17.86Single7LJCSKF812977LJC-D1-SKF81297-Mevidalen-Gs/β1/γ2
17.86Single7PYRPSB-21157PYR-A2A-PSB-2115
17.86Single7S0GIsoprenaline7S0G-β1-Isoprenaline-chim(Gi1-CtGs)/β1/γ2
17.86Single7SK8CXCL127SK8-ACKR3-CXCL12-CCX662
17.86Single7UL4Alvimopan7UL4-μ-Alvimopan
17.86Single7UM6Lisuride7UM6-5-HT5A-Lisuride-chim(NtGi1-Go)/β1/γ2
17.86Single7VGZRamelteon7VGZ-MT1-Ramelteon-Gi1/β1/γ2
17.86Single7VIFFTY720-P7VIF-S1P1-FTY720-P-Gi1/β1/γ2
17.86Single7WC7Lisuride7WC7-5-HT2A-Lisuride
17.86Single7XJHIsoprenaline7XJH-β3-Isoprenaline-Gs/β1/γ2
17.86Single8CICEtrumadenant8CIC-A2A-Etrumadenant-Na
17.86Single8CU6LJ-45178CU6-A2A-LJ-4517
17.86Single8CU7LJ-45178CU7-A2A-LJ-4517-Na
17.86Single8GE2Constrained Epinephrine8GE2-β2-Constrained Epinephrine-Gs/β1/γ1
17.86Single8GE3Constrained Epinephrine8GE3-β2-Constrained Epinephrine-Gs/β1/γ2
17.86Single8GECConstrained Epinephrine8GEC-β2-Constrained Epinephrine-Gs/β1/γ2
17.86Single8GEEConstrained Epinephrine8GEE-β2-Constrained Epinephrine-Gs/β1/γ2
17.86Single8GFVConstrained Epinephrine8GFV-β2-Constrained Epinephrine-GTP-Gs/β1/γ2
17.86Single8GFWConstrained Epinephrine8GFW-β2-Constrained Epinephrine-GTP-Gs/β1/γ2
17.86Single8GFXConstrained Epinephrine8GFX-β2-Constrained Epinephrine-GTP-Gs/β1/γ2
17.86Single8GFZConstrained Epinephrine8GFZ-β2-Constrained Epinephrine-GTP-Gs/β1/γ2
17.86Single8GG0Constrained Epinephrine8GG0-β2-Constrained Epinephrine-GTP-Gs/β1/γ2
17.86Single8GG1Constrained Epinephrine8GG1-β2-Constrained Epinephrine-GTP-Gs/β1/γ2
17.86Single8GG3Constrained Epinephrine8GG3-β2-Constrained Epinephrine-GTP-Gs/β1/γ2
17.86Single8GG4Constrained Epinephrine8GG4-β2-Constrained Epinephrine-GTP-Gs/β1/γ2
17.86Single8GG6Constrained Epinephrine8GG6-β2-Constrained Epinephrine-GTP-Gs/β1/γ2
17.86Single8GG9Constrained Epinephrine8GG9-β2-Constrained Epinephrine-GTP-Gs/β1/γ2
17.86Single8GGIConstrained Epinephrine8GGI-β2-Constrained Epinephrine
17.86Single8GGJConstrained Epinephrine8GGJ-β2-Constrained Epinephrine
17.86Single8GGKConstrained Epinephrine8GGK-β2-Constrained Epinephrine
17.86Single8GGNConstrained Epinephrine8GGN-β2-Constrained Epinephrine
17.86Single8GGOConstrained Epinephrine8GGO-β2-Constrained Epinephrine
17.86Single8GGUConstrained Epinephrine8GGU-β2-Constrained Epinephrine
17.86Single8IHJAcifran8IHJ-HCA3-Acifran-Gi1/β1/γ2
17.86Single8JJOAlprenolol8JJO-β2-Alprenolol
17.86Single8JXRLSD8JXR-D1-LSD
17.86Single8KFYZK-7563268KFY-CCR8-ZK-756326-Gi1/β1/γ2
17.86Single8PJKST1718PJK-5-HT1A-ST171-Gi1/β1/γ1
17.86Single8RW7StilSwitch18RW7-A2A-StilSwitch1-Na
17.86Single8T1WCVN4248T1W-GPR6-CVN424
17.86Single8UH3Setiptiline8UH3-5-HT1E-Setiptiline-Gi1/β1/γ1
17.86Single8UNQConstrained Epinephrine8UNQ-β2-Constrained Epinephrine-GTP-Gs/β1/γ2
17.86Single8UNRConstrained Epinephrine8UNR-β2-Constrained Epinephrine-GTP-Gs/β1/γ2
17.86Single8UNUConstrained Epinephrine8UNU-β2-Constrained Epinephrine-GTP-Gs/β1/γ2
17.86Single8UNYConstrained Epinephrine8UNY-β2-Constrained Epinephrine-GTP-Gs/β1/γ2
17.86Single8VVGGB188VVG-κ-GB18-Gi1/β1/γ2
17.86Single8W87METH8W87-TA1-METH-chim(NtGi1L-Gs)/β1/γ2
17.86Single8X63Mepyramine8X63-H1-Mepyramine
17.86Single8ZYYNeurotensin-(8-13)8ZYY-NTS1-Neurotensin-(8-13)-SBI-553-Arrestin2
17.86Single9AS1DMT9AS1-5-HT2A-DMT
17.86Single9BQJRO769BQJ-μ-RO76-Gi1/β1/γ2
17.86Single9D61JDTic9D61-κ-JDTic-Gi1/β1/γ2
17.86Single9DYFAsenapine9DYF-5-HT1A-Asenapine-PtdIns4P-Gi1/β1/γ2
17.86Single9H37PubChem 1756706469H37-A2A-PubChem 175670646-Na
17.86Single9IVGGLP-1 (Truncated)9IVG-GLP-1-GLP-1 (Truncated)-chim(NtGi1-Gs)/β1/γ2
17.86Single9P1SZM-2413859P1S-A2A-ZM-241385
17.86Consensus5ht2b_offOrthosteric Ligand6DRZ-5-HT2B-Methysergide
17.86Consensus5ht5_onOrthosteric Ligand5ht5a_on
17.86Consensus5ht5a_onOrthosteric Ligand7X5H-5-HT5A-5-CT-Gi1/β1/γ2 7UM6-5-HT5A-Lisuride-chim(NtGi1-Go)/β1/γ2 7UM7-5-HT5A-Methylergometrine-chim(NtGi1-Go)/β1/γ2
17.86Consensusadrenergic_onOrthosteric Ligandalpha_on beta_on
17.86Consensusccr2_offOrthosteric Ligand6GPS-CCR2-MK0812
17.86Consensusdopamine_offOrthosteric Ligandd2_off d3_off
17.86Consensusdopamine_onOrthosteric Ligandd2_on d1_on d3_on d4_on d5_on
17.86Consensusdopamine_on_gpOrthosteric Ligandd2_on_gp d1_on_gp d3_on_gp d4_on_gp d5_on_gp
17.86Consensusgs_trace-amineOrthosteric Ligand8W88-TA1-SEP-363856-Gs/β1/γ2 8JLJ-TA1-T1AM-chim(NtGi1-Gs)/β1/γ2 8JLO-TA1-Ulotaront-Gs/β1/γ2 8WC4-TA1-ZH8651-chim(NtGi1-Gs)/β1/γ2 8WC7-TA1-ZH8667-chim(NtGi1-Gs)/β1/γ2 8JLR-TA1-A77636-chim(NtGi1-Gs)/β1/γ2 8JSO-TA1-AMPH-chim(NtGi1-Gs)/β1/γ2 8W87-TA1-METH-chim(NtGi1L-Gs)/β1/γ2 8W89-TA1-2-Phenylethylamine-chim(NtGi1L-Gs)/β1/γ2 8JLP-TA1-Ralmitaront-Gs/β1/γ2 8W8A-TA1-RO5256390-chim(NtGi1L-Gs)/β1/γ2
17.86Consensushistamine_offOrthosteric Ligandh1_off
17.65Single6HLOAprepitant6HLO-NK1-Aprepitant
17.65Single7C6A(Sar1,Ile8)-Angiotensin II7C6A-AT2-(Sar1,Ile8)-Angiotensin II
17.65Single7DDZJNJ-310200287DDZ-Y2-JNJ-31020028
17.65Single8K6ONeuropeptide-Y8K6O-Y1-Neuropeptide-Y-Gi2/β1/γ1
17.65Single8XYDPlatelet Activating Factor8XYD-PAF-Platelet Activating Factor-Gi1/β1/γ2
17.65Single9IQRMuscarinic toxin 39IQR-α2a-Muscarinic toxin 3
17.65Single9KT7MK68929KT7-HCA2-MK6892-Gi1/β1/γ2
17.65Consensusghrelin_onOrthosteric Ligand7NA7-Ghrelin-Ghrelin-Gi1/β1/γ2 7F9Z-Ghrelin-GHRP-6-chim(NtGi1-Gs-CtGq)/β1/γ2 7NA8-Ghrelin-Ibutamoren-Gi1/β1/γ2
17.65Consensusghrelin_on_gpOrthosteric Ligand7NA7-Ghrelin-Ghrelin-Gi1/β1/γ2 7F9Z-Ghrelin-GHRP-6-chim(NtGi1-Gs-CtGq)/β1/γ2 7NA8-Ghrelin-Ibutamoren-Gi1/β1/γ2
17.65Consensusmc4_on_gpOrthosteric Ligand7AUE-MC4-Setmelanotide-chim(NtGi1L-Gs)/β1/γ2 7F58-MC4-THIQ-Gs/β1/γ2 7F54-MC4-Afamelanotide-Gs/β1/γ2 7F53-MC4-α-MSH-Gs/β1/γ2 7F55-MC4-Bremelanotide-Gs/β1/γ2
17.65Consensusnpy2_offOrthosteric Ligand7DDZ-Y2-JNJ-31020028
17.65Consensustachykinin_on_gpOrthosteric Ligandnk1_on_gp nk2_on_gp nk3_on_gp
17.50Single8ZJETAK4488ZJE-Kiss1-TAK448-chim(NtGi1-Gq)/β1/γ1
17.24Single2RH1Carazolol2RH1-β2-Carazolol
17.24Single2Y03Isoprenaline2Y03-β1-Isoprenaline
17.24Single2YCWCarazolol2YCW-β1-Carazolol
17.24Single4JKVTaladegib4JKV-SMO-Taladegib
17.24Single4RWDDIPP-NH24RWD-δ-DIPP-NH2-Na
17.24Single5D6LCarazolol5D6L-β2-Carazolol
17.24Single5IUAQ274563485IUA-A2A-Q27456348-Na
17.24Single5JQHCarazolol5JQH-β2-Carazolol
17.24Single5T1ABMS-6815T1A-CCR2-BMS-681-PubChem 12093170
17.24Single5TVNLSD5TVN-5-HT2B-LSD
17.24Single5WIUNemonapride5WIU-D4-Nemonapride
17.24Single5WIVNemonapride5WIV-D4-Nemonapride-Na
17.24Single5X7DCarazolol5X7D-β2-Carazolol-PubChem 129318963
17.24Single5YHLPubChem 1351213525YHL-EP4-PubChem 135121352
17.24Single5YWYONO-AE3-2085YWY-EP4-ONO-AE3-208
17.24Single5ZK33-quinuclidinyl-benzilate5ZK3-M2-3-quinuclidinyl-benzilate
17.24Single6E67BI1671076E67-β2-BI167107-Gs(CT)
17.24Single6GDGNECA6GDG-A2A-NECA-Gs/β1/γ1
17.24Single6GPXMK08126GPX-CCR2-MK0812
17.24Single6KUWPubChem 572132346KUW-α2c-PubChem 57213234
17.24Single6LFMCXCL86LFM-CXCR2-CXCL8-Gi1/β1/γ2
17.24Single6LPLZM-2413856LPL-A2A-ZM-241385-Na
17.24Single6PS3Carvedilol6PS3-β2-Carvedilol
17.24Single6PS6Timolol6PS6-β2-Timolol
17.24Single6S0QZM-2413856S0Q-A2A-ZM-241385
17.24Single6WQAZM-2413856WQA-A2A-ZM-241385-Na
17.24Single7BVQCarazolol7BVQ-β1-Carazolol
17.24Single7EPFNAM5977EPF-mGlu2-NAM597
17.24Single7RM5ZM-2413857RM5-A2A-ZM-241385-Na
17.24Single7S0FIsoprenaline7S0F-β1-Isoprenaline-Gi1/β1/γ2
17.24Single7SBFPZM217SBF-μ-PZM21-Gi1/β1/γ2
17.24Single7TRKIperoxo7TRK-M4-Iperoxo-Gi1/β1/γ2
17.24Single7VUHJNJ-635330547VUH-GPR139-JNJ-63533054-chim(Gs-CtGq)/β1/γ2
17.24Single7VV4Cortistatin-147VV4-MRGPRX2-Cortistatin-14
17.24Single7WIGL-0542647WIG-SST2-L-054264-Gi1/β1/γ2
17.24Single7XK9Constrained Isoproterenol7XK9-β2-Constrained Isoproterenol-Na
17.24Single8DZRGR89,6968DZR-κ-GR89,696-chim(NtGi2-Gt3)/β1/γ2
17.24Single8E9ZIperoxo8E9Z-M3-Iperoxo-chim(NtGi2L-Gs-CtGq)/β1/γ2
17.24Single8EFBOliceridine8EFB-μ-Oliceridine-Gi1/β1/γ2
17.24Single8FYNZM-2413858FYN-A2A-ZM-241385-Na
17.24Single8GFYConstrained Epinephrine8GFY-β2-Constrained Epinephrine-GTP-Gs/β1/γ2
17.24Single8GG2Constrained Epinephrine8GG2-β2-Constrained Epinephrine-GTP-Gs/β1/γ2
17.24Single8GNEKW-63568GNE-A2A-KW-6356-Na
17.24Single8ID4Linoleic acid8ID4-FFA4-Linoleic acid-Gi1/β1/γ2
17.24Single8K8JFenofibrate8K8J-CB1-Fenofibrate-chim(Gs-CtGq)/β1/γ2
17.24Single8WGBVU01550418WGB-mGlu4; mGlu2-Glutamate-VU0155041-Gi3/β1/γ2
17.24Single8XQPCholesterol8XQP-TAS2R14-Cholesterol-Aristolochic acid A-Gt3/β1/γ1
17.24Single8YH0NECA8YH0-A3A-NECA-Gi1/β1/γ2
17.24Single8YNSSNAP-948478YNS-MCH1-SNAP-94847
17.24Single8ZMFPubChem 1719206738ZMF-5-HT2C-PubChem 171920673
17.24Single9DYDAsenapine9DYD-5-HT1A-Asenapine-PtdIns4P-Go/β1/γ2
17.24Single9EKHONO-30302979EKH-DP1-ONO-3030297
17.24Single9F33FOB02-04A9F33-D3-FOB02-04A-Go/β1/γ2
17.24Single9F34FOB02-04A9F34-D3-FOB02-04A-Go/β1/γ2
17.24Single9K07DSO-5a9K07-BB3-DSO-5a-chim(NtGi2L-Gs-CtGq)/β1/γ2
17.24Single9KT6Acifran9KT6-HCA3-Acifran-Gi1/β1/γ2
17.24Single9M8POleic monoethanolamide9M8P-GPR3 ; GPR3-Oleic monoethanolamide-AF64394
17.24Single9MQKIsoquinuclidine9MQK-κ-Isoquinuclidine
17.24Single9PXYNaloxone9PXY-μ-Naloxone-GDPβS-Gi1/β1/γ2
17.24Single9VJFBuspirone9VJF-5-HT1A-Buspirone-Gi3/β1/γ2
17.24Consensus5ht5_on_gpOrthosteric Ligand5ht5a_on_gp
17.24Consensus5ht5a_on_gpOrthosteric Ligand7X5H-5-HT5A-5-CT-Gi1/β1/γ2 7UM6-5-HT5A-Lisuride-chim(NtGi1-Go)/β1/γ2 7UM7-5-HT5A-Methylergometrine-chim(NtGi1-Go)/β1/γ2
17.24Consensusadrenergic_offOrthosteric Ligandalpha_off beta_off
17.24Consensusadrenergic_on_gpOrthosteric Ligandalpha_on_gp beta_on_gp
17.24Consensusalpha2c_offOrthosteric Ligand6KUW-α2c-PubChem 57213234
17.24Consensusalpha_offOrthosteric Ligandalpha1_off alpha2_off
17.24Consensusamine_offOrthosteric Ligand5ht_off adrenergic_off dopamine_off histamine_off muscarinic_off
17.24Consensusamine_offonOrthosteric Ligandamine_off amine_on
17.24Consensusamine_offon_gpOrthosteric Ligandamine_on_gp amine_off
17.24Consensusamine_onOrthosteric Ligand5ht_on adrenergic_on dopamine_on histamine_on muscarinic_on trace-amine_on
17.24Consensusbeta2_offOrthosteric Ligand2RH1-β2-Carazolol 6PS3-β2-Carvedilol 6PS5-β2-Propranolol 3D4S-β2-Timolol 3NY8-β2-ICI118-551 3NY9-β2-PubChem 913103 6PRZ-β2-Alprenolol
17.24Consensusbeta_offOrthosteric Ligandbeta1_off beta2_off
17.24Consensusblt1_offOrthosteric Ligand5X33-BLT1-BIIL260 7K15-BLT1-MKD046-Na
17.24Consensusblt_offOrthosteric Ligandblt1_off
17.24Consensuscxcr2_on_gpOrthosteric Ligand6LFM-CXCR2-CXCL8-Gi1/β1/γ2
17.24Consensusd4_onOrthosteric Ligand8IRU-D4-Rotigotine-chim(NtGi1-Gs-CtGi1)/β1/γ2
17.24Consensusep4_offOrthosteric Ligand5YWY-EP4-ONO-AE3-208 5YHL-EP4-PubChem 135121352
17.24Consensusep_offOrthosteric Ligandep4_off
17.24Consensusgi_adrenergicOrthosteric Ligand7EJ0-α2a-Norepinephrine-Go/β1/γ2 7EJK-α2a-Oxymetazoline-Go/β1/γ2 7W7E-α2a-PubChem 164946676-Go/β1/γ2 7W6P-α2a-N-pyridin-4-ylisoquinolin-4-amine-Go/β1/γ2 7EJ8-α2a-Brimonidine-Go/β1/γ2 6K42-α2b-Dexmedetomidine-Gi1/β1/γ2 7EJA-α2a-Dexmedetomidine-Go/β1/γ2 7S0F-β1-Isoprenaline-Gi1/β1/γ2
17.24Consensusgq_muscarinicOrthosteric Ligand6OIJ-M1-Iperoxo-chim(NtGi1L-G11)/β1/γ2
17.24Consensush1_offOrthosteric Ligand8X63-H1-Mepyramine 3RZE-H1-Cidoxepin 8X5Y-H1-Astemizole
17.24Consensuslpa1_onOrthosteric Ligand7TD1-LPA1-LPA-Gi1/β1/γ2 7YU3-LPA1-ONO-0740556-Gi1/β1/γ2
17.24Consensuslpa1_on_gpOrthosteric Ligand7TD1-LPA1-LPA-Gi1/β1/γ2 7YU3-LPA1-ONO-0740556-Gi1/β1/γ2
17.24Consensusm1_onOrthosteric Ligand6OIJ-M1-Iperoxo-chim(NtGi1L-G11)/β1/γ2
17.24Consensusrxfp4_onOrthosteric Ligand7YK7-RXFP4-DC591053-Gi2/β1/γ2 7YJ4-RXFP4-INSL5-Gi2/β1/γ2 7YK6-RXFP4-PubChem 138319674-Gi2/β1/γ2
17.24Consensusrxfp4_on_gpOrthosteric Ligand7YK7-RXFP4-DC591053-Gi2/β1/γ2 7YJ4-RXFP4-INSL5-Gi2/β1/γ2 7YK6-RXFP4-PubChem 138319674-Gi2/β1/γ2
17.24Consensuss1p5_offOrthosteric Ligand7YXA-S1P5-ONO-5430608
17.14Single6W25SHU91196W25-MC4-SHU9119-Ca
17.14Single7RYCOxytocin7RYC-OT-Oxytocin-chim(NtGi2L-Gs-CtGq)/β1/γ2
17.14Single7W55Neuromedin-U-257W55-NMUR2-Neuromedin-U-25-chim(NtGi1-Gs-CtGq)/β1/γ2
17.14Single7XOUCholecystokinin-87XOU-CCKA-Cholecystokinin-8-Gs/β1/γ2
17.14Single8WKZSBL-MC-318WKZ-MC4-SBL-MC-31
17.14Single9B54VIP369B54-CB1-VIP36-Gi1/β1/γ2
17.14Consensusnmur2_onOrthosteric Ligand7W55-NMUR2-Neuromedin-U-25-chim(NtGi1-Gs-CtGq)/β1/γ2
17.14Consensusnmur2_on_gpOrthosteric Ligand7W55-NMUR2-Neuromedin-U-25-chim(NtGi1-Gs-CtGq)/β1/γ2
17.07Single8HBDIRL16208HBD-ETB-IRL1620-Gi1/β1/γ2
16.67Single3UON3-quinuclidinyl-benzilate3UON-M2-3-quinuclidinyl-benzilate
16.67Single4DJHJDTic4DJH-κ-JDTic
16.67Single4IAQDihydroergotamine4IAQ-5-HT1B-Dihydroergotamine
16.67Single5D5ACarazolol5D5A-β2-Carazolol
16.67Single5D5BCarazolol5D5B-β2-Carazolol
16.67Single5V54Methiothepin5V54-5-HT1B-Methiothepin
16.67Single5V56TC1145V56-SMO-TC114
16.67Single5V57TC1145V57-SMO-TC114
16.67Single5XRAAM115425XRA-CB1-AM11542
16.67Single5ZBHBMS-1938855ZBH-Y1-BMS-193885
16.67Single6DDEDAMGO6DDE-μ-DAMGO-Gi1/β1/γ2
16.67Single6H7JIsoprenaline6H7J-β1-Isoprenaline
16.67Single6J21Aprepitant6J21-NK1-Aprepitant
16.67Single6KO5PubChem 574000026KO5-Ghrelin-PubChem 57400002
16.67Single6N48BI1671076N48-β2-BI167107-PubChem 138454256
16.67Single6OIJIperoxo6OIJ-M1-Iperoxo-chim(NtGi1L-G11)/β1/γ2
16.67Single6TQ7SB-3348676TQ7-OX1-SB-334867
16.67Single6WGTLSD6WGT-5-HT2A-LSD
16.67Single7B6WCyclazosin7B6W-α1b-Cyclazosin
16.67Single7F58THIQ7F58-MC4-THIQ-Gs/β1/γ2
16.67Single7FEECP559407FEE-CB1-CP55940-ZCZ011
16.67Single7JJOIsoprenaline7JJO-β1-Isoprenaline-Gs/β1/γ2
16.67Single7KH0AVP7KH0-V2-AVP-chim(NtGi1-Gs)/β1/γ2
16.67Single7M8W15r-Methyl-PGD27M8W-DP2-15r-Methyl-PGD2-Na
16.67Single7S8MCortistatin-147S8M-MRGPRX2-Cortistatin-14-Gi1/β1/γ2
16.67Single7TRQIperoxo7TRQ-M4-Iperoxo-VU0467154-Gi1/β1/γ2
16.67Single7U2LC5-guano7U2L-μ-C5-guano-Gi1/β1/γ2
16.67Single7W6PN-pyridin-4-ylisoquinolin-4-amine7W6P-α2a-N-pyridin-4-ylisoquinolin-4-amine-Go/β1/γ2
16.67Single7W7EPubChem 1649466767W7E-α2a-PubChem 164946676-Go/β1/γ2
16.67Single7XBDGalanin7XBD-GAL2-Galanin-chim(NtGi2L-Gs-CtGq)/β1/γ2
16.67Single7XWONeurokinin-A7XWO-NK2-Neurokinin-A-chim(NtGi1-Gs-CtGq)/β1/γ2
16.67Single7Y24Octreotide7Y24-SST2-Octreotide-Go/β1/γ2
16.67Single7Y67C089 peptide7Y67-C5a1-C089 peptide-Gi1/β1/γ2
16.67Single8A2OTheophylline8A2O-A2A-Theophylline-Na
16.67Single8DCSCyanopindolol8DCS-β1-Cyanopindolol-Gs/β1/γ2
16.67Single8DPHLorcaserin8DPH-5-HT2C-Lorcaserin-chim(NtGi2L-Gs-CtGq)/β1/γ2
16.67Single8EA0Iperoxo8EA0-M3-Iperoxo
16.67Single8EF5Fentanyl8EF5-μ-Fentanyl-Gi1/β1/γ2
16.67Single8FMZNeurotensin-(8-13)8FMZ-NTS1-Neurotensin-(8-13)-chim(NtGi2L-Gs-CtGq)/β1/γ2
16.67Single8GEIConstrained Epinephrine8GEI-β2-Constrained Epinephrine-Gs/β1/γ2
16.67Single8GUSHU-3088GUS-CB2-HU-308-Gi1/β1/γ2
16.67Single8HDOBAY 60-65838HDO-A2B-BAY 60-6583-Gs/β1/γ2
16.67Single8I2GPubChem 675302408I2G-FSH-FSH-PubChem 67530240-Gs/β1/γ2
16.67Single8IRRRotigotine8IRR-D1-Rotigotine-Gs/β1/γ2
16.67Single8IRURotigotine8IRU-D4-Rotigotine-chim(NtGi1-Gs-CtGi1)/β1/γ2
16.67Single8JLPRalmitaront8JLP-TA1-Ralmitaront-Gs/β1/γ2
16.67Single8JSRAnamorelin8JSR-Ghrelin-Anamorelin-chim(NtGi1-Gs-CtGq)/β1/γ2
16.67Single8JXVClozapine8JXV-H4-Clozapine-Gi1/β1/γ2
16.67Single8JXWVUF68848JXW-H4-VUF6884-Gi1/β1/γ2
16.67Single8WJXADP8WJX-P2Y1-ADP-chim(Gs-CtGq)/β1/γ2
16.67Single8XJMLatanoprost8XJM-FP-alpha-Latanoprost-chim(NtGi2-Gs-CtGq)/β1/γ2
16.67Single8Y73Peptide8Y73-μ-Peptide-MPAM-15-Gi1/β1/γ2
16.67Single8YNTSNAP-948478YNT-MCH1-SNAP-94847
16.67Single9BJKNaloxone9BJK-μ-Naloxone-PubChem 171642066
16.67Single9BS9LSD9BS9-D2-LSD
16.67Single9BSBLSD9BSB-D2-LSD-chim(NtGi1-Go)/β1/γ2
16.67Single9CHUNorepinephrine9CHU-β2-Norepinephrine
16.67Single9EE9Adenosine9EE9-A2A-Adenosine-Gs/β1/γ2
16.67Single9EGOZ85267113509EGO-CB1-Z8526711350-Gi1/β1/γ2
16.67Single9RHGC4079RHG-FZD7-C407
16.67Single9UY3Anamorelin9UY3-Ghrelin-Anamorelin-chim(NtGi1-Gs-CtGq)/β1/γ2
16.67Consensus5ht1_offOrthosteric Ligand5ht1b_off
16.67Consensus5ht1b_offOrthosteric Ligand5V54-5-HT1B-Methiothepin
16.67Consensusa2_onOrthosteric Liganda2b_on
16.67Consensusa2_on_gpOrthosteric Liganda2b_on_gp
16.67Consensusa2b_onOrthosteric Ligand8HDP-A2B-Adenosine-Gs/β1/γ2 7XY6-A2B-BAY 60-6583-chim(NtGi1-Gs)/β1/γ2 7XY7-A2B-NECA-chim(NtGi1-Gs)/β1/γ2 8HDO-A2B-BAY 60-6583-Gs/β1/γ2
16.67Consensusa2b_on_gpOrthosteric Ligand8HDP-A2B-Adenosine-Gs/β1/γ2 7XY6-A2B-BAY 60-6583-chim(NtGi1-Gs)/β1/γ2 7XY7-A2B-NECA-chim(NtGi1-Gs)/β1/γ2 8HDO-A2B-BAY 60-6583-Gs/β1/γ2
16.67Consensusamine_on_gpOrthosteric Ligand5ht_on_gp adrenergic_on_gp dopamine_on_gp histamine_on_gp muscarinic_on_gp trace-amine_on_gp
16.67Consensusbeta1_offOrthosteric Ligand2VT4-β1-Cyanopindolol 2YCW-β1-Carazolol 2YCZ-β1-Iodocyanopindolol 5A8E-β1-7-Methylcyanopindolol-Na 3ZPQ-β1-PubChem 594590-Na 3ZPR-β1-PubChem 598754-Na
16.67Consensusbeta2_onOrthosteric Ligand7DHI-β2-Salbutamol-Gs/β1/γ2 6NI3-β2-BI167107-Gs/β1/γ2
16.67Consensusbeta2_on_gpOrthosteric Ligand7DHI-β2-Salbutamol-Gs/β1/γ2 6NI3-β2-BI167107-Gs/β1/γ2
16.67Consensusd4_on_gpOrthosteric Ligand8IRU-D4-Rotigotine-chim(NtGi1-Gs-CtGi1)/β1/γ2
16.67Consensusgi_5htOrthosteric Ligand8FYT-5-HT1A-LSD-PtdIns4P-Gi1/β1/γ1 7UM7-5-HT5A-Methylergometrine-chim(NtGi1-Go)/β1/γ2 8UGY-5-HT1E-Mianserin-Gi1/β1/γ1 8W8B-5-HT1A-SEP-363856-Gi1/β1/γ2 7E2Y-5-HT1A-Serotonin-PtdIns4P-Gi1/β1/γ2 7E32-5-HT1D-Serotonin-Gi1/β1/γ2 7XTA-5-HT4-Serotonin-Gi1/β1/γ2 8UH3-5-HT1E-Setiptiline-Gi1/β1/γ1 8JSP-5-HT1A-Ulotaront-Gi1/β1/γ2 8FYL-5-HT1A-Vilazodone-PtdIns4P-Gi1/β1/γ1 8JT6-5-HT1A-(R)-IHCH-7179-PtdIns4P-Gi1/β1/γ2 8FYE-5-HT1A-4-F,5-MeO-PyrT-PtdIns4P-Gi1/β1/γ1 7X5H-5-HT5A-5-CT-Gi1/β1/γ2 8FY8-5-HT1A-5-MeO-DMT-PtdIns4P-Gi1/β1/γ1 7E2Z-5-HT1A-Aripiprazole-PtdIns4P-Gi1/β1/γ2 7E33-5-HT1E-BRL-54443-Gi1/β1/γ2 8FYX-5-HT1A-Buspirone-PtdIns4P-Gi1/β1/γ1 7EXD-5-HT1F-Lasmiditan-Gi1/β1/γ2 7UM6-5-HT5A-Lisuride-chim(NtGi1-Go)/β1/γ2
16.67Consensusgs_adenosineOrthosteric Ligand8HDP-A2B-Adenosine-Gs/β1/γ2 8HDO-A2B-BAY 60-6583-Gs/β1/γ2 7XY7-A2B-NECA-chim(NtGi1-Gs)/β1/γ2 7XY6-A2B-BAY 60-6583-chim(NtGi1-Gs)/β1/γ2
16.67Consensusgs_adrenergicOrthosteric Ligand7DHI-β2-Salbutamol-Gs/β1/γ2 7XJI-β3-Solabegron-Gs/β1/γ2 7JJO-β1-Isoprenaline-Gs/β1/γ2 6NI3-β2-BI167107-Gs/β1/γ2 8DCR-β1-Dobutamine-Gs/β1/γ2 7XJH-β3-Isoprenaline-Gs/β1/γ2 7DH5-β3-Mirabegron-Gs/β1/γ2
16.67Consensusgs_nucleotideOrthosteric Ligandgs_adenosine
16.67Consensuskop_offOrthosteric Ligand4DJH-κ-JDTic
16.67Consensusm1_on_gpOrthosteric Ligand6OIJ-M1-Iperoxo-chim(NtGi1L-G11)/β1/γ2
16.67Consensusmotilin_onOrthosteric Ligand8IBU-Motilin-Erythromycin-A-chim(NtGi1-Gs-CtGq)/β1/γ2
16.67Consensusnk2_on_gpOrthosteric Ligand7XWO-NK2-Neurokinin-A-chim(NtGi1-Gs-CtGq)/β1/γ2
16.67Consensusnpy1_offOrthosteric Ligand5ZBH-Y1-BMS-193885 5ZBQ-Y1-UR-MK-299
16.67Consensusnpy_offOrthosteric Ligandnpy1_off npy2_off
16.67Consensustachykinin_onOrthosteric Ligandnk1_on nk2_on nk3_on
16.22Single7F9YGhrelin7F9Y-Ghrelin-Ghrelin-chim(NtGi1-Gs-CtGq)/β1/γ2
16.22Single7P02Substance-P7P02-NK1-Substance-P-chim(NtGi1-Gs)/β1/γ2
16.22Single8HCXEndothelin-18HCX-ETB-Endothelin-1-chim(NtGi2L-Gs-CtGq)/β1/γ2
16.22Consensusp2y10_onOrthosteric Ligand8KGG-P2Y10-Lysophosphatidylserine (WJS)-chim(NtGi2-G13)/β1/γ2
16.13Single2YCXCyanopindolol2YCX-β1-Cyanopindolol
16.13Single3D4STimolol3D4S-β2-Timolol
16.13Single4AMIBucindolol4AMI-β1-Bucindolol
16.13Single4LDEBI1671074LDE-β2-BI167107
16.13Single4N4WSANT-14N4W-SMO-SANT-1
16.13Single4RWADIPP-NH24RWA-δ-DIPP-NH2
16.13Single5F8UCyanopindolol5F8U-β1-Cyanopindolol
16.13Single6CM4Risperidone6CM4-D2-Risperidone
16.13Single6DRYMethylergometrine6DRY-5-HT2B-Methylergometrine
16.13Single6H7NXamoterol6H7N-β1-Xamoterol
16.13Single6H7OCyanopindolol6H7O-β1-Cyanopindolol
16.13Single6IIURamatroban6IIU-TXA2-Ramatroban
16.13Single6KQICP559406KQI-CB1-CP55940-Org27569
16.13Single6ZG4HTL00099366ZG4-M1-HTL0009936
16.13Single7EPENAM5637EPE-mGlu2-NAM563
16.13Single7EXDLasmiditan7EXD-5-HT1F-Lasmiditan-Gi1/β1/γ2
16.13Single7K15MKD0467K15-BLT1-MKD046-Na
16.13Single7L1UOrexin7L1U-OX2-Orexin-chim(NtGi1-Gs-CtGq)/β1/γ2
16.13Single7L1VPubChem 1554910097L1V-OX2-PubChem 155491009-chim(NtGi1-Gs-CtGq)/β1/γ2
16.13Single7MTRADX551647MTR-mGlu2; mGlu2-Glutamate-ADX55164
16.13Single7T6BS1P7T6B-S1P2-S1P-chim(NtGi1L-G13)/β1/γ2
16.13Single7WQ4Galanin7WQ4-GAL2-Galanin-chim(NtGi1-Gs-CtGq)/β1/γ2
16.13Single7XW9TRH7XW9-TRH-TRH-chim(NtGi1L-Gs-CtGq)/β1/γ2
16.13Single7XZ5Lysophosphatidylcholine7XZ5-GPR119-Lysophosphatidylcholine-Gs/β1/γ2
16.13Single7YMJTamsulosin7YMJ-Alpha1A-Tamsulosin
16.13Single8FYE4-F,5-MeO-PyrT8FYE-5-HT1A-4-F,5-MeO-PyrT-PtdIns4P-Gi1/β1/γ1
16.13Single8FYTLSD8FYT-5-HT1A-LSD-PtdIns4P-Gi1/β1/γ1
16.13Single8GCPPGE28GCP-EP4-PGE2-Gi1/β1/γ2
16.13Single8H0QGastrin Releasing Peptide8H0Q-BB2-Gastrin Releasing Peptide-chim(NtGi1-Gs-CtGq)/β1/γ2
16.13Single8IRSRotigotine8IRS-D2-Rotigotine-Gi1/β1/γ2
16.13Single8JJPChemerin-98JJP-CML2-Chemerin-9-Gi1/β1/γ2
16.13Single8T3QDoconexent8T3Q-FFA4-Doconexent-chim(NtGi2L-Gs-CtGq)/β1/γ2
16.13Single8XWMCXCL68XWM-CXCR2-CXCL6
16.13Single8XWSCXCL58XWS-CXCR2-CXCL5
16.13Single9ECJS-geranylgeranyl-L-glutathione9ECJ-P2Y8-S-geranylgeranyl-L-glutathione-G13/β1/γ2
16.13Single9EK0Iperoxo9EK0-M5-Iperoxo-chim(NtGi1-Gs-CtGq)/β1/γ2
16.13Single9GGGI-BOP9GGG-TXA2-I-BOP-chim(NtGi2L-Gs-CtGq)/β1/γ2
16.13Single9KVG5-MeO-DMT9KVG-5-HT1A-5-MeO-DMT-PtdIns4P-Gi1/β1/γ2
16.13Single9VIFNeuropeptide-VF9VIF-NPFF1-Neuropeptide-VF-Gi1/β1/γ2
16.13Single9YDQDADLE9YDQ-δ-DADLE-MIPS3614-chim(NtGi1L-Gs-CtGi1)/β1/γ2
16.13Consensus5ht1a_onOrthosteric Ligand8FYT-5-HT1A-LSD-PtdIns4P-Gi1/β1/γ1 7E2Y-5-HT1A-Serotonin-PtdIns4P-Gi1/β1/γ2 7E2Z-5-HT1A-Aripiprazole-PtdIns4P-Gi1/β1/γ2 8FYX-5-HT1A-Buspirone-PtdIns4P-Gi1/β1/γ1 8JSP-5-HT1A-Ulotaront-Gi1/β1/γ2 8JT6-5-HT1A-(R)-IHCH-7179-PtdIns4P-Gi1/β1/γ2 8FY8-5-HT1A-5-MeO-DMT-PtdIns4P-Gi1/β1/γ1 8FYE-5-HT1A-4-F,5-MeO-PyrT-PtdIns4P-Gi1/β1/γ1 8FYL-5-HT1A-Vilazodone-PtdIns4P-Gi1/β1/γ1
16.13Consensus5ht1a_on_gpOrthosteric Ligand8FYT-5-HT1A-LSD-PtdIns4P-Gi1/β1/γ1 8FYX-5-HT1A-Buspirone-PtdIns4P-Gi1/β1/γ1 8JSP-5-HT1A-Ulotaront-Gi1/β1/γ2 8JT6-5-HT1A-(R)-IHCH-7179-PtdIns4P-Gi1/β1/γ2 7E2Y-5-HT1A-Serotonin-PtdIns4P-Gi1/β1/γ2 7E2Z-5-HT1A-Aripiprazole-PtdIns4P-Gi1/β1/γ2 8FY8-5-HT1A-5-MeO-DMT-PtdIns4P-Gi1/β1/γ1 8FYE-5-HT1A-4-F,5-MeO-PyrT-PtdIns4P-Gi1/β1/γ1 8FYL-5-HT1A-Vilazodone-PtdIns4P-Gi1/β1/γ1
16.13Consensus5ht1f_onOrthosteric Ligand7EXD-5-HT1F-Lasmiditan-Gi1/β1/γ2
16.13Consensus5ht1f_on_gpOrthosteric Ligand7EXD-5-HT1F-Lasmiditan-Gi1/β1/γ2
16.13Consensusalpha1_offOrthosteric Ligandalpha1a_off
16.13Consensusalpha1a_offOrthosteric Ligand7YMJ-Alpha1A-Tamsulosin
16.13Consensusbeta_onOrthosteric Ligandbeta1_on beta2_on beta3_on
16.13Consensusbeta_on_gpOrthosteric Ligandbeta1_on_gp beta2_on_gp beta3_on_gp
16.13Consensusgi_muscarinicOrthosteric Ligand8E9X-M4-2-Deoxycytidine-chim(NtGi1-Go)/β1/γ2 7T8X-M2-Acetylcholine-chim(NtGi1-Go)/β1/γ2 7TRS-M4-Acetylcholine-Gi1/β1/γ2 7TRK-M4-Iperoxo-Gi1/β1/γ2 7V6A-M4-PubChem 9864275-Gi1/β1/γ2
16.13Consensustrh_onOrthosteric Ligand7XW9-TRH-TRH-chim(NtGi1L-Gs-CtGq)/β1/γ2
16.13Consensustrh_on_gpOrthosteric Ligand7XW9-TRH-TRH-chim(NtGi1L-Gs-CtGq)/β1/γ2
16.00Single3OE6IT1t3OE6-CXCR4-IT1t
16.00Single4XNWMRS25004XNW-P2Y1-MRS2500
16.00Single6PWCNeurotensin-(9-13)6PWC-NTS1-Neurotensin-(9-13)-Arrestin2
16.00Single7EJKOxymetazoline7EJK-α2a-Oxymetazoline-Go/β1/γ2
16.00Single7F23Dopamine7F23-D1-Dopamine-GDP-Gs/β1/γ2
16.00Single8JEFPubChem 113671668JEF-HCA3-PubChem 11367166-Gi1/β1/γ2
16.00Single8JRVGlucagon8JRV-Glucagon-Glucagon-Arrestin2
16.00Single8WC62-Phenylethylamine8WC6-TA1-2-Phenylethylamine-chim(NtGi1-Gs)/β1/γ2
16.00Single8WC9ZH86518WC9-TA1-ZH8651-chim(NtGi1-Gs-CtGq)/β1/γ2
16.00Single8YN9Histamine8YN9-H4-Histamine-Gi1/β1/γ2
16.00Single8YUUHistamine8YUU-H3-Histamine-Gi1/β1/γ1
16.00Single9IJRC179IJR-GPR52-C17-Arrestin2
16.00Single9IV15alpha-DHT9IV1-ADGRD1-5α-DHT-chim(NtGi1-Gs)/β1/γ2
16.00Single9LRCHistamine9LRC-H4-Histamine
16.00Single9LREHistamine9LRE-H4-Histamine-Gi1/β1/γ2
16.00Consensus5ht2_onOrthosteric Ligand5ht2b_on
16.00Consensus5ht2b_onOrthosteric Ligand7SRR-5-HT2B-LSD-chim(NtGi2L-Gs-CtGq)/β1/γ2
16.00Consensush3_onOrthosteric Ligand8YUU-H3-Histamine-Gi1/β1/γ1
16.00Consensush3_on_gpOrthosteric Ligand8YUU-H3-Histamine-Gi1/β1/γ1
16.00Consensusp2y1_offOrthosteric Ligand4XNW-P2Y1-MRS2500
15.62Single5CGDHTL142425CGD-mGlu5-HTL14242
15.62Single6BQHRitanserin6BQH-5-HT2C-Ritanserin
15.62Single6H7LDobutamine6H7L-β1-Dobutamine
15.62Single6IBLArformoterol6IBL-β1-Arformoterol
15.62Single6K1QIRL25006K1Q-ETB-IRL2500
15.62Single6TKOArformoterol6TKO-β1-Arformoterol-Arrestin2
15.62Single7D7MPGE27D7M-EP4-PGE2-Gs/β1/γ1
15.62Single7P00Substance-P7P00-NK1-Substance-P-chim(NtGi1-Gs-CtGq)/β1/γ2
15.62Single7UM4AS26747237UM4-5-HT5A-AS2674723
15.62Single8E9X2-Deoxycytidine8E9X-M4-2-Deoxycytidine-chim(NtGi1-Go)/β1/γ2
15.62Single8FX5Xanomeline8FX5-M4-Xanomeline-Xanomeline-Gi1/β1/γ2
15.62Single8IULLatanoprost8IUL-FP-alpha-Latanoprost-chim(NtGi1-Gs-CtGq)/β1/γ2
15.62Single8S2TIsoprenaline8S2T-β1-Isoprenaline-chim(NtGi1-Gs)/β1/γ2
15.62Single8XJKCloprosetnol8XJK-FP-alpha-Cloprosetnol-chim(NtGi1-Gs-CtGq)/β1/γ2
15.62Single8XVJMacitentan8XVJ-ETA-Macitentan
15.62Single8XWFCXCL38XWF-CXCR2-CXCL3
15.62Single8ZX4Lysophosphatidylinositol 8ZX4-GPR55-Lysophosphatidylinositol-chim(NtGi1-G13)/β1/γ2
15.62Single9AS02-bromo-LSD9AS0-5-HT2A-2-bromo-LSD-chim(NtGi1-Gs-CtGq)/β1/γ2
15.62Single9CGJC6-Quino9CGJ-δ-C6-Quino-Gi1/β1/γ2
15.62Single9YDPDADLE9YDP-δ-DADLE-chim(NtGi1L-Gs-CtGi1)/β1/γ2
15.62Consensus5ht2c_offOrthosteric Ligand6BQH-5-HT2C-Ritanserin
15.62Consensusbeta1_onOrthosteric Ligand8DCR-β1-Dobutamine-Gs/β1/γ2 7S0F-β1-Isoprenaline-Gi1/β1/γ2
15.62Consensusbeta1_on_gpOrthosteric Ligand8DCR-β1-Dobutamine-Gs/β1/γ2 7S0F-β1-Isoprenaline-Gi1/β1/γ2
15.62Consensusfp-alpha_onOrthosteric Ligand8IUK-FP-alpha-PGF2-α-chim(NtGi1-Gs-CtGq)/β1/γ2 8IUL-FP-alpha-Latanoprost-chim(NtGi1-Gs-CtGq)/β1/γ2 8IUM-FP-alpha-Tafluprost acid-chim(NtGi1-Gs-CtGq)/β1/γ2
15.62Consensusfp-alpha_on_gpOrthosteric Ligand8IUK-FP-alpha-PGF2-α-chim(NtGi1-Gs-CtGq)/β1/γ2 8IUL-FP-alpha-Latanoprost-chim(NtGi1-Gs-CtGq)/β1/γ2 8IUM-FP-alpha-Tafluprost acid-chim(NtGi1-Gs-CtGq)/β1/γ2
15.62Consensusnk1_onOrthosteric Ligand7P00-NK1-Substance-P-chim(NtGi1-Gs-CtGq)/β1/γ2
15.62Consensusnk1_on_gpOrthosteric Ligand7P00-NK1-Substance-P-chim(NtGi1-Gs-CtGq)/β1/γ2
15.38Single4O9RCyclopamine4O9R-SMO-Cyclopamine
15.38Single7SRQLSD7SRQ-5-HT2B-LSD
15.38Single7T96LY21196207T96-M2-Acetylcholine-LY2119620-Go/β1/γ2
15.38Single7TRPLY20332987TRP-M4-Iperoxo-LY2033298-Gi1/β1/γ2
15.38Single7V68Iperoxo7V68-M4-Iperoxo-LY2119620-Gi1/β1/γ2
15.38Single7VDHC48/807VDH-MRGPRX2-C48/80-Gi1/β1/γ2
15.38Single7XTASerotonin7XTA-5-HT4-Serotonin-Gi1/β1/γ2
15.38Single7YFCHistamine7YFC-H4-Histamine-chim(NtGi1-Gs-CtGq)/β1/γ2
15.38Single7YFDImetit7YFD-H4-Imetit-chim(NtGi1-Gs-CtGq)/β1/γ2
15.38Single7YS6Serotonin7YS6-5-HT6-Serotonin-chim(NtGi1-Gs)/β1/γ2
15.38Single8DPFLorcaserin8DPF-5-HT2C-Lorcaserin-chim(NtGi2L-Gs-CtGq)/β1/γ2
15.38Single8EF6Morphine8EF6-μ-Morphine-Gi1/β1/γ2
15.38Single8GGYConstrained Epinephrine8GGY-β2-Constrained Epinephrine
15.38Single8HN8Histamine8HN8-H4-Histamine-Gi1/β1/γ2
15.38Single8IHIAcifran8IHI-HCA2-Acifran-Gi1/β1/γ2
15.38Single8JILNiacin8JIL-HCA2-Niacin-Gi1/β1/γ2
15.38Single8JLOUlotaront8JLO-TA1-Ulotaront-Gs/β1/γ2
15.38Single8RWHStilSwitch28RWH-A2A-StilSwitch2-Na
15.38Single8U4RREGN7663-Fab8U4R-CXCR4-REGN7663-Fab
15.38Single8UO4Constrained Epinephrine8UO4-β2-Constrained Epinephrine-GTP; Mg-Gs/β1/γ2
15.38Single8W892-Phenylethylamine8W89-TA1-2-Phenylethylamine-chim(NtGi1L-Gs)/β1/γ2
15.38Single8W8WAlpha-MSH8W8W-MC3-α-MSH-Ca-Gs/β1/γ2
15.38Single8W8XBeta-MSH8W8X-MC3-β-MSH-Ca-Gs/β1/γ2
15.38Single8YH3N-methyladenosine8YH3-A3A-N-methyladenosine-Gi1/β1/γ2
15.38Single8YKDDehydroepiandrosterone8YKD-ADGRG2-Dehydroepiandrosterone-chim(NtGi1-Gs)/β1/γ2
15.38Single8YN5Histamine8YN5-H3-Histamine-Gi1/β1/γ2
15.38Single8YN6Imetit8YN6-H3-Imetit-Gi1/β1/γ2
15.38Single8YN7Immethridine8YN7-H3-Immethridine-Go/β1/γ2
15.38Single8ZX5AM2518ZX5-GPR55-AM251-chim(NtGi1-G13)/β1/γ2
15.38Single9AS2DMT9AS2-5-HT2A-DMT-chim(NtGi1-Gs-CtGq)/β1/γ2
15.38Single9IJEEpinephrine9IJE-β3-Epinephrine-chim(NtGi1-Gs)/β1/γ2
15.38Single9JEDHistamine9JED-H4-Histamine-PO4-Gi1/β1/γ2
15.38Single9JEQHistamine9JEQ-H3-Histamine-Gi1/β1/γ2
15.38Single9KDFRES-701-39KDF-ETB-RES-701-3
15.38Single9L3ZLRH7-C29L3Z-CML1-LRH7-C2
15.38Single9L42Histamine9L42-H4-Histamine-Gi1/β1/γ2
15.38Single9LMPNE52-QQ579LMP-GPR4-NE52-QQ57
15.38Consensus5ht4_onOrthosteric Ligand7XTA-5-HT4-Serotonin-Gi1/β1/γ2
15.38Consensus5ht4_on_gpOrthosteric Ligand7XTA-5-HT4-Serotonin-Gi1/β1/γ2
15.38Consensush4_onOrthosteric Ligand8HN8-H4-Histamine-Gi1/β1/γ2 8HOC-H4-Imetit-Gi1/β1/γ2 8JXV-H4-Clozapine-Gi1/β1/γ2 8JXW-H4-VUF6884-Gi1/β1/γ2 8JXX-H4-Clobenpropit-Gi1/β1/γ2
15.15Single7RMHSubstance-P7RMH-NK1-Substance-P-Gs/β1/γ2
15.15Single7S8LCortistatin-147S8L-MRGPRX2-Cortistatin-14-chim(NtGi2L-Gs-CtGq)/β1/γ2
15.15Single8GDAL9026888GDA-EP4-L902688-Gs/β1/γ2
15.15Single8IQ4Carboprost8IQ4-FP-alpha-Carboprost-chim(NtGi1-Gs-CtGq)/β1/γ2
15.15Single8XQJJN2418XQJ-Apelin; Apelin-JN241
15.15Single8XX6CXCL88XX6-CXCR2-CXCL8-Go/β1/γ2
15.15Single8Z74JN241-98Z74-Apelin; Apelin-JN241-9
15.15Single9WSXEndomorphin9WSX-μ-Endomorphin-Arrestin2
15.15Consensusnmur1_onOrthosteric Ligand7W53-NMUR1-Neuromedin-U-25-chim(NtGi1-Gs-CtGq)/β1/γ2
14.81Single2X72All-trans-Retinal2X72-Rhodopsin-All-trans-Retinal-Gt(CT)
14.81Single3ODUIT1t3ODU-CXCR4-IT1t
14.81Single3PWHZM-2413853PWH-A2A-ZM-241385
14.81Single3VG9ZM-2413853VG9-A2A-ZM-241385-Antibody
14.81Single4QINSAG1.54QIN-SMO-SAG1.5
14.81Single5OLHVipadenant5OLH-A2A-Vipadenant-Na
14.81Single6B73MP11046B73-κ-MP1104
14.81Single6D9HAdenosine6D9H-A1-Adenosine-Gi2/β1/γ2
14.81Single6KUYPubChem 1457046436KUY-α2a-PubChem 145704643
14.81Single6LFOCXCL86LFO-CXCR2-CXCL8-Gi1/β1/γ2
14.81Single6ME2Ramelteon6ME2-MT1-Ramelteon
14.81Single6O3CSAG21k6O3C-SMO-SAG21k-Cholesterol
14.81Single6OYAAll-trans-Retinal6OYA-Rhodopsin-All-trans-Retinal-Gt/β1/γ1
14.81Single6RNKNF-56-EJ406RNK-Succinate-NF-56-EJ40
14.81Single6WWZCCL206WWZ-CCR6-CCL20-Go/β1/γ2
14.81Single7BR3Elagolix7BR3-GnRH1-Elagolix
14.81Single7DHRIsoprenaline7DHR-β2-Isoprenaline-Gs/β1/γ2
14.81Single7EJ0Norepinephrine7EJ0-α2a-Norepinephrine-Go/β1/γ2
14.81Single7F1ODopamine7F1O-D1-Dopamine-GDP; Mg-Gs/β1/γ2
14.81Single7F8ULintitript7F8U-CCKA-Lintitript
14.81Single7F8YDevazepide7F8Y-CCKA-Devazepide
14.81Single7S8PMS471347S8P-MRGPRX4-MS47134-chim(NtGi2L-Gs-CtGq)/β1/γ2
14.81Single7SRRLSD7SRR-5-HT2B-LSD-chim(NtGi2L-Gs-CtGq)/β1/γ2
14.81Single7T8XAcetylcholine7T8X-M2-Acetylcholine-chim(NtGi1-Go)/β1/γ2
14.81Single7T90Acetylcholine7T90-M2-Acetylcholine-chim(NtGi1-Go)/β1/γ2
14.81Single7T96Acetylcholine7T96-M2-Acetylcholine-LY2119620-Go/β1/γ2
14.81Single7TUZ7-alpha,25-dihydroxycholesterol7TUZ-GPR183-7-α,25-dihydroxycholesterol-Gi1/β1/γ2
14.81Single7VDLCortistatin-147VDL-MRGPRX2-Cortistatin-14-Gi1/β1/γ2
14.81Single7VUJJNJ-635330547VUJ-GPR139-JNJ-63533054-GDP-chim(Gs-CtGq)/β1/γ2
14.81Single7X2CFenoldopam7X2C-D1-Fenoldopam-Fenoldopam-Gs/β1/γ2
14.81Single7X5H5-CT7X5H-5-HT5A-5-CT-Gi1/β1/γ2
14.81Single7YM8Oxymetazoline7YM8-Alpha1A-Oxymetazoline-chim(Gs-CtGq)
14.81Single8DU3PubChem 1055260648DU3-A2A-PubChem 105526064
14.81Single8DWGML3828DWG-MRGPRX1-BAM8-22-ML382-chim(NtGi2L-Gs-CtGq)/β1/γ2
14.81Single8FYXBuspirone8FYX-5-HT1A-Buspirone-PtdIns4P-Gi1/β1/γ1
14.81Single8H8JLodoxamide8H8J-GPR35-Lodoxamide-Ca-chim(NtGi1L-G13)/β1/γ2
14.81Single8HDPAdenosine8HDP-A2B-Adenosine-Gs/β1/γ2
14.81Single8HMPC178HMP-GPR52-C17-Gs/β1/γ2
14.81Single8HOCImetit8HOC-H4-Imetit-Gi1/β1/γ2
14.81Single8RW4AzoSwitch28RW4-A2A-AzoSwitch2-Na
14.81Single8RWEStilSwitch48RWE-A2A-StilSwitch4-Na
14.81Single8UNSConstrained Epinephrine8UNS-β2-Constrained Epinephrine-GTP-Gs/β1/γ2
14.81Single8UNTConstrained Epinephrine8UNT-β2-Constrained Epinephrine-GTP-Gs/β1/γ2
14.81Single8UNXConstrained Epinephrine8UNX-β2-Constrained Epinephrine-GTP-Gs/β1/γ2
14.81Single8UTDMK19038UTD-HCA2-MK1903-Gi1/β1/γ2
14.81Single8WC3SEP-3638568WC3-TA1-SEP-363856-chim(NtGi1-Gs)/β1/γ2
14.81Single8XXVIndomethacin8XXV-DP2-Indomethacin-A1D5Q-Gi1/β1/γ2
14.81Single8Y0HVUF114188Y0H-CXCR3-VUF11418
14.81Single8Y0NVUF114188Y0N-CXCR3-VUF11418-Go/β1/γ2
14.81Single8YNAImmepip8YNA-H4-Immepip-Gi1/β1/γ2
14.81Single8YUVImmepip8YUV-H3-Immepip-Gi1/β1/γ2
14.81Single8YYWAlpha-ketoglutarate8YYW-Oxoglutarate-α-ketoglutarate-α-ketoglutarate-chim(Gi1-CtGq)/β1/γ2
14.81Single9FUPIstradefylline9FUP-A2A-Istradefylline-Na
14.81Single9K6LSalicin9K6L-TAS2R16-Salicin-Gi2/β1/γ2
14.81Single9KO2CCL199KO2-CCR7-CCL19-Gi1/β1
14.81Single9KO6CCL199KO6-CCR7-CCL19
14.81Single9KPESalicin9KPE-TAS2R16-Salicin-Gi1/β1/γ2
14.81Single9LL9DOI9LL9-5-HT2A-DOI-chim(NtGi1L-Gs-CtGq)/β1/γ2
14.81Single9M88Oleic monoethanolamide9M88-GPR3 ; GPR3-Oleic monoethanolamide-AF64394
14.81Single9MQJIsoquinuclidine9MQJ-μ-Isoquinuclidine
14.81Single9PXUNaloxone9PXU-μ-Naloxone-Na
14.81Single9VJ5Gepirone9VJ5-5-HT1A-Gepirone-Go/β1/γ2
14.81Consensus5ht1e_onOrthosteric Ligand7E33-5-HT1E-BRL-54443-Gi1/β1/γ2 8UGY-5-HT1E-Mianserin-Gi1/β1/γ1 8UH3-5-HT1E-Setiptiline-Gi1/β1/γ1
14.81Consensus5ht2_on_gpOrthosteric Ligand5ht2b_on_gp
14.81Consensus5ht2b_on_gpOrthosteric Ligand7SRR-5-HT2B-LSD-chim(NtGi2L-Gs-CtGq)/β1/γ2
14.81Consensus5ht_onOrthosteric Ligand5ht1_on 5ht2_on 5ht4_on 5ht5_on 5ht6_on 5ht7_on
14.81Consensusccr6_onOrthosteric Ligand6WWZ-CCR6-CCL20-Go/β1/γ2
14.81Consensusccr6_on_gpOrthosteric Ligand6WWZ-CCR6-CCL20-Go/β1/γ2
14.81Consensuscxcr1_onOrthosteric Ligand8IC0-CXCR1-CXCL8-Gi1/β1/γ2
14.81Consensusgnrh1_offOrthosteric Ligand7BR3-GnRH1-Elagolix
14.81Consensusgq_histamineOrthosteric Ligand7DFL-H1-Histamine-chim(NtGi1L-Gq)/β1/γ2
14.81Consensusgs_5htOrthosteric Ligand7XTC-5-HT7-5-CT-Gs/β1/γ2 7XTB-5-HT6-Serotonin-Gs/β1/γ2 8JLZ-5-HT6-ST1936-Gs/β1/γ2 7XT8-5-HT4-Serotonin-Gs/β1/γ2
14.81Consensush1_on_gpOrthosteric Ligand7DFL-H1-Histamine-chim(NtGi1L-Gq)/β1/γ2
14.81Consensushistamine_onOrthosteric Ligandh1_on h2_on h3_on h4_on
14.81Consensushistamine_on_gpOrthosteric Ligandh1_on_gp h2_on_gp h3_on_gp h4_on_gp
14.81Consensusm2_onOrthosteric Ligand7T8X-M2-Acetylcholine-chim(NtGi1-Go)/β1/γ2
14.81Consensusm2_on_gpOrthosteric Ligand7T8X-M2-Acetylcholine-chim(NtGi1-Go)/β1/γ2
14.81Consensusorexin_offOrthosteric Ligandox2_off ox1_off
14.81Consensusox2_offOrthosteric Ligand5WQC-OX2-EMPA 6TPN-OX2-HTL6641 7XRR-OX2-Lemborexant 6TPJ-OX2-Suvorexant
14.81Consensusrhodopsin_on_gpOrthosteric Ligand6OYA-Rhodopsin-All-trans-Retinal-Gt/β1/γ1
14.71Single4AMJCarvedilol4AMJ-β1-Carvedilol
14.71Single6WIVPubChem 52923113; PubChem 529246456WIV-GABAB1, GABAB2-PubChem 52923113; PubChem 52924645
14.71Single7F54Afamelanotide7F54-MC4-Afamelanotide-Gs/β1/γ2
14.71Single7W53Neuromedin-U-257W53-NMUR1-Neuromedin-U-25-chim(NtGi1-Gs-CtGq)/β1/γ2
14.71Single8F7XNociceptin8F7X-NOP-Nociceptin-Gi1/β1/γ2
14.71Single8FYLVilazodone8FYL-5-HT1A-Vilazodone-PtdIns4P-Gi1/β1/γ1
14.71Single8IZBLysophosphatidylserine (UBL)8IZB-GPR174-Lysophosphatidylserine (UBL)-Gs/β1/γ2
14.71Single8KIGSHU91198KIG-MC3-SHU9119-Ca
14.71Single8WKYPG-9348WKY-MC4-PG-934
14.71Single8XWNCXCL88XWN-CXCR2-CXCL8
14.71Single8ZBJSomatostatin-148ZBJ-SST5-Somatostatin-14-Gi1/β1/γ2
14.71Single9M4TSilodosin9M4T-Alpha1A-Silodosin
14.71Single9MEJGp1209MEJ-CXCR4-Gp120
14.71Consensusnmur1_on_gpOrthosteric Ligand7W53-NMUR1-Neuromedin-U-25-chim(NtGi1-Gs-CtGq)/β1/γ2
14.71Consensusnop_onOrthosteric Ligand8F7X-NOP-Nociceptin-Gi1/β1/γ2
14.71Consensusnop_on_gpOrthosteric Ligand8F7X-NOP-Nociceptin-Gi1/β1/γ2
14.29Single3UZCPubChem 1355666093UZC-A2A-PubChem 135566609
14.29Single4DKLBeta-Funaltrexamine4DKL-μ-β-Funaltrexamine
14.29Single4MQTIperoxo4MQT-M2-Iperoxo-LY2119620
14.29Single4ZJCSB-6740424ZJC-OX1-SB-674042
14.29Single5UVIZM-2413855UVI-A2A-ZM-241385
14.29Single6A94Zotepine6A94-5-HT2A-Zotepine
14.29Single6AQFZM-2413856AQF-A2A-ZM-241385
14.29Single6K41Dexmedetomidine6K41-α2b-Dexmedetomidine-Go/β1/γ2
14.29Single6KUXRS799486KUX-α2a-RS79948
14.29Single6ME42-Iodomelatonin6ME4-MT1-2-Iodomelatonin
14.29Single6MH8ZM-2413856MH8-A2A-ZM-241385
14.29Single6TPGEMPA6TPG-OX2-EMPA
14.29Single6V9SGTPL114036V9S-OX1-GTPL11403
14.29Single6VI4JDTic6VI4-κ-JDTic
14.29Single6WH4Methiothepin6WH4-5-HT2A-Methiothepin
14.29Single6WJCAtropine6WJC-M1-Atropine-Muscarinic toxin 7
14.29Single6WJCMuscarinic toxin 76WJC-M1-Atropine-Muscarinic toxin 7
14.29Single6XBLSAG6XBL-SMO-SAG-Cholesterol-Gi1/β1/γ2
14.29Single6ZDVPubChem 9840736ZDV-A2A-PubChem 984073-Na
14.29Single6ZG9GSK10347026ZG9-M1-GSK1034702
14.29Single7CKWFenoldopam7CKW-D1-Fenoldopam-Gs/β1/γ2
14.29Single7CKZDopamine7CKZ-D1-Dopamine-Mevidalen-Gs/β1/γ2
14.29Single7CMUPramipexole7CMU-D3-Pramipexole-Gi1/β1/γ2
14.29Single7EJADexmedetomidine7EJA-α2a-Dexmedetomidine-Go/β1/γ2
14.29Single7F0TDopamine7F0T-D1-Dopamine-Gs/β1/γ2
14.29Single7F1ZDopamine7F1Z-D1-Dopamine-GDP-Gs/β1/γ2
14.29Single7PIVAfamelanotide7PIV-MC4-Afamelanotide-Gs/β1/γ2
14.29Single7RANPubChem 1645758477RAN-5-HT2A-PubChem 164575847-chim(NtGi2L-Gs-CtGq)/β1/γ2
14.29Single7RMISubstance-P7RMI-NK1-Substance-P-chim(Gs-CtGq)/β1/γ2
14.29Single7T94Acetylcholine7T94-M2-Acetylcholine-LY2119620-chim(NtGi1-Go)/β1/γ2
14.29Single7TRSAcetylcholine7TRS-M4-Acetylcholine-Gi1/β1/γ2
14.29Single7UM7Methylergometrine7UM7-5-HT5A-Methylergometrine-chim(NtGi1-Go)/β1/γ2
14.29Single7WC9PubChem 1624213647WC9-5-HT2A-PubChem 162421364
14.29Single7XXH2MeSADP7XXH-P2Y1-2MeSADP-chim(NtGi1-G11)/β1/γ2
14.29Single7ZI0SAG7ZI0-SMO-SAG-Cholesterol
14.29Single8GEDConstrained Epinephrine8GED-β2-Constrained Epinephrine-Gs/β1/γ2
14.29Single8GG5Constrained Epinephrine8GG5-β2-Constrained Epinephrine-GTP-Gs/β1/γ2
14.29Single8H4LDoconexent8H4L-FFA4-Doconexent-chim(NtGi1-Gs-CtGq)/β1/γ2
14.29Single8JBHSubstance-P8JBH-NK3-Substance-P-chim(NtGi1-Gs-CtGq)/β1/γ2
14.29Single8JSPUlotaront8JSP-5-HT1A-Ulotaront-Gi1/β1/γ2
14.29Single8K9LDAMGO8K9L-μ-DAMGO-BMS-986122-Gi3/β1/γ1
14.29Single8PM2DMCHA8PM2-TA7-DMCHA-Gs/β1/γ2
14.29Single8THKA-616038THK-Alpha1A-A-61603-chim(NtGi2L-Gs-CtGq)/β1/γ2
14.29Single8THLEpinephrine8THL-Alpha1A-Epinephrine-chim(NtGi2L-Gs-CtGq)/β1/γ2
14.29Single8UNMConstrained Epinephrine8UNM-β2-Constrained Epinephrine-GTP-Gs/β1/γ2
14.29Single8UNWConstrained Epinephrine8UNW-β2-Constrained Epinephrine-GTP-Gs/β1/γ2
14.29Single8V6UPubChem 1713924568V6U-5-HT2A-PubChem 171392456-chim(NtGi2-Gs-CtGq)/β1/γ2
14.29Single8W8BSEP-3638568W8B-5-HT1A-SEP-363856-Gi1/β1/γ2
14.29Single8YRGFospropofol8YRG-MRGPRX4-Fospropofol-chim(NtGi1-Gs-CtGq)/β1/γ2
14.29Single8ZPNAMD31008ZPN-CXCR4-AMD3100
14.29Single9AS3LSD9AS3-5-HT2A-LSD
14.29Single9AS4LSD9AS4-5-HT2A-LSD-chim(NtGi1-Gs-CtGq)/β1/γ2
14.29Single9AS8Psilocin9AS8-5-HT2A-Psilocin-chim(NtGi2L-Gs-CtGq)/β1/γ2
14.29Single9CBLEpinephrine9CBL-α2a-Epinephrine-Gi1/β1/γ2
14.29Single9EAINanobody AT2099EAI-AT1-Losartan-Nanobody AT209
14.29Single9IK8Pasireotide9IK8-SST1-Pasireotide-Gi1/β1/γ2
14.29Single9JMDAzithromycin9JMD-Motilin-Azithromycin-chim(Gs-CtGq)/β1/γ2
14.29Single9LL8Psilocin9LL8-5-HT2A-Psilocin-Gi1/β1/γ2
14.29Single9MQIIsoquinuclidine9MQI-μ-Isoquinuclidine
14.29Single9PXVNaloxone9PXV-μ-Naloxone-Gi1/β1/γ2
14.29Single9PXXNaloxone9PXX-μ-Naloxone-GDPβS-Gi1/β1/γ2
14.29Single9PY2Loperamide9PY2-μ-Loperamide-GDPβS-Gi1/β1/γ2
14.29Single9VJG8-OH-DPAT9VJG-5-HT1A-8-OH-DPAT-chim(NtGi2-Gz)/β1/γ2
14.29Single9W6W5-CT9W6W-5-HT5A-5-CT-Gi1/β1/γ2
14.29Consensus5ht2a_offOrthosteric Ligand6A94-5-HT2A-Zotepine 6A93-5-HT2A-Risperidone 7VOD-5-HT2A-Cariprazine 7WC8-5-HT2A-Lumateperone 8JT8-5-HT2A-(R)-IHCH-7179
14.29Consensusalpha1_onOrthosteric Ligandalpha1a_on
14.29Consensusalpha1_on_gpOrthosteric Ligandalpha1a_on_gp
14.29Consensusalpha1a_onOrthosteric Ligand7EJ0-α2a-Norepinephrine-Go/β1/γ2 7EJ8-α2a-Brimonidine-Go/β1/γ2 7EJA-α2a-Dexmedetomidine-Go/β1/γ2 7EJK-α2a-Oxymetazoline-Go/β1/γ2 7W6P-α2a-N-pyridin-4-ylisoquinolin-4-amine-Go/β1/γ2 7W7E-α2a-PubChem 164946676-Go/β1/γ2
14.29Consensusalpha1a_on_gpOrthosteric Ligand7EJ0-α2a-Norepinephrine-Go/β1/γ2 7EJ8-α2a-Brimonidine-Go/β1/γ2 7EJA-α2a-Dexmedetomidine-Go/β1/γ2 7EJK-α2a-Oxymetazoline-Go/β1/γ2 7W6P-α2a-N-pyridin-4-ylisoquinolin-4-amine-Go/β1/γ2 7W7E-α2a-PubChem 164946676-Go/β1/γ2
14.29Consensusd3_onOrthosteric Ligand7CMV-D3-PD128907-Gi1/β1/γ2 8IRT-D3-Rotigotine-Gi1/β1/γ2 7CMU-D3-Pramipexole-Gi1/β1/γ2
14.29Consensusd3_on_gpOrthosteric Ligand7CMV-D3-PD128907-Gi1/β1/γ2 8IRT-D3-Rotigotine-Gi1/β1/γ2 7CMU-D3-Pramipexole-Gi1/β1/γ2
14.29Consensusghrelin_offOrthosteric Ligand6KO5-Ghrelin-PubChem 57400002 7F83-Ghrelin-PF-05190457
14.29Consensusnop_offOrthosteric Ligand4EA3-NOP-PubChem 10296561 5DHG-NOP-C-35 5DHH-NOP-SB-612111
14.29Consensusp2y1_on_gpOrthosteric Ligand7XXH-P2Y1-2MeSADP-chim(NtGi1-G11)/β1/γ2
13.89Single8K6MNeuropeptide-Y8K6M-Y1-Neuropeptide-Y-Gi2/β1/γ1
13.89Single8W8YGamma-MSH8W8Y-MC3-γ-MSH-Ca-Gs/β1/γ2
13.89Consensusmc3_onOrthosteric Ligand8IOC-MC3-γ-MSH-Ca-chim(NtGi1-Gs)/β1/γ2
13.89Consensusmc3_on_gpOrthosteric Ligand8IOC-MC3-γ-MSH-Ca-chim(NtGi1-Gs)/β1/γ2
13.89Consensusnpy1_onOrthosteric Ligand8K6M-Y1-Neuropeptide-Y-Gi2/β1/γ1
13.89Consensusnpy1_on_gpOrthosteric Ligand8K6M-Y1-Neuropeptide-Y-Gi2/β1/γ1
13.79Single2VT4Cyanopindolol2VT4-β1-Cyanopindolol
13.79Single2Y01Dobutamine2Y01-β1-Dobutamine
13.79Single2Y02Carmoterol2Y02-β1-Carmoterol
13.79Single2YCYCyanopindolol2YCY-β1-Cyanopindolol
13.79Single3ZPRPubChem 5987543ZPR-β1-PubChem 598754-Na
13.79Single4DAJTiotropium4DAJ-M3-Tiotropium
13.79Single4EJ4Naltrindole4EJ4-δ-Naltrindole
13.79Single4J4QOctyl Beta-D-Glucopyranoside4J4Q-Rhodopsin-Octyl β-D-Glucopyranoside-Gt(CT)
13.79Single4MQSIperoxo4MQS-M2-Iperoxo
13.79Single4U14Tiotropium4U14-M3-Tiotropium
13.79Single4U16N-methyl-Scopolamine4U16-M3-N-methyl-Scopolamine
13.79Single4X1HNonyl-Beta-D-Glucopyranoside4X1H-Rhodopsin-Nonyl-β-D-Glucopyranoside-Gt(CT)
13.79Single5DHGC-355DHG-NOP-C-35
13.79Single5TGZAM65385TGZ-CB1-AM6538
13.79Single5UIGPubChem 1240811965UIG-A2A-PubChem 124081196
13.79Single5YC8N-methyl-Scopolamine5YC8-M2-N-methyl-Scopolamine
13.79Single5ZK8N-methyl-Scopolamine5ZK8-M2-N-methyl-Scopolamine
13.79Single5ZKCN-methyl-Scopolamine5ZKC-M2-N-methyl-Scopolamine
13.79Single6DRXLisuride6DRX-5-HT2B-Lisuride
13.79Single6K42Dexmedetomidine6K42-α2b-Dexmedetomidine-Gi1/β1/γ2
13.79Single6PRZAlprenolol6PRZ-β2-Alprenolol
13.79Single6TOTLemborexant6TOT-OX1-Lemborexant
13.79Single6XBM25(S)-Epoxycholesterol6XBM-SMO-25(S)-Epoxycholesterol-Gi1/β1/γ2
13.79Single6Z10PubChem 1545855546Z10-Succinate-PubChem 154585554
13.79Single7BU7BI1671077BU7-β1-BI167107
13.79Single7DB6Ramelteon7DB6-MT1-Ramelteon-Gi1/β1/γ2
13.79Single7E32Serotonin7E32-5-HT1D-Serotonin-Gi1/β1/γ2
13.79Single7JOZPubChem 752020227JOZ-D1-PubChem 75202022-Gs/β1/γ2
13.79Single7NA8Ibutamoren7NA8-Ghrelin-Ibutamoren-Gi1/β1/γ2
13.79Single7SCGFH2107SCG-μ-FH210-Gi1/β1/γ2
13.79Single7SQOTAK-9257SQO-OX2-TAK-925-Gi1/β1/γ2
13.79Single7TRPIperoxo7TRP-M4-Iperoxo-LY2033298-Gi1/β1/γ2
13.79Single7TRQVU04671547TRQ-M4-Iperoxo-VU0467154-Gi1/β1/γ2
13.79Single7UM55-CT7UM5-5-HT5A-5-CT-chim(NtGi1-Go)/β1/γ2
13.79Single7VKTLTB47VKT-BLT1-LTB4-Gi1/β1/γ2
13.79Single7WC8Lumateperone7WC8-5-HT2A-Lumateperone
13.79Single7WQ3Galanin7WQ3-GAL1-Galanin-Gi1/β1/γ2
13.79Single7X2CFenoldopam7X2C-D1-Fenoldopam-Fenoldopam-Gs/β1/γ2
13.79Single7XTC5-CT7XTC-5-HT7-5-CT-Gs/β1/γ2
13.79Single7YXAONO-54306087YXA-S1P5-ONO-5430608
13.79Single8DZSGR89,6968DZS-κ-GR89,696-chim(NtGi2-Gz)/β1/γ2
13.79Single8EFQDAMGO8EFQ-μ-DAMGO-Gi1/β1/γ2
13.79Single8FY85-MeO-DMT8FY8-5-HT1A-5-MeO-DMT-PtdIns4P-Gi1/β1/γ1
13.79Single8GCML-9026888GCM-EP4-L-902688-Gi1/β1/γ2
13.79Single8IC0CXCL88IC0-CXCR1-CXCL8-Gi1/β1/γ2
13.79Single8IRTRotigotine8IRT-D3-Rotigotine-Gi1/β1/γ2
13.79Single8JD0NAM5638JD0-mGlu2; mGlu3-Glutamate-NAM563
13.79Single8JLJT1AM8JLJ-TA1-T1AM-chim(NtGi1-Gs)/β1/γ2
13.79Single8JLZST19368JLZ-5-HT6-ST1936-Gs/β1/γ2
13.79Single8JT8(R)-IHCH-71798JT8-5-HT2A-(R)-IHCH-7179
13.79Single8KEXDCA-3P8KEX-MRGPRX4-DCA-3P
13.79Single8TH3AT118-H Nanobody8TH3-AT1-AT118-H Nanobody
13.79Single8UGYMianserin8UGY-5-HT1E-Mianserin-Gi1/β1/γ1
13.79Single8UWLLisuride8UWL-5-HT2A-Lisuride-chim(NtGi2-Gs-CtGq)/β1/γ2
13.79Single8WC7ZH86678WC7-TA1-ZH8667-chim(NtGi1-Gs)/β1/γ2
13.79Single8X64Desloratadine8X64-H1-Desloratadine
13.79Single8XJLPGF2-alpha8XJL-FP-alpha-PGF2-α-chim(NtGi2-Gs-CtGq)/β1/γ2
13.79Single8XVKAmbrisentan8XVK-ETA-Ambrisentan
13.79Single8Y71A1D6F8Y71-δ-A1D6F-BMS986187-Gi1/β1/γ2
13.79Single8YH5Riboprine8YH5-A3A-Riboprine-Gi1/β1/γ2
13.79Single8YN8Proxyfan8YN8-H3-Proxyfan-Go/β1/γ2
13.79Single9CBMDexmedetomidine9CBM-α2a-Dexmedetomidine-Gi1/β1/γ2
13.79Single9IMATalquetamab9IMA-GPRC5D; GPRC5D-Talquetamab
13.79Single9JEAAtropine9JEA-M1-Atropine
13.79Single9JGKBalovaptan9JGK-5-HT2B-Balovaptan
13.79Single9METGp120; CD49MET-CXCR4-Gp120; CD4
13.79Single9PLNPubChem 1682595949PLN-α2a-PubChem 168259594
13.79Single9PLOPubChem 1682595949PLO-α2a-PubChem 168259594-Go/β1/γ2
13.79Single9PQDPubChem 1764919279PQD-α2a-PubChem 176491927
13.79Single9PXWNaloxone9PXW-μ-Naloxone-GDPβS-Gi1/β1/γ2
13.79Consensus5ht1d_onOrthosteric Ligand7E32-5-HT1D-Serotonin-Gi1/β1/γ2
13.79Consensus5ht1d_on_gpOrthosteric Ligand7E32-5-HT1D-Serotonin-Gi1/β1/γ2
13.79Consensus5ht6_onOrthosteric Ligand7XTB-5-HT6-Serotonin-Gs/β1/γ2 8JLZ-5-HT6-ST1936-Gs/β1/γ2
13.79Consensus5ht6_on_gpOrthosteric Ligand7XTB-5-HT6-Serotonin-Gs/β1/γ2 8JLZ-5-HT6-ST1936-Gs/β1/γ2
13.79Consensus5ht7_onOrthosteric Ligand7XTC-5-HT7-5-CT-Gs/β1/γ2
13.79Consensus5ht7_on_gpOrthosteric Ligand7XTC-5-HT7-5-CT-Gs/β1/γ2
13.79Consensusalicarboxylic_offOrthosteric Ligandsuccinate_off
13.79Consensusalpha2_onOrthosteric Ligandalpha2b_on
13.79Consensusalpha2_on_gpOrthosteric Ligandalpha2b_on_gp
13.79Consensusalpha2b_onOrthosteric Ligand6K42-α2b-Dexmedetomidine-Gi1/β1/γ2
13.79Consensusalpha2b_on_gpOrthosteric Ligand6K42-α2b-Dexmedetomidine-Gi1/β1/γ2
13.79Consensusalpha_onOrthosteric Ligandalpha1_on alpha2_on
13.79Consensusblt1_onOrthosteric Ligand7VKT-BLT1-LTB4-Gi1/β1/γ2
13.79Consensusblt1_on_gpOrthosteric Ligand7VKT-BLT1-LTB4-Gi1/β1/γ2
13.79Consensusblt_onOrthosteric Ligandblt1_on
13.79Consensusblt_on_gpOrthosteric Ligandblt1_on_gp
13.79Consensuscck_offOrthosteric Ligandccka_off
13.79Consensusccka_offOrthosteric Ligand7F8Y-CCKA-Devazepide 7F8U-CCKA-Lintitript
13.79Consensuscxcr1_on_gpOrthosteric Ligand8IC0-CXCR1-CXCL8-Gi1/β1/γ2
13.79Consensusdop_offOrthosteric Ligand4EJ4-δ-Naltrindole
13.79Consensusgal1_onOrthosteric Ligand7WQ3-GAL1-Galanin-Gi1/β1/γ2
13.79Consensusgal1_on_gpOrthosteric Ligand7WQ3-GAL1-Galanin-Gi1/β1/γ2
13.79Consensusgi_galaninOrthosteric Ligand7WQ3-GAL1-Galanin-Gi1/β1/γ2
13.79Consensusgi_histamineOrthosteric Ligand8JXX-H4-Clobenpropit-Gi1/β1/γ2 8JXV-H4-Clozapine-Gi1/β1/γ2 8YUU-H3-Histamine-Gi1/β1/γ1 8HN8-H4-Histamine-Gi1/β1/γ2 8HOC-H4-Imetit-Gi1/β1/γ2 8JXW-H4-VUF6884-Gi1/β1/γ2
13.79Consensusgi_leukotrieneOrthosteric Ligand7VKT-BLT1-LTB4-Gi1/β1/γ2
13.79Consensusgi_orexinOrthosteric Ligand7SQO-OX2-TAK-925-Gi1/β1/γ2
13.79Consensusgq_amineOrthosteric Ligandgq_muscarinic gq_histamine
13.79Consensusleukotriene_onOrthosteric Ligandblt_on
13.79Consensusleukotriene_on_gpOrthosteric Ligandblt_on_gp
13.79Consensusmuscarinic_onOrthosteric Ligandm2_on m3_on m4_on m1_on
13.79Consensusmuscarinic_on_gpOrthosteric Ligandm2_on_gp m3_on_gp m4_on_gp m1_on_gp
13.79Consensussuccinate_offOrthosteric Ligand6RNK-Succinate-NF-56-EJ40 6Z10-Succinate-PubChem 154585554
13.51Single7AD3Alpha-factor mating pheromone7AD3-STE2; STE2-α-factor mating pheromone-Gi1/STE4/γ2
13.51Single7W57Neuromedin-S7W57-NMUR2-Neuromedin-S-chim(NtGi1-Gs-CtGq)/β1/γ2
13.51Single8IEDPubChem 1347468948IED-GPR156; GPR156-PubChem 134746894-Go/β1/γ2
13.33Single2Y00Dobutamine2Y00-β1-Dobutamine
13.33Single4ZJ8Suvorexant4ZJ8-OX1-Suvorexant
13.33Single5CGCHTL142425CGC-mGlu5-HTL14242
13.33Single5WQCEMPA5WQC-OX2-EMPA
13.33Single5XPRBosentan5XPR-ETB-Bosentan
13.33Single6LUQHaloperidol6LUQ-D2-Haloperidol
13.33Single6TO7Suvorexant6TO7-OX1-Suvorexant-Na
13.33Single6TP6Filorexant6TP6-OX1-Filorexant
13.33Single7E9GJNJ-404118137E9G-mGlu2; mGlu2-Eglumetad-JNJ-40411813-Gi1/β1/γ2
13.33Single7EUOfMLF7EUO-FPR1-ALX-fMLF-Gi1/β1/γ2
13.33Single7VFXfMIFL7VFX-FPR1-ALX-fMIFL-Gi1/β1/γ2
13.33Single7VOEAripiprazole7VOE-5-HT2A-Aripiprazole
13.33Single7VV0PAMP-127VV0-MRGPRX2-PAMP-12
13.33Single7W41PD1762527W41-BB2-PD176252
13.33Single7WC6LSD7WC6-5-HT2A-LSD
13.33Single7Y26Octreotide7Y26-SST2-Octreotide-chim(NtGi2L-Gs-CtGq)/β1/γ2
13.33Single8GD9Rivenprost8GD9-EP4-Rivenprost-Gs/β1/γ2
13.33Single8GDCPGE28GDC-EP3-PGE2-Gi1/β1/γ2
13.33Single8TH4AT118-L Nanobody8TH4-AT1-Losartan-AT118-L Nanobody
13.33Single8X0BVU04244658X0B-mGlu5; mGlu5-Quisqualate-VU0424465
13.33Single8ZVZBW245C8ZVZ-DP1-BW245C-Gs/β1/γ2
13.33Single9ARYSerotonin9ARY-5-HT2A-Serotonin-chim(NtGi1-Gs-CtGq)/β1/γ2
13.33Single9ARZ2-bromo-LSD9ARZ-5-HT2A-2-bromo-LSD
13.33Single9AXFCa; Ca; Ca; Cyclomethyltryptophan; R-568; PO49AXF-CaS; CaS-Ca-Ca; Ca; Ca; Cyclomethyltryptophan; R-568; PO4-chim(NtGi1-Gs-CtGq)/β1/γ2
13.33Single9U81Tolvaptan9U81-V2-Tolvaptan
13.33Consensus5ht1_onOrthosteric Ligand5ht1a_on 5ht1d_on 5ht1e_on 5ht1f_on
13.33Consensus5ht1_on_gpOrthosteric Ligand5ht1a_on_gp 5ht1d_on_gp 5ht1e_on_gp 5ht1f_on_gp
13.33Consensus5ht1e_on_gpOrthosteric Ligand7E33-5-HT1E-BRL-54443-Gi1/β1/γ2 8UGY-5-HT1E-Mianserin-Gi1/β1/γ1 8UH3-5-HT1E-Setiptiline-Gi1/β1/γ1
13.33Consensus5ht2_offOrthosteric Ligand5ht2a_off 5ht2b_off 5ht2c_off
13.33Consensusadgrg2_onOrthosteric Ligand7WUI-ADGRG2-IP15-chim(NtGi1-Gs)/β1/γ2 7WUQ-ADGRG2-Gs/β1/γ2 7XKF-ADGRG2-Dehydroepiandrosterone-Gs/β1/γ2
13.33Consensusadgrg2_on_gpOrthosteric Ligand7WUI-ADGRG2-IP15-chim(NtGi1-Gs)/β1/γ2 7WUQ-ADGRG2-Gs/β1/γ2 7XKF-ADGRG2-Dehydroepiandrosterone-Gs/β1/γ2
13.33Consensusalpha_on_gpOrthosteric Ligandalpha1_on_gp alpha2_on_gp
13.33Consensusbb2_offOrthosteric Ligand7W41-BB2-PD176252
13.33Consensusbombesin_offOrthosteric Ligandbb2_off
13.33Consensusfpr1-alx_onOrthosteric Ligand7VFX-FPR1-ALX-fMIFL-Gi1/β1/γ2
13.33Consensusfpr1-alx_on_gpOrthosteric Ligand7VFX-FPR1-ALX-fMIFL-Gi1/β1/γ2
13.33Consensusm2_offOrthosteric Ligand5ZKC-M2-N-methyl-Scopolamine 5ZK3-M2-3-quinuclidinyl-benzilate 5ZKB-M2-AF-DX 384
13.33Consensusm3_onOrthosteric Ligand8E9Z-M3-Iperoxo-chim(NtGi2L-Gs-CtGq)/β1/γ2 8E9W-M3-2-Deoxycytidine-chim(NtGi2L-Gs-CtGq)/β1/γ2 8E9Y-M3-Clozapine-N-oxide-chim(NtGi2L-Gs-CtGq)/β1/γ2
13.33Consensusm3_on_gpOrthosteric Ligand8E9Z-M3-Iperoxo-chim(NtGi2L-Gs-CtGq)/β1/γ2 8E9W-M3-2-Deoxycytidine-chim(NtGi2L-Gs-CtGq)/β1/γ2 8E9Y-M3-Clozapine-N-oxide-chim(NtGi2L-Gs-CtGq)/β1/γ2
13.16Single8IODPG-9018IOD-MC5-PG-901-Ca-chim(NtGi1-Gs)/β1/γ2
13.04Single8WCCCyclohexylammonium Ion8WCC-TA1-Cyclohexylammonium Ion
12.90Single3PDSFAUC503PDS-β2-FAUC50
12.90Single4U15Tiotropium4U15-M3-Tiotropium
12.90Single5ZHPPubChem 1348285895ZHP-M3-PubChem 134828589
12.90Single5ZKBAF-DX 3845ZKB-M2-AF-DX 384
12.90Single6J20Aprepitant6J20-NK1-Aprepitant
12.90Single6O3CCholesterol6O3C-SMO-SAG21k-Cholesterol
12.90Single6OL9Tiotropium6OL9-M5-Tiotropium
12.90Single6Z8NSRI-98296Z8N-NTS1-SRI-9829
12.90Single7E2ZAripiprazole7E2Z-5-HT1A-Aripiprazole-PtdIns4P-Gi1/β1/γ2
12.90Single7EW4CYM-55417EW4-S1P3-CYM-5541-Gi1/β1/γ2
12.90Single7SK7CXCL127SK7-ACKR3-CXCL12-CCX662
12.90Single7XY7NECA7XY7-A2B-NECA-chim(NtGi1-Gs)/β1/γ2
12.90Single8EFLSR170188EFL-μ-SR17018-Gi1/β1/γ2
12.90Single8IUKPGF2-alpha8IUK-FP-alpha-PGF2-α-chim(NtGi1-Gs-CtGq)/β1/γ2
12.90Single8JT6(R)-IHCH-71798JT6-5-HT1A-(R)-IHCH-7179-PtdIns4P-Gi1/β1/γ2
12.90Single8JXXClobenpropit8JXX-H4-Clobenpropit-Gi1/β1/γ2
12.90Single8X79MRE-2698X79-I2-MRE-269-Gs/β1/γ2
12.90Single8XX7CXCL58XX7-CXCR2-CXCL5-Go/β1/γ2
12.90Single9AS9RS130-1809AS9-5-HT2A-RS130-180
12.90Single9ASARS130-1809ASA-5-HT2A-RS130-180-chim(NtGi1-Gs-CtGq)/β1/γ2
12.90Single9E9SPGD29E9S-DP1-PGD2-Gs/β1/γ1
12.90Single9IJDCarazolol9IJD-β3-Carazolol-chim(NtGi1-Gs)/β1/γ2
12.90Single9JCLADP9JCL-P2Y1-ADP-chim(Gs-CtGq)/β1/γ2
12.90Single9MENGp120 (V3 loop)9MEN-CXCR4-Gp120 (V3 loop)
12.90Single9PY3Loperamide9PY3-μ-Loperamide-GDPβS-Gi1/β1/γ2
12.90Single9PY4Loperamide9PY4-μ-Loperamide-GDPβS-Gi1/β1/γ2
12.90Single9UCPIperoxo9UCP-M1-Iperoxo-G11(CT)
12.90Consensuscyslt1_offOrthosteric Ligand6RZ5-CysLT1-Zafirlukast-Na 6RZ4-CysLT1-Pranlukast-Na
12.90Consensusffa2_onOrthosteric Ligand8J22-FFA2-TUG-1375-Gi1/β1/γ2
12.90Consensush4_on_gpOrthosteric Ligand8HN8-H4-Histamine-Gi1/β1/γ2 8HOC-H4-Imetit-Gi1/β1/γ2 8JXV-H4-Clozapine-Gi1/β1/γ2 8JXW-H4-VUF6884-Gi1/β1/γ2 8JXX-H4-Clobenpropit-Gi1/β1/γ2
12.90Consensusm3_offOrthosteric Ligand4U15-M3-Tiotropium 4U16-M3-N-methyl-Scopolamine 5ZHP-M3-PubChem 134828589
12.90Consensusm5_offOrthosteric Ligand6OL9-M5-Tiotropium
12.90Consensusmuscarinic_offOrthosteric Ligandm2_off m3_off m4_off m5_off m1_off
12.50Single3VW7Vorapaxar; Na3VW7-PAR1-Vorapaxar; Na
12.50Single5CXVTiotropium5CXV-M1-Tiotropium
12.50Single5MZJTheophylline5MZJ-A2A-Theophylline-Na
12.50Single5X33BIIL2605X33-BLT1-BIIL260
12.50Single6AK3PGE26AK3-EP3-PGE2
12.50Single7F55Bremelanotide7F55-MC4-Bremelanotide-Gs/β1/γ2
12.50Single7V68LY21196207V68-M4-Iperoxo-LY2119620-Gi1/β1/γ2
12.50Single7XMTJ-21567XMT-SST4-J-2156-Gi1/β1/γ2
12.50Single7XW5ML1097XW5-TSH-TSH-ML109-Gs/β1/γ2
12.50Single7XW6ML1097XW6-TSH-M22 Fab-ML109-Gs/β1/γ2
12.50Single8DWCBAM8-228DWC-MRGPRX1-BAM8-22-chim(NtGi2L-Gs-CtGq)/β1/γ2
12.50Single8E9W2-Deoxycytidine8E9W-M3-2-Deoxycytidine-chim(NtGi2L-Gs-CtGq)/β1/γ2
12.50Single8HQMNPGLY8HQM-GPR132-NPGLY-Gi1/β1/γ2
12.50Single8HVINOX-6-78HVI-GPR132-NOX-6-7-Gi1/β1/γ2
12.50Single8IQ6Latanoprost8IQ6-FP-alpha-Latanoprost-chim(NtGi1-Gs-CtGq)/β1/γ2
12.50Single8JD3JNJ-404118138JD3-mGlu2; mGlu3-Glutamate-JNJ-40411813-Gi1/β1/γ2
12.50Single8PWNTheophylline8PWN-A2A-Theophylline
12.50Single8X9S5alpha-DHT8X9S-ADGRD1-5α-DHT-chim(NtGi1-Gs)/β1/γ2
12.50Single8XQJJN2418XQJ-Apelin; Apelin-JN241
12.50Single8XWACXCL18XWA-CXCR2-CXCL1
12.50Single8XX3CXCL38XX3-CXCR2-CXCL3-Go/β1/γ2
12.50Single9AU0BW245C9AU0-DP1-BW245C-Gs/β1/γ2
12.50Single9BJKPubChem 1716420669BJK-μ-Naloxone-PubChem 171642066
12.50Single9IV25alpha-DHT9IV2-ADGRD1-5α-DHT-chim(NtGi1-Gs)/β1/γ2
12.50Single9W32SSTR5 antagonist 19W32-SST5-SSTR5 antagonist 1
12.50Single9WXMGPR15L(CT)9WXM-GPR15-GPR15L(CT)-Gi3/β1/γ2
12.50Consensusffa2_on_gpOrthosteric Ligand8J22-FFA2-TUG-1375-Gi1/β1/γ2
12.50Consensusgi_amineOrthosteric Ligandgi_5ht gi_muscarinic gi_adrenergic gi_dopamine gi_histamine
12.50Consensusm1_offOrthosteric Ligand5CXV-M1-Tiotropium
12.50Consensusnk1_offOrthosteric Ligand6HLP-NK1-Netupitant 6HLO-NK1-Aprepitant 6HLL-NK1-CP99994 6E59-NK1-L-760735
12.12Single4RWSvMIP-II4RWS-CXCR4-vMIP-II
12.12Single7PIUSetmelanotide7PIU-MC4-Setmelanotide-Gs/β1/γ2
12.12Single7QVMOxytocin7QVM-OT-Oxytocin-chim(NtGi1-Go-CtGq)/β1/γ2
12.12Single8E9YClozapine-N-oxide8E9Y-M3-Clozapine-N-oxide-chim(NtGi2L-Gs-CtGq)/β1/γ2
12.12Single8T3OTUG-8918T3O-FFA4-TUG-891-chim(NtGi2L-Gs-CtGq)/β1/γ2
12.12Single8XWVCXCL18XWV-CXCR2-CXCL1-Go/β1/γ2
12.12Single8ZPLHF511168ZPL-CXCR4-HF51116
12.12Single9GG5U466199GG5-TXA2-U46619-chim(NtGi2L-Gs-CtGq)/β1/γ2
12.12Single9VI9RFRP-39VI9-NPFF1-RFRP-3-Gi1/β1/γ2
12.12Single9YDRDADLE9YDR-δ-DADLE-MIPS3983-chim(NtGi1L-Gs-CtGi1)/β1/γ2
12.00Single3OE8IT1t3OE8-CXCR4-IT1t
12.00Single3RFMCaffeine3RFM-A2A-Caffeine
12.00Single6TQ9SB-4081246TQ9-OX1-SB-408124
12.00Single6XBM25(S)-Epoxycholesterol6XBM-SMO-25(S)-Epoxycholesterol-Gi1/β1/γ2
12.00Single8IWM2-Phenylethylamine8IWM-TAA9-2-Phenylethylamine
12.00Single8WC5Tetramethylammonium Ion8WC5-TA1-Tetramethylammonium Ion-chim(NtGi1-Gs)/β1/γ2
12.00Single9L0HJR14a9L0H-C3aB-JR14a-Go/β1/γ2
12.00Consensusgs_histamineOrthosteric Ligand8POK-H2-Histamine-Gs/β1/γ2
12.00Consensush2_onOrthosteric Ligand8POK-H2-Histamine-Gs/β1/γ2
12.00Consensusp2y_offOrthosteric Ligandp2y1_off
11.76Single6KNMJN241-96KNM-Apelin-JN241-9
11.76Single6XBJCholesterol6XBJ-SMO-Cholesterol-Gi1/β1/γ2
11.76Single7CX2PGE27CX2-EP2-PGE2-Gs/β1/γ2
11.76Single7RMGSubstance-P7RMG-NK1-Substance-P-chim(Gs-CtGq)/β1/γ2
11.76Single8J22TUG-13758J22-FFA2-TUG-1375-Gi1/β1/γ2
11.76Single8SAILysophosphatidylserine (S12)8SAI-GPR34-Lysophosphatidylserine (S12)-Gi1/β1/γ2
11.76Single8Z74JN241-98Z74-Apelin; Apelin-JN241-9
11.76Single9JF4PD1683689JF4-BB1-PD168368
11.76Single9JH6C20:0 Ceramide9JH6-CysLT2-C20:0 Ceramide-chim(NtGi1-Gs-CtGq)/β1/γ2
11.76Consensuskiss1_onOrthosteric Ligand8ZJD-Kiss1-Kisspeptin-1-chim(NtGi1-Gq)/β1/γ1
11.76Consensuskisspeptin_onOrthosteric Ligandkiss1_on
11.54Single2J4Y11-cis-Retinal2J4Y-Rhodopsin-11-cis-Retinal
11.54Single5WKTOctyl-Beta-D-Glucopyranoside5WKT-Rhodopsin-Octyl-β-D-Glucopyranoside-Gt(CT)
11.54Single6FUFAll-trans-Retinal6FUF-Rhodopsin-All-trans-Retinal-Go
11.54Single6ME5Agomelatine6ME5-MT1-Agomelatine
11.54Single6OIKLY21196206OIK-M2-Iperoxo-LY2119620-chim(NtGi1-Go)/β1/γ2
11.54Single7D77Hydrocortisone7D77-ADGRG3-Hydrocortisone-Go/β1/γ2
11.54Single7DD7Ca; Ca; Tryptophan; Evocalcet7DD7-CaS; CaS-Ca-Ca; Ca; Tryptophan; Evocalcet
11.54Single8DPILorcaserin8DPI-5-HT2C-Lorcaserin-chim(NtGi2L-Gs-CtGq)/β1/γ2
11.54Single8F76Propanoic acid8F76-OR51E2-Propanoic acid-Gs/β1/γ2
11.54Single8ITFDMCHA8ITF-TAA9-DMCHA-chim(NtGi1-Gs)/β1/γ2
11.54Single8IW72-Phenylethylamine8IW7-TAA9-2-Phenylethylamine-chim(NtGi1-Gs)/β1/γ2
11.54Single8JXTHistamine8JXT-H4-Histamine-PO4-Gi1/β1/γ2
11.54Single8POKHistamine8POK-H2-Histamine-Gs/β1/γ2
11.54Single8X9UMetenolone8X9U-ADGRD1-Metenolone-chim(NtGi1-Gs)/β1/γ2
11.54Single8Y63C20:0 Ceramide8Y63-FPR2-ALX-C20:0 Ceramide-Gi1/β1/γ2
11.54Single9JG1Adriforant9JG1-H4-Adriforant
11.54Single9JHJC18:0 Ceramide9JHJ-FPR2-ALX-C18:0 Ceramide-Gi1/β1/γ2
11.54Single9JKT(2R)-2-hydroxy-3-phenylpropanoic acid9JKT-HCA3-(2R)-2-hydroxy-3-phenylpropanoic acid-Gi1/β1/γ2
11.54Consensush2_on_gpOrthosteric Ligand8POK-H2-Histamine-Gs/β1/γ2
11.43Single7CX3Taprenepag7CX3-EP2-Taprenepag-Gs/β1/γ2
11.43Single7VLACCL15(27-92)7VLA-CCR1-CCL15(27-92)-Gi1/β1/γ2
11.43Single7W56Neuromedin-S7W56-NMUR1-Neuromedin-S-chim(NtGi1-Gs-CtGq)/β1/γ2
11.43Single8DWGBAM8-228DWG-MRGPRX1-BAM8-22-ML382-chim(NtGi2L-Gs-CtGq)/β1/γ2
11.43Single8IEBPubChem 1347468948IEB-GPR156; GPR156-PubChem 134746894
11.43Single8IEIPubChem 1347468948IEI-GPR156; GPR156-PubChem 134746894
11.43Single8IEPPubChem 1347468948IEP-GPR156; GPR156-PubChem 134746894
11.43Single8INRAlpha-MSH8INR-MC5-α-MSH-Ca-chim(NtGi1-Gs)/β1/γ2
11.43Single8XBHPubChem 1626566368XBH-GPR34-PubChem 162656636-Gi1/β1/γ2
11.43Single8ZJDKisspeptin-18ZJD-Kiss1-Kisspeptin-1-chim(NtGi1-Gq)/β1/γ1
11.43Single9J0IUDP-Glucuronic acid9J0I-P2Y14-UDP-Glucuronic acid-Gi1/β1/γ2
11.43Consensusccr1_onOrthosteric Ligand7VLA-CCR1-CCL15(27-92)-Gi1/β1/γ2
11.43Consensusccr1_on_gpOrthosteric Ligand7VLA-CCR1-CCL15(27-92)-Gi1/β1/γ2
11.43Consensusgq_kisspeptinOrthosteric Ligand8ZJD-Kiss1-Kisspeptin-1-chim(NtGi1-Gq)/β1/γ1
11.43Consensuskiss1_on_gpOrthosteric Ligand8ZJD-Kiss1-Kisspeptin-1-chim(NtGi1-Gq)/β1/γ1
11.43Consensuskisspeptin_on_gpOrthosteric Ligandkiss1_on_gp
11.11Single3PBLEticlopride3PBL-D3-Eticlopride
11.11Single5L7IVismodegib5L7I-SMO-Vismodegib
11.11Single6HLLCP999946HLL-NK1-CP99994
11.11Single7D76Beclomethasone7D76-ADGRG3-Beclomethasone-Go/β1/γ2
11.11Single7DD7Ca; Ca; Tryptophan; Evocalcet7DD7-CaS; CaS-Ca-Ca; Ca; Tryptophan; Evocalcet
11.11Single7DFLHistamine7DFL-H1-Histamine-chim(NtGi1L-Gq)/β1/γ2
11.11Single7UL2SR486927UL2-NTS1-SR48692-Na
11.11Single7VUIJNJ-635330547VUI-GPR139-JNJ-63533054-GTP-chim(Gs-CtGq)/β1/γ2
11.11Single7XP6Strychnine7XP6-TAS2R46-Strychnine-chim(Gs-CtGt3)/β1/γ2
11.11Single7XTBSerotonin7XTB-5-HT6-Serotonin-Gs/β1/γ2
11.11Single8IOCGamma-MSH8IOC-MC3-γ-MSH-Ca-chim(NtGi1-Gs)/β1/γ2
11.11Single8YN2Histamine8YN2-H1-Histamine-chim(NtGi1L-Gs-CtGq)/β1/γ2
11.11Single8YN4Histamine8YN4-H2-Histamine-chim(NtGi1L-Gs-CtGq)/β1/γ2
11.11Single8ZYUNeurotensin-(8-13)8ZYU-NTS1-Neurotensin-(8-13)-SBI-553-Arrestin2
11.11Single9AS7Psilocin9AS7-5-HT2A-Psilocin
11.11Single9E7RGB889E7R-PAR2-GB88-chim(NtGi1L-Gs-CtGq)/β1/γ2
11.11Single9IXJHistamine9IXJ-H2-Histamine-Gs/β1/γ2
11.11Single9IZDCHBA9IZD-HCA1-CHBA-Gi1/β1/γ2
11.11Single9J0FNADH9J0F-P2Y14-NADH-Gi1/β1/γ2
11.11Single9JLCAVE 09919JLC-MAS1-AVE 0991-Gi1/β1/γ2
11.11Single9M88Oleic monoethanolamide9M88-GPR3 ; GPR3-Oleic monoethanolamide-AF64394
11.11Consensusadgrg_onOrthosteric Ligandadgrg2_on adgrg4_on
11.11Consensusadgrg_on_gpOrthosteric Ligandadgrg2_on_gp adgrg4_on_gp
11.11Consensusd3_offOrthosteric Ligand3PBL-D3-Eticlopride
11.11Consensush1_onOrthosteric Ligand7DFL-H1-Histamine-chim(NtGi1L-Gq)/β1/γ2
11.11Consensusmc5_onOrthosteric Ligand8INR-MC5-α-MSH-Ca-chim(NtGi1-Gs)/β1/γ2 8IOD-MC5-PG-901-Ca-chim(NtGi1-Gs)/β1/γ2
11.11Consensusneurotensin_offOrthosteric Ligandnts1_off
11.11Consensusnts1_offOrthosteric Ligand7UL2-NTS1-SR48692-Na
10.71Single4S0VSuvorexant4S0V-OX2-Suvorexant
10.71Single5OLVLUAA470705OLV-A2A-LUAA47070-Na
10.71Single5WS3EMPA5WS3-OX2-EMPA
10.71Single6DS0LY2660976DS0-5-HT2B-LY266097
10.71Single6ME9Ramelteon6ME9-MT2-Ramelteon
10.71Single6NWEOctyl-Beta-D-Glucopyranoside6NWE-Rhodopsin-Octyl-β-D-Glucopyranoside-Gt(CT)
10.71Single6TODEMPA6TOD-OX1-EMPA-Na
10.71Single6TPJSuvorexant6TPJ-OX2-Suvorexant
10.71Single6ZA8RTI-3a6ZA8-NTS1-RTI-3a
10.71Single7M3FCa; Ca; Tryptophan; Cinacalcet7M3F-CaS; CaS-Ca; Ca; Tryptophan; Cinacalcet
10.71Single7SRSLSD7SRS-5-HT2B-LSD-Arrestin2
10.71Single7T6STC-FPR 437T6S-FPR2-ALX-TC-FPR 43-Gi1/β1/γ2
10.71Single7VV5C48/807VV5-MRGPRX2-C48/80-Gi1/β1/γ2
10.71Single7X2FDopamine7X2F-D1-Dopamine-Mevidalen-Gs/β1/γ2
10.71Single7XRRLemborexant7XRR-OX2-Lemborexant
10.71Single8TZQDopamine8TZQ-D2-Dopamine-Go/β1/γ2
10.71Single8U4SREGN7663-Fab8U4S-CXCR4-REGN7663-Fab
10.71Single8U4TREGN7663-Fab8U4T-CXCR4-REGN7663-Fab
10.71Single8XXXCXCL68XXX-CXCR2-CXCL6-Go/β1/γ2
10.71Single8YNFCXCL88YNF-ACKR1-CXCL8
10.71Single8YUTAmthamine8YUT-H2-Amthamine-Gs/β1/γ2
10.71Single9H2XPubChem 1756706449H2X-A2A-PubChem 175670644-Na
10.71Single9KVHCinobufotenine9KVH-5-HT1A-Cinobufotenine-PtdIns4P-Gi1/β1/γ2
10.71Single9LLBDOI-NBOMe9LLB-5-HT2A-DOI-NBOMe-chim(NtGi1L-Gs-CtGq)/β1/γ2
10.71Single9LRBHistamine9LRB-H1-Histamine-Gs/β1/γ2
10.71Single9PEEPF-07054894; OXM29PEE-CCR6-PF-07054894; OXM2
10.71Consensusox1_offOrthosteric Ligand6TP6-OX1-Filorexant 6TP4-OX1-ACT-462206 6V9S-OX1-GTPL11403 6TOT-OX1-Lemborexant 6TP3-OX1-Nemorexant 6TQ6-OX1-PubChem 145714283 6TQ9-OX1-SB-408124 4ZJC-OX1-SB-674042 4ZJ8-OX1-Suvorexant 6TOD-OX1-EMPA-Na 6TOS-OX1-GSK1059865-Na 6TQ4-OX1-PubChem 16046844-Na
10.71Consensusp2y1_onOrthosteric Ligand7XXH-P2Y1-2MeSADP-chim(NtGi1-G11)/β1/γ2
10.71Consensussensory_offonOrthosteric Ligandsensory_off sensory_on
10.71Consensussensory_offon_gpOrthosteric Ligandsensory_on_gp sensory_on
10.53Single6WIVPubChem 52923113; PubChem 529246456WIV-GABAB1, GABAB2-PubChem 52923113; PubChem 52924645
10.53Single8IEDPubChem 1347468948IED-GPR156; GPR156-PubChem 134746894-Go/β1/γ2
10.53Consensusmc5_on_gpOrthosteric Ligand8INR-MC5-α-MSH-Ca-chim(NtGi1-Gs)/β1/γ2 8IOD-MC5-PG-901-Ca-chim(NtGi1-Gs)/β1/γ2
10.34Single1F8811-cis-Retinal1F88-Rhodopsin-11-cis-Retinal
10.34Single3REYPubChem 56973REY-A2A-PubChem 5697
10.34Single3RZECidoxepin3RZE-H1-Cidoxepin
10.34Single4N6HNaltrindole4N6H-δ-Naltrindole-Na
10.34Single5TE3Octyl-Beta-D-Glucopyranoside5TE3-Rhodopsin-Octyl-β-D-Glucopyranoside
10.34Single6FK8PubChem 1324730356FK8-Rhodopsin-PubChem 132473035
10.34Single6IQLL7458706IQL-D4-L745870
10.34Single6TOSGSK10598656TOS-OX1-GSK1059865-Na
10.34Single6TP3Nemorexant6TP3-OX1-Nemorexant
10.34Single6TPNHTL66416TPN-OX2-HTL6641
10.34Single7CMVPD1289077CMV-D3-PD128907-Gi1/β1/γ2
10.34Single7E33BRL-544437E33-5-HT1E-BRL-54443-Gi1/β1/γ2
10.34Single7EJ8Brimonidine7EJ8-α2a-Brimonidine-Go/β1/γ2
10.34Single7F24Dopamine7F24-D1-Dopamine-GDP-Gs/β1/γ2
10.34Single7M3GCa; Ca; Tryptophan; Evocalcet; Etelcalcetide; PO47M3G-CaS; CaS-Ca; Ca; Tryptophan; Evocalcet; Etelcalcetide; PO4
10.34Single7UTZDPPC7UTZ-TSH-TSH-DPPC-Gs/β1/γ2
10.34Single7VV6C48/807VV6-MRGPRX2-C48/80
10.34Single7WVUfMLF7WVU-FPR1-ALX-fMLF-Gi1/β1/γ2
10.34Single8DPGPsilocin8DPG-5-HT2C-Psilocin-chim(NtGi2L-Gs-CtGq)/β1/γ2
10.34Single8HQN9-S-HODE8HQN-GPR132-9-S-HODE-Gi1/β1/γ2
10.34Single8K4SDCA-3P8K4S-MRGPRX4-DCA-3P-chim(NtGi1L-Gs-CtGq)/β1/γ2
10.34Single8U02Dopamine8U02-D2-Dopamine-Go/β1/γ2
10.34Single8WPGTryptophan; Cinacalcet; PO4; Ca8WPG-CaS; CaS-Tryptophan; Cinacalcet; PO4; Ca
10.34Single8X7ATreprostinil8X7A-I2-Treprostinil-Gs/β1/γ2
10.34Single8YN3Histamine8YN3-H2-Histamine-Gs/β1/γ2
10.34Single8ZBWQuin-C18ZBW-FPR2-ALX-Quin-C1-Gi2/β1/γ2
10.34Single8ZMGPimavanserin8ZMG-5-HT2A-Pimavanserin
10.34Single9ARXSerotonin9ARX-5-HT2A-Serotonin
10.34Single9ASBCa; Ca; Cyclomethyltryptophan; R-568; PO49ASB-CaS; CaS-Ca-Ca; Ca; Cyclomethyltryptophan; R-568; PO4-chim(NtGi1-Gs-CtGq)/β1/γ2
10.34Single9DQJEP-39459DQJ-MRGPRD-EP-3945-chim(NtGi1-Gs-CtGq)/β1/γ2
10.34Single9KVIBufotenin9KVI-5-HT1A-Bufotenin-PtdIns4P-Gi1/β1/γ2
10.34Single9LRDHistamine9LRD-H1-Histamine-Gi1/β1/γ2
10.34Single9W33S5A19W33-SST5-S5A1
10.34Consensusopsins_offOrthosteric Ligandrhodopsin_off
10.34Consensussensory_offOrthosteric Ligandopsins_off
10.00Single4QIMANTA XV4QIM-SMO-ANTA XV
10.00Single5DSGTiotropium5DSG-M4-Tiotropium
10.00Single6FK7PubChem 1324730346FK7-Rhodopsin-PubChem 132473034
10.00Single6FKCPubChem 1324730396FKC-Rhodopsin-PubChem 132473039
10.00Single6FKDPubChem 1373491836FKD-Rhodopsin-PubChem 137349183
10.00Single6IIVDaltroban6IIV-TXA2-Daltroban
10.00Single6ORVTT-OAD26ORV-GLP-1-TT-OAD2-Gs/β1/γ2
10.00Single6WHADB139486WHA-5-HT2A-DB13948-chim(NtGi2L-Gs-CtGq)/β1/γ2
10.00Single7F83PF-051904577F83-Ghrelin-PF-05190457
10.00Single7VH0Ramelteon7VH0-MT2-Ramelteon-Gi1/β1/γ1
10.00Single9AVGCa; Ca; Cyclomethyltryptophan; R-568; PO49AVG-CaS; CaS-Ca-Ca; Ca; Cyclomethyltryptophan; R-568; PO4-chim(NtGi1-Gs)/β1/γ2
10.00Single9EPP11,20-Ethanoretinal9EPP-Rhodopsin-11,20-Ethanoretinal-chim(Gi1-CtGq)/β1/γ2
10.00Single9IYAONO-97105319IYA-GPR55-ONO-9710531
10.00Single9JQZGrapiprant 9JQZ-EP4-Grapiprant
10.00Single9KFTfMLFC9KFT-FPR1-ALX-fMLFC-Gi1/β1/γ2
10.00Single9LLAAriadne9LLA-5-HT2A-Ariadne-chim(NtGi1L-Gs-CtGq)/β1/γ2
10.00Single9UAZAtropine9UAZ-M1-Atropine
10.00Consensusm4_offOrthosteric Ligand5DSG-M4-Tiotropium
9.68Single4PHUFasiglifam4PHU-FFA1-Fasiglifam
9.68Single4WW3All-trans-Retinal4WW3-Rhodopsin-All-trans-Retinal
9.68Single5ZBQUR-MK-2995ZBQ-Y1-UR-MK-299
9.68Single6M9TMisoprostol-FA6M9T-EP3-Misoprostol-FA
9.68Single6OIKIperoxo6OIK-M2-Iperoxo-LY2119620-chim(NtGi1-Go)/β1/γ2
9.68Single6RZ4Pranlukast6RZ4-CysLT1-Pranlukast-Na
9.68Single6XBKCholesterol6XBK-SMO-Cholesterol-Gi1/β1/γ2
9.68Single6Z4QSR142948A6Z4Q-NTS1-SR142948A
9.68Single7SINNPS-21437SIN-CaS; CaS-NPS-2143
9.68Single7SINNPS-21437SIN-CaS; CaS-NPS-2143
9.68Single8SZGCa; Ca; Tryptophan; Cinacalcet; PO4; Spermine8SZG-CaS; CaS-Ca; Ca; Tryptophan; Cinacalcet; PO4; Spermine-chim(NtGi1-Gq)/β1/γ2
9.68Single8X0CVU04244658X0C-mGlu5; mGlu5-Quisqualate-VU0424465
9.68Single8X0CVU04244658X0C-mGlu5; mGlu5-Quisqualate-VU0424465
9.68Single8X0DVU04244658X0D-mGlu5; mGlu5-Quisqualate-VU0424465
9.68Single8X0DVU04244658X0D-mGlu5; mGlu5-Quisqualate-VU0424465
9.68Single9AVLCa; Ca; Cyclomethyltryptophan; R-568; PO49AVL-CaS; CaS-Ca-Ca; Ca; Cyclomethyltryptophan; R-568; PO4-Gi3/β2/γ2
9.68Single9AYFCa; Ca; Ca; Cyclomethyltryptophan; R-568; PO49AYF-CaS; CaS-Ca-Ca; Ca; Ca; Cyclomethyltryptophan; R-568; PO4-Gi1/β1/γ2
9.68Single9DQHEP-28259DQH-MRGPRD-EP-2825-chim(NtGi1-Gs-CtGq)/β1/γ2
9.68Single9EAHNanobody AT2099EAH-AT1-Olmesartan-Nanobody AT209
9.68Single9EE5ONO-25502899EE5-DP1-ONO-2550289
9.68Single9GE2ML1849GE2-GPR55-ML184-chim(NtGi1-G13)/β1/γ2
9.68Single9HAPTolvaptan9HAP-V2-Tolvaptan
9.68Single9HC04YI9HC0-mGlu5-4YI
9.68Consensuscyslt_offOrthosteric Ligandcyslt2_off cyslt1_off
9.38Single4OO9Mavoglurant4OO9-mGlu5-Mavoglurant
9.38Single5TZRMK86665TZR-FFA1-MK8666
9.38Single6E59L-7607356E59-NK1-L-760735
9.38Single6RZ5Zafirlukast6RZ5-CysLT1-Zafirlukast-Na
9.38Single7P2L4YI7P2L-mGlu5-4YI
9.38Single7R0CAVP7R0C-V2-AVP-Arrestin2
9.38Single7XAVLanreotide7XAV-SST2-Lanreotide-Gi1/β1/γ2
9.38Single8GDBPGE28GDB-EP4-PGE2-Gs/β1/γ2
9.38Single8JBGNeurokinin-B8JBG-NK3-Neurokinin-B-chim(NtGi1-Gs-CtGq)/β1/γ2
9.38Single8JD5JNJ-40411813; ADX881788JD5-mGlu2; mGlu4-Glutamate-JNJ-40411813; ADX88178-Gi1/β1/γ2
9.38Single8JD5JNJ-40411813; ADX881788JD5-mGlu2; mGlu4-Glutamate-JNJ-40411813; ADX88178-Gi1/β1/γ2
9.38Single8JGFBAM8-228JGF-MRGPRX1-BAM8-22-chim(NtGi1-Gs-CtGq)/β1/γ2
9.38Single8X0BVU04244658X0B-mGlu5; mGlu5-Quisqualate-VU0424465
9.38Single8X0FVU298X0F-mGlu5; mGlu5-Quisqualate-VU29
9.38Single8XBIPubChem 1626566368XBI-GPR34-PubChem 162656636
9.38Single8XQTCholesterol8XQT-TAS2R14-Cholesterol-Gi1/β1/γ1
9.38Single8XVLZibotentan8XVL-ETA-Zibotentan
9.38Single8ZW0PGD28ZW0-DP1-PGD2-Gs/β1/γ2
9.38Single9AYFCa; Ca; Ca; Cyclomethyltryptophan; R-568; PO49AYF-CaS; CaS-Ca-Ca; Ca; Ca; Cyclomethyltryptophan; R-568; PO4-Gi1/β1/γ2
9.38Single9ITELPA9ITE-LPA6-LPA-chim(NtGi2-G13)/β1/γ2
9.38Consensusffa_onOrthosteric Ligandffa2_on ffa3_on
9.38Consensusffa_on_gpOrthosteric Ligandffa2_on_gp ffa3_on_gp
9.38Consensusgi_ffaOrthosteric Ligand8J21-FFA3-Butyric acid-Gi1/β1/γ2 8J22-FFA2-TUG-1375-Gi1/β1/γ2
9.38Consensustachykinin_offOrthosteric Ligandnk1_off
9.09Single4OR2FITM4OR2-mGlu1; mGlu1-FITM
9.09Single4PXFOctyl-Beta-D-Glucopyranoside4PXF-Rhodopsin-Octyl-β-D-Glucopyranoside-Arrestin1 Finger Loop
9.09Single4PXZ2MeSADP4PXZ-P2Y12-2MeSADP
9.09Single4PY02MeSATP4PY0-P2Y12-2MeSATP
9.09Single5TZYMK8666; AP85TZY-FFA1-MK8666; AP8
9.09Single6XBLCholesterol6XBL-SMO-SAG-Cholesterol-Gi1/β1/γ2
9.09Single8WRBLysophosphatidylserine (UBL)8WRB-GPR34-Lysophosphatidylserine (UBL)-Gi1/β1/γ2
9.09Single8Y6WTUG-13758Y6W-FFA2-TUG-1375-4-CMTB-Gi1/β1/γ2
9.09Single9YDUUDP-Glucose9YDU-P2Y14-UDP-Glucose-Gi1/β1/γ2
8.82Single4OR2FITM4OR2-mGlu1; mGlu1-FITM
8.82Single7CX4Evatanepag7CX4-EP2-Evatanepag-Gs/β1/γ2
8.82Single8XBES3E-Lysophosphatidylserine 8XBE-GPR34-S3E-Lysophosphatidylserine-Gi1/β1/γ1
8.82Single9J0BUDP-Glucose9J0B-P2Y14-UDP-Glucose-Gi1/β1/γ2
8.57Single6RZ6ONO-25703666RZ6-CysLT2-ONO-2570366
8.57Single9ITBLPA9ITB-LPA6-LPA-chim(NtGi1-Gs-CtGq)/β1/γ2
8.33Single5MZPCaffeine5MZP-A2A-Caffeine-Na
8.33Single8IEIPubChem 1347468948IEI-GPR156; GPR156-PubChem 134746894
8.33Single8IEPPubChem 1347468948IEP-GPR156; GPR156-PubChem 134746894
8.33Single8WCBCyclohexylammonium Ion8WCB-TA1-Cyclohexylammonium Ion-chim(NtGi1-Gs-CtGq)/β1/γ2
8.11Single8IEBPubChem 1347468948IEB-GPR156; GPR156-PubChem 134746894
8.00Single7WC4Serotonin7WC4-5-HT2A-Serotonin
8.00Single9JIDNiacin9JID-HCA3-Niacin-Gi1/β1/γ2
8.00Single9JKVPubChem 27366909JKV-HCA3-PubChem 2736690-Gi1/β1/γ2
7.69Single2HPYAll-trans-Retinal2HPY-Rhodopsin-All-trans-Retinal
7.69Single6OT025(S)-Epoxycholesterol6OT0-SMO-25(S)-Epoxycholesterol-Gi1/β1/γ2
7.69Single7DD5Ca; Ca; Tryptophan; NPS-21437DD5-CaS; CaS-Ca-Ca; Ca; Tryptophan; NPS-2143
7.69Single7MTBAll-trans-Retinal7MTB-Rhodopsin-All-trans-Retinal-GRK1
7.69Single8U4QREGN7663-Fab8U4Q-CXCR4-REGN7663-Fab-Gi1/β1/γ2
7.69Single8XOFLys058XOF-GPR30-Lys05-chim(NtGi1-Gs-CtGq)/β1/γ2
7.69Single9C2FCa; Ca; Tryptophan; '54149; PO49C2F-CaS; CaS-Ca-Ca; Ca; Tryptophan; '54149; PO4
7.69Single9M42A1L8O9M42-GPR139-A1L8O-chim(Gs-CtGq)/β1/γ2
7.69Consensusopsins_onOrthosteric Ligandrhodopsin_on opsin1lw_on
7.69Consensussensory_onOrthosteric Ligandopsins_on
7.41Single3C9M11-cis-Retinal3C9M-Rhodopsin-11-cis-Retinal
7.41Single3UZAGTPL92363UZA-A2A-GTPL9236
7.41Single6D32Cyclopamine6D32-SMO-Cyclopamine-Cyclopamine
7.41Single7MT8All-trans-Retinal7MT8-Rhodopsin-All-trans-Retinal-GRK1
7.41Single7MT9All-trans-Retinal7MT9-Rhodopsin-All-trans-Retinal-GRK1
7.41Single7MTAAll-trans-Retinal7MTA-Rhodopsin-All-trans-Retinal-GRK1
7.41Single7V6APubChem 98642757V6A-M4-PubChem 9864275-Gi1/β1/γ2
7.41Single7WC5Psilocin7WC5-5-HT2A-Psilocin
7.41Single8EITDoconexent8EIT-FFA1-Doconexent-chim(NtGi1L-Gs-CtGq)/β1/γ2
7.41Single8IU2All-trans-Retinal8IU2-Opsin1LW-All-trans-Retinal-Gi1/β1/γ2
7.41Single8J21Butyric acid8J21-FFA3-Butyric acid-Gi1/β1/γ2
7.41Single8J24Acetic acid8J24-FFA2-Acetic acid-Gi1/β1/γ2
7.41Single8J6QPubChem 251012238J6Q-HCA2-β-Hydroxybutyrate-PubChem 25101223-Gi1/β1/γ2
7.41Single8JPSCCL78JPS-ACKR1-CCL7
7.41Single9LL7DOI9LL7-5-HT2A-DOI-Gi1/β1/γ2
7.41Consensusffa3_onOrthosteric Ligand8J21-FFA3-Butyric acid-Gi1/β1/γ2
7.41Consensusffa3_on_gpOrthosteric Ligand8J21-FFA3-Butyric acid-Gi1/β1/γ2
7.41Consensusgi_opsinsOrthosteric Ligand8IU2-Opsin1LW-All-trans-Retinal-Gi1/β1/γ2
7.41Consensusgi_sensoryOrthosteric Ligandgi_opsins
7.41Consensusopsin1lw_onOrthosteric Ligand8IU2-Opsin1LW-All-trans-Retinal-Gi1/β1/γ2
7.41Consensusopsin1lw_on_gpOrthosteric Ligand8IU2-Opsin1LW-All-trans-Retinal-Gi1/β1/γ2
7.41Consensusopsins_on_gpOrthosteric Ligandrhodopsin_on_gp opsin1lw_on_gp
7.41Consensusrhodopsin_onOrthosteric Ligand6OYA-Rhodopsin-All-trans-Retinal-Gt/β1/γ1
7.41Consensussensory_on_gpOrthosteric Ligandopsins_on_gp
7.14Single1L9H11-cis-Retinal1L9H-Rhodopsin-11-cis-Retinal
7.14Single1U1911-cis-Retinal1U19-Rhodopsin-11-cis-Retinal
7.14Single2G87All-trans-Retinal2G87-Rhodopsin-All-trans-Retinal
7.14Single2I3511-cis-Retinal2I35-Rhodopsin-11-cis-Retinal
7.14Single3AYMAll-trans-Retinal3AYM-Rhodopsin-All-trans-Retinal
7.14Single5TE520-Methanoretinal5TE5-Rhodopsin-20-Methanoretinal
7.14Single6FK6PubChem 1324730336FK6-Rhodopsin-PubChem 132473033
7.14Single6QNOAll-trans-Retinal6QNO-Rhodopsin-All-trans-Retinal-Gi1/β1/γ1
7.14Single6TQ4PubChem 160468446TQ4-OX1-PubChem 16046844-Na
7.14Single7DD5Ca; Ca; Tryptophan; NPS-21437DD5-CaS; CaS-Ca-Ca; Ca; Tryptophan; NPS-2143
7.14Single7E2YSerotonin7E2Y-5-HT1A-Serotonin-PtdIns4P-Gi1/β1/γ2
7.14Single8A2PLUAA470708A2P-A2A-LUAA47070-Na
7.14Single8FX5Xanomeline8FX5-M4-Xanomeline-Xanomeline-Gi1/β1/γ2
7.14Single8J6PPubChem 251012238J6P-HCA2-Niacin-PubChem 25101223-Gi1/β1/γ2
7.14Single8JHYPubChem 251012238JHY-HCA2-PubChem 25101223-Gi1/β1/γ2
7.14Single8JIIPubChem 251012238JII-HCA2-Niacin-PubChem 25101223-Gi1/β1/γ2
7.14Single8WPUTryptophan; Cinacalcet; PO4; Ca8WPU-CaS; CaS-Tryptophan; Cinacalcet; PO4; Ca-chim(NtGi2L-Gs-CtGq)/β1/γ2
7.14Single8X2KOleic monoethanolamide8X2K-GPR3-Oleic monoethanolamide-chim(NtGi1-Gs)/β1/γ2
7.14Single9C1PCa; Tryptophan; '6218; PO49C1P-CaS; CaS-Ca-Ca; Tryptophan; '6218; PO4
7.14Consensusgq_nucleotideOrthosteric Ligandgq_p2y
7.14Consensusgq_p2yOrthosteric Ligand7XXH-P2Y1-2MeSADP-chim(NtGi1-G11)/β1/γ2
6.90Single1GZM11-cis-Retinal1GZM-Rhodopsin-11-cis-Retinal
6.90Single2PED9-cis-Retinal2PED-Rhodopsin-9-cis-Retinal
6.90Single2Z7311-cis-Retinal2Z73-Rhodopsin-11-cis-Retinal
6.90Single3AYN9-cis-Retinal3AYN-Rhodopsin-9-cis-Retinal
6.90Single3C9L11-cis-Retinal3C9L-Rhodopsin-11-cis-Retinal
6.90Single6FKBPubChem 1324730386FKB-Rhodopsin-PubChem 132473038
6.90Single7LJDDopamine7LJD-D1-Dopamine-Mevidalen-Gs/β1/γ1
6.90Single7M3ECa; Ca; Tryptophan; NPS-21437M3E-CaS; CaS-Ca; Ca; Tryptophan; NPS-2143
6.90Single7M3ECa; Ca; Tryptophan; NPS-21437M3E-CaS; CaS-Ca; Ca; Tryptophan; NPS-2143
6.90Single7M3FCa; Ca; Tryptophan; Cinacalcet7M3F-CaS; CaS-Ca; Ca; Tryptophan; Cinacalcet
6.90Single7SILCa; Ca; Ca; Cyclomethyltryptophan; R-568; PO47SIL-CaS; CaS-Ca-Ca; Ca; Ca; Cyclomethyltryptophan; R-568; PO4
6.90Single7SILCa; Ca; Ca; Cyclomethyltryptophan; R-568; PO47SIL-CaS; CaS-Ca-Ca; Ca; Ca; Cyclomethyltryptophan; R-568; PO4
6.90Single8A6CAll-trans-Retinal8A6C-Rhodopsin-All-trans-Retinal
6.90Single8A6DAll-trans-Retinal8A6D-Rhodopsin-All-trans-Retinal
6.90Single8A6EAll-trans-Retinal8A6E-Rhodopsin-All-trans-Retinal
6.90Single8DWHPubChem 1390305318DWH-MRGPRX1-PubChem 139030531-chim(NtGi2L-Gs-CtGq)/β1/γ2
6.90Single8J20Valeric acid8J20-FFA3-Valeric acid-AR420626-Gi1/β1/γ2
6.90Single8T3SButyric acid8T3S-FFA2-Butyric acid-chim(NtGi2L-Gs-CtGq)/β1/γ2
6.90Single8T3VDoconexent8T3V-FFA1-Doconexent-chim(NtGi2L-Gs-CtGq)/β1/γ2
6.90Single8U8FPalmitic Acid8U8F-GPR3-Palmitic Acid-Gs/β1/γ2
6.90Single8WPGTryptophan; Cinacalcet; PO4; Ca8WPG-CaS; CaS-Tryptophan; Cinacalcet; PO4; Ca
6.90Single9AVLCa; Ca; Cyclomethyltryptophan; R-568; PO49AVL-CaS; CaS-Ca-Ca; Ca; Cyclomethyltryptophan; R-568; PO4-Gi3/β2/γ2
6.90Single9C1PCa; Tryptophan; '6218; PO49C1P-CaS; CaS-Ca-Ca; Tryptophan; '6218; PO4
6.90Single9C2FCa; Ca; Tryptophan; '54149; PO49C2F-CaS; CaS-Ca-Ca; Ca; Tryptophan; '54149; PO4
6.90Consensusrhodopsin_offOrthosteric Ligand1U19-Rhodopsin-11-cis-Retinal 2PED-Rhodopsin-9-cis-Retinal 5TE5-Rhodopsin-20-Methanoretinal
6.67Single3OAX11-cis-Retinal3OAX-Rhodopsin-11-cis-Retinal
6.67Single6FFIMPEP6FFI-mGlu5-MPEP
6.67Single6FKAPubChem 1324730376FKA-Rhodopsin-PubChem 132473037
6.67Single6TPKRetosiban6TPK-OT-Retosiban
6.67Single7VODCariprazine7VOD-5-HT2A-Cariprazine
6.67Single7ZBC11-cis-Retinal7ZBC-Rhodopsin-11-cis-Retinal
6.67Single7ZBE11-cis-Retinal7ZBE-Rhodopsin-11-cis-Retinal
6.67Single8FCZ11-cis-Retinal8FCZ-Rhodopsin-11-cis-Retinal
6.67Single8K4NPubChem 1687197658K4N-GPR34-PubChem 168719765-Gi1/β1/γ2
6.67Single8WPUTryptophan; Cinacalcet; PO4; Ca8WPU-CaS; CaS-Tryptophan; Cinacalcet; PO4; Ca-chim(NtGi2L-Gs-CtGq)/β1/γ2
6.67Single8Y53MK50468Y53-BB3-MK5046-chim(NtGi1-Gs-CtGq)/β1/γ2
6.67Single9ASBCa; Ca; Cyclomethyltryptophan; R-568; PO49ASB-CaS; CaS-Ca-Ca; Ca; Cyclomethyltryptophan; R-568; PO4-chim(NtGi1-Gs-CtGq)/β1/γ2
6.67Single9AVGCa; Ca; Cyclomethyltryptophan; R-568; PO49AVG-CaS; CaS-Ca-Ca; Ca; Cyclomethyltryptophan; R-568; PO4-chim(NtGi1-Gs)/β1/γ2
6.67Single9AXFCa; Ca; Ca; Cyclomethyltryptophan; R-568; PO49AXF-CaS; CaS-Ca-Ca; Ca; Ca; Cyclomethyltryptophan; R-568; PO4-chim(NtGi1-Gs-CtGq)/β1/γ2
6.67Single9EPQ11,20-Ethanoretinal9EPQ-Rhodopsin-11,20-Ethanoretinal-chim(Gi1-CtGq)/β1/γ2
6.67Single9IXXLTD49IXX-CysLT2-LTD4-chim(NtGi1-Gs-CtGq)/β1/γ2
6.67Single9K1DButyric acid9K1D-FFA2-Butyric acid-Gi1/β1/γ2
6.67Consensusot_offOrthosteric Ligand6TPK-OT-Retosiban
6.67Consensusvasop-oxy_offOrthosteric Ligandot_off
6.45Single1HZX11-cis-Retinal1HZX-Rhodopsin-11-cis-Retinal
6.45Single6FFHFenobam6FFH-mGlu5-Fenobam
6.45Single7M3JNPS-2143; PO47M3J-CaS; CaS-NPS-2143; PO4
6.45Single7PP1Selatogrel7PP1-P2Y12-Selatogrel
6.45Single8EJKTAK-8758EJK-FFA1-TAK-875-chim(NtGi1L-Gs-CtGq)/β1/γ2
6.45Single8X9TAP5038X9T-ADGRD1-AP503-chim(NtGi1-Gs)/β1/γ2
6.45Single8XBGS3E-Lysophosphatidylserine 8XBG-GPR34-S3E-Lysophosphatidylserine
6.45Single8ZBEOctreotide8ZBE-SST5-Octreotide-Gi1/β1/γ1
6.45Single9JROPF-044189489JRO-EP2-PF-04418948
6.25Single4NTJAZD12834NTJ-P2Y12-AZD1283
6.25Single6HLPNetupitant6HLP-NK1-Netupitant
6.25Single6Z4SSR486926Z4S-NTS1-SR48692
6.25Single7M3GCa; Ca; Tryptophan; Evocalcet; Etelcalcetide; PO47M3G-CaS; CaS-Ca; Ca; Tryptophan; Evocalcet; Etelcalcetide; PO4
6.25Single7M3JNPS-2143; PO47M3J-CaS; CaS-NPS-2143; PO4
6.25Single8EJCTAK-8758EJC-FFA1-TAK-875-chim(NtGi1L-Gs-CtGq)/β1/γ2
6.25Single8IZ4Lysophosphatidylserine (TJR)8IZ4-GPR34-Lysophosphatidylserine (TJR)-Gi1/β1/γ2
6.25Single8JGGBAM8-228JGG-MRGPRX1-BAM8-22-Gi1/β1/γ2
6.25Single8T6JCDPPB8T6J-mGlu5; mGlu5-CDPPB
6.25Single8T6JCDPPB8T6J-mGlu5; mGlu5-CDPPB
6.25Single9JRTTG6-1299JRT-EP2-TG6-129
6.06Single8TAOCDPPB8TAO-mGlu5; mGlu5-Quisqualate-CDPPB
6.06Single9YDVMRS29059YDV-P2Y14-MRS2905-Gi1/β1/γ2
6.06Consensusp2y12_onOrthosteric Ligand7XXI-P2Y12-2MeSADP-Gi2/β1/γ2
5.88Single6RZ7ONO-25703666RZ7-CysLT2-ONO-2570366
5.88Single7XXI2MeSADP7XXI-P2Y12-2MeSADP-Gi2/β1/γ2
5.88Single9CM3TUG-13759CM3-FFA2-TUG-1375-PubChem 118615810-chim(NtGi1L-Gs-CtGq)/β1/γ2
5.88Consensusgi_p2yOrthosteric Ligand7XXI-P2Y12-2MeSADP-Gi2/β1/γ2
5.88Consensusp2y12_on_gpOrthosteric Ligand7XXI-P2Y12-2MeSADP-Gi2/β1/γ2
5.71Single6RZ9ONO-27703726RZ9-CysLT2-ONO-2770372
5.71Consensuscyslt2_offOrthosteric Ligand6RZ7-CysLT2-ONO-2570366 6RZ8-CysLT2-ONO-2080365 6RZ9-CysLT2-ONO-2770372
5.56Single9CM7TUG-13759CM7-FFA2-TUG-1375-AZ-1729-Gi1/β1/γ2
5.56Single9NS9TUG-13759NS9-FFA2-TUG-1375-PubChem 118615810-Gi1/β1/γ2
5.41Single6RZ8ONO-20803656RZ8-CysLT2-ONO-2080365
4.55Single6D32Cyclopamine6D32-SMO-Cyclopamine-Cyclopamine
4.55Single6D35Cholesterol6D35-SMO-Cholesterol
4.55Single6N51Quisqualate6N51-mGlu5; mGlu5-Quisqualate
4.55Single6N51Quisqualate6N51-mGlu5; mGlu5-Quisqualate
4.55Single6UO8SKF975416UO8-GABAB1, GABAB2-SKF97541-GS39783
4.55Single6UO9SKF975416UO9-GABAB1, GABAB2-SKF97541
4.55Single6W2XPubChem 53110426W2X-GABAB1, GABAB2-PubChem 5311042
4.55Single6W2YPubChem 53110426W2Y-GABAB1; GABAB1-PubChem 5311042
4.55Single6W2YPubChem 53110426W2Y-GABAB1; GABAB1-PubChem 5311042
4.55Single7C7QBaclofen7C7Q-GABAB1, GABAB2-Baclofen-BHFF
4.55Single7C7SCGP546267C7S-GABAB1, GABAB2-CGP54626
4.55Single7CUMCGP546267CUM-GABAB1, GABAB2-CGP54626
4.55Single7DD5Ca7DD5-CaS; CaS-Ca-Ca; Ca; Tryptophan; NPS-2143
4.55Single7DD5Ca; Ca; Tryptophan; NPS-21437DD5-CaS; CaS-Ca-Ca; Ca; Tryptophan; NPS-2143
4.55Single7DD5Ca7DD5-CaS; CaS-Ca-Ca; Ca; Tryptophan; NPS-2143
4.55Single7DD5Ca; Ca; Tryptophan; NPS-21437DD5-CaS; CaS-Ca-Ca; Ca; Tryptophan; NPS-2143
4.55Single7DGEQuisqualate7DGE-mGlu1; mGlu1-Quisqualate
4.55Single7DTTCa7DTT-CaS; CaS-Ca-Ca
4.55Single7DTTCa7DTT-CaS; CaS-Ca-Ca
4.55Single7DTUTryptophan7DTU-CaS; CaS-Tryptophan
4.55Single7DTUTryptophan7DTU-CaS; CaS-Tryptophan
4.55Single7DTVCa7DTV-CaS; CaS-Ca-Ca; Tryptophan
4.55Single7DTVCa; Tryptophan7DTV-CaS; CaS-Ca-Ca; Tryptophan
4.55Single7DTVCa7DTV-CaS; CaS-Ca-Ca; Tryptophan
4.55Single7DTVCa; Tryptophan7DTV-CaS; CaS-Ca-Ca; Tryptophan
4.55Single7E6TCa; Ca; Cyclomethyltryptophan; PO47E6T-CaS; CaS-Ca-Ca; Ca; Cyclomethyltryptophan; PO4
4.55Single7E6TCa7E6T-CaS; CaS-Ca-Ca; Ca; Cyclomethyltryptophan; PO4
4.55Single7E6TCa; Ca; Cyclomethyltryptophan; PO47E6T-CaS; CaS-Ca-Ca; Ca; Cyclomethyltryptophan; PO4
4.55Single7E6TCa7E6T-CaS; CaS-Ca-Ca; Ca; Cyclomethyltryptophan; PO4
4.55Single7E9GEglumetad7E9G-mGlu2; mGlu2-Eglumetad-JNJ-40411813-Gi1/β1/γ2
4.55Single7E9GEglumetad7E9G-mGlu2; mGlu2-Eglumetad-JNJ-40411813-Gi1/β1/γ2
4.55Single7E9HPhosphoserine7E9H-mGlu4; mGlu4-Phosphoserine-Gi3/β1/γ2
4.55Single7E9HPhosphoserine7E9H-mGlu4; mGlu4-Phosphoserine-Gi3/β1/γ2
4.55Single7EB2Baclofen7EB2-GABAB2; GABAB1-Baclofen-rac-BHFF-Gi1/β1/γ2
4.55Single7EPBEglumetad7EPB-mGlu2; mGlu2-Eglumetad
4.55Single7EPBEglumetad7EPB-mGlu2; mGlu2-Eglumetad
4.55Single7FD8Quisqualate7FD8-mGlu5; mGlu5-Quisqualate
4.55Single7FD8Quisqualate7FD8-mGlu5; mGlu5-Quisqualate
4.55Single7FD9LY3414957FD9-mGlu5; mGlu5-LY341495
4.55Single7FD9LY3414957FD9-mGlu5; mGlu5-LY341495
4.55Single7FIHhCG7FIH-LH-hCG-Org43553-chim(NtGi1-Gs)/β1/γ2
4.55Single7FIIhCG7FII-LH-hCG-chim(NtGi1-Gs)/β1/γ2
4.55Single7M3ECa; Ca; Tryptophan; NPS-21437M3E-CaS; CaS-Ca; Ca; Tryptophan; NPS-2143
4.55Single7M3ECa; Ca; Tryptophan; NPS-21437M3E-CaS; CaS-Ca; Ca; Tryptophan; NPS-2143
4.55Single7M3FCa; Ca; Tryptophan; Cinacalcet7M3F-CaS; CaS-Ca; Ca; Tryptophan; Cinacalcet
4.55Single7M3FCa; Ca; Tryptophan; Cinacalcet7M3F-CaS; CaS-Ca; Ca; Tryptophan; Cinacalcet
4.55Single7M3GCa; Ca; Tryptophan; Evocalcet; Etelcalcetide; PO47M3G-CaS; CaS-Ca; Ca; Tryptophan; Evocalcet; Etelcalcetide; PO4
4.55Single7M3GCa; Ca; Tryptophan; Evocalcet; Etelcalcetide; PO47M3G-CaS; CaS-Ca; Ca; Tryptophan; Evocalcet; Etelcalcetide; PO4
4.55Single7M3GCa; Ca; Tryptophan; Evocalcet; Etelcalcetide; PO47M3G-CaS; CaS-Ca; Ca; Tryptophan; Evocalcet; Etelcalcetide; PO4
4.55Single7M3GCa; Ca; Tryptophan; Evocalcet; Etelcalcetide; PO47M3G-CaS; CaS-Ca; Ca; Tryptophan; Evocalcet; Etelcalcetide; PO4
4.55Single7MTQLY3414957MTQ-mGlu2; mGlu2-LY341495
4.55Single7MTQLY3414957MTQ-mGlu2; mGlu2-LY341495
4.55Single7MTRGlutamate7MTR-mGlu2; mGlu2-Glutamate-ADX55164
4.55Single7MTRGlutamate7MTR-mGlu2; mGlu2-Glutamate-ADX55164
4.55Single7MTSGlutamate7MTS-mGlu2; mGlu2-Glutamate-ADX55164-Gi1/β1/γ2
4.55Single7MTSGlutamate7MTS-mGlu2; mGlu2-Glutamate-ADX55164-Gi1/β1/γ2
4.55Single7SILCa7SIL-CaS; CaS-Ca-Ca; Ca; Ca; Cyclomethyltryptophan; R-568; PO4
4.55Single7SILCa; Ca; Ca; Cyclomethyltryptophan; R-568; PO47SIL-CaS; CaS-Ca-Ca; Ca; Ca; Cyclomethyltryptophan; R-568; PO4
4.55Single7SILCa7SIL-CaS; CaS-Ca-Ca; Ca; Ca; Cyclomethyltryptophan; R-568; PO4
4.55Single7SILCa; Ca; Ca; Cyclomethyltryptophan; R-568; PO47SIL-CaS; CaS-Ca-Ca; Ca; Ca; Cyclomethyltryptophan; R-568; PO4
4.55Single7SIMCa; Ca; Cyclomethyltryptophan; PO47SIM-CaS; CaS-Ca-Ca; Ca; Cyclomethyltryptophan; PO4
4.55Single7SIMCa7SIM-CaS; CaS-Ca-Ca; Ca; Cyclomethyltryptophan; PO4
4.55Single7SIMCa; Ca; Cyclomethyltryptophan; PO47SIM-CaS; CaS-Ca-Ca; Ca; Cyclomethyltryptophan; PO4
4.55Single7SIMCa7SIM-CaS; CaS-Ca-Ca; Ca; Cyclomethyltryptophan; PO4
4.55Single7T9NM22 Fab7T9N-TSH-M22 Fab-DPPC-Gs/β1/γ2
4.55Single7WI6LY3414957WI6-mGlu3; mGlu3-LY341495
4.55Single7WI6LY3414957WI6-mGlu3; mGlu3-LY341495
4.55Single7WI8LY3414957WI8-mGlu3; mGlu3-LY341495
4.55Single7WI8LY3414957WI8-mGlu3; mGlu3-LY341495
4.55Single7WIHLY27941937WIH-mGlu3; mGlu3-LY2794193
4.55Single7WIHLY27941937WIH-mGlu3; mGlu3-LY2794193
4.55Single7XW6M22 Fab7XW6-TSH-M22 Fab-ML109-Gs/β1/γ2
4.55Single7XW7K1-707XW7-TSH-K1-70
4.55Single8JCULY3414958JCU-mGlu2; mGlu3-LY341495
4.55Single8JCULY3414958JCU-mGlu2; mGlu3-LY341495
4.55Single8JCVLY3414958JCV-mGlu2; mGlu3-LY341495
4.55Single8JCVLY3414958JCV-mGlu2; mGlu3-LY341495
4.55Single8JCWLY3414958JCW-mGlu2; mGlu3-LY341495
4.55Single8JCWLY3414958JCW-mGlu2; mGlu3-LY341495
4.55Single8JCXLY3414958JCX-mGlu2; mGlu3-LY341495
4.55Single8JCXLY3414958JCX-mGlu2; mGlu3-LY341495
4.55Single8JCYLY3414958JCY-mGlu2; mGlu3-LY341495
4.55Single8JCYLY3414958JCY-mGlu2; mGlu3-LY341495
4.55Single8JCZLY3414958JCZ-mGlu2; mGlu3-LY341495
4.55Single8JCZLY3414958JCZ-mGlu2; mGlu3-LY341495
4.55Single8JD0Glutamate8JD0-mGlu2; mGlu3-Glutamate-NAM563
4.55Single8JD1Glutamate8JD1-mGlu2; mGlu3-Glutamate
4.55Single8JD1Glutamate8JD1-mGlu2; mGlu3-Glutamate
4.55Single8JD2Glutamate8JD2-mGlu2; mGlu3-Glutamate
4.55Single8JD2Glutamate8JD2-mGlu2; mGlu3-Glutamate
4.55Single8JD3Glutamate8JD3-mGlu2; mGlu3-Glutamate-JNJ-40411813-Gi1/β1/γ2
4.55Single8JD3Glutamate8JD3-mGlu2; mGlu3-Glutamate-JNJ-40411813-Gi1/β1/γ2
4.55Single8JD4Glutamate8JD4-mGlu2; mGlu4-Glutamate
4.55Single8JD4Glutamate8JD4-mGlu2; mGlu4-Glutamate
4.55Single8JD5Glutamate8JD5-mGlu2; mGlu4-Glutamate-JNJ-40411813; ADX88178-Gi1/β1/γ2
4.55Single8JD5Glutamate8JD5-mGlu2; mGlu4-Glutamate-JNJ-40411813; ADX88178-Gi1/β1/γ2
4.55Single8JD6Phosphoserine8JD6-mGlu4; mGlu4-Phosphoserine-VU0364770-Gi3/β1/γ2
4.55Single8JD6Phosphoserine8JD6-mGlu4; mGlu4-Phosphoserine-VU0364770-Gi3/β1/γ2
4.55Single8SZFCa; Ca; Tryptophan; Cinacalcet; PO4; Spermine8SZF-CaS; CaS-Ca; Ca; Tryptophan; Cinacalcet; PO4; Spermine
4.55Single8SZFCa; Ca; Tryptophan; Cinacalcet; PO4; Spermine8SZF-CaS; CaS-Ca; Ca; Tryptophan; Cinacalcet; PO4; Spermine
4.55Single8SZGCa; Ca; Tryptophan; Cinacalcet; PO4; Spermine8SZG-CaS; CaS-Ca; Ca; Tryptophan; Cinacalcet; PO4; Spermine-chim(NtGi1-Gq)/β1/γ2
4.55Single8T7HQuisqualate8T7H-mGlu5; mGlu5-Quisqualate
4.55Single8T7HQuisqualate8T7H-mGlu5; mGlu5-Quisqualate
4.55Single8T8MQuisqualate8T8M-mGlu5; mGlu5-Quisqualate
4.55Single8T8MQuisqualate8T8M-mGlu5; mGlu5-Quisqualate
4.55Single8TAOQuisqualate8TAO-mGlu5; mGlu5-Quisqualate-CDPPB
4.55Single8TAOQuisqualate8TAO-mGlu5; mGlu5-Quisqualate-CDPPB
4.55Single8TQBCa; LY3792688TQB-mGlu3; mGlu3-Ca; LY379268-Ca
4.55Single8TQBCa; LY3792688TQB-mGlu3; mGlu3-Ca; LY379268-Ca
4.55Single8TR0LY3414958TR0-mGlu3; mGlu3-LY341495
4.55Single8TR0LY3414958TR0-mGlu3; mGlu3-LY341495
4.55Single8TR2Ca; LY3792688TR2-mGlu3; mGlu3-Ca; LY379268-Ca
4.55Single8TR2Ca; LY3792688TR2-mGlu3; mGlu3-Ca; LY379268-Ca
4.55Single8TRCLY3414958TRC-mGlu3; mGlu3-LY341495
4.55Single8TRCLY3414958TRC-mGlu3; mGlu3-LY341495
4.55Single8TRDLY3414958TRD-mGlu3; mGlu3-LY341495
4.55Single8TRDLY3414958TRD-mGlu3; mGlu3-LY341495
4.55Single8WG9PubChem 1793948WG9-mGlu4; mGlu2-PubChem 179394
4.55Single8WGBGlutamate8WGB-mGlu4; mGlu2-Glutamate-VU0155041-Gi3/β1/γ2
4.55Single8WGBGlutamate8WGB-mGlu4; mGlu2-Glutamate-VU0155041-Gi3/β1/γ2
4.55Single8WGCLY3792688WGC-mGlu2; mGlu4-LY379268
4.55Single8WGDLY341495; CPPG8WGD-mGlu4; mGlu2-LY341495; CPPG
4.55Single8WGDLY341495; CPPG8WGD-mGlu4; mGlu2-LY341495; CPPG
4.55Single8WPGTryptophan; Cinacalcet; PO4; Ca8WPG-CaS; CaS-Tryptophan; Cinacalcet; PO4; Ca
4.55Single8WPGTryptophan; Cinacalcet; PO4; Ca8WPG-CaS; CaS-Tryptophan; Cinacalcet; PO4; Ca
4.55Single8WPUTryptophan; Cinacalcet; PO4; Ca8WPU-CaS; CaS-Tryptophan; Cinacalcet; PO4; Ca-chim(NtGi2L-Gs-CtGq)/β1/γ2
4.55Single8WPUTryptophan; Cinacalcet; PO4; Ca8WPU-CaS; CaS-Tryptophan; Cinacalcet; PO4; Ca-chim(NtGi2L-Gs-CtGq)/β1/γ2
4.55Single8WVXNorrin8WVX-LGR4-Norrin
4.55Single8WVYNorrin8WVY-LGR4-Norrin
4.55Single8X0BQuisqualate8X0B-mGlu5; mGlu5-Quisqualate-VU0424465
4.55Single8X0BQuisqualate8X0B-mGlu5; mGlu5-Quisqualate-VU0424465
4.55Single8X0CQuisqualate8X0C-mGlu5; mGlu5-Quisqualate-VU0424465
4.55Single8X0CQuisqualate8X0C-mGlu5; mGlu5-Quisqualate-VU0424465
4.55Single8X0DQuisqualate8X0D-mGlu5; mGlu5-Quisqualate-VU0424465
4.55Single8X0DQuisqualate8X0D-mGlu5; mGlu5-Quisqualate-VU0424465
4.55Single8X0EQuisqualate8X0E-mGlu5; mGlu5-Quisqualate
4.55Single8X0EQuisqualate8X0E-mGlu5; mGlu5-Quisqualate
4.55Single8X0FQuisqualate8X0F-mGlu5; mGlu5-Quisqualate-VU29
4.55Single8X0FQuisqualate8X0F-mGlu5; mGlu5-Quisqualate-VU29
4.55Single8X0GQuisqualate8X0G-mGlu5; mGlu5-Quisqualate
4.55Single8X0GQuisqualate8X0G-mGlu5; mGlu5-Quisqualate
4.55Single8X0HQuisqualate8X0H-mGlu5; mGlu5-Quisqualate
4.55Single8X0HQuisqualate8X0H-mGlu5; mGlu5-Quisqualate
4.55Single8XUMR-spondin-28XUM-LGR4-R-spondin-2
4.55Single9ASBCa9ASB-CaS; CaS-Ca-Ca; Ca; Cyclomethyltryptophan; R-568; PO4-chim(NtGi1-Gs-CtGq)/β1/γ2
4.55Single9ASBCa; Ca; Cyclomethyltryptophan; R-568; PO49ASB-CaS; CaS-Ca-Ca; Ca; Cyclomethyltryptophan; R-568; PO4-chim(NtGi1-Gs-CtGq)/β1/γ2
4.55Single9AVGCa9AVG-CaS; CaS-Ca-Ca; Ca; Cyclomethyltryptophan; R-568; PO4-chim(NtGi1-Gs)/β1/γ2
4.55Single9AVGCa; Ca; Cyclomethyltryptophan; R-568; PO49AVG-CaS; CaS-Ca-Ca; Ca; Cyclomethyltryptophan; R-568; PO4-chim(NtGi1-Gs)/β1/γ2
4.55Single9AVLCa9AVL-CaS; CaS-Ca-Ca; Ca; Cyclomethyltryptophan; R-568; PO4-Gi3/β2/γ2
4.55Single9AVLCa; Ca; Cyclomethyltryptophan; R-568; PO49AVL-CaS; CaS-Ca-Ca; Ca; Cyclomethyltryptophan; R-568; PO4-Gi3/β2/γ2
4.55Single9AVLCa9AVL-CaS; CaS-Ca-Ca; Ca; Cyclomethyltryptophan; R-568; PO4-Gi3/β2/γ2
4.55Single9AVLCa; Ca; Cyclomethyltryptophan; R-568; PO49AVL-CaS; CaS-Ca-Ca; Ca; Cyclomethyltryptophan; R-568; PO4-Gi3/β2/γ2
4.55Single9AXFCa9AXF-CaS; CaS-Ca-Ca; Ca; Ca; Cyclomethyltryptophan; R-568; PO4-chim(NtGi1-Gs-CtGq)/β1/γ2
4.55Single9AXFCa; Ca; Ca; Cyclomethyltryptophan; R-568; PO49AXF-CaS; CaS-Ca-Ca; Ca; Ca; Cyclomethyltryptophan; R-568; PO4-chim(NtGi1-Gs-CtGq)/β1/γ2
4.55Single9AXFCa9AXF-CaS; CaS-Ca-Ca; Ca; Ca; Cyclomethyltryptophan; R-568; PO4-chim(NtGi1-Gs-CtGq)/β1/γ2
4.55Single9AXFCa; Ca; Ca; Cyclomethyltryptophan; R-568; PO49AXF-CaS; CaS-Ca-Ca; Ca; Ca; Cyclomethyltryptophan; R-568; PO4-chim(NtGi1-Gs-CtGq)/β1/γ2
4.55Single9AYFCa9AYF-CaS; CaS-Ca-Ca; Ca; Ca; Cyclomethyltryptophan; R-568; PO4-Gi1/β1/γ2
4.55Single9AYFCa; Ca; Ca; Cyclomethyltryptophan; R-568; PO49AYF-CaS; CaS-Ca-Ca; Ca; Ca; Cyclomethyltryptophan; R-568; PO4-Gi1/β1/γ2
4.55Single9C1PCa9C1P-CaS; CaS-Ca-Ca; Tryptophan; '6218; PO4
4.55Single9C1PCa; Tryptophan; '6218; PO49C1P-CaS; CaS-Ca-Ca; Tryptophan; '6218; PO4
4.55Single9C1PCa9C1P-CaS; CaS-Ca-Ca; Tryptophan; '6218; PO4
4.55Single9C1PCa; Tryptophan; '6218; PO49C1P-CaS; CaS-Ca-Ca; Tryptophan; '6218; PO4
4.55Single9C2FCa9C2F-CaS; CaS-Ca-Ca; Ca; Tryptophan; '54149; PO4
4.55Single9C2FCa; Ca; Tryptophan; '54149; PO49C2F-CaS; CaS-Ca-Ca; Ca; Tryptophan; '54149; PO4
4.55Single9C2FCa9C2F-CaS; CaS-Ca-Ca; Ca; Tryptophan; '54149; PO4
4.55Single9C2FCa; Ca; Tryptophan; '54149; PO49C2F-CaS; CaS-Ca-Ca; Ca; Tryptophan; '54149; PO4
4.55Single9II2Glutamate9II2-mGlu3; mGlu3-Glutamate-Arrestin2; Arrestin2
4.55Single9II2Glutamate9II2-mGlu3; mGlu3-Glutamate-Arrestin2; Arrestin2
4.55Single9II3Glutamate9II3-mGlu3; mGlu3-Glutamate-Arrestin2
4.55Single9II3Glutamate9II3-mGlu3; mGlu3-Glutamate-Arrestin2
4.55Single9KB7R-spondin-29KB7-LGR4-R-spondin-2
4.55Single9KGKNB189KGK-LGR4-NB18
4.55Single9KHHNorrin9KHH-LGR4-Norrin
4.55Single9MBAGlutamate9MBA-mGlu8; mGlu8-Glutamate-Arrestin2 ; Arrestin2
4.55Single9MBAGlutamate9MBA-mGlu8; mGlu8-Glutamate-Arrestin2 ; Arrestin2
4.55Single9MBBLY3414959MBB-mGlu8; mGlu8-LY341495
4.55Single9MBBLY3414959MBB-mGlu8; mGlu8-LY341495
4.55Single9MBCDCPG9MBC-mGlu8; mGlu8-DCPG-AZ12216052
4.55Single9MBCDCPG9MBC-mGlu8; mGlu8-DCPG-AZ12216052
4.55Single9S37NB219S37-LGR4-NB21
4.55Single9S38NB219S38-LGR4-NB21
4.55Single9UTBSucralose9UTB-TAS1R2; TAS1R3-Sucralose
4.35Single7DD6Ca7DD6-CaS; CaS-Ca-Ca; Ca; Tryptophan
4.35Single7DD6Ca; Ca; Tryptophan7DD6-CaS; CaS-Ca-Ca; Ca; Tryptophan
4.35Single7DD6Ca7DD6-CaS; CaS-Ca-Ca; Ca; Tryptophan
4.35Single7DD6Ca; Ca; Tryptophan7DD6-CaS; CaS-Ca-Ca; Ca; Tryptophan
4.35Single7DD7Ca7DD7-CaS; CaS-Ca-Ca; Ca; Tryptophan; Evocalcet
4.35Single7DD7Ca; Ca; Tryptophan; Evocalcet7DD7-CaS; CaS-Ca-Ca; Ca; Tryptophan; Evocalcet
4.35Single7DD7Ca7DD7-CaS; CaS-Ca-Ca; Ca; Tryptophan; Evocalcet
4.35Single7DD7Ca; Ca; Tryptophan; Evocalcet7DD7-CaS; CaS-Ca-Ca; Ca; Tryptophan; Evocalcet
4.35Single8SZFCa; Ca; Tryptophan; Cinacalcet; PO4; Spermine8SZF-CaS; CaS-Ca; Ca; Tryptophan; Cinacalcet; PO4; Spermine
4.35Single8SZFCa; Ca; Tryptophan; Cinacalcet; PO4; Spermine8SZF-CaS; CaS-Ca; Ca; Tryptophan; Cinacalcet; PO4; Spermine
4.35Single9ASBCa9ASB-CaS; CaS-Ca-Ca; Ca; Cyclomethyltryptophan; R-568; PO4-chim(NtGi1-Gs-CtGq)/β1/γ2
4.35Single9ASBCa; Ca; Cyclomethyltryptophan; R-568; PO49ASB-CaS; CaS-Ca-Ca; Ca; Cyclomethyltryptophan; R-568; PO4-chim(NtGi1-Gs-CtGq)/β1/γ2
4.35Single9AVGCa9AVG-CaS; CaS-Ca-Ca; Ca; Cyclomethyltryptophan; R-568; PO4-chim(NtGi1-Gs)/β1/γ2
4.35Single9AVGCa; Ca; Cyclomethyltryptophan; R-568; PO49AVG-CaS; CaS-Ca-Ca; Ca; Cyclomethyltryptophan; R-568; PO4-chim(NtGi1-Gs)/β1/γ2
4.35Single9AYFCa9AYF-CaS; CaS-Ca-Ca; Ca; Ca; Cyclomethyltryptophan; R-568; PO4-Gi1/β1/γ2
4.35Single9AYFCa; Ca; Ca; Cyclomethyltryptophan; R-568; PO49AYF-CaS; CaS-Ca-Ca; Ca; Ca; Cyclomethyltryptophan; R-568; PO4-Gi1/β1/γ2
4.35Consensusclass-b2_onOrthosteric Ligandadgrg_on adgrf_on adgrl_on adgre_on adgrd_on
4.35Consensusclass-b2_on_gpOrthosteric Ligandadgrg_on_gp adgrf_on_gp adgrl_on_gp adgre_on_gp adgrd_on_gp
4.17Single7KNUCalcitonin gene-related peptide-17KNU-CT Like-Calcitonin gene-related peptide-1-RAMP1
4.17Single7T9MCS-17 Antibody7T9M-TSH-CS-17 Antibody
4.17Single8SZGCa; Ca; Tryptophan; Cinacalcet; PO4; Spermine8SZG-CaS; CaS-Ca; Ca; Tryptophan; Cinacalcet; PO4; Spermine-chim(NtGi1-Gq)/β1/γ2
4.17Single8TLMAnti-murine CCR8 antibody8TLM-CCR8-Anti-murine CCR8 antibody
4.00Single6O3CCholesterol6O3C-SMO-SAG21k-Cholesterol
4.00Single7FIGhCG7FIG-LH-hCG-chim(NtGi1L-Gs)/β1/γ2
4.00Single7UTZTSH7UTZ-TSH-TSH-DPPC-Gs/β1/γ2
4.00Single7XW5TSH7XW5-TSH-TSH-ML109-Gs/β1/γ2
4.00Single7ZI0Cholesterol7ZI0-SMO-SAG-Cholesterol
3.85Single3PXOAll-trans-Retinal3PXO-Rhodopsin-All-trans-Retinal
3.85Single5DYSAll-trans-Retinal5DYS-Rhodopsin-All-trans-Retinal
3.85Single5L7DCholesterol5L7D-SMO-Cholesterol
3.85Single7T9ITSH7T9I-TSH-TSH-Gs/β1/γ2
3.85Single8I2GFSH8I2G-FSH-FSH-PubChem 67530240-Gs/β1/γ2
3.70Single7VDMSubstance-P7VDM-MRGPRX2-Substance-P-Gi1/β1/γ2
3.70Single8Y02All-trans-Retinal8Y02-OPN1SW-All-trans-Retinal-Gi1/β1/γ2
3.57Single3PQRAll-trans-Retinal3PQR-Rhodopsin-All-trans-Retinal-Gt(CT)
3.57Single6FK9PubChem 1324730366FK9-Rhodopsin-PubChem 132473036
3.57Single8SZFCa; Ca; Tryptophan; Cinacalcet; PO4; Spermine8SZF-CaS; CaS-Ca; Ca; Tryptophan; Cinacalcet; PO4; Spermine
3.57Single9MBCAZ122160529MBC-mGlu8; mGlu8-DCPG-AZ12216052
3.45Single6I9K9-cis-Retinal6I9K-Rhodopsin-9-cis-Retinal
3.45Single6PGSGeraniol6PGS-Rhodopsin-Geraniol-Gt(CT)
3.45Single6PH7Nerol6PH7-Rhodopsin-Nerol-Gt(CT)
3.45Single6TP4ACT-4622066TP4-OX1-ACT-462206
3.45Single7S8NR-Zinc-35737S8N-MRGPRX2-R-Zinc-3573-chim(NtGi2L-Gs-CtGq)/β1/γ2
3.45Single7S8OR-Zinc-35737S8O-MRGPRX2-R-Zinc-3573-Gi1/β1/γ2
3.45Single8SZFCa; Ca; Tryptophan; Cinacalcet; PO4; Spermine8SZF-CaS; CaS-Ca; Ca; Tryptophan; Cinacalcet; PO4; Spermine
3.45Single9EPRAll-trans-Retinal9EPR-Rhodopsin-All-trans-Retinal-Gi1/β1/γ2
3.45Single9MBCAZ122160529MBC-mGlu8; mGlu8-DCPG-AZ12216052
3.45Single9MNIdC2_059MNI-CTLike-dC2_05-RAMP1
3.45Single9YDAAll-trans-Retinal9YDA-Opsin1MW-All-trans-Retinal-chim(NtGi1L-Gs-CtGt)/β1/γ2
3.33Single4K5YCP-3763954K5Y-CRF1-CP-376395
3.33Single4XNVBPTU4XNV-P2Y1-BPTU
3.33Single6C1QNDT95137276C1Q-C5a1-PMX53-NDT9513727
3.33Single6TQ6PubChem 1457142836TQ6-OX1-PubChem 145714283
3.23Single6PELCitronellol6PEL-Rhodopsin-Citronellol-Gt(CT)
3.23Single6ZINSR486926ZIN-NTS1-SR48692
3.23Single8IYXYL-3658IYX-GPR34-YL-365
3.23Single8JD6VU03647708JD6-mGlu4; mGlu4-Phosphoserine-VU0364770-Gi3/β1/γ2
3.23Single8Y01All-trans-Retinal8Y01-Opsin1MW-All-trans-Retinal-Gi1/β1/γ2
3.23Single9JQYTG6-1299JQY-EP4-TG6-129
3.23Single9U80Conivaptan9U80-V2-Conivaptan
3.12Single4Z9GCP-3763954Z9G-CRF1-CP-376395
3.12Single8GTIBMK-C2058GTI-CRF1-BMK-C205
3.03Single8GTGBMK-I1528GTG-CRF1-BMK-I152
2.94Single9CLWTUG-13759CLW-FFA2-TUG-1375-4-CMTB-chim(NtGi1L-Gs-CtGq)/β1/γ2
2.86Single8GTMBMK-C2038GTM-CRF1-BMK-C203
2.78Single9JH5C16:0 Ceramide9JH5-CysLT2-C16:0 Ceramide-chim(NtGi1-Gs-CtGq)/β1/γ2
2.63Single8XFSR-spondin-28XFS-LGR4-R-spondin-2-ZNRF3; ZNRF3
2.63Single8XFTR-spondin-28XFT-LGR4-R-spondin-2-ZNRF3
2.63Single8Y69R-spondin-28Y69-LGR4; LGR4-R-spondin-2-ZNRF3
2.56Single8XFPR-spondin-28XFP-LGR4-R-spondin-2-ZNRF3; ZNRF3
2.56Single9KB8R-spondin-29KB8-LGR4-R-spondin-2-ZNRF3; ZNRF3
2.56Single9KB9R-spondin-29KB9-LGR4; LGR4-R-spondin-2-ZNRF3; ZNRF3
2.50Single8WVUR-spondin-18WVU-LGR4-R-spondin-1-RNF43
2.50Single8Y69R-spondin-28Y69-LGR4; LGR4-R-spondin-2-ZNRF3
2.50Single9KB9R-spondin-29KB9-LGR4; LGR4-R-spondin-2-ZNRF3; ZNRF3

PDB Summary
PDB 9P92
Class B1
SubFamily Peptide
Type VIP and PACAP
SubType PAC1
Species Homo Sapiens
Ligand VIP
Other Ligand(s) -
Protein Partners Gs/Beta1/Gamma2
PDB Resolution 3.8
Date 2025-11-19
D.O.I. 10.1073/pnas.2521157122
Net Summary
Imin 3
Number of Linked Nodes 950
Number of Links 1094
Number of Hubs 160
Number of Links mediated by Hubs 581
Number of Communities 27
Number of Nodes involved in Communities 181
Number of Links involved in Communities 250
Path Summary
Number Of Nodes in MetaPath 110
Number Of Links MetaPath 109
Number of Shortest Paths 6695011
Length Of Smallest Path 3
Average Path Length 48.8306
Length of Longest Path 85
Minimum Path Strength 1.145
Average Path Strength 6.64953
Maximum Path Strength 31.18
Minimum Path Correlation 0.7
Average Path Correlation 0.997336
Maximum Path Correlation 1
Minimum % Of Corr. Nodes 2.17391
Average % Of Corr. Nodes 40.9155
Maximum % Of Corr. Nodes 100
Minimum Path Hubs % 0
Average Path Hubs % 43.6353
Maximum Path Hubs % 100
AnnotationTypeLinks
Gene OntologyMolecular Function• vasoactive intestinal polypeptide receptor binding   • protein binding   • binding   • signaling receptor binding   • type 2 vasoactive intestinal polypeptide receptor binding   • G protein-coupled receptor binding   • neuropeptide receptor binding   • hormone activity   • molecular function activator activity   • molecular function regulator activity   • signaling receptor regulator activity   • receptor ligand activity   • signaling receptor activator activity   • neuropeptide hormone activity   • neuropeptide activity   • peptide hormone receptor binding   • hormone receptor binding   • type 1 vasoactive intestinal polypeptide receptor binding   • cellular response to stimulus   • regulation of biological process   • regulation of cellular process   • response to stimulus   • signaling   • biological regulation   • adenylate cyclase-activating G protein-coupled receptor signaling pathway   • cell communication   • adenylate cyclase-modulating G protein-coupled receptor signaling pathway   • G protein-coupled receptor signaling pathway   • cellular process   • signal transduction   • body fluid secretion   • localization
Gene OntologyBiological Process• cellular response to stimulus   • regulation of biological process   • regulation of cellular process   • response to stimulus   • signaling   • biological regulation   • adenylate cyclase-activating G protein-coupled receptor signaling pathway   • cell communication   • adenylate cyclase-modulating G protein-coupled receptor signaling pathway   • G protein-coupled receptor signaling pathway   • cellular process   • signal transduction   • body fluid secretion   • localization   • regulation of body fluid levels   • secretion   • transport   • regulation of biological quality   • establishment of localization   • cell population proliferation   • positive regulation of cell population proliferation   • regulation of cell population proliferation   • positive regulation of biological process   • positive regulation of cellular process   • establishment of protein localization   • nitrogen compound transport   • hormone secretion   • protein localization to extracellular region   • peptide secretion   • secretion by cell   • signal release   • intracellular protein localization   • regulation of hormone levels   • prolactin secretion   • establishment of protein localization to extracellular region   • cell-cell signaling   • export from cell   • protein secretion   • peptide transport   • protein transport   • peptide hormone secretion   • macromolecule localization   • hormone transport   • regulation of localization   • regulation of protein localization   • monoamine transport   • epinephrine secretion   • organic hydroxy compound transport   • organic cation transport   • catecholamine secretion   • catecholamine transport   • epinephrine transport   • positive regulation of cell communication   • positive regulation of signal transduction   • regulation of signal transduction   • intracellular signal transduction   • positive regulation of cAMP/PKA signal transduction   • positive regulation of response to stimulus   • cAMP/PKA signal transduction   • regulation of intracellular signal transduction   • intracellular signaling cassette   • regulation of signaling   • positive regulation of intracellular signal transduction   • regulation of cAMP/PKA signal transduction   • regulation of response to stimulus   • regulation of cell communication   • positive regulation of signaling   • catabolic process   • positive regulation of protein metabolic process   • macromolecule catabolic process   • regulation of primary metabolic process   • positive regulation of metabolic process   • positive regulation of macromolecule metabolic process   • protein metabolic process   • regulation of protein metabolic process   • primary metabolic process   • regulation of macromolecule metabolic process   • protein catabolic process   • regulation of catabolic process   • positive regulation of protein catabolic process   • positive regulation of catabolic process   • metabolic process   • macromolecule metabolic process   • regulation of metabolic process   • regulation of protein catabolic process   • negative regulation of biological process   • positive regulation of macromolecule biosynthetic process   • nucleobase-containing compound metabolic process   • post-transcriptional regulation of gene expression   • regulation of RNA metabolic process   • negative regulation of nucleobase-containing compound metabolic process   • regulation of nucleobase-containing compound metabolic process   • RNA catabolic process   • mRNA stabilization   • mRNA catabolic process   • negative regulation of metabolic process   • nucleobase-containing compound catabolic process   • regulation of gene expression   • negative regulation of gene expression   • biosynthetic process   • negative regulation of macromolecule biosynthetic process   • nucleic acid catabolic process   • regulation of macromolecule biosynthetic process   • negative regulation of RNA metabolic process   • RNA metabolic process   • negative regulation of mRNA metabolic process   • regulation of mRNA catabolic process   • positive regulation of biosynthetic process   • negative regulation of cellular process   • negative regulation of macromolecule metabolic process   • regulation of biosynthetic process   • negative regulation of catabolic process   • negative regulation of mRNA catabolic process   • negative regulation of RNA catabolic process   • gene expression   • mRNA metabolic process   • macromolecule biosynthetic process   • nucleic acid metabolic process   • regulation of mRNA stability   • RNA stabilization   • negative regulation of biosynthetic process   • positive regulation of gene expression   • regulation of RNA stability   • regulation of mRNA metabolic process   • cellular anatomical structure   • extracellular region   • extracellular space   • cell projection   • neuron projection   • plasma membrane bounded cell projection   • small GTPase binding   • protein binding   • binding   • enzyme binding   • GTPase binding   • molecular transducer activity   • signaling receptor activity   • adenylate cyclase binding   • vasoactive intestinal polypeptide receptor activity   • G protein-coupled receptor activity   • transmembrane signaling receptor activity   • neuropeptide binding   • peptide binding   • peptide hormone binding   • hormone binding   • peptide receptor activity   • G protein-coupled peptide receptor activity   • pituitary adenylate cyclase-activating polypeptide receptor activity   • response to chemical   • response to xenobiotic stimulus   • developmental process   • spermatogenesis   • sexual reproduction   • reproductive process   • multicellular organismal reproductive process   • developmental process involved in reproduction   • male gamete generation   • gamete generation   • cellular developmental process   • cell differentiation   • multicellular organismal process   • response to stress   • multicellular organismal response to stress   • response to alcohol   • response to oxygen-containing compound   • response to ethanol   • cell surface receptor signaling pathway   • regulation of calcium ion transport   • positive regulation of cation transmembrane transport   • positive regulation of calcium ion transport   • cellular localization   • regulation of calcium ion transport into cytosol   • monoatomic ion transmembrane transport   • regulation of monoatomic ion transmembrane transport   • calcium ion transport   • metal ion transport   • monoatomic cation transmembrane transport   • regulation of calcium ion transmembrane transport   • positive regulation of monoatomic ion transport   • positive regulation of calcium ion transmembrane transport   • positive regulation of transmembrane transport   • monoatomic ion transport   • positive regulation of monoatomic ion transmembrane transport   • monoatomic cation transport   • regulation of metal ion transport   • calcium ion transmembrane import into cytosol   • regulation of transport   • regulation of monoatomic ion transport   • positive regulation of cytosolic calcium ion concentration   • transmembrane transport   • positive regulation of calcium ion transport into cytosol   • regulation of transmembrane transport   • positive regulation of transport   • regulation of cellular localization   • regulation of monoatomic cation transmembrane transport   • calcium ion transmembrane transport   • calcium ion transport into cytosol   • small GTPase-mediated signal transduction   • regulation of small GTPase mediated signal transduction   • positive regulation of small GTPase mediated signal transduction   • multicellular organism development   • development of primary sexual characteristics   • sex differentiation   • anatomical structure development   • female sex differentiation   • development of primary female sexual characteristics   • regulation of inositol phosphate biosynthetic process   • alcohol metabolic process   • positive regulation of phosphate metabolic process   • inositol phosphate metabolic process   • regulation of small molecule metabolic process   • phosphate-containing compound metabolic process   • polyol biosynthetic process   • small molecule metabolic process   • phosphorus metabolic process   • regulation of carbohydrate metabolic process   • carbohydrate metabolic process   • polyol metabolic process   • positive regulation of phosphorus metabolic process   • regulation of alcohol biosynthetic process   • small molecule biosynthetic process   • carbohydrate biosynthetic process   • positive regulation of inositol phosphate biosynthetic process   • organophosphate metabolic process   • organophosphate biosynthetic process   • inositol phosphate biosynthetic process   • alcohol biosynthetic process   • regulation of phosphorus metabolic process   • positive regulation of carbohydrate metabolic process   • regulation of carbohydrate biosynthetic process   • positive regulation of small molecule metabolic process   • positive regulation of alcohol biosynthetic process   • response to lipid   • response to estradiol   • negative regulation of response to reactive oxygen species   • negative regulation of response to stimulus   • response to reactive oxygen species   • response to oxidative stress   • regulation of response to reactive oxygen species   • regulation of response to stress   • regulation of response to oxidative stress   • negative regulation of response to oxidative stress   • cell surface   • membrane microdomain   • cell periphery   • membrane raft   • plasma membrane raft   • membrane   • plasma membrane   • plasma membrane region   • caveola   • protein-containing complex   • receptor complex   • membrane-bounded organelle   • intracellular anatomical structure   • endosome   • intracellular vesicle   • intracellular membrane-bounded organelle   • endomembrane system   • intracellular organelle   • cytoplasmic vesicle   • organelle   • cytoplasm   • vesicle   • cell-cell junction   • apical junction complex   • bicellular tight junction   • tight junction   • anchoring junction   • cell junction   • G-protein beta-subunit binding   • fibroblast proliferation   • cellular response to nitrogen compound   • response to dopamine   • cellular response to dopamine   • response to monoamine   • response to catecholamine   • adenylate cyclase-activating dopamine receptor signaling pathway   • cellular response to catecholamine stimulus   • G protein-coupled dopamine receptor signaling pathway   • response to nitrogen compound   • cellular response to oxygen-containing compound   • cellular response to chemical stimulus   • cellular response to monoamine stimulus   • response to ketone   • response to prostaglandin   • response to endogenous stimulus   • cellular response to prostaglandin stimulus   • cellular response to endogenous stimulus   • cellular response to prostaglandin E stimulus   • cellular response to alcohol   • response to hormone   • cellular response to lipid   • response to prostaglandin E   • cellular response to ketone   • cellular response to hormone stimulus   • extrinsic component of plasma membrane   • catalytic complex   • plasma membrane protein complex   • cytoplasmic side of membrane   • membrane protein complex   • heterotrimeric G-protein complex   • side of membrane   • cytoplasmic side of plasma membrane   • GTPase complex   • extrinsic component of membrane   • extrinsic component of cytoplasmic side of plasma membrane   • extracellular exosome   • extracellular vesicle   • extracellular organelle   • extracellular membrane-bounded organelle   • synapse   • protein-containing complex binding   • pyrophosphatase activity   • GTPase activity   • ribonucleoside triphosphate phosphatase activity   • hydrolase activity, acting on acid anhydrides, in phosphorus-containing anhydrides   • hydrolase activity   • hydrolase activity, acting on acid anhydrides   • catalytic activity   • signaling receptor complex adaptor activity   • protein-macromolecule adaptor activity   • molecular adaptor activity   • signaling adaptor activity   • system process   • sensory perception of chemical stimulus   • sensory perception   • nervous system process   • sensory perception of taste   • sensory organ development   • eye development   • animal organ development   • retina development in camera-type eye   • visual system development   • camera-type eye development   • sensory system development   • system development   • Ras protein signal transduction   • phospholipase C-activating G protein-coupled receptor signaling pathway   • synaptic signaling   • cellular response to acetylcholine   • acetylcholine receptor signaling pathway   • postsynaptic signal transduction   • G protein-coupled acetylcholine receptor signaling pathway   • response to acetylcholine   • non-motile cilium   • 9+0 non-motile cilium   • cilium   • photoreceptor disc membrane   • photoreceptor outer segment   • photoreceptor cell cilium   • organelle membrane   • cytosol   • vacuolar membrane   • lytic vacuole   • vacuole   • lytic vacuole membrane   • bounding membrane of organelle   • lysosomal membrane   • lysosome   • guanyl nucleotide binding   • GTP binding   • nucleotide binding   • guanyl ribonucleotide binding   • purine ribonucleotide binding   • purine ribonucleoside triphosphate binding   • nucleoside phosphate binding   • ion binding   • purine nucleotide binding   • anion binding   • heterocyclic compound binding   • carbohydrate derivative binding   • ribonucleotide binding   • small molecule binding   • D1 dopamine receptor binding   • signaling receptor binding   • G protein-coupled receptor binding   • dopamine receptor binding   • G-protein beta/gamma-subunit complex binding   • G protein activity   • molecular function regulator activity   • enzyme regulator activity   • cyclase regulator activity   • enzyme activator activity   • cyclase activator activity   • molecular function activator activity   • adenylate cyclase regulator activity   • adenylate cyclase activator activity   • cation binding   • metal ion binding   • epithelium development   • ectodermal placode morphogenesis   • epidermis development   • molting cycle process   • hair cycle   • hair follicle placode formation   • tissue development   • ectodermal placode formation   • anatomical structure morphogenesis   • skin development   • skin epidermis development   • hair follicle development   • molting cycle   • anatomical structure formation involved in morphogenesis   • ectodermal placode development   • hair cycle process   • cellular homeostasis   • chemical homeostasis   • homeostatic process   • glucose homeostasis   • carbohydrate homeostasis   • intracellular chemical homeostasis   • intracellular glucose homeostasis   • neuromuscular process   • regulation of system process   • skeletal muscle contraction   • muscle contraction   • muscle system process   • regulation of muscle system process   • striated muscle contraction   • multicellular organismal movement   • musculoskeletal movement   • regulation of striated muscle contraction   • regulation of muscle contraction   • regulation of skeletal muscle contraction   • regulation of multicellular organismal process   • sensory perception of smell   • response to peptide hormone   • cellular response to peptide hormone stimulus   • response to glucagon   • cellular response to glucagon stimulus   • skeletal system development   • bone development   • response to pH   • cellular response to pH   • response to abiotic stimulus   • cellular response to acidic pH   • response to acidic pH   • cellular response to abiotic stimulus   • cellular response to environmental stimulus   • wound healing   • homotypic cell-cell adhesion   • cell activation   • hemostasis   • platelet aggregation   • blood coagulation   • cell adhesion   • cell-cell adhesion   • coagulation   • response to wounding   • platelet activation   • response to fluid shear stress   • vascular endothelial cell response to laminar fluid shear stress   • response to laminar fluid shear stress   • cellular response to stress   • cellular response to laminar fluid shear stress   • vascular endothelial cell response to fluid shear stress   • cellular response to fluid shear stress   • cognition   • developmental growth   • growth   • adaptive thermogenesis   • multicellular organismal-level homeostasis   • regulation of cold-induced thermogenesis   • cold-induced thermogenesis   • temperature homeostasis   • positive regulation of cold-induced thermogenesis   • positive regulation of multicellular organismal process   • positive regulation of establishment of protein localization   • establishment of localization in cell   • positive regulation of insulin secretion involved in cellular response to glucose stimulus   • positive regulation of insulin secretion   • regulation of peptide hormone secretion   • positive regulation of peptide hormone secretion   • regulation of protein secretion   • regulation of secretion   • cellular response to carbohydrate stimulus   • response to glucose   • positive regulation of protein localization   • insulin secretion involved in cellular response to glucose stimulus   • regulation of hormone secretion   • regulation of peptide secretion   • positive regulation of secretion by cell   • positive regulation of protein transport   • regulation of secretion by cell   • positive regulation of hormone secretion   • response to monosaccharide   • response to carbohydrate   • positive regulation of secretion   • cellular response to hexose stimulus   • cellular response to monosaccharide stimulus   • positive regulation of peptide secretion   • regulation of peptide transport   • regulation of establishment of protein localization   • cellular response to glucose stimulus   • regulation of protein transport   • positive regulation of protein secretion   • response to hexose   • regulation of insulin secretion   • regulation of insulin secretion involved in cellular response to glucose stimulus   • insulin secretion   • adenylate cyclase-activating adrenergic receptor signaling pathway   • adrenergic receptor signaling pathway   • serotonin receptor signaling pathway   • adenylate cyclase-activating serotonin receptor signaling pathway   • intracellular transport   • regulation of defense response   • regulation of response to external stimulus   • negative regulation of inflammatory response   • inflammatory response to antigenic stimulus   • regulation of immune system process   • negative regulation of inflammatory response to antigenic stimulus   • defense response   • immune response   • negative regulation of immune response   • regulation of inflammatory response to antigenic stimulus   • response to external stimulus   • regulation of inflammatory response   • negative regulation of immune system process   • immune system process   • negative regulation of response to external stimulus   • negative regulation of defense response   • regulation of immune response   • inflammatory response   • positive regulation of adenylate cyclase activity   • positive regulation of molecular function   • regulation of molecular function   • positive regulation of cyclase activity   • activation of adenylate cyclase activity   • regulation of adenylate cyclase activity   • regulation of catalytic activity   • positive regulation of catalytic activity   • positive regulation of lyase activity   • bile acid signaling pathway   • adenylate cyclase-activating G protein-coupled bile acid receptor signaling pathway   • renal system process   • multicellular organismal-level water homeostasis   • multicellular organismal-level chemical homeostasis   • renal water homeostasis   • Golgi apparatus subcompartment   • Golgi apparatus   • organelle subcompartment   • trans-Golgi network membrane   • trans-Golgi network
Gene OntologyCellular Component
SCOP2Domain Identifier• FnI-like domain   • Transducin (heterotrimeric G protein), gamma chain
SCOP2Family Identifier• FnI-like domain   • Transducin (heterotrimeric G protein), gamma chain
Membrane Protein Annotations-• Orientations of Proteins in Membranes database (OPM)   • Protein Data Bank of Transmembrane Proteins (PDBTM)   • MemProtMD


Details about the values in these tables can be found in the corresponding documentation page .
PDBsumOpen PDBsum Page
ChainA
ProteinG Protein α Sub unit
UniProtP63092
Sequence
>9P92_Chain_A
QRNEEKAQR EANKKIEKQ LQKDKQVYR ATHRLLLLG AGESGKTIV 
KQMRSGIFE TKFQVDKVN FHMFDVGQR DERRKWIQC FNDVTAIIF 
VVASSSNQT NRLQALLFS IWNNWLRSV ILFLNKQDL LAEKVLKIE 
DYFPEFARY TTPEDATPE PGEDPRVTR AKYFIRDEF LRISTASGD 
GRHYCYPHF TCDTENIRR VFNDCRDII QRMHLRQYE LLNAAKDKD 
T


Click on each residue to open a popup with some information about it.

ConSurf Conservation Grade (See documentation): 

 n/a   1    2    3    4    5    6    7    8    9  

ChainB
ProteinG Protein β Sub unit
UniProtP62873
Sequence
>9P92_Chain_B
ELDQLRQEA EQLKNQIRD ARKACADAT LSQITNNID PVGRIQMRT 
RRTLRGHLA KIYAMHWGT DSRLLVSAS QDGKLIIWD SYTTNKVHA 
IPLRSSWVM TCAYAPSGN YVACGGLDN ICSIYNLKT REGNVRVSR 
ELAGHTGYL SCCRFLDDN QIVTSSGDT TCALWDIET GQQTTTFTG 
HTGDVMSLS LAPDTRLFV SGACDASAK LWDVREGMC RQTFTGHES 
DINAICFFP NGNAFATGS DDATCRLFD LRADQELMT YSHDNIICG 
ITSVSFSKS GRLLLAGYD DFNCNVWDA LKADRAGVL AGHDNRVSC 
LGVTDDGMA VATGSWDSF LKIWN


Click on each residue to open a popup with some information about it.

ConSurf Conservation Grade (See documentation): 

 n/a   1    2    3    4    5    6    7    8    9  

ChainG
ProteinG Protein γ Sub unit
UniProtP59768
Sequence
>9P92_Chain_G
SIAQARKLV EQLKMEANI DRIKVSKAA ADLMAYCEA HAKEDPLLT 
PVPASENPF R


Click on each residue to open a popup with some information about it.

ConSurf Conservation Grade (See documentation): 

 n/a   1    2    3    4    5    6    7    8    9  

ChainL
ProteinVIP
UniProtP01282
Sequence
>9P92_Chain_L
HSDAVFTDN YTRLRKQMA VKKYLNSIL N


Click on each residue to open a popup with some information about it.

ConSurf Conservation Grade (See documentation): 

 n/a   1    2    3    4    5    6    7    8    9  

ChainR
ProteinReceptor
UniProtP41586
Sequence
>9P92_Chain_R
DCIFKKEQA MCLEKIQRA NCPGMWDNI TCWKPAHVG EMVLVSCPE 
LFRIFNPDQ VWETETIGE SDFGDSNSL DLSDMGVVS RNCTEDGWS 
EPFPHYFDA CGDQDYYYL SVKALYTVG YSTSLVTLT TAMVILCRF 
RKLHCTRNF IHMNLFVSF MLRAISVFI KDWILYAST VECKAVMVF 
FHYCVVSNY FWLFIEGLY LFTLLVETF FPERRYFYW YTIIGWGTP 
TVCVTVWAT LRLYFDDTG CWDMNDSTA LWWVIKGPV VGSIMVNFV 
LFIGIIVIL VQKLQSPIY LRLARSTLL LIPLFGIHY TVFAFSPEN 
VSKRERLVF ELGLGSFQG FVVAVLYCF LNGEVQAEI KRKWRSW


Click on each residue to open a popup with some information about it.

ConSurf Conservation Grade (See documentation): 

 n/a   1    2    3    4    5    6    7    8    9  




This receptor, from the same or other species and bound to the same or other ligands, is also present in the following networks:
Show PDB Class SubFamily Type SubType Species Orthosteric Ligand Other Ligand(s) Protein Partners Resolution Date DOI
6P9YB1PeptideVIP and PACAPPAC1Homo sapiensPACAP27-Gs/β1/γ23.012020-02-05doi.org/10.1016/j.molcel.2020.01.012
6P9Y (No Gprot) B1PeptideVIP and PACAPPAC1Homo sapiensPACAP27-3.012020-02-05doi.org/10.1016/j.molcel.2020.01.012
6LPBB1PeptideVIP and PACAPPAC1Homo sapiensPACAP27-Gs/β1/γ13.92020-03-11doi.org/10.1038/s41594-020-0386-8
6LPB (No Gprot) B1PeptideVIP and PACAPPAC1Homo sapiensPACAP27-3.92020-03-11doi.org/10.1038/s41594-020-0386-8
6M1HB1PeptideVIP and PACAPPAC1Homo sapiensMaxadilan-Gs/β1/γ23.62020-03-11doi.org/10.1038/s41422-020-0280-2
6M1H (No Gprot) B1PeptideVIP and PACAPPAC1Homo sapiensMaxadilan-3.62020-03-11doi.org/10.1038/s41422-020-0280-2
6M1IB1PeptideVIP and PACAPPAC1Homo sapiensPACAP27-Gs/β1/γ23.52020-03-11doi.org/10.1038/s41422-020-0280-2
6M1I (No Gprot) B1PeptideVIP and PACAPPAC1Homo sapiensPACAP27-3.52020-03-11doi.org/10.1038/s41422-020-0280-2
8E3XB1PeptideVIP and PACAPPAC1Homo sapiensPACAP27-Gs/β1/γ22.32022-11-23doi.org/10.1038/s41467-022-34629-3
8E3X (No Gprot) B1PeptideVIP and PACAPPAC1Homo sapiensPACAP27-2.32022-11-23doi.org/10.1038/s41467-022-34629-3
9P92 (No Gprot) B1PeptideVIP and PACAPPAC1Homo sapiensVIP-3.82025-11-1910.1073/pnas.2521157122
9P93B1PeptideVIP and PACAPPAC1Homo sapiensVIP-Gs/β1/γ23.22025-11-1910.1073/pnas.2521157122
9P93 (No Gprot) B1PeptideVIP and PACAPPAC1Homo sapiensVIP-3.22025-11-1910.1073/pnas.2521157122
9P94B1PeptideVIP and PACAPPAC1Homo sapiensPACAP27-Gs/β1/γ232025-11-1910.1073/pnas.2521157122
9P94 (No Gprot) B1PeptideVIP and PACAPPAC1Homo sapiensPACAP27-32025-11-1910.1073/pnas.2521157122




You can download a compressed (zip) file with structure(s), 3D outputs (as PyMol and VMD scripts) and numerical data files (as csv and plain text files).

Download 9P92.zip



You can click to copy the link of this page to easily come back here later

or use this QR code to link and share this page.



You can also  read or  download a guide explaining the meaning of all files and numerical data.