Color ConSurf Grade
      No Conservation data available
      1
      2
      3
      4
      5
      6
      7
      8
      9

Index: hub id, click on each number to highlight the corresponding hub in the 3D visualization.

Hub: the hub being considered.

Avg Int. Strength: the average interaction strength of all the links of the corresponding hub.

Num Of Links: the number of links of the corresponding hub.

Community: the id of the community the link belong to, otherwise 0.

ConSurf: this column reports the ConSurf conservation grades of each hub.

Index Hub Avg Int. Strength Num Of Links Community ConSurf
1A:A:V34 6.4985105
2A:A:L36 5.65107
3A:A:L37 7.172529
4A:A:T188 4.21754137
5A:A:F192 7.1654105
6A:A:F197 9.5685107
7A:A:M199 5.0945137
8A:A:F200 9.368526
9A:A:K211 7.03286729
10A:A:W212 5.39833629
11A:A:H214 6.9925428
12A:A:C215 5.395427
13A:A:F216 7.644529
14A:A:I222 5.76427
15A:A:Y231 8.35429758
16A:A:D232 13.1225459
17A:A:R243 8.1975409
18A:A:F251 8.9375459
19A:A:W259 8.612525
20A:A:F260 8.205429
21A:A:I265 4.485406
22A:A:I266 3.335408
23A:A:L267 5.3575459
24A:A:F268 5.901676149
25A:A:L269 5.14559
26A:A:N270 6.7265149
27A:A:L274 6.44216
28A:A:K278 6.9725459
29A:A:S282 5.8325456
30A:A:C287 5.455455
31A:A:Y291 8.985406
32A:A:Y297 7.6625404
33A:A:Y303 5.8675406
34A:A:F308 6.52558
35A:A:E319 10.1785114
36A:A:Y321 7.958336118
37A:A:T322 8.595455
38A:A:F324 5.3275405
39A:A:V333 3.4375408
40A:A:V336 3.044109
41A:A:F337 6.4885108
42A:A:V343 3.7254116
43A:A:L354 5.955407
44B:B:L7 4.32254228
45B:B:I18 4.02407
46B:B:L30 5.425405
47B:B:T34 3.36754235
48B:B:I37 4.2354232
49B:B:V40 4.35173
50B:B:L51 6.905499
51B:B:H54 8.98667699
52B:B:Y59 9.194528
53B:B:M61 5.5175406
54B:B:W63 8.7275407
55B:B:L70 6.15495
56B:B:S72 5.578599
57B:B:D76 7.2775499
58B:B:L79 4.278537
59B:B:I80 9.43498
60B:B:I81 5.522537
61B:B:W82 8.43714799
62B:B:N88 4.855407
63B:B:K89 6.41857799
64B:B:H91 6.2825435
65B:B:L95 5.192538
66B:B:W99 8.35714729
67B:B:C103 3.4525438
68B:B:Y105 5.41143736
69B:B:N110 6.5525444
70B:B:Y111 6.985644
71B:B:V112 4.8175438
72B:B:L117 4.984529
73B:B:N119 5.5625429
74B:B:C121 3.7375448
75B:B:I123 5.02546
76B:B:Y124 5.77636
77B:B:L126 5.3025435
78B:B:V133 7.24434
79B:B:L139 7.2425409
80B:B:H142 6.58571749
81B:B:Y145 5.9991028
82B:B:L146 4.4075447
83B:B:F151 5.82649
84B:B:D154 7.57446
85B:B:I157 4.695447
86B:B:V158 4.47475
87B:B:T159 5.68167649
88B:B:D163 7.06409
89B:B:C166 3.962578
90B:B:L168 4.058506
91B:B:W169 9.725648
92B:B:Q176 7.9225444
93B:B:F180 8.788577
94B:B:H183 9.288579
95B:B:V187 5.284579
96B:B:M188 5.8925428
97B:B:L190 4.954575
98B:B:L192 4.2825475
99B:B:F199 8.614579
100B:B:V200 6.8486
101B:B:S201 4.3525479
102B:B:C204 5.5225427
103B:B:K209 11.2725476
104B:B:L210 6.276585
105B:B:W211 9.27333678
106B:B:Q220 8.0425487
107B:B:F222 8.1588
108B:B:H225 8.04714789
109B:B:D228 8.852529
110B:B:I232 4.644588
111B:B:F234 6.1225405
112B:B:F235 8.0956126
113B:B:F241 9.79586
114B:B:T243 6.2775488
115B:B:D247 6.7525409
116B:B:T249 6.39586
117B:B:R251 11.098588
118B:B:F253 7.30833686
119B:B:D258 10.03487
120B:B:Q259 5.73406
121B:B:Y264 5.8425125
122B:B:C271 5.14155
123B:B:F278 5.993336127
124B:B:R283 8.145409
125B:B:L284 3.974175
126B:B:L285 5.4685126
127B:B:Y289 6.494297157
128B:B:N293 3.89254155
129B:B:C294 3.6825465
130B:B:N295 7.074156
131B:B:V296 4.945405
132B:B:A305 3.44174
133B:B:L308 7.2075467
134B:B:H311 8.10667669
135B:B:R314 16.0375428
136B:B:V315 4.0025467
137B:B:L318 3.94167666
138B:B:T321 6.57754247
139B:B:M325 5.355405
140B:B:V327 3.7825466
141B:B:T329 4.526568
142B:B:W332 11.8529729
143B:B:D333 9.4475469
144B:B:L336 4.6775497
145B:B:K337 11.15466
146B:B:W339 7.03769
147G:G:I9 4.925402
148G:G:R27 5.555408
149G:G:Y40 11.47754126
150G:G:D48 6.982569
151G:G:L51 3.358506
152G:G:N59 6.674189
153G:G:P60 7.44754189
154G:G:F61 5.538758188
155R:R:F10 9.714265
156R:R:I13 4.354267
157R:R:Y14 5.6614
158R:R:E17 3.105408
159R:R:S18 5.08416
160R:R:D46 9.2525209
161R:R:I48 5.2254169
162R:R:R56 9.915419
163R:R:F57 5.235416
164R:R:Q60 7.364517
165R:R:S63 6.122515
166R:R:N66 4.615405
167R:R:N67 8.062513
168R:R:Y71 9.185412
169R:R:W85 12.92615
170R:R:F87 8.275407
171R:R:N89 7.8175418
172R:R:L91 5.4575416
173R:R:F93 7.06857716
174R:R:L95 5.8417
175R:R:L98 5.87254166
176R:R:F102 8.2985168
177R:R:Y103 8.5725409
178R:R:K106 6.4775409
179R:R:R124 6.165405
180R:R:F126 6.576676167
181R:R:T137 6.455408
182R:R:I150 2.34402
183R:R:P188 8.9408
184R:R:F189 9.016516
185R:R:F192 7.54167618
186R:R:T196 5.89417
187R:R:C215 4.5354116
188R:R:S218 5.25254118
189R:R:M219 4.12754117
190R:R:R222 7.4925119
191R:R:F233 4.265417
192R:R:F236 12.966517
193R:R:Y239 7.296517
194R:R:F240 11.9625416
195R:R:I243 6.11413
196R:R:L258 6.2175412
197R:R:W259 13.3875413
198R:R:W261 5.6625404
199R:R:E262 9.722513
200R:R:V265 6.0575414
201R:R:Y266 8.0625814
202R:R:L270 3.5625407
203R:R:H272 8.49619
204R:R:L276 4.485419
205R:R:T282 6.1754208
206R:R:L283 4.6925409
207L:L:?1 11.4956910
   

Color ConSurf Grade
      No Conservation data available
      1
      2
      3
      4
      5
      6
      7
      8
      9

Index: link id, click on each number to highlight the corresponding link in the 3D visualization.

Node1 Node2: the two nodes of the corresponding link.

Recurrence: the relative Recurrence in the pool of shortest paths.

Int. Strength: the interaction strength between the two nodes.

Hub1?, Hub2?: "Yes" if the corresponding node has more than 3 links, otherwise "No".

Community: the id of the community the link belong to, otherwise 0.

ConSurf1, ConSurf2: these columns report the ConSurf conservation grades of the two nodes involved in a link.

Index Node1 Node2 Recurrence Int. Strength Hub1? Hub2? Community ConSurf1 ConSurf2
1A:A:I19 B:B:K89 13.23832.91NoYes099
2A:A:I19 A:A:R15 12.63996.26NoNo094
3A:A:R15 B:B:H91 12.34063.39NoYes045
4B:B:H54 B:B:I58 18.614211.93YesNo999
5B:B:I58 B:B:S316 19.81693.1NoNo099
6B:B:S316 B:B:W332 38.46144.94NoYes099
7A:A:H214 B:B:W332 39.42825.29YesYes289
8A:A:C215 A:A:H214 60.29324.42YesYes278
9A:A:C215 B:B:L117 99.88123.17YesYes279
10A:A:W212 B:B:L117 89.62365.69YesYes299
11A:A:R209 A:A:W212 1006NoYes099
12A:A:L250 A:A:R209 99.98284.86NoNo099
13A:A:F224 A:A:L250 99.96686.09NoNo099
14A:A:F224 A:A:G40 99.83863.01NoNo099
15A:A:G40 A:A:K46 99.81533.49NoNo099
16A:A:K46 A:A:L38 99.63955.64NoNo1399
17A:A:L38 A:A:M199 99.72135.65NoYes1397
18A:A:M199 A:A:M53 37.05515.78YesNo079
19A:A:M53 A:A:V333 31.29463.04NoYes098
20A:A:F192 A:A:V333 62.26745.24YesYes058
21A:A:F192 A:A:F337 61.13837.5YesYes1058
22A:A:F337 A:A:T341 91.49247.78YesNo086
23A:A:T341 R:R:S109 91.27533.2NoNo067
24A:A:I345 R:R:S109 91.05956.19NoNo067
25A:A:I345 A:A:L349 90.61582.85NoNo068
26A:A:L349 R:R:A225 89.71264.73NoNo089
27A:A:L354 R:R:A225 89.49444.73YesNo079
28A:A:L354 R:R:Y103 88.8710.55YesYes079
29R:R:F102 R:R:Y103 15.32284.13YesYes089
30B:B:H54 B:B:W82 10.22813.17YesYes999
31B:B:W332 B:B:Y59 40.69779.65YesYes298
32A:A:C215 B:B:Y59 39.52869.41YesYes278
33A:A:F190 A:A:M199 62.54894.98NoYes087
34A:A:F190 A:A:V333 31.25473.93NoYes088
35A:A:F190 A:A:F197 31.25716.08NoYes087
36A:A:F197 A:A:L195 30.6497.31YesNo1074
37A:A:F337 A:A:L195 30.73323.65YesNo1084
38A:A:F224 A:A:F251 10.054113.93NoYes099
39B:B:L117 B:B:Y145 10.49823.52YesYes298
40B:B:G162 B:B:Y145 17.49447.24NoYes098
41B:B:G162 B:B:S161 17.37583.71NoNo099
42B:B:R314 B:B:W332 42.521424.99YesYes289
43B:B:L30 B:B:T34 48.01492.95YesYes055
44B:B:L261 B:B:L30 43.95425.54NoYes055
45B:B:L261 G:G:V30 42.31534.47NoNo058
46B:B:Q259 G:G:V30 41.90867.16YesNo068
47B:B:Q259 B:B:R22 41.1078.18YesNo066
48B:B:I18 B:B:R22 12.82946.26YesNo076
49B:B:L300 B:B:T34 47.69162.95NoYes065
50B:B:D258 B:B:R22 28.040511.91YesNo076
51B:B:G319 B:B:M61 11.643.49NoYes056
52B:B:G319 B:B:S277 11.51813.71NoNo055
53B:B:L318 B:B:S277 10.22573YesNo065
54B:B:C317 B:B:M61 18.47268.1NoYes076
55B:B:H142 B:B:S161 16.554216.74YesNo099
56B:B:D258 B:B:F222 18.97784.78YesYes878
57B:B:F222 B:B:F253 10.32497.5YesYes886
58B:B:D290 B:B:R314 62.811727.4NoYes068
59B:B:C271 B:B:D290 62.62413.11YesNo056
60B:B:C271 B:B:Y289 61.44494.03YesYes1557
61B:B:I273 B:B:Y289 29.30437.25NoYes067
62B:B:C250 B:B:I273 28.92076.55NoNo086
63B:B:C250 B:B:L285 28.73123.17NoYes1286
64B:B:W297 B:B:Y289 30.30036.75NoYes087
65B:B:W297 B:B:Y264 29.373410.61NoYes085
66B:B:L285 B:B:Y264 28.80455.86YesYes1265
67B:B:F278 B:B:L285 55.588312.18YesYes1276
68B:B:L300 G:G:C41 46.87739.52NoNo067
69B:B:F235 G:G:C41 47.24614.19YesNo067
70B:B:F235 B:B:F278 53.67259.65YesYes1267
71R:R:L99 R:R:Y103 73.141912.89NoYes099
72R:R:L276 R:R:L99 67.91794.15YesNo099
73R:R:H272 R:R:L276 66.75815.14YesYes199
74R:R:H272 R:R:R56 45.351214.67YesYes199
75R:R:I269 R:R:R56 44.695310.02NoYes089
76R:R:I269 R:R:Y266 37.16436.04NoYes084
77L:L:?1 R:R:Y266 15.52266.17YesYes104
78R:R:F236 R:R:H272 16.39089.05YesYes179
79R:R:F236 R:R:F93 11.528316.08YesYes176
80R:R:T242 R:R:W261 15.52118.49NoYes064
81R:R:I245 R:R:W261 12.92745.87NoYes054
82R:R:F252 R:R:I245 11.49145.02NoNo025
83R:R:T242 R:R:V265 10.02899.52NoYes164
84B:B:C317 B:B:S316 18.58663.44NoNo079
85A:A:H214 A:A:W259 20.83948.46YesYes285
86A:A:W259 B:B:R314 20.66754YesYes258
Download PSN data

2D representation of the global metapath, ligand(s) interactions and
histograms of path distribution according to several parameters
(click on the image to enlarge it 🔍):

A 2D representation of the global communication in the network.

ConSurf Conservation Grade (See documentation): 

 n/a   1    2    3    4    5    6    7    8    9  

Number of shortest communication paths as a function of the average residue correlation.

Number of shortest communication paths as a function of the average interaction strength of their links.

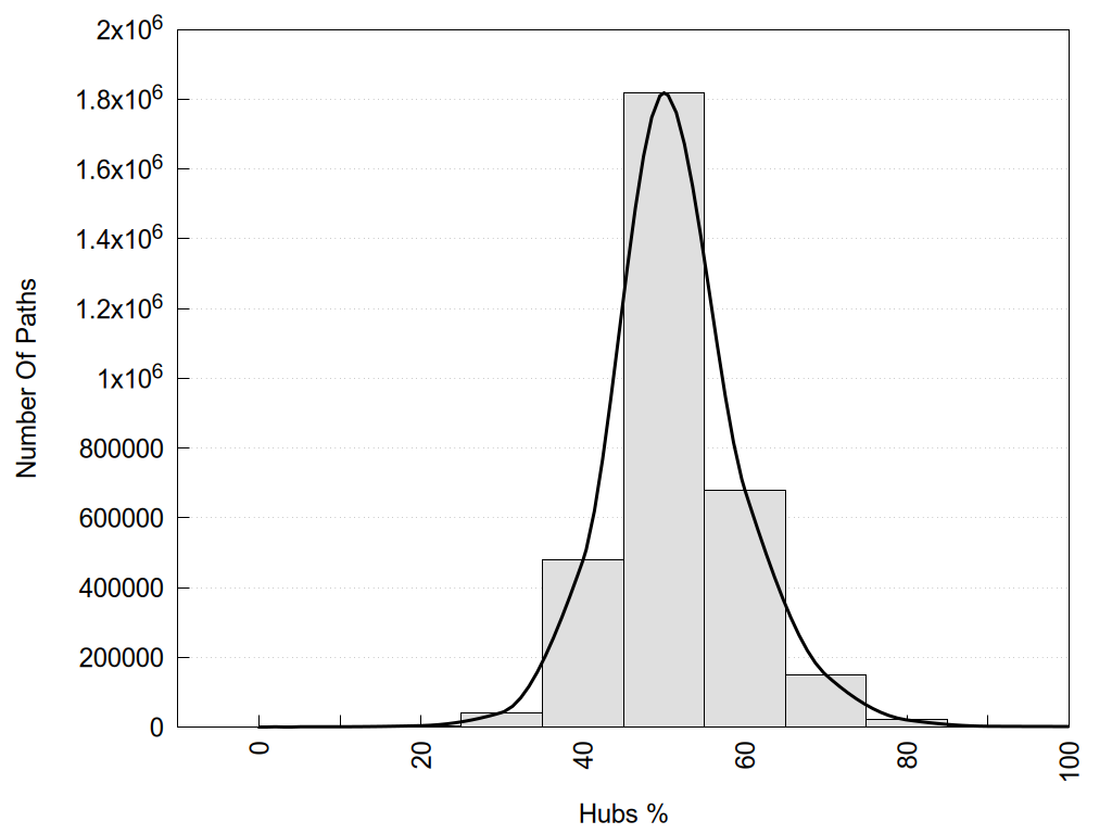
Number of shortest communication paths as a function of the % of hub nodes in each path.

Number of shortest communication paths as a function of the number of nodes in each path.

Number of shortest communication paths as a function of the % of correlated nodes in each path.


2D representation of the interactions of this orthosteric/allosteric ligand.


Links and nodes colored according to ConSurf Conservation Grade (See documentation): 

 n/a   1    2    3    4    5    6    7    8    9  

Node1 Node2 LinkStrength Comm IsNode1Hub? IsNode2Hub? Node1Cons Node2Cons Node1Shell Node2Shell
R:R:Q60 R:R:Y14 3.38 1 Yes Yes 7 4 2 2
R:R:S63 R:R:Y14 3.82 1 Yes Yes 5 4 1 2
R:R:N67 R:R:Y14 4.65 1 Yes Yes 3 4 1 2
R:R:E262 R:R:Y14 6.73 1 Yes Yes 3 4 1 2
R:R:Y14 R:R:Y266 9.93 1 Yes Yes 4 4 2 1
R:R:L59 R:R:W85 12.53 0 No Yes 5 5 2 1
R:R:Q60 R:R:Y266 11.27 1 Yes Yes 7 4 2 1
R:R:N67 R:R:S63 4.47 1 Yes Yes 3 5 1 1
R:R:S63 R:R:W85 4.94 1 Yes Yes 5 5 1 1
R:R:S63 R:R:Y266 11.45 1 Yes Yes 5 4 1 1
L:L:?1 R:R:S63 5.93 1 Yes Yes 0 5 0 1
R:R:N66 R:R:N80 4.09 0 Yes No 5 3 1 2
R:R:N66 R:R:T82 4.39 0 Yes No 5 1 1 2
L:L:?1 R:R:N66 7.23 1 Yes Yes 0 5 0 1
R:R:L258 R:R:N67 6.87 1 Yes Yes 2 3 2 1
R:R:E262 R:R:N67 17.09 1 Yes Yes 3 3 1 1
L:L:?1 R:R:N67 7.23 1 Yes Yes 0 3 0 1
R:R:N89 R:R:W85 10.17 1 Yes Yes 8 5 2 1
R:R:I243 R:R:W85 4.7 1 Yes Yes 3 5 2 1
R:R:W85 R:R:Y266 7.72 1 Yes Yes 5 4 1 1
L:L:?1 R:R:W85 37.46 1 Yes Yes 0 5 0 1
R:R:E86 R:R:H181 17.23 0 No No 4 2 1 2
L:L:?1 R:R:E86 11.33 1 Yes No 0 4 0 1
R:R:I243 R:R:V265 4.61 1 Yes Yes 3 4 2 2
R:R:T246 R:R:W261 6.06 0 No Yes 4 4 1 2
L:L:?1 R:R:T246 6.79 1 Yes No 0 4 0 1
L:L:?1 R:R:I247 5.63 1 Yes No 0 4 0 1
R:R:E262 R:R:R255 3.49 1 Yes No 3 5 1 2
R:R:E262 R:R:Y266 5.61 1 Yes Yes 3 4 1 1
L:L:?1 R:R:E262 15.69 1 Yes Yes 0 3 0 1
R:R:V265 R:R:Y266 6.31 1 Yes Yes 4 4 2 1
R:R:I269 R:R:Y266 6.04 0 No Yes 8 4 2 1
L:L:?1 R:R:Y266 6.17 1 Yes Yes 0 4 0 1
R:R:L81 R:R:N66 2.75 0 No Yes 2 5 2 1

Location and physicochemical properties of the interaction partners of this ligand

Interactions of this ligand

Similarities between the interactions of this ligand and those of other networks

ShowSimilarityNetwork TypeNameLigandDescription
63.64Single9KPESalicin9KPE-TAS2R16-Salicin-Gi1/β1/γ2
61.54Single9KPFSalicin9KPF-TAS2R16-Salicin-Gi1/β1/γ2
58.33Single9KPDSalicin9KPD-TAS2R16-Salicin-chim(Gs-CtGt3)/β1/γ2
50.00Single8EFOPZM218EFO-μ-PZM21-Gi1/β1/γ2
46.15Single9ODJMitragynine Pseudoindoxyl9ODJ-μ-Mitragynine Pseudoindoxyl-GTP; Mg-Gi1/β1/γ2
42.86Single4EA3PubChem 102965614EA3-NOP-PubChem 10296561
42.86Single5DHHSB-6121115DHH-NOP-SB-612111
42.86Single6KPFAM120336KPF-CB2-AM12033-Gi1/β1/γ2
42.86Single7T2GMitragynine Pseudoindoxyl7T2G-μ-Mitragynine Pseudoindoxyl-Gi1/β1/γ2
42.86Single7V3ZCP559407V3Z-CB1-CP55940
42.86Single7YXAONO-54306087YXA-S1P5-ONO-5430608
42.86Single9D61JDTic9D61-κ-JDTic-Gi1/β1/γ2
41.67Single7XP6Strychnine7XP6-TAS2R46-Strychnine-chim(Gs-CtGt3)/β1/γ2
41.67Single8YKWSuccinic acid8YKW-Succinate-Succinic acid-Gi1/β1/γ1
41.67Single9U9VMETH9U9V-β2-METH-Gs/β1/γ2
41.18Consensuscb1_on_gpOrthosteric Ligand6KPG-CB1-AM841-Gi1/β1/γ2 8K8J-CB1-Fenofibrate-chim(Gs-CtGq)/β1/γ2
40.00Single5C1MBU725C1M-μ-BU72
40.00Single6KPCAM120336KPC-CB2-AM12033
40.00Single7SBFPZM217SBF-μ-PZM21-Gi1/β1/γ2
40.00Single7X1TTaltirelin7X1T-TRH-Taltirelin-chim(NtGi2L-Gs-CtGq)/β1/γ2
40.00Single8DZQmomSalB8DZQ-κ-momSalB-Go/β1/γ2
40.00Single8DZRGR89,6968DZR-κ-GR89,696-chim(NtGi2-Gt3)/β1/γ2
40.00Single8K8JFenofibrate8K8J-CB1-Fenofibrate-chim(Gs-CtGq)/β1/γ2
40.00Single8S4DCMF-0198S4D-Apelin-CMF-019
40.00Single9MQKIsoquinuclidine9MQK-κ-Isoquinuclidine
40.00Consensuscb2_onOrthosteric Ligand8GUR-CB2-CP55940-Gi1/β1/γ2 8GUS-CB2-HU-308-Gi1/β1/γ2 8GUT-CB2-LEI-102-Gi1/β1/γ2 6KPF-CB2-AM12033-Gi1/β1/γ2 6PT0-CB2-WIN 55212-2-Gi1/β1/γ2 8GUQ-CB2-Olorinab-Gi1/β1/γ2
40.00Consensuscb2_on_gpOrthosteric Ligand8GUR-CB2-CP55940-Gi1/β1/γ2 8GUS-CB2-HU-308-Gi1/β1/γ2 8GUT-CB2-LEI-102-Gi1/β1/γ2 6KPF-CB2-AM12033-Gi1/β1/γ2 6PT0-CB2-WIN 55212-2-Gi1/β1/γ2 8GUQ-CB2-Olorinab-Gi1/β1/γ2
40.00Consensusd4_onOrthosteric Ligand8IRU-D4-Rotigotine-chim(NtGi1-Gs-CtGi1)/β1/γ2
40.00Consensuss1p5_offOrthosteric Ligand7YXA-S1P5-ONO-5430608
40.00Consensuss1p_offOrthosteric Ligands1p1_off s1p5_off
38.89Single5ZTYAM102575ZTY-CB2-AM10257
38.89Single8X3LXWD8X3L-CB2-XWD-Gi1/β1/γ2
38.89Consensuscb2_offOrthosteric Ligand5ZTY-CB2-AM10257
38.46Single4S0VSuvorexant4S0V-OX2-Suvorexant
38.46Single5WS3EMPA5WS3-OX2-EMPA
38.46Single6AKXA4R6AKX-CCR5-A4R
38.46Single6B73MP11046B73-κ-MP1104
38.46Single6TPJSuvorexant6TPJ-OX2-Suvorexant
38.46Single7EJ0Norepinephrine7EJ0-α2a-Norepinephrine-Go/β1/γ2
38.46Single7LD4Adenosine7LD4-A1-Adenosine-Gi2/β1/γ2
38.46Single8DWGML3828DWG-MRGPRX1-BAM8-22-ML382-chim(NtGi2L-Gs-CtGq)/β1/γ2
38.46Single8GGZConstrained Epinephrine8GGZ-β2-Constrained Epinephrine
38.46Single8WOGSuccinic acid8WOG-Succinate-Succinic acid-Gi1/β1/γ2
38.46Single8YKXMaleic acid8YKX-Succinate-Maleic acid-Gi1/β1/γ1
38.46Single9MQJIsoquinuclidine9MQJ-μ-Isoquinuclidine
38.46Single9VJEBuspirone9VJE-5-HT1A-Buspirone-Go/β1/γ2
38.46Single9W49U-50488H9W49-κ-U-50488H-Gi1/β1/γ2
38.46Consensusa1_onOrthosteric Ligand7LD4-A1-Adenosine-Gi2/β1/γ2
38.46Consensusa1_on_gpOrthosteric Ligand7LD4-A1-Adenosine-Gi2/β1/γ2
38.46Consensusalpha2_offOrthosteric Ligandalpha2c_off
38.46Consensusangiotensin_offOrthosteric Ligandat1_off
38.46Consensusgi_succinateOrthosteric Ligand8YKW-Succinate-Succinic acid-Gi1/β1/γ1 8YKX-Succinate-Maleic acid-Gi1/β1/γ1
38.46Consensusox1_offOrthosteric Ligand6TP6-OX1-Filorexant 6TP4-OX1-ACT-462206 6V9S-OX1-GTPL11403 6TOT-OX1-Lemborexant 6TP3-OX1-Nemorexant 6TQ6-OX1-PubChem 145714283 6TQ9-OX1-SB-408124 4ZJC-OX1-SB-674042 4ZJ8-OX1-Suvorexant 6TOD-OX1-EMPA-Na 6TOS-OX1-GSK1059865-Na 6TQ4-OX1-PubChem 16046844-Na
38.46Consensussuccinate_onOrthosteric Ligand8YKW-Succinate-Succinic acid-Gi1/β1/γ1 8YKX-Succinate-Maleic acid-Gi1/β1/γ1
38.46Consensussuccinate_on_gpOrthosteric Ligand8YKW-Succinate-Succinic acid-Gi1/β1/γ1 8YKX-Succinate-Maleic acid-Gi1/β1/γ1
37.50Single4DJHJDTic4DJH-κ-JDTic
37.50Single5XRAAM115425XRA-CB1-AM11542
37.50Single6GT3Imaradenant6GT3-A2A-Imaradenant-Na
37.50Single6KO5PubChem 574000026KO5-Ghrelin-PubChem 57400002
37.50Single6N4BMDMB-Fubinaca6N4B-CB1-MDMB-Fubinaca-Gi1/β1/γ2
37.50Single6TQ7SB-3348676TQ7-OX1-SB-334867
37.50Single7FEECP559407FEE-CB1-CP55940-ZCZ011
37.50Single7U2LC5-guano7U2L-μ-C5-guano-Gi1/β1/γ2
37.50Single7WV9CP559407WV9-CB1-CP55940-ZCZ011-Gi2/β1/γ2
37.50Single8DZPmomSalB8DZP-κ-momSalB-Gi1/β1/γ2
37.50Single8IRURotigotine8IRU-D4-Rotigotine-chim(NtGi1-Gs-CtGi1)/β1/γ2
37.50Single8IRVRotigotine8IRV-D5-Rotigotine-chim(NtGi1-Gs)/β1/γ2
37.50Single8T1VPubChem 1183102098T1V-GPR6-PubChem 118310209-Na
37.50Single8VVFJDTic8VVF-κ-JDTic-Gi1/β1/γ2
37.50Single9B65MDMB-Fubinaca9B65-CB1-MDMB-Fubinaca-Gi1/β1/γ2
37.50Single9EGOZ85267113509EGO-CB1-Z8526711350-Gi1/β1/γ2
37.50Consensusclass-a_offOrthosteric Ligandsensory_off alicarboxylic_off amine_off lipid_off nucleotide_off peptide_off protein_off
37.50Consensusd4_on_gpOrthosteric Ligand8IRU-D4-Rotigotine-chim(NtGi1-Gs-CtGi1)/β1/γ2
37.50Consensusd5_on_gpOrthosteric Ligand8IRV-D5-Rotigotine-chim(NtGi1-Gs)/β1/γ2
37.50Consensusgi_cannabinoidOrthosteric Ligand8GUR-CB2-CP55940-Gi1/β1/γ2 8GUS-CB2-HU-308-Gi1/β1/γ2 8GUT-CB2-LEI-102-Gi1/β1/γ2 8GUQ-CB2-Olorinab-Gi1/β1/γ2 6KPF-CB2-AM12033-Gi1/β1/γ2 6PT0-CB2-WIN 55212-2-Gi1/β1/γ2 6KPG-CB1-AM841-Gi1/β1/γ2
37.50Consensuskop_offOrthosteric Ligand4DJH-κ-JDTic
36.36Single8DPHLorcaserin8DPH-5-HT2C-Lorcaserin-chim(NtGi2L-Gs-CtGq)/β1/γ2
36.36Single8Z8ALactate8Z8A-HCA1-Lactate-Gi1/β1/γ2
35.71Single4LDOEpinephrine4LDO-β2-Epinephrine
35.71Single4MBSMaraviroc4MBS-CCR5-Maraviroc
35.71Single4ZJCSB-6740424ZJC-OX1-SB-674042
35.71Single4ZUDOlmesartan4ZUD-AT1-Olmesartan
35.71Single6IQLL7458706IQL-D4-L745870
35.71Single6K41Dexmedetomidine6K41-α2b-Dexmedetomidine-Go/β1/γ2
35.71Single6PS0Carazolol6PS0-β2-Carazolol
35.71Single6PS4ICI118-5516PS4-β2-ICI118-551
35.71Single6TOSGSK10598656TOS-OX1-GSK1059865-Na
35.71Single6TP3Nemorexant6TP3-OX1-Nemorexant
35.71Single6TPGEMPA6TPG-OX2-EMPA
35.71Single6V9SGTPL114036V9S-OX1-GTPL11403
35.71Single6VI4JDTic6VI4-κ-JDTic
35.71Single6ZFZ77-LH-28-16ZFZ-M1-77-LH-28-1
35.71Single7CMUPramipexole7CMU-D3-Pramipexole-Gi1/β1/γ2
35.71Single7EJ8Brimonidine7EJ8-α2a-Brimonidine-Go/β1/γ2
35.71Single7EJADexmedetomidine7EJA-α2a-Dexmedetomidine-Go/β1/γ2
35.71Single7RANPubChem 1645758477RAN-5-HT2A-PubChem 164575847-chim(NtGi2L-Gs-CtGq)/β1/γ2
35.71Single7SR8TAK-9257SR8-OX2-TAK-925-chim(NtGi1L-Gs-CtGq)/β1/γ2
35.71Single7VUGJNJ-635330547VUG-GPR139-JNJ-63533054-Gi1/β1/γ2
35.71Single8GGQConstrained Epinephrine8GGQ-β2-Constrained Epinephrine
35.71Single8GGXConstrained Epinephrine8GGX-β2-Constrained Epinephrine
35.71Single8K9KDAMGO8K9K-μ-DAMGO-Gi3/β1/γ1
35.71Single8THLEpinephrine8THL-Alpha1A-Epinephrine-chim(NtGi2L-Gs-CtGq)/β1/γ2
35.71Single8UO0Constrained Epinephrine8UO0-β2-Constrained Epinephrine-GTP-Gs/β1/γ2
35.71Single8Y45ADL58598Y45-δ-ADL5859-Gi2/β1/γ2
35.71Single8YH2Adenosine8YH2-A3A-Adenosine-Gi1/β1/γ2
35.71Single9AS5Mescaline9AS5-5-HT2A-Mescaline
35.71Single9AS6Mescaline9AS6-5-HT2A-Mescaline-chim(NtGi1-Gs-CtGq)/β1/γ2
35.71Single9JH3CMF-0199JH3-Apelin; Apelin-CMF-019-Gi1/β1/γ2
35.71Single9MQIIsoquinuclidine9MQI-μ-Isoquinuclidine
35.71Single9ODLMitragynine Pseudoindoxyl9ODL-μ-Mitragynine Pseudoindoxyl-GTP; Mg-Gi1/β1/γ2
35.71Single9PXXNaloxone9PXX-μ-Naloxone-GDPβS-Gi1/β1/γ2
35.71Consensusalpha1_onOrthosteric Ligandalpha1a_on
35.71Consensusalpha1_on_gpOrthosteric Ligandalpha1a_on_gp
35.71Consensusalpha1a_onOrthosteric Ligand7EJ0-α2a-Norepinephrine-Go/β1/γ2 7EJ8-α2a-Brimonidine-Go/β1/γ2 7EJA-α2a-Dexmedetomidine-Go/β1/γ2 7EJK-α2a-Oxymetazoline-Go/β1/γ2 7W6P-α2a-N-pyridin-4-ylisoquinolin-4-amine-Go/β1/γ2 7W7E-α2a-PubChem 164946676-Go/β1/γ2
35.71Consensusalpha1a_on_gpOrthosteric Ligand7EJ0-α2a-Norepinephrine-Go/β1/γ2 7EJ8-α2a-Brimonidine-Go/β1/γ2 7EJA-α2a-Dexmedetomidine-Go/β1/γ2 7EJK-α2a-Oxymetazoline-Go/β1/γ2 7W6P-α2a-N-pyridin-4-ylisoquinolin-4-amine-Go/β1/γ2 7W7E-α2a-PubChem 164946676-Go/β1/γ2
35.71Consensusat1_offOrthosteric Ligand4YAY-AT1-ZD-7155 4ZUD-AT1-Olmesartan
35.71Consensusd3_onOrthosteric Ligand7CMV-D3-PD128907-Gi1/β1/γ2 8IRT-D3-Rotigotine-Gi1/β1/γ2 7CMU-D3-Pramipexole-Gi1/β1/γ2
35.71Consensusd3_on_gpOrthosteric Ligand7CMV-D3-PD128907-Gi1/β1/γ2 8IRT-D3-Rotigotine-Gi1/β1/γ2 7CMU-D3-Pramipexole-Gi1/β1/γ2
35.71Consensusnop_offOrthosteric Ligand4EA3-NOP-PubChem 10296561 5DHG-NOP-C-35 5DHH-NOP-SB-612111
35.29Single6KQICP559406KQI-CB1-CP55940-Org27569
35.29Single7SUSPubChem 1227019087SUS-Apelin-PubChem 122701908
35.29Single7W0LPubChem 1227019087W0L-Apelin; Apelin-PubChem 122701908-Gi1/β1/γ2
35.29Single7YITNalfurafine7YIT-κ-Nalfurafine
35.29Single7YMJTamsulosin7YMJ-Alpha1A-Tamsulosin
35.29Single9DGIZ85267113509DGI-CB1-Z8526711350
35.29Single9MQLIsoquinuclidine9MQL-κ-Isoquinuclidine
35.29Single9V6ONalfurafine9V6O-κ-Nalfurafine-Gi1/β1/γ2
35.29Consensusalpha1_offOrthosteric Ligandalpha1a_off
35.29Consensusalpha1a_offOrthosteric Ligand7YMJ-Alpha1A-Tamsulosin
35.29Consensuscannabinoid_onOrthosteric Ligandcb2_on cb1_on
35.29Consensuscannabinoid_on_gpOrthosteric Ligandcb2_on_gp cb1_on_gp
35.29Consensuscb1_onOrthosteric Ligand6KPG-CB1-AM841-Gi1/β1/γ2 8K8J-CB1-Fenofibrate-chim(Gs-CtGq)/β1/γ2
35.29Consensuskop_onOrthosteric Ligand8F7W-κ-Dynorphin-Gi1/β1/γ2 8DZS-κ-GR89,696-chim(NtGi2-Gz)/β1/γ2 8DZP-κ-momSalB-Gi1/β1/γ2
35.29Consensusleukotriene_offOrthosteric Ligandblt_off cyslt_off
35.29Consensuslipid_offonOrthosteric Ligandlipid_off lipid_on
35.29Consensuslipid_offon_gpOrthosteric Ligandlipid_on_gp lipid_off
35.29Consensuslpl_offOrthosteric Ligands1p_off lpa_off
35.29Consensusmop_onOrthosteric Ligand8F7R-μ-Endomorphin-Gi1/β1/γ2 8EF5-μ-Fentanyl-Gi1/β1/γ2 7SCG-μ-FH210-Gi1/β1/γ2 7T2H-μ-Lofentanil-Gi1/β1/γ2 7T2G-μ-Mitragynine Pseudoindoxyl-Gi1/β1/γ2 8EF6-μ-Morphine-Gi1/β1/γ2 8EFB-μ-Oliceridine-Gi1/β1/γ2 7U2L-μ-C5-guano-Gi1/β1/γ2 8EFO-μ-PZM21-Gi1/β1/γ2 8EFL-μ-SR17018-Gi1/β1/γ2 8F7Q-μ-β-Endorphin-Gi1/β1/γ2 7U2K-μ-C6-guano-Gi1/β1/γ2 8EFQ-μ-DAMGO-Gi1/β1/γ2
35.29Consensusmop_on_gpOrthosteric Ligand8F7R-μ-Endomorphin-Gi1/β1/γ2 8EF5-μ-Fentanyl-Gi1/β1/γ2 7SCG-μ-FH210-Gi1/β1/γ2 7T2H-μ-Lofentanil-Gi1/β1/γ2 7T2G-μ-Mitragynine Pseudoindoxyl-Gi1/β1/γ2 8EF6-μ-Morphine-Gi1/β1/γ2 8EFB-μ-Oliceridine-Gi1/β1/γ2 7U2L-μ-C5-guano-Gi1/β1/γ2 8EFO-μ-PZM21-Gi1/β1/γ2 8EFL-μ-SR17018-Gi1/β1/γ2 8F7Q-μ-β-Endorphin-Gi1/β1/γ2 7U2K-μ-C6-guano-Gi1/β1/γ2 8EFQ-μ-DAMGO-Gi1/β1/γ2
35.29Consensusopioid_offOrthosteric Ligandmop_off nop_off dop_off kop_off
33.33Single2VT4Cyanopindolol2VT4-β1-Cyanopindolol
33.33Single2YCYCyanopindolol2YCY-β1-Cyanopindolol
33.33Single3NY8ICI118-5513NY8-β2-ICI118-551
33.33Single3NYAAlprenolol3NYA-β2-Alprenolol
33.33Single3ZPRPubChem 5987543ZPR-β1-PubChem 598754-Na
33.33Single4EJ4Naltrindole4EJ4-δ-Naltrindole
33.33Single4GBRCarazolol4GBR-β2-Carazolol
33.33Single4YAYZD-71554YAY-AT1-ZD-7155
33.33Single5DHGC-355DHG-NOP-C-35
33.33Single5OLZPubChem 1355666095OLZ-A2A-PubChem 135566609-Na
33.33Single5OM1PubChem 1355666095OM1-A2A-PubChem 135566609-Na
33.33Single5X93K-87945X93-ETB-K-8794
33.33Single6GPSMK08126GPS-CCR2-MK0812
33.33Single6IIVDaltroban6IIV-TXA2-Daltroban
33.33Single6K42Dexmedetomidine6K42-α2b-Dexmedetomidine-Gi1/β1/γ2
33.33Single6PRZAlprenolol6PRZ-β2-Alprenolol
33.33Single6PS1Timolol6PS1-β2-Timolol
33.33Single6TOTLemborexant6TOT-OX1-Lemborexant
33.33Single6W25SHU91196W25-MC4-SHU9119-Ca
33.33Single7BTSEpinephrine7BTS-β1-Epinephrine
33.33Single7BU6Norepinephrine7BU6-β1-Norepinephrine
33.33Single7BU7BI1671077BU7-β1-BI167107
33.33Single7CRHSKF839597CRH-D1-SKF83959-Gs/β1/γ2
33.33Single7DD7Ca; Ca; Tryptophan; Evocalcet7DD7-CaS; CaS-Ca-Ca; Ca; Tryptophan; Evocalcet
33.33Single7EJKOxymetazoline7EJK-α2a-Oxymetazoline-Go/β1/γ2
33.33Single7JVQApomorphine7JVQ-D1-Apomorphine-Gs/β1/γ2
33.33Single7S0GIsoprenaline7S0G-β1-Isoprenaline-chim(Gi1-CtGs)/β1/γ2
33.33Single7SCGFH2107SCG-μ-FH210-Gi1/β1/γ2
33.33Single7UL4Alvimopan7UL4-μ-Alvimopan
33.33Single7VIES1P7VIE-S1P1-S1P-Gi1/β1/γ2
33.33Single7X1UTRH7X1U-TRH-TRH-chim(NtGi2L-Gs-CtGq)/β1/γ2
33.33Single8DZSGR89,6968DZS-κ-GR89,696-chim(NtGi2-Gz)/β1/γ2
33.33Single8E0GBU728E0G-μ-BU72
33.33Single8GAGZ85267113508GAG-CB1-Z8526711350-Gi1/β1/γ2
33.33Single8GE2Constrained Epinephrine8GE2-β2-Constrained Epinephrine-Gs/β1/γ1
33.33Single8GE3Constrained Epinephrine8GE3-β2-Constrained Epinephrine-Gs/β1/γ2
33.33Single8GECConstrained Epinephrine8GEC-β2-Constrained Epinephrine-Gs/β1/γ2
33.33Single8GEEConstrained Epinephrine8GEE-β2-Constrained Epinephrine-Gs/β1/γ2
33.33Single8GEHConstrained Epinephrine8GEH-β2-Constrained Epinephrine-Gs/β1/γ2
33.33Single8GFVConstrained Epinephrine8GFV-β2-Constrained Epinephrine-GTP-Gs/β1/γ2
33.33Single8GFWConstrained Epinephrine8GFW-β2-Constrained Epinephrine-GTP-Gs/β1/γ2
33.33Single8GFXConstrained Epinephrine8GFX-β2-Constrained Epinephrine-GTP-Gs/β1/γ2
33.33Single8GFZConstrained Epinephrine8GFZ-β2-Constrained Epinephrine-GTP-Gs/β1/γ2
33.33Single8GG0Constrained Epinephrine8GG0-β2-Constrained Epinephrine-GTP-Gs/β1/γ2
33.33Single8GG1Constrained Epinephrine8GG1-β2-Constrained Epinephrine-GTP-Gs/β1/γ2
33.33Single8GG3Constrained Epinephrine8GG3-β2-Constrained Epinephrine-GTP-Gs/β1/γ2
33.33Single8GG4Constrained Epinephrine8GG4-β2-Constrained Epinephrine-GTP-Gs/β1/γ2
33.33Single8GG6Constrained Epinephrine8GG6-β2-Constrained Epinephrine-GTP-Gs/β1/γ2
33.33Single8GG9Constrained Epinephrine8GG9-β2-Constrained Epinephrine-GTP-Gs/β1/γ2
33.33Single8GGIConstrained Epinephrine8GGI-β2-Constrained Epinephrine
33.33Single8GGJConstrained Epinephrine8GGJ-β2-Constrained Epinephrine
33.33Single8GGKConstrained Epinephrine8GGK-β2-Constrained Epinephrine
33.33Single8GGNConstrained Epinephrine8GGN-β2-Constrained Epinephrine
33.33Single8GGOConstrained Epinephrine8GGO-β2-Constrained Epinephrine
33.33Single8GGUConstrained Epinephrine8GGU-β2-Constrained Epinephrine
33.33Single8GH1Constrained Epinephrine8GH1-β2-Constrained Epinephrine
33.33Single8IRTRotigotine8IRT-D3-Rotigotine-Gi1/β1/γ2
33.33Single8ITFDMCHA8ITF-TAA9-DMCHA-chim(NtGi1-Gs)/β1/γ2
33.33Single8JJOAlprenolol8JJO-β2-Alprenolol
33.33Single8JXTHistamine8JXT-H4-Histamine-PO4-Gi1/β1/γ2
33.33Single8UNQConstrained Epinephrine8UNQ-β2-Constrained Epinephrine-GTP-Gs/β1/γ2
33.33Single8UNVConstrained Epinephrine8UNV-β2-Constrained Epinephrine-GTP-Gs/β1/γ2
33.33Single8UNYConstrained Epinephrine8UNY-β2-Constrained Epinephrine-GTP-Gs/β1/γ2
33.33Single8UNZConstrained Epinephrine8UNZ-β2-Constrained Epinephrine-GTP-Gs/β1/γ2
33.33Single8UO2Constrained Epinephrine8UO2-β2-Constrained Epinephrine-GTP-Gs/β1/γ2
33.33Single8WC9ZH86518WC9-TA1-ZH8651-chim(NtGi1-Gs-CtGq)/β1/γ2
33.33Single8WRZAM8418WRZ-CB1-AM841-Arrestin2
33.33Single8XGSKisspeptin-18XGS-Kiss1-Kisspeptin-1-chim(NtGi1-Gq)/β1/γ2
33.33Single8XIOL7975918XIO-SST1-L797591-chim(NtGi1-Gs-CtGi1)/β1/γ2
33.33Single8XVKAmbrisentan8XVK-ETA-Ambrisentan
33.33Single8Y71A1D6F8Y71-δ-A1D6F-BMS986187-Gi1/β1/γ2
33.33Single8YN9Histamine8YN9-H4-Histamine-Gi1/β1/γ2
33.33Single8YUUHistamine8YUU-H3-Histamine-Gi1/β1/γ1
33.33Single9CBMDexmedetomidine9CBM-α2a-Dexmedetomidine-Gi1/β1/γ2
33.33Single9JG1Adriforant9JG1-H4-Adriforant
33.33Single9JQZGrapiprant 9JQZ-EP4-Grapiprant
33.33Single9KT93,5-DHBA9KT9-HCA1-3,5-DHBA-Gi1/β1/γ2
33.33Single9KUGEP679KUG-C5a1-EP67-Go/β1/γ2
33.33Single9KUXCMPD6449KUX-Apelin; Apelin-CMPD644-Arrestin2
33.33Single9LRCHistamine9LRC-H4-Histamine
33.33Single9LREHistamine9LRE-H4-Histamine-Gi1/β1/γ2
33.33Single9M54Neuropeptide-VF9M54-NPFF2-Neuropeptide-VF-Gi1/β1/γ2
33.33Single9PLNPubChem 1682595949PLN-α2a-PubChem 168259594
33.33Single9PLOPubChem 1682595949PLO-α2a-PubChem 168259594-Go/β1/γ2
33.33Single9PQDPubChem 1764919279PQD-α2a-PubChem 176491927
33.33Single9PXWNaloxone9PXW-μ-Naloxone-GDPβS-Gi1/β1/γ2
33.33Consensus5ht2_onOrthosteric Ligand5ht2b_on
33.33Consensus5ht2b_onOrthosteric Ligand7SRR-5-HT2B-LSD-chim(NtGi2L-Gs-CtGq)/β1/γ2
33.33Consensusadenosine_on_gpOrthosteric Liganda1_on_gp a2_on_gp a3_on_gp
33.33Consensusadrenergic_onOrthosteric Ligandalpha_on beta_on
33.33Consensusalicarboxylic_on_gpOrthosteric Ligandsuccinate_on_gp hca_on_gp
33.33Consensusalpha2_onOrthosteric Ligandalpha2b_on
33.33Consensusalpha2_on_gpOrthosteric Ligandalpha2b_on_gp
33.33Consensusalpha2b_onOrthosteric Ligand6K42-α2b-Dexmedetomidine-Gi1/β1/γ2
33.33Consensusalpha2b_on_gpOrthosteric Ligand6K42-α2b-Dexmedetomidine-Gi1/β1/γ2
33.33Consensusalpha_onOrthosteric Ligandalpha1_on alpha2_on
33.33Consensusccr2_offOrthosteric Ligand6GPS-CCR2-MK0812
33.33Consensusdop_offOrthosteric Ligand4EJ4-δ-Naltrindole
33.33Consensusdopamine_offOrthosteric Ligandd2_off d3_off
33.33Consensusdopamine_onOrthosteric Ligandd2_on d1_on d3_on d4_on d5_on
33.33Consensusdopamine_on_gpOrthosteric Ligandd2_on_gp d1_on_gp d3_on_gp d4_on_gp d5_on_gp
33.33Consensusendothelin_offOrthosteric Ligandetb_off
33.33Consensusetb_offOrthosteric Ligand5X93-ETB-K-8794 5XPR-ETB-Bosentan 6K1Q-ETB-IRL2500
33.33Consensusgi_alicarboxylicOrthosteric Ligandgi_hca gi_succinate
33.33Consensush3_onOrthosteric Ligand8YUU-H3-Histamine-Gi1/β1/γ1
33.33Consensush3_on_gpOrthosteric Ligand8YUU-H3-Histamine-Gi1/β1/γ1
33.33Consensuskop_on_gpOrthosteric Ligand8F7W-κ-Dynorphin-Gi1/β1/γ2 8DZS-κ-GR89,696-chim(NtGi2-Gz)/β1/γ2 8DZP-κ-momSalB-Gi1/β1/γ2
33.33Consensuslipid_offOrthosteric Ligandcannabinoid_off paf_off lpl_off prostanoid_off leukotriene_off
31.58Single8X5YAstemizole8X5Y-H1-Astemizole
31.58Single9M0RNeuropeptide-VF9M0R-NPFF1-Neuropeptide-VF-Gi1/β1/γ2
31.25Single2RH1Carazolol2RH1-β2-Carazolol
31.25Single2YCWCarazolol2YCW-β1-Carazolol
31.25Single4ZJ8Suvorexant4ZJ8-OX1-Suvorexant
31.25Single5D6LCarazolol5D6L-β2-Carazolol
31.25Single5JQHCarazolol5JQH-β2-Carazolol
31.25Single5OM4PubChem 1355666095OM4-A2A-PubChem 135566609-Na
31.25Single5WQCEMPA5WQC-OX2-EMPA
31.25Single5X7DCarazolol5X7D-β2-Carazolol-PubChem 129318963
31.25Single6GPXMK08126GPX-CCR2-MK0812
31.25Single6HLPNetupitant6HLP-NK1-Netupitant
31.25Single6KUWPubChem 572132346KUW-α2c-PubChem 57213234
31.25Single6PS3Carvedilol6PS3-β2-Carvedilol
31.25Single6PS6Timolol6PS6-β2-Timolol
31.25Single6TO7Suvorexant6TO7-OX1-Suvorexant-Na
31.25Single6TP6Filorexant6TP6-OX1-Filorexant
31.25Single7BVQCarazolol7BVQ-β1-Carazolol
31.25Single7C61Ergotamine7C61-5-HT1B-Ergotamine
31.25Single7LD3Adenosine7LD3-A1-Adenosine-MIPS521-Gi2/β1/γ2
31.25Single7S0FIsoprenaline7S0F-β1-Isoprenaline-Gi1/β1/γ2
31.25Single7VUHJNJ-635330547VUH-GPR139-JNJ-63533054-chim(Gs-CtGq)/β1/γ2
31.25Single7WC6LSD7WC6-5-HT2A-LSD
31.25Single7XK9Constrained Isoproterenol7XK9-β2-Constrained Isoproterenol-Na
31.25Single7XKAConstrained Epinephrine7XKA-β2-Constrained Epinephrine
31.25Single8EFBOliceridine8EFB-μ-Oliceridine-Gi1/β1/γ2
31.25Single8GDZConstrained Epinephrine8GDZ-β2-Constrained Epinephrine-Gs/β1/γ2
31.25Single8GEBConstrained Epinephrine8GEB-β2-Constrained Epinephrine-Gs/β1/γ2
31.25Single8GEGConstrained Epinephrine8GEG-β2-Constrained Epinephrine-Gs/β1/γ2
31.25Single8GFYConstrained Epinephrine8GFY-β2-Constrained Epinephrine-GTP-Gs/β1/γ2
31.25Single8GG2Constrained Epinephrine8GG2-β2-Constrained Epinephrine-GTP-Gs/β1/γ2
31.25Single8GGBConstrained Epinephrine8GGB-β2-Constrained Epinephrine-GTP-Gs/β1/γ2
31.25Single8J6JGSK2560738J6J-HCA2-GSK256073-Gi1/β1/γ2
31.25Single8KFXLMD-0098KFX-CCR8-LMD-009-Gi1/β1/γ2
31.25Single8TH4Losartan8TH4-AT1-Losartan-AT118-L Nanobody
31.25Single8UNNConstrained Epinephrine8UNN-β2-Constrained Epinephrine-GTP-Gs/β1/γ2
31.25Single8UNPConstrained Epinephrine8UNP-β2-Constrained Epinephrine-GTP-Gs/β1/γ2
31.25Single8YNSSNAP-948478YNS-MCH1-SNAP-94847
31.25Single9AXFCa; Ca; Ca; Cyclomethyltryptophan; R-568; PO49AXF-CaS; CaS-Ca-Ca; Ca; Ca; Cyclomethyltryptophan; R-568; PO4-chim(NtGi1-Gs-CtGq)/β1/γ2
31.25Single9AYFCa; Ca; Ca; Cyclomethyltryptophan; R-568; PO49AYF-CaS; CaS-Ca-Ca; Ca; Ca; Cyclomethyltryptophan; R-568; PO4-Gi1/β1/γ2
31.25Single9EAHOlmesartan9EAH-AT1-Olmesartan-Nanobody AT209
31.25Single9EE8Adenosine9EE8-A2A-Adenosine-Gs/β1/γ2
31.25Single9ERXD9-THC analog9ERX-CB1-D9-THC analog-Gi1/β1/γ2
31.25Single9HAPTolvaptan9HAP-V2-Tolvaptan
31.25Single9I52A1IZU9I52-D1-A1IZU-Gs/β1/γ2
31.25Single9KUVCMPD6449KUV-Apelin-CMPD644-Arrestin2
31.25Single9L74S1P d16:19L74-S1P3-S1P d16:1-chim(NtGi2L-Gs-CtGq)/β1/γ2
31.25Single9PXYNaloxone9PXY-μ-Naloxone-GDPβS-Gi1/β1/γ2
31.25Single9VJFBuspirone9VJF-5-HT1A-Buspirone-Gi3/β1/γ2
31.25Consensus5ht5_on_gpOrthosteric Ligand5ht5a_on_gp
31.25Consensus5ht5a_on_gpOrthosteric Ligand7X5H-5-HT5A-5-CT-Gi1/β1/γ2 7UM6-5-HT5A-Lisuride-chim(NtGi1-Go)/β1/γ2 7UM7-5-HT5A-Methylergometrine-chim(NtGi1-Go)/β1/γ2
31.25Consensusadrenergic_offOrthosteric Ligandalpha_off beta_off
31.25Consensusadrenergic_on_gpOrthosteric Ligandalpha_on_gp beta_on_gp
31.25Consensusalpha2c_offOrthosteric Ligand6KUW-α2c-PubChem 57213234
31.25Consensusalpha_offOrthosteric Ligandalpha1_off alpha2_off
31.25Consensusalpha_on_gpOrthosteric Ligandalpha1_on_gp alpha2_on_gp
31.25Consensusamine_offOrthosteric Ligand5ht_off adrenergic_off dopamine_off histamine_off muscarinic_off
31.25Consensusamine_offonOrthosteric Ligandamine_off amine_on
31.25Consensusamine_offon_gpOrthosteric Ligandamine_on_gp amine_off
31.25Consensusamine_onOrthosteric Ligand5ht_on adrenergic_on dopamine_on histamine_on muscarinic_on trace-amine_on
31.25Consensusbeta2_offOrthosteric Ligand2RH1-β2-Carazolol 6PS3-β2-Carvedilol 6PS5-β2-Propranolol 3D4S-β2-Timolol 3NY8-β2-ICI118-551 3NY9-β2-PubChem 913103 6PRZ-β2-Alprenolol
31.25Consensusbeta_offOrthosteric Ligandbeta1_off beta2_off
31.25Consensusgi_adrenergicOrthosteric Ligand7EJ0-α2a-Norepinephrine-Go/β1/γ2 7EJK-α2a-Oxymetazoline-Go/β1/γ2 7W7E-α2a-PubChem 164946676-Go/β1/γ2 7W6P-α2a-N-pyridin-4-ylisoquinolin-4-amine-Go/β1/γ2 7EJ8-α2a-Brimonidine-Go/β1/γ2 6K42-α2b-Dexmedetomidine-Gi1/β1/γ2 7EJA-α2a-Dexmedetomidine-Go/β1/γ2 7S0F-β1-Isoprenaline-Gi1/β1/γ2
31.25Consensusgs_amineOrthosteric Ligandgs_5ht gs_adrenergic gs_dopamine gs_histamine gs_trace-amine
30.77Single3PBLEticlopride3PBL-D3-Eticlopride
30.77Single7DD5Ca; Ca; Tryptophan; NPS-21437DD5-CaS; CaS-Ca-Ca; Ca; Tryptophan; NPS-2143
30.77Single7DD7Ca; Ca; Tryptophan; Evocalcet7DD7-CaS; CaS-Ca-Ca; Ca; Tryptophan; Evocalcet
30.77Single7SRQLSD7SRQ-5-HT2B-LSD
30.77Single7VUIJNJ-635330547VUI-GPR139-JNJ-63533054-GTP-chim(Gs-CtGq)/β1/γ2
30.77Single7YFDImetit7YFD-H4-Imetit-chim(NtGi1-Gs-CtGq)/β1/γ2
30.77Single8H2GNiacin8H2G-HCA2-Niacin-Gi1/β1/γ2
30.77Single8HN8Histamine8HN8-H4-Histamine-Gi1/β1/γ2
30.77Single8JPNCis-Epoxysuccinic acid8JPN-Succinate-Cis-Epoxysuccinic acid-Gi1/β1/γ1
30.77Single8K5BNiacin8K5B-HCA2-Niacin
30.77Single8WP1Cis-Epoxysuccinic acid8WP1-Succinate-Cis-Epoxysuccinic acid-Gi1/β1/γ2
30.77Single8YH3N-methyladenosine8YH3-A3A-N-methyladenosine-Gi1/β1/γ2
30.77Single8YN4Histamine8YN4-H2-Histamine-chim(NtGi1L-Gs-CtGq)/β1/γ2
30.77Single8YN5Histamine8YN5-H3-Histamine-Gi1/β1/γ2
30.77Single8YN6Imetit8YN6-H3-Imetit-Gi1/β1/γ2
30.77Single8YN7Immethridine8YN7-H3-Immethridine-Go/β1/γ2
30.77Single9IXJHistamine9IXJ-H2-Histamine-Gs/β1/γ2
30.77Single9JEDHistamine9JED-H4-Histamine-PO4-Gi1/β1/γ2
30.77Single9JEQHistamine9JEQ-H3-Histamine-Gi1/β1/γ2
30.77Single9KUWCMPD6449KUW-Apelin; Apelin-CMPD644-Arrestin2 ; Arrestin2
30.77Single9L42Histamine9L42-H4-Histamine-Gi1/β1/γ2
30.77Consensusd3_offOrthosteric Ligand3PBL-D3-Eticlopride
30.77Consensush4_onOrthosteric Ligand8HN8-H4-Histamine-Gi1/β1/γ2 8HOC-H4-Imetit-Gi1/β1/γ2 8JXV-H4-Clozapine-Gi1/β1/γ2 8JXW-H4-VUF6884-Gi1/β1/γ2 8JXX-H4-Clobenpropit-Gi1/β1/γ2
30.00Single7W0PElabela7W0P-Apelin-Elabela-Gi1/β1/γ2
30.00Single8DCRDobutamine8DCR-β1-Dobutamine-Gs/β1/γ2
30.00Single8GHVAMG3158GHV-CB1-AMG315-Gi1/β1/γ2
30.00Consensusclass-a_on_gpOrthosteric Ligandsensory_on_gp alicarboxylic_on_gp amine_on_gp lipid_on_gp nucleotide_on_gp peptide_on_gp protein_on_gp
30.00Consensusgi_opioidOrthosteric Ligand8F7R-μ-Endomorphin-Gi1/β1/γ2 8EF5-μ-Fentanyl-Gi1/β1/γ2 7SCG-μ-FH210-Gi1/β1/γ2 7T2H-μ-Lofentanil-Gi1/β1/γ2 7T2G-μ-Mitragynine Pseudoindoxyl-Gi1/β1/γ2 8DZP-κ-momSalB-Gi1/β1/γ2 8EF6-μ-Morphine-Gi1/β1/γ2 8F7X-NOP-Nociceptin-Gi1/β1/γ2 8EFB-μ-Oliceridine-Gi1/β1/γ2 7U2L-μ-C5-guano-Gi1/β1/γ2 8EFO-μ-PZM21-Gi1/β1/γ2 8EFL-μ-SR17018-Gi1/β1/γ2 8F7Q-μ-β-Endorphin-Gi1/β1/γ2 7U2K-μ-C6-guano-Gi1/β1/γ2 8EFQ-μ-DAMGO-Gi1/β1/γ2 8F7S-δ-Deltorphin-Gi1/β1/γ2 8F7W-κ-Dynorphin-Gi1/β1/γ2
30.00Consensusmop_offOrthosteric Ligand4DKL-μ-β-Funaltrexamine 8QOT-μ-Nanobody-E 7UL4-μ-Alvimopan
29.41Single2YDVNECA2YDV-A2A-NECA
29.41Single4UHRCGS216804UHR-A2A-CGS21680
29.41Single5A8E7-Methylcyanopindolol5A8E-β1-7-Methylcyanopindolol-Na
29.41Single5D5ACarazolol5D5A-β2-Carazolol
29.41Single5D5BCarazolol5D5B-β2-Carazolol
29.41Single5G53NECA5G53-A2A-NECA-Gs
29.41Single5XR8AM120335XR8-CB1-AM12033
29.41Single6H7JIsoprenaline6H7J-β1-Isoprenaline
29.41Single6N48BI1671076N48-β2-BI167107-PubChem 138454256
29.41Single7EW7SEW28717EW7-S1P1-SEW2871-Gi1/β1/γ2
29.41Single7JJOIsoprenaline7JJO-β1-Isoprenaline-Gs/β1/γ2
29.41Single7T2HLofentanil7T2H-μ-Lofentanil-Gi1/β1/γ2
29.41Single7TUYGSK682753A7TUY-GPR183-GSK682753A
29.41Single7W6PN-pyridin-4-ylisoquinolin-4-amine7W6P-α2a-N-pyridin-4-ylisoquinolin-4-amine-Go/β1/γ2
29.41Single7W7EPubChem 1649466767W7E-α2a-PubChem 164946676-Go/β1/γ2
29.41Single8DCSCyanopindolol8DCS-β1-Cyanopindolol-Gs/β1/γ2
29.41Single8EF5Fentanyl8EF5-μ-Fentanyl-Gi1/β1/γ2
29.41Single8EFLSR170188EFL-μ-SR17018-Gi1/β1/γ2
29.41Single8GDBPGE28GDB-EP4-PGE2-Gs/β1/γ2
29.41Single8GUSHU-3088GUS-CB2-HU-308-Gi1/β1/γ2
29.41Single8HPTC5a (C-terminal peptide)8HPT-C5a1-C5a (C-terminal peptide)-Go/β1/γ2
29.41Single8IRRRotigotine8IRR-D1-Rotigotine-Gs/β1/γ2
29.41Single8JSRAnamorelin8JSR-Ghrelin-Anamorelin-chim(NtGi1-Gs-CtGq)/β1/γ2
29.41Single8JXVClozapine8JXV-H4-Clozapine-Gi1/β1/γ2
29.41Single8WU1MDMB-Fubinaca8WU1-CB1-MDMB-Fubinaca-Arrestin2
29.41Single8X79MRE-2698X79-I2-MRE-269-Gs/β1/γ2
29.41Single8XVLZibotentan8XVL-ETA-Zibotentan
29.41Single8XZICMF-0198XZI-Apelin; Apelin-CMF-019-Gi1/β1/γ2
29.41Single8YNTSNAP-948478YNT-MCH1-SNAP-94847
29.41Single8ZW0PGD28ZW0-DP1-PGD2-Gs/β1/γ2
29.41Single8ZWFJR14a8ZWF-C3aB-JR14a
29.41Single9BJKNaloxone9BJK-μ-Naloxone-PubChem 171642066
29.41Single9BS9LSD9BS9-D2-LSD
29.41Single9BSBLSD9BSB-D2-LSD-chim(NtGi1-Go)/β1/γ2
29.41Single9IJDCarazolol9IJD-β3-Carazolol-chim(NtGi1-Gs)/β1/γ2
29.41Single9IK9Lanreotide9IK9-SST1-Lanreotide-Gi1/β1/γ2
29.41Single9JMCDS-3801b9JMC-Motilin-DS-3801b-chim(Gs-CtGq)/β1/γ2
29.41Single9KUXCMPD6449KUX-Apelin; Apelin-CMPD644-Arrestin2
29.41Single9KVPSB2901579KVP-C3aB-SB290157-Go/β1/γ2
29.41Single9PY3Loperamide9PY3-μ-Loperamide-GDPβS-Gi1/β1/γ2
29.41Single9PY4Loperamide9PY4-μ-Loperamide-GDPβS-Gi1/β1/γ2
29.41Single9RHGC4079RHG-FZD7-C407
29.41Consensusamine_on_gpOrthosteric Ligand5ht_on_gp adrenergic_on_gp dopamine_on_gp histamine_on_gp muscarinic_on_gp trace-amine_on_gp
29.41Consensusbeta1_offOrthosteric Ligand2VT4-β1-Cyanopindolol 2YCW-β1-Carazolol 2YCZ-β1-Iodocyanopindolol 5A8E-β1-7-Methylcyanopindolol-Na 3ZPQ-β1-PubChem 594590-Na 3ZPR-β1-PubChem 598754-Na
29.41Consensusbeta2_onOrthosteric Ligand7DHI-β2-Salbutamol-Gs/β1/γ2 6NI3-β2-BI167107-Gs/β1/γ2
29.41Consensusbeta2_on_gpOrthosteric Ligand7DHI-β2-Salbutamol-Gs/β1/γ2 6NI3-β2-BI167107-Gs/β1/γ2
29.41Consensusd1_on_gpOrthosteric Ligand7F0T-D1-Dopamine-Gs/β1/γ2 7CKY-D1-PW0464-Gs/β1/γ2 8IRR-D1-Rotigotine-Gs/β1/γ2 7JV5-D1-SKF81297-Gs/β1/γ2 7JVP-D1-SKF83959-Gs/β1/γ2 7X2D-D1-Tavapadon-Gs/β1/γ2 7CKX-D1-A77636-Gs/β1/γ2 7JVQ-D1-Apomorphine-Gs/β1/γ2 7CKW-D1-Fenoldopam-Gs/β1/γ2
29.41Consensusgi_5htOrthosteric Ligand8FYT-5-HT1A-LSD-PtdIns4P-Gi1/β1/γ1 7UM7-5-HT5A-Methylergometrine-chim(NtGi1-Go)/β1/γ2 8UGY-5-HT1E-Mianserin-Gi1/β1/γ1 8W8B-5-HT1A-SEP-363856-Gi1/β1/γ2 7E2Y-5-HT1A-Serotonin-PtdIns4P-Gi1/β1/γ2 7E32-5-HT1D-Serotonin-Gi1/β1/γ2 7XTA-5-HT4-Serotonin-Gi1/β1/γ2 8UH3-5-HT1E-Setiptiline-Gi1/β1/γ1 8JSP-5-HT1A-Ulotaront-Gi1/β1/γ2 8FYL-5-HT1A-Vilazodone-PtdIns4P-Gi1/β1/γ1 8JT6-5-HT1A-(R)-IHCH-7179-PtdIns4P-Gi1/β1/γ2 8FYE-5-HT1A-4-F,5-MeO-PyrT-PtdIns4P-Gi1/β1/γ1 7X5H-5-HT5A-5-CT-Gi1/β1/γ2 8FY8-5-HT1A-5-MeO-DMT-PtdIns4P-Gi1/β1/γ1 7E2Z-5-HT1A-Aripiprazole-PtdIns4P-Gi1/β1/γ2 7E33-5-HT1E-BRL-54443-Gi1/β1/γ2 8FYX-5-HT1A-Buspirone-PtdIns4P-Gi1/β1/γ1 7EXD-5-HT1F-Lasmiditan-Gi1/β1/γ2 7UM6-5-HT5A-Lisuride-chim(NtGi1-Go)/β1/γ2
29.41Consensusgi_dopamineOrthosteric Ligand7JVR-D2-Bromoergocryptine-Gi1/β1/γ2 7CMV-D3-PD128907-Gi1/β1/γ2 7CMU-D3-Pramipexole-Gi1/β1/γ2 8IRS-D2-Rotigotine-Gi1/β1/γ2 8IRT-D3-Rotigotine-Gi1/β1/γ2
29.41Consensusgs_dopamineOrthosteric Ligand7F0T-D1-Dopamine-Gs/β1/γ2 7CKW-D1-Fenoldopam-Gs/β1/γ2 7CKY-D1-PW0464-Gs/β1/γ2 8IRV-D5-Rotigotine-chim(NtGi1-Gs)/β1/γ2 8IRR-D1-Rotigotine-Gs/β1/γ2 7JV5-D1-SKF81297-Gs/β1/γ2 7JVP-D1-SKF83959-Gs/β1/γ2 7X2D-D1-Tavapadon-Gs/β1/γ2 7CKX-D1-A77636-Gs/β1/γ2 7JVQ-D1-Apomorphine-Gs/β1/γ2
28.57Single3V2WPubChem 518926453V2W-S1P1-PubChem 51892645
28.57Single6AKYMaraviroc6AKY-CCR5-Maraviroc
28.57Single6DS0LY2660976DS0-5-HT2B-LY266097
28.57Single6HLOAprepitant6HLO-NK1-Aprepitant
28.57Single6KUYPubChem 1457046436KUY-α2a-PubChem 145704643
28.57Single6TODEMPA6TOD-OX1-EMPA-Na
28.57Single7DHRIsoprenaline7DHR-β2-Isoprenaline-Gs/β1/γ2
28.57Single7M3FCa; Ca; Tryptophan; Cinacalcet7M3F-CaS; CaS-Ca; Ca; Tryptophan; Cinacalcet
28.57Single7SRRLSD7SRR-5-HT2B-LSD-chim(NtGi2L-Gs-CtGq)/β1/γ2
28.57Single7T8XAcetylcholine7T8X-M2-Acetylcholine-chim(NtGi1-Go)/β1/γ2
28.57Single7T90Acetylcholine7T90-M2-Acetylcholine-chim(NtGi1-Go)/β1/γ2
28.57Single7T96Acetylcholine7T96-M2-Acetylcholine-LY2119620-Go/β1/γ2
28.57Single7VUJJNJ-635330547VUJ-GPR139-JNJ-63533054-GDP-chim(Gs-CtGq)/β1/γ2
28.57Single7W0MPubChem 1227019087W0M-Apelin-PubChem 122701908-Gi1/β1/γ2
28.57Single7WF7S1P7WF7-S1P1-S1P-Gi1/β1/γ2
28.57Single7XRRLemborexant7XRR-OX2-Lemborexant
28.57Single7YM8Oxymetazoline7YM8-Alpha1A-Oxymetazoline-chim(Gs-CtGq)
28.57Single7YMHNorepinephrine7YMH-Alpha1A-Norepinephrine-chim(Gs-CtGq)
28.57Single8FYXBuspirone8FYX-5-HT1A-Buspirone-PtdIns4P-Gi1/β1/γ1
28.57Single8GGAConstrained Epinephrine8GGA-β2-Constrained Epinephrine-GTP-Gs/β1/γ2
28.57Single8GGCConstrained Epinephrine8GGC-β2-Constrained Epinephrine-GTP-Gs/β1/γ2
28.57Single8GGRConstrained Epinephrine8GGR-β2-Constrained Epinephrine
28.57Single8GGWConstrained Epinephrine8GGW-β2-Constrained Epinephrine
28.57Single8GH0Constrained Epinephrine8GH0-β2-Constrained Epinephrine
28.57Single8HOCImetit8HOC-H4-Imetit-Gi1/β1/γ2
28.57Single8IJANiacin8IJA-HCA2-Niacin-Gi1/β1/γ2
28.57Single8IW4Spermidine8IW4-TAA9-Spermidine-chim(NtGi1-Gs)/β1/γ2
28.57Single8IWESpermidine8IWE-TAA9-Spermidine
28.57Single8J6LNiacin8J6L-HCA2-Niacin-Gi1/β1/γ2
28.57Single8JPPSuccinic acid8JPP-Succinate-Succinic acid-chim(Gs-CtGq)/β1/γ1
28.57Single8TZQDopamine8TZQ-D2-Dopamine-Go/β1/γ2
28.57Single8UNXConstrained Epinephrine8UNX-β2-Constrained Epinephrine-GTP-Gs/β1/γ2
28.57Single8WC3SEP-3638568WC3-TA1-SEP-363856-chim(NtGi1-Gs)/β1/γ2
28.57Single8WC4ZH86518WC4-TA1-ZH8651-chim(NtGi1-Gs)/β1/γ2
28.57Single8WCA2-Phenylethylamine8WCA-TA1-2-Phenylethylamine-chim(NtGi1-Gs)/β1/γ2
28.57Single8Y0HVUF114188Y0H-CXCR3-VUF11418
28.57Single8Y0NVUF114188Y0N-CXCR3-VUF11418-Go/β1/γ2
28.57Single8YNAImmepip8YNA-H4-Immepip-Gi1/β1/γ2
28.57Single8YUVImmepip8YUV-H3-Immepip-Gi1/β1/γ2
28.57Single8YYWAlpha-ketoglutarate8YYW-Oxoglutarate-α-ketoglutarate-α-ketoglutarate-chim(Gi1-CtGq)/β1/γ2
28.57Single8Z87CHBA8Z87-HCA1-CHBA-Gi1/β1/γ2
28.57Single9EBHAdenosine9EBH-A3A-Adenosine-Gi1/β1/γ2
28.57Single9J5VCpY9J5V-LPA1-CpY-Gi1/β1/γ2
28.57Single9JKXAcifran9JKX-HCA3-Acifran-Gi1/β1/γ2
28.57Single9PXUNaloxone9PXU-μ-Naloxone-Na
28.57Single9VJ5Gepirone9VJ5-5-HT1A-Gepirone-Go/β1/γ2
28.57Consensus5ht1e_onOrthosteric Ligand7E33-5-HT1E-BRL-54443-Gi1/β1/γ2 8UGY-5-HT1E-Mianserin-Gi1/β1/γ1 8UH3-5-HT1E-Setiptiline-Gi1/β1/γ1
28.57Consensus5ht2_on_gpOrthosteric Ligand5ht2b_on_gp
28.57Consensus5ht2b_on_gpOrthosteric Ligand7SRR-5-HT2B-LSD-chim(NtGi2L-Gs-CtGq)/β1/γ2
28.57Consensusgq_histamineOrthosteric Ligand7DFL-H1-Histamine-chim(NtGi1L-Gq)/β1/γ2
28.57Consensush1_on_gpOrthosteric Ligand7DFL-H1-Histamine-chim(NtGi1L-Gq)/β1/γ2
28.57Consensushistamine_onOrthosteric Ligandh1_on h2_on h3_on h4_on
28.57Consensushistamine_on_gpOrthosteric Ligandh1_on_gp h2_on_gp h3_on_gp h4_on_gp
28.57Consensusm2_onOrthosteric Ligand7T8X-M2-Acetylcholine-chim(NtGi1-Go)/β1/γ2
28.57Consensusm2_on_gpOrthosteric Ligand7T8X-M2-Acetylcholine-chim(NtGi1-Go)/β1/γ2
28.57Consensusorexin_offOrthosteric Ligandox2_off ox1_off
28.57Consensusox2_offOrthosteric Ligand5WQC-OX2-EMPA 6TPN-OX2-HTL6641 7XRR-OX2-Lemborexant 6TPJ-OX2-Suvorexant
28.57Consensuss1p1_offOrthosteric Ligand3V2W-S1P1-PubChem 51892645
27.78Single2YCXCyanopindolol2YCX-β1-Cyanopindolol
27.78Single3D4STimolol3D4S-β2-Timolol
27.78Single4AMIBucindolol4AMI-β1-Bucindolol
27.78Single4LDEBI1671074LDE-β2-BI167107
27.78Single4RWADIPP-NH24RWA-δ-DIPP-NH2
27.78Single4Z36ONO-30805734Z36-LPA1-ONO-3080573
27.78Single6A93Risperidone6A93-5-HT2A-Risperidone
27.78Single6AK3PGE26AK3-EP3-PGE2
27.78Single6H7OCyanopindolol6H7O-β1-Cyanopindolol
27.78Single6IIURamatroban6IIU-TXA2-Ramatroban
27.78Single6VMSBromoergocryptine6VMS-D2-Bromoergocryptine-Gi1/β1/γ2
27.78Single6ZG4HTL00099366ZG4-M1-HTL0009936
27.78Single7DFPSpiperone7DFP-D2-Spiperone
27.78Single7EO4Siponimod7EO4-S1P1-Siponimod-Gi1/β1/γ2
27.78Single7EPENAM5637EPE-mGlu2-NAM563
27.78Single7EW2FTY720-P7EW2-S1P3-FTY720-P-Gi1/β1/γ2
27.78Single7JNIOlodanrigan7JNI-AT2-Olodanrigan
27.78Single7L1VPubChem 1554910097L1V-OX2-PubChem 155491009-chim(NtGi1-Gs-CtGq)/β1/γ2
27.78Single7W0LPubChem 1227019087W0L-Apelin; Apelin-PubChem 122701908-Gi1/β1/γ2
27.78Single8E9W2-Deoxycytidine8E9W-M3-2-Deoxycytidine-chim(NtGi2L-Gs-CtGq)/β1/γ2
27.78Single8FYE4-F,5-MeO-PyrT8FYE-5-HT1A-4-F,5-MeO-PyrT-PtdIns4P-Gi1/β1/γ1
27.78Single8GCPPGE28GCP-EP4-PGE2-Gi1/β1/γ2
27.78Single8IQ6Latanoprost8IQ6-FP-alpha-Latanoprost-chim(NtGi1-Gs-CtGq)/β1/γ2
27.78Single8IRSRotigotine8IRS-D2-Rotigotine-Gi1/β1/γ2
27.78Single8JJ8Arformoterol8JJ8-β2-Arformoterol
27.78Single8JZ7MK68928JZ7-HCA2-MK6892-Gi1/β1/γ2
27.78Single8XJNCloprosetnol8XJN-TXA2-Cloprosetnol-chim(NtGi1-Gs-CtGq)/β1/γ2
27.78Single9EBIPiclidenoson9EBI-A3A-Piclidenoson-chim(NtGi1L-Gs-CtGi1)/β1/γ2
27.78Single9GGGI-BOP9GGG-TXA2-I-BOP-chim(NtGi2L-Gs-CtGq)/β1/γ2
27.78Single9GL2Befiradol9GL2-5-HT1A-Befiradol-Gs/β1/γ2
27.78Single9KVG5-MeO-DMT9KVG-5-HT1A-5-MeO-DMT-PtdIns4P-Gi1/β1/γ2
27.78Single9VJ6F-155999VJ6-5-HT1A-F-15599-Gi3/β1/γ2
27.78Single9WSVDAMGO9WSV-μ-DAMGO-Arrestin2
27.78Single9YDQDADLE9YDQ-δ-DADLE-MIPS3614-chim(NtGi1L-Gs-CtGi1)/β1/γ2
27.78Consensusbeta_onOrthosteric Ligandbeta1_on beta2_on beta3_on
27.78Consensusbeta_on_gpOrthosteric Ligandbeta1_on_gp beta2_on_gp beta3_on_gp
27.78Consensusccr8_onOrthosteric Ligand8KFX-CCR8-LMD-009-Gi1/β1/γ2 8KFY-CCR8-ZK-756326-Gi1/β1/γ2 8U1U-CCR8-CCL1-Gi1/β1/γ2
27.78Consensusd2_on_gpOrthosteric Ligand7JVR-D2-Bromoergocryptine-Gi1/β1/γ2 8IRS-D2-Rotigotine-Gi1/β1/γ2
27.78Consensusgi_amineOrthosteric Ligandgi_5ht gi_muscarinic gi_adrenergic gi_dopamine gi_histamine
27.78Consensusorexin_onOrthosteric Ligandox2_on
27.78Consensuss1p1_onOrthosteric Ligand7VIE-S1P1-S1P-Gi1/β1/γ2 7VIF-S1P1-FTY720-P-Gi1/β1/γ2 7VIG-S1P1-CBP-307-Gi1/β1/γ2 7EVY-S1P1-Siponimod-Gi1/β1/γ2 7EVZ-S1P1-Cenerimod-Gi1/β1/γ2 7EW0-S1P1-Ozanimod-Gi1/β1/γ2 7EW7-S1P1-SEW2871-Gi1/β1/γ2
27.78Consensuss1p1_on_gpOrthosteric Ligand7VIE-S1P1-S1P-Gi1/β1/γ2 7VIF-S1P1-FTY720-P-Gi1/β1/γ2 7VIG-S1P1-CBP-307-Gi1/β1/γ2 7EVY-S1P1-Siponimod-Gi1/β1/γ2 7EVZ-S1P1-Cenerimod-Gi1/β1/γ2 7EW0-S1P1-Ozanimod-Gi1/β1/γ2 7EW7-S1P1-SEW2871-Gi1/β1/γ2
27.78Consensuss1p3_onOrthosteric Ligand7EW3-S1P3-S1P-Gi1/β1/γ2 7EW4-S1P3-CYM-5541-Gi1/β1/γ2 7EW2-S1P3-FTY720-P-Gi1/β1/γ2
27.27Single6PT2KGCHM076PT2-δ-KGCHM07
27.27Single8XIQL7967788XIQ-SST3-L796778-chim(NtGi1-Gs-CtGi1)/β1/γ2
27.27Single9B54VIP369B54-CB1-VIP36-Gi1/β1/γ2
27.27Single9JKVPubChem 27366909JKV-HCA3-PubChem 2736690-Gi1/β1/γ2
26.67Single2YDOAdenosine2YDO-A2A-Adenosine
26.67Single3UZCPubChem 1355666093UZC-A2A-PubChem 135566609
26.67Single3V2YPubChem 518926453V2Y-S1P1-PubChem 51892645
26.67Single4DKLBeta-Funaltrexamine4DKL-μ-β-Funaltrexamine
26.67Single4N6HNaltrindole4N6H-δ-Naltrindole-Na
26.67Single6KUXRS799486KUX-α2a-RS79948
26.67Single6PS5Propranolol6PS5-β2-Propranolol
26.67Single6PT0WIN 55212-26PT0-CB2-WIN 55212-2-Gi1/β1/γ2
26.67Single6ZG9GSK10347026ZG9-M1-GSK1034702
26.67Single7CKZDopamine7CKZ-D1-Dopamine-Mevidalen-Gs/β1/γ2
26.67Single7CMVPD1289077CMV-D3-PD128907-Gi1/β1/γ2
26.67Single7DHISalbutamol7DHI-β2-Salbutamol-Gs/β1/γ2
26.67Single7E33BRL-544437E33-5-HT1E-BRL-54443-Gi1/β1/γ2
26.67Single7F0TDopamine7F0T-D1-Dopamine-Gs/β1/γ2
26.67Single7F1ZDopamine7F1Z-D1-Dopamine-GDP-Gs/β1/γ2
26.67Single7F24Dopamine7F24-D1-Dopamine-GDP-Gs/β1/γ2
26.67Single7F61PF-036547467F61-H3-PF-03654746
26.67Single7T94Acetylcholine7T94-M2-Acetylcholine-LY2119620-chim(NtGi1-Go)/β1/γ2
26.67Single7TRSAcetylcholine7TRS-M4-Acetylcholine-Gi1/β1/γ2
26.67Single7UM7Methylergometrine7UM7-5-HT5A-Methylergometrine-chim(NtGi1-Go)/β1/γ2
26.67Single7XOVSR1461317XOV-CCKA-SR146131-Gs/β1/γ2
26.67Single7YK6PubChem 1383196747YK6-RXFP4-PubChem 138319674-Gi2/β1/γ2
26.67Single8GE1Constrained Epinephrine8GE1-β2-Constrained Epinephrine-Gs/β1/γ2
26.67Single8GE4Constrained Epinephrine8GE4-β2-Constrained Epinephrine-Gs/β1/γ2
26.67Single8GE5Constrained Epinephrine8GE5-β2-Constrained Epinephrine-Gs/β1/γ1
26.67Single8GE6Constrained Epinephrine8GE6-β2-Constrained Epinephrine-Gs/β1/γ2
26.67Single8GE7Constrained Epinephrine8GE7-β2-Constrained Epinephrine-Gs/β1/γ2
26.67Single8GE8Constrained Epinephrine8GE8-β2-Constrained Epinephrine-Gs/β1/γ2
26.67Single8GEDConstrained Epinephrine8GED-β2-Constrained Epinephrine-Gs/β1/γ2
26.67Single8GEFConstrained Epinephrine8GEF-β2-Constrained Epinephrine-Gs/β1/γ2
26.67Single8GG5Constrained Epinephrine8GG5-β2-Constrained Epinephrine-GTP-Gs/β1/γ2
26.67Single8GG7Constrained Epinephrine8GG7-β2-Constrained Epinephrine-GTP-Gs/β1/γ2
26.67Single8GGLConstrained Epinephrine8GGL-β2-Constrained Epinephrine
26.67Single8GGMConstrained Epinephrine8GGM-β2-Constrained Epinephrine
26.67Single8GGPConstrained Epinephrine8GGP-β2-Constrained Epinephrine
26.67Single8GGSConstrained Epinephrine8GGS-β2-Constrained Epinephrine
26.67Single8GGTConstrained Epinephrine8GGT-β2-Constrained Epinephrine
26.67Single8GGVConstrained Epinephrine8GGV-β2-Constrained Epinephrine
26.67Single8GUQOlorinab8GUQ-CB2-Olorinab-Gi1/β1/γ2
26.67Single8GURCP559408GUR-CB2-CP55940-Gi1/β1/γ2
26.67Single8HNMVUF112228HNM-CXCR3-VUF11222-Gi1/β1/γ2
26.67Single8IHKAcifran8IHK-HCA3-Acifran
26.67Single8IY9Niacin8IY9-HCA2-Niacin-Go/β1/γ2
26.67Single8JIMMonomethyl fumarate8JIM-HCA2-Monomethyl fumarate-Gi1/β1/γ2
26.67Single8JLKUlotaront8JLK-TA1-Ulotaront-chim(NtGi1-Gs)/β1/γ2
26.67Single8JLNT1AM8JLN-TA1-T1AM-Gs/β1/γ2
26.67Single8K5CAcipimox8K5C-HCA2-Acipimox
26.67Single8PM2DMCHA8PM2-TA7-DMCHA-Gs/β1/γ2
26.67Single8RLNLUF58348RLN-A2A-LUF5834
26.67Single8THKA-616038THK-Alpha1A-A-61603-chim(NtGi2L-Gs-CtGq)/β1/γ2
26.67Single8U02Dopamine8U02-D2-Dopamine-Go/β1/γ2
26.67Single8UNLConstrained Epinephrine8UNL-β2-Constrained Epinephrine-GTP-Gs/β1/γ2
26.67Single8UNMConstrained Epinephrine8UNM-β2-Constrained Epinephrine-GTP-Gs/β1/γ2
26.67Single8UNOConstrained Epinephrine8UNO-β2-Constrained Epinephrine-GTP-Gs/β1/γ2
26.67Single8UNWConstrained Epinephrine8UNW-β2-Constrained Epinephrine-GTP-Gs/β1/γ2
26.67Single8W88SEP-3638568W88-TA1-SEP-363856-Gs/β1/γ2
26.67Single8WC8ZH86518WC8-TA1-ZH8651-chim(NtGi1-Gs)/β1/γ2
26.67Single8WPGTryptophan; Cinacalcet; PO4; Ca8WPG-CaS; CaS-Tryptophan; Cinacalcet; PO4; Ca
26.67Single8X7ATreprostinil8X7A-I2-Treprostinil-Gs/β1/γ2
26.67Single8YKVPubChem 1375531688YKV-Succinate-PubChem 137553168-Gi1/β1/γ2
26.67Single8YN3Histamine8YN3-H2-Histamine-Gs/β1/γ2
26.67Single8ZPMAMD0708ZPM-CXCR4-AMD070
26.67Single8ZPNAMD31008ZPN-CXCR4-AMD3100
26.67Single9AS3LSD9AS3-5-HT2A-LSD
26.67Single9AS4LSD9AS4-5-HT2A-LSD-chim(NtGi1-Gs-CtGq)/β1/γ2
26.67Single9AXFCa; Ca; Ca; Cyclomethyltryptophan; R-568; PO49AXF-CaS; CaS-Ca-Ca; Ca; Ca; Cyclomethyltryptophan; R-568; PO4-chim(NtGi1-Gs-CtGq)/β1/γ2
26.67Single9CBLEpinephrine9CBL-α2a-Epinephrine-Gi1/β1/γ2
26.67Single9EPQ11,20-Ethanoretinal9EPQ-Rhodopsin-11,20-Ethanoretinal-chim(Gi1-CtGq)/β1/γ2
26.67Single9KUWCMPD6449KUW-Apelin; Apelin-CMPD644-Arrestin2 ; Arrestin2
26.67Single9L84Epinephrine9L84-β1-Epinephrine-Atazanavir-Gs/β1/γ2
26.67Single9LRDHistamine9LRD-H1-Histamine-Gi1/β1/γ2
26.67Single9M2FNeuropeptide-FF9M2F-NPFF1-Neuropeptide-FF-Gi1/β1/γ2
26.67Single9PXVNaloxone9PXV-μ-Naloxone-Gi1/β1/γ2
26.67Single9PY2Loperamide9PY2-μ-Loperamide-GDPβS-Gi1/β1/γ2
26.67Single9VNFPindolol9VNF-5-HT1A-Pindolol-Go/β1/γ2
26.67Single9W6W5-CT9W6W-5-HT5A-5-CT-Gi1/β1/γ2
26.67Consensus5ht_on_gpOrthosteric Ligand5ht1_on_gp 5ht2_on_gp 5ht4_on_gp 5ht5_on_gp 5ht6_on_gp 5ht7_on_gp
26.67Consensusadenosine_onOrthosteric Liganda1_on a2_on a3_on
26.67Consensusghrelin_offOrthosteric Ligand6KO5-Ghrelin-PubChem 57400002 7F83-Ghrelin-PF-05190457
26.67Consensusgi_adenosineOrthosteric Ligand7LD4-A1-Adenosine-Gi2/β1/γ2 8X17-A3A-Namodenoson-Gi1/β1/γ2 8X16-A3A-Piclidenoson-Gi1/β1/γ2
26.67Consensushca_onOrthosteric Ligandhca2_on
26.32Single2YCZIodocyanopindolol2YCZ-β1-Iodocyanopindolol
26.32Single4BVNCyanopindolol4BVN-β1-Cyanopindolol-Na
26.32Single5TUDErgotamine5TUD-5-HT2B-Ergotamine
26.32Single5UNGPubChem 157800525UNG-AT2-PubChem 15780052
26.32Single6DDFDAMGO6DDF-μ-DAMGO-Gi1/β1/γ2
26.32Single6H7LDobutamine6H7L-β1-Dobutamine
26.32Single6IBLArformoterol6IBL-β1-Arformoterol
26.32Single6TKOArformoterol6TKO-β1-Arformoterol-Arrestin2
26.32Single7MTSADX551647MTS-mGlu2; mGlu2-Glutamate-ADX55164-Gi1/β1/γ2
26.32Single7SK7CCX6627SK7-ACKR3-CXCL12-CCX662
26.32Single7SK8CCX6627SK8-ACKR3-CXCL12-CCX662
26.32Single7U2KC6-guano7U2K-μ-C6-guano-Gi1/β1/γ2
26.32Single7X2DTavapadon7X2D-D1-Tavapadon-Gs/β1/γ2
26.32Single7XK2MK68927XK2-HCA2-MK6892-Gi1/β1/γ2
26.32Single8E9X2-Deoxycytidine8E9X-M4-2-Deoxycytidine-chim(NtGi1-Go)/β1/γ2
26.32Single8E9YClozapine-N-oxide8E9Y-M3-Clozapine-N-oxide-chim(NtGi2L-Gs-CtGq)/β1/γ2
26.32Single8FX5Xanomeline8FX5-M4-Xanomeline-Xanomeline-Gi1/β1/γ2
26.32Single8GUTLEI-1028GUT-CB2-LEI-102-Gi1/β1/γ2
26.32Single8IJDMK68928IJD-HCA2-MK6892-Gi1/β1/γ2
26.32Single8S2TIsoprenaline8S2T-β1-Isoprenaline-chim(NtGi1-Gs)/β1/γ2
26.32Single8XJKCloprosetnol8XJK-FP-alpha-Cloprosetnol-chim(NtGi1-Gs-CtGq)/β1/γ2
26.32Single8XJOU466198XJO-TXA2-U46619-chim(NtGi1-Gs-CtGq)/β1/γ2
26.32Single8XVJMacitentan8XVJ-ETA-Macitentan
26.32Single8ZWGJR14a8ZWG-C3aB-JR14a-Gi1/β1/γ2
26.32Single9CGJC6-Quino9CGJ-δ-C6-Quino-Gi1/β1/γ2
26.32Single9DYEBuspirone9DYE-5-HT1A-Buspirone-PtdIns4P-Go/β1/γ2
26.32Single9EAILosartan9EAI-AT1-Losartan-Nanobody AT209
26.32Single9HYIDP819HYI-5-HT1A-DP81-Gi1/β1/γ2
26.32Single9WP9S1P9WP9-S1P3-S1P-chim(NtGi2L-Gs-CtGq)/β1/γ2
26.32Single9YDPDADLE9YDP-δ-DADLE-chim(NtGi1L-Gs-CtGi1)/β1/γ2
26.32Consensusbeta1_onOrthosteric Ligand8DCR-β1-Dobutamine-Gs/β1/γ2 7S0F-β1-Isoprenaline-Gi1/β1/γ2
26.32Consensusbeta1_on_gpOrthosteric Ligand8DCR-β1-Dobutamine-Gs/β1/γ2 7S0F-β1-Isoprenaline-Gi1/β1/γ2
26.32Consensusclass-a_onOrthosteric Ligandsensory_on alicarboxylic_on amine_on lipid_on nucleotide_on peptide_on protein_on
26.32Consensusd2_offOrthosteric Ligand6CM4-D2-Risperidone 6LUQ-D2-Haloperidol 7DFP-D2-Spiperone
26.32Consensusgi_s1pOrthosteric Ligand7VIE-S1P1-S1P-Gi1/β1/γ2 7EW3-S1P3-S1P-Gi1/β1/γ2 7EVY-S1P1-Siponimod-Gi1/β1/γ2 7EW1-S1P5-Siponimod-Gi1/β1/γ2 7VIF-S1P1-FTY720-P-Gi1/β1/γ2 7VIG-S1P1-CBP-307-Gi1/β1/γ2 7EVZ-S1P1-Cenerimod-Gi1/β1/γ2 7EW4-S1P3-CYM-5541-Gi1/β1/γ2 7EW2-S1P3-FTY720-P-Gi1/β1/γ2 7EW0-S1P1-Ozanimod-Gi1/β1/γ2 7EW7-S1P1-SEW2871-Gi1/β1/γ2
26.32Consensusorexin_on_gpOrthosteric Ligandox2_on_gp
26.32Consensuspeptide_offOrthosteric Ligandcck_off angiotensin_off bombesin_off endothelin_off ghrelin_off npy_off opioid_off orexin_off somatostatin_off tachykinin_off vasop-oxy_off neurotensin_off
26.32Consensusprostanoid_offOrthosteric Ligandep_off dp_off
26.32Consensusprostanoid_onOrthosteric Ligandtp_on fp-alpha_on
26.32Consensusprostanoid_on_gpOrthosteric Ligandtp_on_gp fp-alpha_on_gp
26.32Consensustp_onOrthosteric Ligand8XJO-TXA2-U46619-chim(NtGi1-Gs-CtGq)/β1/γ2
26.32Consensustp_on_gpOrthosteric Ligand8XJO-TXA2-U46619-chim(NtGi1-Gs-CtGq)/β1/γ2
26.09Single9BKKCholecystokinin-89BKK-CCKA-Cholecystokinin-8-chim(NtGi1-Gs-CtGq)/β1/γ2
26.09Consensusgi_class-aOrthosteric Ligandgi_peptide gi_sensory gi_alicarboxylic gi_amine gi_lipid gi_nucleotide gi_protein
25.00Single2HPYAll-trans-Retinal2HPY-Rhodopsin-All-trans-Retinal
25.00Single2Y01Dobutamine2Y01-β1-Dobutamine
25.00Single2Y02Carmoterol2Y02-β1-Carmoterol
25.00Single2Y04Salbutamol2Y04-β1-Salbutamol
25.00Single3NY9PubChem 9131033NY9-β2-PubChem 913103
25.00Single3OE8IT1t3OE8-CXCR4-IT1t
25.00Single3ZPQPubChem 5945903ZPQ-β1-PubChem 594590-Na
25.00Single4J4QOctyl Beta-D-Glucopyranoside4J4Q-Rhodopsin-Octyl β-D-Glucopyranoside-Gt(CT)
25.00Single4QKXPubChem 762106284QKX-β2-PubChem 76210628
25.00Single4U16N-methyl-Scopolamine4U16-M3-N-methyl-Scopolamine
25.00Single4UG2CGS216804UG2-A2A-CGS21680
25.00Single5TGZAM65385TGZ-CB1-AM6538
25.00Single5YC8N-methyl-Scopolamine5YC8-M2-N-methyl-Scopolamine
25.00Single5ZK8N-methyl-Scopolamine5ZK8-M2-N-methyl-Scopolamine
25.00Single5ZKCN-methyl-Scopolamine5ZKC-M2-N-methyl-Scopolamine
25.00Single5ZKPSR274175ZKP-PAF-SR27417
25.00Single6DRZMethysergide6DRZ-5-HT2B-Methysergide
25.00Single6H7MSalbutamol6H7M-β1-Salbutamol
25.00Single6OT025(S)-Epoxycholesterol6OT0-SMO-25(S)-Epoxycholesterol-Gi1/β1/γ2
25.00Single6PS2Alprenolol6PS2-β2-Alprenolol
25.00Single6PT3DPI-2876PT3-δ-DPI-287
25.00Single6TQ9SB-4081246TQ9-OX1-SB-408124
25.00Single6Z10PubChem 1545855546Z10-Succinate-PubChem 154585554
25.00Single7DD5Ca; Ca; Tryptophan; NPS-21437DD5-CaS; CaS-Ca-Ca; Ca; Tryptophan; NPS-2143
25.00Single7E32Serotonin7E32-5-HT1D-Serotonin-Gi1/β1/γ2
25.00Single7F8WGastrin-177F8W-CCKB-Gastrin-17-chim(NtGsL-Gq)/β1/γ2
25.00Single7LJCSKF812977LJC-D1-SKF81297-Mevidalen-Gs/β1/γ2
25.00Single7M3JNPS-2143; PO47M3J-CaS; CaS-NPS-2143; PO4
25.00Single7NA8Ibutamoren7NA8-Ghrelin-Ibutamoren-Gi1/β1/γ2
25.00Single7SK9CCX6627SK9-ACKR3-CCX662
25.00Single7SQOTAK-9257SQO-OX2-TAK-925-Gi1/β1/γ2
25.00Single7UM55-CT7UM5-5-HT5A-5-CT-chim(NtGi1-Go)/β1/γ2
25.00Single7UM6Lisuride7UM6-5-HT5A-Lisuride-chim(NtGi1-Go)/β1/γ2
25.00Single7VKTLTB47VKT-BLT1-LTB4-Gi1/β1/γ2
25.00Single7X2CFenoldopam7X2C-D1-Fenoldopam-Fenoldopam-Gs/β1/γ2
25.00Single7XY6BAY 60-65837XY6-A2B-BAY 60-6583-chim(NtGi1-Gs)/β1/γ2
25.00Single7YACPaltusotine7YAC-SST2-Paltusotine-Gi1/β1/γ2
25.00Single7YJ4INSL57YJ4-RXFP4-INSL5-Gi2/β1/γ2
25.00Single8CICEtrumadenant8CIC-A2A-Etrumadenant-Na
25.00Single8CU7LJ-45178CU7-A2A-LJ-4517-Na
25.00Single8GDAL9026888GDA-EP4-L902688-Gs/β1/γ2
25.00Single8GE9Constrained Epinephrine8GE9-β2-Constrained Epinephrine-Gs/β1/γ2
25.00Single8GEIConstrained Epinephrine8GEI-β2-Constrained Epinephrine-Gs/β1/γ2
25.00Single8I7VAcipimox8I7V-HCA2-Acipimox-Gi1/β1/γ2
25.00Single8IHJAcifran8IHJ-HCA3-Acifran-Gi1/β1/γ2
25.00Single8IQ4Carboprost8IQ4-FP-alpha-Carboprost-chim(NtGi1-Gs-CtGq)/β1/γ2
25.00Single8IWM2-Phenylethylamine8IWM-TAA9-2-Phenylethylamine
25.00Single8J6PNiacin8J6P-HCA2-Niacin-PubChem 25101223-Gi1/β1/γ2
25.00Single8JD0NAM5638JD0-mGlu2; mGlu3-Glutamate-NAM563
25.00Single8JHNMonomethyl fumarate8JHN-HCA2-Monomethyl fumarate-Go/β1/γ2
25.00Single8JIINiacin8JII-HCA2-Niacin-PubChem 25101223-Gi1/β1/γ2
25.00Single8JLJT1AM8JLJ-TA1-T1AM-chim(NtGi1-Gs)/β1/γ2
25.00Single8JLZST19368JLZ-5-HT6-ST1936-Gs/β1/γ2
25.00Single8JXRLSD8JXR-D1-LSD
25.00Single8K5DGSK2560738K5D-HCA2-GSK256073
25.00Single8KFYZK-7563268KFY-CCR8-ZK-756326-Gi1/β1/γ2
25.00Single8PJKST1718PJK-5-HT1A-ST171-Gi1/β1/γ1
25.00Single8QJ2pN1628QJ2-MC4-pN162-Gs/β1/γ2
25.00Single8T1WCVN4248T1W-GPR6-CVN424
25.00Single8UGYMianserin8UGY-5-HT1E-Mianserin-Gi1/β1/γ1
25.00Single8UH3Setiptiline8UH3-5-HT1E-Setiptiline-Gi1/β1/γ1
25.00Single8UNRConstrained Epinephrine8UNR-β2-Constrained Epinephrine-GTP-Gs/β1/γ2
25.00Single8UNUConstrained Epinephrine8UNU-β2-Constrained Epinephrine-GTP-Gs/β1/γ2
25.00Single8VVGGB188VVG-κ-GB18-Gi1/β1/γ2
25.00Single8W87METH8W87-TA1-METH-chim(NtGi1L-Gs)/β1/γ2
25.00Single8W8ARO52563908W8A-TA1-RO5256390-chim(NtGi1L-Gs)/β1/γ2
25.00Single8WC5Tetramethylammonium Ion8WC5-TA1-Tetramethylammonium Ion-chim(NtGi1-Gs)/β1/γ2
25.00Single8WC7ZH86678WC7-TA1-ZH8667-chim(NtGi1-Gs)/β1/γ2
25.00Single8X17Namodenoson8X17-A3A-Namodenoson-Gi1/β1/γ2
25.00Single8X63Mepyramine8X63-H1-Mepyramine
25.00Single8X64Desloratadine8X64-H1-Desloratadine
25.00Single8XGOTAK4488XGO-Kiss1-TAK448-chim(NtGi1-Gq)/β1/γ2
25.00Single8XJLPGF2-alpha8XJL-FP-alpha-PGF2-α-chim(NtGi2-Gs-CtGq)/β1/γ2
25.00Single8XQEApelin-138XQE-Apelin; Apelin-Apelin-13-Gi1/β1/γ2
25.00Single8Y72Peptide8Y72-μ-Peptide-BMS-986122-Gi1/β1/γ2
25.00Single8YH5Riboprine8YH5-A3A-Riboprine-Gi1/β1/γ2
25.00Single8YN8Proxyfan8YN8-H3-Proxyfan-Go/β1/γ2
25.00Single8ZSSRO52633978ZSS-TA1-RO5263397-chim(NtGi1-Gs)/β1/γ2
25.00Single9BQJRO769BQJ-μ-RO76-Gi1/β1/γ2
25.00Single9C2FCa; Ca; Tryptophan; '54149; PO49C2F-CaS; CaS-Ca-Ca; Ca; Tryptophan; '54149; PO4
25.00Single9CGKC5-Quino9CGK-δ-C5-Quino-Gi1/β1/γ2
25.00Single9CHUNorepinephrine9CHU-β2-Norepinephrine
25.00Single9CHXCarazolol9CHX-β2-Carazolol
25.00Single9EPP11,20-Ethanoretinal9EPP-Rhodopsin-11,20-Ethanoretinal-chim(Gi1-CtGq)/β1/γ2
25.00Single9IPVJR14a9IPV-C3aB-JR14a-Gi1/β1/γ2
25.00Single9JEAAtropine9JEA-M1-Atropine
25.00Single9JGKBalovaptan9JGK-5-HT2B-Balovaptan
25.00Single9KFJPubChem 1383196749KFJ-RXFP3-PubChem 138319674-Gi2/β1/γ2
25.00Single9KZ2EP679KZ2-C3aB-EP67-Go/β1/γ2
25.00Single9KZ8EP679KZ8-C3aB-EP67-Go/β1/γ2
25.00Single9L0HJR14a9L0H-C3aB-JR14a-Go/β1/γ2
25.00Single9MD1Buspirone9MD1-5-HT1A-Buspirone-PtdIns4P-Gz/β1/γ2
25.00Single9V2NMacimorelin9V2N-Ghrelin-Macimorelin-chim(NtGi1-Gs-CtGq)/β1/γ2
25.00Single9VMYTMU41429VMY-5-HT1A-TMU4142-Go/β1/γ2
25.00Consensus5ht1d_onOrthosteric Ligand7E32-5-HT1D-Serotonin-Gi1/β1/γ2
25.00Consensus5ht1d_on_gpOrthosteric Ligand7E32-5-HT1D-Serotonin-Gi1/β1/γ2
25.00Consensus5ht2b_offOrthosteric Ligand6DRZ-5-HT2B-Methysergide
25.00Consensus5ht5_onOrthosteric Ligand5ht5a_on
25.00Consensus5ht5a_onOrthosteric Ligand7X5H-5-HT5A-5-CT-Gi1/β1/γ2 7UM6-5-HT5A-Lisuride-chim(NtGi1-Go)/β1/γ2 7UM7-5-HT5A-Methylergometrine-chim(NtGi1-Go)/β1/γ2
25.00Consensusa3_onOrthosteric Liganda3a_on
25.00Consensusalicarboxylic_offOrthosteric Ligandsuccinate_off
25.00Consensusblt1_onOrthosteric Ligand7VKT-BLT1-LTB4-Gi1/β1/γ2
25.00Consensusblt1_on_gpOrthosteric Ligand7VKT-BLT1-LTB4-Gi1/β1/γ2
25.00Consensusblt_onOrthosteric Ligandblt1_on
25.00Consensusblt_on_gpOrthosteric Ligandblt1_on_gp
25.00Consensusd5_onOrthosteric Ligand8IRV-D5-Rotigotine-chim(NtGi1-Gs)/β1/γ2
25.00Consensusgi_hcaOrthosteric Ligand8J6R-HCA2-MK6892-Gi1/β1/γ2 8JIM-HCA2-Monomethyl fumarate-Gi1/β1/γ2 8IHI-HCA2-Acifran-Gi1/β1/γ2 8IHH-HCA2-LUF6283-Gi1/β1/γ2 8I7V-HCA2-Acipimox-Gi1/β1/γ2 8I7W-HCA2-GSK256073-Gi1/β1/γ2
25.00Consensusgi_histamineOrthosteric Ligand8JXX-H4-Clobenpropit-Gi1/β1/γ2 8JXV-H4-Clozapine-Gi1/β1/γ2 8YUU-H3-Histamine-Gi1/β1/γ1 8HN8-H4-Histamine-Gi1/β1/γ2 8HOC-H4-Imetit-Gi1/β1/γ2 8JXW-H4-VUF6884-Gi1/β1/γ2
25.00Consensusgi_leukotrieneOrthosteric Ligand7VKT-BLT1-LTB4-Gi1/β1/γ2
25.00Consensusgi_orexinOrthosteric Ligand7SQO-OX2-TAK-925-Gi1/β1/γ2
25.00Consensusgq_amineOrthosteric Ligandgq_muscarinic gq_histamine
25.00Consensusgs_trace-amineOrthosteric Ligand8W88-TA1-SEP-363856-Gs/β1/γ2 8JLJ-TA1-T1AM-chim(NtGi1-Gs)/β1/γ2 8JLO-TA1-Ulotaront-Gs/β1/γ2 8WC4-TA1-ZH8651-chim(NtGi1-Gs)/β1/γ2 8WC7-TA1-ZH8667-chim(NtGi1-Gs)/β1/γ2 8JLR-TA1-A77636-chim(NtGi1-Gs)/β1/γ2 8JSO-TA1-AMPH-chim(NtGi1-Gs)/β1/γ2 8W87-TA1-METH-chim(NtGi1L-Gs)/β1/γ2 8W89-TA1-2-Phenylethylamine-chim(NtGi1L-Gs)/β1/γ2 8JLP-TA1-Ralmitaront-Gs/β1/γ2 8W8A-TA1-RO5256390-chim(NtGi1L-Gs)/β1/γ2
25.00Consensushca2_onOrthosteric Ligand8J6R-HCA2-MK6892-Gi1/β1/γ2 8JIM-HCA2-Monomethyl fumarate-Gi1/β1/γ2 8I7V-HCA2-Acipimox-Gi1/β1/γ2 8I7W-HCA2-GSK256073-Gi1/β1/γ2 8IHH-HCA2-LUF6283-Gi1/β1/γ2 8IHI-HCA2-Acifran-Gi1/β1/γ2
25.00Consensushca2_on_gpOrthosteric Ligand8J6R-HCA2-MK6892-Gi1/β1/γ2 8IHI-HCA2-Acifran-Gi1/β1/γ2 8IHH-HCA2-LUF6283-Gi1/β1/γ2 8I7V-HCA2-Acipimox-Gi1/β1/γ2 8JIM-HCA2-Monomethyl fumarate-Gi1/β1/γ2 8I7W-HCA2-GSK256073-Gi1/β1/γ2
25.00Consensushca_on_gpOrthosteric Ligandhca2_on_gp
25.00Consensushistamine_offOrthosteric Ligandh1_off
25.00Consensusleukotriene_onOrthosteric Ligandblt_on
25.00Consensusleukotriene_on_gpOrthosteric Ligandblt_on_gp
25.00Consensusmc1_onOrthosteric Ligand7F4H-MC1-Afamelanotide-chim(NtGi1-Gs)/β1/γ2 7F4D-MC1-α-MSH-chim(NtGi1-Gs)/β1/γ2 7F4I-MC1-SHU9119-chim(NtGi1-Gs)/β1/γ2
25.00Consensusmc1_on_gpOrthosteric Ligand7F4H-MC1-Afamelanotide-chim(NtGi1-Gs)/β1/γ2 7F4D-MC1-α-MSH-chim(NtGi1-Gs)/β1/γ2 7F4I-MC1-SHU9119-chim(NtGi1-Gs)/β1/γ2
25.00Consensusmuscarinic_onOrthosteric Ligandm2_on m3_on m4_on m1_on
25.00Consensusmuscarinic_on_gpOrthosteric Ligandm2_on_gp m3_on_gp m4_on_gp m1_on_gp
25.00Consensusopioid_onOrthosteric Ligandmop_on nop_on dop_on kop_on
25.00Consensusox2_onOrthosteric Ligand7L1V-OX2-PubChem 155491009-chim(NtGi1-Gs-CtGq)/β1/γ2 7SQO-OX2-TAK-925-Gi1/β1/γ2 7L1U-OX2-Orexin-chim(NtGi1-Gs-CtGq)/β1/γ2
25.00Consensusox2_on_gpOrthosteric Ligand7L1V-OX2-PubChem 155491009-chim(NtGi1-Gs-CtGq)/β1/γ2 7SQO-OX2-TAK-925-Gi1/β1/γ2 7L1U-OX2-Orexin-chim(NtGi1-Gs-CtGq)/β1/γ2
25.00Consensuss1p_onOrthosteric Ligands1p1_on s1p3_on s1p5_on
25.00Consensuss1p_on_gpOrthosteric Ligands1p1_on_gp s1p3_on_gp s1p5_on_gp
25.00Consensussuccinate_offOrthosteric Ligand6RNK-Succinate-NF-56-EJ40 6Z10-Succinate-PubChem 154585554
24.00Single7YKDChemerin-97YKD-CML1-Chemerin-9-Gi1/β1/γ2
24.00Consensusopioid_on_gpOrthosteric Ligandmop_on_gp nop_on_gp dop_on_gp kop_on_gp
23.81Single4AMJCarvedilol4AMJ-β1-Carvedilol
23.81Single4IARErgotamine4IAR-5-HT1B-Ergotamine
23.81Single5UNFPubChem 157800525UNF-AT2-PubChem 15780052
23.81Single7F4ISHU91197F4I-MC1-SHU9119-chim(NtGi1-Gs)/β1/γ2
23.81Single7QA8Antagonist Peptide7QA8-STE2; STE2-Antagonist Peptide
23.81Single7QA8Antagonist Peptide7QA8-STE2; STE2-Antagonist Peptide
23.81Single7WKDTRH7WKD-TRH-TRH-chim(NtGi1-Gs-CtGq)/β1/γ2
23.81Single8FYLVilazodone8FYL-5-HT1A-Vilazodone-PtdIns4P-Gi1/β1/γ1
23.81Single8K3ZCXCL128K3Z-CXCR4-CXCL12-Gi1/β1/γ1
23.81Single8PKMBefiradol8PKM-5-HT1A-Befiradol-Gi1/β1/γ1
23.81Single8WDTphotoNECA8WDT-A2A-photoNECA
23.81Single8WKYPG-9348WKY-MC4-PG-934
23.81Single9BKJCholecystokinin-89BKJ-CCKA-Cholecystokinin-8-chim(NtGi1-Gs-CtGq)/β1/γ2
23.81Single9BUYLM1899BUY-β2-LM189-Gi1/β1/γ2
23.81Single9M4TSilodosin9M4T-Alpha1A-Silodosin
23.81Consensuscxcr4_onOrthosteric Ligand8K3Z-CXCR4-CXCL12-Gi1/β1/γ1
23.53Single2Y00Dobutamine2Y00-β1-Dobutamine
23.53Single2Y03Isoprenaline2Y03-β1-Isoprenaline
23.53Single4RWDDIPP-NH24RWD-δ-DIPP-NH2-Na
23.53Single5T1ABMS-6815T1A-CCR2-BMS-681-PubChem 12093170
23.53Single5TVNLSD5TVN-5-HT2B-LSD
23.53Single5WIUNemonapride5WIU-D4-Nemonapride
23.53Single5WIVNemonapride5WIV-D4-Nemonapride-Na
23.53Single5XPRBosentan5XPR-ETB-Bosentan
23.53Single5YHLPubChem 1351213525YHL-EP4-PubChem 135121352
23.53Single5YWYONO-AE3-2085YWY-EP4-ONO-AE3-208
23.53Single6D26Fevipiprant6D26-DP2-Fevipiprant
23.53Single6E67BI1671076E67-β2-BI167107-Gs(CT)
23.53Single6M9TMisoprostol-FA6M9T-EP3-Misoprostol-FA
23.53Single6ME72-Phenylmelatonin6ME7-MT2-2-Phenylmelatonin
23.53Single7C4SS1P7C4S-S1P3-S1P
23.53Single7CFNINT-7777CFN-GPBA-INT-777-Gs/β1/γ2
23.53Single7EO2FTY720-P7EO2-S1P1-FTY720-P-Gi1/β1/γ2
23.53Single7EPFNAM5977EPF-mGlu2-NAM597
23.53Single7M3JNPS-2143; PO47M3J-CaS; CaS-NPS-2143; PO4
23.53Single7SINNPS-21437SIN-CaS; CaS-NPS-2143
23.53Single7SINNPS-21437SIN-CaS; CaS-NPS-2143
23.53Single7TD3S1P7TD3-S1P1-S1P-Gi1/β1/γ2
23.53Single7WIGL-0542647WIG-SST2-L-054264-Gi1/β1/γ2
23.53Single7YU6ONO-07405567YU6-LPA1-ONO-0740556-Gi1/β1/γ2
23.53Single8C9WEtrumadenant8C9W-A2A-Etrumadenant
23.53Single8E9ZIperoxo8E9Z-M3-Iperoxo-chim(NtGi2L-Gs-CtGq)/β1/γ2
23.53Single8GD9Rivenprost8GD9-EP4-Rivenprost-Gs/β1/γ2
23.53Single8HNLPS3724248HNL-CXCR3-PS372424-Gi1/β1/γ2
23.53Single8I7WGSK2560738I7W-HCA2-GSK256073-Gi1/β1/γ2
23.53Single8SZGCa; Ca; Tryptophan; Cinacalcet; PO4; Spermine8SZG-CaS; CaS-Ca; Ca; Tryptophan; Cinacalcet; PO4; Spermine-chim(NtGi1-Gq)/β1/γ2
23.53Single8TF5Oleic acid8TF5-GPR6-Oleic acid
23.53Single8UUJFCH-22964138UUJ-HCA2-FCH-2296413-Gi1/β1/γ2
23.53Single8WGBVU01550418WGB-mGlu4; mGlu2-Glutamate-VU0155041-Gi3/β1/γ2
23.53Single8XYKVUF106618XYK-CXCR3-VUF10661-Go/β1/γ2
23.53Single8YH0NECA8YH0-A3A-NECA-Gi1/β1/γ2
23.53Single8YICSAR2477998YIC-S1P1-SAR247799-Gi1/β1/γ2
23.53Single8ZPTPrRP208ZPT-PrRP-PrRP20-chim(NtGi1-Gs-CtGq)/β1/γ2
23.53Single8ZVZBW245C8ZVZ-DP1-BW245C-Gs/β1/γ2
23.53Single9ARZ2-bromo-LSD9ARZ-5-HT2A-2-bromo-LSD
23.53Single9AVLCa; Ca; Cyclomethyltryptophan; R-568; PO49AVL-CaS; CaS-Ca-Ca; Ca; Cyclomethyltryptophan; R-568; PO4-Gi3/β2/γ2
23.53Single9CIBFCH-22964139CIB-HCA2-FCH-2296413
23.53Single9EHSLUF76029EHS-A3A-LUF7602
23.53Single9F33FOB02-04A9F33-D3-FOB02-04A-Go/β1/γ2
23.53Single9F34FOB02-04A9F34-D3-FOB02-04A-Go/β1/γ2
23.53Single9HC04YI9HC0-mGlu5-4YI
23.53Single9JKSPubChem 442501769JKS-HCA3-PubChem 44250176-Gi1/β1/γ2
23.53Single9K07DSO-5a9K07-BB3-DSO-5a-chim(NtGi2L-Gs-CtGq)/β1/γ2
23.53Single9KT6Acifran9KT6-HCA3-Acifran-Gi1/β1/γ2
23.53Single9KUTJR14a9KUT-C3aB-JR14a-Go/β1/γ2
23.53Single9U81Tolvaptan9U81-V2-Tolvaptan
23.53Consensus5ht1_onOrthosteric Ligand5ht1a_on 5ht1d_on 5ht1e_on 5ht1f_on
23.53Consensus5ht1_on_gpOrthosteric Ligand5ht1a_on_gp 5ht1d_on_gp 5ht1e_on_gp 5ht1f_on_gp
23.53Consensus5ht1e_on_gpOrthosteric Ligand7E33-5-HT1E-BRL-54443-Gi1/β1/γ2 8UGY-5-HT1E-Mianserin-Gi1/β1/γ1 8UH3-5-HT1E-Setiptiline-Gi1/β1/γ1
23.53Consensus5ht2_offOrthosteric Ligand5ht2a_off 5ht2b_off 5ht2c_off
23.53Consensusa3_on_gpOrthosteric Liganda3a_on_gp
23.53Consensusa3a_onOrthosteric Ligand8X17-A3A-Namodenoson-Gi1/β1/γ2 8X16-A3A-Piclidenoson-Gi1/β1/γ2
23.53Consensusa3a_on_gpOrthosteric Ligand8X17-A3A-Namodenoson-Gi1/β1/γ2 8X16-A3A-Piclidenoson-Gi1/β1/γ2
23.53Consensusblt1_offOrthosteric Ligand5X33-BLT1-BIIL260 7K15-BLT1-MKD046-Na
23.53Consensusblt_offOrthosteric Ligandblt1_off
23.53Consensusd1_onOrthosteric Ligand7F0T-D1-Dopamine-Gs/β1/γ2 7CKY-D1-PW0464-Gs/β1/γ2 8IRR-D1-Rotigotine-Gs/β1/γ2 7JV5-D1-SKF81297-Gs/β1/γ2 7JVP-D1-SKF83959-Gs/β1/γ2 7X2D-D1-Tavapadon-Gs/β1/γ2 7CKX-D1-A77636-Gs/β1/γ2 7JVQ-D1-Apomorphine-Gs/β1/γ2 7CKW-D1-Fenoldopam-Gs/β1/γ2
23.53Consensusd2_onOrthosteric Ligand7JVR-D2-Bromoergocryptine-Gi1/β1/γ2 8IRS-D2-Rotigotine-Gi1/β1/γ2
23.53Consensusdp2_offOrthosteric Ligand6D26-DP2-Fevipiprant
23.53Consensusdp_offOrthosteric Liganddp2_off
23.53Consensusep4_offOrthosteric Ligand5YWY-EP4-ONO-AE3-208 5YHL-EP4-PubChem 135121352
23.53Consensusep_offOrthosteric Ligandep4_off
23.53Consensusgq_muscarinicOrthosteric Ligand6OIJ-M1-Iperoxo-chim(NtGi1L-G11)/β1/γ2
23.53Consensush1_offOrthosteric Ligand8X63-H1-Mepyramine 3RZE-H1-Cidoxepin 8X5Y-H1-Astemizole
23.53Consensuslipid_onOrthosteric Ligandcannabinoid_on ffa_on lpl_on prostanoid_on leukotriene_on
23.53Consensuslipid_on_gpOrthosteric Ligandcannabinoid_on_gp ffa_on_gp lpl_on_gp prostanoid_on_gp leukotriene_on_gp
23.53Consensusm1_onOrthosteric Ligand6OIJ-M1-Iperoxo-chim(NtGi1L-G11)/β1/γ2
23.53Consensusm2_offOrthosteric Ligand5ZKC-M2-N-methyl-Scopolamine 5ZK3-M2-3-quinuclidinyl-benzilate 5ZKB-M2-AF-DX 384
23.53Consensusm3_onOrthosteric Ligand8E9Z-M3-Iperoxo-chim(NtGi2L-Gs-CtGq)/β1/γ2 8E9W-M3-2-Deoxycytidine-chim(NtGi2L-Gs-CtGq)/β1/γ2 8E9Y-M3-Clozapine-N-oxide-chim(NtGi2L-Gs-CtGq)/β1/γ2
23.53Consensusm3_on_gpOrthosteric Ligand8E9Z-M3-Iperoxo-chim(NtGi2L-Gs-CtGq)/β1/γ2 8E9W-M3-2-Deoxycytidine-chim(NtGi2L-Gs-CtGq)/β1/γ2 8E9Y-M3-Clozapine-N-oxide-chim(NtGi2L-Gs-CtGq)/β1/γ2
23.53Consensusta1_onOrthosteric Ligand8W87-TA1-METH-chim(NtGi1L-Gs)/β1/γ2 8W89-TA1-2-Phenylethylamine-chim(NtGi1L-Gs)/β1/γ2 8JLP-TA1-Ralmitaront-Gs/β1/γ2 8W8A-TA1-RO5256390-chim(NtGi1L-Gs)/β1/γ2 8W88-TA1-SEP-363856-Gs/β1/γ2 8JLO-TA1-Ulotaront-Gs/β1/γ2 8JLR-TA1-A77636-chim(NtGi1-Gs)/β1/γ2 8JSO-TA1-AMPH-chim(NtGi1-Gs)/β1/γ2 8ZSP-TA1-LSD-chim(NtGi1L-Gs)/β1/γ2
23.53Consensustrace-amine_onOrthosteric Ligandta1_on
23.08Single2J4Y11-cis-Retinal2J4Y-Rhodopsin-11-cis-Retinal
23.08Single3C9M11-cis-Retinal3C9M-Rhodopsin-11-cis-Retinal
23.08Single3OE6IT1t3OE6-CXCR4-IT1t
23.08Single3UZAGTPL92363UZA-A2A-GTPL9236
23.08Single6FUFAll-trans-Retinal6FUF-Rhodopsin-All-trans-Retinal-Go
23.08Single7F23Dopamine7F23-D1-Dopamine-GDP-Gs/β1/γ2
23.08Single7F4FAfamelanotide7F4F-MC1-Afamelanotide-chim(NtGi1-Gs)/β1/γ2
23.08Single7F53Alpha-MSH7F53-MC4-α-MSH-Gs/β1/γ2
23.08Single7WC5Psilocin7WC5-5-HT2A-Psilocin
23.08Single8FEG(DNCP)-Beta-Naloxamine8FEG-κ-(DNCP)-β-Naloxamine-Gi1/β1/γ2
23.08Single8GGEConstrained Epinephrine8GGE-β2-Constrained Epinephrine-GTP-Gs/β1/γ2
23.08Single8GGFConstrained Epinephrine8GGF-β2-Constrained Epinephrine-GTP-Gs/β1/γ2
23.08Single8IW72-Phenylethylamine8IW7-TAA9-2-Phenylethylamine-chim(NtGi1-Gs)/β1/γ2
23.08Single8J6QBeta-Hydroxybutyrate8J6Q-HCA2-β-Hydroxybutyrate-PubChem 25101223-Gi1/β1/γ2
23.08Single8JEFPubChem 113671668JEF-HCA3-PubChem 11367166-Gi1/β1/γ2
23.08Single8WC62-Phenylethylamine8WC6-TA1-2-Phenylethylamine-chim(NtGi1-Gs)/β1/γ2
23.08Single8ZH8QRFP268ZH8-QRFP-QRFP26-Gq/β1/γ1
23.08Single9JKT(2R)-2-hydroxy-3-phenylpropanoic acid9JKT-HCA3-(2R)-2-hydroxy-3-phenylpropanoic acid-Gi1/β1/γ2
23.08Consensusgq_peptideOrthosteric Ligandgq_cck gq_kisspeptin gq_bradykinin gq_bombesin gq_angiotensin
22.73Single3QAKUK-4320973QAK-A2A-UK-432097
22.73Single7DDZJNJ-310200287DDZ-Y2-JNJ-31020028
22.73Single7RKMCX3CL17RKM-US28-CX3CL1-Gi1/β1/γ2
22.73Single7W0NElabela7W0N-Apelin; Apelin-Elabela-Gi1/β1/γ2
22.73Single7XMSSomatostatin-147XMS-SST4-Somatostatin-14-Gi1/β1/γ2
22.73Single8F7WDynorphin8F7W-κ-Dynorphin-Gi1/β1/γ2
22.73Single8JZZC5a-des-Arg8JZZ-C5a1-C5a-des-Arg-Go/β1/γ2
22.73Single8SG1Chemerin-98SG1-CML1-Chemerin-9-Gi1/β1/γ2
22.73Single8Z7JJN241-98Z7J-Apelin-JN241-9-Gi1/β1/γ2
22.73Single9JFK(Pen5)-Urotensin II9JFK-UT-(Pen5)-Urotensin II-chim(NtGi2L-Gs-CtGq)/β1/γ2
22.73Single9ME1CXCL129ME1-CXCR4-CXCL12
22.73Single9UMXEP549UMX-C5a1-EP54-Go/β1/γ2
22.73Consensusccr8_on_gpOrthosteric Ligand8KFX-CCR8-LMD-009-Gi1/β1/γ2 8KFY-CCR8-ZK-756326-Gi1/β1/γ2 8U1U-CCR8-CCL1-Gi1/β1/γ2
22.73Consensusghrelin_onOrthosteric Ligand7NA7-Ghrelin-Ghrelin-Gi1/β1/γ2 7F9Z-Ghrelin-GHRP-6-chim(NtGi1-Gs-CtGq)/β1/γ2 7NA8-Ghrelin-Ibutamoren-Gi1/β1/γ2
22.73Consensusghrelin_on_gpOrthosteric Ligand7NA7-Ghrelin-Ghrelin-Gi1/β1/γ2 7F9Z-Ghrelin-GHRP-6-chim(NtGi1-Gs-CtGq)/β1/γ2 7NA8-Ghrelin-Ibutamoren-Gi1/β1/γ2
22.73Consensusmc4_on_gpOrthosteric Ligand7AUE-MC4-Setmelanotide-chim(NtGi1L-Gs)/β1/γ2 7F58-MC4-THIQ-Gs/β1/γ2 7F54-MC4-Afamelanotide-Gs/β1/γ2 7F53-MC4-α-MSH-Gs/β1/γ2 7F55-MC4-Bremelanotide-Gs/β1/γ2
22.73Consensusnpy2_offOrthosteric Ligand7DDZ-Y2-JNJ-31020028
22.73Consensuss1p3_on_gpOrthosteric Ligand7EW3-S1P3-S1P-Gi1/β1/γ2 7EW4-S1P3-CYM-5541-Gi1/β1/γ2 7EW2-S1P3-FTY720-P-Gi1/β1/γ2
22.22Single3P0GBI1671073P0G-β2-BI167107
22.22Single3PDSFAUC503PDS-β2-FAUC50
22.22Single3SN6BI1671073SN6-β2-BI167107-Gs/β1/γ2
22.22Single4LDLHydroxybenzyl Isoproterenol4LDL-β2-Hydroxybenzyl Isoproterenol
22.22Single4U15Tiotropium4U15-M3-Tiotropium
22.22Single4Z34ONO-97803074Z34-LPA1-ONO-9780307
22.22Single5ZKBAF-DX 3845ZKB-M2-AF-DX 384
22.22Single6DDEDAMGO6DDE-μ-DAMGO-Gi1/β1/γ2
22.22Single6J21Aprepitant6J21-NK1-Aprepitant
22.22Single6NI3BI1671076NI3-β2-BI167107-Gs/β1/γ2
22.22Single6O3CCholesterol6O3C-SMO-SAG21k-Cholesterol
22.22Single6OIJIperoxo6OIJ-M1-Iperoxo-chim(NtGi1L-G11)/β1/γ2
22.22Single6OL9Tiotropium6OL9-M5-Tiotropium
22.22Single6WGTLSD6WGT-5-HT2A-LSD
22.22Single7CKYPW04647CKY-D1-PW0464-Gs/β1/γ2
22.22Single7E2ZAripiprazole7E2Z-5-HT1A-Aripiprazole-PtdIns4P-Gi1/β1/γ2
22.22Single7EW1Siponimod7EW1-S1P5-Siponimod-Gi1/β1/γ2
22.22Single7EW3S1P7EW3-S1P3-S1P-Gi1/β1/γ2
22.22Single7F58THIQ7F58-MC4-THIQ-Gs/β1/γ2
22.22Single7JVPSKF839597JVP-D1-SKF83959-Gs/β1/γ2
22.22Single7P2L4YI7P2L-mGlu5-4YI
22.22Single7S8MCortistatin-147S8M-MRGPRX2-Cortistatin-14-Gi1/β1/γ2
22.22Single7TRQIperoxo7TRQ-M4-Iperoxo-VU0467154-Gi1/β1/γ2
22.22Single7TS0Urocortin7TS0-CRF2-Urocortin-chim(NtGi1L-Go)/β1/γ2
22.22Single7XTQR3997XTQ-GPBA-R399-Gs/β1/γ2
22.22Single7YU7ONO-07405567YU7-LPA1-ONO-0740556-Gi1/β1/γ2
22.22Single8EA0Iperoxo8EA0-M3-Iperoxo
22.22Single8I9LC3a8I9L-C3aB-C3a-Go/β1/γ2
22.22Single8IHBGSK2560738IHB-HCA2-GSK256073-Gi1/β1/γ2
22.22Single8IHHLUF62838IHH-HCA2-LUF6283-Gi1/β1/γ2
22.22Single8IUKPGF2-alpha8IUK-FP-alpha-PGF2-α-chim(NtGi1-Gs-CtGq)/β1/γ2
22.22Single8IYHMK68928IYH-HCA2-MK6892-Go/β1/γ2
22.22Single8JXWVUF68848JXW-H4-VUF6884-Gi1/β1/γ2
22.22Single8JXXClobenpropit8JXX-H4-Clobenpropit-Gi1/β1/γ2
22.22Single8UGWCGS216808UGW-A2A-CGS21680
22.22Single8VVEnorBNI8VVE-κ-norBNI-Gi1/β1/γ2
22.22Single8X16Piclidenoson8X16-A3A-Piclidenoson-Gi1/β1/γ2
22.22Single8XIPPasireotide8XIP-SST1-Pasireotide-chim(NtGi1-Gs-CtGi1)/β1/γ2
22.22Single8XJMLatanoprost8XJM-FP-alpha-Latanoprost-chim(NtGi2-Gs-CtGq)/β1/γ2
22.22Single8Y73Peptide8Y73-μ-Peptide-MPAM-15-Gi1/β1/γ2
22.22Single8YH6Namodenoson8YH6-A3A-Namodenoson-Gi1/β1/γ2
22.22Single9AYFCa; Ca; Ca; Cyclomethyltryptophan; R-568; PO49AYF-CaS; CaS-Ca-Ca; Ca; Ca; Cyclomethyltryptophan; R-568; PO4-Gi1/β1/γ2
22.22Single9I54PubChem 1764520919I54-D1-PubChem 176452091-Gs/β1/γ2
22.22Single9IZGLPA9IZG-LPA1-LPA-chim(NtGi1-Gs-CtGq)/β1/γ2
22.22Single9UY3Anamorelin9UY3-Ghrelin-Anamorelin-chim(NtGi1-Gs-CtGq)/β1/γ2
22.22Single9WSTDAMGO9WST-μ-DAMGO-chim(NtGi1-Gz)/β1/γ2
22.22Consensus5ht_offOrthosteric Ligand5ht2_off 5ht1_off
22.22Consensusgs_adrenergicOrthosteric Ligand7DHI-β2-Salbutamol-Gs/β1/γ2 7XJI-β3-Solabegron-Gs/β1/γ2 7JJO-β1-Isoprenaline-Gs/β1/γ2 6NI3-β2-BI167107-Gs/β1/γ2 8DCR-β1-Dobutamine-Gs/β1/γ2 7XJH-β3-Isoprenaline-Gs/β1/γ2 7DH5-β3-Mirabegron-Gs/β1/γ2
22.22Consensush4_on_gpOrthosteric Ligand8HN8-H4-Histamine-Gi1/β1/γ2 8HOC-H4-Imetit-Gi1/β1/γ2 8JXV-H4-Clozapine-Gi1/β1/γ2 8JXW-H4-VUF6884-Gi1/β1/γ2 8JXX-H4-Clobenpropit-Gi1/β1/γ2
22.22Consensusm1_on_gpOrthosteric Ligand6OIJ-M1-Iperoxo-chim(NtGi1L-G11)/β1/γ2
22.22Consensusm5_offOrthosteric Ligand6OL9-M5-Tiotropium
22.22Consensusmuscarinic_offOrthosteric Ligandm2_off m3_off m4_off m5_off m1_off
22.22Consensusnpy_offOrthosteric Ligandnpy1_off npy2_off
22.22Consensusprotein_offOrthosteric Ligandchemokine_off grh_off
22.22Consensuss1p5_onOrthosteric Ligand7EW1-S1P5-Siponimod-Gi1/β1/γ2
22.22Consensuss1p5_on_gpOrthosteric Ligand7EW1-S1P5-Siponimod-Gi1/β1/γ2
22.22Consensusta1_on_gpOrthosteric Ligand8W87-TA1-METH-chim(NtGi1L-Gs)/β1/γ2 8W89-TA1-2-Phenylethylamine-chim(NtGi1L-Gs)/β1/γ2 8JLP-TA1-Ralmitaront-Gs/β1/γ2 8W8A-TA1-RO5256390-chim(NtGi1L-Gs)/β1/γ2 8W88-TA1-SEP-363856-Gs/β1/γ2 8JLO-TA1-Ulotaront-Gs/β1/γ2 8JLR-TA1-A77636-chim(NtGi1-Gs)/β1/γ2 8JSO-TA1-AMPH-chim(NtGi1-Gs)/β1/γ2 8ZSP-TA1-LSD-chim(NtGi1L-Gs)/β1/γ2
22.22Consensustachykinin_offOrthosteric Ligandnk1_off
22.22Consensustrace-amine_on_gpOrthosteric Ligandta1_on_gp
21.88Consensusmc2_onOrthosteric Ligand8GY7-MC2-Corticotropin-Ca-chim(NtGi1-Gs)/β1/γ2; MRAP1
21.88Consensusmc2_on_gpOrthosteric Ligand8GY7-MC2-Corticotropin-Ca-chim(NtGi1-Gs)/β1/γ2; MRAP1
21.74Single5WF5UK-4320975WF5-A2A-UK-432097
21.74Single7O7F6P4-CCL57O7F-CCR5-6P4-CCL5-Gi1/β1/γ1
21.74Single7T6TfMLFII7T6T-FPR1-ALX-fMLFII-Gi1/β1/γ2
21.74Single7TD0LPA7TD0-LPA1-LPA-Gi1/β1/γ2
21.74Single8WKZSBL-MC-318WKZ-MC4-SBL-MC-31
21.74Single8XGUTAK4488XGU-Kiss1-TAK448-Gi1/β1/γ2
21.74Single9MEUCXCL129MEU-CXCR4-CXCL12
21.74Consensusc5a1_onOrthosteric Ligand8HK5-C5a1-C5a-Gi1/β1/γ2 7Y66-C5a1-BM213-Gi1/β1/γ2 7Y67-C5a1-C089 peptide-Gi1/β1/γ2 7Y64-C5a1-C5a-Gi1/β1/γ2
21.74Consensuscxcr4_on_gpOrthosteric Ligand8K3Z-CXCR4-CXCL12-Gi1/β1/γ1
21.74Consensusgi_somatostatinOrthosteric Ligand7WIC-SST2-Somatostatin-14-Gi1/β1/γ2 7XMS-SST4-Somatostatin-14-Gi1/β1/γ2 8X8L-SST5-Cortistatin-14-chim(NtGi1-Gs-CtGi1)/β1/γ2 7XMT-SST4-J-2156-Gi1/β1/γ2 7WIG-SST2-L-054264-Gi1/β1/γ2 8X8N-SST5-Octreotide-chim(NtGi1-Gs-CtGi1)/β1/γ2 7YAE-SST2-Octreotide-Gi1/β1/γ2 7YAC-SST2-Paltusotine-Gi1/β1/γ2
21.74Consensusgs_class-aOrthosteric Ligandgs_peptide gs_nucleotide gs_amine
21.74Consensuspeptide_offonOrthosteric Ligandpeptide_off peptide_on
21.74Consensussomatostatin_onOrthosteric Ligandsst2_on sst4_on sst5_on
21.74Consensussomatostatin_on_gpOrthosteric Ligandsst2_on_gp sst4_on_gp sst5_on_gp
21.43Single1L9H11-cis-Retinal1L9H-Rhodopsin-11-cis-Retinal
21.43Single1U1911-cis-Retinal1U19-Rhodopsin-11-cis-Retinal
21.43Single2G87All-trans-Retinal2G87-Rhodopsin-All-trans-Retinal
21.43Single2I3511-cis-Retinal2I35-Rhodopsin-11-cis-Retinal
21.43Single3OE9IT1t3OE9-CXCR4-IT1t
21.43Single5L7IVismodegib5L7I-SMO-Vismodegib
21.43Single5TE520-Methanoretinal5TE5-Rhodopsin-20-Methanoretinal
21.43Single6HLLCP999946HLL-NK1-CP99994
21.43Single6QNOAll-trans-Retinal6QNO-Rhodopsin-All-trans-Retinal-Gi1/β1/γ1
21.43Single7DFLHistamine7DFL-H1-Histamine-chim(NtGi1L-Gq)/β1/γ2
21.43Single7E2YSerotonin7E2Y-5-HT1A-Serotonin-PtdIns4P-Gi1/β1/γ2
21.43Single7XT9Serotonin7XT9-5-HT4-Serotonin-Gs/β1/γ2
21.43Single7XTASerotonin7XTA-5-HT4-Serotonin-Gi1/β1/γ2
21.43Single7XTBSerotonin7XTB-5-HT6-Serotonin-Gs/β1/γ2
21.43Single7YFCHistamine7YFC-H4-Histamine-chim(NtGi1-Gs-CtGq)/β1/γ2
21.43Single7YS6Serotonin7YS6-5-HT6-Serotonin-chim(NtGi1-Gs)/β1/γ2
21.43Single8DPFLorcaserin8DPF-5-HT2C-Lorcaserin-chim(NtGi2L-Gs-CtGq)/β1/γ2
21.43Single8EF6Morphine8EF6-μ-Morphine-Gi1/β1/γ2
21.43Single8GGYConstrained Epinephrine8GGY-β2-Constrained Epinephrine
21.43Single8IHIAcifran8IHI-HCA2-Acifran-Gi1/β1/γ2
21.43Single8JILNiacin8JIL-HCA2-Niacin-Gi1/β1/γ2
21.43Single8JLOUlotaront8JLO-TA1-Ulotaront-Gs/β1/γ2
21.43Single8UO3Constrained Epinephrine8UO3-β2-Constrained Epinephrine-GTP; Mg-Gs/β1/γ2
21.43Single8W892-Phenylethylamine8W89-TA1-2-Phenylethylamine-chim(NtGi1L-Gs)/β1/γ2
21.43Single8WPUTryptophan; Cinacalcet; PO4; Ca8WPU-CaS; CaS-Tryptophan; Cinacalcet; PO4; Ca-chim(NtGi2L-Gs-CtGq)/β1/γ2
21.43Single8ZSVRO52633978ZSV-TA1-RO5263397-chim(NtGi1-Gs)/β1/γ2
21.43Single8ZX5AM2518ZX5-GPR55-AM251-chim(NtGi1-G13)/β1/γ2
21.43Single9B9YTaranabant9B9Y-CB1-Taranabant
21.43Single9C1PCa; Tryptophan; '6218; PO49C1P-CaS; CaS-Ca-Ca; Tryptophan; '6218; PO4
21.43Single9IJEEpinephrine9IJE-β3-Epinephrine-chim(NtGi1-Gs)/β1/γ2
21.43Single9IQTNiacin9IQT-HCA2-Niacin-Gi1/β1/γ2
21.43Single9IZDCHBA9IZD-HCA1-CHBA-Gi1/β1/γ2
21.43Single9JLCAVE 09919JLC-MAS1-AVE 0991-Gi1/β1/γ2
21.43Consensus5ht4_onOrthosteric Ligand7XTA-5-HT4-Serotonin-Gi1/β1/γ2
21.43Consensus5ht4_on_gpOrthosteric Ligand7XTA-5-HT4-Serotonin-Gi1/β1/γ2
21.43Consensusbb2_onOrthosteric Ligand7W40-BB2-Bombesin-chim(NtGi1L-Gq)/β1/γ2 7W3Z-BB2-Gastrin Releasing Peptide-chim(NtGi1L-Gq)/β1/γ2
21.43Consensusbb2_on_gpOrthosteric Ligand7W40-BB2-Bombesin-chim(NtGi1L-Gq)/β1/γ2 7W3Z-BB2-Gastrin Releasing Peptide-chim(NtGi1L-Gq)/β1/γ2
21.43Consensusbombesin_onOrthosteric Ligandbb2_on
21.43Consensusbombesin_on_gpOrthosteric Ligandbb2_on_gp
21.43Consensusgq_bombesinOrthosteric Ligand7W40-BB2-Bombesin-chim(NtGi1L-Gq)/β1/γ2 7W3Z-BB2-Gastrin Releasing Peptide-chim(NtGi1L-Gq)/β1/γ2
21.43Consensush1_onOrthosteric Ligand7DFL-H1-Histamine-chim(NtGi1L-Gq)/β1/γ2
21.05Single4N4WSANT-14N4W-SMO-SANT-1
21.05Single5CXVTiotropium5CXV-M1-Tiotropium
21.05Single5F8UCyanopindolol5F8U-β1-Cyanopindolol
21.05Single5UNHPubChem 1264564065UNH-AT2-PubChem 126456406
21.05Single5X33BIIL2605X33-BLT1-BIIL260
21.05Single6CM4Risperidone6CM4-D2-Risperidone
21.05Single6DRYMethylergometrine6DRY-5-HT2B-Methylergometrine
21.05Single6H7NXamoterol6H7N-β1-Xamoterol
21.05Single6MXTSalmeterol6MXT-β2-Salmeterol
21.05Single6XBLCholesterol6XBL-SMO-SAG-Cholesterol-Gi1/β1/γ2
21.05Single7BZ2Arformoterol7BZ2-β2-Arformoterol-Gs/β1/γ2
21.05Single7EVYSiponimod7EVY-S1P1-Siponimod-Gi1/β1/γ2
21.05Single7EXDLasmiditan7EXD-5-HT1F-Lasmiditan-Gi1/β1/γ2
21.05Single7K15MKD0467K15-BLT1-MKD046-Na
21.05Single7MTRADX551647MTR-mGlu2; mGlu2-Glutamate-ADX55164
21.05Single7W0NElabela7W0N-Apelin; Apelin-Elabela-Gi1/β1/γ2
21.05Single7WCNAR2314537WCN-GPR119-AR231453-Gs/β1/γ2
21.05Single7XMTJ-21567XMT-SST4-J-2156-Gi1/β1/γ2
21.05Single7XW9TRH7XW9-TRH-TRH-chim(NtGi1L-Gs-CtGq)/β1/γ2
21.05Single7Y66BM2137Y66-C5a1-BM213-Gi1/β1/γ2
21.05Single8FYTLSD8FYT-5-HT1A-LSD-PtdIns4P-Gi1/β1/γ1
21.05Single8G056-OAU8G05-GPR84-6-OAU-Gi1/β1/γ2
21.05Single8I9AEP548I9A-C3aB-EP54-chim(NtGi1-Gs-CtGq)/β1/γ2
21.05Single8IA8E7 peptide8IA8-C3aB-E7 peptide-Gi1/β1/γ2
21.05Single8IYWGSK2560738IYW-HCA2-GSK256073-Go/β1/γ2
21.05Single8JJLOlodaterol8JJL-β2-Olodaterol
21.05Single8JWZEtrumadenant8JWZ-A2A-Etrumadenant-Na
21.05Single8VHFMBX-29828VHF-GPR119-MBX-2982-Gs/β1/γ2
21.05Single8W1VPubChem 1717162658W1V-β2-PubChem 171716265
21.05Single8XYIVUF106618XYI-CXCR3-VUF10661
21.05Single9AU0BW245C9AU0-DP1-BW245C-Gs/β1/γ2
21.05Single9BJKPubChem 1716420669BJK-μ-Naloxone-PubChem 171642066
21.05Single9EK0Iperoxo9EK0-M5-Iperoxo-chim(NtGi1-Gs-CtGq)/β1/γ2
21.05Single9GYOP3959GYO-GPBA-P395-chim(NtGi1-Gs)/β1/γ2
21.05Single9IZHLPA9IZH-LPA1-LPA-chim(NtGi2-G13)/β1/γ2
21.05Single9W32SSTR5 antagonist 19W32-SST5-SSTR5 antagonist 1
21.05Consensus5ht1a_onOrthosteric Ligand8FYT-5-HT1A-LSD-PtdIns4P-Gi1/β1/γ1 7E2Y-5-HT1A-Serotonin-PtdIns4P-Gi1/β1/γ2 7E2Z-5-HT1A-Aripiprazole-PtdIns4P-Gi1/β1/γ2 8FYX-5-HT1A-Buspirone-PtdIns4P-Gi1/β1/γ1 8JSP-5-HT1A-Ulotaront-Gi1/β1/γ2 8JT6-5-HT1A-(R)-IHCH-7179-PtdIns4P-Gi1/β1/γ2 8FY8-5-HT1A-5-MeO-DMT-PtdIns4P-Gi1/β1/γ1 8FYE-5-HT1A-4-F,5-MeO-PyrT-PtdIns4P-Gi1/β1/γ1 8FYL-5-HT1A-Vilazodone-PtdIns4P-Gi1/β1/γ1
21.05Consensus5ht1a_on_gpOrthosteric Ligand8FYT-5-HT1A-LSD-PtdIns4P-Gi1/β1/γ1 8FYX-5-HT1A-Buspirone-PtdIns4P-Gi1/β1/γ1 8JSP-5-HT1A-Ulotaront-Gi1/β1/γ2 8JT6-5-HT1A-(R)-IHCH-7179-PtdIns4P-Gi1/β1/γ2 7E2Y-5-HT1A-Serotonin-PtdIns4P-Gi1/β1/γ2 7E2Z-5-HT1A-Aripiprazole-PtdIns4P-Gi1/β1/γ2 8FY8-5-HT1A-5-MeO-DMT-PtdIns4P-Gi1/β1/γ1 8FYE-5-HT1A-4-F,5-MeO-PyrT-PtdIns4P-Gi1/β1/γ1 8FYL-5-HT1A-Vilazodone-PtdIns4P-Gi1/β1/γ1
21.05Consensus5ht1f_onOrthosteric Ligand7EXD-5-HT1F-Lasmiditan-Gi1/β1/γ2
21.05Consensus5ht1f_on_gpOrthosteric Ligand7EXD-5-HT1F-Lasmiditan-Gi1/β1/γ2
21.05Consensusbeta3_onOrthosteric Ligand7DH5-β3-Mirabegron-Gs/β1/γ2 7XJH-β3-Isoprenaline-Gs/β1/γ2 7XJI-β3-Solabegron-Gs/β1/γ2
21.05Consensusbeta3_on_gpOrthosteric Ligand7DH5-β3-Mirabegron-Gs/β1/γ2 7XJH-β3-Isoprenaline-Gs/β1/γ2 7XJI-β3-Solabegron-Gs/β1/γ2
21.05Consensusc3a_onOrthosteric Ligand8HK2-C3aB-C3a-Gi1/β1/γ2 8IA8-C3aB-E7 peptide-Gi1/β1/γ2
21.05Consensuscannabinoid_offOrthosteric Ligandcb2_off cb1_off
21.05Consensusgi_lipidOrthosteric Ligandgi_cannabinoid gi_ffa gi_leukotriene gi_lpa gi_s1p
21.05Consensusgi_muscarinicOrthosteric Ligand8E9X-M4-2-Deoxycytidine-chim(NtGi1-Go)/β1/γ2 7T8X-M2-Acetylcholine-chim(NtGi1-Go)/β1/γ2 7TRS-M4-Acetylcholine-Gi1/β1/γ2 7TRK-M4-Iperoxo-Gi1/β1/γ2 7V6A-M4-PubChem 9864275-Gi1/β1/γ2
21.05Consensuslpa1_offOrthosteric Ligand4Z36-LPA1-ONO-3080573 4Z35-LPA1-ONO-9910539 4Z34-LPA1-ONO-9780307
21.05Consensuslpa_offOrthosteric Ligandlpa1_off
21.05Consensusm1_offOrthosteric Ligand5CXV-M1-Tiotropium
21.05Consensusnk1_offOrthosteric Ligand6HLP-NK1-Netupitant 6HLO-NK1-Aprepitant 6HLL-NK1-CP99994 6E59-NK1-L-760735
21.05Consensustrh_onOrthosteric Ligand7XW9-TRH-TRH-chim(NtGi1L-Gs-CtGq)/β1/γ2
21.05Consensustrh_on_gpOrthosteric Ligand7XW9-TRH-TRH-chim(NtGi1L-Gs-CtGq)/β1/γ2
20.83Single7AD3Alpha-factor mating pheromone7AD3-STE2; STE2-α-factor mating pheromone-Gi1/STE4/γ2
20.83Single7DW9AVP7DW9-V2-AVP-chim(NtGi1-Gs)/β1/γ2
20.83Single7F4HAfamelanotide7F4H-MC1-Afamelanotide-chim(NtGi1-Gs)/β1/γ2
20.83Single7FIMTirzepatide7FIM-GLP-1-Tirzepatide-Gs/β1/γ2
20.83Single7TYIAmylin7TYI-CT-Amylin-Gs/β1/γ2
20.83Single7YONPeptide-YY(3-36)7YON-Y2-Peptide-YY(3-36)-Gi1/β1/γ2
20.83Single8IHFMK68928IHF-HCA2-MK6892-Gi1/β1/γ2
20.83Single8J6IMK68928J6I-HCA2-MK6892-Gi1/β1/γ2
20.83Single8XWQEndothelin-18XWQ-ETB-Endothelin-1-Gi1/β1/γ2
20.83Single8ZBISomatostatin-148ZBI-SST3-Somatostatin-14-Gi1/β1/γ2
20.83Consensusapelin_onOrthosteric Ligand8XZH-Apelin; Apelin-MM07-Gi1/β1/γ2 7W0M-Apelin-PubChem 122701908-Gi1/β1/γ2 8XZJ-Apelin; Apelin-WN353-Gi1/β1/γ2 8XZF-Apelin; Apelin-WN561-Gi1/β1/γ2 8XZG-Apelin; Apelin-Apelin-13-Gi1/β1/γ2
20.83Consensusapelin_on_gpOrthosteric Ligand8XZH-Apelin; Apelin-MM07-Gi1/β1/γ2 7W0M-Apelin-PubChem 122701908-Gi1/β1/γ2 8XZJ-Apelin; Apelin-WN353-Gi1/β1/γ2 8XZF-Apelin; Apelin-WN561-Gi1/β1/γ2 8XZG-Apelin; Apelin-Apelin-13-Gi1/β1/γ2
20.83Consensusc5a1_on_gpOrthosteric Ligand8HK5-C5a1-C5a-Gi1/β1/γ2 7Y66-C5a1-BM213-Gi1/β1/γ2 7Y67-C5a1-C089 peptide-Gi1/β1/γ2 7Y64-C5a1-C5a-Gi1/β1/γ2
20.83Consensuscxcr3_on_gpOrthosteric Ligand8HNK-CXCR3-CXCL11-Gi1/β1/γ2 8HNL-CXCR3-PS372424-Gi1/β1/γ2
20.83Consensusgs_vasop-oxyOrthosteric Ligand7DW9-V2-AVP-chim(NtGi1-Gs)/β1/γ2
20.83Consensuspeptide_offon_gpOrthosteric Ligandpeptide_on_gp peptide_off
20.83Consensusv2_onOrthosteric Ligand7DW9-V2-AVP-chim(NtGi1-Gs)/β1/γ2
20.83Consensusv2_on_gpOrthosteric Ligand7DW9-V2-AVP-chim(NtGi1-Gs)/β1/γ2
20.83Consensusvasop-oxy_onOrthosteric Ligandv2_on
20.83Consensusvasop-oxy_on_gpOrthosteric Ligandv2_on_gp
20.69Consensusmelanocortin_onOrthosteric Ligandmc1_on mc4_on mc2_on mc3_on mc5_on
20.69Consensusmelanocortin_on_gpOrthosteric Ligandmc1_on_gp mc4_on_gp mc2_on_gp mc3_on_gp mc5_on_gp
20.00Single1GZM11-cis-Retinal1GZM-Rhodopsin-11-cis-Retinal
20.00Single2PED9-cis-Retinal2PED-Rhodopsin-9-cis-Retinal
20.00Single2X72All-trans-Retinal2X72-Rhodopsin-All-trans-Retinal-Gt(CT)
20.00Single3C9L11-cis-Retinal3C9L-Rhodopsin-11-cis-Retinal
20.00Single3ODUIT1t3ODU-CXCR4-IT1t
20.00Single3VGAZM-2413853VGA-A2A-ZM-241385-Antibody
20.00Single4Z35ONO-99105394Z35-LPA1-ONO-9910539
20.00Single5OLVLUAA470705OLV-A2A-LUAA47070-Na
20.00Single5U09Taranabant5U09-CB1-Taranabant
20.00Single5ZKQABT-4915ZKQ-PAF-ABT-491
20.00Single6BQGErgotamine6BQG-5-HT2C-Ergotamine
20.00Single6BQHRitanserin6BQH-5-HT2C-Ritanserin
20.00Single6D9HAdenosine6D9H-A1-Adenosine-Gi2/β1/γ2
20.00Single6K1QIRL25006K1Q-ETB-IRL2500
20.00Single6KPGAM8416KPG-CB1-AM841-Gi1/β1/γ2
20.00Single6OBAAlprenolol6OBA-β2-Alprenolol-GTPL11074
20.00Single6RNKNF-56-EJ406RNK-Succinate-NF-56-EJ40
20.00Single7BR3Elagolix7BR3-GnRH1-Elagolix
20.00Single7CX4Evatanepag7CX4-EP2-Evatanepag-Gs/β1/γ2
20.00Single7D7MPGE27D7M-EP4-PGE2-Gs/β1/γ1
20.00Single7EVZCenerimod7EVZ-S1P1-Cenerimod-Gi1/β1/γ2
20.00Single7EW0Ozanimod7EW0-S1P1-Ozanimod-Gi1/β1/γ2
20.00Single7EZCUK-4320977EZC-A2A-UK-432097
20.00Single7F1ODopamine7F1O-D1-Dopamine-GDP; Mg-Gs/β1/γ2
20.00Single7F8ULintitript7F8U-CCKA-Lintitript
20.00Single7F8YDevazepide7F8Y-CCKA-Devazepide
20.00Single7JVRBromoergocryptine7JVR-D2-Bromoergocryptine-Gi1/β1/γ2
20.00Single7LJDDopamine7LJD-D1-Dopamine-Mevidalen-Gs/β1/γ1
20.00Single7M3ECa; Ca; Tryptophan; NPS-21437M3E-CaS; CaS-Ca; Ca; Tryptophan; NPS-2143
20.00Single7M3ECa; Ca; Tryptophan; NPS-21437M3E-CaS; CaS-Ca; Ca; Tryptophan; NPS-2143
20.00Single7P00Substance-P7P00-NK1-Substance-P-chim(NtGi1-Gs-CtGq)/β1/γ2
20.00Single7QBIAlpha-factor mating pheromone7QBI-STE2; STE2-α-factor mating pheromone
20.00Single7SILCa; Ca; Ca; Cyclomethyltryptophan; R-568; PO47SIL-CaS; CaS-Ca-Ca; Ca; Ca; Cyclomethyltryptophan; R-568; PO4
20.00Single7SILCa; Ca; Ca; Cyclomethyltryptophan; R-568; PO47SIL-CaS; CaS-Ca-Ca; Ca; Ca; Cyclomethyltryptophan; R-568; PO4
20.00Single7SRSLSD7SRS-5-HT2B-LSD-Arrestin2
20.00Single7UM4AS26747237UM4-5-HT5A-AS2674723
20.00Single7VIHCBP-3077VIH-S1P1-CBP-307-Gi1/β1/γ2
20.00Single7VL9CCL15(26-92)7VL9-CCR1-CCL15(26-92)-Gi1/β1/γ2
20.00Single7VVNPTH7VVN-PTH1-PTH-Gs/β1/γ2
20.00Single7W0OElabela7W0O-Apelin-Elabela-Gi1/β1/γ2
20.00Single7WBJPACAP277WBJ-VPAC1-PACAP27-Gs/β1/γ2
20.00Single7X2FDopamine7X2F-D1-Dopamine-Mevidalen-Gs/β1/γ2
20.00Single7X5H5-CT7X5H-5-HT5A-5-CT-Gi1/β1/γ2
20.00Single7XJISolabegron7XJI-β3-Solabegron-Gs/β1/γ2
20.00Single7XT8Serotonin7XT8-5-HT4-Serotonin-Gs/β1/γ2
20.00Single7XZ6APD6687XZ6-GPR119-APD668-Gs/β1/γ2
20.00Single7Y64C5a7Y64-C5a1-C5a-Gi1/β1/γ2
20.00Single7Y65C5a (C-terminal peptide)7Y65-C5a1-C5a (C-terminal peptide)-Gi1/β1/γ2
20.00Single7YU8ONO-07405567YU8-LPA1-ONO-0740556-Gi1/β1/γ2
20.00Single8A6CAll-trans-Retinal8A6C-Rhodopsin-All-trans-Retinal
20.00Single8A6DAll-trans-Retinal8A6D-Rhodopsin-All-trans-Retinal
20.00Single8A6EAll-trans-Retinal8A6E-Rhodopsin-All-trans-Retinal
20.00Single8GNGIstradefylline8GNG-A2A-Istradefylline
20.00Single8HCQEndothelin-18HCQ-ETA-Endothelin-1-chim(NtGi1-Gs-CtGq)/β1/γ2
20.00Single8HDPAdenosine8HDP-A2B-Adenosine-Gs/β1/γ2
20.00Single8HMPC178HMP-GPR52-C17-Gs/β1/γ2
20.00Single8ID8TUG-8918ID8-FFA4-TUG-891-Gi1/β1/γ2
20.00Single8IJBAcipimox8IJB-HCA2-Acipimox-Gi1/β1/γ2
20.00Single8IULLatanoprost8IUL-FP-alpha-Latanoprost-chim(NtGi1-Gs-CtGq)/β1/γ2
20.00Single8IYSTUG-8918IYS-FFA4-TUG-891-GDP-chim(NtGi1L-Gq)/β1/γ2
20.00Single8J19LY2378J19-GPR84-LY237-Gi1/β1/γ2
20.00Single8JSOAMPH8JSO-TA1-AMPH-chim(NtGi1-Gs)/β1/γ2
20.00Single8K2XCXCL108K2X-CXCR3-CXCL10-Gi1/β1/γ2
20.00Single8RW0Istradefylline8RW0-A2A-Istradefylline-Na
20.00Single8U4PAMD31008U4P-CXCR4-AMD3100-Gi1/β1/γ2
20.00Single8UNSConstrained Epinephrine8UNS-β2-Constrained Epinephrine-GTP-Gs/β1/γ2
20.00Single8UNTConstrained Epinephrine8UNT-β2-Constrained Epinephrine-GTP-Gs/β1/γ2
20.00Single8UTDMK19038UTD-HCA2-MK1903-Gi1/β1/γ2
20.00Single8WPGTryptophan; Cinacalcet; PO4; Ca8WPG-CaS; CaS-Tryptophan; Cinacalcet; PO4; Ca
20.00Single8XVHEndothelin-18XVH-ETB-Endothelin-1-chim(Gs-CtGq)/β1/γ2
20.00Single8XXVIndomethacin8XXV-DP2-Indomethacin-A1D5Q-Gi1/β1/γ2
20.00Single8YUTAmthamine8YUT-H2-Amthamine-Gs/β1/γ2
20.00Single8ZPSPrRP208ZPS-PrRP-PrRP20-chim(NtGi1-Gs-CtGi1)/β1/γ2
20.00Single8ZRTEndothelin-18ZRT-ETB-Endothelin-1
20.00Single9AS02-bromo-LSD9AS0-5-HT2A-2-bromo-LSD-chim(NtGi1-Gs-CtGq)/β1/γ2
20.00Single9AVLCa; Ca; Cyclomethyltryptophan; R-568; PO49AVL-CaS; CaS-Ca-Ca; Ca; Cyclomethyltryptophan; R-568; PO4-Gi3/β2/γ2
20.00Single9C1PCa; Tryptophan; '6218; PO49C1P-CaS; CaS-Ca-Ca; Tryptophan; '6218; PO4
20.00Single9C2FCa; Ca; Tryptophan; '54149; PO49C2F-CaS; CaS-Ca-Ca; Ca; Tryptophan; '54149; PO4
20.00Single9EEAAdenosine9EEA-A2A-Adenosine-Gs/β1/γ2
20.00Single9GG5U466199GG5-TXA2-U46619-chim(NtGi2L-Gs-CtGq)/β1/γ2
20.00Single9KT8Acifran9KT8-HCA2-Acifran-Gi1/β1/γ2
20.00Single9KVHCinobufotenine9KVH-5-HT1A-Cinobufotenine-PtdIns4P-Gi1/β1/γ2
20.00Single9LKDPL459LKD-OR5V1-PL45
20.00Single9LL9DOI9LL9-5-HT2A-DOI-chim(NtGi1L-Gs-CtGq)/β1/γ2
20.00Single9LLBDOI-NBOMe9LLB-5-HT2A-DOI-NBOMe-chim(NtGi1L-Gs-CtGq)/β1/γ2
20.00Single9LRBHistamine9LRB-H1-Histamine-Gs/β1/γ2
20.00Single9M1HPGE29M1H-EP1-PGE2-chim(NtGi1-Gs-CtGq)/β1/γ2
20.00Single9PEEPF-07054894; OXM29PEE-CCR6-PF-07054894; OXM2
20.00Single9UYMChemerin-99UYM-CML2-Chemerin-9-chim(Arrestin3-CtArrestin2)
20.00Single9YDRDADLE9YDR-δ-DADLE-MIPS3983-chim(NtGi1L-Gs-CtGi1)/β1/γ2
20.00Consensus5ht2c_offOrthosteric Ligand6BQH-5-HT2C-Ritanserin
20.00Consensus5ht_onOrthosteric Ligand5ht1_on 5ht2_on 5ht4_on 5ht5_on 5ht6_on 5ht7_on
20.00Consensusc3a_on_gpOrthosteric Ligand8HK2-C3aB-C3a-Gi1/β1/γ2 8IA8-C3aB-E7 peptide-Gi1/β1/γ2
20.00Consensuscml1_on_gpOrthosteric Ligand7YKD-CML1-Chemerin-9-Gi1/β1/γ2
20.00Consensuscrf_on_gpOrthosteric Ligandcrf2_on_gp crf1_on_gp
20.00Consensuseta_onOrthosteric Ligand8HCQ-ETA-Endothelin-1-chim(NtGi1-Gs-CtGq)/β1/γ2
20.00Consensuseta_on_gpOrthosteric Ligand8HCQ-ETA-Endothelin-1-chim(NtGi1-Gs-CtGq)/β1/γ2
20.00Consensusfp-alpha_onOrthosteric Ligand8IUK-FP-alpha-PGF2-α-chim(NtGi1-Gs-CtGq)/β1/γ2 8IUL-FP-alpha-Latanoprost-chim(NtGi1-Gs-CtGq)/β1/γ2 8IUM-FP-alpha-Tafluprost acid-chim(NtGi1-Gs-CtGq)/β1/γ2
20.00Consensusfp-alpha_on_gpOrthosteric Ligand8IUK-FP-alpha-PGF2-α-chim(NtGi1-Gs-CtGq)/β1/γ2 8IUL-FP-alpha-Latanoprost-chim(NtGi1-Gs-CtGq)/β1/γ2 8IUM-FP-alpha-Tafluprost acid-chim(NtGi1-Gs-CtGq)/β1/γ2
20.00Consensusgi_apelinOrthosteric Ligand8XZH-Apelin; Apelin-MM07-Gi1/β1/γ2 7W0M-Apelin-PubChem 122701908-Gi1/β1/γ2 8XZJ-Apelin; Apelin-WN353-Gi1/β1/γ2 8XZF-Apelin; Apelin-WN561-Gi1/β1/γ2 8XZG-Apelin; Apelin-Apelin-13-Gi1/β1/γ2
20.00Consensusgnrh1_offOrthosteric Ligand7BR3-GnRH1-Elagolix
20.00Consensusgs_5htOrthosteric Ligand7XTC-5-HT7-5-CT-Gs/β1/γ2 7XTB-5-HT6-Serotonin-Gs/β1/γ2 8JLZ-5-HT6-ST1936-Gs/β1/γ2 7XT8-5-HT4-Serotonin-Gs/β1/γ2
20.00Consensusnk1_onOrthosteric Ligand7P00-NK1-Substance-P-chim(NtGi1-Gs-CtGq)/β1/γ2
20.00Consensusnk1_on_gpOrthosteric Ligand7P00-NK1-Substance-P-chim(NtGi1-Gs-CtGq)/β1/γ2
20.00Consensusnucleotide_on_gpOrthosteric Ligandadenosine_on_gp p2y_on_gp
20.00Consensuspaf_offOrthosteric Ligand5ZKQ-PAF-ABT-491
20.00Consensusrhodopsin_offOrthosteric Ligand1U19-Rhodopsin-11-cis-Retinal 2PED-Rhodopsin-9-cis-Retinal 5TE5-Rhodopsin-20-Methanoretinal
20.00Consensussensory_offonOrthosteric Ligandsensory_off sensory_on
20.00Consensussensory_offon_gpOrthosteric Ligandsensory_on_gp sensory_on
20.00Consensussst5_on_gpOrthosteric Ligand8X8L-SST5-Cortistatin-14-chim(NtGi1-Gs-CtGi1)/β1/γ2 8X8N-SST5-Octreotide-chim(NtGi1-Gs-CtGi1)/β1/γ2
19.35Single7TYYCalcitonin-17TYY-CT (AMY2)-Calcitonin-1-Gs/β1/γ2; RAMP2
19.35Consensusglucagon_onOrthosteric Ligandglp_on gluc_on secretin_on gip_on
19.23Single7F8VGastrin-177F8V-CCKB-Gastrin-17-Gi2/β1/γ2
19.23Single7QBIAlpha-factor mating pheromone7QBI-STE2; STE2-α-factor mating pheromone
19.23Single7RGPTirzepatide7RGP-GLP-1-Tirzepatide-chim(NtGi1-Gs)/β1/γ2
19.23Single8XVEBQ30208XVE-ETB-BQ3020-chim(Gs-CtGq)/β1/γ2
19.23Single9BLWCagrilintide (non-acylated)9BLW-CT (AMY1)-Cagrilintide (non-acylated)-Gs/β1/γ2; RAMP1
19.23Single9KFKRelaxin-39KFK-RXFP4-Relaxin-3-Gi2/β1/γ2
19.23Consensusgi_compl-peptOrthosteric Ligand8HK5-C5a1-C5a-Gi1/β1/γ2 8IA8-C3aB-E7 peptide-Gi1/β1/γ2 7Y66-C5a1-BM213-Gi1/β1/γ2 7Y67-C5a1-C089 peptide-Gi1/β1/γ2 8HK2-C3aB-C3a-Gi1/β1/γ2 7Y64-C5a1-C5a-Gi1/β1/γ2
19.23Consensusgi_peptideOrthosteric Ligandgi_cck gi_apelin gi_compl-pept gi_endothelin gi_formylpeptide gi_galanin gi_ghrelin gi_npy gi_neurotensin gi_opioid gi_orexin gi_relaxin gi_somatostatin
19.05Single5VBLAMG3054 5VBL-Apelin-AMG3054
19.05Single6XBJCholesterol6XBJ-SMO-Cholesterol-Gi1/β1/γ2
19.05Single7AUESetmelanotide7AUE-MC4-Setmelanotide-chim(NtGi1L-Gs)/β1/γ2
19.05Single7CX2PGE27CX2-EP2-PGE2-Gs/β1/γ2
19.05Single7F2OBradykinin7F2O-BK2-Bradykinin-chim(NtGi1-Gs-CtGq)/β1/γ2
19.05Single7F9ZGHRP-67F9Z-Ghrelin-GHRP-6-chim(NtGi1-Gs-CtGq)/β1/γ2
19.05Single7RKFCX3CL17RKF-US28-CX3CL1-GDP-chim(NtGi1-G11)/β1/γ2
19.05Single7RKNCX3CL17RKN-US28-CX3CL1-Gi1/β1/γ2
19.05Single7RMGSubstance-P7RMG-NK1-Substance-P-chim(Gs-CtGq)/β1/γ2
19.05Single7RMHSubstance-P7RMH-NK1-Substance-P-Gs/β1/γ2
19.05Single7S8LCortistatin-147S8L-MRGPRX2-Cortistatin-14-chim(NtGi2L-Gs-CtGq)/β1/γ2
19.05Single7XBXCX3CL17XBX-CX3CR1-CX3CL1-Gi1/β1/γ2
19.05Single7XN9L-0545227XN9-SST2-L-054522
19.05Single7Y1FDynorphin7Y1F-κ-Dynorphin-Gi1/β1/γ2
19.05Single8F7REndomorphin8F7R-μ-Endomorphin-Gi1/β1/γ2
19.05Single8IA7Cholecystokinin-88IA7-CCKB-Cholecystokinin-8-chim(NtGi1L-Gq)/β1/γ2
19.05Single8IUMTafluprost acid8IUM-FP-alpha-Tafluprost acid-chim(NtGi1-Gs-CtGq)/β1/γ2
19.05Single8JLRA776368JLR-TA1-A77636-chim(NtGi1-Gs)/β1/γ2
19.05Single8XZFWN5618XZF-Apelin; Apelin-WN561-Gi1/β1/γ2
19.05Single9IPYJR14a9IPY-C3aB-JR14a
19.05Single9IZASCH9002719IZA-HCA2-SCH900271-Gi1/β1/γ2
19.05Consensuscxcr3_onOrthosteric Ligand8HNK-CXCR3-CXCL11-Gi1/β1/γ2 8HNL-CXCR3-PS372424-Gi1/β1/γ2
19.05Consensuscxcr_on_gpOrthosteric Ligandcxcr3_on_gp cxcr4_on_gp cxcr1_on_gp cxcr2_on_gp
19.05Consensusdop_onOrthosteric Ligand8F7S-δ-Deltorphin-Gi1/β1/γ2
19.05Consensusnmur1_onOrthosteric Ligand7W53-NMUR1-Neuromedin-U-25-chim(NtGi1-Gs-CtGq)/β1/γ2
19.05Consensussst2_onOrthosteric Ligand7WIC-SST2-Somatostatin-14-Gi1/β1/γ2 7WIG-SST2-L-054264-Gi1/β1/γ2 7YAE-SST2-Octreotide-Gi1/β1/γ2 7YAC-SST2-Paltusotine-Gi1/β1/γ2
19.05Consensussst2_on_gpOrthosteric Ligand7WIC-SST2-Somatostatin-14-Gi1/β1/γ2 7WIG-SST2-L-054264-Gi1/β1/γ2 7YAE-SST2-Octreotide-Gi1/β1/γ2 7YAC-SST2-Paltusotine-Gi1/β1/γ2
18.75Single1F8811-cis-Retinal1F88-Rhodopsin-11-cis-Retinal
18.75Single3OAX11-cis-Retinal3OAX-Rhodopsin-11-cis-Retinal
18.75Single3RZECidoxepin3RZE-H1-Cidoxepin
18.75Single4MQTIperoxo4MQT-M2-Iperoxo-LY2119620
18.75Single6ME32-Phenylmelatonin6ME3-MT1-2-Phenylmelatonin
18.75Single6PS82-Phenylmelatonin6PS8-MT1-2-Phenylmelatonin
18.75Single6TPNHTL66416TPN-OX2-HTL6641
18.75Single6WH4Methiothepin6WH4-5-HT2A-Methiothepin
18.75Single6WJCAtropine6WJC-M1-Atropine-Muscarinic toxin 7
18.75Single6ZDVPubChem 9840736ZDV-A2A-PubChem 984073-Na
18.75Single7AROLUF58337ARO-A2A-LUF5833-Na
18.75Single7BB6AVP7BB6-V2-AVP-Gs/β1/γ2
18.75Single7CKWFenoldopam7CKW-D1-Fenoldopam-Gs/β1/γ2
18.75Single7UL3Famotidine7UL3-H2-Famotidine
18.75Single7WC9PubChem 1624213647WC9-5-HT2A-PubChem 162421364
18.75Single7ZBC11-cis-Retinal7ZBC-Rhodopsin-11-cis-Retinal
18.75Single7ZBE11-cis-Retinal7ZBE-Rhodopsin-11-cis-Retinal
18.75Single8DPGPsilocin8DPG-5-HT2C-Psilocin-chim(NtGi2L-Gs-CtGq)/β1/γ2
18.75Single8FCZ11-cis-Retinal8FCZ-Rhodopsin-11-cis-Retinal
18.75Single8GEAConstrained Epinephrine8GEA-β2-Constrained Epinephrine-Gs/β1/γ2
18.75Single8GG8Constrained Epinephrine8GG8-β2-Constrained Epinephrine-GTP-Gs/β1/γ2
18.75Single8JEIPubChem 117155568JEI-HCAR3-PubChem 11715556-Gi1/β1/γ2
18.75Single8JERAcipimox8JER-HCA2-Acipimox-Go/β1/γ2
18.75Single8JLQFenoldopam8JLQ-TA1-Fenoldopam-Gs/β1/γ2
18.75Single8K2WAMG4878K2W-CXCR3-AMG487
18.75Single8K9LDAMGO8K9L-μ-DAMGO-BMS-986122-Gi3/β1/γ1
18.75Single8RWCStilSwitch28RWC-A2A-StilSwitch2-Na
18.75Single8RWDStilSwitch38RWD-A2A-StilSwitch3-Na
18.75Single8RWIStilSwitch28RWI-A2A-StilSwitch2-Na
18.75Single8UHBRO52563908UHB-TA1-RO5256390-Gs/β1/γ2
18.75Single8UO1Constrained Epinephrine8UO1-β2-Constrained Epinephrine-GTP; Mg-Gs/β1/γ2
18.75Single8V6UPubChem 1713924568V6U-5-HT2A-PubChem 171392456-chim(NtGi2-Gs-CtGq)/β1/γ2
18.75Single8W8BSEP-3638568W8B-5-HT1A-SEP-363856-Gi1/β1/γ2
18.75Single8WPUTryptophan; Cinacalcet; PO4; Ca8WPU-CaS; CaS-Tryptophan; Cinacalcet; PO4; Ca-chim(NtGi2L-Gs-CtGq)/β1/γ2
18.75Single8Y01All-trans-Retinal8Y01-Opsin1MW-All-trans-Retinal-Gi1/β1/γ2
18.75Single8Y6YGLPG09748Y6Y-FFA2-GLPG0974
18.75Single8ZBWQuin-C18ZBW-FPR2-ALX-Quin-C1-Gi2/β1/γ2
18.75Single9ARXSerotonin9ARX-5-HT2A-Serotonin
18.75Single9AS8Psilocin9AS8-5-HT2A-Psilocin-chim(NtGi2L-Gs-CtGq)/β1/γ2
18.75Single9ASBCa; Ca; Cyclomethyltryptophan; R-568; PO49ASB-CaS; CaS-Ca-Ca; Ca; Cyclomethyltryptophan; R-568; PO4-chim(NtGi1-Gs-CtGq)/β1/γ2
18.75Single9ASBCa; Ca; Cyclomethyltryptophan; R-568; PO49ASB-CaS; CaS-Ca-Ca; Ca; Cyclomethyltryptophan; R-568; PO4-chim(NtGi1-Gs-CtGq)/β1/γ2
18.75Single9AVGCa; Ca; Cyclomethyltryptophan; R-568; PO49AVG-CaS; CaS-Ca-Ca; Ca; Cyclomethyltryptophan; R-568; PO4-chim(NtGi1-Gs)/β1/γ2
18.75Single9BA0MRI-18919BA0-CB1-MRI-1891
18.75Single9DQJEP-39459DQJ-MRGPRD-EP-3945-chim(NtGi1-Gs-CtGq)/β1/γ2
18.75Single9JFUNE52-QQ579JFU-GPR4-NE52-QQ57
18.75Single9JKQMETH9JKQ-TA1-METH-Gs/β1/γ2
18.75Single9JKYAcifran9JKY-HCA2-Acifran-Gi1/β1/γ2
18.75Single9JMDAzithromycin9JMD-Motilin-Azithromycin-chim(Gs-CtGq)/β1/γ2
18.75Single9JQYTG6-1299JQY-EP4-TG6-129
18.75Single9KVIBufotenin9KVI-5-HT1A-Bufotenin-PtdIns4P-Gi1/β1/γ2
18.75Single9LKBPL459LKB-OR5V1-PL45-chim(NtGi1-Gs)/β1
18.75Single9VJG8-OH-DPAT9VJG-5-HT1A-8-OH-DPAT-chim(NtGi2-Gz)/β1/γ2
18.75Single9W33S5A19W33-SST5-S5A1
18.75Consensus5ht2a_offOrthosteric Ligand6A94-5-HT2A-Zotepine 6A93-5-HT2A-Risperidone 7VOD-5-HT2A-Cariprazine 7WC8-5-HT2A-Lumateperone 8JT8-5-HT2A-(R)-IHCH-7179
18.75Consensuscb1_offOrthosteric Ligand5U09-CB1-Taranabant 5TGZ-CB1-AM6538
18.75Consensuscxcr3_offOrthosteric Ligand8K2W-CXCR3-AMG487
18.75Consensusglucagon_on_gpOrthosteric Ligandglp_on_gp gluc_on_gp secretin_on_gp gip_on_gp
18.75Consensusgrh_offOrthosteric Ligandgnrh1_off
18.75Consensusopsins_offOrthosteric Ligandrhodopsin_off
18.75Consensussensory_offOrthosteric Ligandopsins_off
18.52Single6P9XCorticoliberin-16P9X-CRF1-Corticoliberin-1-Gs/β1/γ2
18.52Single6UVAAdrenomedullin-26UVA-CT Like (AM2)-Adrenomedullin-2-Gs/β1/γ2; RAMP3
18.52Single7EIBKallidin-des-Arg107EIB-BK1-Kallidin-des-Arg10-chim(NtGi1-Gs-CtGq)/β1/γ2
18.52Single7QBCAlpha-factor mating pheromone7QBC-STE2; STE2-α-factor mating pheromone
18.52Single7XATSomatostatin-147XAT-SST2-Somatostatin-14-Gi1/β1/γ2
18.52Single7YOONeuropeptide-Y7YOO-Y2-Neuropeptide-Y-Gi1/β1/γ2
18.52Single8W8WAlpha-MSH8W8W-MC3-α-MSH-Ca-Gs/β1/γ2
18.52Single8XWPEndothelin-18XWP-ETB-Endothelin-1-Gi1/β1/γ2
18.52Single8ZJGChemerin8ZJG-CML1-Chemerin-Gi1/β1/γ2
18.52Single9BUCCagrilintide9BUC-CT-Cagrilintide-Gs/β1/γ2
18.52Single9K26PrRP319K26-PrRP-PrRP31-Gi1/β1/γ2
18.52Consensuscrf_onOrthosteric Ligandcrf2_on crf1_on
18.52Consensusglp_onOrthosteric Ligandglp1_on glp2_on
18.52Consensusglp_on_gpOrthosteric Ligandglp1_on_gp glp2_on_gp
18.52Consensusnpy2_onOrthosteric Ligand7YOO-Y2-Neuropeptide-Y-Gi1/β1/γ2
18.52Consensusnpy2_on_gpOrthosteric Ligand7YOO-Y2-Neuropeptide-Y-Gi1/β1/γ2
18.52Consensuspeptide_onOrthosteric Ligandcck_on angiotensin_on apelin_on bombesin_on bradykinin_on compl-peptide_on endothelin_on formylpeptide_on galanin_on ghrelin_on kisspeptin_on melanocortin_on motilin_on neuromedin-u_on npy_on neurotensin_on opioid_on orexin_on relaxin_on somatostatin_on tachykinin_on trh_on vasop-oxy_on
18.52Consensuspeptide_on_gpOrthosteric Ligandcck_on_gp angiotensin_on_gp apelin_on_gp bombesin_on_gp bradykinin_on_gp compl-peptide_on_gp endothelin_on_gp formylpeptide_on_gp galanin_on_gp ghrelin_on_gp kisspeptin_on_gp melanocortin_on_gp motilin_on_gp neuromedin-u_on_gp npy_on_gp neurotensin_on_gp opioid_on_gp orexin_on_gp relaxin_on_gp somatostatin_on_gp tachykinin_on_gp trh_on_gp vasop-oxy_on_gp
18.42Single8GY7Corticotropin8GY7-MC2-Corticotropin-Ca-chim(NtGi1-Gs)/β1/γ2; MRAP1
18.18Single4IB4Ergotamine4IB4-5-HT2B-Ergotamine
18.18Single4XT1CX3CL14XT1-US28-CX3CL1
18.18Single5MZPCaffeine5MZP-A2A-Caffeine-Na
18.18Single7CX3Taprenepag7CX3-EP2-Taprenepag-Gs/β1/γ2
18.18Single7F8XNN90567F8X-CCKA-NN9056
18.18Single7TD4Siponimod7TD4-S1P1-Siponimod-Gi1/β1/γ2
18.18Single7W53Neuromedin-U-257W53-NMUR1-Neuromedin-U-25-chim(NtGi1-Gs-CtGq)/β1/γ2
18.18Single7WVWfMYFINILTL7WVW-FPR2-ALX-fMYFINILTL-Gi2/β1/γ2
18.18Single7XAUOctreotide7XAU-SST2-Octreotide-Gi1/β1/γ2
18.18Single8G59TUG-8918G59-FFA4-TUG-891-chim(Gi1-CtGq)/β1/γ2
18.18Single8GEJConstrained Epinephrine8GEJ-β2-Constrained Epinephrine-Gs/β1/γ2
18.18Single8IZBLysophosphatidylserine (UBL)8IZB-GPR174-Lysophosphatidylserine (UBL)-Gs/β1/γ2
18.18Single8J6RMK68928J6R-HCA2-MK6892-Gi1/β1/γ2
18.18Single8KIGSHU91198KIG-MC3-SHU9119-Ca
18.18Single8WCCCyclohexylammonium Ion8WCC-TA1-Cyclohexylammonium Ion
18.18Single8XGMChemerin8XGM-CML2-Chemerin-Gi1/β1/γ2
18.18Single8ZBJSomatostatin-148ZBJ-SST5-Somatostatin-14-Gi1/β1/γ2
18.18Single8ZSPLSD8ZSP-TA1-LSD-chim(NtGi1L-Gs)/β1/γ2
18.18Single9HB3Mambaquaretin-19HB3-V2-Mambaquaretin-1
18.18Single9KWGC5a9KWG-C5a1-C5a-Go/β1/γ2
18.18Single9UMRC5a-pep9UMR-C5a1-C5a-pep-Go/β1/γ2
18.18Single9UYJChemerin-99UYJ-CML2-Chemerin-9-Arrestin2
18.18Consensusgi_nucleotideOrthosteric Ligandgi_adenosine gi_p2y
18.18Consensuslpl_onOrthosteric Ligands1p_on lpa_on
18.18Consensuslpl_on_gpOrthosteric Ligands1p_on_gp lpa_on_gp
18.18Consensusmc4_onOrthosteric Ligand7AUE-MC4-Setmelanotide-chim(NtGi1L-Gs)/β1/γ2 7F58-MC4-THIQ-Gs/β1/γ2 7F54-MC4-Afamelanotide-Gs/β1/γ2 7F53-MC4-α-MSH-Gs/β1/γ2 7F55-MC4-Bremelanotide-Gs/β1/γ2
18.18Consensusnmur1_on_gpOrthosteric Ligand7W53-NMUR1-Neuromedin-U-25-chim(NtGi1-Gs-CtGq)/β1/γ2
18.18Consensusp2y_onOrthosteric Ligandp2y1_on p2y10_on p2y12_on
18.18Consensussst5_onOrthosteric Ligand8X8L-SST5-Cortistatin-14-chim(NtGi1-Gs-CtGi1)/β1/γ2 8X8N-SST5-Octreotide-chim(NtGi1-Gs-CtGi1)/β1/γ2
17.86Single5VAIGLP-15VAI-GLP-1-GLP-1-Gs/β1/γ2
17.86Single6IGLIRL16206IGL-ETB-IRL1620
17.86Single6LMLGlucagon6LML-Glucagon-Glucagon-Gi1/β1/γ1
17.86Single6WZGSecretin6WZG-Secretin-Secretin-Gs/β1/γ2
17.86Single7D68GLP-27D68-GLP-2-GLP-2-Gs/β1/γ2
17.86Single7QBCAlpha-factor mating pheromone7QBC-STE2; STE2-α-factor mating pheromone
17.86Single7VGXNeuropeptide-Y7VGX-Y1-Neuropeptide-Y-Gi1/β1/γ2
17.86Single8F0KPramlintide Analogue San3858F0K-CT (AMY3)-Pramlintide Analogue San385-Gs/β1/γ2; RAMP3
17.86Single8KGGLysophosphatidylserine (WJS)8KGG-P2Y10-Lysophosphatidylserine (WJS)-chim(NtGi2-G13)/β1/γ2
17.86Single8WWNMCH8WWN-MCH1-MCH-Gi1/β1/γ2
17.86Consensusbk2_onOrthosteric Ligand7F6H-BK2-Bradykinin-Gq/β1/γ2 7F6I-BK2-Kallidin-Gq/β1/γ2
17.86Consensusbk2_on_gpOrthosteric Ligand7F6H-BK2-Bradykinin-Gq/β1/γ2 7F6I-BK2-Kallidin-Gq/β1/γ2
17.86Consensusbradykinin_onOrthosteric Ligandbk2_on
17.86Consensusbradykinin_on_gpOrthosteric Ligandbk2_on_gp
17.86Consensusendothelin_onOrthosteric Ligandetb_on eta_on
17.86Consensusgq_bradykininOrthosteric Ligand7F6H-BK2-Bradykinin-Gq/β1/γ2 7F6I-BK2-Kallidin-Gq/β1/γ2
17.86Consensusgs_melanocortinOrthosteric Ligand7F4H-MC1-Afamelanotide-chim(NtGi1-Gs)/β1/γ2 7F54-MC4-Afamelanotide-Gs/β1/γ2 7F4D-MC1-α-MSH-chim(NtGi1-Gs)/β1/γ2 8INR-MC5-α-MSH-Ca-chim(NtGi1-Gs)/β1/γ2 7F53-MC4-α-MSH-Gs/β1/γ2 7F55-MC4-Bremelanotide-Gs/β1/γ2 8GY7-MC2-Corticotropin-Ca-chim(NtGi1-Gs)/β1/γ2; MRAP1 8IOC-MC3-γ-MSH-Ca-chim(NtGi1-Gs)/β1/γ2 8IOD-MC5-PG-901-Ca-chim(NtGi1-Gs)/β1/γ2 7AUE-MC4-Setmelanotide-chim(NtGi1L-Gs)/β1/γ2 7F4I-MC1-SHU9119-chim(NtGi1-Gs)/β1/γ2 7F58-MC4-THIQ-Gs/β1/γ2
17.65Single1HZX11-cis-Retinal1HZX-Rhodopsin-11-cis-Retinal
17.65Single4DAJTiotropium4DAJ-M3-Tiotropium
17.65Single4MQSIperoxo4MQS-M2-Iperoxo
17.65Single4QIMANTA XV4QIM-SMO-ANTA XV
17.65Single4U14Tiotropium4U14-M3-Tiotropium
17.65Single4X1HNonyl-Beta-D-Glucopyranoside4X1H-Rhodopsin-Nonyl-β-D-Glucopyranoside-Gt(CT)
17.65Single5DSGTiotropium5DSG-M4-Tiotropium
17.65Single5NDDAZ8838; Na5NDD-PAR2-AZ8838; Na
17.65Single5UENDU1725UEN-A1-DU172
17.65Single5UIGPubChem 1240811965UIG-A2A-PubChem 124081196
17.65Single6DRXLisuride6DRX-5-HT2B-Lisuride
17.65Single6WHADB139486WHA-5-HT2A-DB13948-chim(NtGi2L-Gs-CtGq)/β1/γ2
17.65Single6XBM25(S)-Epoxycholesterol6XBM-SMO-25(S)-Epoxycholesterol-Gi1/β1/γ2
17.65Single7JOZPubChem 752020227JOZ-D1-PubChem 75202022-Gs/β1/γ2
17.65Single7T6VfMLFII7T6V-FPR2-ALX-fMLFII-Gi1/β1/γ2
17.65Single7TRPIperoxo7TRP-M4-Iperoxo-LY2033298-Gi1/β1/γ2
17.65Single7VIFFTY720-P7VIF-S1P1-FTY720-P-Gi1/β1/γ2
17.65Single7WC7Lisuride7WC7-5-HT2A-Lisuride
17.65Single7XJHIsoprenaline7XJH-β3-Isoprenaline-Gs/β1/γ2
17.65Single7XTC5-CT7XTC-5-HT7-5-CT-Gs/β1/γ2
17.65Single7YK7DC5910537YK7-RXFP4-DC591053-Gi2/β1/γ2
17.65Single7YU4ONO-07405567YU4-LPA1-ONO-0740556
17.65Single8CU6LJ-45178CU6-A2A-LJ-4517
17.65Single8EFQDAMGO8EFQ-μ-DAMGO-Gi1/β1/γ2
17.65Single8FY85-MeO-DMT8FY8-5-HT1A-5-MeO-DMT-PtdIns4P-Gi1/β1/γ1
17.65Single8GCML-9026888GCM-EP4-L-902688-Gi1/β1/γ2
17.65Single8KEXDCA-3P8KEX-MRGPRX4-DCA-3P
17.65Single8RW7StilSwitch18RW7-A2A-StilSwitch1-Na
17.65Single8RWXStilSwitch38RWX-A2A-StilSwitch3-Na
17.65Single8UWLLisuride8UWL-5-HT2A-Lisuride-chim(NtGi2-Gs-CtGq)/β1/γ2
17.65Single8X9TAP5038X9T-ADGRD1-AP503-chim(NtGi1-Gs)/β1/γ2
17.65Single9AS1DMT9AS1-5-HT2A-DMT
17.65Single9AVGCa; Ca; Cyclomethyltryptophan; R-568; PO49AVG-CaS; CaS-Ca-Ca; Ca; Cyclomethyltryptophan; R-568; PO4-chim(NtGi1-Gs)/β1/γ2
17.65Single9DYFAsenapine9DYF-5-HT1A-Asenapine-PtdIns4P-Gi1/β1/γ2
17.65Single9H37PubChem 1756706469H37-A2A-PubChem 175670646-Na
17.65Single9IZCMK19039IZC-HCA2-MK1903-Gi1/β1/γ2
17.65Single9JROPF-044189489JRO-EP2-PF-04418948
17.65Single9LLAAriadne9LLA-5-HT2A-Ariadne-chim(NtGi1L-Gs-CtGq)/β1/γ2
17.65Single9UAZAtropine9UAZ-M1-Atropine
17.65Consensus5ht6_onOrthosteric Ligand7XTB-5-HT6-Serotonin-Gs/β1/γ2 8JLZ-5-HT6-ST1936-Gs/β1/γ2
17.65Consensus5ht6_on_gpOrthosteric Ligand7XTB-5-HT6-Serotonin-Gs/β1/γ2 8JLZ-5-HT6-ST1936-Gs/β1/γ2
17.65Consensus5ht7_onOrthosteric Ligand7XTC-5-HT7-5-CT-Gs/β1/γ2
17.65Consensus5ht7_on_gpOrthosteric Ligand7XTC-5-HT7-5-CT-Gs/β1/γ2
17.65Consensuscck_offOrthosteric Ligandccka_off
17.65Consensusccka_offOrthosteric Ligand7F8Y-CCKA-Devazepide 7F8U-CCKA-Lintitript
17.65Consensusclass-b1_onOrthosteric Ligandglucagon_on vip-pacap_on pth_on crf_on calcitonin_on
17.65Consensusm4_offOrthosteric Ligand5DSG-M4-Tiotropium
17.65Consensusnucleotide_offonOrthosteric Ligandnucleotide_off nucleotide_on
17.65Consensusnucleotide_offon_gpOrthosteric Ligandnucleotide_on_gp nucleotide_off
17.39Single5XJM(Sar1,Ile8)-Angiotensin II5XJM-AT2-(Sar1,Ile8)-Angiotensin II
17.39Single6DO1(Sar1,Ile8)-Angiotensin II6DO1-AT1-(Sar1,Ile8)-Angiotensin II
17.39Single7PIVAfamelanotide7PIV-MC4-Afamelanotide-Gs/β1/γ2
17.39Single7RMISubstance-P7RMI-NK1-Substance-P-chim(Gs-CtGq)/β1/γ2
17.39Single8F7QBeta-Endorphin8F7Q-μ-β-Endorphin-Gi1/β1/γ2
17.39Single8F7SDeltorphin8F7S-δ-Deltorphin-Gi1/β1/γ2
17.39Single8KH5Lysophosphatidylserine8KH5-GPR174-Lysophosphatidylserine-Gs/β1/γ2
17.39Single8XYDPlatelet Activating Factor8XYD-PAF-Platelet Activating Factor-Gi1/β1/γ2
17.39Single9IK8Pasireotide9IK8-SST1-Pasireotide-Gi1/β1/γ2
17.39Single9IQVMuscarinic toxin 39IQV-Alpha1A-Muscarinic toxin 3
17.39Single9KFIRelaxin-39KFI-RXFP3-Relaxin-3-Gi2/β1/γ2
17.39Single9KT7MK68929KT7-HCA2-MK6892-Gi1/β1/γ2
17.39Single9KV6TLQP219KV6-C3aB-TLQP21-Go/β1/γ2
17.39Single9L60Dynorphin9L60-κ-Dynorphin-MPAM-15-Gi1/β1/γ2
17.39Consensuscompl-peptide_onOrthosteric Ligandc5a1_on c3a_on
17.39Consensusdop_on_gpOrthosteric Ligand8F7S-δ-Deltorphin-Gi1/β1/γ2
17.39Consensusgi_cckOrthosteric Ligand7EZH-CCKA-Cholecystokinin-8-Gi1/β1/γ2 7F8V-CCKB-Gastrin-17-Gi2/β1/γ2
17.39Consensusgi_ghrelinOrthosteric Ligand7NA7-Ghrelin-Ghrelin-Gi1/β1/γ2 7NA8-Ghrelin-Ibutamoren-Gi1/β1/γ2
17.39Consensusgq_class-aOrthosteric Ligandgq_peptide gq_amine gq_nucleotide
17.39Consensussst4_onOrthosteric Ligand7XMS-SST4-Somatostatin-14-Gi1/β1/γ2 7XMT-SST4-J-2156-Gi1/β1/γ2
17.39Consensussst4_on_gpOrthosteric Ligand7XMS-SST4-Somatostatin-14-Gi1/β1/γ2 7XMT-SST4-J-2156-Gi1/β1/γ2
17.24Single5GLHEndothelin-15GLH-ETB-Endothelin-1
17.24Single6IGKEndothelin-36IGK-ETB-Endothelin-3
17.24Single6PB0Urocortin6PB0-CRF1-Urocortin-chim(NtGi1-Gs)/β1/γ2
17.24Single7DUQGLP-17DUQ-GLP-1-GLP-1-PubChem 156022738-Gs/β1/γ2
17.24Single8U1UCCL18U1U-CCR8-CCL1-Gi1/β1/γ2
17.24Consensusccr5_on_gpOrthosteric Ligand7O7F-CCR5-6P4-CCL5-Gi1/β1/γ1 7F1Q-CCR5-CCL3-Gi1/β1/γ2
17.24Consensusgi_endothelinOrthosteric Ligand8IY5-ETB-Endothelin-1-Gi1/β1/γ2 8HBD-ETB-IRL1620-Gi1/β1/γ2
16.67Single3PXOAll-trans-Retinal3PXO-Rhodopsin-All-trans-Retinal
16.67Single4WW3All-trans-Retinal4WW3-Rhodopsin-All-trans-Retinal
16.67Single5CGCHTL142425CGC-mGlu5-HTL14242
16.67Single5DYSAll-trans-Retinal5DYS-Rhodopsin-All-trans-Retinal
16.67Single5MZJTheophylline5MZJ-A2A-Theophylline-Na
16.67Single5N2RPSB365N2R-A2A-PSB36-Na
16.67Single5N2SPSB365N2S-A1-PSB36
16.67Single5NM2ZM-2413855NM2-A2A-ZM-241385-Na
16.67Single5ZK33-quinuclidinyl-benzilate5ZK3-M2-3-quinuclidinyl-benzilate
16.67Single6GDGNECA6GDG-A2A-NECA-Gs/β1/γ1
16.67Single6LPBPACAP276LPB-PAC1-PACAP27-Gs/β1/γ1
16.67Single6ME62-Phenylmelatonin6ME6-MT2-2-Phenylmelatonin
16.67Single6ME82-Phenylmelatonin6ME8-MT2-2-Phenylmelatonin
16.67Single6MEOGp160; CD46MEO-CCR5-Gp160; CD4
16.67Single6OIKIperoxo6OIK-M2-Iperoxo-LY2119620-chim(NtGi1-Go)/β1/γ2
16.67Single6RZ4Pranlukast6RZ4-CysLT1-Pranlukast-Na
16.67Single6UUNAdrenomedullin6UUN-CT Like (AM1)-Adrenomedullin-Gs/β1/γ2; RAMP2
16.67Single6XBKCholesterol6XBK-SMO-Cholesterol-Gi1/β1/γ2
16.67Single7BB7AVP7BB7-V2-AVP-Gs/β1/γ2
16.67Single7CKXA776367CKX-D1-A77636-Gs/β1/γ2
16.67Single7F4DAlpha-MSH7F4D-MC1-α-MSH-chim(NtGi1-Gs)/β1/γ2
16.67Single7RYCOxytocin7RYC-OT-Oxytocin-chim(NtGi2L-Gs-CtGq)/β1/γ2
16.67Single7TD2LPA7TD2-LPA1-LPA-Gi1/β1/γ2
16.67Single7TRKIperoxo7TRK-M4-Iperoxo-Gi1/β1/γ2
16.67Single7VOEAripiprazole7VOE-5-HT2A-Aripiprazole
16.67Single7VV4Cortistatin-147VV4-MRGPRX2-Cortistatin-14
16.67Single7W41PD1762527W41-BB2-PD176252
16.67Single7WC4Serotonin7WC4-5-HT2A-Serotonin
16.67Single7XOUCholecystokinin-87XOU-CCKA-Cholecystokinin-8-Gs/β1/γ2
16.67Single7YU3ONO-07405567YU3-LPA1-ONO-0740556-Gi1/β1/γ2
16.67Single8F2APramlintide Analogue San3858F2A-CT (AMY3)-Pramlintide Analogue San385-Gs/β1/γ2; RAMP3
16.67Single8FLSAbaloparatide8FLS-PTH1-Abaloparatide-Gs/β1/γ2
16.67Single8FLULA-PTH Analog8FLU-PTH1-LA-PTH Analog-Gs/β1/γ2
16.67Single8GDCPGE28GDC-EP3-PGE2-Gi1/β1/γ2
16.67Single8ID4Linoleic acid8ID4-FFA4-Linoleic acid-Gi1/β1/γ2
16.67Single8J18(3R)-3-Hydroxydodecanoic acid8J18-GPR84-(3R)-3-Hydroxydodecanoic acid-Gi1/β1/γ2
16.67Single8JXSPF-61428JXS-D1-PF-6142
16.67Single8PWNTheophylline8PWN-A2A-Theophylline
16.67Single8QOTNanobody-E8QOT-μ-Nanobody-E
16.67Single8X0BVU04244658X0B-mGlu5; mGlu5-Quisqualate-VU0424465
16.67Single8X0DVU04244658X0D-mGlu5; mGlu5-Quisqualate-VU0424465
16.67Single8X0DVU04244658X0D-mGlu5; mGlu5-Quisqualate-VU0424465
16.67Single8XIRPasireotide8XIR-SST3-Pasireotide-chim(NtGi1-Gs-CtGi1)/β1/γ2
16.67Single8XZGApelin-138XZG-Apelin; Apelin-Apelin-13-Gi1/β1/γ2
16.67Single8XZHMM078XZH-Apelin; Apelin-MM07-Gi1/β1/γ2
16.67Single8ZMFPubChem 1719206738ZMF-5-HT2C-PubChem 171920673
16.67Single8ZRKGSK12922638ZRK-GPR119-GSK1292263-Gs/β1/γ2
16.67Single9ARYSerotonin9ARY-5-HT2A-Serotonin-chim(NtGi1-Gs-CtGq)/β1/γ2
16.67Single9B9ZMRI-18679B9Z-CB1-MRI-1867
16.67Single9DQHEP-28259DQH-MRGPRD-EP-2825-chim(NtGi1-Gs-CtGq)/β1/γ2
16.67Single9DYDAsenapine9DYD-5-HT1A-Asenapine-PtdIns4P-Go/β1/γ2
16.67Single9EE5ONO-25502899EE5-DP1-ONO-2550289
16.67Single9EKHONO-30302979EKH-DP1-ONO-3030297
16.67Single9GE2ML1849GE2-GPR55-ML184-chim(NtGi1-G13)/β1/γ2
16.67Single9IYBPGD29IYB-DP2-PGD2-A1D5Q-Gi1/β1/γ2
16.67Single9JIDNiacin9JID-HCA3-Niacin-Gi1/β1/γ2
16.67Single9JRTTG6-1299JRT-EP2-TG6-129
16.67Single9K27PrRP319K27-PrRP-PrRP31-chim(NtGi1-Gq)/β1/γ2
16.67Single9M1ONeuropeptide-FF9M1O-NPFF2-Neuropeptide-FF-Gi1/β1/γ2
16.67Single9M8POleic monoethanolamide9M8P-GPR3 ; GPR3-Oleic monoethanolamide-AF64394
16.67Single9U4WGonadoliberin-19U4W-GnRH1-Gonadoliberin-1-chim(NtGi1L-Gs-CtGq)/β1/γ2
16.67Single9UYIChemerin-99UYI-CML2-Chemerin-9-Arrestin2
16.67Consensusa1_offOrthosteric Ligand5UEN-A1-DU172 5N2S-A1-PSB36
16.67Consensusadenosine_offOrthosteric Liganda1_off a2_off
16.67Consensusangiotensin_onOrthosteric Ligandat1_on
16.67Consensusat1_onOrthosteric Ligand7F6G-AT1-(Sar1)-Angiotensin II-Gq/β1/γ2
16.67Consensusbb2_offOrthosteric Ligand7W41-BB2-PD176252
16.67Consensusbombesin_offOrthosteric Ligandbb2_off
16.67Consensuscompl-peptide_on_gpOrthosteric Ligandc5a1_on_gp c3a_on_gp
16.67Consensusendothelin_on_gpOrthosteric Ligandetb_on_gp eta_on_gp
16.67Consensusetb_on_gpOrthosteric Ligand8IY5-ETB-Endothelin-1-Gi1/β1/γ2 8HBD-ETB-IRL1620-Gi1/β1/γ2
16.67Consensusgs_cckOrthosteric Ligand7MBX-CCKA-Cholecystokinin-8-Gs/β1/γ1
16.67Consensuslpa1_onOrthosteric Ligand7TD1-LPA1-LPA-Gi1/β1/γ2 7YU3-LPA1-ONO-0740556-Gi1/β1/γ2
16.67Consensuslpa1_on_gpOrthosteric Ligand7TD1-LPA1-LPA-Gi1/β1/γ2 7YU3-LPA1-ONO-0740556-Gi1/β1/γ2
16.67Consensusnucleotide_onOrthosteric Ligandadenosine_on p2y_on
16.67Consensusrxfp4_onOrthosteric Ligand7YK7-RXFP4-DC591053-Gi2/β1/γ2 7YJ4-RXFP4-INSL5-Gi2/β1/γ2 7YK6-RXFP4-PubChem 138319674-Gi2/β1/γ2
16.67Consensusrxfp4_on_gpOrthosteric Ligand7YK7-RXFP4-DC591053-Gi2/β1/γ2 7YJ4-RXFP4-INSL5-Gi2/β1/γ2 7YK6-RXFP4-PubChem 138319674-Gi2/β1/γ2
16.13Single6LRYSarafotoxin-B6LRY-ETB-Sarafotoxin-B
16.13Single6WPWZP37806WPW-Glucagon-ZP3780-Gs/β1/γ2
16.13Single7VVMPTH7VVM-PTH1-PTH-Gs/β1/γ2
16.13Single9JR2PTH9JR2-PTH1-PTH-chim(NtGi1L-Gs-CtGq)/β1/γ2
16.13Consensusgs_peptideOrthosteric Ligandgs_cck gs_melanocortin gs_vasop-oxy
16.00Single5WB2CX3CL1.355WB2-US28-CX3CL1.35
16.00Single6METGp160; CD46MET-CCR5-Gp160; CD4
16.00Single6NIYCalcitonin-16NIY-CT-Calcitonin-1-Gs/β1/γ2
16.00Single6WI9Secretin6WI9-Secretin-Secretin-Gs/β1/γ2
16.00Single7F6G(Sar1)-Angiotensin II7F6G-AT1-(Sar1)-Angiotensin II-Gq/β1/γ2
16.00Single7KH0AVP7KH0-V2-AVP-chim(NtGi1-Gs)/β1/γ2
16.00Single7V9MSomatoliberin7V9M-GHRH (SV1)-Somatoliberin-Gs/β1/γ2
16.00Single7W40Bombesin7W40-BB2-Bombesin-chim(NtGi1L-Gq)/β1/γ2
16.00Single7W57Neuromedin-S7W57-NMUR2-Neuromedin-S-chim(NtGi1-Gs-CtGq)/β1/γ2
16.00Single7WUIIP157WUI-ADGRG2-IP15-chim(NtGi1-Gs)/β1/γ2
16.00Single7XK8Neuromedin-U-257XK8-NMUR2-Neuromedin-U-25-Gi1/β1/γ2
16.00Single8H4KGW95088H4K-FFA4-GW9508-chim(NtGi1-Gs-CtGq)/β1/γ2
16.00Single8WSTMCH8WST-MCH2-MCH-chim(NtGi1L-Gs-CtGq)/β1/γ2
16.00Single8XZJWN3538XZJ-Apelin; Apelin-WN353-Gi1/β1/γ2
16.00Single8YW3Retatrutide8YW3-GLP-1-Retatrutide-Gs/β1/γ2
16.00Single8YW4Retatrutide8YW4-GIP-Retatrutide-chim(NtGi1-Gs)/β1/γ2
16.00Single8YW5Retatrutide8YW5-Glucagon-Retatrutide-Gs/β1/γ2
16.00Consensusangiotensin_on_gpOrthosteric Ligandat1_on_gp
16.00Consensusat1_on_gpOrthosteric Ligand7F6G-AT1-(Sar1)-Angiotensin II-Gq/β1/γ2
16.00Consensusgq_angiotensinOrthosteric Ligand7F6G-AT1-(Sar1)-Angiotensin II-Gq/β1/γ2
16.00Consensusneuromedin-u_onOrthosteric Ligandnmur1_on nmur2_on
16.00Consensusp2y_on_gpOrthosteric Ligandp2y1_on_gp p2y10_on_gp p2y12_on_gp
16.00Consensusprotein_onOrthosteric Ligandchemokine_on chemerin_on
16.00Consensustachykinin_onOrthosteric Ligandnk1_on nk2_on nk3_on
15.79Single3UON3-quinuclidinyl-benzilate3UON-M2-3-quinuclidinyl-benzilate
15.79Single4IAQDihydroergotamine4IAQ-5-HT1B-Dihydroergotamine
15.79Single5V54Methiothepin5V54-5-HT1B-Methiothepin
15.79Single5V56TC1145V56-SMO-TC114
15.79Single6E59L-7607356E59-NK1-L-760735
15.79Single6J20Aprepitant6J20-NK1-Aprepitant
15.79Single7B6WCyclazosin7B6W-α1b-Cyclazosin
15.79Single7EW4CYM-55417EW4-S1P3-CYM-5541-Gi1/β1/γ2
15.79Single7JV5SKF812977JV5-D1-SKF81297-Gs/β1/γ2
15.79Single7M8W15r-Methyl-PGD27M8W-DP2-15r-Methyl-PGD2-Na
15.79Single7R0CAVP7R0C-V2-AVP-Arrestin2
15.79Single7TD1LPA7TD1-LPA1-LPA-Gi1/β1/γ2
15.79Single7VIGCBP-3077VIG-S1P1-CBP-307-Gi1/β1/γ2
15.79Single7XAVLanreotide7XAV-SST2-Lanreotide-Gi1/β1/γ2
15.79Single7XY7NECA7XY7-A2B-NECA-chim(NtGi1-Gs)/β1/γ2
15.79Single7Y67C089 peptide7Y67-C5a1-C089 peptide-Gi1/β1/γ2
15.79Single7YU5ONO-07405567YU5-LPA1-ONO-0740556-Gi1/β1/γ2
15.79Single8HDOBAY 60-65838HDO-A2B-BAY 60-6583-Gs/β1/γ2
15.79Single8HQCC5a8HQC-C5a1-C5a-Go/β1/γ2
15.79Single8ID6Oleic acid8ID6-FFA4-Oleic acid-Gi1/β1/γ2
15.79Single8JD5JNJ-40411813; ADX881788JD5-mGlu2; mGlu4-Glutamate-JNJ-40411813; ADX88178-Gi1/β1/γ2
15.79Single8JLPRalmitaront8JLP-TA1-Ralmitaront-Gs/β1/γ2
15.79Single8JT6(R)-IHCH-71798JT6-5-HT1A-(R)-IHCH-7179-PtdIns4P-Gi1/β1/γ2
15.79Single8JZPC5a8JZP-C5a1-C5a-Go/β1/γ2
15.79Single8X0BVU04244658X0B-mGlu5; mGlu5-Quisqualate-VU0424465
15.79Single8X0FVU298X0F-mGlu5; mGlu5-Quisqualate-VU29
15.79Single9AS9RS130-1809AS9-5-HT2A-RS130-180
15.79Single9ASARS130-1809ASA-5-HT2A-RS130-180-chim(NtGi1-Gs-CtGq)/β1/γ2
15.79Single9ASTLymphotactin9AST-XCR1-Lymphotactin-Gi1/β1/γ2
15.79Single9E9SPGD29E9S-DP1-PGD2-Gs/β1/γ1
15.79Single9UCPIperoxo9UCP-M1-Iperoxo-G11(CT)
15.79Consensus5ht1_offOrthosteric Ligand5ht1b_off
15.79Consensus5ht1b_offOrthosteric Ligand5V54-5-HT1B-Methiothepin
15.79Consensusa2_onOrthosteric Liganda2b_on
15.79Consensusa2_on_gpOrthosteric Liganda2b_on_gp
15.79Consensusa2b_onOrthosteric Ligand8HDP-A2B-Adenosine-Gs/β1/γ2 7XY6-A2B-BAY 60-6583-chim(NtGi1-Gs)/β1/γ2 7XY7-A2B-NECA-chim(NtGi1-Gs)/β1/γ2 8HDO-A2B-BAY 60-6583-Gs/β1/γ2
15.79Consensusa2b_on_gpOrthosteric Ligand8HDP-A2B-Adenosine-Gs/β1/γ2 7XY6-A2B-BAY 60-6583-chim(NtGi1-Gs)/β1/γ2 7XY7-A2B-NECA-chim(NtGi1-Gs)/β1/γ2 8HDO-A2B-BAY 60-6583-Gs/β1/γ2
15.79Consensusclass-b1_on_gpOrthosteric Ligandglucagon_on_gp vip-pacap_on_gp pth_on_gp crf_on_gp calcitonin_on_gp
15.79Consensuscyslt1_offOrthosteric Ligand6RZ5-CysLT1-Zafirlukast-Na 6RZ4-CysLT1-Pranlukast-Na
15.79Consensusgi_lpaOrthosteric Ligand7TD1-LPA1-LPA-Gi1/β1/γ2 7YU3-LPA1-ONO-0740556-Gi1/β1/γ2
15.79Consensusgi_relaxinOrthosteric Ligand7YK7-RXFP4-DC591053-Gi2/β1/γ2 7YJ4-RXFP4-INSL5-Gi2/β1/γ2 7YK6-RXFP4-PubChem 138319674-Gi2/β1/γ2
15.79Consensusgs_adenosineOrthosteric Ligand8HDP-A2B-Adenosine-Gs/β1/γ2 8HDO-A2B-BAY 60-6583-Gs/β1/γ2 7XY7-A2B-NECA-chim(NtGi1-Gs)/β1/γ2 7XY6-A2B-BAY 60-6583-chim(NtGi1-Gs)/β1/γ2
15.79Consensusgs_nucleotideOrthosteric Ligandgs_adenosine
15.79Consensuslpa_onOrthosteric Ligandlpa1_on
15.79Consensuslpa_on_gpOrthosteric Ligandlpa1_on_gp
15.79Consensusm3_offOrthosteric Ligand4U15-M3-Tiotropium 4U16-M3-N-methyl-Scopolamine 5ZHP-M3-PubChem 134828589
15.79Consensusmotilin_onOrthosteric Ligand8IBU-Motilin-Erythromycin-A-chim(NtGi1-Gs-CtGq)/β1/γ2
15.79Consensusnpy1_offOrthosteric Ligand5ZBH-Y1-BMS-193885 5ZBQ-Y1-UR-MK-299
15.79Consensusrelaxin_onOrthosteric Ligandrxfp4_on
15.79Consensusrelaxin_on_gpOrthosteric Ligandrxfp4_on_gp
15.62Single7Y36PTH7Y36-PTH1-PTH-Gs/β1/γ2
15.62Single8FLQPTH8FLQ-PTH1-PTH-Gs/β1/γ2
15.62Single9JR3PTH9JR3-PTH1-PTH-chim(NtGi1L-Gs-CtGq)/β1/γ2
15.38Single3RFMCaffeine3RFM-A2A-Caffeine
15.38Single6OY9All-trans-Retinal6OY9-Rhodopsin-All-trans-Retinal-Gt/β1/γ1
15.38Single7F6HBradykinin7F6H-BK2-Bradykinin-Gq/β1/γ2
15.38Single7F6IKallidin7F6I-BK2-Kallidin-Gq/β1/γ2
15.38Single7F9YGhrelin7F9Y-Ghrelin-Ghrelin-chim(NtGi1-Gs-CtGq)/β1/γ2
15.38Single7LLYOxyntomodulin7LLY-GLP-1-Oxyntomodulin-Gs/β1/γ2
15.38Single7MTBAll-trans-Retinal7MTB-Rhodopsin-All-trans-Retinal-GRK1
15.38Single7P02Substance-P7P02-NK1-Substance-P-chim(NtGi1-Gs)/β1/γ2
15.38Single7X9BNeuropeptide-Y7X9B-Y2-Neuropeptide-Y-Gi1/β1/γ2
15.38Single7X9CPancreatic Hormone7X9C-Y4-Pancreatic Hormone-Gi1/β1/γ2
15.38Single8A2OTheophylline8A2O-A2A-Theophylline-Na
15.38Single8E3YPACAP278E3Y-VPAC1-PACAP27-Gs/β1/γ2
15.38Single8E3ZVIP8E3Z-VPAC1-VIP-Gs/β1/γ2
15.38Single8HK5C5a8HK5-C5a1-C5a-Gi1/β1/γ2
15.38Single8IA2C5a8IA2-C5a1-C5a-Go/β1/γ2
15.38Single8IODPG-9018IOD-MC5-PG-901-Ca-chim(NtGi1-Gs)/β1/γ2
15.38Single8WWKMCH8WWK-MCH1-MCH-Gi1/β1/γ2
15.38Single8XOFLys058XOF-GPR30-Lys05-chim(NtGi1-Gs-CtGq)/β1/γ2
15.38Single8XVIEndothelin-18XVI-ETA-Endothelin-1-chim(Gs-CtGq)/β1/γ2
15.38Single8Y02All-trans-Retinal8Y02-OPN1SW-All-trans-Retinal-Gi1/β1/γ2
15.38Single9E2AGLP-19E2A-GLP-1-GLP-1-Gs/β1/γ2
15.38Single9EE9Adenosine9EE9-A2A-Adenosine-Gs/β1/γ2
15.38Single9JFYNeuropeptide-SF9JFY-NPFF2-Neuropeptide-SF-Gi1/β1/γ2
15.38Single9M42A1L8O9M42-GPR139-A1L8O-chim(Gs-CtGq)/β1/γ2
15.38Consensuschemokine_offOrthosteric Ligandccr_off cxcr_off
15.38Consensuscxcr_offOrthosteric Ligandcxcr3_off cxcr4_off
15.38Consensusgs_histamineOrthosteric Ligand8POK-H2-Histamine-Gs/β1/γ2
15.38Consensush2_onOrthosteric Ligand8POK-H2-Histamine-Gs/β1/γ2
15.38Consensusneuromedin-u_on_gpOrthosteric Ligandnmur1_on_gp nmur2_on_gp
15.38Consensusopsins_onOrthosteric Ligandrhodopsin_on opsin1lw_on
15.38Consensussensory_onOrthosteric Ligandopsins_on
15.38Consensusvpac1_onOrthosteric Ligand8E3Z-VPAC1-VIP-Gs/β1/γ2
15.15Single6E3YCalcitonin gene-related peptide-16E3Y-CT Like-Calcitonin gene-related peptide-1-Gs/β1/γ2; RAMP1
15.00Single4OR2FITM4OR2-mGlu1; mGlu1-FITM
15.00Single6OS0Angiotensin II6OS0-AT1-Angiotensin II
15.00Single7DH5Mirabegron7DH5-β3-Mirabegron-Gs/β1/γ2
15.00Single7F55Bremelanotide7F55-MC4-Bremelanotide-Gs/β1/γ2
15.00Single7T6BS1P7T6B-S1P2-S1P-chim(NtGi1L-G13)/β1/γ2
15.00Single8HK2C3a8HK2-C3aB-C3a-Gi1/β1/γ2
15.00Single8IBUErythromycin-A8IBU-Motilin-Erythromycin-A-chim(NtGi1-Gs-CtGq)/β1/γ2
15.00Single8J6DEP1418J6D-C3aB-EP141-Go/β1/γ2
15.00Single8JD3JNJ-404118138JD3-mGlu2; mGlu3-Glutamate-JNJ-40411813-Gi1/β1/γ2
15.00Single8JJPChemerin-98JJP-CML2-Chemerin-9-Gi1/β1/γ2
15.00Single8JWY2-1188JWY-A2A-2-118
15.00Single8T3QDoconexent8T3Q-FFA4-Doconexent-chim(NtGi2L-Gs-CtGq)/β1/γ2
15.00Single8X8NOctreotide8X8N-SST5-Octreotide-chim(NtGi1-Gs-CtGi1)/β1/γ2
15.00Single8XQSCholesterol8XQS-TAS2R14-Cholesterol-Flufenamic acid-Gi1/β1/γ1
15.00Single9M4QDoxazosin9M4Q-Alpha1A-Doxazosin
15.00Single9M8POleic monoethanolamide9M8P-GPR3 ; GPR3-Oleic monoethanolamide-AF64394
15.00Single9WSWEndomorphin9WSW-μ-Endomorphin-chim(NtGi1-Gz)/β1/γ2
15.00Single9YDUUDP-Glucose9YDU-P2Y14-UDP-Glucose-Gi1/β1/γ2
15.00Consensuscxcr_onOrthosteric Ligandcxcr3_on cxcr4_on cxcr1_on cxcr2_on
15.00Consensusm4_onOrthosteric Ligand7TRS-M4-Acetylcholine-Gi1/β1/γ2 7V6A-M4-PubChem 9864275-Gi1/β1/γ2 8E9X-M4-2-Deoxycytidine-chim(NtGi1-Go)/β1/γ2 7TRK-M4-Iperoxo-Gi1/β1/γ2
15.00Consensusm4_on_gpOrthosteric Ligand7TRS-M4-Acetylcholine-Gi1/β1/γ2 7V6A-M4-PubChem 9864275-Gi1/β1/γ2 8E9X-M4-2-Deoxycytidine-chim(NtGi1-Go)/β1/γ2 7TRK-M4-Iperoxo-Gi1/β1/γ2
15.00Consensusmotilin_on_gpOrthosteric Ligand8IBU-Motilin-Erythromycin-A-chim(NtGi1-Gs-CtGq)/β1/γ2
14.81Single4XT3CX3CL14XT3-US28-CX3CL1
14.81Single5UIW5P7-CCL55UIW-CCR5-5P7-CCL5
14.81Single6P9YPACAP276P9Y-PAC1-PACAP27-Gs/β1/γ2
14.81Single7CZ5Somatoliberin7CZ5-GHRH-Somatoliberin-Gs/β1/γ2
14.81Single7D3SSecretin7D3S-Secretin-Secretin-Gs/β1/γ2
14.81Single7VABTirzepatide (non-acylated)7VAB-GIP-Tirzepatide (non-acylated)-chim(NtGi1-Gs)/β1/γ2
14.81Single7W3ZGastrin Releasing Peptide7W3Z-BB2-Gastrin Releasing Peptide-chim(NtGi1L-Gq)/β1/γ2
14.81Single8E3XPACAP278E3X-PAC1-PACAP27-Gs/β1/γ2
14.81Single8JISPeptide-158JIS-GLP-1-Peptide-15-chim(NtGi1-Gs)/β1/γ2
14.81Single8XQFApelin-138XQF-Apelin-Apelin-13-Gi1/β1/γ2
14.81Single9BP3Cagrilintide9BP3-CT (AMY1)-Cagrilintide-Gs/β1/γ2; RAMP1
14.81Single9J1Pg1:Ox9J1P-GLP-1-g1:Ox-chim(NtGi1-Gs)/β1/γ2
14.81Single9P92VIP9P92-PAC1-VIP-Gs/β1/γ2
14.81Consensusccr5_offOrthosteric Ligand5UIW-CCR5-5P7-CCL5
14.81Consensusccr_offOrthosteric Ligandccr2_off ccr5_off
14.81Consensusgi_proteinOrthosteric Ligandgi_chemokine gi_chemerin
14.81Consensusnpy4_onOrthosteric Ligand7X9C-Y4-Pancreatic Hormone-Gi1/β1/γ2
14.81Consensusnpy4_on_gpOrthosteric Ligand7X9C-Y4-Pancreatic Hormone-Gi1/β1/γ2
14.81Consensuspac_on_gpOrthosteric Ligandpac1_on_gp
14.81Consensusprotein_on_gpOrthosteric Ligandchemokine_on_gp chemerin_on_gp
14.81Consensusvpac1_on_gpOrthosteric Ligand8E3Z-VPAC1-VIP-Gs/β1/γ2
14.29Single3PQRAll-trans-Retinal3PQR-Rhodopsin-All-trans-Retinal-Gt(CT)
14.29Single4NC3Ergotamine4NC3-5-HT2B-Ergotamine
14.29Single4OR2FITM4OR2-mGlu1; mGlu1-FITM
14.29Single5CGDHTL142425CGD-mGlu5-HTL14242
14.29Single6B3JExendin-P56B3J-GLP-1-Exendin-P5-Gs/β1/γ2
14.29Single6VCBGLP-16VCB-GLP-1-GLP-1-LSN3160440-Gs/β1/γ2
14.29Single7AD3Alpha-factor mating pheromone7AD3-STE2; STE2-α-factor mating pheromone-Gi1/STE4/γ2
14.29Single7D77Hydrocortisone7D77-ADGRG3-Hydrocortisone-Go/β1/γ2
14.29Single7F16TIP397F16-PTH2-TIP39-Gs/β1/γ2
14.29Single7LLLExendin-47LLL-GLP-1-Exendin-4-Gs/β1/γ2
14.29Single7MBYCholecystokinin-87MBY-CCKA-Cholecystokinin-8-chim(NtGi1L-Gs-CtGq)/β1/γ2
14.29Single7MT8All-trans-Retinal7MT8-Rhodopsin-All-trans-Retinal-GRK1
14.29Single7PIUSetmelanotide7PIU-MC4-Setmelanotide-Gs/β1/γ2
14.29Single7QVMOxytocin7QVM-OT-Oxytocin-chim(NtGi1-Go-CtGq)/β1/γ2
14.29Single7S1MExendin-4-D-Ala7S1M-GLP-1-Exendin-4-D-Ala-Gs/β1/γ2
14.29Single7TYFAmylin7TYF-CT (AMY1)-Amylin-Gs/β1/γ2; RAMP1
14.29Single7VGY2-Iodomelatonin7VGY-MT1-2-Iodomelatonin-Gi1/β1/γ2
14.29Single7VQXPACAP277VQX-VPAC1-PACAP27-Gs/β1/γ2
14.29Single7WVVfMLFII7WVV-FPR2-ALX-fMLFII-Gi2/β1/γ2
14.29Single7WVYAmyloid-Beta427WVY-FPR2-ALX-Amyloid-β42-Gi2/β1/γ2
14.29Single7X8RBOC57X8R-GLP-1-BOC5-Gs/β1/γ2
14.29Single8DPILorcaserin8DPI-5-HT2C-Lorcaserin-chim(NtGi2L-Gs-CtGq)/β1/γ2
14.29Single8FU6ZP37808FU6-Glucagon-ZP3780-Gs/β1/γ2
14.29Single8HAOPTH8HAO-PTH1-PTH-chim(NtGi1-Gs)/β1/γ2
14.29Single8I95EP548I95-C3aB-EP54-Go/β1/γ2
14.29Single8IU2All-trans-Retinal8IU2-Opsin1LW-All-trans-Retinal-Gi1/β1/γ2
14.29Single8J21Butyric acid8J21-FFA3-Butyric acid-Gi1/β1/γ2
14.29Single8J24Acetic acid8J24-FFA2-Acetic acid-Gi1/β1/γ2
14.29Single8POKHistamine8POK-H2-Histamine-Gs/β1/γ2
14.29Single8RQLFlufenamic acid8RQL-TAS2R14-Flufenamic acid-Flufenamic acid-chim(NtGi1-Gt3)/β1/γ2
14.29Single8SZFCa; Ca; Tryptophan; Cinacalcet; PO4; Spermine8SZF-CaS; CaS-Ca; Ca; Tryptophan; Cinacalcet; PO4; Spermine
14.29Single8T3OTUG-8918T3O-FFA4-TUG-891-chim(NtGi2L-Gs-CtGq)/β1/γ2
14.29Single8W8XBeta-MSH8W8X-MC3-β-MSH-Ca-Gs/β1/γ2
14.29Single8WWLMCH8WWL-MCH1-MCH-Gi1/β1/γ2
14.29Single8X9UMetenolone8X9U-ADGRD1-Metenolone-chim(NtGi1-Gs)/β1/γ2
14.29Single8ZX4Lysophosphatidylinositol 8ZX4-GPR55-Lysophosphatidylinositol-chim(NtGi1-G13)/β1/γ2
14.29Single9GE3Lysophosphatidylinositol9GE3-GPR55-Lysophosphatidylinositol-chim(NtGi1-G13)/β1/γ2
14.29Single9IV15alpha-DHT9IV1-ADGRD1-5α-DHT-chim(NtGi1-Gs)/β1/γ2
14.29Single9IZFLPA9IZF-LPA1-LPA-Gi1/β1/γ2
14.29Single9KDFRES-701-39KDF-ETB-RES-701-3
14.29Single9KV8TLQP219KV8-C3aB-TLQP21-Go/β1/γ2
14.29Single9L79AR2314539L79-GPR119-AR231453-chim(NtGi1-Gs)/β1/γ2
14.29Single9UYHChemerin-99UYH-CML2-Chemerin-9-Arrestin2
14.29Consensuscck_onOrthosteric Ligandccka_on cckb_on
14.29Consensuscck_on_gpOrthosteric Ligandccka_on_gp cckb_on_gp
14.29Consensusffa3_onOrthosteric Ligand8J21-FFA3-Butyric acid-Gi1/β1/γ2
14.29Consensusffa3_on_gpOrthosteric Ligand8J21-FFA3-Butyric acid-Gi1/β1/γ2
14.29Consensusgi_opsinsOrthosteric Ligand8IU2-Opsin1LW-All-trans-Retinal-Gi1/β1/γ2
14.29Consensusgi_sensoryOrthosteric Ligandgi_opsins
14.29Consensush2_on_gpOrthosteric Ligand8POK-H2-Histamine-Gs/β1/γ2
14.29Consensusopsin1lw_onOrthosteric Ligand8IU2-Opsin1LW-All-trans-Retinal-Gi1/β1/γ2
14.29Consensusopsin1lw_on_gpOrthosteric Ligand8IU2-Opsin1LW-All-trans-Retinal-Gi1/β1/γ2
14.29Consensusopsins_on_gpOrthosteric Ligandrhodopsin_on_gp opsin1lw_on_gp
14.29Consensusp2y10_on_gpOrthosteric Ligand8KGG-P2Y10-Lysophosphatidylserine (WJS)-chim(NtGi2-G13)/β1/γ2
14.29Consensusrhodopsin_onOrthosteric Ligand6OYA-Rhodopsin-All-trans-Retinal-Gt/β1/γ1
14.29Consensussensory_on_gpOrthosteric Ligandopsins_on_gp
13.89Single8F0JPramlintide Analogue San458F0J-CT-Pramlintide Analogue San45-Gs/β1/γ2
13.79Single6NBHLA-PTH Analog6NBH-PTH1-LA-PTH Analog-Gs/β1/γ2
13.79Single6PB1Urocortin6PB1-CRF2-Urocortin-chim(NtGi1-Gs)/β1/γ2
13.79Single7KI1Taspoglutide7KI1-GLP-1-Taspoglutide-Gs/β1/γ2
13.79Single7TYLAmylin7TYL-CT-Amylin-Gs/β1/γ2
13.79Single7VVJPTHrP(1-36)7VVJ-PTH1-PTHrP(1-36)-Gs/β1/γ2
13.79Single7VVLPTH7VVL-PTH1-PTH-Gs/β1/γ2
13.79Single8FLTM-PTH(1-14)8FLT-PTH1-M-PTH(1-14)-Gs/β1/γ2
13.79Single8IY5Endothelin-18IY5-ETB-Endothelin-1-Gi1/β1/γ2
13.79Single8IY6Endothelin-18IY6-ETB-Endothelin-1
13.79Single9BYOExendin-39BYO-GLP-1-Exendin-3-Gs/β1/γ2
13.79Single9P93VIP9P93-PAC1-VIP-Gs/β1/γ2
13.79Consensusetb_onOrthosteric Ligand8IY5-ETB-Endothelin-1-Gi1/β1/γ2 8HBD-ETB-IRL1620-Gi1/β1/γ2
13.79Consensusvip-pacap_onOrthosteric Ligandvpac_on pac_on
13.79Consensusvip-pacap_on_gpOrthosteric Ligandvpac_on_gp pac_on_gp
13.64Single5WF6UK-4320975WF6-A2A-UK-432097
13.64Single6C1QPMX536C1Q-C5a1-PMX53-NDT9513727
13.64Single6G79Donitriptan6G79-5-HT1B-Donitriptan-Go/β1/γ2
13.64Single7T11Octreotide7T11-SST2-Octreotide-Gi3/β1/γ2
13.64Single7YAEOctreotide7YAE-SST2-Octreotide-Gi1/β1/γ2
13.64Single8H4IDoconexent8H4I-FFA4-Doconexent-chim(NtGi1-Gs)/β1/γ2
13.64Single8JBFSenktide8JBF-NK3-Senktide-chim(NtGi1-Gs-CtGq)/β1/γ2
13.64Single8XQOCholesterol8XQO-TAS2R14-Cholesterol-Aristolochic acid A-Gi1/β1/γ1
13.64Single9JH6C20:0 Ceramide9JH6-CysLT2-C20:0 Ceramide-chim(NtGi1-Gs-CtGq)/β1/γ2
13.64Single9UMJEP549UMJ-C3aB-EP54-Go/β1/γ2
13.64Single9WSXEndomorphin9WSX-μ-Endomorphin-Arrestin2
13.64Consensuscxcr4_offOrthosteric Ligand4RWS-CXCR4-vMIP-II 3OE0-CXCR4-CVX15 3OE6-CXCR4-IT1t
13.64Consensusgq_cckOrthosteric Ligand8IA7-CCKB-Cholecystokinin-8-chim(NtGi1L-Gq)/β1/γ2 7XOW-CCKB-Sulfated Gastrin-(10-17)-chim(NtGi1-Gq)/β1/γ2 7EZM-CCKA-Cholecystokinin-8-chim(NtGsL-Gq)/β1/γ2 7F8W-CCKB-Gastrin-17-chim(NtGsL-Gq)/β1/γ2
13.51Consensuspth_on_gpOrthosteric Ligandpth1_on_gp pth2_on_gp
13.33Single3AYMAll-trans-Retinal3AYM-Rhodopsin-All-trans-Retinal
13.33Single6I9K9-cis-Retinal6I9K-Rhodopsin-9-cis-Retinal
13.33Single6LI0C176LI0-GPR52-C17
13.33Single6TP4ACT-4622066TP4-OX1-ACT-462206
13.33Single6TQ4PubChem 160468446TQ4-OX1-PubChem 16046844-Na
13.33Single7D76Beclomethasone7D76-ADGRG3-Beclomethasone-Go/β1/γ2
13.33Single7RBTTirzepatide7RBT-GIP-Tirzepatide-LSN3556672-chim(NtGi1-Gs)/β1/γ2
13.33Single7T96LY21196207T96-M2-Acetylcholine-LY2119620-Go/β1/γ2
13.33Single7TRPLY20332987TRP-M4-Iperoxo-LY2033298-Gi1/β1/γ2
13.33Single7V68Iperoxo7V68-M4-Iperoxo-LY2119620-Gi1/β1/γ2
13.33Single7XKFDehydroepiandrosterone7XKF-ADGRG2-Dehydroepiandrosterone-Gs/β1/γ2
13.33Single8A2PLUAA470708A2P-A2A-LUAA47070-Na
13.33Single8RWHStilSwitch28RWH-A2A-StilSwitch2-Na
13.33Single8SZFCa; Ca; Tryptophan; Cinacalcet; PO4; Spermine8SZF-CaS; CaS-Ca; Ca; Tryptophan; Cinacalcet; PO4; Spermine
13.33Single8UO4Constrained Epinephrine8UO4-β2-Constrained Epinephrine-GTP; Mg-Gs/β1/γ2
13.33Single8YKDDehydroepiandrosterone8YKD-ADGRG2-Dehydroepiandrosterone-chim(NtGi1-Gs)/β1/γ2
13.33Single8YN2Histamine8YN2-H1-Histamine-chim(NtGi1L-Gs-CtGq)/β1/γ2
13.33Single9AS2DMT9AS2-5-HT2A-DMT-chim(NtGi1-Gs-CtGq)/β1/γ2
13.33Single9AS7Psilocin9AS7-5-HT2A-Psilocin
13.33Single9EPRAll-trans-Retinal9EPR-Rhodopsin-All-trans-Retinal-Gi1/β1/γ2
13.33Single9L3ZLRH7-C29L3Z-CML1-LRH7-C2
13.33Single9LMPNE52-QQ579LMP-GPR4-NE52-QQ57
13.33Single9YDAAll-trans-Retinal9YDA-Opsin1MW-All-trans-Retinal-chim(NtGi1L-Gs-CtGt)/β1/γ2
13.33Consensusadgrg_onOrthosteric Ligandadgrg2_on adgrg4_on
13.33Consensusadgrg_on_gpOrthosteric Ligandadgrg2_on_gp adgrg4_on_gp
13.33Consensusclass-a_class-b1_cons_onOrthosteric Ligandclass-a_on class-b1_on
13.33Consensusgi_npyOrthosteric Ligand8K6M-Y1-Neuropeptide-Y-Gi2/β1/γ1 7X9C-Y4-Pancreatic Hormone-Gi1/β1/γ2 7YOO-Y2-Neuropeptide-Y-Gi1/β1/γ2
13.33Consensusnpy_onOrthosteric Ligandnpy1_on npy2_on npy4_on
13.33Consensusnpy_on_gpOrthosteric Ligandnpy1_on_gp npy2_on_gp npy4_on_gp
13.04Single6WIVPubChem 52923113; PubChem 529246456WIV-GABAB1, GABAB2-PubChem 52923113; PubChem 52924645
13.04Single6X19CHU-1286X19-GLP-1-CHU-128-Gs/β1/γ2
13.04Single7F54Afamelanotide7F54-MC4-Afamelanotide-Gs/β1/γ2
13.04Single7NA7Ghrelin7NA7-Ghrelin-Ghrelin-Gi1/β1/γ2
13.04Single7T6UCGEN-855A7T6U-FPR2-ALX-CGEN-855A-Gi1/β1/γ2
13.04Single7W2ZGhrelin7W2Z-Ghrelin-Ghrelin-Go/β1/γ2
13.04Single7W56Neuromedin-S7W56-NMUR1-Neuromedin-S-chim(NtGi1-Gs-CtGq)/β1/γ2
13.04Single7XMRSomatostatin-147XMR-SST2-Somatostatin-14-Gi1/β1/γ2
13.04Single8F7XNociceptin8F7X-NOP-Nociceptin-Gi1/β1/γ2
13.04Single8IEBPubChem 1347468948IEB-GPR156; GPR156-PubChem 134746894
13.04Single8INRAlpha-MSH8INR-MC5-α-MSH-Ca-chim(NtGi1-Gs)/β1/γ2
13.04Single8U4OCXCL128U4O-CXCR4-CXCL12-Gi1/β1/γ2
13.04Single8WZ2Orexigenic Neuropeptide QRFP8WZ2-QRFP-Orexigenic Neuropeptide QRFP-chim(NtGi1L-Gs-CtGq)/β1/γ2
13.04Single8XBHPubChem 1626566368XBH-GPR34-PubChem 162656636-Gi1/β1/γ2
13.04Single8YWFRetatrutide8YWF-GLP-1-Retatrutide-chim(NtGi1-Gs)/β1/γ2
13.04Single9J0IUDP-Glucuronic acid9J0I-P2Y14-UDP-Glucuronic acid-Gi1/β1/γ2
13.04Single9L3YChemerin9L3Y-CML2-Chemerin-Gi1/β1/γ2
13.04Consensuschemerin_on_gpOrthosteric Ligandcml1_on_gp
13.04Consensuschemokine_onOrthosteric Ligandccr_on cxcr_on
13.04Consensuscml1_onOrthosteric Ligand7YKD-CML1-Chemerin-9-Gi1/β1/γ2
13.04Consensusgi_chemerinOrthosteric Ligand7YKD-CML1-Chemerin-9-Gi1/β1/γ2
13.04Consensusnk3_onOrthosteric Ligand8JBF-NK3-Senktide-chim(NtGi1-Gs-CtGq)/β1/γ2
13.04Consensusnk3_on_gpOrthosteric Ligand8JBF-NK3-Senktide-chim(NtGi1-Gs-CtGq)/β1/γ2
13.04Consensusnop_onOrthosteric Ligand8F7X-NOP-Nociceptin-Gi1/β1/γ2
13.04Consensusnop_on_gpOrthosteric Ligand8F7X-NOP-Nociceptin-Gi1/β1/γ2
12.90Single7TZFAmylin7TZF-CT (AMY3)-Amylin-Gs/β1/γ2; RAMP3
12.90Single7VBHPeptide-207VBH-GLP-1-Peptide-20-Gs/β1/γ2
12.90Single8HBDIRL16208HBD-ETB-IRL1620-Gi1/β1/γ2
12.90Single9AUCCalcitonin gene-related peptide-19AUC-CT (AMY1)-Calcitonin gene-related peptide-1-Gs/β1/γ2; RAMP1
12.90Consensusglp1_onOrthosteric Ligand7S1M-GLP-1-Exendin-4-D-Ala-Gs/β1/γ2 7X8R-GLP-1-BOC5-Gs/β1/γ2 6X19-GLP-1-CHU-128-Gs/β1/γ2 6X1A-GLP-1-Danuglipron-Gs/β1/γ2 6X18-GLP-1-GLP-1-Gs/β1/γ2 8JIP-GLP-1-MEDI0382-chim(NtGi1-Gs)/β1/γ2 7C2E-GLP-1-PubChem 149050799-Gs/β1/γ2 7KI0-GLP-1-Semaglutide-Gs/β1/γ2 7KI1-GLP-1-Taspoglutide-Gs/β1/γ2 7X8S-GLP-1-WB4-24-Gs/β1/γ2 8JIS-GLP-1-Peptide-15-chim(NtGi1-Gs)/β1/γ2 7VBI-GLP-1-Tirzepatide (non-acylated)-Gs/β1/γ2
12.50Single2Z7311-cis-Retinal2Z73-Rhodopsin-11-cis-Retinal
12.50Single3AYN9-cis-Retinal3AYN-Rhodopsin-9-cis-Retinal
12.50Single3PWHZM-2413853PWH-A2A-ZM-241385
12.50Single4MQTLY21196204MQT-M2-Iperoxo-LY2119620
12.50Single5K2DZM-2413855K2D-A2A-ZM-241385-Na
12.50Single5OLHVipadenant5OLH-A2A-Vipadenant-Na
12.50Single5OLOTozadenant5OLO-A2A-Tozadenant-Na
12.50Single6JZHZM-2413856JZH-A2A-ZM-241385-Na
12.50Single6NWEOctyl-Beta-D-Glucopyranoside6NWE-Rhodopsin-Octyl-β-D-Glucopyranoside-Gt(CT)
12.50Single6OYAAll-trans-Retinal6OYA-Rhodopsin-All-trans-Retinal-Gt/β1/γ1
12.50Single6PS7ZM-2413856PS7-A2A-ZM-241385-Na
12.50Single6TQ6PubChem 1457142836TQ6-OX1-PubChem 145714283
12.50Single7C6A(Sar1,Ile8)-Angiotensin II7C6A-AT2-(Sar1,Ile8)-Angiotensin II
12.50Single7E14Orforglipron7E14-GLP-1-Orforglipron-PubChem 156022738-Gs/β1/γ2
12.50Single7EZKCholecystokinin-87EZK-CCKA-Cholecystokinin-8-chim(NtGi1-Gs)/β1/γ2
12.50Single7M3FCa; Ca; Tryptophan; Cinacalcet7M3F-CaS; CaS-Ca; Ca; Tryptophan; Cinacalcet
12.50Single7S8PMS471347S8P-MRGPRX4-MS47134-chim(NtGi2L-Gs-CtGq)/β1/γ2
12.50Single7SK5CXCL127SK5-ACKR3-CXCL12
12.50Single7TUZ7-alpha,25-dihydroxycholesterol7TUZ-GPR183-7-α,25-dihydroxycholesterol-Gi1/β1/γ2
12.50Single7VBITirzepatide (non-acylated)7VBI-GLP-1-Tirzepatide (non-acylated)-Gs/β1/γ2
12.50Single7VDLCortistatin-147VDL-MRGPRX2-Cortistatin-14-Gi1/β1/γ2
12.50Single7WJ5Somatostatin-147WJ5-SST2-Somatostatin-14-Gi1/β1/γ2
12.50Single7X2CFenoldopam7X2C-D1-Fenoldopam-Fenoldopam-Gs/β1/γ2
12.50Single8DU3PubChem 1055260648DU3-A2A-PubChem 105526064
12.50Single8H8JLodoxamide8H8J-GPR35-Lodoxamide-Ca-chim(NtGi1L-G13)/β1/γ2
12.50Single8J20Valeric acid8J20-FFA3-Valeric acid-AR420626-Gi1/β1/γ2
12.50Single8JBHSubstance-P8JBH-NK3-Substance-P-chim(NtGi1-Gs-CtGq)/β1/γ2
12.50Single8JIPMEDI03828JIP-GLP-1-MEDI0382-chim(NtGi1-Gs)/β1/γ2
12.50Single8JIRSAR4258998JIR-GLP-1-SAR425899-chim(NtGi1-Gs)/β1/γ2
12.50Single8RVWStilSwitch38RVW-A2A-StilSwitch3-Na
12.50Single8RW4AzoSwitch28RW4-A2A-AzoSwitch2-Na
12.50Single8RWEStilSwitch48RWE-A2A-StilSwitch4-Na
12.50Single8T3SButyric acid8T3S-FFA2-Butyric acid-chim(NtGi2L-Gs-CtGq)/β1/γ2
12.50Single8WSSMCH8WSS-MCH1-MCH-Gi1/β1/γ1
12.50Single9FUPIstradefylline9FUP-A2A-Istradefylline-Na
12.50Single9H2XPubChem 1756706449H2X-A2A-PubChem 175670644-Na
12.50Single9IQRMuscarinic toxin 39IQR-α2a-Muscarinic toxin 3
12.50Single9IQSMuscarinic toxin 39IQS-M4-Muscarinic toxin 3
12.50Single9J0FNADH9J0F-P2Y14-NADH-Gi1/β1/γ2
12.50Single9M88Oleic monoethanolamide9M88-GPR3 ; GPR3-Oleic monoethanolamide-AF64394
12.50Consensuscckb_onOrthosteric Ligand8IA7-CCKB-Cholecystokinin-8-chim(NtGi1L-Gq)/β1/γ2 7XOW-CCKB-Sulfated Gastrin-(10-17)-chim(NtGi1-Gq)/β1/γ2 7F8V-CCKB-Gastrin-17-Gi2/β1/γ2
12.50Consensusglp1_on_gpOrthosteric Ligand7S1M-GLP-1-Exendin-4-D-Ala-Gs/β1/γ2 7X8R-GLP-1-BOC5-Gs/β1/γ2 6X19-GLP-1-CHU-128-Gs/β1/γ2 6X1A-GLP-1-Danuglipron-Gs/β1/γ2 6X18-GLP-1-GLP-1-Gs/β1/γ2 8JIP-GLP-1-MEDI0382-chim(NtGi1-Gs)/β1/γ2 7C2E-GLP-1-PubChem 149050799-Gs/β1/γ2 7KI0-GLP-1-Semaglutide-Gs/β1/γ2 7KI1-GLP-1-Taspoglutide-Gs/β1/γ2 7X8S-GLP-1-WB4-24-Gs/β1/γ2 8JIS-GLP-1-Peptide-15-chim(NtGi1-Gs)/β1/γ2 7VBI-GLP-1-Tirzepatide (non-acylated)-Gs/β1/γ2
12.50Consensusmc5_onOrthosteric Ligand8INR-MC5-α-MSH-Ca-chim(NtGi1-Gs)/β1/γ2 8IOD-MC5-PG-901-Ca-chim(NtGi1-Gs)/β1/γ2
12.50Consensusrhodopsin_on_gpOrthosteric Ligand6OYA-Rhodopsin-All-trans-Retinal-Gt/β1/γ1
12.50Consensustachykinin_on_gpOrthosteric Ligandnk1_on_gp nk2_on_gp nk3_on_gp
12.12Single7X9ANeuropeptide-Y7X9A-Y1-Neuropeptide-Y-Gi1/β1/γ2
12.12Consensusclass-a_class-b1_cons_on_gpOrthosteric Ligandclass-a_on_gp class-b1_on_gp
12.00Single3OE0CVX153OE0-CXCR4-CVX15
12.00Single6VN7PACAP276VN7-VPAC1-PACAP27-Gs/β1/γ2
12.00Single7MBXCholecystokinin-87MBX-CCKA-Cholecystokinin-8-Gs/β1/γ1
12.00Single7W55Neuromedin-U-257W55-NMUR2-Neuromedin-U-25-chim(NtGi1-Gs-CtGq)/β1/γ2
12.00Single7XA3CCL27XA3-CCR2-CCL2-Gi1/β1/γ2
12.00Single8K6MNeuropeptide-Y8K6M-Y1-Neuropeptide-Y-Gi2/β1/γ1
12.00Single8K6NNeuropeptide-Y8K6N-Y2-Neuropeptide-Y-Gi2/β1/γ1
12.00Single8W8YGamma-MSH8W8Y-MC3-γ-MSH-Ca-Gs/β1/γ2
12.00Single8YFOAc-LA-PTH Analog8YFO-PTH1-Ac-LA-PTH Analog-chim(NtGi1-Gs)/β1/γ2
12.00Single9IVMGLP-1 (Truncated)9IVM-GLP-1-GLP-1 (Truncated)-LSN3318839-chim(NtGi1-Gs)/β2/γ2
12.00Consensuscckb_on_gpOrthosteric Ligand8IA7-CCKB-Cholecystokinin-8-chim(NtGi1L-Gq)/β1/γ2 7XOW-CCKB-Sulfated Gastrin-(10-17)-chim(NtGi1-Gq)/β1/γ2 7F8V-CCKB-Gastrin-17-Gi2/β1/γ2
12.00Consensusccr2_onOrthosteric Ligand7XA3-CCR2-CCL2-Gi1/β1/γ2
12.00Consensusccr2_on_gpOrthosteric Ligand7XA3-CCR2-CCL2-Gi1/β1/γ2
12.00Consensusccr_onOrthosteric Ligandccr6_on ccr8_on ccr2_on ccr1_on ccr5_on
12.00Consensusmc3_onOrthosteric Ligand8IOC-MC3-γ-MSH-Ca-chim(NtGi1-Gs)/β1/γ2
12.00Consensusmc3_on_gpOrthosteric Ligand8IOC-MC3-γ-MSH-Ca-chim(NtGi1-Gs)/β1/γ2
12.00Consensusnmur2_onOrthosteric Ligand7W55-NMUR2-Neuromedin-U-25-chim(NtGi1-Gs-CtGq)/β1/γ2
12.00Consensusnmur2_on_gpOrthosteric Ligand7W55-NMUR2-Neuromedin-U-25-chim(NtGi1-Gs-CtGq)/β1/γ2
12.00Consensusnpy1_onOrthosteric Ligand8K6M-Y1-Neuropeptide-Y-Gi2/β1/γ1
12.00Consensusnpy1_on_gpOrthosteric Ligand8K6M-Y1-Neuropeptide-Y-Gi2/β1/γ1
11.76Single3REYPubChem 56973REY-A2A-PubChem 5697
11.76Single5IU4ZM-2413855IU4-A2A-ZM-241385-Na
11.76Single5IU7Q274563465IU7-A2A-Q27456346-Na
11.76Single5IUBQ274563445IUB-A2A-Q27456344-Na
11.76Single5JTBZM-2413855JTB-A2A-ZM-241385
11.76Single5K2BZM-2413855K2B-A2A-ZM-241385-Na
11.76Single5K2CZM-2413855K2C-A2A-ZM-241385-Na
11.76Single5NLXZM-2413855NLX-A2A-ZM-241385-Na
11.76Single5NM4ZM-2413855NM4-A2A-ZM-241385-Na
11.76Single5TE3Octyl-Beta-D-Glucopyranoside5TE3-Rhodopsin-Octyl-β-D-Glucopyranoside
11.76Single6A94Zotepine6A94-5-HT2A-Zotepine
11.76Single6AQFZM-2413856AQF-A2A-ZM-241385
11.76Single6ME42-Iodomelatonin6ME4-MT1-2-Iodomelatonin
11.76Single6MH8ZM-2413856MH8-A2A-ZM-241385
11.76Single6TPKRetosiban6TPK-OT-Retosiban
11.76Single6WJCMuscarinic toxin 76WJC-M1-Atropine-Muscarinic toxin 7
11.76Single6ZDRHMS1413f126ZDR-A2A-HMS1413f12-Na
11.76Single7T32ZM-2413857T32-A2A-ZM-241385
11.76Single7T94LY21196207T94-M2-Acetylcholine-LY2119620-chim(NtGi1-Go)/β1/γ2
11.76Single8H4LDoconexent8H4L-FFA4-Doconexent-chim(NtGi1-Gs-CtGq)/β1/γ2
11.76Single8HJ5PubChem 1390305318HJ5-MRGPRX1-PubChem 139030531-chim(NtGi1-Gs-CtGq)/β1/γ2
11.76Single8JSPUlotaront8JSP-5-HT1A-Ulotaront-Gi1/β1/γ2
11.76Single8K4NPubChem 1687197658K4N-GPR34-PubChem 168719765-Gi1/β1/γ2
11.76Single8K4SDCA-3P8K4S-MRGPRX4-DCA-3P-chim(NtGi1L-Gs-CtGq)/β1/γ2
11.76Single8RQQZM-2413858RQQ-A2A-ZM-241385-Na
11.76Single8Y53MK50468Y53-BB3-MK5046-chim(NtGi1-Gs-CtGq)/β1/γ2
11.76Single8ZMGPimavanserin8ZMG-5-HT2A-Pimavanserin
11.76Single9IXXLTD49IXX-CysLT2-LTD4-chim(NtGi1-Gs-CtGq)/β1/γ2
11.76Single9K1DButyric acid9K1D-FFA2-Butyric acid-Gi1/β1/γ2
11.76Single9KXSEP679KXS-C5a1-EP67-Go/β1/γ2
11.76Single9L8LBI1671079L8L-β2-BI167107-Atazanavir-Gs/β1/γ2 ; Arrestin2
11.76Single9LL8Psilocin9LL8-5-HT2A-Psilocin-Gi1/β1/γ2
11.76Single9P1TZM-2413859P1T-A2A-ZM-241385
11.76Consensusa2_offOrthosteric Liganda2a_off
11.76Consensusa2a_offOrthosteric Ligand3RFM-A2A-Caffeine 8C9W-A2A-Etrumadenant 3UZA-A2A-GTPL9236 8GNG-A2A-Istradefylline 8CU6-A2A-LJ-4517 7PX4-A2A-PSB-2113 7PYR-A2A-PSB-2115 8DU3-A2A-PubChem 105526064 8JWY-A2A-2-118 8PWN-A2A-Theophylline 5IU4-A2A-ZM-241385-Na 5OLZ-A2A-PubChem 135566609-Na 6GT3-A2A-Imaradenant-Na 5OLV-A2A-LUAA47070-Na 5N2R-A2A-PSB36-Na 5IU7-A2A-Q27456346-Na 5OLH-A2A-Vipadenant-Na 5OLO-A2A-Tozadenant-Na 6ZDR-A2A-HMS1413f12-Na 8GNE-A2A-KW-6356-Na 8JWZ-A2A-Etrumadenant-Na 5IU8-A2A-Q27456347-Na 5IUB-A2A-Q27456344-Na 6ZDV-A2A-PubChem 984073-Na 5IUA-A2A-Q27456348-Na 8A2P-A2A-LUAA47070-Na
11.76Consensusnucleotide_offOrthosteric Ligandadenosine_off p2y_off
11.76Consensusot_offOrthosteric Ligand6TPK-OT-Retosiban
11.76Consensuspth_onOrthosteric Ligandpth1_on pth2_on
11.76Consensusvasop-oxy_offOrthosteric Ligandot_off
11.54Single6JODAngiotensin II6JOD-AT2-Angiotensin II
11.54Single6M1IPACAP276M1I-PAC1-PACAP27-Gs/β1/γ2
11.54Single6WIVPubChem 52923113; PubChem 529246456WIV-GABAB1, GABAB2-PubChem 52923113; PubChem 52924645
11.54Single7FINPeptide-20; GGL7FIN-GIP-Peptide-20; GGL-Gs/β1/γ2
11.54Single7T10Somatostatin-147T10-SST2-Somatostatin-14-Gi3/β1/γ2
11.54Single8HA0PTH8HA0-PTH1-PTH-chim(NtGi1-Gs)/β1/γ2
11.54Single8IEDPubChem 1347468948IED-GPR156; GPR156-PubChem 134746894-Go/β1/γ2
11.54Single8IEDPubChem 1347468948IED-GPR156; GPR156-PubChem 134746894-Go/β1/γ2
11.54Single8X8LCortistatin-148X8L-SST5-Cortistatin-14-chim(NtGi1-Gs-CtGi1)/β1/γ2
11.54Single9BLCCagrilintide (non-acylated)9BLC-CT-Cagrilintide (non-acylated)-Gs/β1/γ2
11.54Single9EBOGLP-1 (ACPC18)9EBO-GLP-1-GLP-1 (ACPC18)-Gs/β1/γ2
11.54Consensusmc5_on_gpOrthosteric Ligand8INR-MC5-α-MSH-Ca-chim(NtGi1-Gs)/β1/γ2 8IOD-MC5-PG-901-Ca-chim(NtGi1-Gs)/β1/γ2
11.54Consensusprotein_offonOrthosteric Ligandprotein_off protein_on
11.54Consensusprotein_offon_gpOrthosteric Ligandprotein_on_gp protein_off
11.11Single3EMLZM-2413853EML-A2A-ZM-241385
11.11Single4EIYZM-2413854EIY-A2A-ZM-241385-Na
11.11Single5IU8Q274563475IU8-A2A-Q27456347-Na
11.11Single5K2AZM-2413855K2A-A2A-ZM-241385-Na
11.11Single5OLGZM-2413855OLG-A2A-ZM-241385-Na
11.11Single5VRAZM-2413855VRA-A2A-ZM-241385-Na
11.11Single5YQZNNC17025YQZ-Glucagon-NNC1702
11.11Single6D27CAY104716D27-DP2-CAY10471
11.11Single6LPJZM-2413856LPJ-A2A-ZM-241385-Na
11.11Single6LPKZM-2413856LPK-A2A-ZM-241385-Na
11.11Single6ORVTT-OAD26ORV-GLP-1-TT-OAD2-Gs/β1/γ2
11.11Single6S0LZM-2413856S0L-A2A-ZM-241385
11.11Single6X18GLP-16X18-GLP-1-GLP-1-Gs/β1/γ2
11.11Single7CFMP3957CFM-GPBA-P395-Gs/β1/γ2
11.11Single7DB6Ramelteon7DB6-MT1-Ramelteon-Gi1/β1/γ2
11.11Single7F83PF-051904577F83-Ghrelin-PF-05190457
11.11Single7PP1Selatogrel7PP1-P2Y12-Selatogrel
11.11Single7PYRPSB-21157PYR-A2A-PSB-2115
11.11Single7TRQVU04671547TRQ-M4-Iperoxo-VU0467154-Gi1/β1/γ2
11.11Single7TYWCalcitonin-17TYW-CT (AMY1)-Calcitonin-1-Gs/β1/γ2; RAMP1
11.11Single7VGZRamelteon7VGZ-MT1-Ramelteon-Gi1/β1/γ2
11.11Single7VH0Ramelteon7VH0-MT2-Ramelteon-Gi1/β1/γ1
11.11Single7WC8Lumateperone7WC8-5-HT2A-Lumateperone
11.11Single7XV3Lysophosphatidylserine (WJS)7XV3-GPR174-Lysophosphatidylserine (WJS)-chim(NtGi1-Gs)/β1/γ2
11.11Single8HCXEndothelin-18HCX-ETB-Endothelin-1-chim(NtGi2L-Gs-CtGq)/β1/γ2
11.11Single8HNKCXCL118HNK-CXCR3-CXCL11-Gi1/β1/γ2
11.11Single8JT8(R)-IHCH-71798JT8-5-HT2A-(R)-IHCH-7179
11.11Single8WWMMCH8WWM-MCH1-MCH-Gi1/β1/γ2
11.11Single8XBGS3E-Lysophosphatidylserine 8XBG-GPR34-S3E-Lysophosphatidylserine
11.11Single8ZQEGPR15L(CT)8ZQE-GPR15-GPR15L(CT)-Gi1/β1/γ1
11.11Single9IVGGLP-1 (Truncated)9IVG-GLP-1-GLP-1 (Truncated)-chim(NtGi1-Gs)/β1/γ2
11.11Single9IYAONO-97105319IYA-GPR55-ONO-9710531
11.11Single9KFTfMLFC9KFT-FPR1-ALX-fMLFC-Gi1/β1/γ2
11.11Single9P1SZM-2413859P1S-A2A-ZM-241385
11.11Consensuscalcitonin_onOrthosteric Ligandctlike_on
11.11Consensusccr_on_gpOrthosteric Ligandccr6_on_gp ccr8_on_gp ccr2_on_gp ccr1_on_gp ccr5_on_gp
11.11Consensuschemokine_on_gpOrthosteric Ligandccr_on_gp cxcr_on_gp
11.11Consensusgi_chemokineOrthosteric Ligand6WWZ-CCR6-CCL20-Go/β1/γ2 8HNK-CXCR3-CXCL11-Gi1/β1/γ2 8K3Z-CXCR4-CXCL12-Gi1/β1/γ1 8IC0-CXCR1-CXCL8-Gi1/β1/γ2 6LFM-CXCR2-CXCL8-Gi1/β1/γ2 8KFX-CCR8-LMD-009-Gi1/β1/γ2 7F1Q-CCR5-CCL3-Gi1/β1/γ2 8HNL-CXCR3-PS372424-Gi1/β1/γ2 8KFY-CCR8-ZK-756326-Gi1/β1/γ2 7O7F-CCR5-6P4-CCL5-Gi1/β1/γ1 8U1U-CCR8-CCL1-Gi1/β1/γ2 7VLA-CCR1-CCL15(27-92)-Gi1/β1/γ2 7XA3-CCR2-CCL2-Gi1/β1/γ2
11.11Consensusp2y10_onOrthosteric Ligand8KGG-P2Y10-Lysophosphatidylserine (WJS)-chim(NtGi2-G13)/β1/γ2
11.11Consensuspac_onOrthosteric Ligandpac1_on
11.11Consensuspth2_on_gpOrthosteric Ligand7F16-PTH2-TIP39-Gs/β1/γ2
11.11Consensusvpac_onOrthosteric Ligandvpac1_on vpac2_on
10.71Single6FJ3PTH6FJ3-PTH1-PTH
10.71Single6NBFLA-PTH Analog6NBF-PTH1-LA-PTH Analog-Gs/β1/γ2
10.71Single7KI0Semaglutide7KI0-GLP-1-Semaglutide-Gs/β1/γ2
10.71Single7RA3GIP7RA3-GIP-GIP-chim(NtGi1-Gs)/β1/γ2
10.71Single7SK3CXCL127SK3-ACKR3-CXCL12
10.71Single8FLRPTHrP(1-36)8FLR-PTH1-PTHrP(1-36)-Gs/β1/γ2
10.71Single8H0PNMB308H0P-BB1-NMB30-chim(NtGi1-Gs-CtGq)/β1/γ2
10.71Single9BLBCagrilintide (non-acylated)9BLB-CT-Cagrilintide (non-acylated)-Gs/β1/γ2
10.71Consensuscalcitonin_on_gpOrthosteric Ligandctlike_on_gp
10.71Consensusccr5_onOrthosteric Ligand7O7F-CCR5-6P4-CCL5-Gi1/β1/γ1 7F1Q-CCR5-CCL3-Gi1/β1/γ2
10.71Consensuspac1_onOrthosteric Ligand8E3X-PAC1-PACAP27-Gs/β1/γ2 6M1H-PAC1-Maxadilan-Gs/β1/γ2
10.71Consensuspac1_on_gpOrthosteric Ligand8E3X-PAC1-PACAP27-Gs/β1/γ2 6M1H-PAC1-Maxadilan-Gs/β1/γ2
10.71Consensussecretin_onOrthosteric Ligand7D3S-Secretin-Secretin-Gs/β1/γ2
10.71Consensusvpac_on_gpOrthosteric Ligandvpac1_on_gp vpac2_on_gp
10.53Single4JKVTaladegib4JKV-SMO-Taladegib
10.53Single4NTJAZD12834NTJ-P2Y12-AZD1283
10.53Single5IUAQ274563485IUA-A2A-Q27456348-Na
10.53Single5ZBQUR-MK-2995ZBQ-Y1-UR-MK-299
10.53Single6LPLZM-2413856LPL-A2A-ZM-241385-Na
10.53Single6LUQHaloperidol6LUQ-D2-Haloperidol
10.53Single6S0QZM-2413856S0Q-A2A-ZM-241385
10.53Single6WQAZM-2413856WQA-A2A-ZM-241385-Na
10.53Single7E9GJNJ-404118137E9G-mGlu2; mGlu2-Eglumetad-JNJ-40411813-Gi1/β1/γ2
10.53Single7EUOfMLF7EUO-FPR1-ALX-fMLF-Gi1/β1/γ2
10.53Single7RM5ZM-2413857RM5-A2A-ZM-241385-Na
10.53Single7VV0PAMP-127VV0-MRGPRX2-PAMP-12
10.53Single8F2BPramlintide Analogue San458F2B-CT (AMY3)-Pramlintide Analogue San45-Gs/β1/γ2; RAMP3
10.53Single8FYNZM-2413858FYN-A2A-ZM-241385-Na
10.53Single8GNEKW-63568GNE-A2A-KW-6356-Na
10.53Single8IZ4Lysophosphatidylserine (TJR)8IZ4-GPR34-Lysophosphatidylserine (TJR)-Gi1/β1/γ2
10.53Single8JGGBAM8-228JGG-MRGPRX1-BAM8-22-Gi1/β1/γ2
10.53Single8X0CVU04244658X0C-mGlu5; mGlu5-Quisqualate-VU0424465
10.53Single8X0CVU04244658X0C-mGlu5; mGlu5-Quisqualate-VU0424465
10.53Single8XQPCholesterol8XQP-TAS2R14-Cholesterol-Aristolochic acid A-Gt3/β1/γ1
10.53Single9KO4CCL219KO4-CCR7-CCL21-Gi1/β1/γ2
10.53Consensuscyslt_offOrthosteric Ligandcyslt2_off cyslt1_off
10.34Single5NX2GLP-1 (Truncated)5NX2-GLP-1-GLP-1 (Truncated)
10.34Single7DTYGIP7DTY-GIP-GIP-Gs/β1/γ2
10.34Single7FIYTirzepatide7FIY-GIP-Tirzepatide-Gs/β1/γ2
10.34Single7TYNCalcitonin-17TYN-CT-Calcitonin-1-Gs/β1/γ2
10.34Single7VVKPTH7VVK-PTH1-PTH-Gs/β1/γ2
10.34Single9P94PACAP279P94-PAC1-PACAP27-Gs/β1/γ2
10.34Consensussecretin_on_gpOrthosteric Ligand7D3S-Secretin-Secretin-Gs/β1/γ2
10.00Single4OO9Mavoglurant4OO9-mGlu5-Mavoglurant
10.00Single5V57TC1145V57-SMO-TC114
10.00Single5ZBHBMS-1938855ZBH-Y1-BMS-193885
10.00Single5ZHPPubChem 1348285895ZHP-M3-PubChem 134828589
10.00Single6OS1TRV0266OS1-AT1-TRV026
10.00Single6RZ5Zafirlukast6RZ5-CysLT1-Zafirlukast-Na
10.00Single6UUSAdrenomedullin6UUS-CT Like (AM2)-Adrenomedullin-Gs/β1/γ2; RAMP3
10.00Single7PX4PSB-21137PX4-A2A-PSB-2113
10.00Single7XOWSulfated Gastrin-(10-17)7XOW-CCKB-Sulfated Gastrin-(10-17)-chim(NtGi1-Gq)/β1/γ2
10.00Single7XWONeurokinin-A7XWO-NK2-Neurokinin-A-chim(NtGi1-Gs-CtGq)/β1/γ2
10.00Single7Y24Octreotide7Y24-SST2-Octreotide-Go/β1/γ2
10.00Single8HAFPTHrP(1-36)8HAF-PTH1-PTHrP(1-36)-chim(NtGi1-Gs)/β1/γ2
10.00Single8ID39-Hydroxystearic acid8ID3-FFA4-9-Hydroxystearic acid-Gi1/β1/γ2
10.00Single8XBIPubChem 1626566368XBI-GPR34-PubChem 162656636
10.00Single8Y52BA18Y52-BB3-BA1-chim(NtGi1-Gs-CtGq)/β1/γ2
10.00Single8ZR5Firuglipel8ZR5-GPR119-Firuglipel-Gs/β1/γ2
10.00Single9BQ3Cagrilintide9BQ3-CT (AMY2)-Cagrilintide-Gs/β1/γ2; RAMP2
10.00Single9BTWCagrilintide9BTW-CT (AMY3)-Cagrilintide-Gs/β1/γ2; RAMP3
10.00Single9L16CCL219L16-CCR7-CCL21
10.00Single9YDVMRS29059YDV-P2Y14-MRS2905-Gi1/β1/γ2
10.00Consensusffa_onOrthosteric Ligandffa2_on ffa3_on
10.00Consensusffa_on_gpOrthosteric Ligandffa2_on_gp ffa3_on_gp
10.00Consensusgi_ffaOrthosteric Ligand8J21-FFA3-Butyric acid-Gi1/β1/γ2 8J22-FFA2-TUG-1375-Gi1/β1/γ2
10.00Consensusnk2_on_gpOrthosteric Ligand7XWO-NK2-Neurokinin-A-chim(NtGi1-Gs-CtGq)/β1/γ2
10.00Consensusp2y12_onOrthosteric Ligand7XXI-P2Y12-2MeSADP-Gi2/β1/γ2
10.00Consensuspth1_onOrthosteric Ligand6NBF-PTH1-LA-PTH Analog-Gs/β1/γ2 8HA0-PTH1-PTH-chim(NtGi1-Gs)/β1/γ2 8HAF-PTH1-PTHrP(1-36)-chim(NtGi1-Gs)/β1/γ2 7Y36-PTH1-PTH-Gs/β1/γ2 7Y35-PTH1-Abaloparatide-Gs/β1/γ2
10.00Consensusvpac2_onOrthosteric Ligand7VQX-VPAC1-PACAP27-Gs/β1/γ2
10.00Consensusvpac2_on_gpOrthosteric Ligand7VQX-VPAC1-PACAP27-Gs/β1/γ2
9.68Single7TYXAmylin7TYX-CT (AMY2)-Amylin-Gs/β1/γ2; RAMP2
9.68Single8ZJETAK4488ZJE-Kiss1-TAK448-chim(NtGi1-Gq)/β1/γ1
9.68Consensuscrf1_onOrthosteric Ligand6PB0-CRF1-Urocortin-chim(NtGi1-Gs)/β1/γ2 6P9X-CRF1-Corticoliberin-1-Gs/β1/γ2
9.68Consensusgip_onOrthosteric Ligand7FIN-GIP-Peptide-20; GGL-Gs/β1/γ2 7FIY-GIP-Tirzepatide-Gs/β1/γ2 7DTY-GIP-GIP-Gs/β1/γ2
9.68Consensusgip_on_gpOrthosteric Ligand7FIN-GIP-Peptide-20; GGL-Gs/β1/γ2 7FIY-GIP-Tirzepatide-Gs/β1/γ2 7DTY-GIP-GIP-Gs/β1/γ2
9.52Single3VW7Vorapaxar; Na3VW7-PAR1-Vorapaxar; Na
9.52Single4PXFOctyl-Beta-D-Glucopyranoside4PXF-Rhodopsin-Octyl-β-D-Glucopyranoside-Arrestin1 Finger Loop
9.52Single4PXZ2MeSADP4PXZ-P2Y12-2MeSADP
9.52Single6C1RPMX536C1R-C5a1-PMX53-Avacopan; Na
9.52Single6OS2TRV0266OS2-AT1-TRV026
9.52Single6RZ7ONO-25703666RZ7-CysLT2-ONO-2570366
9.52Single7L1UOrexin7L1U-OX2-Orexin-chim(NtGi1-Gs-CtGq)/β1/γ2
9.52Single7WCMMBX-29827WCM-GPR119-MBX-2982-Gs/β1/γ2
9.52Single7XXI2MeSADP7XXI-P2Y12-2MeSADP-Gi2/β1/γ2
9.52Single8ID9Icosapent8ID9-FFA4-Icosapent-Gi1/β1/γ2
9.52Single8U26Substance-P8U26-NK1-Substance-P-Gs/β1/γ2
9.52Single8WRBLysophosphatidylserine (UBL)8WRB-GPR34-Lysophosphatidylserine (UBL)-Gi1/β1/γ2
9.52Single8XQNCholesterol8XQN-TAS2R14-Cholesterol-Aristolochic acid A-Gi1/β1/γ1
9.52Single9ECJS-geranylgeranyl-L-glutathione9ECJ-P2Y8-S-geranylgeranyl-L-glutathione-G13/β1/γ2
9.52Single9KZKC3a (fragment)9KZK-C3aB-C3a (fragment)-Go/β1/γ2
9.52Single9L3WChemerin9L3W-CML1-Chemerin-Gi1/β1/γ2
9.52Single9VIFNeuropeptide-VF9VIF-NPFF1-Neuropeptide-VF-Gi1/β1/γ2
9.52Single9WXMGPR15L(CT)9WXM-GPR15-GPR15L(CT)-Gi3/β1/γ2
9.52Consensusgi_p2yOrthosteric Ligand7XXI-P2Y12-2MeSADP-Gi2/β1/γ2
9.52Consensusp2y12_on_gpOrthosteric Ligand7XXI-P2Y12-2MeSADP-Gi2/β1/γ2
9.09Single4RWSvMIP-II4RWS-CXCR4-vMIP-II
9.09Single6RZ9ONO-27703726RZ9-CysLT2-ONO-2770372
9.09Single7EZHCholecystokinin-87EZH-CCKA-Cholecystokinin-8-Gi1/β1/γ2
9.09Single7EZMCholecystokinin-87EZM-CCKA-Cholecystokinin-8-chim(NtGsL-Gq)/β1/γ2
9.09Single7V35Peptide-207V35-Glucagon-Peptide-20-Gs/β1/γ2
9.09Single7Y27Somatostatin-147Y27-SST2-Somatostatin-14-chim(NtGi2L-Gs-CtGq)/β1/γ2
9.09Single8HN1Toxin AdTx18HN1-Alpha1A-Toxin AdTx1
9.09Single8K4OCXCL18K4O-KSHV-CXCL1-Gi1/β1/γ1
9.09Single8XBES3E-Lysophosphatidylserine 8XBE-GPR34-S3E-Lysophosphatidylserine-Gi1/β1/γ1
9.09Single8ZPLHF511168ZPL-CXCR4-HF51116
9.09Single9C0KExendin-49C0K-GLP-1-Exendin-4-Gs/β1/γ2
9.09Single9J0BUDP-Glucose9J0B-P2Y14-UDP-Glucose-Gi1/β1/γ2
9.09Single9KWXC5a-des-Arg9KWX-C5a1-C5a-des-Arg-Go/β1/γ2
9.09Consensusccka_onOrthosteric Ligand7EZH-CCKA-Cholecystokinin-8-Gi1/β1/γ2
9.09Consensusccka_on_gpOrthosteric Ligand7EZH-CCKA-Cholecystokinin-8-Gi1/β1/γ2
9.09Consensuschemerin_onOrthosteric Ligandcml1_on
9.09Consensuscrf1_on_gpOrthosteric Ligand6PB0-CRF1-Urocortin-chim(NtGi1-Gs)/β1/γ2 6P9X-CRF1-Corticoliberin-1-Gs/β1/γ2
9.09Consensuscyslt2_offOrthosteric Ligand6RZ7-CysLT2-ONO-2570366 6RZ8-CysLT2-ONO-2080365 6RZ9-CysLT2-ONO-2770372
9.09Consensusnk2_onOrthosteric Ligand7XWO-NK2-Neurokinin-A-chim(NtGi1-Gs-CtGq)/β1/γ2
9.09Consensuspth1_on_gpOrthosteric Ligand6NBF-PTH1-LA-PTH Analog-Gs/β1/γ2 8HA0-PTH1-PTH-chim(NtGi1-Gs)/β1/γ2 8HAF-PTH1-PTHrP(1-36)-chim(NtGi1-Gs)/β1/γ2 7Y36-PTH1-PTH-Gs/β1/γ2 7Y35-PTH1-Abaloparatide-Gs/β1/γ2
8.82Single7TYOCalcitonin7TYO-CT-Calcitonin-Gs/β1/γ2
8.82Single8JITMEDI03828JIT-Glucagon-MEDI0382-Gs/β1/γ2
8.82Single8JIUSAR4258998JIU-Glucagon-SAR425899-Gs/β1/γ2
8.82Consensuspth2_onOrthosteric Ligand7F16-PTH2-TIP39-Gs/β1/γ2
8.70Single6RZ6ONO-25703666RZ6-CysLT2-ONO-2570366
8.70Single7X8SWB4-247X8S-GLP-1-WB4-24-Gs/β1/γ2
8.70Single8SAILysophosphatidylserine (S12)8SAI-GPR34-Lysophosphatidylserine (S12)-Gi1/β1/γ2
8.70Single8XQLCholesterol8XQL-TAS2R14-Cholesterol-Aristolochic acid A-Gt3/β1/γ1
8.70Single8Z74JN241-98Z74-Apelin; Apelin-JN241-9
8.70Single8Z74JN241-98Z74-Apelin; Apelin-JN241-9
8.70Single9EAJNanobody AT2099EAJ-AT1-Nanobody AT209
8.70Single9JF4PD1683689JF4-BB1-PD168368
8.70Single9KX6C5a-des-Arg9KX6-C5a1-C5a-des-Arg-Go/β1/γ2
8.70Consensuskiss1_onOrthosteric Ligand8ZJD-Kiss1-Kisspeptin-1-chim(NtGi1-Gq)/β1/γ1
8.70Consensuskisspeptin_onOrthosteric Ligandkiss1_on
8.33Single4A4MAll-trans-Retinal4A4M-Rhodopsin-All-trans-Retinal-Gt(CT)
8.33Single5EN0All-trans-Retinal5EN0-Rhodopsin-All-trans-Retinal-Gt(CT)
8.33Single6RZ8ONO-20803656RZ8-CysLT2-ONO-2080365
8.33Single7RTBPeptide-197RTB-GLP-1-Peptide-19-Gs/β1/γ2
8.33Single7WICSomatostatin-147WIC-SST2-Somatostatin-14-Gi1/β1/γ2
8.33Single8IEIPubChem 1347468948IEI-GPR156; GPR156-PubChem 134746894
8.33Single8IEIPubChem 1347468948IEI-GPR156; GPR156-PubChem 134746894
8.33Single8IEPPubChem 1347468948IEP-GPR156; GPR156-PubChem 134746894
8.33Single8IEPPubChem 1347468948IEP-GPR156; GPR156-PubChem 134746894
8.33Single8JGBConorfamide-Tx28JGB-MRGPRX1-Conorfamide-Tx2-Gi1/β1/γ2
8.33Single8WCBCyclohexylammonium Ion8WCB-TA1-Cyclohexylammonium Ion-chim(NtGi1-Gs-CtGq)/β1/γ2
8.33Single8ZCJPasireotide8ZCJ-SST5-Pasireotide-Gi1/β1/γ1
8.33Single8ZJDKisspeptin-18ZJD-Kiss1-Kisspeptin-1-chim(NtGi1-Gq)/β1/γ1
8.33Single9BUECagrilintide9BUE-CT-Cagrilintide-Gs/β1/γ2
8.33Single9MEJGp1209MEJ-CXCR4-Gp120
8.33Consensusgq_kisspeptinOrthosteric Ligand8ZJD-Kiss1-Kisspeptin-1-chim(NtGi1-Gq)/β1/γ1
8.33Consensuskiss1_on_gpOrthosteric Ligand8ZJD-Kiss1-Kisspeptin-1-chim(NtGi1-Gq)/β1/γ1
8.33Consensuskisspeptin_on_gpOrthosteric Ligandkiss1_on_gp
8.00Single6WHCGlu16 analog of GCG6WHC-Glucagon-Glu16 analog of GCG-Gs/β1/γ2
8.00Single8IBVMotilin8IBV-Motilin-Motilin-chim(NtGi1-Gs-CtGq)/β1/γ2
8.00Single8IEBPubChem 1347468948IEB-GPR156; GPR156-PubChem 134746894
8.00Single8IOCGamma-MSH8IOC-MC3-γ-MSH-Ca-chim(NtGi1-Gs)/β1/γ2
8.00Single8K6ONeuropeptide-Y8K6O-Y1-Neuropeptide-Y-Gi2/β1/γ1
8.00Single9E82CXCL12 (fragment)9E82-ACKR3-CXCL12 (fragment)-Arrestin2
8.00Single9EAINanobody AT2099EAI-AT1-Losartan-Nanobody AT209
8.00Consensusformylpeptide_on_gpOrthosteric Ligandfpr2-alx_on_gp fpr1-alx_on_gp
7.69Single6LW5WKYMVm6LW5-FPR2-ALX-WKYMVm
7.69Single7V68LY21196207V68-M4-Iperoxo-LY2119620-Gi1/β1/γ2
7.69Single7XKEDehydroepiandrosterone7XKE-ADGRG2-Dehydroepiandrosterone-chim(NtGi1-Gs)/β1/γ2
7.69Single9B5YLA-PTH Analog9B5Y-PTH1-LA-PTH Analog-chim(NtGi1-Gq)/β1/γ2
7.69Single9IV25alpha-DHT9IV2-ADGRD1-5α-DHT-chim(NtGi1-Gs)/β1/γ2
7.69Single9LXRLA-PTH Analog9LXR-PTH1-LA-PTH Analog-Arrestin2
7.69Consensusclass-b1_class-b2_cons_onOrthosteric Ligandclass-b1_on class-b2_on
7.69Consensusclass-b1_class-b2_cons_on_gpOrthosteric Ligandclass-b1_on_gp class-b2_on_gp
7.69Consensusfpr2-alx_onOrthosteric Ligand7WVX-FPR2-ALX-Humanin-Gi2/β1/γ2 7T6U-FPR2-ALX-CGEN-855A-Gi1/β1/γ2 7T6V-FPR2-ALX-fMLFII-Gi1/β1/γ2 7WVY-FPR2-ALX-Amyloid-β42-Gi2/β1/γ2 7T6S-FPR2-ALX-TC-FPR 43-Gi1/β1/γ2 6OMM-FPR2-ALX-WKYMVX-Gi1/β1/γ2
7.41Single9BUDCagrilintide9BUD-CT-Cagrilintide-Gs/β1/γ2
7.41Consensuscrf2_onOrthosteric Ligand7TS0-CRF2-Urocortin-chim(NtGi1L-Go)/β1/γ2
7.41Consensusfpr2-alx_on_gpOrthosteric Ligand7WVX-FPR2-ALX-Humanin-Gi2/β1/γ2 7T6U-FPR2-ALX-CGEN-855A-Gi1/β1/γ2 7T6V-FPR2-ALX-fMLFII-Gi1/β1/γ2 7WVY-FPR2-ALX-Amyloid-β42-Gi2/β1/γ2 7T6S-FPR2-ALX-TC-FPR 43-Gi1/β1/γ2 6OMM-FPR2-ALX-WKYMVX-Gi1/β1/γ2
7.41Consensusgi_formylpeptideOrthosteric Ligand7WVY-FPR2-ALX-Amyloid-β42-Gi2/β1/γ2 7T6U-FPR2-ALX-CGEN-855A-Gi1/β1/γ2 7VFX-FPR1-ALX-fMIFL-Gi1/β1/γ2 7T6V-FPR2-ALX-fMLFII-Gi1/β1/γ2 7WVX-FPR2-ALX-Humanin-Gi2/β1/γ2 7T6S-FPR2-ALX-TC-FPR 43-Gi1/β1/γ2 6OMM-FPR2-ALX-WKYMVX-Gi1/β1/γ2
7.14Single7TYHCalcitonin7TYH-CT (AMY2)-Calcitonin-Gs/β1/γ2; RAMP2
7.14Single7VDMSubstance-P7VDM-MRGPRX2-Substance-P-Gi1/β1/γ2
7.14Single7Y14Beta-Alanine7Y14-MRGPRD-β-Alanine
7.14Single8YG4LA-PTH Analog8YG4-PTH1-LA-PTH Analog-chim(NtGi1-Gs)/β1/γ2
6.90Single6NBILA-PTH Analog6NBI-PTH1-LA-PTH Analog-Gs/β1/γ2
6.90Single7SK4CXCL12_LRHQ7SK4-ACKR3-CXCL12_LRHQ
6.90Single9BUBCagrilintide9BUB-CT-Cagrilintide-Gs/β1/γ2
6.90Consensuscrf2_on_gpOrthosteric Ligand7TS0-CRF2-Urocortin-chim(NtGi1L-Go)/β1/γ2
6.67Single2ZIY11-cis-Retinal2ZIY-Rhodopsin-11-cis-Retinal
6.67Single5WKTOctyl-Beta-D-Glucopyranoside5WKT-Rhodopsin-Octyl-β-D-Glucopyranoside-Gt(CT)
6.67Single6FK9PubChem 1324730366FK9-Rhodopsin-PubChem 132473036
6.67Single6ME5Agomelatine6ME5-MT1-Agomelatine
6.67Single6OIKLY21196206OIK-M2-Iperoxo-LY2119620-chim(NtGi1-Go)/β1/γ2
6.67Single7MT9All-trans-Retinal7MT9-Rhodopsin-All-trans-Retinal-GRK1
6.67Single7MTAAll-trans-Retinal7MTA-Rhodopsin-All-trans-Retinal-GRK1
6.67Single7V6APubChem 98642757V6A-M4-PubChem 9864275-Gi1/β1/γ2
6.67Single7Y12Beta-Alanine7Y12-MRGPRD-β-Alanine-Gi1/β1/γ2
6.67Single8EITDoconexent8EIT-FFA1-Doconexent-chim(NtGi1L-Gs-CtGq)/β1/γ2
6.67Single8F76Propanoic acid8F76-OR51E2-Propanoic acid-Gs/β1/γ2
6.67Single8Y63C20:0 Ceramide8Y63-FPR2-ALX-C20:0 Ceramide-Gi1/β1/γ2
6.67Single9IJRC179IJR-GPR52-C17-Arrestin2
6.67Single9JHJC18:0 Ceramide9JHJ-FPR2-ALX-C18:0 Ceramide-Gi1/β1/γ2
6.67Single9LL7DOI9LL7-5-HT2A-DOI-Gi1/β1/γ2
6.45Single6LMKGlucagon6LMK-Glucagon-Glucagon-Gs/β1/γ2
6.25Single6FK6PubChem 1324730336FK6-Rhodopsin-PubChem 132473033
6.25Single6PGSGeraniol6PGS-Rhodopsin-Geraniol-Gt(CT)
6.25Single6PH7Nerol6PH7-Rhodopsin-Nerol-Gt(CT)
6.25Single7S8NR-Zinc-35737S8N-MRGPRX2-R-Zinc-3573-chim(NtGi2L-Gs-CtGq)/β1/γ2
6.25Single7S8OR-Zinc-35737S8O-MRGPRX2-R-Zinc-3573-Gi1/β1/γ2
6.25Single7VDHC48/807VDH-MRGPRX2-C48/80-Gi1/β1/γ2
6.25Single8FX5Xanomeline8FX5-M4-Xanomeline-Xanomeline-Gi1/β1/γ2
6.25Single8U4RREGN7663-Fab8U4R-CXCR4-REGN7663-Fab
6.25Single8X2KOleic monoethanolamide8X2K-GPR3-Oleic monoethanolamide-chim(NtGi1-Gs)/β1/γ2
6.25Single9M88Oleic monoethanolamide9M88-GPR3 ; GPR3-Oleic monoethanolamide-AF64394
6.06Single7SK6CXCL12_LRHQ7SK6-ACKR3-CXCL12_LRHQ
5.88Single3VG9ZM-2413853VG9-A2A-ZM-241385-Antibody
5.88Single6FKBPubChem 1324730386FKB-Rhodopsin-PubChem 132473038
5.88Single6LFOCXCL86LFO-CXCR2-CXCL8-Gi1/β1/γ2
5.88Single6ME2Ramelteon6ME2-MT1-Ramelteon
5.88Single6ME9Ramelteon6ME9-MT2-Ramelteon
5.88Single6ZA8RTI-3a6ZA8-NTS1-RTI-3a
5.88Single7LCJDanuglipron7LCJ-GLP-1-Danuglipron
5.88Single7T6STC-FPR 437T6S-FPR2-ALX-TC-FPR 43-Gi1/β1/γ2
5.88Single7VV5C48/807VV5-MRGPRX2-C48/80-Gi1/β1/γ2
5.88Single7VVOPTH7VVO-PTH1-PTH-Gs/β1/γ2
5.88Single7XJJGalanin7XJJ-GAL1-Galanin-Go/β1/γ2
5.88Single8DWHPubChem 1390305318DWH-MRGPRX1-PubChem 139030531-chim(NtGi2L-Gs-CtGq)/β1/γ2
5.88Single8T3VDoconexent8T3V-FFA1-Doconexent-chim(NtGi2L-Gs-CtGq)/β1/γ2
5.88Single9KO2CCL199KO2-CCR7-CCL19-Gi1/β1
5.88Single9KO6CCL199KO6-CCR7-CCL19
5.88Consensuscxcr1_onOrthosteric Ligand8IC0-CXCR1-CXCL8-Gi1/β1/γ2
5.56Single5UVIZM-2413855UVI-A2A-ZM-241385
5.56Single6FFIMPEP6FFI-mGlu5-MPEP
5.56Single6FK8PubChem 1324730356FK8-Rhodopsin-PubChem 132473035
5.56Single6FKAPubChem 1324730376FKA-Rhodopsin-PubChem 132473037
5.56Single6PELCitronellol6PEL-Rhodopsin-Citronellol-Gt(CT)
5.56Single6U1NLY21196206U1N-M2-LY2119620-Arrestin2
5.56Single6ZINSR486926ZIN-NTS1-SR48692
5.56Single7M3GCa; Ca; Tryptophan; Evocalcet; Etelcalcetide; PO47M3G-CaS; CaS-Ca; Ca; Tryptophan; Evocalcet; Etelcalcetide; PO4
5.56Single7UTZDPPC7UTZ-TSH-TSH-DPPC-Gs/β1/γ2
5.56Single7VODCariprazine7VOD-5-HT2A-Cariprazine
5.56Single7VV6C48/807VV6-MRGPRX2-C48/80
5.56Single7WVUfMLF7WVU-FPR1-ALX-fMLF-Gi1/β1/γ2
5.56Single7XXH2MeSADP7XXH-P2Y1-2MeSADP-chim(NtGi1-G11)/β1/γ2
5.56Single8HQN9-S-HODE8HQN-GPR132-9-S-HODE-Gi1/β1/γ2
5.56Single8IYXYL-3658IYX-GPR34-YL-365
5.56Single8Y62C16:0 Ceramide8Y62-FPR2-ALX-C16:0 Ceramide-Gi1/β1/γ2
5.56Single8YRGFospropofol8YRG-MRGPRX4-Fospropofol-chim(NtGi1-Gs-CtGq)/β1/γ2
5.56Single9K0KUTP9K0K-P2Y4-UTP-chim(NtGi1-Gs-CtGq)/β1/γ2
5.56Single9K0XATP9K0X-P2Y2-ATP-chim(NtGi1-Gs-CtGq)/β1/γ2
5.56Single9K20ATP9K20-P2Y2-ATP-chim(NtGi1-Go)/β1/γ2
5.56Single9U80Conivaptan9U80-V2-Conivaptan
5.56Consensuscxcr2_onOrthosteric Ligand6LFM-CXCR2-CXCL8-Gi1/β1/γ2
5.56Consensusgluc_onOrthosteric Ligand6LMK-Glucagon-Glucagon-Gs/β1/γ2 8JIT-Glucagon-MEDI0382-Gs/β1/γ2 7V35-Glucagon-Peptide-20-Gs/β1/γ2
5.56Consensusp2y1_on_gpOrthosteric Ligand7XXH-P2Y1-2MeSADP-chim(NtGi1-G11)/β1/γ2
5.41Consensusgluc_on_gpOrthosteric Ligand6LMK-Glucagon-Glucagon-Gs/β1/γ2 8JIT-Glucagon-MEDI0382-Gs/β1/γ2 7V35-Glucagon-Peptide-20-Gs/β1/γ2
5.26Single6FFHFenobam6FFH-mGlu5-Fenobam
5.26Single6FK7PubChem 1324730346FK7-Rhodopsin-PubChem 132473034
5.26Single6FKCPubChem 1324730396FKC-Rhodopsin-PubChem 132473039
5.26Single6FKDPubChem 1373491836FKD-Rhodopsin-PubChem 137349183
5.26Single6X1ADanuglipron6X1A-GLP-1-Danuglipron-Gs/β1/γ2
5.26Single6Z4VNeurotensin-(9-13)6Z4V-NTS1-Neurotensin-(9-13)
5.26Single7FIHOrg435537FIH-LH-hCG-Org43553-chim(NtGi1-Gs)/β1/γ2
5.26Single7LCIDanuglipron7LCI-GLP-1-Danuglipron-Gs/β1/γ2
5.26Single7LCKDanuglipron7LCK-GLP-1-Danuglipron
5.26Single7S15PubChem 1346112237S15-GLP-1-PubChem 134611223
5.26Single7WQ3Galanin7WQ3-GAL1-Galanin-Gi1/β1/γ2
5.26Single8EJKTAK-8758EJK-FFA1-TAK-875-chim(NtGi1L-Gs-CtGq)/β1/γ2
5.26Single8IC0CXCL88IC0-CXCR1-CXCL8-Gi1/β1/γ2
5.26Single8ZYYNeurotensin-(8-13)8ZYY-NTS1-Neurotensin-(8-13)-SBI-553-Arrestin2
5.26Single9METGp120; CD49MET-CXCR4-Gp120; CD4
5.26Consensuscxcr1_on_gpOrthosteric Ligand8IC0-CXCR1-CXCL8-Gi1/β1/γ2
5.26Consensusgal1_onOrthosteric Ligand7WQ3-GAL1-Galanin-Gi1/β1/γ2
5.26Consensusgal1_on_gpOrthosteric Ligand7WQ3-GAL1-Galanin-Gi1/β1/γ2
5.26Consensusgi_galaninOrthosteric Ligand7WQ3-GAL1-Galanin-Gi1/β1/γ2
5.00Single4PHUFasiglifam4PHU-FFA1-Fasiglifam
5.00Single6LFMCXCL86LFM-CXCR2-CXCL8-Gi1/β1/γ2
5.00Single6Z4SSR486926Z4S-NTS1-SR48692
5.00Single7M3GCa; Ca; Tryptophan; Evocalcet; Etelcalcetide; PO47M3G-CaS; CaS-Ca; Ca; Tryptophan; Evocalcet; Etelcalcetide; PO4
5.00Single7VFXfMIFL7VFX-FPR1-ALX-fMIFL-Gi1/β1/γ2
5.00Single7Y26Octreotide7Y26-SST2-Octreotide-chim(NtGi2L-Gs-CtGq)/β1/γ2
5.00Single8EJCTAK-8758EJC-FFA1-TAK-875-chim(NtGi1L-Gs-CtGq)/β1/γ2
5.00Single8T6JCDPPB8T6J-mGlu5; mGlu5-CDPPB
5.00Single8T6JCDPPB8T6J-mGlu5; mGlu5-CDPPB
5.00Single8ZYTNeurotensin-(8-13)8ZYT-NTS1-Neurotensin-(8-13)-SBI-553-Arrestin2
5.00Consensuscxcr2_on_gpOrthosteric Ligand6LFM-CXCR2-CXCL8-Gi1/β1/γ2
5.00Consensusfpr1-alx_onOrthosteric Ligand7VFX-FPR1-ALX-fMIFL-Gi1/β1/γ2
5.00Consensusfpr1-alx_on_gpOrthosteric Ligand7VFX-FPR1-ALX-fMIFL-Gi1/β1/γ2
4.76Single3ZEVNeurotensin-(7-13)3ZEV-NTS1-Neurotensin-(7-13)
4.76Single4BV0Neurotensin-(7-13)4BV0-NTS1-Neurotensin-(7-13)
4.76Single5TZRMK86665TZR-FFA1-MK8666
4.76Single6Z8NSRI-98296Z8N-NTS1-SRI-9829
4.76Single7F1TCCL37F1T-CCR5-CCL3
4.76Single7L0PNeurotensin-(8-13)7L0P-NTS1-Neurotensin-(8-13)-Gi1/β1/γ1
4.76Single7L0QNeurotensin-(8-13)7L0Q-NTS1-Neurotensin-(8-13)-Gi1/β1/γ1
4.76Single7T9NDPPC7T9N-TSH-M22 Fab-DPPC-Gs/β1/γ2
4.76Single7WVXHumanin7WVX-FPR2-ALX-Humanin-Gi2/β1/γ2
4.76Single7XBDGalanin7XBD-GAL2-Galanin-chim(NtGi2L-Gs-CtGq)/β1/γ2
4.76Single8FMZNeurotensin-(8-13)8FMZ-NTS1-Neurotensin-(8-13)-chim(NtGi2L-Gs-CtGq)/β1/γ2
4.76Single8FN1Neurotensin-(8-13)8FN1-NTS1-Neurotensin-(8-13)-chim(NtGi1-Go)/β1/γ2
4.76Single8I2GPubChem 675302408I2G-FSH-FSH-PubChem 67530240-Gs/β1/γ2
4.76Single8JBGNeurokinin-B8JBG-NK3-Neurokinin-B-chim(NtGi1-Gs-CtGq)/β1/γ2
4.76Single8JGFBAM8-228JGF-MRGPRX1-BAM8-22-chim(NtGi1-Gs-CtGq)/β1/γ2
4.76Single8TAOCDPPB8TAO-mGlu5; mGlu5-Quisqualate-CDPPB
4.76Single8WJXADP8WJX-P2Y1-ADP-chim(Gs-CtGq)/β1/γ2
4.76Single8XQTCholesterol8XQT-TAS2R14-Cholesterol-Gi1/β1/γ1
4.76Single9CLWTUG-13759CLW-FFA2-TUG-1375-4-CMTB-chim(NtGi1L-Gs-CtGq)/β1/γ2
4.76Single9ITELPA9ITE-LPA6-LPA-chim(NtGi2-G13)/β1/γ2
4.76Single9JCLADP9JCL-P2Y1-ADP-chim(Gs-CtGq)/β1/γ2
4.76Single9MENGp120 (V3 loop)9MEN-CXCR4-Gp120 (V3 loop)
4.76Consensusffa2_onOrthosteric Ligand8J22-FFA2-TUG-1375-Gi1/β1/γ2
4.76Consensusneurotensin_onOrthosteric Ligandnts1_on
4.76Consensusnts1_onOrthosteric Ligand6OSA-NTS1-JMV449-Gi1/β1/γ2 7L0S-NTS1-Neurotensin-(8-13)-Gi1/β1/γ1
4.55Single4GRVNeurotensin-(8-13)4GRV-NTS1-Neurotensin-(8-13)
4.55Single4PY02MeSATP4PY0-P2Y12-2MeSATP
4.55Single4XEENeurotensin-(8-13)4XEE-NTS1-Neurotensin-(8-13)
4.55Single4XESNeurotensin-(8-13)4XES-NTS1-Neurotensin-(8-13)
4.55Single5TZYMK8666; AP85TZY-FFA1-MK8666; AP8
4.55Single6OSAJMV4496OSA-NTS1-JMV449-Gi1/β1/γ2
4.55Single6XOXOrforglipron6XOX-GLP-1-Orforglipron-chim(NtGi1-Gs)/β1/γ2
4.55Single7L0SNeurotensin-(8-13)7L0S-NTS1-Neurotensin-(8-13)-Gi1/β1/γ1
4.55Single7WQ4Galanin7WQ4-GAL2-Galanin-chim(NtGi1-Gs-CtGq)/β1/γ2
4.55Single7XJKGalanin7XJK-GAL2-Galanin-chim(NtGi2L-Gs-CtGq)/β1/γ2
4.55Single7XW5ML1097XW5-TSH-TSH-ML109-Gs/β1/γ2
4.55Single7XW6ML1097XW6-TSH-M22 Fab-ML109-Gs/β1/γ2
4.55Single7XZ5Lysophosphatidylcholine7XZ5-GPR119-Lysophosphatidylcholine-Gs/β1/γ2
4.55Single8H0QGastrin Releasing Peptide8H0Q-BB2-Gastrin Releasing Peptide-chim(NtGi1-Gs-CtGq)/β1/γ2
4.55Single8JPBNeurotensin-(8-13)8JPB-NTS1-Neurotensin-(8-13)-SBI-553; GDP; Mg-Gq; GRK2
4.55Single8XQJJN2418XQJ-Apelin; Apelin-JN241
4.55Single8Y6WTUG-13758Y6W-FFA2-TUG-1375-4-CMTB-Gi1/β1/γ2
4.55Single9CM3TUG-13759CM3-FFA2-TUG-1375-PubChem 118615810-chim(NtGi1L-Gs-CtGq)/β1/γ2
4.55Consensusffa2_on_gpOrthosteric Ligand8J22-FFA2-TUG-1375-Gi1/β1/γ2
4.55Consensusgalanin_onOrthosteric Ligandgal2_on gal1_on
4.55Consensusgalanin_on_gpOrthosteric Ligandgal2_on_gp gal1_on_gp
4.55Consensusgi_neurotensinOrthosteric Ligand6OSA-NTS1-JMV449-Gi1/β1/γ2 7L0S-NTS1-Neurotensin-(8-13)-Gi1/β1/γ1
4.55Consensusneurotensin_on_gpOrthosteric Ligandnts1_on_gp
4.55Consensusnts1_on_gpOrthosteric Ligand6OSA-NTS1-JMV449-Gi1/β1/γ2 7L0S-NTS1-Neurotensin-(8-13)-Gi1/β1/γ1
4.35Single4BUONeurotensin-(8-13)4BUO-NTS1-Neurotensin-(8-13)
4.35Single6M1HMaxadilan6M1H-PAC1-Maxadilan-Gs/β1/γ2
4.35Single6UP7Neurotensin-(8-13)6UP7-NTS1-Neurotensin-(8-13)-Arrestin2
4.35Single8FN0Neurotensin-(8-13)8FN0-NTS1-Neurotensin-(8-13)-SBI-553-chim(NtGi1-Go)/β1/γ2
4.35Single8JPFNeurotensin-(8-13)8JPF-NTS1-Neurotensin-(8-13)-SBI-553
4.35Single8XVUCXCL28XVU-CXCR2-CXCL2
4.35Single8XXHCXCL28XXH-CXCR2-CXCL2-Go/β1/γ2
4.35Single9JH5C16:0 Ceramide9JH5-CysLT2-C16:0 Ceramide-chim(NtGi1-Gs-CtGq)/β1/γ2
4.35Single9VI9RFRP-39VI9-NPFF1-RFRP-3-Gi1/β1/γ2
4.35Consensusgal2_onOrthosteric Ligand7WQ4-GAL2-Galanin-chim(NtGi1-Gs-CtGq)/β1/γ2 7XJL-GAL2-Spexin-chim(NtGi2L-Gs-CtGq)/β1/γ2
4.35Consensusgal2_on_gpOrthosteric Ligand7WQ4-GAL2-Galanin-chim(NtGi1-Gs-CtGq)/β1/γ2 7XJL-GAL2-Spexin-chim(NtGi2L-Gs-CtGq)/β1/γ2
4.17Single6OMMWKYMVX6OMM-FPR2-ALX-WKYMVX-Gi1/β1/γ2
4.17Single6OS9JMV4496OS9-NTS1-JMV449-Gi1/β1/γ2
4.17Single8J22TUG-13758J22-FFA2-TUG-1375-Gi1/β1/γ2
4.17Single8XQJJN2418XQJ-Apelin; Apelin-JN241
4.17Single8XX6CXCL88XX6-CXCR2-CXCL8-Go/β1/γ2
4.17Single9CM7TUG-13759CM7-FFA2-TUG-1375-AZ-1729-Gi1/β1/γ2
4.17Single9ITBLPA9ITB-LPA6-LPA-chim(NtGi1-Gs-CtGq)/β1/γ2
4.17Single9NS9TUG-13759NS9-FFA2-TUG-1375-PubChem 118615810-Gi1/β1/γ2
4.17Consensusformylpeptide_onOrthosteric Ligandfpr2-alx_on fpr1-alx_on
4.00Single7L0RNeurotensin-(8-13)7L0R-NTS1-Neurotensin-(8-13)-Gi1/β1/γ1
4.00Single8DWGBAM8-228DWG-MRGPRX1-BAM8-22-ML382-chim(NtGi2L-Gs-CtGq)/β1/γ2
4.00Single8JIQPeptide-158JIQ-Glucagon-Peptide-15-Gs/β1/γ2
4.00Single8XWNCXCL88XWN-CXCR2-CXCL8
4.00Single9UYLChemerin-99UYL-CML2-Chemerin-9-Arrestin2
4.00Consensussomatostatin_offOrthosteric Ligandsst2_off
3.85Single7F1QCCL37F1Q-CCR5-CCL3-Gi1/β1/γ2
3.85Single7TRYUrocortin7TRY-CRF2-Urocortin-chim(NtGi1-G11)/β1/γ2
3.85Single7XNACYN1548067XNA-SST2-CYN154806
3.85Consensussst2_offOrthosteric Ligand7XNA-SST2-CYN154806
3.45Single7Y35Abaloparatide7Y35-PTH1-Abaloparatide-Gs/β1/γ2
3.33Consensusctlike_onOrthosteric Ligand6E3Y-CT Like-Calcitonin gene-related peptide-1-Gs/β1/γ2; RAMP1
3.23Consensusglp2_onOrthosteric Ligand7D68-GLP-2-GLP-2-Gs/β1/γ2
3.23Consensusglp2_on_gpOrthosteric Ligand7D68-GLP-2-GLP-2-Gs/β1/γ2
3.12Consensusctlike_on_gpOrthosteric Ligand6E3Y-CT Like-Calcitonin gene-related peptide-1-Gs/β1/γ2; RAMP1

PDB Summary
PDB 9K6L
Class T2
SubFamily Sensory
Type Taste2
SubType TAS2R16
Species Homo Sapiens
Ligand Salicin
Other Ligand(s) -
Protein Partners Gi2/Beta1/Gamma2
PDB Resolution 2.77
Date 2025-04-02
D.O.I. doi.org/10.1016/j.celrep.2025.115604
Net Summary
Imin 2.95
Number of Linked Nodes 843
Number of Links 1085
Number of Hubs 207
Number of Links mediated by Hubs 717
Number of Communities 27
Number of Nodes involved in Communities 276
Number of Links involved in Communities 427
Path Summary
Number Of Nodes in MetaPath 87
Number Of Links MetaPath 86
Number of Shortest Paths 3196153
Length Of Smallest Path 3
Average Path Length 38.391
Length of Longest Path 67
Minimum Path Strength 1.27
Average Path Strength 6.57849
Maximum Path Strength 26.575
Minimum Path Correlation 0.7
Average Path Correlation 0.990368
Maximum Path Correlation 1
Minimum % Of Corr. Nodes 2.08333
Average % Of Corr. Nodes 34.8395
Maximum % Of Corr. Nodes 100
Minimum Path Hubs % 0
Average Path Hubs % 51.2906
Maximum Path Hubs % 100
AnnotationTypeLinks
Gene OntologyMolecular Function
Gene OntologyBiological Process• fibroblast proliferation   • cell population proliferation   • cellular process   • cellular response to nitrogen compound   • cellular response to stimulus   • response to dopamine   • regulation of cellular process   • response to stimulus   • signaling   • cellular response to dopamine   • response to monoamine   • cell communication   • response to catecholamine   • adenylate cyclase-activating dopamine receptor signaling pathway   • cellular response to catecholamine stimulus   • signal transduction   • regulation of biological process   • G protein-coupled dopamine receptor signaling pathway   • biological regulation   • response to oxygen-containing compound   • response to nitrogen compound   • adenylate cyclase-activating G protein-coupled receptor signaling pathway   • cellular response to oxygen-containing compound   • cellular response to chemical stimulus   • cellular response to monoamine stimulus   • response to chemical   • adenylate cyclase-modulating G protein-coupled receptor signaling pathway   • G protein-coupled receptor signaling pathway   • response to ketone   • response to prostaglandin   • response to lipid   • response to endogenous stimulus   • response to alcohol   • cellular response to prostaglandin stimulus   • cellular response to endogenous stimulus   • cellular response to prostaglandin E stimulus   • cellular response to alcohol   • response to hormone   • cellular response to lipid   • response to prostaglandin E   • cellular response to ketone   • cellular response to hormone stimulus   • cellular anatomical structure   • membrane   • protein-containing complex   • extrinsic component of plasma membrane   • catalytic complex   • plasma membrane protein complex   • cytoplasmic side of membrane   • plasma membrane   • membrane protein complex   • heterotrimeric G-protein complex   • side of membrane   • cell periphery   • cytoplasmic side of plasma membrane   • GTPase complex
Gene OntologyCellular Component• cellular anatomical structure   • membrane   • protein-containing complex   • extrinsic component of plasma membrane   • catalytic complex   • plasma membrane protein complex   • cytoplasmic side of membrane   • plasma membrane   • membrane protein complex   • heterotrimeric G-protein complex   • side of membrane   • cell periphery   • cytoplasmic side of plasma membrane   • GTPase complex   • extrinsic component of membrane   • extrinsic component of cytoplasmic side of plasma membrane   • extracellular exosome   • membrane-bounded organelle   • extracellular vesicle   • extracellular organelle   • extracellular region   • organelle   • extracellular space   • vesicle   • extracellular membrane-bounded organelle   • synapse   • cell junction   • taste receptor activity   • molecular transducer activity   • bitter taste receptor activity   • transmembrane signaling receptor activity   • signaling receptor activity   • G protein-coupled receptor activity   • cellular response to stimulus   • regulation of biological process   • regulation of cellular process   • response to stimulus   • signaling   • biological regulation   • G protein-coupled receptor signaling pathway   • cellular process   • signal transduction   • cell communication   • multicellular organismal process   • system process   • nervous system process   • detection of chemical stimulus involved in sensory perception of bitter taste   • detection of chemical stimulus involved in sensory perception of taste   • detection of stimulus   • sensory perception of chemical stimulus   • sensory perception   • sensory perception of taste   • response to chemical   • detection of chemical stimulus   • sensory perception of bitter taste   • detection of stimulus involved in sensory perception   • detection of chemical stimulus involved in sensory perception   • cell surface   • external side of plasma membrane   • intracellular anatomical structure   • Golgi apparatus subcompartment   • Golgi apparatus   • organelle subcompartment   • intracellular membrane-bounded organelle   • endomembrane system   • intracellular organelle   • trans-Golgi network   • cytoplasm   • endoplasmic reticulum   • protein binding   • binding   • enzyme binding   • GTPase binding   • protein-containing complex binding   • pyrophosphatase activity   • GTPase activity   • ribonucleoside triphosphate phosphatase activity   • hydrolase activity, acting on acid anhydrides, in phosphorus-containing anhydrides   • hydrolase activity   • hydrolase activity, acting on acid anhydrides   • catalytic activity   • signaling receptor complex adaptor activity   • protein-macromolecule adaptor activity   • molecular adaptor activity   • signaling adaptor activity   • developmental process   • sensory organ development   • eye development   • animal organ development   • retina development in camera-type eye   • visual system development   • multicellular organism development   • camera-type eye development   • anatomical structure development   • sensory system development   • system development   • cell population proliferation   • response to ketone   • response to prostaglandin   • response to lipid   • response to endogenous stimulus   • response to alcohol   • cellular response to prostaglandin stimulus   • response to oxygen-containing compound   • cellular response to oxygen-containing compound   • cellular response to endogenous stimulus   • cellular response to prostaglandin E stimulus   • cellular response to chemical stimulus   • cellular response to alcohol   • response to hormone   • cellular response to lipid   • response to prostaglandin E   • cellular response to ketone   • cellular response to hormone stimulus   • small GTPase-mediated signal transduction   • Ras protein signal transduction   • intracellular signal transduction   • intracellular signaling cassette   • phospholipase C-activating G protein-coupled receptor signaling pathway   • cellular response to nitrogen compound   • response to dopamine   • cellular response to dopamine   • response to monoamine   • response to catecholamine   • adenylate cyclase-activating dopamine receptor signaling pathway   • cellular response to catecholamine stimulus   • G protein-coupled dopamine receptor signaling pathway   • response to nitrogen compound   • adenylate cyclase-activating G protein-coupled receptor signaling pathway   • cellular response to monoamine stimulus   • adenylate cyclase-modulating G protein-coupled receptor signaling pathway   • synaptic signaling   • cellular response to acetylcholine   • cell-cell signaling   • acetylcholine receptor signaling pathway   • postsynaptic signal transduction   • G protein-coupled acetylcholine receptor signaling pathway   • response to acetylcholine   • non-motile cilium   • 9+0 non-motile cilium   • cilium   • neuron projection   • photoreceptor disc membrane   • photoreceptor outer segment   • plasma membrane bounded cell projection   • cell projection   • photoreceptor cell cilium   • organelle membrane   • cytosol   • vacuolar membrane   • lytic vacuole   • vacuole   • lytic vacuole membrane   • bounding membrane of organelle   • lysosomal membrane   • lysosome   • guanyl nucleotide binding   • GTP binding   • nucleotide binding   • guanyl ribonucleotide binding   • purine ribonucleotide binding   • purine ribonucleoside triphosphate binding   • nucleoside phosphate binding   • ion binding   • purine nucleotide binding   • anion binding   • heterocyclic compound binding   • carbohydrate derivative binding   • ribonucleotide binding   • small molecule binding   • G-protein beta/gamma-subunit complex binding   • signaling receptor binding   • G protein-coupled receptor binding   • cation binding   • metal ion binding   • positive regulation of cell population proliferation   • positive regulation of biological process   • positive regulation of neural precursor cell proliferation   • regulation of cell population proliferation   • neural precursor cell proliferation   • positive regulation of cellular process   • regulation of neural precursor cell proliferation   • reactive oxygen species metabolic process   • regulation of superoxide metabolic process   • positive regulation of reactive oxygen species metabolic process   • superoxide metabolic process   • positive regulation of metabolic process   • superoxide anion generation   • metabolic process   • positive regulation of superoxide anion generation   • regulation of superoxide anion generation   • regulation of metabolic process   • regulation of reactive oxygen species metabolic process   • regulation of calcium ion transport   • regulation of localization   • transport   • regulation of transport   • regulation of monoatomic ion transport   • establishment of localization   • metal ion transport   • calcium ion transport   • localization   • monoatomic ion transport   • regulation of metal ion transport   • monoatomic cation transport   • positive regulation of cell communication   • positive regulation of signal transduction   • regulation of signal transduction   • positive regulation of response to stimulus   • positive regulation of ERK1 and ERK2 cascade   • regulation of intracellular signal transduction   • regulation of signaling   • positive regulation of MAPK cascade   • positive regulation of intracellular signal transduction   • regulation of MAPK cascade   • regulation of response to stimulus   • MAPK cascade   • regulation of cell communication   • ERK1 and ERK2 cascade   • regulation of ERK1 and ERK2 cascade   • positive regulation of signaling   • negative regulation of signaling   • negative regulation of biological process   • negative regulation of G protein-coupled receptor signaling pathway   • negative regulation of cell communication   • negative regulation of adenylate cyclase-activating adrenergic receptor signaling pathway   • adrenergic receptor signaling pathway   • negative regulation of cellular process   • regulation of G protein-coupled receptor signaling pathway   • adenylate cyclase-activating adrenergic receptor signaling pathway   • negative regulation of response to stimulus   • negative regulation of signal transduction   • negative regulation of adenylate cyclase-activating G protein-coupled receptor signaling pathway   • regulation of adenylate cyclase-activating G protein-coupled receptor signaling pathway   • cell division   • regulation of body fluid levels   • renal system process   • positive regulation of urine volume   • regulation of urine volume   • regulation of biological quality   • regulation of vascular associated smooth muscle cell proliferation   • positive regulation of vascular associated smooth muscle cell proliferation   • regulation of smooth muscle cell proliferation   • smooth muscle cell proliferation   • positive regulation of smooth muscle cell proliferation   • muscle cell proliferation   • vascular associated smooth muscle cell proliferation   • gamma-aminobutyric acid signaling pathway   • purinergic nucleotide receptor signaling pathway   • cell surface receptor signaling pathway   • G protein-coupled purinergic receptor signaling pathway   • G protein-coupled adenosine receptor signaling pathway   • regulation of molecular function   • regulation of adenylate cyclase activity   • regulation of catalytic activity   • negative regulation of molecular function   • negative regulation of catalytic activity   • negative regulation of adenylate cyclase activity   • regulated exocytosis   • regulation of calcium ion-dependent exocytosis   • negative regulation of transport   • negative regulation of regulated secretory pathway   • vesicle-mediated transport   • regulation of regulated secretory pathway   • secretion by cell   • regulation of secretion by cell   • negative regulation of secretion   • negative regulation of exocytosis   • negative regulation of secretion by cell   • calcium-ion regulated exocytosis   • secretion   • negative regulation of calcium ion-dependent exocytosis   • export from cell   • regulation of vesicle-mediated transport   • regulation of secretion   • exocytosis   • regulation of exocytosis   • regulation of programmed cell death   • negative regulation of apoptotic signaling pathway   • negative regulation of programmed cell death   • regulation of apoptotic process   • cell death   • apoptotic signaling pathway   • negative regulation of apoptotic process   • apoptotic process   • programmed cell death   • regulation of apoptotic signaling pathway   • positive regulation of locomotion   • regulation of cell motility   • positive regulation of cell migration   • regulation of locomotion   • positive regulation of cell motility   • regulation of cell migration   • cell migration   • cell motility   • locomotion   • adenylate cyclase-inhibiting G protein-coupled receptor signaling pathway   • trans-synaptic signaling   • modulation of chemical synaptic transmission   • negative regulation of synaptic transmission   • chemical synaptic transmission   • regulation of trans-synaptic signaling   • anterograde trans-synaptic signaling   • response to nutrient levels   • response to nutrient   • midbody   • dense core granule   • intracellular vesicle   • cytoplasmic vesicle   • secretory granule   • secretory vesicle   • neuronal dense core vesicle   • centrosome   • microtubule organizing center   • cytoskeleton   • membraneless organelle   • intracellular membraneless organelle   • microtubule cytoskeleton   • somatodendritic compartment   • dendrite   • dendritic tree   • nucleus   • membrane-enclosed lumen   • intracellular organelle lumen   • nucleoplasm   • organelle lumen   • nuclear lumen   • neuron to neuron synapse   • hippocampal mossy fiber to CA3 synapse   • cell body   • ciliary basal body
SCOP2Domain Identifier• Transducin (heterotrimeric G protein), gamma chain
SCOP2Family Identifier• Transducin (heterotrimeric G protein), gamma chain
Membrane Protein Annotations-• Orientations of Proteins in Membranes database (OPM)   • Protein Data Bank of Transmembrane Proteins (PDBTM)   • MemProtMD


Details about the values in these tables can be found in the corresponding documentation page .
CodeSA0
PDB ResiduesL:L:?1
Environment DetailsOpen EMBL-EBI Page
CodeSA0
NameSalicin
SynonymsD-(-)-salicin
Identifier
FormulaC13 H18 O7
Molecular Weight286.278
SMILES
PubChem439503
Formal Charge0
Total Atoms38
Total Chiral Atoms5
Total Bonds39
Total Aromatic Bonds6

PDBsumOpen PDBsum Page
ChainA
ProteinG Protein α Sub unit
UniProtP04899
Sequence
>9K6L_Chain_A
TVSAEDKAA AERSKMIDK NLREDGEKA AREVKLLLL GAGESGKTI 
VKQMKIITG IVETHFTFK DLHFKMFDV GQRSERKKW IHCFEGVTA 
IIFCVALSA YDLVLAEDE EMNRMHESM KLFDSICNN KWFTDTSII 
LFLNKKDLF EEKITHSPL TICFPEYTG ANKYDEAAS YIQSKFEDL 
NKRKDTKEI YTHFTCTDT KNVQFVFDA VTDVIIKNN LKDCGLFNA 
S


Click on each residue to open a popup with some information about it.

ConSurf Conservation Grade (See documentation): 

 n/a   1    2    3    4    5    6    7    8    9  

ChainB
ProteinG Protein β Sub unit
UniProtP62873
Sequence
>9K6L_Chain_B
ELDQLRQEA EQLKNQIRD ARKACADAT LSQITNNID PVGRIQMRT 
RRTLRGHLA KIYAMHWGT DSRLLVSAS QDGKLIIWD SYTTNKVHA 
IPLRSSWVM TCAYAPSGN YVACGGLDN ICSIYNLKT REGNVRVSR 
ELAGHTGYL SCCRFLDDN QIVTSSGDT TCALWDIET GQQTTTFTG 
HTGDVMSLS LAPDTRLFV SGACDASAK LWDVREGMC RQTFTGHES 
DINAICFFP NGNAFATGS DDATCRLFD LRADQELMT YSHDNIICG 
ITSVSFSKS GRLLLAGYD DFNCNVWDA LKADRAGVL AGHDNRVSC 
LGVTDDGMA VATGSWDSF LKIWN


Click on each residue to open a popup with some information about it.

ConSurf Conservation Grade (See documentation): 

 n/a   1    2    3    4    5    6    7    8    9  

ChainG
ProteinG Protein γ Sub unit
UniProtP59768
Sequence
>9K6L_Chain_G
TASIAQARK LVEQLKMEA NIDRIKVSK AAADLMAYC EAHAKEDPL 
LTPVPASEN PFR


Click on each residue to open a popup with some information about it.

ConSurf Conservation Grade (See documentation): 

 n/a   1    2    3    4    5    6    7    8    9  

ChainR
ProteinReceptor
UniProtQ9NYV7
Sequence
>9K6L_Chain_R
IPIQLTVFF MIIYVLESL TIIVQSSLI VAVLGREWL QVRRLMPVD 
MILISLGIS RFCLQWASM LNNFCSYFN LNYVLCNLT ITWEFFNIL 
TFWLNSLLT VFYCIKVSS FTHHIFLWL RWRILRLFP WILLGLMIT 
CVTIIPSAI GNYIQIQLL ENFHQYQFQ AHTVALVIP FILFLASTI 
FLMASLTKQ IQHHSTGHC NPSMKARFT ALRSLAVLF IVFTSYFLT 
ILITIIGTL FDKRCWLWV WEAFVYAFI LMHSTSLML SSPTLKRIL 
C


Click on each residue to open a popup with some information about it.

ConSurf Conservation Grade (See documentation): 

 n/a   1    2    3    4    5    6    7    8    9  




This receptor, from the same or other species and bound to the same or other ligands, is also present in the following networks:
Show PDB Class SubFamily Type SubType Species Orthosteric Ligand Other Ligand(s) Protein Partners Resolution Date DOI
9K6LT2SensoryTaste2TAS2R16Homo sapiensSalicin-Gi2/β1/γ22.772025-04-02doi.org/10.1016/j.celrep.2025.115604
9K6L (No Gprot) T2SensoryTaste2TAS2R16Homo sapiensSalicin-2.772025-04-02doi.org/10.1016/j.celrep.2025.115604
9KPDT2SensoryTaste2TAS2R16Homo sapiensSalicin-chim(Gs-CtGt3)/β1/γ22.842025-04-02doi.org/10.1016/j.celrep.2025.115604
9KPD (No Gprot) T2SensoryTaste2TAS2R16Homo sapiensSalicin-2.842025-04-02doi.org/10.1016/j.celrep.2025.115604
9KPET2SensoryTaste2TAS2R16Homo sapiensSalicin-Gi1/β1/γ23.352025-04-02doi.org/10.1016/j.celrep.2025.115604
9KPE (No Gprot) T2SensoryTaste2TAS2R16Homo sapiensSalicin-3.352025-04-02doi.org/10.1016/j.celrep.2025.115604
9KPFT2SensoryTaste2TAS2R16Homo sapiensSalicin-Gi1/β1/γ23.152025-04-02doi.org/10.1016/j.celrep.2025.115604
9KPF (No Gprot) T2SensoryTaste2TAS2R16Homo sapiensSalicin-3.152025-04-02doi.org/10.1016/j.celrep.2025.115604




You can download a compressed (zip) file with structure(s), 3D outputs (as PyMol and VMD scripts) and numerical data files (as csv and plain text files).

Download 9K6L.zip



You can click to copy the link of this page to easily come back here later

or use this QR code to link and share this page.



You can also  read or  download a guide explaining the meaning of all files and numerical data.