Color ConSurf Grade
      No Conservation data available
      1
      2
      3
      4
      5
      6
      7
      8
      9

Index: hub id, click on each number to highlight the corresponding hub in the 3D visualization.

Hub: the hub being considered.

Avg Int. Strength: the average interaction strength of all the links of the corresponding hub.

Num Of Links: the number of links of the corresponding hub.

Community: the id of the community the link belong to, otherwise 0.

ConSurf: this column reports the ConSurf conservation grades of each hub.

Index Hub Avg Int. Strength Num Of Links Community ConSurf
1A:A:H41 6.725426
2A:A:F212 8.6425429
3A:A:F219 6.578528
4A:A:M221 4.5425428
5A:A:F222 15.03754187
6A:A:K233 4.8754159
7A:A:W234 6.344509
8A:A:F238 10.1375409
9A:A:Y253 6.08254128
10A:A:N254 6.995129
11A:A:R265 13.8075409
12A:A:F273 5.593336199
13A:A:W277 10.0025196
14A:A:I288 5.29409
15A:A:Y311 5.46254126
16A:A:Y318 7.405406
17A:A:E330 8.23403
18A:A:Y339 5.885403
19A:A:F340 8.444507
20A:A:R342 7.84464
21A:A:F345 7.79408
22A:A:R356 7.5575402
23A:A:Y358 5.34254224
24A:A:Y360 8.425408
25A:A:F363 6.6275465
26A:A:T364 7.70254209
27A:A:F376 6.416528
28A:A:I383 3.78428
29A:A:Q384 7.12754236
30A:A:R385 9.84254225
31A:A:H387 4.6525428
32A:A:L388 4.3025408
33A:A:L393 3.6725408
34B:B:L14 3.7575408
35B:B:R22 6.47254166
36B:B:L51 7.102599
37B:B:H54 8.46833699
38B:B:Y59 9.644548
39B:B:W63 5.55429707
40B:B:D76 8.17754149
41B:B:W82 9.75333699
42B:B:D83 8.5854138
43B:B:K89 5.93599
44B:B:L95 5.45254178
45B:B:W99 11.7925409
46B:B:M101 4.672549
47B:B:Y105 4.255406
48B:B:C114 4.3745178
49B:B:Y124 6.4745176
50B:B:Y145 6.54548
51B:B:F151 4.894509
52B:B:L152 5.0975403
53B:B:T159 6.3885109
54B:B:C166 4.0475458
55B:B:L168 3.925406
56B:B:W169 8.3856108
57B:B:Q176 6.6854104
58B:B:F180 8.0775457
59B:B:H183 6.486559
60B:B:D186 5.7675449
61B:B:V187 4.3775459
62B:B:F199 7.225459
63B:B:D205 6.608559
64B:B:K209 6.984556
65B:B:W211 8.45333658
66B:B:H225 9.194579
67B:B:D228 8.51754159
68B:B:I232 5.085478
69B:B:F234 3.964505
70B:B:F235 6.594276
71B:B:P236 5.66754277
72B:B:F241 8.294576
73B:B:T243 7.095478
74B:B:T249 8.1475406
75B:B:R251 10.35408
76B:B:F253 8.0025476
77B:B:D254 5.2425409
78B:B:R256 10.295409
79B:B:D258 9.44167
80B:B:M262 4.285404
81B:B:Y264 4.99605
82B:B:F278 6.97754277
83B:B:Y289 6.93833687
84B:B:N295 6.404586
85B:B:V296 4.185405
86B:B:W297 4.896588
87B:B:L300 7.5075406
88B:B:K301 4.37405
89B:B:L308 6.395437
90B:B:H311 8.338539
91B:B:R314 7.956548
92B:B:M325 5.8075405
93B:B:T329 6.1675438
94B:B:W332 10649
95B:B:D333 7.0975439
96B:B:K337 6.7825436
97B:B:W339 6.17167639
98G:G:R27 5.115168
99G:G:P60 7.46254249
100G:G:F61 5.9656248
101L:L:?1 10.6941010
102R:R:N51 5.6775409
103R:R:L53 4.49406
104R:R:F61 10.146506
105R:R:E62 7.1275436
106R:R:R63 6.035436
107R:R:F71 4.5508
108R:R:D79 6.994519
109R:R:M82 5.158507
110R:R:V86 4.25407
111R:R:W99 8.775287
112R:R:Y132 7.4975408
113R:R:F139 7.05667626
114R:R:F166 5.2765294
115R:R:Y174 7.1975405
116R:R:H178 3.94254302
117R:R:F194 4.4654301
118R:R:Y199 6.248506
119R:R:F208 10.884518
120R:R:Y209 5.794515
121R:R:Y219 4.648519
122R:R:F223 4.712506
123R:R:E225 7.74235
124R:R:F240 5.94564
125R:R:F282 4.82167619
126R:R:W286 7.32857718
127R:R:L287 4.4025406
128R:R:F289 10.3067616
129R:R:F290 9.198517
130R:R:H296 6.1325413
131R:R:I303 4.988513
132R:R:W313 8.5275405
133R:R:Y316 8.37516
134R:R:N318 7.3475419
135R:R:N322 8.53419
136R:R:Y326 5.102519
137R:R:F332 6.293758119
   

Color ConSurf Grade
      No Conservation data available
      1
      2
      3
      4
      5
      6
      7
      8
      9

Index: link id, click on each number to highlight the corresponding link in the 3D visualization.

Node1 Node2: the two nodes of the corresponding link.

Recurrence: the relative Recurrence in the pool of shortest paths.

Int. Strength: the interaction strength between the two nodes.

Hub1?, Hub2?: "Yes" if the corresponding node has more than 3 links, otherwise "No".

Community: the id of the community the link belong to, otherwise 0.

ConSurf1, ConSurf2: these columns report the ConSurf conservation grades of the two nodes involved in a link.

Index Node1 Node2 Recurrence Int. Strength Hub1? Hub2? Community ConSurf1 ConSurf2
1B:B:Q75 B:B:W99 24.59486.57NoYes099
2B:B:K57 B:B:Q75 12.09084.07NoNo499
3B:B:K57 B:B:W332 11.95122.05NoYes499
4B:B:S316 B:B:W332 34.644.94NoYes099
5B:B:C317 B:B:S316 34.19813.44NoNo079
6B:B:C317 B:B:M61 33.75614.86NoNo076
7B:B:M61 B:B:W63 33.31416.98NoYes067
8B:B:Q75 B:B:Y59 12.377416.91NoYes498
9B:B:W332 B:B:Y59 25.17937.72YesYes498
10A:A:R380 R:R:F139 10.16626.41NoYes076
11A:A:Q384 A:A:R380 17.09745.84YesNo067
12A:A:Q384 R:R:Q229 95.377812.8YesNo067
13A:A:R385 R:R:Q229 95.22779.35YesNo057
14A:A:R385 A:A:Y358 97.79266.17YesYes2254
15A:A:Y358 R:R:E237 98.11783.37YesNo043
16A:A:T350 R:R:E237 98.31935.64NoNo043
17A:A:T350 R:R:F240 98.41999.08NoYes044
18A:A:D343 R:R:F240 49.36135.97NoYes634
19A:A:D343 A:A:Y318 49.58486.9NoYes036
20A:A:F340 A:A:Y318 50.668613.41YesYes076
21A:A:F312 A:A:F340 99.93726.43NoYes087
22A:A:F312 A:A:Q267 99.97513.51NoNo084
23A:A:L270 A:A:Q267 1005.32NoNo064
24A:A:F345 A:A:L270 66.405810.96YesNo086
25A:A:F273 A:A:F345 33.57276.43YesYes098
26A:A:F246 A:A:F273 65.83865.36NoYes099
27A:A:F246 A:A:L272 98.49626.09NoNo098
28A:A:L272 A:A:R232 98.24847.29NoNo088
29A:A:R232 A:A:W234 98.125510NoYes089
30A:A:Q227 A:A:W234 55.68564.38NoYes099
31A:A:Q227 B:B:Y145 55.15996.76NoYes098
32B:B:M101 B:B:Y145 18.04717.18YesYes498
33B:B:M101 B:B:Y59 13.66963.59YesYes498
34A:A:R347 R:R:F240 48.76954.28NoYes044
35A:A:E344 A:A:R347 48.80683.49NoNo054
36A:A:E344 A:A:F340 48.84449.33NoYes057
37A:A:I348 A:A:L270 33.6074.28NoNo046
38A:A:F273 A:A:I348 33.55225.02YesNo094
39A:A:F345 A:A:L289 32.81068.53YesNo089
40A:A:F246 A:A:L289 32.78254.87NoNo099
41A:A:F238 A:A:W234 29.67764.01YesYes099
42A:A:F238 B:B:W99 28.815913.03YesYes099
43A:A:L282 A:A:N279 12.65849.61NoNo098
44A:A:N279 A:A:W281 12.51235.65NoNo085
45A:A:W281 B:B:R314 12.23945NoYes458
46B:B:D186 B:B:Y145 38.95328.05YesYes498
47B:B:C204 B:B:D186 38.69424.67NoYes079
48A:A:I235 A:A:L282 12.94784.28NoNo099
49A:A:H387 A:A:I383 13.17643.98YesYes288
50A:A:Q384 R:R:E225 78.77546.37YesYes2365
51A:A:H387 R:R:Y141 12.21666.53YesNo287
52A:A:L388 R:R:I135 77.81847.14YesNo089
53R:R:E225 R:R:I135 78.03266.83YesNo059
54R:R:D130 R:R:Y141 11.99976.9NoNo087
55R:R:D130 R:R:F71 11.00947.17NoYes088
56A:A:L388 A:A:L393 77.49812.77YesYes088
57B:B:C204 B:B:G185 37.53861.96NoNo075
58B:B:D205 B:B:G185 37.24963.35YesNo095
59B:B:D205 B:B:H183 24.82477.56YesYes599
60B:B:H183 B:B:K209 11.08469.17YesYes596
61B:B:D205 B:B:S207 11.37878.83YesNo095
62B:B:K209 B:B:S207 11.08354.59YesNo065
63B:B:H183 B:B:W211 13.00094.23YesYes598
64B:B:K209 B:B:T221 15.636110.51YesNo067
65B:B:T221 G:G:E22 15.33155.64NoNo079
66B:B:I18 G:G:E22 15.18752.73NoNo079
67B:B:I18 B:B:R22 14.87896.26NoYes076
68B:B:D258 B:B:R22 12.71269.53YesYes1676
69B:B:D290 B:B:R314 12.86559.53NoYes068
70B:B:C271 B:B:D290 12.55626.22NoNo056
71B:B:C271 B:B:Y289 11.77364.03NoYes857
72A:A:L393 R:R:L275 76.11722.77YesNo088
73R:R:L275 R:R:Y219 75.49934.69NoYes089
74R:R:M215 R:R:Y219 74.92383.59NoYes189
75R:R:F282 R:R:M215 74.85934.98YesNo198
76R:R:F282 R:R:N318 13.1373.62YesYes199
77R:R:N318 R:R:N322 13.49149.54YesYes199
78R:R:D79 R:R:N322 12.99626.73YesYes199
79R:R:D79 R:R:N51 12.60568.08YesYes099
80R:R:N51 R:R:P323 11.25874.89YesNo099
81R:R:P323 R:R:V54 11.12373.53NoNo099
82R:R:C327 R:R:V54 10.58315.12NoNo079
83R:R:C327 R:R:F332 10.447813.97NoYes079
84B:B:D258 B:B:Q220 12.09811.75YesNo077
85R:R:F208 R:R:F282 15.48826.43YesYes189
86R:R:F208 R:R:F290 13.434617.15YesYes187
87L:L:?1 R:R:F290 26.76075.9YesYes107
88R:R:F282 R:R:W286 45.50264.01YesYes198
89R:R:F290 R:R:W286 13.58657.02YesYes178
90R:R:V117 R:R:W286 13.56829.81NoYes068
91L:L:?1 R:R:V117 13.439710.1YesNo006
92R:R:F289 R:R:W286 18.78187.02YesYes168
93L:L:?1 R:R:F289 13.533710.61YesYes106
94L:L:?1 R:R:V114 15.791210.1YesNo005
95L:L:?1 R:R:S203 17.855310.18YesNo005
96R:R:V114 R:R:Y199 15.26773.79NoYes056
97R:R:Y174 R:R:Y199 23.20623.97YesYes056
98R:R:S203 R:R:Y199 15.27338.9NoYes056
99R:R:Y174 R:R:Y185 17.8794.96YesNo051
100R:R:A181 R:R:Y185 15.77682.67NoNo041
101A:A:I235 A:A:W234 13.09623.52NoYes099
Download PSN data

2D representation of the global metapath, ligand(s) interactions and
histograms of path distribution according to several parameters
(click on the image to enlarge it 🔍):

A 2D representation of the global communication in the network.

ConSurf Conservation Grade (See documentation): 

 n/a   1    2    3    4    5    6    7    8    9  

Number of shortest communication paths as a function of the average residue correlation.

Number of shortest communication paths as a function of the average interaction strength of their links.

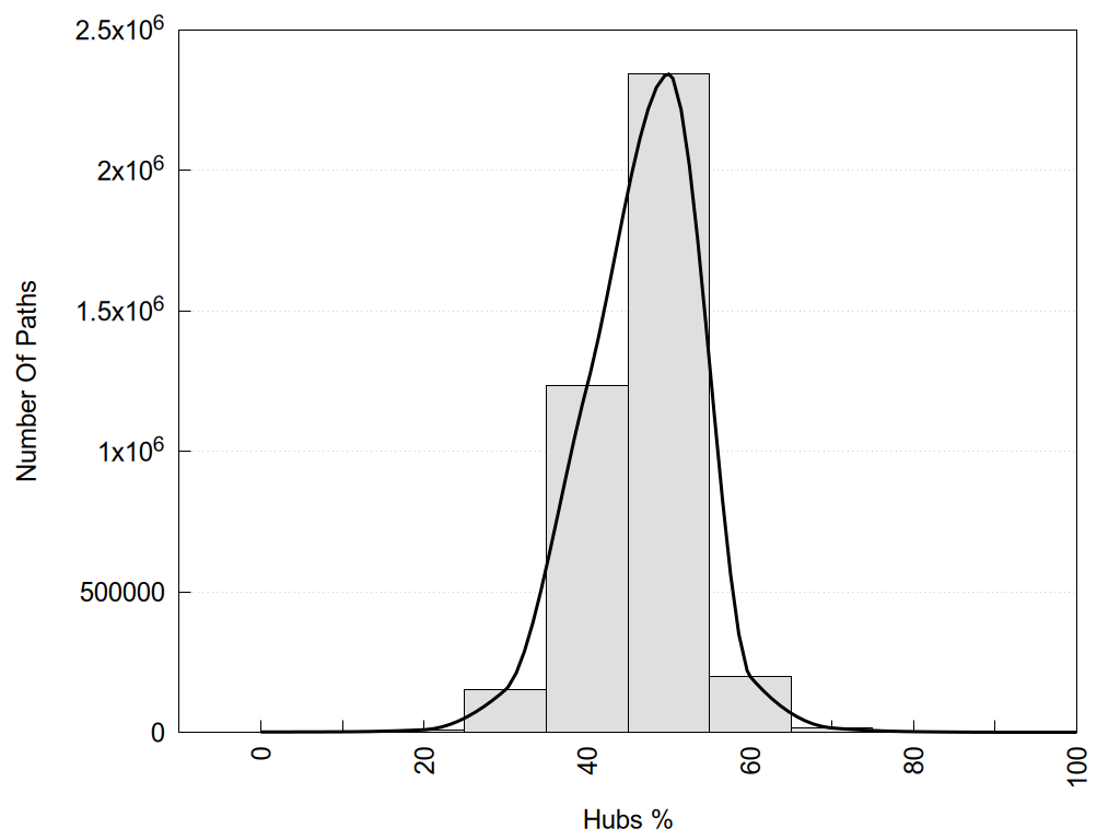
Number of shortest communication paths as a function of the % of hub nodes in each path.

Number of shortest communication paths as a function of the number of nodes in each path.

Number of shortest communication paths as a function of the % of correlated nodes in each path.


2D representation of the interactions of this orthosteric/allosteric ligand.


Links and nodes colored according to ConSurf Conservation Grade (See documentation): 

 n/a   1    2    3    4    5    6    7    8    9  

Node1 Node2 LinkStrength Comm IsNode1Hub? IsNode2Hub? Node1Cons Node2Cons Node1Shell Node2Shell
L:L:?1 R:R:D113 18.4 1 Yes No 0 7 0 1
L:L:?1 R:R:V114 10.1 1 Yes No 0 5 0 1
L:L:?1 R:R:V117 10.1 1 Yes No 0 6 0 1
L:L:?1 R:R:F193 15.33 1 Yes No 0 4 0 1
L:L:?1 R:R:S203 10.18 1 Yes No 0 5 0 1
L:L:?1 R:R:S207 5.82 1 Yes No 0 5 0 1
L:L:?1 R:R:F289 10.61 1 Yes Yes 0 6 0 1
L:L:?1 R:R:F290 5.9 1 Yes Yes 0 7 0 1
L:L:?1 R:R:N312 15.96 1 Yes No 0 5 0 1
L:L:?1 R:R:Y316 4.54 1 Yes Yes 0 6 0 1
R:R:M82 R:R:V86 4.56 0 Yes Yes 7 7 2 2
R:R:M82 R:R:Y316 3.59 0 Yes Yes 7 6 2 1
R:R:D113 R:R:V86 5.84 1 No Yes 7 7 1 2
R:R:D113 R:R:Y316 12.64 1 No Yes 7 6 1 1
R:R:V114 R:R:Y199 3.79 0 No Yes 5 6 1 2
R:R:V117 R:R:W286 9.81 0 No Yes 6 8 1 2
R:R:S207 R:R:T118 7.99 0 No No 5 6 1 2
R:R:F193 R:R:T195 11.67 0 No No 4 3 1 2
R:R:T195 R:R:Y199 6.24 0 No Yes 3 6 2 2
R:R:S203 R:R:Y199 8.9 0 No Yes 5 6 1 2
R:R:F208 R:R:Y209 11.35 1 Yes Yes 8 5 2 2
R:R:F208 R:R:F290 17.15 1 Yes Yes 8 7 2 1
R:R:F290 R:R:Y209 4.13 1 Yes Yes 7 5 1 2
R:R:F289 R:R:W286 7.02 1 Yes Yes 6 8 1 2
R:R:F290 R:R:W286 7.02 1 Yes Yes 7 8 1 2
R:R:F289 R:R:F290 11.79 1 Yes Yes 6 7 1 1
R:R:F289 R:R:N293 8.46 1 Yes No 6 5 1 2
R:R:F289 R:R:Y308 8.25 1 Yes No 6 5 1 2
R:R:F289 R:R:N312 15.71 1 Yes No 6 5 1 1
R:R:N293 R:R:Y308 10.47 1 No No 5 5 2 2
R:R:N312 R:R:Y316 10.47 1 No Yes 5 6 1 1
R:R:W313 R:R:Y316 10.61 0 Yes Yes 5 6 2 1
R:R:F193 R:R:T110 2.59 0 No No 4 4 1 2
R:R:S203 R:R:T164 1.6 0 No No 5 5 1 2

Location and physicochemical properties of the interaction partners of this ligand

Interactions of this ligand

Similarities between the interactions of this ligand and those of other networks

ShowSimilarityNetwork TypeNameLigandDescription
100.00Single7DHISalbutamol7DHI-β2-Salbutamol-Gs/β1/γ2
100.00Single8GE1Constrained Epinephrine8GE1-β2-Constrained Epinephrine-Gs/β1/γ2
100.00Single8GE4Constrained Epinephrine8GE4-β2-Constrained Epinephrine-Gs/β1/γ2
100.00Single8GE6Constrained Epinephrine8GE6-β2-Constrained Epinephrine-Gs/β1/γ2
100.00Single8GE7Constrained Epinephrine8GE7-β2-Constrained Epinephrine-Gs/β1/γ2
100.00Single8GE8Constrained Epinephrine8GE8-β2-Constrained Epinephrine-Gs/β1/γ2
100.00Single8GEFConstrained Epinephrine8GEF-β2-Constrained Epinephrine-Gs/β1/γ2
100.00Single8GGVConstrained Epinephrine8GGV-β2-Constrained Epinephrine
90.91Single6H7MSalbutamol6H7M-β1-Salbutamol
90.91Single7BTSEpinephrine7BTS-β1-Epinephrine
90.91Single7BU6Norepinephrine7BU6-β1-Norepinephrine
90.91Single8GE2Constrained Epinephrine8GE2-β2-Constrained Epinephrine-Gs/β1/γ1
90.91Single8GE3Constrained Epinephrine8GE3-β2-Constrained Epinephrine-Gs/β1/γ2
90.91Single8GE9Constrained Epinephrine8GE9-β2-Constrained Epinephrine-Gs/β1/γ2
90.91Single8GECConstrained Epinephrine8GEC-β2-Constrained Epinephrine-Gs/β1/γ2
90.91Single8GEEConstrained Epinephrine8GEE-β2-Constrained Epinephrine-Gs/β1/γ2
90.91Single8GFVConstrained Epinephrine8GFV-β2-Constrained Epinephrine-GTP-Gs/β1/γ2
90.91Single8GFWConstrained Epinephrine8GFW-β2-Constrained Epinephrine-GTP-Gs/β1/γ2
90.91Single8GFXConstrained Epinephrine8GFX-β2-Constrained Epinephrine-GTP-Gs/β1/γ2
90.91Single8GFZConstrained Epinephrine8GFZ-β2-Constrained Epinephrine-GTP-Gs/β1/γ2
90.91Single8GG0Constrained Epinephrine8GG0-β2-Constrained Epinephrine-GTP-Gs/β1/γ2
90.91Single8GG1Constrained Epinephrine8GG1-β2-Constrained Epinephrine-GTP-Gs/β1/γ2
90.91Single8GG3Constrained Epinephrine8GG3-β2-Constrained Epinephrine-GTP-Gs/β1/γ2
90.91Single8GG4Constrained Epinephrine8GG4-β2-Constrained Epinephrine-GTP-Gs/β1/γ2
90.91Single8GG6Constrained Epinephrine8GG6-β2-Constrained Epinephrine-GTP-Gs/β1/γ2
90.91Single8GG9Constrained Epinephrine8GG9-β2-Constrained Epinephrine-GTP-Gs/β1/γ2
90.91Single8GGIConstrained Epinephrine8GGI-β2-Constrained Epinephrine
90.91Single8GGJConstrained Epinephrine8GGJ-β2-Constrained Epinephrine
90.91Single8GGKConstrained Epinephrine8GGK-β2-Constrained Epinephrine
90.91Single8GGNConstrained Epinephrine8GGN-β2-Constrained Epinephrine
90.91Single8GGOConstrained Epinephrine8GGO-β2-Constrained Epinephrine
90.91Single8GGUConstrained Epinephrine8GGU-β2-Constrained Epinephrine
90.91Single8UNQConstrained Epinephrine8UNQ-β2-Constrained Epinephrine-GTP-Gs/β1/γ2
90.91Single8UNYConstrained Epinephrine8UNY-β2-Constrained Epinephrine-GTP-Gs/β1/γ2
90.91Consensusadrenergic_onOrthosteric Ligandalpha_on beta_on
90.91Consensusd5_onOrthosteric Ligand8IRV-D5-Rotigotine-chim(NtGi1-Gs)/β1/γ2
90.91Consensusdopamine_onOrthosteric Ligandd2_on d1_on d3_on d4_on d5_on
90.91Consensusdopamine_on_gpOrthosteric Ligandd2_on_gp d1_on_gp d3_on_gp d4_on_gp d5_on_gp
90.00Single7YMHNorepinephrine7YMH-Alpha1A-Norepinephrine-chim(Gs-CtGq)
90.00Single8GGAConstrained Epinephrine8GGA-β2-Constrained Epinephrine-GTP-Gs/β1/γ2
90.00Single8GGRConstrained Epinephrine8GGR-β2-Constrained Epinephrine
90.00Single8GGWConstrained Epinephrine8GGW-β2-Constrained Epinephrine
90.00Single8GH0Constrained Epinephrine8GH0-β2-Constrained Epinephrine
83.33Single2RH1Carazolol2RH1-β2-Carazolol
83.33Single2Y03Isoprenaline2Y03-β1-Isoprenaline
83.33Single6KUWPubChem 572132346KUW-α2c-PubChem 57213234
83.33Single6PS3Carvedilol6PS3-β2-Carvedilol
83.33Single7BVQCarazolol7BVQ-β1-Carazolol
83.33Single7S0FIsoprenaline7S0F-β1-Isoprenaline-Gi1/β1/γ2
83.33Single7XK9Constrained Isoproterenol7XK9-β2-Constrained Isoproterenol-Na
83.33Single7XKAConstrained Epinephrine7XKA-β2-Constrained Epinephrine
83.33Single8GDZConstrained Epinephrine8GDZ-β2-Constrained Epinephrine-Gs/β1/γ2
83.33Single8GEBConstrained Epinephrine8GEB-β2-Constrained Epinephrine-Gs/β1/γ2
83.33Single8GEGConstrained Epinephrine8GEG-β2-Constrained Epinephrine-Gs/β1/γ2
83.33Single8GFYConstrained Epinephrine8GFY-β2-Constrained Epinephrine-GTP-Gs/β1/γ2
83.33Single8GG2Constrained Epinephrine8GG2-β2-Constrained Epinephrine-GTP-Gs/β1/γ2
83.33Single8GGBConstrained Epinephrine8GGB-β2-Constrained Epinephrine-GTP-Gs/β1/γ2
83.33Single8UNNConstrained Epinephrine8UNN-β2-Constrained Epinephrine-GTP-Gs/β1/γ2
83.33Single8UNPConstrained Epinephrine8UNP-β2-Constrained Epinephrine-GTP-Gs/β1/γ2
83.33Consensusadrenergic_offOrthosteric Ligandalpha_off beta_off
83.33Consensusadrenergic_on_gpOrthosteric Ligandalpha_on_gp beta_on_gp
83.33Consensusalpha2c_offOrthosteric Ligand6KUW-α2c-PubChem 57213234
83.33Consensusamine_offOrthosteric Ligand5ht_off adrenergic_off dopamine_off histamine_off muscarinic_off
83.33Consensusamine_offonOrthosteric Ligandamine_off amine_on
83.33Consensusamine_offon_gpOrthosteric Ligandamine_on_gp amine_off
83.33Consensusamine_onOrthosteric Ligand5ht_on adrenergic_on dopamine_on histamine_on muscarinic_on trace-amine_on
83.33Consensusbeta2_offOrthosteric Ligand2RH1-β2-Carazolol 6PS3-β2-Carvedilol 6PS5-β2-Propranolol 3D4S-β2-Timolol 3NY8-β2-ICI118-551 3NY9-β2-PubChem 913103 6PRZ-β2-Alprenolol
83.33Consensusbeta_offOrthosteric Ligandbeta1_off beta2_off
83.33Consensusd2_onOrthosteric Ligand7JVR-D2-Bromoergocryptine-Gi1/β1/γ2 8IRS-D2-Rotigotine-Gi1/β1/γ2
83.33Consensusgi_adrenergicOrthosteric Ligand7EJ0-α2a-Norepinephrine-Go/β1/γ2 7EJK-α2a-Oxymetazoline-Go/β1/γ2 7W7E-α2a-PubChem 164946676-Go/β1/γ2 7W6P-α2a-N-pyridin-4-ylisoquinolin-4-amine-Go/β1/γ2 7EJ8-α2a-Brimonidine-Go/β1/γ2 6K42-α2b-Dexmedetomidine-Gi1/β1/γ2 7EJA-α2a-Dexmedetomidine-Go/β1/γ2 7S0F-β1-Isoprenaline-Gi1/β1/γ2
83.33Consensusgs_amineOrthosteric Ligandgs_5ht gs_adrenergic gs_dopamine gs_histamine gs_trace-amine
83.33Consensusta1_onOrthosteric Ligand8W87-TA1-METH-chim(NtGi1L-Gs)/β1/γ2 8W89-TA1-2-Phenylethylamine-chim(NtGi1L-Gs)/β1/γ2 8JLP-TA1-Ralmitaront-Gs/β1/γ2 8W8A-TA1-RO5256390-chim(NtGi1L-Gs)/β1/γ2 8W88-TA1-SEP-363856-Gs/β1/γ2 8JLO-TA1-Ulotaront-Gs/β1/γ2 8JLR-TA1-A77636-chim(NtGi1-Gs)/β1/γ2 8JSO-TA1-AMPH-chim(NtGi1-Gs)/β1/γ2 8ZSP-TA1-LSD-chim(NtGi1L-Gs)/β1/γ2
83.33Consensustrace-amine_onOrthosteric Ligandta1_on
81.82Single4LDOEpinephrine4LDO-β2-Epinephrine
81.82Single6PS0Carazolol6PS0-β2-Carazolol
81.82Single6PS4ICI118-5516PS4-β2-ICI118-551
81.82Single6PS5Propranolol6PS5-β2-Propranolol
81.82Single7CMUPramipexole7CMU-D3-Pramipexole-Gi1/β1/γ2
81.82Single7RANPubChem 1645758477RAN-5-HT2A-PubChem 164575847-chim(NtGi2L-Gs-CtGq)/β1/γ2
81.82Single8GEAConstrained Epinephrine8GEA-β2-Constrained Epinephrine-Gs/β1/γ2
81.82Single8GEDConstrained Epinephrine8GED-β2-Constrained Epinephrine-Gs/β1/γ2
81.82Single8GG5Constrained Epinephrine8GG5-β2-Constrained Epinephrine-GTP-Gs/β1/γ2
81.82Single8GG7Constrained Epinephrine8GG7-β2-Constrained Epinephrine-GTP-Gs/β1/γ2
81.82Single8GG8Constrained Epinephrine8GG8-β2-Constrained Epinephrine-GTP-Gs/β1/γ2
81.82Single8GGLConstrained Epinephrine8GGL-β2-Constrained Epinephrine
81.82Single8GGMConstrained Epinephrine8GGM-β2-Constrained Epinephrine
81.82Single8GGPConstrained Epinephrine8GGP-β2-Constrained Epinephrine
81.82Single8GGQConstrained Epinephrine8GGQ-β2-Constrained Epinephrine
81.82Single8GGSConstrained Epinephrine8GGS-β2-Constrained Epinephrine
81.82Single8GGTConstrained Epinephrine8GGT-β2-Constrained Epinephrine
81.82Single8GGXConstrained Epinephrine8GGX-β2-Constrained Epinephrine
81.82Single8JLNT1AM8JLN-TA1-T1AM-Gs/β1/γ2
81.82Single8THKA-616038THK-Alpha1A-A-61603-chim(NtGi2L-Gs-CtGq)/β1/γ2
81.82Single8UNLConstrained Epinephrine8UNL-β2-Constrained Epinephrine-GTP-Gs/β1/γ2
81.82Single8UNMConstrained Epinephrine8UNM-β2-Constrained Epinephrine-GTP-Gs/β1/γ2
81.82Single8UNOConstrained Epinephrine8UNO-β2-Constrained Epinephrine-GTP-Gs/β1/γ2
81.82Single8UNWConstrained Epinephrine8UNW-β2-Constrained Epinephrine-GTP-Gs/β1/γ2
81.82Single9AS5Mescaline9AS5-5-HT2A-Mescaline
81.82Single9AS6Mescaline9AS6-5-HT2A-Mescaline-chim(NtGi1-Gs-CtGq)/β1/γ2
81.82Single9CBLEpinephrine9CBL-α2a-Epinephrine-Gi1/β1/γ2
81.82Single9L84Epinephrine9L84-β1-Epinephrine-Atazanavir-Gs/β1/γ2
81.82Single9VNFPindolol9VNF-5-HT1A-Pindolol-Go/β1/γ2
81.82Consensus5ht_on_gpOrthosteric Ligand5ht1_on_gp 5ht2_on_gp 5ht4_on_gp 5ht5_on_gp 5ht6_on_gp 5ht7_on_gp
81.82Consensusd3_onOrthosteric Ligand7CMV-D3-PD128907-Gi1/β1/γ2 8IRT-D3-Rotigotine-Gi1/β1/γ2 7CMU-D3-Pramipexole-Gi1/β1/γ2
81.82Consensusd3_on_gpOrthosteric Ligand7CMV-D3-PD128907-Gi1/β1/γ2 8IRT-D3-Rotigotine-Gi1/β1/γ2 7CMU-D3-Pramipexole-Gi1/β1/γ2
80.00Single8GGYConstrained Epinephrine8GGY-β2-Constrained Epinephrine
80.00Single9IJEEpinephrine9IJE-β3-Epinephrine-chim(NtGi1-Gs)/β1/γ2
76.92Single4LDLHydroxybenzyl Isoproterenol4LDL-β2-Hydroxybenzyl Isoproterenol
76.92Single5D5ACarazolol5D5A-β2-Carazolol
76.92Single5D5BCarazolol5D5B-β2-Carazolol
76.92Single6H7JIsoprenaline6H7J-β1-Isoprenaline
76.92Single6N48BI1671076N48-β2-BI167107-PubChem 138454256
76.92Single7JJOIsoprenaline7JJO-β1-Isoprenaline-Gs/β1/γ2
76.92Single7W6PN-pyridin-4-ylisoquinolin-4-amine7W6P-α2a-N-pyridin-4-ylisoquinolin-4-amine-Go/β1/γ2
76.92Single7W7EPubChem 1649466767W7E-α2a-PubChem 164946676-Go/β1/γ2
76.92Single8IRRRotigotine8IRR-D1-Rotigotine-Gs/β1/γ2
76.92Single8IRVRotigotine8IRV-D5-Rotigotine-chim(NtGi1-Gs)/β1/γ2
76.92Single9BS9LSD9BS9-D2-LSD
76.92Single9BSBLSD9BSB-D2-LSD-chim(NtGi1-Go)/β1/γ2
76.92Consensusamine_on_gpOrthosteric Ligand5ht_on_gp adrenergic_on_gp dopamine_on_gp histamine_on_gp muscarinic_on_gp trace-amine_on_gp
76.92Consensusbeta1_offOrthosteric Ligand2VT4-β1-Cyanopindolol 2YCW-β1-Carazolol 2YCZ-β1-Iodocyanopindolol 5A8E-β1-7-Methylcyanopindolol-Na 3ZPQ-β1-PubChem 594590-Na 3ZPR-β1-PubChem 598754-Na
76.92Consensusbeta2_onOrthosteric Ligand7DHI-β2-Salbutamol-Gs/β1/γ2 6NI3-β2-BI167107-Gs/β1/γ2
76.92Consensusbeta2_on_gpOrthosteric Ligand7DHI-β2-Salbutamol-Gs/β1/γ2 6NI3-β2-BI167107-Gs/β1/γ2
76.92Consensusd1_on_gpOrthosteric Ligand7F0T-D1-Dopamine-Gs/β1/γ2 7CKY-D1-PW0464-Gs/β1/γ2 8IRR-D1-Rotigotine-Gs/β1/γ2 7JV5-D1-SKF81297-Gs/β1/γ2 7JVP-D1-SKF83959-Gs/β1/γ2 7X2D-D1-Tavapadon-Gs/β1/γ2 7CKX-D1-A77636-Gs/β1/γ2 7JVQ-D1-Apomorphine-Gs/β1/γ2 7CKW-D1-Fenoldopam-Gs/β1/γ2
76.92Consensusd5_on_gpOrthosteric Ligand8IRV-D5-Rotigotine-chim(NtGi1-Gs)/β1/γ2
76.92Consensusgi_5htOrthosteric Ligand8FYT-5-HT1A-LSD-PtdIns4P-Gi1/β1/γ1 7UM7-5-HT5A-Methylergometrine-chim(NtGi1-Go)/β1/γ2 8UGY-5-HT1E-Mianserin-Gi1/β1/γ1 8W8B-5-HT1A-SEP-363856-Gi1/β1/γ2 7E2Y-5-HT1A-Serotonin-PtdIns4P-Gi1/β1/γ2 7E32-5-HT1D-Serotonin-Gi1/β1/γ2 7XTA-5-HT4-Serotonin-Gi1/β1/γ2 8UH3-5-HT1E-Setiptiline-Gi1/β1/γ1 8JSP-5-HT1A-Ulotaront-Gi1/β1/γ2 8FYL-5-HT1A-Vilazodone-PtdIns4P-Gi1/β1/γ1 8JT6-5-HT1A-(R)-IHCH-7179-PtdIns4P-Gi1/β1/γ2 8FYE-5-HT1A-4-F,5-MeO-PyrT-PtdIns4P-Gi1/β1/γ1 7X5H-5-HT5A-5-CT-Gi1/β1/γ2 8FY8-5-HT1A-5-MeO-DMT-PtdIns4P-Gi1/β1/γ1 7E2Z-5-HT1A-Aripiprazole-PtdIns4P-Gi1/β1/γ2 7E33-5-HT1E-BRL-54443-Gi1/β1/γ2 8FYX-5-HT1A-Buspirone-PtdIns4P-Gi1/β1/γ1 7EXD-5-HT1F-Lasmiditan-Gi1/β1/γ2 7UM6-5-HT5A-Lisuride-chim(NtGi1-Go)/β1/γ2
76.92Consensusgi_dopamineOrthosteric Ligand7JVR-D2-Bromoergocryptine-Gi1/β1/γ2 7CMV-D3-PD128907-Gi1/β1/γ2 7CMU-D3-Pramipexole-Gi1/β1/γ2 8IRS-D2-Rotigotine-Gi1/β1/γ2 8IRT-D3-Rotigotine-Gi1/β1/γ2
76.92Consensusgs_adrenergicOrthosteric Ligand7DHI-β2-Salbutamol-Gs/β1/γ2 7XJI-β3-Solabegron-Gs/β1/γ2 7JJO-β1-Isoprenaline-Gs/β1/γ2 6NI3-β2-BI167107-Gs/β1/γ2 8DCR-β1-Dobutamine-Gs/β1/γ2 7XJH-β3-Isoprenaline-Gs/β1/γ2 7DH5-β3-Mirabegron-Gs/β1/γ2
76.92Consensusgs_dopamineOrthosteric Ligand7F0T-D1-Dopamine-Gs/β1/γ2 7CKW-D1-Fenoldopam-Gs/β1/γ2 7CKY-D1-PW0464-Gs/β1/γ2 8IRV-D5-Rotigotine-chim(NtGi1-Gs)/β1/γ2 8IRR-D1-Rotigotine-Gs/β1/γ2 7JV5-D1-SKF81297-Gs/β1/γ2 7JVP-D1-SKF83959-Gs/β1/γ2 7X2D-D1-Tavapadon-Gs/β1/γ2 7CKX-D1-A77636-Gs/β1/γ2 7JVQ-D1-Apomorphine-Gs/β1/γ2
76.92Consensusta1_on_gpOrthosteric Ligand8W87-TA1-METH-chim(NtGi1L-Gs)/β1/γ2 8W89-TA1-2-Phenylethylamine-chim(NtGi1L-Gs)/β1/γ2 8JLP-TA1-Ralmitaront-Gs/β1/γ2 8W8A-TA1-RO5256390-chim(NtGi1L-Gs)/β1/γ2 8W88-TA1-SEP-363856-Gs/β1/γ2 8JLO-TA1-Ulotaront-Gs/β1/γ2 8JLR-TA1-A77636-chim(NtGi1-Gs)/β1/γ2 8JSO-TA1-AMPH-chim(NtGi1-Gs)/β1/γ2 8ZSP-TA1-LSD-chim(NtGi1L-Gs)/β1/γ2
76.92Consensustrace-amine_on_gpOrthosteric Ligandta1_on_gp
75.00Single2VT4Cyanopindolol2VT4-β1-Cyanopindolol
75.00Single2Y04Salbutamol2Y04-β1-Salbutamol
75.00Single2YCYCyanopindolol2YCY-β1-Cyanopindolol
75.00Single3NY8ICI118-5513NY8-β2-ICI118-551
75.00Single3NYAAlprenolol3NYA-β2-Alprenolol
75.00Single3ZPQPubChem 5945903ZPQ-β1-PubChem 594590-Na
75.00Single4GBRCarazolol4GBR-β2-Carazolol
75.00Single4QKXPubChem 762106284QKX-β2-PubChem 76210628
75.00Single6PRZAlprenolol6PRZ-β2-Alprenolol
75.00Single6PS1Timolol6PS1-β2-Timolol
75.00Single6PS2Alprenolol6PS2-β2-Alprenolol
75.00Single7E32Serotonin7E32-5-HT1D-Serotonin-Gi1/β1/γ2
75.00Single7JVQApomorphine7JVQ-D1-Apomorphine-Gs/β1/γ2
75.00Single7S0GIsoprenaline7S0G-β1-Isoprenaline-chim(Gi1-CtGs)/β1/γ2
75.00Single7WC7Lisuride7WC7-5-HT2A-Lisuride
75.00Single7XJHIsoprenaline7XJH-β3-Isoprenaline-Gs/β1/γ2
75.00Single8FY85-MeO-DMT8FY8-5-HT1A-5-MeO-DMT-PtdIns4P-Gi1/β1/γ1
75.00Single8GEHConstrained Epinephrine8GEH-β2-Constrained Epinephrine-Gs/β1/γ2
75.00Single8IRTRotigotine8IRT-D3-Rotigotine-Gi1/β1/γ2
75.00Single8JJOAlprenolol8JJO-β2-Alprenolol
75.00Single8JLJT1AM8JLJ-TA1-T1AM-chim(NtGi1-Gs)/β1/γ2
75.00Single8PJKST1718PJK-5-HT1A-ST171-Gi1/β1/γ1
75.00Single8UNRConstrained Epinephrine8UNR-β2-Constrained Epinephrine-GTP-Gs/β1/γ2
75.00Single8UNUConstrained Epinephrine8UNU-β2-Constrained Epinephrine-GTP-Gs/β1/γ2
75.00Single8UNVConstrained Epinephrine8UNV-β2-Constrained Epinephrine-GTP-Gs/β1/γ2
75.00Single8UNZConstrained Epinephrine8UNZ-β2-Constrained Epinephrine-GTP-Gs/β1/γ2
75.00Single8UO2Constrained Epinephrine8UO2-β2-Constrained Epinephrine-GTP-Gs/β1/γ2
75.00Single8W87METH8W87-TA1-METH-chim(NtGi1L-Gs)/β1/γ2
75.00Single8W8ARO52563908W8A-TA1-RO5256390-chim(NtGi1L-Gs)/β1/γ2
75.00Single8WC7ZH86678WC7-TA1-ZH8667-chim(NtGi1-Gs)/β1/γ2
75.00Single8ZSSRO52633978ZSS-TA1-RO5263397-chim(NtGi1-Gs)/β1/γ2
75.00Single9CBMDexmedetomidine9CBM-α2a-Dexmedetomidine-Gi1/β1/γ2
75.00Single9PLNPubChem 1682595949PLN-α2a-PubChem 168259594
75.00Single9PLOPubChem 1682595949PLO-α2a-PubChem 168259594-Go/β1/γ2
75.00Single9PQDPubChem 1764919279PQD-α2a-PubChem 176491927
75.00Single9VMYTMU41429VMY-5-HT1A-TMU4142-Go/β1/γ2
75.00Consensus5ht1d_onOrthosteric Ligand7E32-5-HT1D-Serotonin-Gi1/β1/γ2
75.00Consensus5ht1d_on_gpOrthosteric Ligand7E32-5-HT1D-Serotonin-Gi1/β1/γ2
75.00Consensusalpha_onOrthosteric Ligandalpha1_on alpha2_on
75.00Consensusdopamine_offOrthosteric Ligandd2_off d3_off
75.00Consensusgs_trace-amineOrthosteric Ligand8W88-TA1-SEP-363856-Gs/β1/γ2 8JLJ-TA1-T1AM-chim(NtGi1-Gs)/β1/γ2 8JLO-TA1-Ulotaront-Gs/β1/γ2 8WC4-TA1-ZH8651-chim(NtGi1-Gs)/β1/γ2 8WC7-TA1-ZH8667-chim(NtGi1-Gs)/β1/γ2 8JLR-TA1-A77636-chim(NtGi1-Gs)/β1/γ2 8JSO-TA1-AMPH-chim(NtGi1-Gs)/β1/γ2 8W87-TA1-METH-chim(NtGi1L-Gs)/β1/γ2 8W89-TA1-2-Phenylethylamine-chim(NtGi1L-Gs)/β1/γ2 8JLP-TA1-Ralmitaront-Gs/β1/γ2 8W8A-TA1-RO5256390-chim(NtGi1L-Gs)/β1/γ2
72.73Single6KUYPubChem 1457046436KUY-α2a-PubChem 145704643
72.73Single6OBAAlprenolol6OBA-β2-Alprenolol-GTPL11074
72.73Single7DHRIsoprenaline7DHR-β2-Isoprenaline-Gs/β1/γ2
72.73Single7X5H5-CT7X5H-5-HT5A-5-CT-Gi1/β1/γ2
72.73Single8GGCConstrained Epinephrine8GGC-β2-Constrained Epinephrine-GTP-Gs/β1/γ2
72.73Single8GGZConstrained Epinephrine8GGZ-β2-Constrained Epinephrine
72.73Single8TZQDopamine8TZQ-D2-Dopamine-Go/β1/γ2
72.73Single8UNSConstrained Epinephrine8UNS-β2-Constrained Epinephrine-GTP-Gs/β1/γ2
72.73Single8UNTConstrained Epinephrine8UNT-β2-Constrained Epinephrine-GTP-Gs/β1/γ2
72.73Single8UNXConstrained Epinephrine8UNX-β2-Constrained Epinephrine-GTP-Gs/β1/γ2
72.73Single8WC3SEP-3638568WC3-TA1-SEP-363856-chim(NtGi1-Gs)/β1/γ2
72.73Single8WC4ZH86518WC4-TA1-ZH8651-chim(NtGi1-Gs)/β1/γ2
72.73Single8WCA2-Phenylethylamine8WCA-TA1-2-Phenylethylamine-chim(NtGi1-Gs)/β1/γ2
72.73Single9KVHCinobufotenine9KVH-5-HT1A-Cinobufotenine-PtdIns4P-Gi1/β1/γ2
72.73Consensus5ht1e_onOrthosteric Ligand7E33-5-HT1E-BRL-54443-Gi1/β1/γ2 8UGY-5-HT1E-Mianserin-Gi1/β1/γ1 8UH3-5-HT1E-Setiptiline-Gi1/β1/γ1
72.73Consensus5ht_onOrthosteric Ligand5ht1_on 5ht2_on 5ht4_on 5ht5_on 5ht6_on 5ht7_on
72.73Consensusalpha2_offOrthosteric Ligandalpha2c_off
72.73Consensusgq_histamineOrthosteric Ligand7DFL-H1-Histamine-chim(NtGi1L-Gq)/β1/γ2
72.73Consensusgs_5htOrthosteric Ligand7XTC-5-HT7-5-CT-Gs/β1/γ2 7XTB-5-HT6-Serotonin-Gs/β1/γ2 8JLZ-5-HT6-ST1936-Gs/β1/γ2 7XT8-5-HT4-Serotonin-Gs/β1/γ2
72.73Consensush1_on_gpOrthosteric Ligand7DFL-H1-Histamine-chim(NtGi1L-Gq)/β1/γ2
71.43Single3D4STimolol3D4S-β2-Timolol
71.43Single4AMIBucindolol4AMI-β1-Bucindolol
71.43Single4LDEBI1671074LDE-β2-BI167107
71.43Single6DRYMethylergometrine6DRY-5-HT2B-Methylergometrine
71.43Single6H7NXamoterol6H7N-β1-Xamoterol
71.43Single6H7OCyanopindolol6H7O-β1-Cyanopindolol
71.43Single8FYE4-F,5-MeO-PyrT8FYE-5-HT1A-4-F,5-MeO-PyrT-PtdIns4P-Gi1/β1/γ1
71.43Single8FYTLSD8FYT-5-HT1A-LSD-PtdIns4P-Gi1/β1/γ1
71.43Single8JJ8Arformoterol8JJ8-β2-Arformoterol
71.43Single9KVG5-MeO-DMT9KVG-5-HT1A-5-MeO-DMT-PtdIns4P-Gi1/β1/γ2
71.43Consensus5ht1a_onOrthosteric Ligand8FYT-5-HT1A-LSD-PtdIns4P-Gi1/β1/γ1 7E2Y-5-HT1A-Serotonin-PtdIns4P-Gi1/β1/γ2 7E2Z-5-HT1A-Aripiprazole-PtdIns4P-Gi1/β1/γ2 8FYX-5-HT1A-Buspirone-PtdIns4P-Gi1/β1/γ1 8JSP-5-HT1A-Ulotaront-Gi1/β1/γ2 8JT6-5-HT1A-(R)-IHCH-7179-PtdIns4P-Gi1/β1/γ2 8FY8-5-HT1A-5-MeO-DMT-PtdIns4P-Gi1/β1/γ1 8FYE-5-HT1A-4-F,5-MeO-PyrT-PtdIns4P-Gi1/β1/γ1 8FYL-5-HT1A-Vilazodone-PtdIns4P-Gi1/β1/γ1
71.43Consensus5ht1a_on_gpOrthosteric Ligand8FYT-5-HT1A-LSD-PtdIns4P-Gi1/β1/γ1 8FYX-5-HT1A-Buspirone-PtdIns4P-Gi1/β1/γ1 8JSP-5-HT1A-Ulotaront-Gi1/β1/γ2 8JT6-5-HT1A-(R)-IHCH-7179-PtdIns4P-Gi1/β1/γ2 7E2Y-5-HT1A-Serotonin-PtdIns4P-Gi1/β1/γ2 7E2Z-5-HT1A-Aripiprazole-PtdIns4P-Gi1/β1/γ2 8FY8-5-HT1A-5-MeO-DMT-PtdIns4P-Gi1/β1/γ1 8FYE-5-HT1A-4-F,5-MeO-PyrT-PtdIns4P-Gi1/β1/γ1 8FYL-5-HT1A-Vilazodone-PtdIns4P-Gi1/β1/γ1
71.43Consensusbeta3_onOrthosteric Ligand7DH5-β3-Mirabegron-Gs/β1/γ2 7XJH-β3-Isoprenaline-Gs/β1/γ2 7XJI-β3-Solabegron-Gs/β1/γ2
71.43Consensusbeta3_on_gpOrthosteric Ligand7DH5-β3-Mirabegron-Gs/β1/γ2 7XJH-β3-Isoprenaline-Gs/β1/γ2 7XJI-β3-Solabegron-Gs/β1/γ2
71.43Consensusbeta_onOrthosteric Ligandbeta1_on beta2_on beta3_on
71.43Consensusbeta_on_gpOrthosteric Ligandbeta1_on_gp beta2_on_gp beta3_on_gp
71.43Consensusd2_on_gpOrthosteric Ligand7JVR-D2-Bromoergocryptine-Gi1/β1/γ2 8IRS-D2-Rotigotine-Gi1/β1/γ2
70.00Single7EJKOxymetazoline7EJK-α2a-Oxymetazoline-Go/β1/γ2
70.00Single8WC9ZH86518WC9-TA1-ZH8651-chim(NtGi1-Gs-CtGq)/β1/γ2
69.23Single2YCWCarazolol2YCW-β1-Carazolol
69.23Single5D6LCarazolol5D6L-β2-Carazolol
69.23Single5JQHCarazolol5JQH-β2-Carazolol
69.23Single5WIUNemonapride5WIU-D4-Nemonapride
69.23Single5WIVNemonapride5WIV-D4-Nemonapride-Na
69.23Single5X7DCarazolol5X7D-β2-Carazolol-PubChem 129318963
69.23Single6E67BI1671076E67-β2-BI167107-Gs(CT)
69.23Single7WC6LSD7WC6-5-HT2A-LSD
69.23Single9DYDAsenapine9DYD-5-HT1A-Asenapine-PtdIns4P-Go/β1/γ2
69.23Single9F33FOB02-04A9F33-D3-FOB02-04A-Go/β1/γ2
69.23Single9K07DSO-5a9K07-BB3-DSO-5a-chim(NtGi2L-Gs-CtGq)/β1/γ2
69.23Consensus5ht1_onOrthosteric Ligand5ht1a_on 5ht1d_on 5ht1e_on 5ht1f_on
69.23Consensus5ht1_on_gpOrthosteric Ligand5ht1a_on_gp 5ht1d_on_gp 5ht1e_on_gp 5ht1f_on_gp
69.23Consensus5ht1e_on_gpOrthosteric Ligand7E33-5-HT1E-BRL-54443-Gi1/β1/γ2 8UGY-5-HT1E-Mianserin-Gi1/β1/γ1 8UH3-5-HT1E-Setiptiline-Gi1/β1/γ1
69.23Consensus5ht5_on_gpOrthosteric Ligand5ht5a_on_gp
69.23Consensus5ht5a_on_gpOrthosteric Ligand7X5H-5-HT5A-5-CT-Gi1/β1/γ2 7UM6-5-HT5A-Lisuride-chim(NtGi1-Go)/β1/γ2 7UM7-5-HT5A-Methylergometrine-chim(NtGi1-Go)/β1/γ2
69.23Consensusalpha_offOrthosteric Ligandalpha1_off alpha2_off
69.23Consensusalpha_on_gpOrthosteric Ligandalpha1_on_gp alpha2_on_gp
69.23Consensusd1_onOrthosteric Ligand7F0T-D1-Dopamine-Gs/β1/γ2 7CKY-D1-PW0464-Gs/β1/γ2 8IRR-D1-Rotigotine-Gs/β1/γ2 7JV5-D1-SKF81297-Gs/β1/γ2 7JVP-D1-SKF83959-Gs/β1/γ2 7X2D-D1-Tavapadon-Gs/β1/γ2 7CKX-D1-A77636-Gs/β1/γ2 7JVQ-D1-Apomorphine-Gs/β1/γ2 7CKW-D1-Fenoldopam-Gs/β1/γ2
69.23Consensusd4_onOrthosteric Ligand8IRU-D4-Rotigotine-chim(NtGi1-Gs-CtGi1)/β1/γ2
66.67Single2YCZIodocyanopindolol2YCZ-β1-Iodocyanopindolol
66.67Single4BVNCyanopindolol4BVN-β1-Cyanopindolol-Na
66.67Single6A94Zotepine6A94-5-HT2A-Zotepine
66.67Single6H7LDobutamine6H7L-β1-Dobutamine
66.67Single6IBLArformoterol6IBL-β1-Arformoterol
66.67Single6K41Dexmedetomidine6K41-α2b-Dexmedetomidine-Go/β1/γ2
66.67Single6KUXRS799486KUX-α2a-RS79948
66.67Single6TKOArformoterol6TKO-β1-Arformoterol-Arrestin2
66.67Single6WH4Methiothepin6WH4-5-HT2A-Methiothepin
66.67Single7CKZDopamine7CKZ-D1-Dopamine-Mevidalen-Gs/β1/γ2
66.67Single7E33BRL-544437E33-5-HT1E-BRL-54443-Gi1/β1/γ2
66.67Single7EJ8Brimonidine7EJ8-α2a-Brimonidine-Go/β1/γ2
66.67Single7EJADexmedetomidine7EJA-α2a-Dexmedetomidine-Go/β1/γ2
66.67Single7F24Dopamine7F24-D1-Dopamine-GDP-Gs/β1/γ2
66.67Single7JVRBromoergocryptine7JVR-D2-Bromoergocryptine-Gi1/β1/γ2
66.67Single7UL3Famotidine7UL3-H2-Famotidine
66.67Single7UM7Methylergometrine7UM7-5-HT5A-Methylergometrine-chim(NtGi1-Go)/β1/γ2
66.67Single8JLKUlotaront8JLK-TA1-Ulotaront-chim(NtGi1-Gs)/β1/γ2
66.67Single8JSPUlotaront8JSP-5-HT1A-Ulotaront-Gi1/β1/γ2
66.67Single8S2TIsoprenaline8S2T-β1-Isoprenaline-chim(NtGi1-Gs)/β1/γ2
66.67Single8THLEpinephrine8THL-Alpha1A-Epinephrine-chim(NtGi2L-Gs-CtGq)/β1/γ2
66.67Single8U02Dopamine8U02-D2-Dopamine-Go/β1/γ2
66.67Single8UHBRO52563908UHB-TA1-RO5256390-Gs/β1/γ2
66.67Single8UO0Constrained Epinephrine8UO0-β2-Constrained Epinephrine-GTP-Gs/β1/γ2
66.67Single8UO1Constrained Epinephrine8UO1-β2-Constrained Epinephrine-GTP; Mg-Gs/β1/γ2
66.67Single8V6UPubChem 1713924568V6U-5-HT2A-PubChem 171392456-chim(NtGi2-Gs-CtGq)/β1/γ2
66.67Single8W88SEP-3638568W88-TA1-SEP-363856-Gs/β1/γ2
66.67Single8W8BSEP-3638568W8B-5-HT1A-SEP-363856-Gi1/β1/γ2
66.67Single8WC8ZH86518WC8-TA1-ZH8651-chim(NtGi1-Gs)/β1/γ2
66.67Single9AS3LSD9AS3-5-HT2A-LSD
66.67Single9AS4LSD9AS4-5-HT2A-LSD-chim(NtGi1-Gs-CtGq)/β1/γ2
66.67Single9HYIDP819HYI-5-HT1A-DP81-Gi1/β1/γ2
66.67Single9JKQMETH9JKQ-TA1-METH-Gs/β1/γ2
66.67Single9KVIBufotenin9KVI-5-HT1A-Bufotenin-PtdIns4P-Gi1/β1/γ2
66.67Single9L8LBI1671079L8L-β2-BI167107-Atazanavir-Gs/β1/γ2 ; Arrestin2
66.67Single9LL8Psilocin9LL8-5-HT2A-Psilocin-Gi1/β1/γ2
66.67Single9VJG8-OH-DPAT9VJG-5-HT1A-8-OH-DPAT-chim(NtGi2-Gz)/β1/γ2
66.67Single9W6W5-CT9W6W-5-HT5A-5-CT-Gi1/β1/γ2
66.67Consensusalpha1_onOrthosteric Ligandalpha1a_on
66.67Consensusalpha1_on_gpOrthosteric Ligandalpha1a_on_gp
66.67Consensusalpha1a_onOrthosteric Ligand7EJ0-α2a-Norepinephrine-Go/β1/γ2 7EJ8-α2a-Brimonidine-Go/β1/γ2 7EJA-α2a-Dexmedetomidine-Go/β1/γ2 7EJK-α2a-Oxymetazoline-Go/β1/γ2 7W6P-α2a-N-pyridin-4-ylisoquinolin-4-amine-Go/β1/γ2 7W7E-α2a-PubChem 164946676-Go/β1/γ2
66.67Consensusalpha1a_on_gpOrthosteric Ligand7EJ0-α2a-Norepinephrine-Go/β1/γ2 7EJ8-α2a-Brimonidine-Go/β1/γ2 7EJA-α2a-Dexmedetomidine-Go/β1/γ2 7EJK-α2a-Oxymetazoline-Go/β1/γ2 7W6P-α2a-N-pyridin-4-ylisoquinolin-4-amine-Go/β1/γ2 7W7E-α2a-PubChem 164946676-Go/β1/γ2
66.67Consensusbeta1_onOrthosteric Ligand8DCR-β1-Dobutamine-Gs/β1/γ2 7S0F-β1-Isoprenaline-Gi1/β1/γ2
66.67Consensusbeta1_on_gpOrthosteric Ligand8DCR-β1-Dobutamine-Gs/β1/γ2 7S0F-β1-Isoprenaline-Gi1/β1/γ2
64.29Single2YDVNECA2YDV-A2A-NECA
64.29Single3P0GBI1671073P0G-β2-BI167107
64.29Single3SN6BI1671073SN6-β2-BI167107-Gs/β1/γ2
64.29Single4U15Tiotropium4U15-M3-Tiotropium
64.29Single4UHRCGS216804UHR-A2A-CGS21680
64.29Single5A8E7-Methylcyanopindolol5A8E-β1-7-Methylcyanopindolol-Na
64.29Single5G53NECA5G53-A2A-NECA-Gs
64.29Single5ZKBAF-DX 3845ZKB-M2-AF-DX 384
64.29Single6OL9Tiotropium6OL9-M5-Tiotropium
64.29Single6WGTLSD6WGT-5-HT2A-LSD
64.29Single7E2ZAripiprazole7E2Z-5-HT1A-Aripiprazole-PtdIns4P-Gi1/β1/γ2
64.29Single7JVPSKF839597JVP-D1-SKF83959-Gs/β1/γ2
64.29Single8DCSCyanopindolol8DCS-β1-Cyanopindolol-Gs/β1/γ2
64.29Single8IRURotigotine8IRU-D4-Rotigotine-chim(NtGi1-Gs-CtGi1)/β1/γ2
64.29Single8JT6(R)-IHCH-71798JT6-5-HT1A-(R)-IHCH-7179-PtdIns4P-Gi1/β1/γ2
64.29Single9IJDCarazolol9IJD-β3-Carazolol-chim(NtGi1-Gs)/β1/γ2
64.29Consensus5ht_offOrthosteric Ligand5ht2_off 5ht1_off
64.29Consensusd4_on_gpOrthosteric Ligand8IRU-D4-Rotigotine-chim(NtGi1-Gs-CtGi1)/β1/γ2
64.29Consensusm5_offOrthosteric Ligand6OL9-M5-Tiotropium
64.29Consensusmuscarinic_offOrthosteric Ligandm2_off m3_off m4_off m5_off m1_off
63.64Single3PBLEticlopride3PBL-D3-Eticlopride
63.64Single7DFLHistamine7DFL-H1-Histamine-chim(NtGi1L-Gq)/β1/γ2
63.64Single7E2YSerotonin7E2Y-5-HT1A-Serotonin-PtdIns4P-Gi1/β1/γ2
63.64Single7XTBSerotonin7XTB-5-HT6-Serotonin-Gs/β1/γ2
63.64Single7YS6Serotonin7YS6-5-HT6-Serotonin-chim(NtGi1-Gs)/β1/γ2
63.64Single8DPFLorcaserin8DPF-5-HT2C-Lorcaserin-chim(NtGi2L-Gs-CtGq)/β1/γ2
63.64Single8JLOUlotaront8JLO-TA1-Ulotaront-Gs/β1/γ2
63.64Single8UO3Constrained Epinephrine8UO3-β2-Constrained Epinephrine-GTP; Mg-Gs/β1/γ2
63.64Single8UO4Constrained Epinephrine8UO4-β2-Constrained Epinephrine-GTP; Mg-Gs/β1/γ2
63.64Single8YN4Histamine8YN4-H2-Histamine-chim(NtGi1L-Gs-CtGq)/β1/γ2
63.64Single8YN5Histamine8YN5-H3-Histamine-Gi1/β1/γ2
63.64Single8YN6Imetit8YN6-H3-Imetit-Gi1/β1/γ2
63.64Single8YN7Immethridine8YN7-H3-Immethridine-Go/β1/γ2
63.64Single9AS2DMT9AS2-5-HT2A-DMT-chim(NtGi1-Gs-CtGq)/β1/γ2
63.64Single9IXJHistamine9IXJ-H2-Histamine-Gs/β1/γ2
63.64Single9U9VMETH9U9V-β2-METH-Gs/β1/γ2
63.64Consensusd3_offOrthosteric Ligand3PBL-D3-Eticlopride
63.64Consensush1_onOrthosteric Ligand7DFL-H1-Histamine-chim(NtGi1L-Gq)/β1/γ2
62.50Single3NY9PubChem 9131033NY9-β2-PubChem 913103
62.50Single8JLRA776368JLR-TA1-A77636-chim(NtGi1-Gs)/β1/γ2
61.54Single2Y01Dobutamine2Y01-β1-Dobutamine
61.54Single2Y02Carmoterol2Y02-β1-Carmoterol
61.54Single3ZPRPubChem 5987543ZPR-β1-PubChem 598754-Na
61.54Single4U16N-methyl-Scopolamine4U16-M3-N-methyl-Scopolamine
61.54Single5YC8N-methyl-Scopolamine5YC8-M2-N-methyl-Scopolamine
61.54Single5ZK8N-methyl-Scopolamine5ZK8-M2-N-methyl-Scopolamine
61.54Single5ZKCN-methyl-Scopolamine5ZKC-M2-N-methyl-Scopolamine
61.54Single6DRZMethysergide6DRZ-5-HT2B-Methysergide
61.54Single6K42Dexmedetomidine6K42-α2b-Dexmedetomidine-Gi1/β1/γ2
61.54Single7BU7BI1671077BU7-β1-BI167107
61.54Single7CRHSKF839597CRH-D1-SKF83959-Gs/β1/γ2
61.54Single7LJCSKF812977LJC-D1-SKF81297-Mevidalen-Gs/β1/γ2
61.54Single7UM55-CT7UM5-5-HT5A-5-CT-chim(NtGi1-Go)/β1/γ2
61.54Single7UM6Lisuride7UM6-5-HT5A-Lisuride-chim(NtGi1-Go)/β1/γ2
61.54Single7X2CFenoldopam7X2C-D1-Fenoldopam-Fenoldopam-Gs/β1/γ2
61.54Single7XTC5-CT7XTC-5-HT7-5-CT-Gs/β1/γ2
61.54Single8JXRLSD8JXR-D1-LSD
61.54Single8UGYMianserin8UGY-5-HT1E-Mianserin-Gi1/β1/γ1
61.54Single8X64Desloratadine8X64-H1-Desloratadine
61.54Single8XVKAmbrisentan8XVK-ETA-Ambrisentan
61.54Single8YN8Proxyfan8YN8-H3-Proxyfan-Go/β1/γ2
61.54Single9AS1DMT9AS1-5-HT2A-DMT
61.54Single9CHXCarazolol9CHX-β2-Carazolol
61.54Single9DYFAsenapine9DYF-5-HT1A-Asenapine-PtdIns4P-Gi1/β1/γ2
61.54Single9JEAAtropine9JEA-M1-Atropine
61.54Single9UAZAtropine9UAZ-M1-Atropine
61.54Consensus5ht2b_offOrthosteric Ligand6DRZ-5-HT2B-Methysergide
61.54Consensus5ht5_onOrthosteric Ligand5ht5a_on
61.54Consensus5ht5a_onOrthosteric Ligand7X5H-5-HT5A-5-CT-Gi1/β1/γ2 7UM6-5-HT5A-Lisuride-chim(NtGi1-Go)/β1/γ2 7UM7-5-HT5A-Methylergometrine-chim(NtGi1-Go)/β1/γ2
61.54Consensus5ht7_onOrthosteric Ligand7XTC-5-HT7-5-CT-Gs/β1/γ2
61.54Consensus5ht7_on_gpOrthosteric Ligand7XTC-5-HT7-5-CT-Gs/β1/γ2
61.54Consensusalpha2_onOrthosteric Ligandalpha2b_on
61.54Consensusalpha2_on_gpOrthosteric Ligandalpha2b_on_gp
61.54Consensusalpha2b_onOrthosteric Ligand6K42-α2b-Dexmedetomidine-Gi1/β1/γ2
61.54Consensusalpha2b_on_gpOrthosteric Ligand6K42-α2b-Dexmedetomidine-Gi1/β1/γ2
61.54Consensusgq_amineOrthosteric Ligandgq_muscarinic gq_histamine
60.00Single2YCXCyanopindolol2YCX-β1-Cyanopindolol
60.00Single5CXVTiotropium5CXV-M1-Tiotropium
60.00Single5F8UCyanopindolol5F8U-β1-Cyanopindolol
60.00Single6MXTSalmeterol6MXT-β2-Salmeterol
60.00Single6VMSBromoergocryptine6VMS-D2-Bromoergocryptine-Gi1/β1/γ2
60.00Single7BZ2Arformoterol7BZ2-β2-Arformoterol-Gs/β1/γ2
60.00Single7DH5Mirabegron7DH5-β3-Mirabegron-Gs/β1/γ2
60.00Single7YMJTamsulosin7YMJ-Alpha1A-Tamsulosin
60.00Single8DPHLorcaserin8DPH-5-HT2C-Lorcaserin-chim(NtGi2L-Gs-CtGq)/β1/γ2
60.00Single8GEIConstrained Epinephrine8GEI-β2-Constrained Epinephrine-Gs/β1/γ2
60.00Single8IRSRotigotine8IRS-D2-Rotigotine-Gi1/β1/γ2
60.00Single8IWM2-Phenylethylamine8IWM-TAA9-2-Phenylethylamine
60.00Single9CHUNorepinephrine9CHU-β2-Norepinephrine
60.00Single9GL2Befiradol9GL2-5-HT1A-Befiradol-Gs/β1/γ2
60.00Consensusalpha1_offOrthosteric Ligandalpha1a_off
60.00Consensusalpha1a_offOrthosteric Ligand7YMJ-Alpha1A-Tamsulosin
60.00Consensusgs_histamineOrthosteric Ligand8POK-H2-Histamine-Gs/β1/γ2
60.00Consensush2_onOrthosteric Ligand8POK-H2-Histamine-Gs/β1/γ2
60.00Consensusm1_offOrthosteric Ligand5CXV-M1-Tiotropium
60.00Consensusnk1_offOrthosteric Ligand6HLP-NK1-Netupitant 6HLO-NK1-Aprepitant 6HLL-NK1-CP99994 6E59-NK1-L-760735
58.82Single4AMJCarvedilol4AMJ-β1-Carvedilol
58.82Single4IARErgotamine4IAR-5-HT1B-Ergotamine
58.82Single8DCRDobutamine8DCR-β1-Dobutamine-Gs/β1/γ2
58.82Single8FYLVilazodone8FYL-5-HT1A-Vilazodone-PtdIns4P-Gi1/β1/γ1
58.82Single8PKMBefiradol8PKM-5-HT1A-Befiradol-Gi1/β1/γ1
58.82Single8ZSPLSD8ZSP-TA1-LSD-chim(NtGi1L-Gs)/β1/γ2
58.33Single7LD4Adenosine7LD4-A1-Adenosine-Gi2/β1/γ2
58.33Single7LJDDopamine7LJD-D1-Dopamine-Mevidalen-Gs/β1/γ1
58.33Single7SRSLSD7SRS-5-HT2B-LSD-Arrestin2
58.33Single7X2FDopamine7X2F-D1-Dopamine-Mevidalen-Gs/β1/γ2
58.33Single7XT8Serotonin7XT8-5-HT4-Serotonin-Gs/β1/γ2
58.33Single7YM8Oxymetazoline7YM8-Alpha1A-Oxymetazoline-chim(Gs-CtGq)
58.33Single8FYXBuspirone8FYX-5-HT1A-Buspirone-PtdIns4P-Gi1/β1/γ1
58.33Single8HOCImetit8HOC-H4-Imetit-Gi1/β1/γ2
58.33Single8IW4Spermidine8IW4-TAA9-Spermidine-chim(NtGi1-Gs)/β1/γ2
58.33Single8IWESpermidine8IWE-TAA9-Spermidine
58.33Single8JSOAMPH8JSO-TA1-AMPH-chim(NtGi1-Gs)/β1/γ2
58.33Single8YNAImmepip8YNA-H4-Immepip-Gi1/β1/γ2
58.33Single8YUTAmthamine8YUT-H2-Amthamine-Gs/β1/γ2
58.33Single8YUVImmepip8YUV-H3-Immepip-Gi1/β1/γ2
58.33Single9LL9DOI9LL9-5-HT2A-DOI-chim(NtGi1L-Gs-CtGq)/β1/γ2
58.33Single9MQJIsoquinuclidine9MQJ-μ-Isoquinuclidine
58.33Single9VJ5Gepirone9VJ5-5-HT1A-Gepirone-Go/β1/γ2
58.33Single9VJEBuspirone9VJE-5-HT1A-Buspirone-Go/β1/γ2
58.33Consensusa1_onOrthosteric Ligand7LD4-A1-Adenosine-Gi2/β1/γ2
58.33Consensusa1_on_gpOrthosteric Ligand7LD4-A1-Adenosine-Gi2/β1/γ2
58.33Consensushistamine_onOrthosteric Ligandh1_on h2_on h3_on h4_on
58.33Consensushistamine_on_gpOrthosteric Ligandh1_on_gp h2_on_gp h3_on_gp h4_on_gp
57.14Single2Y00Dobutamine2Y00-β1-Dobutamine
57.14Single5C1MBU725C1M-μ-BU72
57.14Single5TVNLSD5TVN-5-HT2B-LSD
57.14Single6ME72-Phenylmelatonin6ME7-MT2-2-Phenylmelatonin
57.14Single6ME82-Phenylmelatonin6ME8-MT2-2-Phenylmelatonin
57.14Single6PS6Timolol6PS6-β2-Timolol
57.14Single7C61Ergotamine7C61-5-HT1B-Ergotamine
57.14Single7CKXA776367CKX-D1-A77636-Gs/β1/γ2
57.14Single8DZRGR89,6968DZR-κ-GR89,696-chim(NtGi2-Gt3)/β1/γ2
57.14Single8E9ZIperoxo8E9Z-M3-Iperoxo-chim(NtGi2L-Gs-CtGq)/β1/γ2
57.14Single8ZMFPubChem 1719206738ZMF-5-HT2C-PubChem 171920673
57.14Single9ARYSerotonin9ARY-5-HT2A-Serotonin-chim(NtGi1-Gs-CtGq)/β1/γ2
57.14Single9ARZ2-bromo-LSD9ARZ-5-HT2A-2-bromo-LSD
57.14Single9F34FOB02-04A9F34-D3-FOB02-04A-Go/β1/γ2
57.14Single9MQKIsoquinuclidine9MQK-κ-Isoquinuclidine
57.14Single9PXYNaloxone9PXY-μ-Naloxone-GDPβS-Gi1/β1/γ2
57.14Single9VJFBuspirone9VJF-5-HT1A-Buspirone-Gi3/β1/γ2
57.14Consensus5ht2_offOrthosteric Ligand5ht2a_off 5ht2b_off 5ht2c_off
57.14Consensush1_offOrthosteric Ligand8X63-H1-Mepyramine 3RZE-H1-Cidoxepin 8X5Y-H1-Astemizole
57.14Consensusm2_offOrthosteric Ligand5ZKC-M2-N-methyl-Scopolamine 5ZK3-M2-3-quinuclidinyl-benzilate 5ZKB-M2-AF-DX 384
57.14Consensusm3_onOrthosteric Ligand8E9Z-M3-Iperoxo-chim(NtGi2L-Gs-CtGq)/β1/γ2 8E9W-M3-2-Deoxycytidine-chim(NtGi2L-Gs-CtGq)/β1/γ2 8E9Y-M3-Clozapine-N-oxide-chim(NtGi2L-Gs-CtGq)/β1/γ2
57.14Consensusm3_on_gpOrthosteric Ligand8E9Z-M3-Iperoxo-chim(NtGi2L-Gs-CtGq)/β1/γ2 8E9W-M3-2-Deoxycytidine-chim(NtGi2L-Gs-CtGq)/β1/γ2 8E9Y-M3-Clozapine-N-oxide-chim(NtGi2L-Gs-CtGq)/β1/γ2
56.25Single7SK8CCX6627SK8-ACKR3-CXCL12-CCX662
56.25Single7UM4AS26747237UM4-5-HT5A-AS2674723
56.25Single7VGY2-Iodomelatonin7VGY-MT1-2-Iodomelatonin-Gi1/β1/γ2
56.25Single7XJISolabegron7XJI-β3-Solabegron-Gs/β1/γ2
56.25Single8E9X2-Deoxycytidine8E9X-M4-2-Deoxycytidine-chim(NtGi1-Go)/β1/γ2
56.25Single8E9YClozapine-N-oxide8E9Y-M3-Clozapine-N-oxide-chim(NtGi2L-Gs-CtGq)/β1/γ2
56.25Single8FX5Xanomeline8FX5-M4-Xanomeline-Xanomeline-Gi1/β1/γ2
56.25Single8J19LY2378J19-GPR84-LY237-Gi1/β1/γ2
56.25Single9AS02-bromo-LSD9AS0-5-HT2A-2-bromo-LSD-chim(NtGi1-Gs-CtGq)/β1/γ2
56.25Single9DYEBuspirone9DYE-5-HT1A-Buspirone-PtdIns4P-Go/β1/γ2
56.25Consensusd2_offOrthosteric Ligand6CM4-D2-Risperidone 6LUQ-D2-Haloperidol 7DFP-D2-Spiperone
54.55Single6FUFAll-trans-Retinal6FUF-Rhodopsin-All-trans-Retinal-Go
54.55Single8DPILorcaserin8DPI-5-HT2C-Lorcaserin-chim(NtGi2L-Gs-CtGq)/β1/γ2
54.55Single8GGEConstrained Epinephrine8GGE-β2-Constrained Epinephrine-GTP-Gs/β1/γ2
54.55Single8GH1Constrained Epinephrine8GH1-β2-Constrained Epinephrine
54.55Single8IW72-Phenylethylamine8IW7-TAA9-2-Phenylethylamine-chim(NtGi1-Gs)/β1/γ2
54.55Single8POKHistamine8POK-H2-Histamine-Gs/β1/γ2
54.55Single8WC62-Phenylethylamine8WC6-TA1-2-Phenylethylamine-chim(NtGi1-Gs)/β1/γ2
54.55Single8YN9Histamine8YN9-H4-Histamine-Gi1/β1/γ2
54.55Single8YUUHistamine8YUU-H3-Histamine-Gi1/β1/γ1
54.55Single9LL7DOI9LL7-5-HT2A-DOI-Gi1/β1/γ2
54.55Single9LRCHistamine9LRC-H4-Histamine
54.55Single9LREHistamine9LRE-H4-Histamine-Gi1/β1/γ2
54.55Consensush2_on_gpOrthosteric Ligand8POK-H2-Histamine-Gs/β1/γ2
54.55Consensush3_onOrthosteric Ligand8YUU-H3-Histamine-Gi1/β1/γ1
54.55Consensush3_on_gpOrthosteric Ligand8YUU-H3-Histamine-Gi1/β1/γ1
53.85Single4MQTIperoxo4MQT-M2-Iperoxo-LY2119620
53.85Single6ME32-Phenylmelatonin6ME3-MT1-2-Phenylmelatonin
53.85Single6PS82-Phenylmelatonin6PS8-MT1-2-Phenylmelatonin
53.85Single6TPGEMPA6TPG-OX2-EMPA
53.85Single6WJCAtropine6WJC-M1-Atropine-Muscarinic toxin 7
53.85Single7CKWFenoldopam7CKW-D1-Fenoldopam-Gs/β1/γ2
53.85Single7CMVPD1289077CMV-D3-PD128907-Gi1/β1/γ2
53.85Single7F0TDopamine7F0T-D1-Dopamine-Gs/β1/γ2
53.85Single7F1ZDopamine7F1Z-D1-Dopamine-GDP-Gs/β1/γ2
53.85Single7T94Acetylcholine7T94-M2-Acetylcholine-LY2119620-chim(NtGi1-Go)/β1/γ2
53.85Single7TRSAcetylcholine7TRS-M4-Acetylcholine-Gi1/β1/γ2
53.85Single8DPGPsilocin8DPG-5-HT2C-Psilocin-chim(NtGi2L-Gs-CtGq)/β1/γ2
53.85Single8JLQFenoldopam8JLQ-TA1-Fenoldopam-Gs/β1/γ2
53.85Single8YH2Adenosine8YH2-A3A-Adenosine-Gi1/β1/γ2
53.85Single8YN3Histamine8YN3-H2-Histamine-Gs/β1/γ2
53.85Single8ZMGPimavanserin8ZMG-5-HT2A-Pimavanserin
53.85Single9ARXSerotonin9ARX-5-HT2A-Serotonin
53.85Single9AS8Psilocin9AS8-5-HT2A-Psilocin-chim(NtGi2L-Gs-CtGq)/β1/γ2
53.85Single9MQIIsoquinuclidine9MQI-μ-Isoquinuclidine
53.85Single9ODJMitragynine Pseudoindoxyl9ODJ-μ-Mitragynine Pseudoindoxyl-GTP; Mg-Gi1/β1/γ2
53.85Single9PXVNaloxone9PXV-μ-Naloxone-Gi1/β1/γ2
53.85Single9PXXNaloxone9PXX-μ-Naloxone-GDPβS-Gi1/β1/γ2
53.33Single3PDSFAUC503PDS-β2-FAUC50
53.33Single5V54Methiothepin5V54-5-HT1B-Methiothepin
53.33Single6J21Aprepitant6J21-NK1-Aprepitant
53.33Single6NI3BI1671076NI3-β2-BI167107-Gs/β1/γ2
53.33Single6TQ7SB-3348676TQ7-OX1-SB-334867
53.33Single7JV5SKF812977JV5-D1-SKF81297-Gs/β1/γ2
53.33Single7TRQIperoxo7TRQ-M4-Iperoxo-VU0467154-Gi1/β1/γ2
53.33Single8EA0Iperoxo8EA0-M3-Iperoxo
53.33Single8JLPRalmitaront8JLP-TA1-Ralmitaront-Gs/β1/γ2
53.33Single8JXVClozapine8JXV-H4-Clozapine-Gi1/β1/γ2
53.33Single8JXWVUF68848JXW-H4-VUF6884-Gi1/β1/γ2
53.33Single8JXXClobenpropit8JXX-H4-Clobenpropit-Gi1/β1/γ2
53.33Single9BJKNaloxone9BJK-μ-Naloxone-PubChem 171642066
53.33Single9I54PubChem 1764520919I54-D1-PubChem 176452091-Gs/β1/γ2
53.33Consensus5ht1_offOrthosteric Ligand5ht1b_off
53.33Consensus5ht1b_offOrthosteric Ligand5V54-5-HT1B-Methiothepin
53.33Consensusm3_offOrthosteric Ligand4U15-M3-Tiotropium 4U16-M3-N-methyl-Scopolamine 5ZHP-M3-PubChem 134828589
53.33Consensustachykinin_offOrthosteric Ligandnk1_off
52.94Single4UG2CGS216804UG2-A2A-CGS21680
52.94Single8X5YAstemizole8X5Y-H1-Astemizole
52.94Single9MD1Buspirone9MD1-5-HT1A-Buspirone-PtdIns4P-Gz/β1/γ2
50.00Single4DAJTiotropium4DAJ-M3-Tiotropium
50.00Single4EA3PubChem 102965614EA3-NOP-PubChem 10296561
50.00Single4EJ4Naltrindole4EJ4-δ-Naltrindole
50.00Single4IB4Ergotamine4IB4-5-HT2B-Ergotamine
50.00Single4MQSIperoxo4MQS-M2-Iperoxo
50.00Single4RWADIPP-NH24RWA-δ-DIPP-NH2
50.00Single4U14Tiotropium4U14-M3-Tiotropium
50.00Single5DSGTiotropium5DSG-M4-Tiotropium
50.00Single6CM4Risperidone6CM4-D2-Risperidone
50.00Single6WHADB139486WHA-5-HT2A-DB13948-chim(NtGi2L-Gs-CtGq)/β1/γ2
50.00Single7EXDLasmiditan7EXD-5-HT1F-Lasmiditan-Gi1/β1/γ2
50.00Single7JOZPubChem 752020227JOZ-D1-PubChem 75202022-Gs/β1/γ2
50.00Single7SQOTAK-9257SQO-OX2-TAK-925-Gi1/β1/γ2
50.00Single7SRQLSD7SRQ-5-HT2B-LSD
50.00Single7T2GMitragynine Pseudoindoxyl7T2G-μ-Mitragynine Pseudoindoxyl-Gi1/β1/γ2
50.00Single7TRPIperoxo7TRP-M4-Iperoxo-LY2033298-Gi1/β1/γ2
50.00Single7UL4Alvimopan7UL4-μ-Alvimopan
50.00Single7VGZRamelteon7VGZ-MT1-Ramelteon-Gi1/β1/γ2
50.00Single7XT9Serotonin7XT9-5-HT4-Serotonin-Gs/β1/γ2
50.00Single7XTASerotonin7XTA-5-HT4-Serotonin-Gi1/β1/γ2
50.00Single7YACPaltusotine7YAC-SST2-Paltusotine-Gi1/β1/γ2
50.00Single7YFCHistamine7YFC-H4-Histamine-chim(NtGi1-Gs-CtGq)/β1/γ2
50.00Single7YFDImetit7YFD-H4-Imetit-chim(NtGi1-Gs-CtGq)/β1/γ2
50.00Single7YITNalfurafine7YIT-κ-Nalfurafine
50.00Single8E9W2-Deoxycytidine8E9W-M3-2-Deoxycytidine-chim(NtGi2L-Gs-CtGq)/β1/γ2
50.00Single8EF6Morphine8EF6-μ-Morphine-Gi1/β1/γ2
50.00Single8G056-OAU8G05-GPR84-6-OAU-Gi1/β1/γ2
50.00Single8HN8Histamine8HN8-H4-Histamine-Gi1/β1/γ2
50.00Single8JJLOlodaterol8JJL-β2-Olodaterol
50.00Single8JLZST19368JLZ-5-HT6-ST1936-Gs/β1/γ2
50.00Single8T1WCVN4248T1W-GPR6-CVN424
50.00Single8UH3Setiptiline8UH3-5-HT1E-Setiptiline-Gi1/β1/γ1
50.00Single8UWLLisuride8UWL-5-HT2A-Lisuride-chim(NtGi2-Gs-CtGq)/β1/γ2
50.00Single8W892-Phenylethylamine8W89-TA1-2-Phenylethylamine-chim(NtGi1L-Gs)/β1/γ2
50.00Single8WDTphotoNECA8WDT-A2A-photoNECA
50.00Single8X63Mepyramine8X63-H1-Mepyramine
50.00Single8Y71A1D6F8Y71-δ-A1D6F-BMS986187-Gi1/β1/γ2
50.00Single8YN2Histamine8YN2-H1-Histamine-chim(NtGi1L-Gs-CtGq)/β1/γ2
50.00Single8ZSVRO52633978ZSV-TA1-RO5263397-chim(NtGi1-Gs)/β1/γ2
50.00Single9AS7Psilocin9AS7-5-HT2A-Psilocin
50.00Single9BUYLM1899BUY-β2-LM189-Gi1/β1/γ2
50.00Single9EK0Iperoxo9EK0-M5-Iperoxo-chim(NtGi1-Gs-CtGq)/β1/γ2
50.00Single9JEDHistamine9JED-H4-Histamine-PO4-Gi1/β1/γ2
50.00Single9JEQHistamine9JEQ-H3-Histamine-Gi1/β1/γ2
50.00Single9L42Histamine9L42-H4-Histamine-Gi1/β1/γ2
50.00Single9LLAAriadne9LLA-5-HT2A-Ariadne-chim(NtGi1L-Gs-CtGq)/β1/γ2
50.00Single9M4QDoxazosin9M4Q-Alpha1A-Doxazosin
50.00Single9M4TSilodosin9M4T-Alpha1A-Silodosin
50.00Single9MQLIsoquinuclidine9MQL-κ-Isoquinuclidine
50.00Single9PXWNaloxone9PXW-μ-Naloxone-GDPβS-Gi1/β1/γ2
50.00Single9V6ONalfurafine9V6O-κ-Nalfurafine-Gi1/β1/γ2
50.00Single9VJ6F-155999VJ6-5-HT1A-F-15599-Gi3/β1/γ2
50.00Consensus5ht1f_onOrthosteric Ligand7EXD-5-HT1F-Lasmiditan-Gi1/β1/γ2
50.00Consensus5ht1f_on_gpOrthosteric Ligand7EXD-5-HT1F-Lasmiditan-Gi1/β1/γ2
50.00Consensus5ht4_onOrthosteric Ligand7XTA-5-HT4-Serotonin-Gi1/β1/γ2
50.00Consensus5ht4_on_gpOrthosteric Ligand7XTA-5-HT4-Serotonin-Gi1/β1/γ2
50.00Consensus5ht6_onOrthosteric Ligand7XTB-5-HT6-Serotonin-Gs/β1/γ2 8JLZ-5-HT6-ST1936-Gs/β1/γ2
50.00Consensus5ht6_on_gpOrthosteric Ligand7XTB-5-HT6-Serotonin-Gs/β1/γ2 8JLZ-5-HT6-ST1936-Gs/β1/γ2
50.00Consensusadenosine_on_gpOrthosteric Liganda1_on_gp a2_on_gp a3_on_gp
50.00Consensusdop_offOrthosteric Ligand4EJ4-δ-Naltrindole
50.00Consensusgi_amineOrthosteric Ligandgi_5ht gi_muscarinic gi_adrenergic gi_dopamine gi_histamine
50.00Consensusgi_orexinOrthosteric Ligand7SQO-OX2-TAK-925-Gi1/β1/γ2
50.00Consensushistamine_offOrthosteric Ligandh1_off
50.00Consensusm4_offOrthosteric Ligand5DSG-M4-Tiotropium
50.00Consensusmop_offOrthosteric Ligand4DKL-μ-β-Funaltrexamine 8QOT-μ-Nanobody-E 7UL4-μ-Alvimopan
50.00Consensusmop_onOrthosteric Ligand8F7R-μ-Endomorphin-Gi1/β1/γ2 8EF5-μ-Fentanyl-Gi1/β1/γ2 7SCG-μ-FH210-Gi1/β1/γ2 7T2H-μ-Lofentanil-Gi1/β1/γ2 7T2G-μ-Mitragynine Pseudoindoxyl-Gi1/β1/γ2 8EF6-μ-Morphine-Gi1/β1/γ2 8EFB-μ-Oliceridine-Gi1/β1/γ2 7U2L-μ-C5-guano-Gi1/β1/γ2 8EFO-μ-PZM21-Gi1/β1/γ2 8EFL-μ-SR17018-Gi1/β1/γ2 8F7Q-μ-β-Endorphin-Gi1/β1/γ2 7U2K-μ-C6-guano-Gi1/β1/γ2 8EFQ-μ-DAMGO-Gi1/β1/γ2
50.00Consensusmop_on_gpOrthosteric Ligand8F7R-μ-Endomorphin-Gi1/β1/γ2 8EF5-μ-Fentanyl-Gi1/β1/γ2 7SCG-μ-FH210-Gi1/β1/γ2 7T2H-μ-Lofentanil-Gi1/β1/γ2 7T2G-μ-Mitragynine Pseudoindoxyl-Gi1/β1/γ2 8EF6-μ-Morphine-Gi1/β1/γ2 8EFB-μ-Oliceridine-Gi1/β1/γ2 7U2L-μ-C5-guano-Gi1/β1/γ2 8EFO-μ-PZM21-Gi1/β1/γ2 8EFL-μ-SR17018-Gi1/β1/γ2 8F7Q-μ-β-Endorphin-Gi1/β1/γ2 7U2K-μ-C6-guano-Gi1/β1/γ2 8EFQ-μ-DAMGO-Gi1/β1/γ2
50.00Consensusmuscarinic_onOrthosteric Ligandm2_on m3_on m4_on m1_on
50.00Consensusmuscarinic_on_gpOrthosteric Ligandm2_on_gp m3_on_gp m4_on_gp m1_on_gp
50.00Consensusopioid_offOrthosteric Ligandmop_off nop_off dop_off kop_off
47.37Single6HLOAprepitant6HLO-NK1-Aprepitant
47.06Single5TUDErgotamine5TUD-5-HT2B-Ergotamine
47.06Single5UNGPubChem 157800525UNG-AT2-PubChem 15780052
47.06Single5X93K-87945X93-ETB-K-8794
47.06Single6BQGErgotamine6BQG-5-HT2C-Ergotamine
47.06Single6BQHRitanserin6BQH-5-HT2C-Ritanserin
47.06Single7X2DTavapadon7X2D-D1-Tavapadon-Gs/β1/γ2
47.06Single8E0GBU728E0G-μ-BU72
47.06Single9CGJC6-Quino9CGJ-δ-C6-Quino-Gi1/β1/γ2
47.06Consensus5ht2c_offOrthosteric Ligand6BQH-5-HT2C-Ritanserin
47.06Consensusclass-a_onOrthosteric Ligandsensory_on alicarboxylic_on amine_on lipid_on nucleotide_on peptide_on protein_on
47.06Consensusendothelin_offOrthosteric Ligandetb_off
47.06Consensusetb_offOrthosteric Ligand5X93-ETB-K-8794 5XPR-ETB-Bosentan 6K1Q-ETB-IRL2500
46.67Single4RWDDIPP-NH24RWD-δ-DIPP-NH2-Na
46.67Single5WQCEMPA5WQC-OX2-EMPA
46.67Single5ZK33-quinuclidinyl-benzilate5ZK3-M2-3-quinuclidinyl-benzilate
46.67Single6ME62-Phenylmelatonin6ME6-MT2-2-Phenylmelatonin
46.67Single6OIKIperoxo6OIK-M2-Iperoxo-LY2119620-chim(NtGi1-Go)/β1/γ2
46.67Single7LD3Adenosine7LD3-A1-Adenosine-MIPS521-Gi2/β1/γ2
46.67Single7SBFPZM217SBF-μ-PZM21-Gi1/β1/γ2
46.67Single7TRKIperoxo7TRK-M4-Iperoxo-Gi1/β1/γ2
46.67Single7X1TTaltirelin7X1T-TRH-Taltirelin-chim(NtGi2L-Gs-CtGq)/β1/γ2
46.67Single8C9WEtrumadenant8C9W-A2A-Etrumadenant
46.67Single8DZQmomSalB8DZQ-κ-momSalB-Go/β1/γ2
46.67Single8EFBOliceridine8EFB-μ-Oliceridine-Gi1/β1/γ2
46.67Single8HNLPS3724248HNL-CXCR3-PS372424-Gi1/β1/γ2
46.67Single8J18(3R)-3-Hydroxydodecanoic acid8J18-GPR84-(3R)-3-Hydroxydodecanoic acid-Gi1/β1/γ2
46.67Single8JXSPF-61428JXS-D1-PF-6142
46.67Single8XYKVUF106618XYK-CXCR3-VUF10661-Go/β1/γ2
46.67Single9EE8Adenosine9EE8-A2A-Adenosine-Gs/β1/γ2
46.67Single9I52A1IZU9I52-D1-A1IZU-Gs/β1/γ2
46.15Single2PED9-cis-Retinal2PED-Rhodopsin-9-cis-Retinal
46.15Single6AKXA4R6AKX-CCR5-A4R
46.15Single6AKYMaraviroc6AKY-CCR5-Maraviroc
46.15Single6ME2Ramelteon6ME2-MT1-Ramelteon
46.15Single6TODEMPA6TOD-OX1-EMPA-Na
46.15Single7EJ0Norepinephrine7EJ0-α2a-Norepinephrine-Go/β1/γ2
46.15Single7F1ODopamine7F1O-D1-Dopamine-GDP; Mg-Gs/β1/γ2
46.15Single7SRRLSD7SRR-5-HT2B-LSD-chim(NtGi2L-Gs-CtGq)/β1/γ2
46.15Single7T8XAcetylcholine7T8X-M2-Acetylcholine-chim(NtGi1-Go)/β1/γ2
46.15Single7T90Acetylcholine7T90-M2-Acetylcholine-chim(NtGi1-Go)/β1/γ2
46.15Single7T96Acetylcholine7T96-M2-Acetylcholine-LY2119620-Go/β1/γ2
46.15Single8EFOPZM218EFO-μ-PZM21-Gi1/β1/γ2
46.15Single8HDPAdenosine8HDP-A2B-Adenosine-Gs/β1/γ2
46.15Single9EBHAdenosine9EBH-A3A-Adenosine-Gi1/β1/γ2
46.15Single9LLBDOI-NBOMe9LLB-5-HT2A-DOI-NBOMe-chim(NtGi1L-Gs-CtGq)/β1/γ2
46.15Single9LRBHistamine9LRB-H1-Histamine-Gs/β1/γ2
46.15Consensus5ht2_on_gpOrthosteric Ligand5ht2b_on_gp
46.15Consensus5ht2b_on_gpOrthosteric Ligand7SRR-5-HT2B-LSD-chim(NtGi2L-Gs-CtGq)/β1/γ2
46.15Consensusm2_onOrthosteric Ligand7T8X-M2-Acetylcholine-chim(NtGi1-Go)/β1/γ2
46.15Consensusm2_on_gpOrthosteric Ligand7T8X-M2-Acetylcholine-chim(NtGi1-Go)/β1/γ2
46.15Consensussensory_offonOrthosteric Ligandsensory_off sensory_on
46.15Consensussensory_offon_gpOrthosteric Ligandsensory_on_gp sensory_on
45.45Single7MTBAll-trans-Retinal7MTB-Rhodopsin-All-trans-Retinal-GRK1
45.45Single8WC5Tetramethylammonium Ion8WC5-TA1-Tetramethylammonium Ion-chim(NtGi1-Gs)/β1/γ2
45.45Single8Z8ALactate8Z8A-HCA1-Lactate-Gi1/β1/γ2
45.45Single9EE9Adenosine9EE9-A2A-Adenosine-Gs/β1/γ2
45.45Consensusopsins_onOrthosteric Ligandrhodopsin_on opsin1lw_on
45.45Consensussensory_onOrthosteric Ligandopsins_on
44.44Single6G79Donitriptan6G79-5-HT1B-Donitriptan-Go/β1/γ2
44.44Single6PT3DPI-2876PT3-δ-DPI-287
44.44Single7SK9CCX6627SK9-ACKR3-CCX662
44.44Single8Y72Peptide8Y72-μ-Peptide-BMS-986122-Gi1/β1/γ2
44.44Single9CGKC5-Quino9CGK-δ-C5-Quino-Gi1/β1/γ2
43.75Single3UON3-quinuclidinyl-benzilate3UON-M2-3-quinuclidinyl-benzilate
43.75Single4IAQDihydroergotamine4IAQ-5-HT1B-Dihydroergotamine
43.75Single5ZHPPubChem 1348285895ZHP-M3-PubChem 134828589
43.75Single6GT3Imaradenant6GT3-A2A-Imaradenant-Na
43.75Single6J20Aprepitant6J20-NK1-Aprepitant
43.75Single6OIJIperoxo6OIJ-M1-Iperoxo-chim(NtGi1L-G11)/β1/γ2
43.75Single7B6WCyclazosin7B6W-α1b-Cyclazosin
43.75Single7CKYPW04647CKY-D1-PW0464-Gs/β1/γ2
43.75Single7T2HLofentanil7T2H-μ-Lofentanil-Gi1/β1/γ2
43.75Single7U2LC5-guano7U2L-μ-C5-guano-Gi1/β1/γ2
43.75Single7XY7NECA7XY7-A2B-NECA-chim(NtGi1-Gs)/β1/γ2
43.75Single8DZPmomSalB8DZP-κ-momSalB-Gi1/β1/γ2
43.75Single8EF5Fentanyl8EF5-μ-Fentanyl-Gi1/β1/γ2
43.75Single8IYHMK68928IYH-HCA2-MK6892-Go/β1/γ2
43.75Single8T1VPubChem 1183102098T1V-GPR6-PubChem 118310209-Na
43.75Single8UGWCGS216808UGW-A2A-CGS21680
43.75Single8VVFJDTic8VVF-κ-JDTic-Gi1/β1/γ2
43.75Single8XVLZibotentan8XVL-ETA-Zibotentan
43.75Single9AS9RS130-1809AS9-5-HT2A-RS130-180
43.75Single9ASARS130-1809ASA-5-HT2A-RS130-180-chim(NtGi1-Gs-CtGq)/β1/γ2
43.75Single9KVPSB2901579KVP-C3aB-SB290157-Go/β1/γ2
43.75Single9PY3Loperamide9PY3-μ-Loperamide-GDPβS-Gi1/β1/γ2
43.75Single9PY4Loperamide9PY4-μ-Loperamide-GDPβS-Gi1/β1/γ2
43.75Single9UCPIperoxo9UCP-M1-Iperoxo-G11(CT)
43.75Consensusa2_onOrthosteric Liganda2b_on
43.75Consensusa2_on_gpOrthosteric Liganda2b_on_gp
43.75Consensusa2b_onOrthosteric Ligand8HDP-A2B-Adenosine-Gs/β1/γ2 7XY6-A2B-BAY 60-6583-chim(NtGi1-Gs)/β1/γ2 7XY7-A2B-NECA-chim(NtGi1-Gs)/β1/γ2 8HDO-A2B-BAY 60-6583-Gs/β1/γ2
43.75Consensusa2b_on_gpOrthosteric Ligand8HDP-A2B-Adenosine-Gs/β1/γ2 7XY6-A2B-BAY 60-6583-chim(NtGi1-Gs)/β1/γ2 7XY7-A2B-NECA-chim(NtGi1-Gs)/β1/γ2 8HDO-A2B-BAY 60-6583-Gs/β1/γ2
43.75Consensusgs_adenosineOrthosteric Ligand8HDP-A2B-Adenosine-Gs/β1/γ2 8HDO-A2B-BAY 60-6583-Gs/β1/γ2 7XY7-A2B-NECA-chim(NtGi1-Gs)/β1/γ2 7XY6-A2B-BAY 60-6583-chim(NtGi1-Gs)/β1/γ2
43.75Consensusgs_nucleotideOrthosteric Ligandgs_adenosine
43.75Consensush4_on_gpOrthosteric Ligand8HN8-H4-Histamine-Gi1/β1/γ2 8HOC-H4-Imetit-Gi1/β1/γ2 8JXV-H4-Clozapine-Gi1/β1/γ2 8JXW-H4-VUF6884-Gi1/β1/γ2 8JXX-H4-Clobenpropit-Gi1/β1/γ2
43.75Consensusm1_on_gpOrthosteric Ligand6OIJ-M1-Iperoxo-chim(NtGi1L-G11)/β1/γ2
42.86Single2YDOAdenosine2YDO-A2A-Adenosine
42.86Single3RZECidoxepin3RZE-H1-Cidoxepin
42.86Single3UZCPubChem 1355666093UZC-A2A-PubChem 135566609
42.86Single4DKLBeta-Funaltrexamine4DKL-μ-β-Funaltrexamine
42.86Single4MBSMaraviroc4MBS-CCR5-Maraviroc
42.86Single4N6HNaltrindole4N6H-δ-Naltrindole-Na
42.86Single4ZJCSB-6740424ZJC-OX1-SB-674042
42.86Single6ME42-Iodomelatonin6ME4-MT1-2-Iodomelatonin
42.86Single6TPNHTL66416TPN-OX2-HTL6641
42.86Single6VI4JDTic6VI4-κ-JDTic
42.86Single6ZFZ77-LH-28-16ZFZ-M1-77-LH-28-1
42.86Single7SR8TAK-9257SR8-OX2-TAK-925-chim(NtGi1L-Gs-CtGq)/β1/γ2
42.86Single7VUGJNJ-635330547VUG-GPR139-JNJ-63533054-Gi1/β1/γ2
42.86Single8FCZ11-cis-Retinal8FCZ-Rhodopsin-11-cis-Retinal
42.86Single8PM2DMCHA8PM2-TA7-DMCHA-Gs/β1/γ2
42.86Single8Y45ADL58598Y45-δ-ADL5859-Gi2/β1/γ2
42.86Single9LRDHistamine9LRD-H1-Histamine-Gi1/β1/γ2
42.86Single9ODLMitragynine Pseudoindoxyl9ODL-μ-Mitragynine Pseudoindoxyl-GTP; Mg-Gi1/β1/γ2
42.86Consensus5ht2a_offOrthosteric Ligand6A94-5-HT2A-Zotepine 6A93-5-HT2A-Risperidone 7VOD-5-HT2A-Cariprazine 7WC8-5-HT2A-Lumateperone 8JT8-5-HT2A-(R)-IHCH-7179
42.86Consensusadenosine_onOrthosteric Liganda1_on a2_on a3_on
42.86Consensusgi_adenosineOrthosteric Ligand7LD4-A1-Adenosine-Gi2/β1/γ2 8X17-A3A-Namodenoson-Gi1/β1/γ2 8X16-A3A-Piclidenoson-Gi1/β1/γ2
42.86Consensusnop_offOrthosteric Ligand4EA3-NOP-PubChem 10296561 5DHG-NOP-C-35 5DHH-NOP-SB-612111
42.11Single5UNFPubChem 157800525UNF-AT2-PubChem 15780052
42.11Single7WVWfMYFINILTL7WVW-FPR2-ALX-fMYFINILTL-Gi2/β1/γ2
42.11Consensusclass-a_on_gpOrthosteric Ligandsensory_on_gp alicarboxylic_on_gp amine_on_gp lipid_on_gp nucleotide_on_gp peptide_on_gp protein_on_gp
42.11Consensusgi_opioidOrthosteric Ligand8F7R-μ-Endomorphin-Gi1/β1/γ2 8EF5-μ-Fentanyl-Gi1/β1/γ2 7SCG-μ-FH210-Gi1/β1/γ2 7T2H-μ-Lofentanil-Gi1/β1/γ2 7T2G-μ-Mitragynine Pseudoindoxyl-Gi1/β1/γ2 8DZP-κ-momSalB-Gi1/β1/γ2 8EF6-μ-Morphine-Gi1/β1/γ2 8F7X-NOP-Nociceptin-Gi1/β1/γ2 8EFB-μ-Oliceridine-Gi1/β1/γ2 7U2L-μ-C5-guano-Gi1/β1/γ2 8EFO-μ-PZM21-Gi1/β1/γ2 8EFL-μ-SR17018-Gi1/β1/γ2 8F7Q-μ-β-Endorphin-Gi1/β1/γ2 7U2K-μ-C6-guano-Gi1/β1/γ2 8EFQ-μ-DAMGO-Gi1/β1/γ2 8F7S-δ-Deltorphin-Gi1/β1/γ2 8F7W-κ-Dynorphin-Gi1/β1/γ2
41.67Single3UZAGTPL92363UZA-A2A-GTPL9236
41.67Single7F23Dopamine7F23-D1-Dopamine-GDP-Gs/β1/γ2
41.67Single8GGFConstrained Epinephrine8GGF-β2-Constrained Epinephrine-GTP-Gs/β1/γ2
41.67Single8ITFDMCHA8ITF-TAA9-DMCHA-chim(NtGi1-Gs)/β1/γ2
41.67Single8J6QBeta-Hydroxybutyrate8J6Q-HCA2-β-Hydroxybutyrate-PubChem 25101223-Gi1/β1/γ2
41.67Single8JXTHistamine8JXT-H4-Histamine-PO4-Gi1/β1/γ2
41.67Single9JG1Adriforant9JG1-H4-Adriforant
41.67Consensus5ht2_onOrthosteric Ligand5ht2b_on
41.67Consensus5ht2b_onOrthosteric Ligand7SRR-5-HT2B-LSD-chim(NtGi2L-Gs-CtGq)/β1/γ2
41.67Consensusopsins_on_gpOrthosteric Ligandrhodopsin_on_gp opsin1lw_on_gp
41.67Consensusrhodopsin_onOrthosteric Ligand6OYA-Rhodopsin-All-trans-Retinal-Gt/β1/γ1
41.67Consensussensory_on_gpOrthosteric Ligandopsins_on_gp
41.18Single5UNHPubChem 1264564065UNH-AT2-PubChem 126456406
41.18Single6A93Risperidone6A93-5-HT2A-Risperidone
41.18Single6ZG4HTL00099366ZG4-M1-HTL0009936
41.18Single7DFPSpiperone7DFP-D2-Spiperone
41.18Single7JNIOlodanrigan7JNI-AT2-Olodanrigan
41.18Single7XMTJ-21567XMT-SST4-J-2156-Gi1/β1/γ2
41.18Single8JZ7MK68928JZ7-HCA2-MK6892-Gi1/β1/γ2
41.18Single8XYIVUF106618XYI-CXCR3-VUF10661
41.18Single9EBIPiclidenoson9EBI-A3A-Piclidenoson-chim(NtGi1L-Gs-CtGi1)/β1/γ2
41.18Single9WSVDAMGO9WSV-μ-DAMGO-Arrestin2
41.18Single9YDQDADLE9YDQ-δ-DADLE-MIPS3614-chim(NtGi1L-Gs-CtGi1)/β1/γ2
41.18Consensusgi_muscarinicOrthosteric Ligand8E9X-M4-2-Deoxycytidine-chim(NtGi1-Go)/β1/γ2 7T8X-M2-Acetylcholine-chim(NtGi1-Go)/β1/γ2 7TRS-M4-Acetylcholine-Gi1/β1/γ2 7TRK-M4-Iperoxo-Gi1/β1/γ2 7V6A-M4-PubChem 9864275-Gi1/β1/γ2
41.18Consensuskop_onOrthosteric Ligand8F7W-κ-Dynorphin-Gi1/β1/γ2 8DZS-κ-GR89,696-chim(NtGi2-Gz)/β1/γ2 8DZP-κ-momSalB-Gi1/β1/γ2
40.00Single1HZX11-cis-Retinal1HZX-Rhodopsin-11-cis-Retinal
40.00Single3QAKUK-4320973QAK-A2A-UK-432097
40.00Single4J4QOctyl Beta-D-Glucopyranoside4J4Q-Rhodopsin-Octyl β-D-Glucopyranoside-Gt(CT)
40.00Single4X1HNonyl-Beta-D-Glucopyranoside4X1H-Rhodopsin-Nonyl-β-D-Glucopyranoside-Gt(CT)
40.00Single5DHGC-355DHG-NOP-C-35
40.00Single5DHHSB-6121115DHH-NOP-SB-612111
40.00Single5OLZPubChem 1355666095OLZ-A2A-PubChem 135566609-Na
40.00Single5OM1PubChem 1355666095OM1-A2A-PubChem 135566609-Na
40.00Single6DRXLisuride6DRX-5-HT2B-Lisuride
40.00Single6TOTLemborexant6TOT-OX1-Lemborexant
40.00Single7SCGFH2107SCG-μ-FH210-Gi1/β1/γ2
40.00Single7T6VfMLFII7T6V-FPR2-ALX-fMLFII-Gi1/β1/γ2
40.00Single7VH0Ramelteon7VH0-MT2-Ramelteon-Gi1/β1/γ1
40.00Single8CICEtrumadenant8CIC-A2A-Etrumadenant-Na
40.00Single8CU7LJ-45178CU7-A2A-LJ-4517-Na
40.00Single8DZSGR89,6968DZS-κ-GR89,696-chim(NtGi2-Gz)/β1/γ2
40.00Single8GEJConstrained Epinephrine8GEJ-β2-Constrained Epinephrine-Gs/β1/γ2
40.00Single8JD0NAM5638JD0-mGlu2; mGlu3-Glutamate-NAM563
40.00Single8VVGGB188VVG-κ-GB18-Gi1/β1/γ2
40.00Single8X17Namodenoson8X17-A3A-Namodenoson-Gi1/β1/γ2
40.00Single9D61JDTic9D61-κ-JDTic-Gi1/β1/γ2
40.00Single9EPP11,20-Ethanoretinal9EPP-Rhodopsin-11,20-Ethanoretinal-chim(Gi1-CtGq)/β1/γ2
40.00Single9KFJPubChem 1383196749KFJ-RXFP3-PubChem 138319674-Gi2/β1/γ2
40.00Single9KUXCMPD6449KUX-Apelin; Apelin-CMPD644-Arrestin2
40.00Consensusa3_onOrthosteric Liganda3a_on
40.00Consensusalicarboxylic_on_gpOrthosteric Ligandsuccinate_on_gp hca_on_gp
40.00Consensusgi_alicarboxylicOrthosteric Ligandgi_hca gi_succinate
40.00Consensusgi_histamineOrthosteric Ligand8JXX-H4-Clobenpropit-Gi1/β1/γ2 8JXV-H4-Clozapine-Gi1/β1/γ2 8YUU-H3-Histamine-Gi1/β1/γ1 8HN8-H4-Histamine-Gi1/β1/γ2 8HOC-H4-Imetit-Gi1/β1/γ2 8JXW-H4-VUF6884-Gi1/β1/γ2
38.89Single4NC3Ergotamine4NC3-5-HT2B-Ergotamine
38.89Single6DDFDAMGO6DDF-μ-DAMGO-Gi1/β1/γ2
38.89Single7EZCUK-4320977EZC-A2A-UK-432097
38.89Single7SK7CCX6627SK7-ACKR3-CXCL12-CCX662
38.89Single7U2KC6-guano7U2K-μ-C6-guano-Gi1/β1/γ2
38.89Single7XK2MK68927XK2-HCA2-MK6892-Gi1/β1/γ2
38.89Single8IJDMK68928IJD-HCA2-MK6892-Gi1/β1/γ2
38.89Single8T3OTUG-8918T3O-FFA4-TUG-891-chim(NtGi2L-Gs-CtGq)/β1/γ2
38.89Single8XIOL7975918XIO-SST1-L797591-chim(NtGi1-Gs-CtGi1)/β1/γ2
38.89Single9YDPDADLE9YDP-δ-DADLE-chim(NtGi1L-Gs-CtGi1)/β1/γ2
38.89Consensuskop_on_gpOrthosteric Ligand8F7W-κ-Dynorphin-Gi1/β1/γ2 8DZS-κ-GR89,696-chim(NtGi2-Gz)/β1/γ2 8DZP-κ-momSalB-Gi1/β1/γ2
38.89Consensusorexin_on_gpOrthosteric Ligandox2_on_gp
38.46Single1U1911-cis-Retinal1U19-Rhodopsin-11-cis-Retinal
38.46Single2G87All-trans-Retinal2G87-Rhodopsin-All-trans-Retinal
38.46Single2I3511-cis-Retinal2I35-Rhodopsin-11-cis-Retinal
38.46Single6HLLCP999946HLL-NK1-CP99994
38.46Single6I9K9-cis-Retinal6I9K-Rhodopsin-9-cis-Retinal
38.46Single8H2GNiacin8H2G-HCA2-Niacin-Gi1/β1/γ2
38.46Single8K5BNiacin8K5B-HCA2-Niacin
38.46Single8YH3N-methyladenosine8YH3-A3A-N-methyladenosine-Gi1/β1/γ2
38.46Consensush4_onOrthosteric Ligand8HN8-H4-Histamine-Gi1/β1/γ2 8HOC-H4-Imetit-Gi1/β1/γ2 8JXV-H4-Clozapine-Gi1/β1/γ2 8JXW-H4-VUF6884-Gi1/β1/γ2 8JXX-H4-Clobenpropit-Gi1/β1/γ2
38.10Single5WF5UK-4320975WF5-A2A-UK-432097
38.10Single6PT2KGCHM076PT2-δ-KGCHM07
38.10Consensusgs_class-aOrthosteric Ligandgs_peptide gs_nucleotide gs_amine
37.50Single4ZJ8Suvorexant4ZJ8-OX1-Suvorexant
37.50Single5OM4PubChem 1355666095OM4-A2A-PubChem 135566609-Na
37.50Single5XPRBosentan5XPR-ETB-Bosentan
37.50Single6GDGNECA6GDG-A2A-NECA-Gs/β1/γ1
37.50Single6HLPNetupitant6HLP-NK1-Netupitant
37.50Single6LUQHaloperidol6LUQ-D2-Haloperidol
37.50Single6TO7Suvorexant6TO7-OX1-Suvorexant-Na
37.50Single6TP6Filorexant6TP6-OX1-Filorexant
37.50Single7CFNINT-7777CFN-GPBA-INT-777-Gs/β1/γ2
37.50Single7EUOfMLF7EUO-FPR1-ALX-fMLF-Gi1/β1/γ2
37.50Single7VOEAripiprazole7VOE-5-HT2A-Aripiprazole
37.50Single8J6JGSK2560738J6J-HCA2-GSK256073-Gi1/β1/γ2
37.50Single8TH4Losartan8TH4-AT1-Losartan-AT118-L Nanobody
37.50Single8YH0NECA8YH0-A3A-NECA-Gi1/β1/γ2
37.50Single8ZRKGSK12922638ZRK-GPR119-GSK1292263-Gs/β1/γ2
37.50Single9AVLCa; Ca; Cyclomethyltryptophan; R-568; PO49AVL-CaS; CaS-Ca-Ca; Ca; Cyclomethyltryptophan; R-568; PO4-Gi3/β2/γ2
37.50Single9AXFCa; Ca; Ca; Cyclomethyltryptophan; R-568; PO49AXF-CaS; CaS-Ca-Ca; Ca; Ca; Cyclomethyltryptophan; R-568; PO4-chim(NtGi1-Gs-CtGq)/β1/γ2
37.50Single9EAHOlmesartan9EAH-AT1-Olmesartan-Nanobody AT209
37.50Single9HAPTolvaptan9HAP-V2-Tolvaptan
37.50Single9KUVCMPD6449KUV-Apelin-CMPD644-Arrestin2
37.50Single9L74S1P d16:19L74-S1P3-S1P d16:1-chim(NtGi2L-Gs-CtGq)/β1/γ2
37.50Single9U81Tolvaptan9U81-V2-Tolvaptan
37.50Consensusa3_on_gpOrthosteric Liganda3a_on_gp
37.50Consensusa3a_onOrthosteric Ligand8X17-A3A-Namodenoson-Gi1/β1/γ2 8X16-A3A-Piclidenoson-Gi1/β1/γ2
37.50Consensusa3a_on_gpOrthosteric Ligand8X17-A3A-Namodenoson-Gi1/β1/γ2 8X16-A3A-Piclidenoson-Gi1/β1/γ2
37.50Consensusgq_muscarinicOrthosteric Ligand6OIJ-M1-Iperoxo-chim(NtGi1L-G11)/β1/γ2
37.50Consensusm1_onOrthosteric Ligand6OIJ-M1-Iperoxo-chim(NtGi1L-G11)/β1/γ2
36.84Single5WF6UK-4320975WF6-A2A-UK-432097
36.84Single7XN9L-0545227XN9-SST2-L-054522
36.84Single7XY6BAY 60-65837XY6-A2B-BAY 60-6583-chim(NtGi1-Gs)/β1/γ2
36.84Single9M0RNeuropeptide-VF9M0R-NPFF1-Neuropeptide-VF-Gi1/β1/γ2
36.84Consensuscxcr3_onOrthosteric Ligand8HNK-CXCR3-CXCL11-Gi1/β1/γ2 8HNL-CXCR3-PS372424-Gi1/β1/γ2
36.84Consensusox2_onOrthosteric Ligand7L1V-OX2-PubChem 155491009-chim(NtGi1-Gs-CtGq)/β1/γ2 7SQO-OX2-TAK-925-Gi1/β1/γ2 7L1U-OX2-Orexin-chim(NtGi1-Gs-CtGq)/β1/γ2
36.84Consensusox2_on_gpOrthosteric Ligand7L1V-OX2-PubChem 155491009-chim(NtGi1-Gs-CtGq)/β1/γ2 7SQO-OX2-TAK-925-Gi1/β1/γ2 7L1U-OX2-Orexin-chim(NtGi1-Gs-CtGq)/β1/γ2
36.36Single3PXOAll-trans-Retinal3PXO-Rhodopsin-All-trans-Retinal
36.36Single5DYSAll-trans-Retinal5DYS-Rhodopsin-All-trans-Retinal
36.36Single7W40Bombesin7W40-BB2-Bombesin-chim(NtGi1L-Gq)/β1/γ2
36.36Single8IHFMK68928IHF-HCA2-MK6892-Gi1/β1/γ2
36.36Single8J6IMK68928J6I-HCA2-MK6892-Gi1/β1/γ2
36.36Single9BKKCholecystokinin-89BKK-CCKA-Cholecystokinin-8-chim(NtGi1-Gs-CtGq)/β1/γ2
36.36Consensuscxcr3_on_gpOrthosteric Ligand8HNK-CXCR3-CXCL11-Gi1/β1/γ2 8HNL-CXCR3-PS372424-Gi1/β1/γ2
36.36Consensusgi_class-aOrthosteric Ligandgi_peptide gi_sensory gi_alicarboxylic gi_amine gi_lipid gi_nucleotide gi_protein
35.71Single1GZM11-cis-Retinal1GZM-Rhodopsin-11-cis-Retinal
35.71Single2X72All-trans-Retinal2X72-Rhodopsin-All-trans-Retinal-Gt(CT)
35.71Single3C9L11-cis-Retinal3C9L-Rhodopsin-11-cis-Retinal
35.71Single3VGAZM-2413853VGA-A2A-ZM-241385-Antibody
35.71Single5WS3EMPA5WS3-OX2-EMPA
35.71Single6B73MP11046B73-κ-MP1104
35.71Single6D9HAdenosine6D9H-A1-Adenosine-Gi2/β1/γ2
35.71Single6NWEOctyl-Beta-D-Glucopyranoside6NWE-Rhodopsin-Octyl-β-D-Glucopyranoside-Gt(CT)
35.71Single6OYAAll-trans-Retinal6OYA-Rhodopsin-All-trans-Retinal-Gt/β1/γ1
35.71Single7T6STC-FPR 437T6S-FPR2-ALX-TC-FPR 43-Gi1/β1/γ2
35.71Single7VUJJNJ-635330547VUJ-GPR139-JNJ-63533054-GDP-chim(Gs-CtGq)/β1/γ2
35.71Single8IJANiacin8IJA-HCA2-Niacin-Gi1/β1/γ2
35.71Single8WOGSuccinic acid8WOG-Succinate-Succinic acid-Gi1/β1/γ2
35.71Single8Y0HVUF114188Y0H-CXCR3-VUF11418
35.71Single8Y0NVUF114188Y0N-CXCR3-VUF11418-Go/β1/γ2
35.71Single8YKXMaleic acid8YKX-Succinate-Maleic acid-Gi1/β1/γ1
35.71Single8YYWAlpha-ketoglutarate8YYW-Oxoglutarate-α-ketoglutarate-α-ketoglutarate-chim(Gi1-CtGq)/β1/γ2
35.71Single8Z87CHBA8Z87-HCA1-CHBA-Gi1/β1/γ2
35.71Single9EEAAdenosine9EEA-A2A-Adenosine-Gs/β1/γ2
35.71Single9M88Oleic monoethanolamide9M88-GPR3 ; GPR3-Oleic monoethanolamide-AF64394
35.71Single9PXUNaloxone9PXU-μ-Naloxone-Na
35.71Single9W49U-50488H9W49-κ-U-50488H-Gi1/β1/γ2
35.71Consensusangiotensin_offOrthosteric Ligandat1_off
35.71Consensusgi_succinateOrthosteric Ligand8YKW-Succinate-Succinic acid-Gi1/β1/γ1 8YKX-Succinate-Maleic acid-Gi1/β1/γ1
35.71Consensusorexin_offOrthosteric Ligandox2_off ox1_off
35.71Consensusox1_offOrthosteric Ligand6TP6-OX1-Filorexant 6TP4-OX1-ACT-462206 6V9S-OX1-GTPL11403 6TOT-OX1-Lemborexant 6TP3-OX1-Nemorexant 6TQ6-OX1-PubChem 145714283 6TQ9-OX1-SB-408124 4ZJC-OX1-SB-674042 4ZJ8-OX1-Suvorexant 6TOD-OX1-EMPA-Na 6TOS-OX1-GSK1059865-Na 6TQ4-OX1-PubChem 16046844-Na
35.71Consensusox2_offOrthosteric Ligand5WQC-OX2-EMPA 6TPN-OX2-HTL6641 7XRR-OX2-Lemborexant 6TPJ-OX2-Suvorexant
35.71Consensusrhodopsin_offOrthosteric Ligand1U19-Rhodopsin-11-cis-Retinal 2PED-Rhodopsin-9-cis-Retinal 5TE5-Rhodopsin-20-Methanoretinal
35.71Consensusrhodopsin_on_gpOrthosteric Ligand6OYA-Rhodopsin-All-trans-Retinal-Gt/β1/γ1
35.71Consensussuccinate_onOrthosteric Ligand8YKW-Succinate-Succinic acid-Gi1/β1/γ1 8YKX-Succinate-Maleic acid-Gi1/β1/γ1
35.71Consensussuccinate_on_gpOrthosteric Ligand8YKW-Succinate-Succinic acid-Gi1/β1/γ1 8YKX-Succinate-Maleic acid-Gi1/β1/γ1
35.29Single4DJHJDTic4DJH-κ-JDTic
35.29Single6DDEDAMGO6DDE-μ-DAMGO-Gi1/β1/γ2
35.29Single6E59L-7607356E59-NK1-L-760735
35.29Single6KO5PubChem 574000026KO5-Ghrelin-PubChem 57400002
35.29Single7EW1Siponimod7EW1-S1P5-Siponimod-Gi1/β1/γ2
35.29Single7XTQR3997XTQ-GPBA-R399-Gs/β1/γ2
35.29Single8EFLSR170188EFL-μ-SR17018-Gi1/β1/γ2
35.29Single8HDOBAY 60-65838HDO-A2B-BAY 60-6583-Gs/β1/γ2
35.29Single8ID39-Hydroxystearic acid8ID3-FFA4-9-Hydroxystearic acid-Gi1/β1/γ2
35.29Single8VVEnorBNI8VVE-κ-norBNI-Gi1/β1/γ2
35.29Single8WU1MDMB-Fubinaca8WU1-CB1-MDMB-Fubinaca-Arrestin2
35.29Single8YH6Namodenoson8YH6-A3A-Namodenoson-Gi1/β1/γ2
35.29Single9AYFCa; Ca; Ca; Cyclomethyltryptophan; R-568; PO49AYF-CaS; CaS-Ca-Ca; Ca; Ca; Cyclomethyltryptophan; R-568; PO4-Gi1/β1/γ2
35.29Single9WSTDAMGO9WST-μ-DAMGO-chim(NtGi1-Gz)/β1/γ2
35.29Consensusclass-a_offOrthosteric Ligandsensory_off alicarboxylic_off amine_off lipid_off nucleotide_off peptide_off protein_off
35.29Consensuskop_offOrthosteric Ligand4DJH-κ-JDTic
35.29Consensuss1p5_onOrthosteric Ligand7EW1-S1P5-Siponimod-Gi1/β1/γ2
35.29Consensuss1p5_on_gpOrthosteric Ligand7EW1-S1P5-Siponimod-Gi1/β1/γ2
35.00Single7W0PElabela7W0P-Apelin-Elabela-Gi1/β1/γ2
35.00Single7WKDTRH7WKD-TRH-TRH-chim(NtGi1-Gs-CtGq)/β1/γ2
35.00Single8G59TUG-8918G59-FFA4-TUG-891-chim(Gi1-CtGq)/β1/γ2
35.00Single8J6RMK68928J6R-HCA2-MK6892-Gi1/β1/γ2
35.00Single9UYJChemerin-99UYJ-CML2-Chemerin-9-Arrestin2
35.00Consensuschemerin_on_gpOrthosteric Ligandcml1_on_gp
35.00Consensuscml1_onOrthosteric Ligand7YKD-CML1-Chemerin-9-Gi1/β1/γ2
35.00Consensusgi_chemerinOrthosteric Ligand7YKD-CML1-Chemerin-9-Gi1/β1/γ2
34.78Single8XGOTAK4488XGO-Kiss1-TAK448-chim(NtGi1-Gq)/β1/γ2
34.78Consensuscml1_on_gpOrthosteric Ligand7YKD-CML1-Chemerin-9-Gi1/β1/γ2
34.78Consensusopioid_onOrthosteric Ligandmop_on nop_on dop_on kop_on
33.33Single1F8811-cis-Retinal1F88-Rhodopsin-11-cis-Retinal
33.33Single3OAX11-cis-Retinal3OAX-Rhodopsin-11-cis-Retinal
33.33Single4ZUDOlmesartan4ZUD-AT1-Olmesartan
33.33Single5TE3Octyl-Beta-D-Glucopyranoside5TE3-Rhodopsin-Octyl-β-D-Glucopyranoside
33.33Single6DO1(Sar1,Ile8)-Angiotensin II6DO1-AT1-(Sar1,Ile8)-Angiotensin II
33.33Single6IQLL7458706IQL-D4-L745870
33.33Single6OY9All-trans-Retinal6OY9-Rhodopsin-All-trans-Retinal-Gt/β1/γ1
33.33Single6TOSGSK10598656TOS-OX1-GSK1059865-Na
33.33Single6V9SGTPL114036V9S-OX1-GTPL11403
33.33Single7EPENAM5637EPE-mGlu2-NAM563
33.33Single7F61PF-036547467F61-H3-PF-03654746
33.33Single7L1VPubChem 1554910097L1V-OX2-PubChem 155491009-chim(NtGi1-Gs-CtGq)/β1/γ2
33.33Single7T32ZM-2413857T32-A2A-ZM-241385
33.33Single7W0LPubChem 1227019087W0L-Apelin; Apelin-PubChem 122701908-Gi1/β1/γ2
33.33Single7WC9PubChem 1624213647WC9-5-HT2A-PubChem 162421364
33.33Single7WCNAR2314537WCN-GPR119-AR231453-Gs/β1/γ2
33.33Single7XW9TRH7XW9-TRH-TRH-chim(NtGi1L-Gs-CtGq)/β1/γ2
33.33Single7YKDChemerin-97YKD-CML1-Chemerin-9-Gi1/β1/γ2
33.33Single7ZBC11-cis-Retinal7ZBC-Rhodopsin-11-cis-Retinal
33.33Single7ZBE11-cis-Retinal7ZBE-Rhodopsin-11-cis-Retinal
33.33Single8GURCP559408GUR-CB2-CP55940-Gi1/β1/γ2
33.33Single8HNMVUF112228HNM-CXCR3-VUF11222-Gi1/β1/γ2
33.33Single8I9AEP548I9A-C3aB-EP54-chim(NtGi1-Gs-CtGq)/β1/γ2
33.33Single8IY9Niacin8IY9-HCA2-Niacin-Go/β1/γ2
33.33Single8JERAcipimox8JER-HCA2-Acipimox-Go/β1/γ2
33.33Single8JIMMonomethyl fumarate8JIM-HCA2-Monomethyl fumarate-Gi1/β1/γ2
33.33Single8JWY2-1188JWY-A2A-2-118
33.33Single8JWZEtrumadenant8JWZ-A2A-Etrumadenant-Na
33.33Single8K5CAcipimox8K5C-HCA2-Acipimox
33.33Single8K9KDAMGO8K9K-μ-DAMGO-Gi3/β1/γ1
33.33Single8RLNLUF58348RLN-A2A-LUF5834
33.33Single8SG1Chemerin-98SG1-CML1-Chemerin-9-Gi1/β1/γ2
33.33Single8T3QDoconexent8T3Q-FFA4-Doconexent-chim(NtGi2L-Gs-CtGq)/β1/γ2
33.33Single8W1VPubChem 1717162658W1V-β2-PubChem 171716265
33.33Single8Y01All-trans-Retinal8Y01-Opsin1MW-All-trans-Retinal-Gi1/β1/γ2
33.33Single8Y53MK50468Y53-BB3-MK5046-chim(NtGi1-Gs-CtGq)/β1/γ2
33.33Single8ZBWQuin-C18ZBW-FPR2-ALX-Quin-C1-Gi2/β1/γ2
33.33Single9EPQ11,20-Ethanoretinal9EPQ-Rhodopsin-11,20-Ethanoretinal-chim(Gi1-CtGq)/β1/γ2
33.33Single9GYOP3959GYO-GPBA-P395-chim(NtGi1-Gs)/β1/γ2
33.33Single9JH3CMF-0199JH3-Apelin; Apelin-CMF-019-Gi1/β1/γ2
33.33Single9KT7MK68929KT7-HCA2-MK6892-Gi1/β1/γ2
33.33Single9KUWCMPD6449KUW-Apelin; Apelin-CMPD644-Arrestin2 ; Arrestin2
33.33Single9ME1CXCL129ME1-CXCR4-CXCL12
33.33Single9PY2Loperamide9PY2-μ-Loperamide-GDPβS-Gi1/β1/γ2
33.33Single9WSWEndomorphin9WSW-μ-Endomorphin-chim(NtGi1-Gz)/β1/γ2
33.33Consensusat1_offOrthosteric Ligand4YAY-AT1-ZD-7155 4ZUD-AT1-Olmesartan
33.33Consensuscannabinoid_offOrthosteric Ligandcb2_off cb1_off
33.33Consensusgq_class-aOrthosteric Ligandgq_peptide gq_amine gq_nucleotide
33.33Consensushca_onOrthosteric Ligandhca2_on
33.33Consensusm4_onOrthosteric Ligand7TRS-M4-Acetylcholine-Gi1/β1/γ2 7V6A-M4-PubChem 9864275-Gi1/β1/γ2 8E9X-M4-2-Deoxycytidine-chim(NtGi1-Go)/β1/γ2 7TRK-M4-Iperoxo-Gi1/β1/γ2
33.33Consensusm4_on_gpOrthosteric Ligand7TRS-M4-Acetylcholine-Gi1/β1/γ2 7V6A-M4-PubChem 9864275-Gi1/β1/γ2 8E9X-M4-2-Deoxycytidine-chim(NtGi1-Go)/β1/γ2 7TRK-M4-Iperoxo-Gi1/β1/γ2
33.33Consensusopioid_on_gpOrthosteric Ligandmop_on_gp nop_on_gp dop_on_gp kop_on_gp
33.33Consensusopsins_offOrthosteric Ligandrhodopsin_off
33.33Consensusorexin_onOrthosteric Ligandox2_on
33.33Consensuss1p3_on_gpOrthosteric Ligand7EW3-S1P3-S1P-Gi1/β1/γ2 7EW4-S1P3-CYM-5541-Gi1/β1/γ2 7EW2-S1P3-FTY720-P-Gi1/β1/γ2
33.33Consensussensory_offOrthosteric Ligandopsins_off
33.33Consensustrh_onOrthosteric Ligand7XW9-TRH-TRH-chim(NtGi1L-Gs-CtGq)/β1/γ2
33.33Consensustrh_on_gpOrthosteric Ligand7XW9-TRH-TRH-chim(NtGi1L-Gs-CtGq)/β1/γ2
32.00Single7WVYAmyloid-Beta427WVY-FPR2-ALX-Amyloid-β42-Gi2/β1/γ2
32.00Single8ZH8QRFP268ZH8-QRFP-QRFP26-Gq/β1/γ1
32.00Single9KDFRES-701-39KDF-ETB-RES-701-3
32.00Consensusgq_peptideOrthosteric Ligandgq_cck gq_kisspeptin gq_bradykinin gq_bombesin gq_angiotensin
31.82Single7T6TfMLFII7T6T-FPR1-ALX-fMLFII-Gi1/β1/γ2
31.82Single8XGUTAK4488XGU-Kiss1-TAK448-Gi1/β1/γ2
31.82Single8XIQL7967788XIQ-SST3-L796778-chim(NtGi1-Gs-CtGi1)/β1/γ2
31.82Single9B54VIP369B54-CB1-VIP36-Gi1/β1/γ2
31.82Single9MEUCXCL129MEU-CXCR4-CXCL12
31.82Single9U4WGonadoliberin-19U4W-GnRH1-Gonadoliberin-1-chim(NtGi1L-Gs-CtGq)/β1/γ2
31.82Consensusangiotensin_onOrthosteric Ligandat1_on
31.82Consensusat1_onOrthosteric Ligand7F6G-AT1-(Sar1)-Angiotensin II-Gq/β1/γ2
31.82Consensusgi_somatostatinOrthosteric Ligand7WIC-SST2-Somatostatin-14-Gi1/β1/γ2 7XMS-SST4-Somatostatin-14-Gi1/β1/γ2 8X8L-SST5-Cortistatin-14-chim(NtGi1-Gs-CtGi1)/β1/γ2 7XMT-SST4-J-2156-Gi1/β1/γ2 7WIG-SST2-L-054264-Gi1/β1/γ2 8X8N-SST5-Octreotide-chim(NtGi1-Gs-CtGi1)/β1/γ2 7YAE-SST2-Octreotide-Gi1/β1/γ2 7YAC-SST2-Paltusotine-Gi1/β1/γ2
31.82Consensuspeptide_offonOrthosteric Ligandpeptide_off peptide_on
31.82Consensussomatostatin_onOrthosteric Ligandsst2_on sst4_on sst5_on
31.82Consensussomatostatin_on_gpOrthosteric Ligandsst2_on_gp sst4_on_gp sst5_on_gp
31.58Single7EVZCenerimod7EVZ-S1P1-Cenerimod-Gi1/β1/γ2
31.58Single7EW0Ozanimod7EW0-S1P1-Ozanimod-Gi1/β1/γ2
31.58Single7MTSADX551647MTS-mGlu2; mGlu2-Glutamate-ADX55164-Gi1/β1/γ2
31.58Single7WVVfMLFII7WVV-FPR2-ALX-fMLFII-Gi2/β1/γ2
31.58Single7X1UTRH7X1U-TRH-TRH-chim(NtGi2L-Gs-CtGq)/β1/γ2
31.58Single7XZ6APD6687XZ6-GPR119-APD668-Gs/β1/γ2
31.58Single8I95EP548I95-C3aB-EP54-Go/β1/γ2
31.58Single8K2XCXCL108K2X-CXCR3-CXCL10-Gi1/β1/γ2
31.58Single8XVJMacitentan8XVJ-ETA-Macitentan
31.58Single8ZWGJR14a8ZWG-C3aB-JR14a-Gi1/β1/γ2
31.58Single9EAILosartan9EAI-AT1-Losartan-Nanobody AT209
31.58Single9KUGEP679KUG-C5a1-EP67-Go/β1/γ2
31.58Single9L79AR2314539L79-GPR119-AR231453-chim(NtGi1-Gs)/β1/γ2
31.58Single9M54Neuropeptide-VF9M54-NPFF2-Neuropeptide-VF-Gi1/β1/γ2
31.58Single9WP9S1P9WP9-S1P3-S1P-chim(NtGi2L-Gs-CtGq)/β1/γ2
31.58Single9YDRDADLE9YDR-δ-DADLE-MIPS3983-chim(NtGi1L-Gs-CtGi1)/β1/γ2
31.58Consensuschemerin_onOrthosteric Ligandcml1_on
31.58Consensusgi_s1pOrthosteric Ligand7VIE-S1P1-S1P-Gi1/β1/γ2 7EW3-S1P3-S1P-Gi1/β1/γ2 7EVY-S1P1-Siponimod-Gi1/β1/γ2 7EW1-S1P5-Siponimod-Gi1/β1/γ2 7VIF-S1P1-FTY720-P-Gi1/β1/γ2 7VIG-S1P1-CBP-307-Gi1/β1/γ2 7EVZ-S1P1-Cenerimod-Gi1/β1/γ2 7EW4-S1P3-CYM-5541-Gi1/β1/γ2 7EW2-S1P3-FTY720-P-Gi1/β1/γ2 7EW0-S1P1-Ozanimod-Gi1/β1/γ2 7EW7-S1P1-SEW2871-Gi1/β1/γ2
31.58Consensusnucleotide_on_gpOrthosteric Ligandadenosine_on_gp p2y_on_gp
31.58Consensusprostanoid_offOrthosteric Ligandep_off dp_off
31.25Single4YAYZD-71554YAY-AT1-ZD-7155
31.25Single5UIGPubChem 1240811965UIG-A2A-PubChem 124081196
31.25Single7DB6Ramelteon7DB6-MT1-Ramelteon-Gi1/β1/γ2
31.25Single7M3JNPS-2143; PO47M3J-CaS; CaS-NPS-2143; PO4
31.25Single7VIES1P7VIE-S1P1-S1P-Gi1/β1/γ2
31.25Single7VKTLTB47VKT-BLT1-LTB4-Gi1/β1/γ2
31.25Single7WC8Lumateperone7WC8-5-HT2A-Lumateperone
31.25Single8CU6LJ-45178CU6-A2A-LJ-4517
31.25Single8EFQDAMGO8EFQ-μ-DAMGO-Gi1/β1/γ2
31.25Single8I7VAcipimox8I7V-HCA2-Acipimox-Gi1/β1/γ2
31.25Single8J6PNiacin8J6P-HCA2-Niacin-PubChem 25101223-Gi1/β1/γ2
31.25Single8JHNMonomethyl fumarate8JHN-HCA2-Monomethyl fumarate-Go/β1/γ2
31.25Single8JIINiacin8JII-HCA2-Niacin-PubChem 25101223-Gi1/β1/γ2
31.25Single8K5DGSK2560738K5D-HCA2-GSK256073
31.25Single8YH5Riboprine8YH5-A3A-Riboprine-Gi1/β1/γ2
31.25Single9BQJRO769BQJ-μ-RO76-Gi1/β1/γ2
31.25Single9JGKBalovaptan9JGK-5-HT2B-Balovaptan
31.25Consensusblt1_onOrthosteric Ligand7VKT-BLT1-LTB4-Gi1/β1/γ2
31.25Consensusblt1_on_gpOrthosteric Ligand7VKT-BLT1-LTB4-Gi1/β1/γ2
31.25Consensusblt_onOrthosteric Ligandblt1_on
31.25Consensusblt_on_gpOrthosteric Ligandblt1_on_gp
31.25Consensusgi_hcaOrthosteric Ligand8J6R-HCA2-MK6892-Gi1/β1/γ2 8JIM-HCA2-Monomethyl fumarate-Gi1/β1/γ2 8IHI-HCA2-Acifran-Gi1/β1/γ2 8IHH-HCA2-LUF6283-Gi1/β1/γ2 8I7V-HCA2-Acipimox-Gi1/β1/γ2 8I7W-HCA2-GSK256073-Gi1/β1/γ2
31.25Consensusgi_leukotrieneOrthosteric Ligand7VKT-BLT1-LTB4-Gi1/β1/γ2
31.25Consensushca2_onOrthosteric Ligand8J6R-HCA2-MK6892-Gi1/β1/γ2 8JIM-HCA2-Monomethyl fumarate-Gi1/β1/γ2 8I7V-HCA2-Acipimox-Gi1/β1/γ2 8I7W-HCA2-GSK256073-Gi1/β1/γ2 8IHH-HCA2-LUF6283-Gi1/β1/γ2 8IHI-HCA2-Acifran-Gi1/β1/γ2
31.25Consensushca2_on_gpOrthosteric Ligand8J6R-HCA2-MK6892-Gi1/β1/γ2 8IHI-HCA2-Acifran-Gi1/β1/γ2 8IHH-HCA2-LUF6283-Gi1/β1/γ2 8I7V-HCA2-Acipimox-Gi1/β1/γ2 8JIM-HCA2-Monomethyl fumarate-Gi1/β1/γ2 8I7W-HCA2-GSK256073-Gi1/β1/γ2
31.25Consensushca_on_gpOrthosteric Ligandhca2_on_gp
31.25Consensusleukotriene_onOrthosteric Ligandblt_on
31.25Consensusleukotriene_on_gpOrthosteric Ligandblt_on_gp
30.77Single2J4Y11-cis-Retinal2J4Y-Rhodopsin-11-cis-Retinal
30.77Single3C9M11-cis-Retinal3C9M-Rhodopsin-11-cis-Retinal
30.77Single3PQRAll-trans-Retinal3PQR-Rhodopsin-All-trans-Retinal-Gt(CT)
30.77Single5WKTOctyl-Beta-D-Glucopyranoside5WKT-Rhodopsin-Octyl-β-D-Glucopyranoside-Gt(CT)
30.77Single6ME5Agomelatine6ME5-MT1-Agomelatine
30.77Single7DD7Ca; Ca; Tryptophan; Evocalcet7DD7-CaS; CaS-Ca-Ca; Ca; Tryptophan; Evocalcet
30.77Single7MT8All-trans-Retinal7MT8-Rhodopsin-All-trans-Retinal-GRK1
30.77Single7MT9All-trans-Retinal7MT9-Rhodopsin-All-trans-Retinal-GRK1
30.77Single7MTAAll-trans-Retinal7MTA-Rhodopsin-All-trans-Retinal-GRK1
30.77Single8IU2All-trans-Retinal8IU2-Opsin1LW-All-trans-Retinal-Gi1/β1/γ2
30.77Single8Y63C20:0 Ceramide8Y63-FPR2-ALX-C20:0 Ceramide-Gi1/β1/γ2
30.77Single9IV15alpha-DHT9IV1-ADGRD1-5α-DHT-chim(NtGi1-Gs)/β1/γ2
30.77Single9KT93,5-DHBA9KT9-HCA1-3,5-DHBA-Gi1/β1/γ2
30.77Consensusgi_opsinsOrthosteric Ligand8IU2-Opsin1LW-All-trans-Retinal-Gi1/β1/γ2
30.77Consensusgi_sensoryOrthosteric Ligandgi_opsins
30.77Consensusopsin1lw_onOrthosteric Ligand8IU2-Opsin1LW-All-trans-Retinal-Gi1/β1/γ2
30.77Consensusopsin1lw_on_gpOrthosteric Ligand8IU2-Opsin1LW-All-trans-Retinal-Gi1/β1/γ2
30.43Single7DW9AVP7DW9-V2-AVP-chim(NtGi1-Gs)/β1/γ2
30.43Single7F6G(Sar1)-Angiotensin II7F6G-AT1-(Sar1)-Angiotensin II-Gq/β1/γ2
30.43Single8H4KGW95088H4K-FFA4-GW9508-chim(NtGi1-Gs-CtGq)/β1/γ2
30.43Single8X8LCortistatin-148X8L-SST5-Cortistatin-14-chim(NtGi1-Gs-CtGi1)/β1/γ2
30.43Single8ZBISomatostatin-148ZBI-SST3-Somatostatin-14-Gi1/β1/γ2
30.43Consensusangiotensin_on_gpOrthosteric Ligandat1_on_gp
30.43Consensusat1_on_gpOrthosteric Ligand7F6G-AT1-(Sar1)-Angiotensin II-Gq/β1/γ2
30.43Consensusgq_angiotensinOrthosteric Ligand7F6G-AT1-(Sar1)-Angiotensin II-Gq/β1/γ2
30.43Consensusgs_vasop-oxyOrthosteric Ligand7DW9-V2-AVP-chim(NtGi1-Gs)/β1/γ2
30.43Consensuspeptide_offon_gpOrthosteric Ligandpeptide_on_gp peptide_off
30.43Consensusprotein_onOrthosteric Ligandchemokine_on chemerin_on
30.43Consensusv2_onOrthosteric Ligand7DW9-V2-AVP-chim(NtGi1-Gs)/β1/γ2
30.43Consensusv2_on_gpOrthosteric Ligand7DW9-V2-AVP-chim(NtGi1-Gs)/β1/γ2
30.43Consensusvasop-oxy_onOrthosteric Ligandv2_on
30.43Consensusvasop-oxy_on_gpOrthosteric Ligandv2_on_gp
30.00Single5ZTYAM102575ZTY-CB2-AM10257
30.00Single7T11Octreotide7T11-SST2-Octreotide-Gi3/β1/γ2
30.00Single7YJ4INSL57YJ4-RXFP4-INSL5-Gi2/β1/γ2
30.00Single8IA7Cholecystokinin-88IA7-CCKB-Cholecystokinin-8-chim(NtGi1L-Gq)/β1/γ2
30.00Single9IPVJR14a9IPV-C3aB-JR14a-Gi1/β1/γ2
30.00Single9KZ2EP679KZ2-C3aB-EP67-Go/β1/γ2
30.00Single9UMJEP549UMJ-C3aB-EP54-Go/β1/γ2
30.00Consensuscb2_offOrthosteric Ligand5ZTY-CB2-AM10257
30.00Consensusdop_onOrthosteric Ligand8F7S-δ-Deltorphin-Gi1/β1/γ2
30.00Consensuss1p_onOrthosteric Ligands1p1_on s1p3_on s1p5_on
30.00Consensuss1p_on_gpOrthosteric Ligands1p1_on_gp s1p3_on_gp s1p5_on_gp
30.00Consensussst2_onOrthosteric Ligand7WIC-SST2-Somatostatin-14-Gi1/β1/γ2 7WIG-SST2-L-054264-Gi1/β1/γ2 7YAE-SST2-Octreotide-Gi1/β1/γ2 7YAC-SST2-Paltusotine-Gi1/β1/γ2
30.00Consensussst2_on_gpOrthosteric Ligand7WIC-SST2-Somatostatin-14-Gi1/β1/γ2 7WIG-SST2-L-054264-Gi1/β1/γ2 7YAE-SST2-Octreotide-Gi1/β1/γ2 7YAC-SST2-Paltusotine-Gi1/β1/γ2
29.63Consensusbb2_onOrthosteric Ligand7W40-BB2-Bombesin-chim(NtGi1L-Gq)/β1/γ2 7W3Z-BB2-Gastrin Releasing Peptide-chim(NtGi1L-Gq)/β1/γ2
29.63Consensusbb2_on_gpOrthosteric Ligand7W40-BB2-Bombesin-chim(NtGi1L-Gq)/β1/γ2 7W3Z-BB2-Gastrin Releasing Peptide-chim(NtGi1L-Gq)/β1/γ2
29.63Consensusbombesin_onOrthosteric Ligandbb2_on
29.63Consensusbombesin_on_gpOrthosteric Ligandbb2_on_gp
29.63Consensusgq_bombesinOrthosteric Ligand7W40-BB2-Bombesin-chim(NtGi1L-Gq)/β1/γ2 7W3Z-BB2-Gastrin Releasing Peptide-chim(NtGi1L-Gq)/β1/γ2
29.41Single4WW3All-trans-Retinal4WW3-Rhodopsin-All-trans-Retinal
29.41Single5CGCHTL142425CGC-mGlu5-HTL14242
29.41Single5NM2ZM-2413855NM2-A2A-ZM-241385-Na
29.41Single6D26Fevipiprant6D26-DP2-Fevipiprant
29.41Single7EO2FTY720-P7EO2-S1P1-FTY720-P-Gi1/β1/γ2
29.41Single7EPFNAM5977EPF-mGlu2-NAM597
29.41Single7M3JNPS-2143; PO47M3J-CaS; CaS-NPS-2143; PO4
29.41Single7SINNPS-21437SIN-CaS; CaS-NPS-2143
29.41Single7SINNPS-21437SIN-CaS; CaS-NPS-2143
29.41Single7VFXfMIFL7VFX-FPR1-ALX-fMIFL-Gi1/β1/γ2
29.41Single7VUHJNJ-635330547VUH-GPR139-JNJ-63533054-chim(Gs-CtGq)/β1/γ2
29.41Single7W41PD1762527W41-BB2-PD176252
29.41Single7WIGL-0542647WIG-SST2-L-054264-Gi1/β1/γ2
29.41Single8I7WGSK2560738I7W-HCA2-GSK256073-Gi1/β1/γ2
29.41Single8ID4Linoleic acid8ID4-FFA4-Linoleic acid-Gi1/β1/γ2
29.41Single8S4DCMF-0198S4D-Apelin-CMF-019
29.41Single8SZGCa; Ca; Tryptophan; Cinacalcet; PO4; Spermine8SZG-CaS; CaS-Ca; Ca; Tryptophan; Cinacalcet; PO4; Spermine-chim(NtGi1-Gq)/β1/γ2
29.41Single8TF5Oleic acid8TF5-GPR6-Oleic acid
29.41Single8UUJFCH-22964138UUJ-HCA2-FCH-2296413-Gi1/β1/γ2
29.41Single8YICSAR2477998YIC-S1P1-SAR247799-Gi1/β1/γ2
29.41Single8YNSSNAP-948478YNS-MCH1-SNAP-94847
29.41Single8ZPTPrRP208ZPT-PrRP-PrRP20-chim(NtGi1-Gs-CtGq)/β1/γ2
29.41Single9AYFCa; Ca; Ca; Cyclomethyltryptophan; R-568; PO49AYF-CaS; CaS-Ca-Ca; Ca; Ca; Cyclomethyltryptophan; R-568; PO4-Gi1/β1/γ2
29.41Single9CIBFCH-22964139CIB-HCA2-FCH-2296413
29.41Single9EHSLUF76029EHS-A3A-LUF7602
29.41Single9M8POleic monoethanolamide9M8P-GPR3 ; GPR3-Oleic monoethanolamide-AF64394
29.41Consensusadenosine_offOrthosteric Liganda1_off a2_off
29.41Consensusbb2_offOrthosteric Ligand7W41-BB2-PD176252
29.41Consensusbombesin_offOrthosteric Ligandbb2_off
29.41Consensuscb2_onOrthosteric Ligand8GUR-CB2-CP55940-Gi1/β1/γ2 8GUS-CB2-HU-308-Gi1/β1/γ2 8GUT-CB2-LEI-102-Gi1/β1/γ2 6KPF-CB2-AM12033-Gi1/β1/γ2 6PT0-CB2-WIN 55212-2-Gi1/β1/γ2 8GUQ-CB2-Olorinab-Gi1/β1/γ2
29.41Consensuscb2_on_gpOrthosteric Ligand8GUR-CB2-CP55940-Gi1/β1/γ2 8GUS-CB2-HU-308-Gi1/β1/γ2 8GUT-CB2-LEI-102-Gi1/β1/γ2 6KPF-CB2-AM12033-Gi1/β1/γ2 6PT0-CB2-WIN 55212-2-Gi1/β1/γ2 8GUQ-CB2-Olorinab-Gi1/β1/γ2
29.41Consensusdp2_offOrthosteric Ligand6D26-DP2-Fevipiprant
29.41Consensusdp_offOrthosteric Liganddp2_off
29.41Consensusfpr1-alx_onOrthosteric Ligand7VFX-FPR1-ALX-fMIFL-Gi1/β1/γ2
29.41Consensusfpr1-alx_on_gpOrthosteric Ligand7VFX-FPR1-ALX-fMIFL-Gi1/β1/γ2
29.41Consensusnucleotide_onOrthosteric Ligandadenosine_on p2y_on
29.17Single8XQEApelin-138XQE-Apelin; Apelin-Apelin-13-Gi1/β1/γ2
29.17Single8ZPSPrRP208ZPS-PrRP-PrRP20-chim(NtGi1-Gs-CtGi1)/β1/γ2
29.17Consensussst5_on_gpOrthosteric Ligand8X8L-SST5-Cortistatin-14-chim(NtGi1-Gs-CtGi1)/β1/γ2 8X8N-SST5-Octreotide-chim(NtGi1-Gs-CtGi1)/β1/γ2
28.57Single1L9H11-cis-Retinal1L9H-Rhodopsin-11-cis-Retinal
28.57Single3AYMAll-trans-Retinal3AYM-Rhodopsin-All-trans-Retinal
28.57Single5TE520-Methanoretinal5TE5-Rhodopsin-20-Methanoretinal
28.57Single6QNOAll-trans-Retinal6QNO-Rhodopsin-All-trans-Retinal-Gi1/β1/γ1
28.57Single6TP4ACT-4622066TP4-OX1-ACT-462206
28.57Single6TQ4PubChem 160468446TQ4-OX1-PubChem 16046844-Na
28.57Single7DD5Ca; Ca; Tryptophan; NPS-21437DD5-CaS; CaS-Ca-Ca; Ca; Tryptophan; NPS-2143
28.57Single7DD7Ca; Ca; Tryptophan; Evocalcet7DD7-CaS; CaS-Ca-Ca; Ca; Tryptophan; Evocalcet
28.57Single7F8XNN90567F8X-CCKA-NN9056
28.57Single7V68Iperoxo7V68-M4-Iperoxo-LY2119620-Gi1/β1/γ2
28.57Single7WICSomatostatin-147WIC-SST2-Somatostatin-14-Gi1/β1/γ2
28.57Single7XAUOctreotide7XAU-SST2-Octreotide-Gi1/β1/γ2
28.57Single8A2PLUAA470708A2P-A2A-LUAA47070-Na
28.57Single8JPNCis-Epoxysuccinic acid8JPN-Succinate-Cis-Epoxysuccinic acid-Gi1/β1/γ1
28.57Single8WP1Cis-Epoxysuccinic acid8WP1-Succinate-Cis-Epoxysuccinic acid-Gi1/β1/γ2
28.57Single8YKWSuccinic acid8YKW-Succinate-Succinic acid-Gi1/β1/γ1
28.57Single8ZBJSomatostatin-148ZBJ-SST5-Somatostatin-14-Gi1/β1/γ2
28.57Single9EPRAll-trans-Retinal9EPR-Rhodopsin-All-trans-Retinal-Gi1/β1/γ2
28.57Single9IQTNiacin9IQT-HCA2-Niacin-Gi1/β1/γ2
28.57Single9KUWCMPD6449KUW-Apelin; Apelin-CMPD644-Arrestin2 ; Arrestin2
28.57Single9L3ZLRH7-C29L3Z-CML1-LRH7-C2
28.57Single9M88Oleic monoethanolamide9M88-GPR3 ; GPR3-Oleic monoethanolamide-AF64394
28.57Consensusgi_nucleotideOrthosteric Ligandgi_adenosine gi_p2y
28.00Single7F8VGastrin-177F8V-CCKB-Gastrin-17-Gi2/β1/γ2
28.00Single8H0PNMB308H0P-BB1-NMB30-chim(NtGi1-Gs-CtGq)/β1/γ2
28.00Consensusgi_peptideOrthosteric Ligandgi_cck gi_apelin gi_compl-pept gi_endothelin gi_formylpeptide gi_galanin gi_ghrelin gi_npy gi_neurotensin gi_opioid gi_orexin gi_relaxin gi_somatostatin
28.00Consensusgi_proteinOrthosteric Ligandgi_chemokine gi_chemerin
28.00Consensusprotein_on_gpOrthosteric Ligandchemokine_on_gp chemerin_on_gp
27.78Single5XR8AM120335XR8-CB1-AM12033
27.78Single7EW3S1P7EW3-S1P3-S1P-Gi1/β1/γ2
27.78Single7EW4CYM-55417EW4-S1P3-CYM-5541-Gi1/β1/γ2
27.78Single7EW7SEW28717EW7-S1P1-SEW2871-Gi1/β1/γ2
27.78Single7M8W15r-Methyl-PGD27M8W-DP2-15r-Methyl-PGD2-Na
27.78Single7TUYGSK682753A7TUY-GPR183-GSK682753A
27.78Single7WVXHumanin7WVX-FPR2-ALX-Humanin-Gi2/β1/γ2
27.78Single7XAVLanreotide7XAV-SST2-Lanreotide-Gi1/β1/γ2
27.78Single7Y24Octreotide7Y24-SST2-Octreotide-Go/β1/γ2
27.78Single8HPTC5a (C-terminal peptide)8HPT-C5a1-C5a (C-terminal peptide)-Go/β1/γ2
27.78Single8ID6Oleic acid8ID6-FFA4-Oleic acid-Gi1/β1/γ2
27.78Single8IHBGSK2560738IHB-HCA2-GSK256073-Gi1/β1/γ2
27.78Single8IHHLUF62838IHH-HCA2-LUF6283-Gi1/β1/γ2
27.78Single8X16Piclidenoson8X16-A3A-Piclidenoson-Gi1/β1/γ2
27.78Single8XJMLatanoprost8XJM-FP-alpha-Latanoprost-chim(NtGi2-Gs-CtGq)/β1/γ2
27.78Single8XZICMF-0198XZI-Apelin; Apelin-CMF-019-Gi1/β1/γ2
27.78Single8Y73Peptide8Y73-μ-Peptide-MPAM-15-Gi1/β1/γ2
27.78Single8ZR5Firuglipel8ZR5-GPR119-Firuglipel-Gs/β1/γ2
27.78Single8ZWFJR14a8ZWF-C3aB-JR14a
27.78Single9B65MDMB-Fubinaca9B65-CB1-MDMB-Fubinaca-Gi1/β1/γ2
27.78Single9IK9Lanreotide9IK9-SST1-Lanreotide-Gi1/β1/γ2
27.78Single9JMCDS-3801b9JMC-Motilin-DS-3801b-chim(Gs-CtGq)/β1/γ2
27.78Single9KUXCMPD6449KUX-Apelin; Apelin-CMPD644-Arrestin2
27.78Consensusgi_cannabinoidOrthosteric Ligand8GUR-CB2-CP55940-Gi1/β1/γ2 8GUS-CB2-HU-308-Gi1/β1/γ2 8GUT-CB2-LEI-102-Gi1/β1/γ2 8GUQ-CB2-Olorinab-Gi1/β1/γ2 6KPF-CB2-AM12033-Gi1/β1/γ2 6PT0-CB2-WIN 55212-2-Gi1/β1/γ2 6KPG-CB1-AM841-Gi1/β1/γ2
27.27Single4A4MAll-trans-Retinal4A4M-Rhodopsin-All-trans-Retinal-Gt(CT)
27.27Single5EN0All-trans-Retinal5EN0-Rhodopsin-All-trans-Retinal-Gt(CT)
27.27Single5MZPCaffeine5MZP-A2A-Caffeine-Na
27.27Single5XJM(Sar1,Ile8)-Angiotensin II5XJM-AT2-(Sar1,Ile8)-Angiotensin II
27.27Single7DDZJNJ-310200287DDZ-Y2-JNJ-31020028
27.27Single7WJ5Somatostatin-147WJ5-SST2-Somatostatin-14-Gi1/β1/γ2
27.27Single7XMSSomatostatin-147XMS-SST4-Somatostatin-14-Gi1/β1/γ2
27.27Single8F7SDeltorphin8F7S-δ-Deltorphin-Gi1/β1/γ2
27.27Single8JZZC5a-des-Arg8JZZ-C5a1-C5a-des-Arg-Go/β1/γ2
27.27Single8WCBCyclohexylammonium Ion8WCB-TA1-Cyclohexylammonium Ion-chim(NtGi1-Gs-CtGq)/β1/γ2
27.27Single8WCCCyclohexylammonium Ion8WCC-TA1-Cyclohexylammonium Ion
27.27Consensusdop_on_gpOrthosteric Ligand8F7S-δ-Deltorphin-Gi1/β1/γ2
27.27Consensusnpy2_offOrthosteric Ligand7DDZ-Y2-JNJ-31020028
27.27Consensussst4_onOrthosteric Ligand7XMS-SST4-Somatostatin-14-Gi1/β1/γ2 7XMT-SST4-J-2156-Gi1/β1/γ2
27.27Consensussst4_on_gpOrthosteric Ligand7XMS-SST4-Somatostatin-14-Gi1/β1/γ2 7XMT-SST4-J-2156-Gi1/β1/γ2
26.92Single7EIBKallidin-des-Arg107EIB-BK1-Kallidin-des-Arg10-chim(NtGi1-Gs-CtGq)/β1/γ2
26.92Single8FEG(DNCP)-Beta-Naloxamine8FEG-κ-(DNCP)-β-Naloxamine-Gi1/β1/γ2
26.92Single8ZJGChemerin8ZJG-CML1-Chemerin-Gi1/β1/γ2
26.92Single9K26PrRP319K26-PrRP-PrRP31-Gi1/β1/γ2
26.92Consensuspeptide_onOrthosteric Ligandcck_on angiotensin_on apelin_on bombesin_on bradykinin_on compl-peptide_on endothelin_on formylpeptide_on galanin_on ghrelin_on kisspeptin_on melanocortin_on motilin_on neuromedin-u_on npy_on neurotensin_on opioid_on orexin_on relaxin_on somatostatin_on tachykinin_on trh_on vasop-oxy_on
26.92Consensuspeptide_on_gpOrthosteric Ligandcck_on_gp angiotensin_on_gp apelin_on_gp bombesin_on_gp bradykinin_on_gp compl-peptide_on_gp endothelin_on_gp formylpeptide_on_gp galanin_on_gp ghrelin_on_gp kisspeptin_on_gp melanocortin_on_gp motilin_on_gp neuromedin-u_on_gp npy_on_gp neurotensin_on_gp opioid_on_gp orexin_on_gp relaxin_on_gp somatostatin_on_gp tachykinin_on_gp trh_on_gp vasop-oxy_on_gp
26.67Single2Z7311-cis-Retinal2Z73-Rhodopsin-11-cis-Retinal
26.67Single3AYN9-cis-Retinal3AYN-Rhodopsin-9-cis-Retinal
26.67Single3V2WPubChem 518926453V2W-S1P1-PubChem 51892645
26.67Single4S0VSuvorexant4S0V-OX2-Suvorexant
26.67Single5K2DZM-2413855K2D-A2A-ZM-241385-Na
26.67Single5OLHVipadenant5OLH-A2A-Vipadenant-Na
26.67Single5OLOTozadenant5OLO-A2A-Tozadenant-Na
26.67Single5OLVLUAA470705OLV-A2A-LUAA47070-Na
26.67Single6DS0LY2660976DS0-5-HT2B-LY266097
26.67Single6JZHZM-2413856JZH-A2A-ZM-241385-Na
26.67Single6ME9Ramelteon6ME9-MT2-Ramelteon
26.67Single6PS7ZM-2413856PS7-A2A-ZM-241385-Na
26.67Single6TPJSuvorexant6TPJ-OX2-Suvorexant
26.67Single7F8ULintitript7F8U-CCKA-Lintitript
26.67Single7M3ECa; Ca; Tryptophan; NPS-21437M3E-CaS; CaS-Ca; Ca; Tryptophan; NPS-2143
26.67Single7M3ECa; Ca; Tryptophan; NPS-21437M3E-CaS; CaS-Ca; Ca; Tryptophan; NPS-2143
26.67Single7M3FCa; Ca; Tryptophan; Cinacalcet7M3F-CaS; CaS-Ca; Ca; Tryptophan; Cinacalcet
26.67Single7TUZ7-alpha,25-dihydroxycholesterol7TUZ-GPR183-7-α,25-dihydroxycholesterol-Gi1/β1/γ2
26.67Single7VIHCBP-3077VIH-S1P1-CBP-307-Gi1/β1/γ2
26.67Single7XRRLemborexant7XRR-OX2-Lemborexant
26.67Single8A6CAll-trans-Retinal8A6C-Rhodopsin-All-trans-Retinal
26.67Single8A6DAll-trans-Retinal8A6D-Rhodopsin-All-trans-Retinal
26.67Single8A6EAll-trans-Retinal8A6E-Rhodopsin-All-trans-Retinal
26.67Single8DU3PubChem 1055260648DU3-A2A-PubChem 105526064
26.67Single8GNGIstradefylline8GNG-A2A-Istradefylline
26.67Single8IJBAcipimox8IJB-HCA2-Acipimox-Gi1/β1/γ2
26.67Single8J6LNiacin8J6L-HCA2-Niacin-Gi1/β1/γ2
26.67Single8JPPSuccinic acid8JPP-Succinate-Succinic acid-chim(Gs-CtGq)/β1/γ1
26.67Single8RW0Istradefylline8RW0-A2A-Istradefylline-Na
26.67Single8WPGTryptophan; Cinacalcet; PO4; Ca8WPG-CaS; CaS-Tryptophan; Cinacalcet; PO4; Ca
26.67Single8XXVIndomethacin8XXV-DP2-Indomethacin-A1D5Q-Gi1/β1/γ2
26.67Single9H2XPubChem 1756706449H2X-A2A-PubChem 175670644-Na
26.67Single9J5VCpY9J5V-LPA1-CpY-Gi1/β1/γ2
26.67Single9JKXAcifran9JKX-HCA3-Acifran-Gi1/β1/γ2
26.67Single9K6LSalicin9K6L-TAS2R16-Salicin-Gi2/β1/γ2
26.67Single9KPESalicin9KPE-TAS2R16-Salicin-Gi1/β1/γ2
26.67Single9PEEPF-07054894; OXM29PEE-CCR6-PF-07054894; OXM2
26.67Consensuss1p1_offOrthosteric Ligand3V2W-S1P1-PubChem 51892645
26.32Single4OR2FITM4OR2-mGlu1; mGlu1-FITM
26.32Single4PXFOctyl-Beta-D-Glucopyranoside4PXF-Rhodopsin-Octyl-β-D-Glucopyranoside-Arrestin1 Finger Loop
26.32Single4Z36ONO-30805734Z36-LPA1-ONO-3080573
26.32Single6OS0Angiotensin II6OS0-AT1-Angiotensin II
26.32Single6XBLCholesterol6XBL-SMO-SAG-Cholesterol-Gi1/β1/γ2
26.32Single7EO4Siponimod7EO4-S1P1-Siponimod-Gi1/β1/γ2
26.32Single7EVYSiponimod7EVY-S1P1-Siponimod-Gi1/β1/γ2
26.32Single7EW2FTY720-P7EW2-S1P3-FTY720-P-Gi1/β1/γ2
26.32Single7K15MKD0467K15-BLT1-MKD046-Na
26.32Single7MTRADX551647MTR-mGlu2; mGlu2-Glutamate-ADX55164
26.32Single7SUSPubChem 1227019087SUS-Apelin-PubChem 122701908
26.32Single7W0LPubChem 1227019087W0L-Apelin; Apelin-PubChem 122701908-Gi1/β1/γ2
26.32Single7WCMMBX-29827WCM-GPR119-MBX-2982-Gs/β1/γ2
26.32Single8IA8E7 peptide8IA8-C3aB-E7 peptide-Gi1/β1/γ2
26.32Single8ID9Icosapent8ID9-FFA4-Icosapent-Gi1/β1/γ2
26.32Single8IYWGSK2560738IYW-HCA2-GSK256073-Go/β1/γ2
26.32Single8JD3JNJ-404118138JD3-mGlu2; mGlu3-Glutamate-JNJ-40411813-Gi1/β1/γ2
26.32Single8JJPChemerin-98JJP-CML2-Chemerin-9-Gi1/β1/γ2
26.32Single8VHFMBX-29828VHF-GPR119-MBX-2982-Gs/β1/γ2
26.32Single9DGIZ85267113509DGI-CB1-Z8526711350
26.32Single9KZKC3a (fragment)9KZK-C3aB-C3a (fragment)-Go/β1/γ2
26.32Single9L3WChemerin9L3W-CML1-Chemerin-Gi1/β1/γ2
26.32Single9M8POleic monoethanolamide9M8P-GPR3 ; GPR3-Oleic monoethanolamide-AF64394
26.32Single9VIFNeuropeptide-VF9VIF-NPFF1-Neuropeptide-VF-Gi1/β1/γ2
26.32Consensuscannabinoid_onOrthosteric Ligandcb2_on cb1_on
26.32Consensuscannabinoid_on_gpOrthosteric Ligandcb2_on_gp cb1_on_gp
26.32Consensusgi_lipidOrthosteric Ligandgi_cannabinoid gi_ffa gi_leukotriene gi_lpa gi_s1p
26.32Consensuslpa1_offOrthosteric Ligand4Z36-LPA1-ONO-3080573 4Z35-LPA1-ONO-9910539 4Z34-LPA1-ONO-9780307
26.32Consensuslpa_offOrthosteric Ligandlpa1_off
26.32Consensuss1p1_onOrthosteric Ligand7VIE-S1P1-S1P-Gi1/β1/γ2 7VIF-S1P1-FTY720-P-Gi1/β1/γ2 7VIG-S1P1-CBP-307-Gi1/β1/γ2 7EVY-S1P1-Siponimod-Gi1/β1/γ2 7EVZ-S1P1-Cenerimod-Gi1/β1/γ2 7EW0-S1P1-Ozanimod-Gi1/β1/γ2 7EW7-S1P1-SEW2871-Gi1/β1/γ2
26.32Consensuss1p1_on_gpOrthosteric Ligand7VIE-S1P1-S1P-Gi1/β1/γ2 7VIF-S1P1-FTY720-P-Gi1/β1/γ2 7VIG-S1P1-CBP-307-Gi1/β1/γ2 7EVY-S1P1-Siponimod-Gi1/β1/γ2 7EVZ-S1P1-Cenerimod-Gi1/β1/γ2 7EW0-S1P1-Ozanimod-Gi1/β1/γ2 7EW7-S1P1-SEW2871-Gi1/β1/γ2
26.32Consensuss1p3_onOrthosteric Ligand7EW3-S1P3-S1P-Gi1/β1/γ2 7EW4-S1P3-CYM-5541-Gi1/β1/γ2 7EW2-S1P3-FTY720-P-Gi1/β1/γ2
26.09Single7TD0LPA7TD0-LPA1-LPA-Gi1/β1/γ2
26.09Single8XIRPasireotide8XIR-SST3-Pasireotide-chim(NtGi1-Gs-CtGi1)/β1/γ2
25.93Single8Y52BA18Y52-BB3-BA1-chim(NtGi1-Gs-CtGq)/β1/γ2
25.93Consensusbk2_onOrthosteric Ligand7F6H-BK2-Bradykinin-Gq/β1/γ2 7F6I-BK2-Kallidin-Gq/β1/γ2
25.93Consensusbk2_on_gpOrthosteric Ligand7F6H-BK2-Bradykinin-Gq/β1/γ2 7F6I-BK2-Kallidin-Gq/β1/γ2
25.93Consensusbradykinin_onOrthosteric Ligandbk2_on
25.93Consensusbradykinin_on_gpOrthosteric Ligandbk2_on_gp
25.93Consensusgq_bradykininOrthosteric Ligand7F6H-BK2-Bradykinin-Gq/β1/γ2 7F6I-BK2-Kallidin-Gq/β1/γ2
25.00Single3REYPubChem 56973REY-A2A-PubChem 5697
25.00Single3V2YPubChem 518926453V2Y-S1P1-PubChem 51892645
25.00Single4OR2FITM4OR2-mGlu1; mGlu1-FITM
25.00Single4Z35ONO-99105394Z35-LPA1-ONO-9910539
25.00Single5CGDHTL142425CGD-mGlu5-HTL14242
25.00Single5IU4ZM-2413855IU4-A2A-ZM-241385-Na
25.00Single5IU7Q274563465IU7-A2A-Q27456346-Na
25.00Single5IUBQ274563445IUB-A2A-Q27456344-Na
25.00Single5JTBZM-2413855JTB-A2A-ZM-241385
25.00Single5K2BZM-2413855K2B-A2A-ZM-241385-Na
25.00Single5K2CZM-2413855K2C-A2A-ZM-241385-Na
25.00Single5MZJTheophylline5MZJ-A2A-Theophylline-Na
25.00Single5NLXZM-2413855NLX-A2A-ZM-241385-Na
25.00Single5NM4ZM-2413855NM4-A2A-ZM-241385-Na
25.00Single6AQFZM-2413856AQF-A2A-ZM-241385
25.00Single6JODAngiotensin II6JOD-AT2-Angiotensin II
25.00Single6TP3Nemorexant6TP3-OX1-Nemorexant
25.00Single6WI9Secretin6WI9-Secretin-Secretin-Gs/β1/γ2
25.00Single6ZDRHMS1413f126ZDR-A2A-HMS1413f12-Na
25.00Single6ZDVPubChem 9840736ZDV-A2A-PubChem 984073-Na
25.00Single6ZG9GSK10347026ZG9-M1-GSK1034702
25.00Single7AROLUF58337ARO-A2A-LUF5833-Na
25.00Single7BB6AVP7BB6-V2-AVP-Gs/β1/γ2
25.00Single7KH0AVP7KH0-V2-AVP-chim(NtGi1-Gs)/β1/γ2
25.00Single7MBYCholecystokinin-87MBY-CCKA-Cholecystokinin-8-chim(NtGi1L-Gs-CtGq)/β1/γ2
25.00Single7VODCariprazine7VOD-5-HT2A-Cariprazine
25.00Single7WC4Serotonin7WC4-5-HT2A-Serotonin
25.00Single7WVUfMLF7WVU-FPR1-ALX-fMLF-Gi1/β1/γ2
25.00Single7Y27Somatostatin-147Y27-SST2-Somatostatin-14-chim(NtGi2L-Gs-CtGq)/β1/γ2
25.00Single7Y65C5a (C-terminal peptide)7Y65-C5a1-C5a (C-terminal peptide)-Gi1/β1/γ2
25.00Single7YK6PubChem 1383196747YK6-RXFP4-PubChem 138319674-Gi2/β1/γ2
25.00Single8GAGZ85267113508GAG-CB1-Z8526711350-Gi1/β1/γ2
25.00Single8GUQOlorinab8GUQ-CB2-Olorinab-Gi1/β1/γ2
25.00Single8ID8TUG-8918ID8-FFA4-TUG-891-Gi1/β1/γ2
25.00Single8IHKAcifran8IHK-HCA3-Acifran
25.00Single8IULLatanoprost8IUL-FP-alpha-Latanoprost-chim(NtGi1-Gs-CtGq)/β1/γ2
25.00Single8IYSTUG-8918IYS-FFA4-TUG-891-GDP-chim(NtGi1L-Gq)/β1/γ2
25.00Single8JEIPubChem 117155568JEI-HCAR3-PubChem 11715556-Gi1/β1/γ2
25.00Single8PWNTheophylline8PWN-A2A-Theophylline
25.00Single8RQQZM-2413858RQQ-A2A-ZM-241385-Na
25.00Single8RWCStilSwitch28RWC-A2A-StilSwitch2-Na
25.00Single8RWDStilSwitch38RWD-A2A-StilSwitch3-Na
25.00Single8RWIStilSwitch28RWI-A2A-StilSwitch2-Na
25.00Single8WPGTryptophan; Cinacalcet; PO4; Ca8WPG-CaS; CaS-Tryptophan; Cinacalcet; PO4; Ca
25.00Single8WPUTryptophan; Cinacalcet; PO4; Ca8WPU-CaS; CaS-Tryptophan; Cinacalcet; PO4; Ca-chim(NtGi2L-Gs-CtGq)/β1/γ2
25.00Single8XGSKisspeptin-18XGS-Kiss1-Kisspeptin-1-chim(NtGi1-Gq)/β1/γ2
25.00Single8XJKCloprosetnol8XJK-FP-alpha-Cloprosetnol-chim(NtGi1-Gs-CtGq)/β1/γ2
25.00Single8XWQEndothelin-18XWQ-ETB-Endothelin-1-Gi1/β1/γ2
25.00Single8Y62C16:0 Ceramide8Y62-FPR2-ALX-C16:0 Ceramide-Gi1/β1/γ2
25.00Single8YKVPubChem 1375531688YKV-Succinate-PubChem 137553168-Gi1/β1/γ2
25.00Single8ZJETAK4488ZJE-Kiss1-TAK448-chim(NtGi1-Gq)/β1/γ1
25.00Single9ASBCa; Ca; Cyclomethyltryptophan; R-568; PO49ASB-CaS; CaS-Ca-Ca; Ca; Cyclomethyltryptophan; R-568; PO4-chim(NtGi1-Gs-CtGq)/β1/γ2
25.00Single9ASBCa; Ca; Cyclomethyltryptophan; R-568; PO49ASB-CaS; CaS-Ca-Ca; Ca; Cyclomethyltryptophan; R-568; PO4-chim(NtGi1-Gs-CtGq)/β1/γ2
25.00Single9AVGCa; Ca; Cyclomethyltryptophan; R-568; PO49AVG-CaS; CaS-Ca-Ca; Ca; Cyclomethyltryptophan; R-568; PO4-chim(NtGi1-Gs)/β1/γ2
25.00Single9AXFCa; Ca; Ca; Cyclomethyltryptophan; R-568; PO49AXF-CaS; CaS-Ca-Ca; Ca; Ca; Cyclomethyltryptophan; R-568; PO4-chim(NtGi1-Gs-CtGq)/β1/γ2
25.00Single9IV25alpha-DHT9IV2-ADGRD1-5α-DHT-chim(NtGi1-Gs)/β1/γ2
25.00Single9IZFLPA9IZF-LPA1-LPA-Gi1/β1/γ2
25.00Single9JIDNiacin9JID-HCA3-Niacin-Gi1/β1/γ2
25.00Single9JKYAcifran9JKY-HCA2-Acifran-Gi1/β1/γ2
25.00Single9KT8Acifran9KT8-HCA2-Acifran-Gi1/β1/γ2
25.00Single9P1TZM-2413859P1T-A2A-ZM-241385
25.00Consensusa2_offOrthosteric Liganda2a_off
25.00Consensusa2a_offOrthosteric Ligand3RFM-A2A-Caffeine 8C9W-A2A-Etrumadenant 3UZA-A2A-GTPL9236 8GNG-A2A-Istradefylline 8CU6-A2A-LJ-4517 7PX4-A2A-PSB-2113 7PYR-A2A-PSB-2115 8DU3-A2A-PubChem 105526064 8JWY-A2A-2-118 8PWN-A2A-Theophylline 5IU4-A2A-ZM-241385-Na 5OLZ-A2A-PubChem 135566609-Na 6GT3-A2A-Imaradenant-Na 5OLV-A2A-LUAA47070-Na 5N2R-A2A-PSB36-Na 5IU7-A2A-Q27456346-Na 5OLH-A2A-Vipadenant-Na 5OLO-A2A-Tozadenant-Na 6ZDR-A2A-HMS1413f12-Na 8GNE-A2A-KW-6356-Na 8JWZ-A2A-Etrumadenant-Na 5IU8-A2A-Q27456347-Na 5IUB-A2A-Q27456344-Na 6ZDV-A2A-PubChem 984073-Na 5IUA-A2A-Q27456348-Na 8A2P-A2A-LUAA47070-Na
25.00Consensusapelin_onOrthosteric Ligand8XZH-Apelin; Apelin-MM07-Gi1/β1/γ2 7W0M-Apelin-PubChem 122701908-Gi1/β1/γ2 8XZJ-Apelin; Apelin-WN353-Gi1/β1/γ2 8XZF-Apelin; Apelin-WN561-Gi1/β1/γ2 8XZG-Apelin; Apelin-Apelin-13-Gi1/β1/γ2
25.00Consensusapelin_on_gpOrthosteric Ligand8XZH-Apelin; Apelin-MM07-Gi1/β1/γ2 7W0M-Apelin-PubChem 122701908-Gi1/β1/γ2 8XZJ-Apelin; Apelin-WN353-Gi1/β1/γ2 8XZF-Apelin; Apelin-WN561-Gi1/β1/γ2 8XZG-Apelin; Apelin-Apelin-13-Gi1/β1/γ2
25.00Consensuscb1_on_gpOrthosteric Ligand6KPG-CB1-AM841-Gi1/β1/γ2 8K8J-CB1-Fenofibrate-chim(Gs-CtGq)/β1/γ2
25.00Consensuscck_onOrthosteric Ligandccka_on cckb_on
25.00Consensuscck_on_gpOrthosteric Ligandccka_on_gp cckb_on_gp
25.00Consensusfp-alpha_onOrthosteric Ligand8IUK-FP-alpha-PGF2-α-chim(NtGi1-Gs-CtGq)/β1/γ2 8IUL-FP-alpha-Latanoprost-chim(NtGi1-Gs-CtGq)/β1/γ2 8IUM-FP-alpha-Tafluprost acid-chim(NtGi1-Gs-CtGq)/β1/γ2
25.00Consensusfp-alpha_on_gpOrthosteric Ligand8IUK-FP-alpha-PGF2-α-chim(NtGi1-Gs-CtGq)/β1/γ2 8IUL-FP-alpha-Latanoprost-chim(NtGi1-Gs-CtGq)/β1/γ2 8IUM-FP-alpha-Tafluprost acid-chim(NtGi1-Gs-CtGq)/β1/γ2
25.00Consensusfpr2-alx_on_gpOrthosteric Ligand7WVX-FPR2-ALX-Humanin-Gi2/β1/γ2 7T6U-FPR2-ALX-CGEN-855A-Gi1/β1/γ2 7T6V-FPR2-ALX-fMLFII-Gi1/β1/γ2 7WVY-FPR2-ALX-Amyloid-β42-Gi2/β1/γ2 7T6S-FPR2-ALX-TC-FPR 43-Gi1/β1/γ2 6OMM-FPR2-ALX-WKYMVX-Gi1/β1/γ2
25.00Consensuspeptide_offOrthosteric Ligandcck_off angiotensin_off bombesin_off endothelin_off ghrelin_off npy_off opioid_off orexin_off somatostatin_off tachykinin_off vasop-oxy_off neurotensin_off
24.00Single7F6HBradykinin7F6H-BK2-Bradykinin-Gq/β1/γ2
24.00Single7QBIAlpha-factor mating pheromone7QBI-STE2; STE2-α-factor mating pheromone
24.00Single7X9CPancreatic Hormone7X9C-Y4-Pancreatic Hormone-Gi1/β1/γ2
24.00Single8HNKCXCL118HNK-CXCR3-CXCL11-Gi1/β1/γ2
24.00Single8WWKMCH8WWK-MCH1-MCH-Gi1/β1/γ2
24.00Single8WWMMCH8WWM-MCH1-MCH-Gi1/β1/γ2
24.00Single9JFYNeuropeptide-SF9JFY-NPFF2-Neuropeptide-SF-Gi1/β1/γ2
24.00Consensusgi_apelinOrthosteric Ligand8XZH-Apelin; Apelin-MM07-Gi1/β1/γ2 7W0M-Apelin-PubChem 122701908-Gi1/β1/γ2 8XZJ-Apelin; Apelin-WN353-Gi1/β1/γ2 8XZF-Apelin; Apelin-WN561-Gi1/β1/γ2 8XZG-Apelin; Apelin-Apelin-13-Gi1/β1/γ2
23.81Single6XBJCholesterol6XBJ-SMO-Cholesterol-Gi1/β1/γ2
23.81Single7F2OBradykinin7F2O-BK2-Bradykinin-chim(NtGi1-Gs-CtGq)/β1/γ2
23.81Single7F8WGastrin-177F8W-CCKB-Gastrin-17-chim(NtGsL-Gq)/β1/γ2
23.81Single7YAEOctreotide7YAE-SST2-Octreotide-Gi1/β1/γ2
23.81Single8F7REndomorphin8F7R-μ-Endomorphin-Gi1/β1/γ2
23.81Single8H4IDoconexent8H4I-FFA4-Doconexent-chim(NtGi1-Gs)/β1/γ2
23.81Single8IUMTafluprost acid8IUM-FP-alpha-Tafluprost acid-chim(NtGi1-Gs-CtGq)/β1/γ2
23.81Single8X3LXWD8X3L-CB2-XWD-Gi1/β1/γ2
23.81Single8XZFWN5618XZF-Apelin; Apelin-WN561-Gi1/β1/γ2
23.81Single9IPYJR14a9IPY-C3aB-JR14a
23.81Single9IZASCH9002719IZA-HCA2-SCH900271-Gi1/β1/γ2
23.81Single9KX6C5a-des-Arg9KX6-C5a1-C5a-des-Arg-Go/β1/γ2
23.81Single9KZ8EP679KZ8-C3aB-EP67-Go/β1/γ2
23.81Single9V2NMacimorelin9V2N-Ghrelin-Macimorelin-chim(NtGi1-Gs-CtGq)/β1/γ2
23.81Consensuscxcr_on_gpOrthosteric Ligandcxcr3_on_gp cxcr4_on_gp cxcr1_on_gp cxcr2_on_gp
23.81Consensusformylpeptide_onOrthosteric Ligandfpr2-alx_on fpr1-alx_on
23.53Single3EMLZM-2413853EML-A2A-ZM-241385
23.53Single4EIYZM-2413854EIY-A2A-ZM-241385-Na
23.53Single5IU8Q274563475IU8-A2A-Q27456347-Na
23.53Single5K2AZM-2413855K2A-A2A-ZM-241385-Na
23.53Single5OLGZM-2413855OLG-A2A-ZM-241385-Na
23.53Single5TGZAM65385TGZ-CB1-AM6538
23.53Single5UENDU1725UEN-A1-DU172
23.53Single5VRAZM-2413855VRA-A2A-ZM-241385-Na
23.53Single5ZKPSR274175ZKP-PAF-SR27417
23.53Single6D27CAY104716D27-DP2-CAY10471
23.53Single6GPSMK08126GPS-CCR2-MK0812
23.53Single6KPFAM120336KPF-CB2-AM12033-Gi1/β1/γ2
23.53Single6LPJZM-2413856LPJ-A2A-ZM-241385-Na
23.53Single6LPKZM-2413856LPK-A2A-ZM-241385-Na
23.53Single6S0LZM-2413856S0L-A2A-ZM-241385
23.53Single6XBM25(S)-Epoxycholesterol6XBM-SMO-25(S)-Epoxycholesterol-Gi1/β1/γ2
23.53Single6Z10PubChem 1545855546Z10-Succinate-PubChem 154585554
23.53Single7CFMP3957CFM-GPBA-P395-Gs/β1/γ2
23.53Single7PYRPSB-21157PYR-A2A-PSB-2115
23.53Single7V3ZCP559407V3Z-CB1-CP55940
23.53Single7VIFFTY720-P7VIF-S1P1-FTY720-P-Gi1/β1/γ2
23.53Single7YK7DC5910537YK7-RXFP4-DC591053-Gi2/β1/γ2
23.53Single8IHJAcifran8IHJ-HCA3-Acifran-Gi1/β1/γ2
23.53Single8JT8(R)-IHCH-71798JT8-5-HT2A-(R)-IHCH-7179
23.53Single8RW7StilSwitch18RW7-A2A-StilSwitch1-Na
23.53Single8RWXStilSwitch38RWX-A2A-StilSwitch3-Na
23.53Single8ZQEGPR15L(CT)8ZQE-GPR15-GPR15L(CT)-Gi1/β1/γ1
23.53Single9AVGCa; Ca; Cyclomethyltryptophan; R-568; PO49AVG-CaS; CaS-Ca-Ca; Ca; Cyclomethyltryptophan; R-568; PO4-chim(NtGi1-Gs)/β1/γ2
23.53Single9H37PubChem 1756706469H37-A2A-PubChem 175670646-Na
23.53Single9IZCMK19039IZC-HCA2-MK1903-Gi1/β1/γ2
23.53Single9KFTfMLFC9KFT-FPR1-ALX-fMLFC-Gi1/β1/γ2
23.53Single9P1SZM-2413859P1S-A2A-ZM-241385
23.53Consensusccr2_offOrthosteric Ligand6GPS-CCR2-MK0812
23.53Consensusnucleotide_offonOrthosteric Ligandnucleotide_off nucleotide_on
23.53Consensusnucleotide_offon_gpOrthosteric Ligandnucleotide_on_gp nucleotide_off
23.33Consensusgs_peptideOrthosteric Ligandgs_cck gs_melanocortin gs_vasop-oxy
23.08Single2HPYAll-trans-Retinal2HPY-Rhodopsin-All-trans-Retinal
23.08Single3RFMCaffeine3RFM-A2A-Caffeine
23.08Single6TQ9SB-4081246TQ9-OX1-SB-408124
23.08Single7DD5Ca; Ca; Tryptophan; NPS-21437DD5-CaS; CaS-Ca-Ca; Ca; Tryptophan; NPS-2143
23.08Single7QBIAlpha-factor mating pheromone7QBI-STE2; STE2-α-factor mating pheromone
23.08Single7RGPTirzepatide7RGP-GLP-1-Tirzepatide-chim(NtGi1-Gs)/β1/γ2
23.08Single8A2OTheophylline8A2O-A2A-Theophylline-Na
23.08Single8XOFLys058XOF-GPR30-Lys05-chim(NtGi1-Gs-CtGq)/β1/γ2
23.08Single8XVEBQ30208XVE-ETB-BQ3020-chim(Gs-CtGq)/β1/γ2
23.08Single8Y02All-trans-Retinal8Y02-OPN1SW-All-trans-Retinal-Gi1/β1/γ2
23.08Single9KFKRelaxin-39KFK-RXFP4-Relaxin-3-Gi2/β1/γ2
23.08Consensusnpy4_onOrthosteric Ligand7X9C-Y4-Pancreatic Hormone-Gi1/β1/γ2
23.08Consensusnpy4_on_gpOrthosteric Ligand7X9C-Y4-Pancreatic Hormone-Gi1/β1/γ2
22.73Single7F4ISHU91197F4I-MC1-SHU9119-chim(NtGi1-Gs)/β1/γ2
22.73Single7QA8Antagonist Peptide7QA8-STE2; STE2-Antagonist Peptide
22.73Single7QA8Antagonist Peptide7QA8-STE2; STE2-Antagonist Peptide
22.73Single7T6UCGEN-855A7T6U-FPR2-ALX-CGEN-855A-Gi1/β1/γ2
22.73Single8F7XNociceptin8F7X-NOP-Nociceptin-Gi1/β1/γ2
22.73Single8GHVAMG3158GHV-CB1-AMG315-Gi1/β1/γ2
22.73Single8WZ2Orexigenic Neuropeptide QRFP8WZ2-QRFP-Orexigenic Neuropeptide QRFP-chim(NtGi1L-Gs-CtGq)/β1/γ2
22.73Single9L3YChemerin9L3Y-CML2-Chemerin-Gi1/β1/γ2
22.73Single9UMRC5a-pep9UMR-C5a1-C5a-pep-Go/β1/γ2
22.73Consensuslpl_onOrthosteric Ligands1p_on lpa_on
22.73Consensuslpl_on_gpOrthosteric Ligands1p_on_gp lpa_on_gp
22.73Consensusnop_onOrthosteric Ligand8F7X-NOP-Nociceptin-Gi1/β1/γ2
22.73Consensusnop_on_gpOrthosteric Ligand8F7X-NOP-Nociceptin-Gi1/β1/γ2
22.73Consensussst5_onOrthosteric Ligand8X8L-SST5-Cortistatin-14-chim(NtGi1-Gs-CtGi1)/β1/γ2 8X8N-SST5-Octreotide-chim(NtGi1-Gs-CtGi1)/β1/γ2
22.58Consensusclass-a_class-b1_cons_on_gpOrthosteric Ligandclass-a_on_gp class-b1_on_gp
22.22Single5IUAQ274563485IUA-A2A-Q27456348-Na
22.22Single5N2RPSB365N2R-A2A-PSB36-Na
22.22Single5N2SPSB365N2S-A1-PSB36
22.22Single5ZBQUR-MK-2995ZBQ-Y1-UR-MK-299
22.22Single6B3JExendin-P56B3J-GLP-1-Exendin-P5-Gs/β1/γ2
22.22Single6GPXMK08126GPX-CCR2-MK0812
22.22Single6KPCAM120336KPC-CB2-AM12033
22.22Single6LPLZM-2413856LPL-A2A-ZM-241385-Na
22.22Single6S0QZM-2413856S0Q-A2A-ZM-241385
22.22Single6WQAZM-2413856WQA-A2A-ZM-241385-Na
22.22Single7BB7AVP7BB7-V2-AVP-Gs/β1/γ2
22.22Single7C4SS1P7C4S-S1P3-S1P
22.22Single7F4FAfamelanotide7F4F-MC1-Afamelanotide-chim(NtGi1-Gs)/β1/γ2
22.22Single7QBCAlpha-factor mating pheromone7QBC-STE2; STE2-α-factor mating pheromone
22.22Single7RM5ZM-2413857RM5-A2A-ZM-241385-Na
22.22Single7TD3S1P7TD3-S1P1-S1P-Gi1/β1/γ2
22.22Single7XATSomatostatin-147XAT-SST2-Somatostatin-14-Gi1/β1/γ2
22.22Single8FYNZM-2413858FYN-A2A-ZM-241385-Na
22.22Single8GD9Rivenprost8GD9-EP4-Rivenprost-Gs/β1/γ2
22.22Single8GNEKW-63568GNE-A2A-KW-6356-Na
22.22Single8K8JFenofibrate8K8J-CB1-Fenofibrate-chim(Gs-CtGq)/β1/γ2
22.22Single8KFXLMD-0098KFX-CCR8-LMD-009-Gi1/β1/γ2
22.22Single8QOTNanobody-E8QOT-μ-Nanobody-E
22.22Single8WWLMCH8WWL-MCH1-MCH-Gi1/β1/γ2
22.22Single8X0CVU04244658X0C-mGlu5; mGlu5-Quisqualate-VU0424465
22.22Single8X0CVU04244658X0C-mGlu5; mGlu5-Quisqualate-VU0424465
22.22Single8X0DVU04244658X0D-mGlu5; mGlu5-Quisqualate-VU0424465
22.22Single8X0DVU04244658X0D-mGlu5; mGlu5-Quisqualate-VU0424465
22.22Single8XWPEndothelin-18XWP-ETB-Endothelin-1-Gi1/β1/γ2
22.22Single9BUCCagrilintide9BUC-CT-Cagrilintide-Gs/β1/γ2
22.22Single9ERXD9-THC analog9ERX-CB1-D9-THC analog-Gi1/β1/γ2
22.22Single9IYBPGD29IYB-DP2-PGD2-A1D5Q-Gi1/β1/γ2
22.22Single9JKSPubChem 442501769JKS-HCA3-PubChem 44250176-Gi1/β1/γ2
22.22Single9KT6Acifran9KT6-HCA3-Acifran-Gi1/β1/γ2
22.22Single9KUTJR14a9KUT-C3aB-JR14a-Go/β1/γ2
22.22Consensusa1_offOrthosteric Ligand5UEN-A1-DU172 5N2S-A1-PSB36
22.22Consensusblt1_offOrthosteric Ligand5X33-BLT1-BIIL260 7K15-BLT1-MKD046-Na
22.22Consensusblt_offOrthosteric Ligandblt1_off
22.22Consensuslipid_onOrthosteric Ligandcannabinoid_on ffa_on lpl_on prostanoid_on leukotriene_on
22.22Consensuslipid_on_gpOrthosteric Ligandcannabinoid_on_gp ffa_on_gp lpl_on_gp prostanoid_on_gp leukotriene_on_gp
22.22Consensusrxfp4_onOrthosteric Ligand7YK7-RXFP4-DC591053-Gi2/β1/γ2 7YJ4-RXFP4-INSL5-Gi2/β1/γ2 7YK6-RXFP4-PubChem 138319674-Gi2/β1/γ2
22.22Consensusrxfp4_on_gpOrthosteric Ligand7YK7-RXFP4-DC591053-Gi2/β1/γ2 7YJ4-RXFP4-INSL5-Gi2/β1/γ2 7YK6-RXFP4-PubChem 138319674-Gi2/β1/γ2
22.22Consensuss1p_offOrthosteric Ligands1p1_off s1p5_off
21.74Single7EZKCholecystokinin-87EZK-CCKA-Cholecystokinin-8-chim(NtGi1-Gs)/β1/γ2
21.74Single7RKMCX3CL17RKM-US28-CX3CL1-Gi1/β1/γ2
21.74Single7W0NElabela7W0N-Apelin; Apelin-Elabela-Gi1/β1/γ2
21.74Single8F7WDynorphin8F7W-κ-Dynorphin-Gi1/β1/γ2
21.74Single8Z7JJN241-98Z7J-Apelin-JN241-9-Gi1/β1/γ2
21.74Single9E82CXCL12 (fragment)9E82-ACKR3-CXCL12 (fragment)-Arrestin2
21.74Single9IK8Pasireotide9IK8-SST1-Pasireotide-Gi1/β1/γ2
21.74Single9IQVMuscarinic toxin 39IQV-Alpha1A-Muscarinic toxin 3
21.74Single9JFK(Pen5)-Urotensin II9JFK-UT-(Pen5)-Urotensin II-chim(NtGi2L-Gs-CtGq)/β1/γ2
21.74Single9KFIRelaxin-39KFI-RXFP3-Relaxin-3-Gi2/β1/γ2
21.74Single9L60Dynorphin9L60-κ-Dynorphin-MPAM-15-Gi1/β1/γ2
21.74Single9UMXEP549UMX-C5a1-EP54-Go/β1/γ2
21.74Consensuscckb_onOrthosteric Ligand8IA7-CCKB-Cholecystokinin-8-chim(NtGi1L-Gq)/β1/γ2 7XOW-CCKB-Sulfated Gastrin-(10-17)-chim(NtGi1-Gq)/β1/γ2 7F8V-CCKB-Gastrin-17-Gi2/β1/γ2
21.74Consensusformylpeptide_on_gpOrthosteric Ligandfpr2-alx_on_gp fpr1-alx_on_gp
21.74Consensusgi_cckOrthosteric Ligand7EZH-CCKA-Cholecystokinin-8-Gi1/β1/γ2 7F8V-CCKB-Gastrin-17-Gi2/β1/γ2
21.43Single6IGLIRL16206IGL-ETB-IRL1620
21.43Single7QBCAlpha-factor mating pheromone7QBC-STE2; STE2-α-factor mating pheromone
21.43Single7TS0Urocortin7TS0-CRF2-Urocortin-chim(NtGi1L-Go)/β1/γ2
21.43Single7VGXNeuropeptide-Y7VGX-Y1-Neuropeptide-Y-Gi1/β1/γ2
21.43Single7WC5Psilocin7WC5-5-HT2A-Psilocin
21.43Single8EITDoconexent8EIT-FFA1-Doconexent-chim(NtGi1L-Gs-CtGq)/β1/γ2
21.43Single8F0KPramlintide Analogue San3858F0K-CT (AMY3)-Pramlintide Analogue San385-Gs/β1/γ2; RAMP3
21.43Single8IY5Endothelin-18IY5-ETB-Endothelin-1-Gi1/β1/γ2
21.43Single8J21Butyric acid8J21-FFA3-Butyric acid-Gi1/β1/γ2
21.43Single8J24Acetic acid8J24-FFA2-Acetic acid-Gi1/β1/γ2
21.43Single8WWNMCH8WWN-MCH1-MCH-Gi1/β1/γ2
21.43Single8X9UMetenolone8X9U-ADGRD1-Metenolone-chim(NtGi1-Gs)/β1/γ2
21.43Single9JKT(2R)-2-hydroxy-3-phenylpropanoic acid9JKT-HCA3-(2R)-2-hydroxy-3-phenylpropanoic acid-Gi1/β1/γ2
21.43Consensusffa3_onOrthosteric Ligand8J21-FFA3-Butyric acid-Gi1/β1/γ2
21.43Consensusffa3_on_gpOrthosteric Ligand8J21-FFA3-Butyric acid-Gi1/β1/γ2
21.05Single4OO9Mavoglurant4OO9-mGlu5-Mavoglurant
21.05Single4Z34ONO-97803074Z34-LPA1-ONO-9780307
21.05Single5XRAAM115425XRA-CB1-AM11542
21.05Single6N4BMDMB-Fubinaca6N4B-CB1-MDMB-Fubinaca-Gi1/β1/γ2
21.05Single6O3CCholesterol6O3C-SMO-SAG21k-Cholesterol
21.05Single7PX4PSB-21137PX4-A2A-PSB-2113
21.05Single7TD1LPA7TD1-LPA1-LPA-Gi1/β1/γ2
21.05Single7VIGCBP-3077VIG-S1P1-CBP-307-Gi1/β1/γ2
21.05Single7WV9CP559407WV9-CB1-CP55940-ZCZ011-Gi2/β1/γ2
21.05Single8GUSHU-3088GUS-CB2-HU-308-Gi1/β1/γ2
21.05Single8IUKPGF2-alpha8IUK-FP-alpha-PGF2-α-chim(NtGi1-Gs-CtGq)/β1/γ2
21.05Single8X0BVU04244658X0B-mGlu5; mGlu5-Quisqualate-VU0424465
21.05Single8X0FVU298X0F-mGlu5; mGlu5-Quisqualate-VU29
21.05Single8X79MRE-2698X79-I2-MRE-269-Gs/β1/γ2
21.05Single8XIPPasireotide8XIP-SST1-Pasireotide-chim(NtGi1-Gs-CtGi1)/β1/γ2
21.05Single8YNTSNAP-948478YNT-MCH1-SNAP-94847
21.05Single9EGOZ85267113509EGO-CB1-Z8526711350-Gi1/β1/γ2
21.05Single9RHGC4079RHG-FZD7-C407
21.05Consensuscyslt1_offOrthosteric Ligand6RZ5-CysLT1-Zafirlukast-Na 6RZ4-CysLT1-Pranlukast-Na
21.05Consensusgi_relaxinOrthosteric Ligand7YK7-RXFP4-DC591053-Gi2/β1/γ2 7YJ4-RXFP4-INSL5-Gi2/β1/γ2 7YK6-RXFP4-PubChem 138319674-Gi2/β1/γ2
21.05Consensusnpy1_offOrthosteric Ligand5ZBH-Y1-BMS-193885 5ZBQ-Y1-UR-MK-299
21.05Consensusnpy_offOrthosteric Ligandnpy1_off npy2_off
21.05Consensusprotein_offOrthosteric Ligandchemokine_off grh_off
21.05Consensusrelaxin_onOrthosteric Ligandrxfp4_on
21.05Consensusrelaxin_on_gpOrthosteric Ligandrxfp4_on_gp
20.83Single6LW5WKYMVm6LW5-FPR2-ALX-WKYMVm
20.83Single6UUNAdrenomedullin6UUN-CT Like (AM1)-Adrenomedullin-Gs/β1/γ2; RAMP2
20.83Single6VN7PACAP276VN7-VPAC1-PACAP27-Gs/β1/γ2
20.83Single7MBXCholecystokinin-87MBX-CCKA-Cholecystokinin-8-Gs/β1/γ1
20.83Single7TD2LPA7TD2-LPA1-LPA-Gi1/β1/γ2
20.83Single7XOUCholecystokinin-87XOU-CCKA-Cholecystokinin-8-Gs/β1/γ2
20.83Single8XZGApelin-138XZG-Apelin; Apelin-Apelin-13-Gi1/β1/γ2
20.83Single8XZHMM078XZH-Apelin; Apelin-MM07-Gi1/β1/γ2
20.83Single9K27PrRP319K27-PrRP-PrRP31-chim(NtGi1-Gq)/β1/γ2
20.83Single9M1ONeuropeptide-FF9M1O-NPFF2-Neuropeptide-FF-Gi1/β1/γ2
20.83Single9UYIChemerin-99UYI-CML2-Chemerin-9-Arrestin2
20.83Consensuscckb_on_gpOrthosteric Ligand8IA7-CCKB-Cholecystokinin-8-chim(NtGi1L-Gq)/β1/γ2 7XOW-CCKB-Sulfated Gastrin-(10-17)-chim(NtGi1-Gq)/β1/γ2 7F8V-CCKB-Gastrin-17-Gi2/β1/γ2
20.83Consensusfpr2-alx_onOrthosteric Ligand7WVX-FPR2-ALX-Humanin-Gi2/β1/γ2 7T6U-FPR2-ALX-CGEN-855A-Gi1/β1/γ2 7T6V-FPR2-ALX-fMLFII-Gi1/β1/γ2 7WVY-FPR2-ALX-Amyloid-β42-Gi2/β1/γ2 7T6S-FPR2-ALX-TC-FPR 43-Gi1/β1/γ2 6OMM-FPR2-ALX-WKYMVX-Gi1/β1/γ2
20.83Consensusgs_cckOrthosteric Ligand7MBX-CCKA-Cholecystokinin-8-Gs/β1/γ1
20.69Single5GLHEndothelin-15GLH-ETB-Endothelin-1
20.69Single6IGKEndothelin-36IGK-ETB-Endothelin-3
20.69Single6PB0Urocortin6PB0-CRF1-Urocortin-chim(NtGi1-Gs)/β1/γ2
20.69Consensusclass-a_class-b1_cons_onOrthosteric Ligandclass-a_on class-b1_on
20.69Consensuscrf1_onOrthosteric Ligand6PB0-CRF1-Urocortin-chim(NtGi1-Gs)/β1/γ2 6P9X-CRF1-Corticoliberin-1-Gs/β1/γ2
20.69Consensusgi_endothelinOrthosteric Ligand8IY5-ETB-Endothelin-1-Gi1/β1/γ2 8HBD-ETB-IRL1620-Gi1/β1/γ2
20.69Consensusgi_npyOrthosteric Ligand8K6M-Y1-Neuropeptide-Y-Gi2/β1/γ1 7X9C-Y4-Pancreatic Hormone-Gi1/β1/γ2 7YOO-Y2-Neuropeptide-Y-Gi1/β1/γ2
20.69Consensusnpy_onOrthosteric Ligandnpy1_on npy2_on npy4_on
20.69Consensusnpy_on_gpOrthosteric Ligandnpy1_on_gp npy2_on_gp npy4_on_gp
20.00Single3OE9IT1t3OE9-CXCR4-IT1t
20.00Single4N4WSANT-14N4W-SMO-SANT-1
20.00Single5WB2CX3CL1.355WB2-US28-CX3CL1.35
20.00Single6LPBPACAP276LPB-PAC1-PACAP27-Gs/β1/γ1
20.00Single6PGSGeraniol6PGS-Rhodopsin-Geraniol-Gt(CT)
20.00Single6WIVPubChem 52923113; PubChem 529246456WIV-GABAB1, GABAB2-PubChem 52923113; PubChem 52924645
20.00Single7AD3Alpha-factor mating pheromone7AD3-STE2; STE2-α-factor mating pheromone-Gi1/STE4/γ2
20.00Single7FIMTirzepatide7FIM-GLP-1-Tirzepatide-Gs/β1/γ2
20.00Single7L1UOrexin7L1U-OX2-Orexin-chim(NtGi1-Gs-CtGq)/β1/γ2
20.00Single7T10Somatostatin-147T10-SST2-Somatostatin-14-Gi3/β1/γ2
20.00Single7V9MSomatoliberin7V9M-GHRH (SV1)-Somatoliberin-Gs/β1/γ2
20.00Single7VUIJNJ-635330547VUI-GPR139-JNJ-63533054-GTP-chim(Gs-CtGq)/β1/γ2
20.00Single7WUIIP157WUI-ADGRG2-IP15-chim(NtGi1-Gs)/β1/γ2
20.00Single7XZ5Lysophosphatidylcholine7XZ5-GPR119-Lysophosphatidylcholine-Gs/β1/γ2
20.00Single8GCPPGE28GCP-EP4-PGE2-Gi1/β1/γ2
20.00Single8IEDPubChem 1347468948IED-GPR156; GPR156-PubChem 134746894-Go/β1/γ2
20.00Single8IHIAcifran8IHI-HCA2-Acifran-Gi1/β1/γ2
20.00Single8IQ6Latanoprost8IQ6-FP-alpha-Latanoprost-chim(NtGi1-Gs-CtGq)/β1/γ2
20.00Single8J6DEP1418J6D-C3aB-EP141-Go/β1/γ2
20.00Single8JILNiacin8JIL-HCA2-Niacin-Gi1/β1/γ2
20.00Single8RWHStilSwitch28RWH-A2A-StilSwitch2-Na
20.00Single8WSTMCH8WST-MCH2-MCH-chim(NtGi1L-Gs-CtGq)/β1/γ2
20.00Single8X8NOctreotide8X8N-SST5-Octreotide-chim(NtGi1-Gs-CtGi1)/β1/γ2
20.00Single8XJNCloprosetnol8XJN-TXA2-Cloprosetnol-chim(NtGi1-Gs-CtGq)/β1/γ2
20.00Single9B9YTaranabant9B9Y-CB1-Taranabant
20.00Single9BLCCagrilintide (non-acylated)9BLC-CT-Cagrilintide (non-acylated)-Gs/β1/γ2
20.00Single9GGGI-BOP9GGG-TXA2-I-BOP-chim(NtGi2L-Gs-CtGq)/β1/γ2
20.00Single9IZDCHBA9IZD-HCA1-CHBA-Gi1/β1/γ2
20.00Single9IZHLPA9IZH-LPA1-LPA-chim(NtGi2-G13)/β1/γ2
20.00Single9WXMGPR15L(CT)9WXM-GPR15-GPR15L(CT)-Gi3/β1/γ2
20.00Single9YDAAll-trans-Retinal9YDA-Opsin1MW-All-trans-Retinal-chim(NtGi1L-Gs-CtGt)/β1/γ2
20.00Consensusc3a_onOrthosteric Ligand8HK2-C3aB-C3a-Gi1/β1/γ2 8IA8-C3aB-E7 peptide-Gi1/β1/γ2
20.00Consensuscb1_onOrthosteric Ligand6KPG-CB1-AM841-Gi1/β1/γ2 8K8J-CB1-Fenofibrate-chim(Gs-CtGq)/β1/γ2
20.00Consensusccr8_onOrthosteric Ligand8KFX-CCR8-LMD-009-Gi1/β1/γ2 8KFY-CCR8-ZK-756326-Gi1/β1/γ2 8U1U-CCR8-CCL1-Gi1/β1/γ2
20.00Consensusetb_on_gpOrthosteric Ligand8IY5-ETB-Endothelin-1-Gi1/β1/γ2 8HBD-ETB-IRL1620-Gi1/β1/γ2
20.00Consensusffa2_on_gpOrthosteric Ligand8J22-FFA2-TUG-1375-Gi1/β1/γ2
20.00Consensusgi_formylpeptideOrthosteric Ligand7WVY-FPR2-ALX-Amyloid-β42-Gi2/β1/γ2 7T6U-FPR2-ALX-CGEN-855A-Gi1/β1/γ2 7VFX-FPR1-ALX-fMIFL-Gi1/β1/γ2 7T6V-FPR2-ALX-fMLFII-Gi1/β1/γ2 7WVX-FPR2-ALX-Humanin-Gi2/β1/γ2 7T6S-FPR2-ALX-TC-FPR 43-Gi1/β1/γ2 6OMM-FPR2-ALX-WKYMVX-Gi1/β1/γ2
20.00Consensusleukotriene_offOrthosteric Ligandblt_off cyslt_off
20.00Consensuslipid_offonOrthosteric Ligandlipid_off lipid_on
20.00Consensuslipid_offon_gpOrthosteric Ligandlipid_on_gp lipid_off
20.00Consensuslpl_offOrthosteric Ligands1p_off lpa_off
20.00Consensusprotein_offonOrthosteric Ligandprotein_off protein_on
20.00Consensusprotein_offon_gpOrthosteric Ligandprotein_on_gp protein_off
19.35Single6LRYSarafotoxin-B6LRY-ETB-Sarafotoxin-B
19.35Consensuscrf1_on_gpOrthosteric Ligand6PB0-CRF1-Urocortin-chim(NtGi1-Gs)/β1/γ2 6P9X-CRF1-Corticoliberin-1-Gs/β1/γ2
19.35Consensuscrf_on_gpOrthosteric Ligandcrf2_on_gp crf1_on_gp
19.23Single7F6IKallidin7F6I-BK2-Kallidin-Gq/β1/γ2
19.23Single7WBJPACAP277WBJ-VPAC1-PACAP27-Gs/β1/γ2
19.23Single7X9BNeuropeptide-Y7X9B-Y2-Neuropeptide-Y-Gi1/β1/γ2
19.23Single7XV3Lysophosphatidylserine (WJS)7XV3-GPR174-Lysophosphatidylserine (WJS)-chim(NtGi1-Gs)/β1/γ2
19.23Single7Y64C5a7Y64-C5a1-C5a-Gi1/β1/γ2
19.23Single8E3YPACAP278E3Y-VPAC1-PACAP27-Gs/β1/γ2
19.23Single8E3ZVIP8E3Z-VPAC1-VIP-Gs/β1/γ2
19.23Single8HCXEndothelin-18HCX-ETB-Endothelin-1-chim(NtGi2L-Gs-CtGq)/β1/γ2
19.23Single8IODPG-9018IOD-MC5-PG-901-Ca-chim(NtGi1-Gs)/β1/γ2
19.23Single8XVHEndothelin-18XVH-ETB-Endothelin-1-chim(Gs-CtGq)/β1/γ2
19.23Single8ZRTEndothelin-18ZRT-ETB-Endothelin-1
19.23Single9E2AGLP-19E2A-GLP-1-GLP-1-Gs/β1/γ2
19.23Consensusmc1_onOrthosteric Ligand7F4H-MC1-Afamelanotide-chim(NtGi1-Gs)/β1/γ2 7F4D-MC1-α-MSH-chim(NtGi1-Gs)/β1/γ2 7F4I-MC1-SHU9119-chim(NtGi1-Gs)/β1/γ2
19.23Consensusmc1_on_gpOrthosteric Ligand7F4H-MC1-Afamelanotide-chim(NtGi1-Gs)/β1/γ2 7F4D-MC1-α-MSH-chim(NtGi1-Gs)/β1/γ2 7F4I-MC1-SHU9119-chim(NtGi1-Gs)/β1/γ2
19.23Consensusvpac1_onOrthosteric Ligand8E3Z-VPAC1-VIP-Gs/β1/γ2
19.05Single6K1QIRL25006K1Q-ETB-IRL2500
19.05Single6KPGAM8416KPG-CB1-AM841-Gi1/β1/γ2
19.05Single7EZHCholecystokinin-87EZH-CCKA-Cholecystokinin-8-Gi1/β1/γ2
19.05Single7EZMCholecystokinin-87EZM-CCKA-Cholecystokinin-8-chim(NtGsL-Gq)/β1/γ2
19.05Single7LLLExendin-47LLL-GLP-1-Exendin-4-Gs/β1/γ2
19.05Single7YU8ONO-07405567YU8-LPA1-ONO-0740556-Gi1/β1/γ2
19.05Single8GUTLEI-1028GUT-CB2-LEI-102-Gi1/β1/γ2
19.05Single8WRZAM8418WRZ-CB1-AM841-Arrestin2
19.05Single8XJOU466198XJO-TXA2-U46619-chim(NtGi1-Gs-CtGq)/β1/γ2
19.05Single8ZX4Lysophosphatidylinositol 8ZX4-GPR55-Lysophosphatidylinositol-chim(NtGi1-G13)/β1/γ2
19.05Single9GE3Lysophosphatidylinositol9GE3-GPR55-Lysophosphatidylinositol-chim(NtGi1-G13)/β1/γ2
19.05Single9KV8TLQP219KV8-C3aB-TLQP21-Go/β1/γ2
19.05Single9M1HPGE29M1H-EP1-PGE2-chim(NtGi1-Gs-CtGq)/β1/γ2
19.05Single9UYHChemerin-99UYH-CML2-Chemerin-9-Arrestin2
19.05Single9VI9RFRP-39VI9-NPFF1-RFRP-3-Gi1/β1/γ2
19.05Consensusc3a_on_gpOrthosteric Ligand8HK2-C3aB-C3a-Gi1/β1/γ2 8IA8-C3aB-E7 peptide-Gi1/β1/γ2
19.05Consensusccka_onOrthosteric Ligand7EZH-CCKA-Cholecystokinin-8-Gi1/β1/γ2
19.05Consensusccka_on_gpOrthosteric Ligand7EZH-CCKA-Cholecystokinin-8-Gi1/β1/γ2
19.05Consensusprostanoid_onOrthosteric Ligandtp_on fp-alpha_on
19.05Consensusprostanoid_on_gpOrthosteric Ligandtp_on_gp fp-alpha_on_gp
19.05Consensustp_onOrthosteric Ligand8XJO-TXA2-U46619-chim(NtGi1-Gs-CtGq)/β1/γ2
19.05Consensustp_on_gpOrthosteric Ligand8XJO-TXA2-U46619-chim(NtGi1-Gs-CtGq)/β1/γ2
18.75Single3PWHZM-2413853PWH-A2A-ZM-241385
18.75Single3VG9ZM-2413853VG9-A2A-ZM-241385-Antibody
18.75Single6TQ6PubChem 1457142836TQ6-OX1-PubChem 145714283
18.75Single7M3FCa; Ca; Tryptophan; Cinacalcet7M3F-CaS; CaS-Ca; Ca; Tryptophan; Cinacalcet
18.75Single7W0MPubChem 1227019087W0M-Apelin-PubChem 122701908-Gi1/β1/γ2
18.75Single7W0OElabela7W0O-Apelin-Elabela-Gi1/β1/γ2
18.75Single7WF7S1P7WF7-S1P1-S1P-Gi1/β1/γ2
18.75Single7X9ANeuropeptide-Y7X9A-Y1-Neuropeptide-Y-Gi1/β1/γ2
18.75Single8DWGML3828DWG-MRGPRX1-BAM8-22-ML382-chim(NtGi2L-Gs-CtGq)/β1/γ2
18.75Single8J20Valeric acid8J20-FFA3-Valeric acid-AR420626-Gi1/β1/γ2
18.75Single8RVWStilSwitch38RVW-A2A-StilSwitch3-Na
18.75Single8RW4AzoSwitch28RW4-A2A-AzoSwitch2-Na
18.75Single8RWEStilSwitch48RWE-A2A-StilSwitch4-Na
18.75Single8T3SButyric acid8T3S-FFA2-Butyric acid-chim(NtGi2L-Gs-CtGq)/β1/γ2
18.75Single8UTDMK19038UTD-HCA2-MK1903-Gi1/β1/γ2
18.75Single9AVLCa; Ca; Cyclomethyltryptophan; R-568; PO49AVL-CaS; CaS-Ca-Ca; Ca; Cyclomethyltryptophan; R-568; PO4-Gi3/β2/γ2
18.75Single9C1PCa; Tryptophan; '6218; PO49C1P-CaS; CaS-Ca-Ca; Tryptophan; '6218; PO4
18.75Single9C2FCa; Ca; Tryptophan; '54149; PO49C2F-CaS; CaS-Ca-Ca; Ca; Tryptophan; '54149; PO4
18.75Single9FUPIstradefylline9FUP-A2A-Istradefylline-Na
18.75Single9LKDPL459LKD-OR5V1-PL45
18.52Single6P9YPACAP276P9Y-PAC1-PACAP27-Gs/β1/γ2
18.52Single7VABTirzepatide (non-acylated)7VAB-GIP-Tirzepatide (non-acylated)-chim(NtGi1-Gs)/β1/γ2
18.52Single8E3XPACAP278E3X-PAC1-PACAP27-Gs/β1/γ2
18.52Single8XQFApelin-138XQF-Apelin-Apelin-13-Gi1/β1/γ2
18.52Single9BLWCagrilintide (non-acylated)9BLW-CT (AMY1)-Cagrilintide (non-acylated)-Gs/β1/γ2; RAMP1
18.52Single9P92VIP9P92-PAC1-VIP-Gs/β1/γ2
18.52Consensusgi_compl-peptOrthosteric Ligand8HK5-C5a1-C5a-Gi1/β1/γ2 8IA8-C3aB-E7 peptide-Gi1/β1/γ2 7Y66-C5a1-BM213-Gi1/β1/γ2 7Y67-C5a1-C089 peptide-Gi1/β1/γ2 8HK2-C3aB-C3a-Gi1/β1/γ2 7Y64-C5a1-C5a-Gi1/β1/γ2
18.52Consensuspac_on_gpOrthosteric Ligandpac1_on_gp
18.52Consensusvpac1_on_gpOrthosteric Ligand8E3Z-VPAC1-VIP-Gs/β1/γ2
18.18Single6OMMWKYMVX6OMM-FPR2-ALX-WKYMVX-Gi1/β1/γ2
18.18Single7RKFCX3CL17RKF-US28-CX3CL1-GDP-chim(NtGi1-G11)/β1/γ2
18.18Single7Y1FDynorphin7Y1F-κ-Dynorphin-Gi1/β1/γ2
18.18Single8GDAL9026888GDA-EP4-L902688-Gs/β1/γ2
18.18Single8IQ4Carboprost8IQ4-FP-alpha-Carboprost-chim(NtGi1-Gs-CtGq)/β1/γ2
18.18Single8J22TUG-13758J22-FFA2-TUG-1375-Gi1/β1/γ2
18.18Single8QJ2pN1628QJ2-MC4-pN162-Gs/β1/γ2
18.18Single9JF4PD1683689JF4-BB1-PD168368
18.18Single9WSXEndomorphin9WSX-μ-Endomorphin-Arrestin2
18.18Consensusgq_cckOrthosteric Ligand8IA7-CCKB-Cholecystokinin-8-chim(NtGi1L-Gq)/β1/γ2 7XOW-CCKB-Sulfated Gastrin-(10-17)-chim(NtGi1-Gq)/β1/γ2 7EZM-CCKA-Cholecystokinin-8-chim(NtGsL-Gq)/β1/γ2 7F8W-CCKB-Gastrin-17-chim(NtGsL-Gq)/β1/γ2
18.18Consensuskiss1_onOrthosteric Ligand8ZJD-Kiss1-Kisspeptin-1-chim(NtGi1-Gq)/β1/γ1
18.18Consensuskisspeptin_onOrthosteric Ligandkiss1_on
18.18Consensuspth_onOrthosteric Ligandpth1_on pth2_on
17.86Single6P9XCorticoliberin-16P9X-CRF1-Corticoliberin-1-Gs/β1/γ2
17.86Single6VCBGLP-16VCB-GLP-1-GLP-1-LSN3160440-Gs/β1/γ2
17.86Single7AD3Alpha-factor mating pheromone7AD3-STE2; STE2-α-factor mating pheromone-Gi1/STE4/γ2
17.86Single7F53Alpha-MSH7F53-MC4-α-MSH-Gs/β1/γ2
17.86Single7TYFAmylin7TYF-CT (AMY1)-Amylin-Gs/β1/γ2; RAMP1
17.86Single7YOONeuropeptide-Y7YOO-Y2-Neuropeptide-Y-Gi1/β1/γ2
17.86Consensuscrf_onOrthosteric Ligandcrf2_on crf1_on
17.86Consensusglp_onOrthosteric Ligandglp1_on glp2_on
17.86Consensusglp_on_gpOrthosteric Ligandglp1_on_gp glp2_on_gp
17.86Consensusnpy2_onOrthosteric Ligand7YOO-Y2-Neuropeptide-Y-Gi1/β1/γ2
17.86Consensusnpy2_on_gpOrthosteric Ligand7YOO-Y2-Neuropeptide-Y-Gi1/β1/γ2
17.65Single5UVIZM-2413855UVI-A2A-ZM-241385
17.65Single6FFIMPEP6FFI-mGlu5-MPEP
17.65Single6MH8ZM-2413856MH8-A2A-ZM-241385
17.65Single6PELCitronellol6PEL-Rhodopsin-Citronellol-Gt(CT)
17.65Single6PT0WIN 55212-26PT0-CB2-WIN 55212-2-Gi1/β1/γ2
17.65Single6TPKRetosiban6TPK-OT-Retosiban
17.65Single7M3GCa; Ca; Tryptophan; Evocalcet; Etelcalcetide; PO47M3G-CaS; CaS-Ca; Ca; Tryptophan; Evocalcet; Etelcalcetide; PO4
17.65Single8H4LDoconexent8H4L-FFA4-Doconexent-chim(NtGi1-Gs-CtGq)/β1/γ2
17.65Single8HQN9-S-HODE8HQN-GPR132-9-S-HODE-Gi1/β1/γ2
17.65Single8K9LDAMGO8K9L-μ-DAMGO-BMS-986122-Gi3/β1/γ1
17.65Single8Y6YGLPG09748Y6Y-FFA2-GLPG0974
17.65Single8ZPMAMD0708ZPM-CXCR4-AMD070
17.65Single8ZPNAMD31008ZPN-CXCR4-AMD3100
17.65Single9BA0MRI-18919BA0-CB1-MRI-1891
17.65Single9JMDAzithromycin9JMD-Motilin-Azithromycin-chim(Gs-CtGq)/β1/γ2
17.65Single9K1DButyric acid9K1D-FFA2-Butyric acid-Gi1/β1/γ2
17.65Single9KPDSalicin9KPD-TAS2R16-Salicin-chim(Gs-CtGt3)/β1/γ2
17.65Single9LKBPL459LKB-OR5V1-PL45-chim(NtGi1-Gs)/β1
17.65Single9M2FNeuropeptide-FF9M2F-NPFF1-Neuropeptide-FF-Gi1/β1/γ2
17.65Consensuscb1_offOrthosteric Ligand5U09-CB1-Taranabant 5TGZ-CB1-AM6538
17.65Consensusghrelin_offOrthosteric Ligand6KO5-Ghrelin-PubChem 57400002 7F83-Ghrelin-PF-05190457
17.65Consensusnucleotide_offOrthosteric Ligandadenosine_off p2y_off
17.65Consensusot_offOrthosteric Ligand6TPK-OT-Retosiban
17.65Consensusvasop-oxy_offOrthosteric Ligandot_off
17.39Single4XT1CX3CL14XT1-US28-CX3CL1
17.39Single6WIVPubChem 52923113; PubChem 529246456WIV-GABAB1, GABAB2-PubChem 52923113; PubChem 52924645
17.39Single7TD4Siponimod7TD4-S1P1-Siponimod-Gi1/β1/γ2
17.39Single7XMRSomatostatin-147XMR-SST2-Somatostatin-14-Gi1/β1/γ2
17.39Single8IEBPubChem 1347468948IEB-GPR156; GPR156-PubChem 134746894
17.39Single8K3ZCXCL128K3Z-CXCR4-CXCL12-Gi1/β1/γ1
17.39Single8WKYPG-9348WKY-MC4-PG-934
17.39Single8XGMChemerin8XGM-CML2-Chemerin-Gi1/β1/γ2
17.39Single8YWFRetatrutide8YWF-GLP-1-Retatrutide-chim(NtGi1-Gs)/β1/γ2
17.39Single8ZJDKisspeptin-18ZJD-Kiss1-Kisspeptin-1-chim(NtGi1-Gq)/β1/γ1
17.39Single9BKJCholecystokinin-89BKJ-CCKA-Cholecystokinin-8-chim(NtGi1-Gs-CtGq)/β1/γ2
17.39Single9HB3Mambaquaretin-19HB3-V2-Mambaquaretin-1
17.39Single9KWGC5a9KWG-C5a1-C5a-Go/β1/γ2
17.39Single9MEJGp1209MEJ-CXCR4-Gp120
17.39Consensuscxcr4_onOrthosteric Ligand8K3Z-CXCR4-CXCL12-Gi1/β1/γ1
17.39Consensusgq_kisspeptinOrthosteric Ligand8ZJD-Kiss1-Kisspeptin-1-chim(NtGi1-Gq)/β1/γ1
17.39Consensuskiss1_on_gpOrthosteric Ligand8ZJD-Kiss1-Kisspeptin-1-chim(NtGi1-Gq)/β1/γ1
17.39Consensuskisspeptin_on_gpOrthosteric Ligandkiss1_on_gp
17.24Single5VAIGLP-15VAI-GLP-1-GLP-1-Gs/β1/γ2
17.24Single6LMLGlucagon6LML-Glucagon-Glucagon-Gi1/β1/γ1
17.24Single6WZGSecretin6WZG-Secretin-Secretin-Gs/β1/γ2
17.24Single7D68GLP-27D68-GLP-2-GLP-2-Gs/β1/γ2
17.24Single7KI1Taspoglutide7KI1-GLP-1-Taspoglutide-Gs/β1/γ2
17.24Single9BYOExendin-39BYO-GLP-1-Exendin-3-Gs/β1/γ2
17.24Single9P93VIP9P93-PAC1-VIP-Gs/β1/γ2
17.24Consensusendothelin_onOrthosteric Ligandetb_on eta_on
17.24Consensusetb_onOrthosteric Ligand8IY5-ETB-Endothelin-1-Gi1/β1/γ2 8HBD-ETB-IRL1620-Gi1/β1/γ2
17.24Consensuspth1_onOrthosteric Ligand6NBF-PTH1-LA-PTH Analog-Gs/β1/γ2 8HA0-PTH1-PTH-chim(NtGi1-Gs)/β1/γ2 8HAF-PTH1-PTHrP(1-36)-chim(NtGi1-Gs)/β1/γ2 7Y36-PTH1-PTH-Gs/β1/γ2 7Y35-PTH1-Abaloparatide-Gs/β1/γ2
17.24Consensusvip-pacap_onOrthosteric Ligandvpac_on pac_on
17.24Consensusvip-pacap_on_gpOrthosteric Ligandvpac_on_gp pac_on_gp
17.14Single7F16TIP397F16-PTH2-TIP39-Gs/β1/γ2
17.14Consensusclass-b1_onOrthosteric Ligandglucagon_on vip-pacap_on pth_on crf_on calcitonin_on
17.14Consensuspth2_on_gpOrthosteric Ligand7F16-PTH2-TIP39-Gs/β1/γ2
16.67Single5NDDAZ8838; Na5NDD-PAR2-AZ8838; Na
16.67Single6FFHFenobam6FFH-mGlu5-Fenobam
16.67Single6IIVDaltroban6IIV-TXA2-Daltroban
16.67Single7C6A(Sar1,Ile8)-Angiotensin II7C6A-AT2-(Sar1,Ile8)-Angiotensin II
16.67Single7DUQGLP-17DUQ-GLP-1-GLP-1-PubChem 156022738-Gs/β1/γ2
16.67Single7PP1Selatogrel7PP1-P2Y12-Selatogrel
16.67Single7VBITirzepatide (non-acylated)7VBI-GLP-1-Tirzepatide (non-acylated)-Gs/β1/γ2
16.67Single7YU4ONO-07405567YU4-LPA1-ONO-0740556
16.67Single7YXAONO-54306087YXA-S1P5-ONO-5430608
16.67Single8F7QBeta-Endorphin8F7Q-μ-β-Endorphin-Gi1/β1/γ2
16.67Single8GCML-9026888GCM-EP4-L-902688-Gi1/β1/γ2
16.67Single8KFYZK-7563268KFY-CCR8-ZK-756326-Gi1/β1/γ2
16.67Single8WSSMCH8WSS-MCH1-MCH-Gi1/β1/γ1
16.67Single8XJLPGF2-alpha8XJL-FP-alpha-PGF2-α-chim(NtGi2-Gs-CtGq)/β1/γ2
16.67Single8XYDPlatelet Activating Factor8XYD-PAF-Platelet Activating Factor-Gi1/β1/γ2
16.67Single8ZBEOctreotide8ZBE-SST5-Octreotide-Gi1/β1/γ1
16.67Single9EAINanobody AT2099EAI-AT1-Losartan-Nanobody AT209
16.67Single9IQSMuscarinic toxin 39IQS-M4-Muscarinic toxin 3
16.67Single9IYAONO-97105319IYA-GPR55-ONO-9710531
16.67Single9JQZGrapiprant 9JQZ-EP4-Grapiprant
16.67Consensusalicarboxylic_offOrthosteric Ligandsuccinate_off
16.67Consensuscck_offOrthosteric Ligandccka_off
16.67Consensusccka_offOrthosteric Ligand7F8Y-CCKA-Devazepide 7F8U-CCKA-Lintitript
16.67Consensusccr5_on_gpOrthosteric Ligand7O7F-CCR5-6P4-CCL5-Gi1/β1/γ1 7F1Q-CCR5-CCL3-Gi1/β1/γ2
16.67Consensusccr8_on_gpOrthosteric Ligand8KFX-CCR8-LMD-009-Gi1/β1/γ2 8KFY-CCR8-ZK-756326-Gi1/β1/γ2 8U1U-CCR8-CCL1-Gi1/β1/γ2
16.67Consensuscompl-peptide_onOrthosteric Ligandc5a1_on c3a_on
16.67Consensusghrelin_onOrthosteric Ligand7NA7-Ghrelin-Ghrelin-Gi1/β1/γ2 7F9Z-Ghrelin-GHRP-6-chim(NtGi1-Gs-CtGq)/β1/γ2 7NA8-Ghrelin-Ibutamoren-Gi1/β1/γ2
16.67Consensusghrelin_on_gpOrthosteric Ligand7NA7-Ghrelin-Ghrelin-Gi1/β1/γ2 7F9Z-Ghrelin-GHRP-6-chim(NtGi1-Gs-CtGq)/β1/γ2 7NA8-Ghrelin-Ibutamoren-Gi1/β1/γ2
16.67Consensusgi_ghrelinOrthosteric Ligand7NA7-Ghrelin-Ghrelin-Gi1/β1/γ2 7NA8-Ghrelin-Ibutamoren-Gi1/β1/γ2
16.67Consensuslipid_offOrthosteric Ligandcannabinoid_off paf_off lpl_off prostanoid_off leukotriene_off
16.67Consensusmc5_onOrthosteric Ligand8INR-MC5-α-MSH-Ca-chim(NtGi1-Gs)/β1/γ2 8IOD-MC5-PG-901-Ca-chim(NtGi1-Gs)/β1/γ2
16.67Consensussuccinate_offOrthosteric Ligand6RNK-Succinate-NF-56-EJ40 6Z10-Succinate-PubChem 154585554
16.22Consensuspth_on_gpOrthosteric Ligandpth1_on_gp pth2_on_gp
16.13Single7TZFAmylin7TZF-CT (AMY3)-Amylin-Gs/β1/γ2; RAMP3
16.13Single8FLSAbaloparatide8FLS-PTH1-Abaloparatide-Gs/β1/γ2
16.13Single8FLULA-PTH Analog8FLU-PTH1-LA-PTH Analog-Gs/β1/γ2
16.13Single8HBDIRL16208HBD-ETB-IRL1620-Gi1/β1/γ2
16.13Consensusendothelin_on_gpOrthosteric Ligandetb_on_gp eta_on_gp
16.13Consensusmelanocortin_onOrthosteric Ligandmc1_on mc4_on mc2_on mc3_on mc5_on
16.13Consensusmelanocortin_on_gpOrthosteric Ligandmc1_on_gp mc4_on_gp mc2_on_gp mc3_on_gp mc5_on_gp
16.00Single3OE0CVX153OE0-CXCR4-CVX15
16.00Single6W25SHU91196W25-MC4-SHU9119-Ca
16.00Single7RYCOxytocin7RYC-OT-Oxytocin-chim(NtGi2L-Gs-CtGq)/β1/γ2
16.00Single8K6NNeuropeptide-Y8K6N-Y2-Neuropeptide-Y-Gi2/β1/γ1
16.00Single8W8YGamma-MSH8W8Y-MC3-γ-MSH-Ca-Gs/β1/γ2
16.00Single8WKZSBL-MC-318WKZ-MC4-SBL-MC-31
16.00Single9LXRLA-PTH Analog9LXR-PTH1-LA-PTH Analog-Arrestin2
16.00Consensusc5a1_onOrthosteric Ligand8HK5-C5a1-C5a-Gi1/β1/γ2 7Y66-C5a1-BM213-Gi1/β1/γ2 7Y67-C5a1-C089 peptide-Gi1/β1/γ2 7Y64-C5a1-C5a-Gi1/β1/γ2
16.00Consensusclass-b1_class-b2_cons_onOrthosteric Ligandclass-b1_on class-b2_on
16.00Consensusclass-b1_class-b2_cons_on_gpOrthosteric Ligandclass-b1_on_gp class-b2_on_gp
16.00Consensuscompl-peptide_on_gpOrthosteric Ligandc5a1_on_gp c3a_on_gp
16.00Consensuscxcr4_on_gpOrthosteric Ligand8K3Z-CXCR4-CXCL12-Gi1/β1/γ1
15.79Single4NTJAZD12834NTJ-P2Y12-AZD1283
15.79Single5T1ABMS-6815T1A-CCR2-BMS-681-PubChem 12093170
15.79Single5YHLPubChem 1351213525YHL-EP4-PubChem 135121352
15.79Single5YWYONO-AE3-2085YWY-EP4-ONO-AE3-208
15.79Single6M9TMisoprostol-FA6M9T-EP3-Misoprostol-FA
15.79Single6RZ4Pranlukast6RZ4-CysLT1-Pranlukast-Na
15.79Single6XBKCholesterol6XBK-SMO-Cholesterol-Gi1/β1/γ2
15.79Single7E9GJNJ-404118137E9G-mGlu2; mGlu2-Eglumetad-JNJ-40411813-Gi1/β1/γ2
15.79Single7M3GCa; Ca; Tryptophan; Evocalcet; Etelcalcetide; PO47M3G-CaS; CaS-Ca; Ca; Tryptophan; Evocalcet; Etelcalcetide; PO4
15.79Single7Y26Octreotide7Y26-SST2-Octreotide-chim(NtGi2L-Gs-CtGq)/β1/γ2
15.79Single7YU3ONO-07405567YU3-LPA1-ONO-0740556-Gi1/β1/γ2
15.79Single7YU6ONO-07405567YU6-LPA1-ONO-0740556-Gi1/β1/γ2
15.79Single8GDCPGE28GDC-EP3-PGE2-Gi1/β1/γ2
15.79Single8WGBVU01550418WGB-mGlu4; mGlu2-Glutamate-VU0155041-Gi3/β1/γ2
15.79Single8X0BVU04244658X0B-mGlu5; mGlu5-Quisqualate-VU0424465
15.79Single8ZVZBW245C8ZVZ-DP1-BW245C-Gs/β1/γ2
15.79Single9B9ZMRI-18679B9Z-CB1-MRI-1867
15.79Single9EE5ONO-25502899EE5-DP1-ONO-2550289
15.79Single9EKHONO-30302979EKH-DP1-ONO-3030297
15.79Single9GE2ML1849GE2-GPR55-ML184-chim(NtGi1-G13)/β1/γ2
15.79Single9HC04YI9HC0-mGlu5-4YI
15.79Single9KPFSalicin9KPF-TAS2R16-Salicin-Gi1/β1/γ2
15.79Consensusep4_offOrthosteric Ligand5YWY-EP4-ONO-AE3-208 5YHL-EP4-PubChem 135121352
15.79Consensusep_offOrthosteric Ligandep4_off
15.79Consensuslpa1_onOrthosteric Ligand7TD1-LPA1-LPA-Gi1/β1/γ2 7YU3-LPA1-ONO-0740556-Gi1/β1/γ2
15.79Consensuslpa1_on_gpOrthosteric Ligand7TD1-LPA1-LPA-Gi1/β1/γ2 7YU3-LPA1-ONO-0740556-Gi1/β1/γ2
15.79Consensuss1p5_offOrthosteric Ligand7YXA-S1P5-ONO-5430608
15.62Single6WPWZP37806WPW-Glucagon-ZP3780-Gs/β1/γ2
15.62Single7VVMPTH7VVM-PTH1-PTH-Gs/β1/γ2
15.62Consensusglp1_on_gpOrthosteric Ligand7S1M-GLP-1-Exendin-4-D-Ala-Gs/β1/γ2 7X8R-GLP-1-BOC5-Gs/β1/γ2 6X19-GLP-1-CHU-128-Gs/β1/γ2 6X1A-GLP-1-Danuglipron-Gs/β1/γ2 6X18-GLP-1-GLP-1-Gs/β1/γ2 8JIP-GLP-1-MEDI0382-chim(NtGi1-Gs)/β1/γ2 7C2E-GLP-1-PubChem 149050799-Gs/β1/γ2 7KI0-GLP-1-Semaglutide-Gs/β1/γ2 7KI1-GLP-1-Taspoglutide-Gs/β1/γ2 7X8S-GLP-1-WB4-24-Gs/β1/γ2 8JIS-GLP-1-Peptide-15-chim(NtGi1-Gs)/β1/γ2 7VBI-GLP-1-Tirzepatide (non-acylated)-Gs/β1/γ2
15.62Consensuspth1_on_gpOrthosteric Ligand6NBF-PTH1-LA-PTH Analog-Gs/β1/γ2 8HA0-PTH1-PTH-chim(NtGi1-Gs)/β1/γ2 8HAF-PTH1-PTHrP(1-36)-chim(NtGi1-Gs)/β1/γ2 7Y36-PTH1-PTH-Gs/β1/γ2 7Y35-PTH1-Abaloparatide-Gs/β1/γ2
15.38Single6M1IPACAP276M1I-PAC1-PACAP27-Gs/β1/γ2
15.38Single7F4HAfamelanotide7F4H-MC1-Afamelanotide-chim(NtGi1-Gs)/β1/γ2
15.38Single7TYIAmylin7TYI-CT-Amylin-Gs/β1/γ2
15.38Single7XK8Neuromedin-U-257XK8-NMUR2-Neuromedin-U-25-Gi1/β1/γ2
15.38Single7YONPeptide-YY(3-36)7YON-Y2-Peptide-YY(3-36)-Gi1/β1/γ2
15.38Single8HA0PTH8HA0-PTH1-PTH-chim(NtGi1-Gs)/β1/γ2
15.38Single8IEDPubChem 1347468948IED-GPR156; GPR156-PubChem 134746894-Go/β1/γ2
15.38Single8YW3Retatrutide8YW3-GLP-1-Retatrutide-Gs/β1/γ2
15.38Single8YW4Retatrutide8YW4-GIP-Retatrutide-chim(NtGi1-Gs)/β1/γ2
15.38Single8YW5Retatrutide8YW5-Glucagon-Retatrutide-Gs/β1/γ2
15.38Single9BUDCagrilintide9BUD-CT-Cagrilintide-Gs/β1/γ2
15.38Single9EBOGLP-1 (ACPC18)9EBO-GLP-1-GLP-1 (ACPC18)-Gs/β1/γ2
15.38Single9JKVPubChem 27366909JKV-HCA3-PubChem 2736690-Gi1/β1/γ2
15.38Consensusc5a1_on_gpOrthosteric Ligand8HK5-C5a1-C5a-Gi1/β1/γ2 7Y66-C5a1-BM213-Gi1/β1/γ2 7Y67-C5a1-C089 peptide-Gi1/β1/γ2 7Y64-C5a1-C5a-Gi1/β1/γ2
15.38Consensusclass-b1_on_gpOrthosteric Ligandglucagon_on_gp vip-pacap_on_gp pth_on_gp crf_on_gp calcitonin_on_gp
15.38Consensuscrf2_onOrthosteric Ligand7TS0-CRF2-Urocortin-chim(NtGi1L-Go)/β1/γ2
15.38Consensusmc5_on_gpOrthosteric Ligand8INR-MC5-α-MSH-Ca-chim(NtGi1-Gs)/β1/γ2 8IOD-MC5-PG-901-Ca-chim(NtGi1-Gs)/β1/γ2
15.15Single7Y36PTH7Y36-PTH1-PTH-Gs/β1/γ2
15.15Single8FLQPTH8FLQ-PTH1-PTH-Gs/β1/γ2
15.15Consensusglucagon_onOrthosteric Ligandglp_on gluc_on secretin_on gip_on
15.15Consensuspth2_onOrthosteric Ligand7F16-PTH2-TIP39-Gs/β1/γ2
15.00Single5ZBHBMS-1938855ZBH-Y1-BMS-193885
15.00Single6RZ5Zafirlukast6RZ5-CysLT1-Zafirlukast-Na
15.00Single7F58THIQ7F58-MC4-THIQ-Gs/β1/γ2
15.00Single7FEECP559407FEE-CB1-CP55940-ZCZ011
15.00Single7P2L4YI7P2L-mGlu5-4YI
15.00Single7R0CAVP7R0C-V2-AVP-Arrestin2
15.00Single7T9NDPPC7T9N-TSH-M22 Fab-DPPC-Gs/β1/γ2
15.00Single7XOWSulfated Gastrin-(10-17)7XOW-CCKB-Sulfated Gastrin-(10-17)-chim(NtGi1-Gq)/β1/γ2
15.00Single7YU5ONO-07405567YU5-LPA1-ONO-0740556-Gi1/β1/γ2
15.00Single7YU7ONO-07405567YU7-LPA1-ONO-0740556-Gi1/β1/γ2
15.00Single8GDBPGE28GDB-EP4-PGE2-Gs/β1/γ2
15.00Single8I2GPubChem 675302408I2G-FSH-FSH-PubChem 67530240-Gs/β1/γ2
15.00Single8I9LC3a8I9L-C3aB-C3a-Go/β1/γ2
15.00Single8JD5JNJ-40411813; ADX881788JD5-mGlu2; mGlu4-Glutamate-JNJ-40411813; ADX88178-Gi1/β1/γ2
15.00Single8JSRAnamorelin8JSR-Ghrelin-Anamorelin-chim(NtGi1-Gs-CtGq)/β1/γ2
15.00Single8JZPC5a8JZP-C5a1-C5a-Go/β1/γ2
15.00Single8TAOCDPPB8TAO-mGlu5; mGlu5-Quisqualate-CDPPB
15.00Single8ZW0PGD28ZW0-DP1-PGD2-Gs/β1/γ2
15.00Single9ASTLymphotactin9AST-XCR1-Lymphotactin-Gi1/β1/γ2
15.00Single9CLWTUG-13759CLW-FFA2-TUG-1375-4-CMTB-chim(NtGi1L-Gs-CtGq)/β1/γ2
15.00Single9E9SPGD29E9S-DP1-PGD2-Gs/β1/γ1
15.00Single9IZGLPA9IZG-LPA1-LPA-chim(NtGi1-Gs-CtGq)/β1/γ2
15.00Single9MENGp120 (V3 loop)9MEN-CXCR4-Gp120 (V3 loop)
15.00Single9UY3Anamorelin9UY3-Ghrelin-Anamorelin-chim(NtGi1-Gs-CtGq)/β1/γ2
15.00Consensusffa2_onOrthosteric Ligand8J22-FFA2-TUG-1375-Gi1/β1/γ2
15.00Consensusffa_onOrthosteric Ligandffa2_on ffa3_on
15.00Consensusffa_on_gpOrthosteric Ligandffa2_on_gp ffa3_on_gp
15.00Consensusgi_ffaOrthosteric Ligand8J21-FFA3-Butyric acid-Gi1/β1/γ2 8J22-FFA2-TUG-1375-Gi1/β1/γ2
15.00Consensusgi_lpaOrthosteric Ligand7TD1-LPA1-LPA-Gi1/β1/γ2 7YU3-LPA1-ONO-0740556-Gi1/β1/γ2
15.00Consensuslpa_onOrthosteric Ligandlpa1_on
15.00Consensuslpa_on_gpOrthosteric Ligandlpa1_on_gp
14.81Single6X18GLP-16X18-GLP-1-GLP-1-Gs/β1/γ2
14.81Single7LLYOxyntomodulin7LLY-GLP-1-Oxyntomodulin-Gs/β1/γ2
14.81Single8HCQEndothelin-18HCQ-ETA-Endothelin-1-chim(NtGi1-Gs-CtGq)/β1/γ2
14.81Single8HK5C5a8HK5-C5a1-C5a-Gi1/β1/γ2
14.81Single8IA2C5a8IA2-C5a1-C5a-Go/β1/γ2
14.81Consensuscalcitonin_onOrthosteric Ligandctlike_on
14.81Consensuschemokine_offOrthosteric Ligandccr_off cxcr_off
14.81Consensuschemokine_on_gpOrthosteric Ligandccr_on_gp cxcr_on_gp
14.81Consensuscxcr_offOrthosteric Ligandcxcr3_off cxcr4_off
14.81Consensuseta_onOrthosteric Ligand8HCQ-ETA-Endothelin-1-chim(NtGi1-Gs-CtGq)/β1/γ2
14.81Consensuseta_on_gpOrthosteric Ligand8HCQ-ETA-Endothelin-1-chim(NtGi1-Gs-CtGq)/β1/γ2
14.81Consensusgi_chemokineOrthosteric Ligand6WWZ-CCR6-CCL20-Go/β1/γ2 8HNK-CXCR3-CXCL11-Gi1/β1/γ2 8K3Z-CXCR4-CXCL12-Gi1/β1/γ1 8IC0-CXCR1-CXCL8-Gi1/β1/γ2 6LFM-CXCR2-CXCL8-Gi1/β1/γ2 8KFX-CCR8-LMD-009-Gi1/β1/γ2 7F1Q-CCR5-CCL3-Gi1/β1/γ2 8HNL-CXCR3-PS372424-Gi1/β1/γ2 8KFY-CCR8-ZK-756326-Gi1/β1/γ2 7O7F-CCR5-6P4-CCL5-Gi1/β1/γ1 8U1U-CCR8-CCL1-Gi1/β1/γ2 7VLA-CCR1-CCL15(27-92)-Gi1/β1/γ2 7XA3-CCR2-CCL2-Gi1/β1/γ2
14.81Consensuspac_onOrthosteric Ligandpac1_on
14.81Consensusvpac_onOrthosteric Ligandvpac1_on vpac2_on
14.71Single6E3YCalcitonin gene-related peptide-16E3Y-CT Like-Calcitonin gene-related peptide-1-Gs/β1/γ2; RAMP1
14.71Consensusglucagon_on_gpOrthosteric Ligandglp_on_gp gluc_on_gp secretin_on_gp gip_on_gp
14.29Single3OE8IT1t3OE8-CXCR4-IT1t
14.29Single4XT3CX3CL14XT3-US28-CX3CL1
14.29Single5TZYMK8666; AP85TZY-FFA1-MK8666; AP8
14.29Single5X33BIIL2605X33-BLT1-BIIL260
14.29Single6AK3PGE26AK3-EP3-PGE2
14.29Single6C1RPMX536C1R-C5a1-PMX53-Avacopan; Na
14.29Single6FJ3PTH6FJ3-PTH1-PTH
14.29Single6IIURamatroban6IIU-TXA2-Ramatroban
14.29Single6KQICP559406KQI-CB1-CP55940-Org27569
14.29Single6NBFLA-PTH Analog6NBF-PTH1-LA-PTH Analog-Gs/β1/γ2
14.29Single6OT025(S)-Epoxycholesterol6OT0-SMO-25(S)-Epoxycholesterol-Gi1/β1/γ2
14.29Single7CZ5Somatoliberin7CZ5-GHRH-Somatoliberin-Gs/β1/γ2
14.29Single7D3SSecretin7D3S-Secretin-Secretin-Gs/β1/γ2
14.29Single7KI0Semaglutide7KI0-GLP-1-Semaglutide-Gs/β1/γ2
14.29Single7RA3GIP7RA3-GIP-GIP-chim(NtGi1-Gs)/β1/γ2
14.29Single7W0NElabela7W0N-Apelin; Apelin-Elabela-Gi1/β1/γ2
14.29Single7W3ZGastrin Releasing Peptide7W3Z-BB2-Gastrin Releasing Peptide-chim(NtGi1L-Gq)/β1/γ2
14.29Single7XW5ML1097XW5-TSH-TSH-ML109-Gs/β1/γ2
14.29Single7XW6ML1097XW6-TSH-M22 Fab-ML109-Gs/β1/γ2
14.29Single7Y66BM2137Y66-C5a1-BM213-Gi1/β1/γ2
14.29Single8H0QGastrin Releasing Peptide8H0Q-BB2-Gastrin Releasing Peptide-chim(NtGi1-Gs-CtGq)/β1/γ2
14.29Single8HK2C3a8HK2-C3aB-C3a-Gi1/β1/γ2
14.29Single8JISPeptide-158JIS-GLP-1-Peptide-15-chim(NtGi1-Gs)/β1/γ2
14.29Single8Y6WTUG-13758Y6W-FFA2-TUG-1375-4-CMTB-Gi1/β1/γ2
14.29Single9AU0BW245C9AU0-DP1-BW245C-Gs/β1/γ2
14.29Single9BJKPubChem 1716420669BJK-μ-Naloxone-PubChem 171642066
14.29Single9BLBCagrilintide (non-acylated)9BLB-CT-Cagrilintide (non-acylated)-Gs/β1/γ2
14.29Single9BP3Cagrilintide9BP3-CT (AMY1)-Cagrilintide-Gs/β1/γ2; RAMP1
14.29Single9C2FCa; Ca; Tryptophan; '54149; PO49C2F-CaS; CaS-Ca-Ca; Ca; Tryptophan; '54149; PO4
14.29Single9CM3TUG-13759CM3-FFA2-TUG-1375-PubChem 118615810-chim(NtGi1L-Gs-CtGq)/β1/γ2
14.29Single9J1Pg1:Ox9J1P-GLP-1-g1:Ox-chim(NtGi1-Gs)/β1/γ2
14.29Single9L0HJR14a9L0H-C3aB-JR14a-Go/β1/γ2
14.29Single9M42A1L8O9M42-GPR139-A1L8O-chim(Gs-CtGq)/β1/γ2
14.29Single9W32SSTR5 antagonist 19W32-SST5-SSTR5 antagonist 1
14.29Consensuscalcitonin_on_gpOrthosteric Ligandctlike_on_gp
14.29Consensusccr_offOrthosteric Ligandccr2_off ccr5_off
14.29Consensuscrf2_on_gpOrthosteric Ligand7TS0-CRF2-Urocortin-chim(NtGi1L-Go)/β1/γ2
14.29Consensuscxcr_onOrthosteric Ligandcxcr3_on cxcr4_on cxcr1_on cxcr2_on
14.29Consensusmc2_onOrthosteric Ligand8GY7-MC2-Corticotropin-Ca-chim(NtGi1-Gs)/β1/γ2; MRAP1
14.29Consensusmc2_on_gpOrthosteric Ligand8GY7-MC2-Corticotropin-Ca-chim(NtGi1-Gs)/β1/γ2; MRAP1
14.29Consensuspac1_onOrthosteric Ligand8E3X-PAC1-PACAP27-Gs/β1/γ2 6M1H-PAC1-Maxadilan-Gs/β1/γ2
14.29Consensuspac1_on_gpOrthosteric Ligand8E3X-PAC1-PACAP27-Gs/β1/γ2 6M1H-PAC1-Maxadilan-Gs/β1/γ2
14.29Consensussecretin_onOrthosteric Ligand7D3S-Secretin-Secretin-Gs/β1/γ2
14.29Consensusvpac_on_gpOrthosteric Ligandvpac1_on_gp vpac2_on_gp
13.79Single6UVAAdrenomedullin-26UVA-CT Like (AM2)-Adrenomedullin-2-Gs/β1/γ2; RAMP3
13.79Single7DTYGIP7DTY-GIP-GIP-Gs/β1/γ2
13.79Single7FIYTirzepatide7FIY-GIP-Tirzepatide-Gs/β1/γ2
13.79Single7S1MExendin-4-D-Ala7S1M-GLP-1-Exendin-4-D-Ala-Gs/β1/γ2
13.79Single7TYNCalcitonin-17TYN-CT-Calcitonin-1-Gs/β1/γ2
13.79Single7VQXPACAP277VQX-VPAC1-PACAP27-Gs/β1/γ2
13.79Single8FU6ZP37808FU6-Glucagon-ZP3780-Gs/β1/γ2
13.79Single8W8WAlpha-MSH8W8W-MC3-α-MSH-Ca-Gs/β1/γ2
13.79Single9P94PACAP279P94-PAC1-PACAP27-Gs/β1/γ2
13.79Consensusp2y10_on_gpOrthosteric Ligand8KGG-P2Y10-Lysophosphatidylserine (WJS)-chim(NtGi2-G13)/β1/γ2
13.79Consensussecretin_on_gpOrthosteric Ligand7D3S-Secretin-Secretin-Gs/β1/γ2
13.64Single7D7MPGE27D7M-EP4-PGE2-Gs/β1/γ1
13.64Single7QVMOxytocin7QVM-OT-Oxytocin-chim(NtGi1-Go-CtGq)/β1/γ2
13.64Single7VVNPTH7VVN-PTH1-PTH-Gs/β1/γ2
13.64Single7X8RBOC57X8R-GLP-1-BOC5-Gs/β1/γ2
13.64Single8HN1Toxin AdTx18HN1-Alpha1A-Toxin AdTx1
13.64Single9C0KExendin-49C0K-GLP-1-Exendin-4-Gs/β1/γ2
13.64Single9GG5U466199GG5-TXA2-U46619-chim(NtGi2L-Gs-CtGq)/β1/γ2
13.64Single9UYMChemerin-99UYM-CML2-Chemerin-9-chim(Arrestin3-CtArrestin2)
13.64Consensusnk2_onOrthosteric Ligand7XWO-NK2-Neurokinin-A-chim(NtGi1-Gs-CtGq)/β1/γ2
13.51Single8F0JPramlintide Analogue San458F0J-CT-Pramlintide Analogue San45-Gs/β1/γ2
13.33Single2ZIY11-cis-Retinal2ZIY-Rhodopsin-11-cis-Retinal
13.33Single3OE6IT1t3OE6-CXCR4-IT1t
13.33Single6FK9PubChem 1324730366FK9-Rhodopsin-PubChem 132473036
13.33Single6NBHLA-PTH Analog6NBH-PTH1-LA-PTH Analog-Gs/β1/γ2
13.33Single6PB1Urocortin6PB1-CRF2-Urocortin-chim(NtGi1-Gs)/β1/γ2
13.33Single6UUSAdrenomedullin6UUS-CT Like (AM2)-Adrenomedullin-Gs/β1/γ2; RAMP3
13.33Single7TYLAmylin7TYL-CT-Amylin-Gs/β1/γ2
13.33Single7VVJPTHrP(1-36)7VVJ-PTH1-PTHrP(1-36)-Gs/β1/γ2
13.33Single8F76Propanoic acid8F76-OR51E2-Propanoic acid-Gs/β1/γ2
13.33Single8FLTM-PTH(1-14)8FLT-PTH1-M-PTH(1-14)-Gs/β1/γ2
13.33Single8HAFPTHrP(1-36)8HAF-PTH1-PTHrP(1-36)-chim(NtGi1-Gs)/β1/γ2
13.33Single8IY6Endothelin-18IY6-ETB-Endothelin-1
13.33Single8JEFPubChem 113671668JEF-HCA3-PubChem 11367166-Gi1/β1/γ2
13.33Single8KGGLysophosphatidylserine (WJS)8KGG-P2Y10-Lysophosphatidylserine (WJS)-chim(NtGi2-G13)/β1/γ2
13.33Single8SZFCa; Ca; Tryptophan; Cinacalcet; PO4; Spermine8SZF-CaS; CaS-Ca; Ca; Tryptophan; Cinacalcet; PO4; Spermine
13.33Single9JHJC18:0 Ceramide9JHJ-FPR2-ALX-C18:0 Ceramide-Gi1/β1/γ2
13.33Consensusgs_melanocortinOrthosteric Ligand7F4H-MC1-Afamelanotide-chim(NtGi1-Gs)/β1/γ2 7F54-MC4-Afamelanotide-Gs/β1/γ2 7F4D-MC1-α-MSH-chim(NtGi1-Gs)/β1/γ2 8INR-MC5-α-MSH-Ca-chim(NtGi1-Gs)/β1/γ2 7F53-MC4-α-MSH-Gs/β1/γ2 7F55-MC4-Bremelanotide-Gs/β1/γ2 8GY7-MC2-Corticotropin-Ca-chim(NtGi1-Gs)/β1/γ2; MRAP1 8IOC-MC3-γ-MSH-Ca-chim(NtGi1-Gs)/β1/γ2 8IOD-MC5-PG-901-Ca-chim(NtGi1-Gs)/β1/γ2 7AUE-MC4-Setmelanotide-chim(NtGi1L-Gs)/β1/γ2 7F4I-MC1-SHU9119-chim(NtGi1-Gs)/β1/γ2 7F58-MC4-THIQ-Gs/β1/γ2
13.16Single8F2BPramlintide Analogue San458F2B-CT (AMY3)-Pramlintide Analogue San45-Gs/β1/γ2; RAMP3
13.04Single5VBLAMG3054 5VBL-Apelin-AMG3054
13.04Single6C1QPMX536C1Q-C5a1-PMX53-NDT9513727
13.04Single7F9ZGHRP-67F9Z-Ghrelin-GHRP-6-chim(NtGi1-Gs-CtGq)/β1/γ2
13.04Single7XBXCX3CL17XBX-CX3CR1-CX3CL1-Gi1/β1/γ2
13.04Single8JBFSenktide8JBF-NK3-Senktide-chim(NtGi1-Gs-CtGq)/β1/γ2
13.04Single8Z74JN241-98Z74-Apelin; Apelin-JN241-9
13.04Single8Z74JN241-98Z74-Apelin; Apelin-JN241-9
13.04Single9CM7TUG-13759CM7-FFA2-TUG-1375-AZ-1729-Gi1/β1/γ2
13.04Single9JH6C20:0 Ceramide9JH6-CysLT2-C20:0 Ceramide-chim(NtGi1-Gs-CtGq)/β1/γ2
13.04Single9NS9TUG-13759NS9-FFA2-TUG-1375-PubChem 118615810-Gi1/β1/γ2
13.04Consensuscxcr4_offOrthosteric Ligand4RWS-CXCR4-vMIP-II 3OE0-CXCR4-CVX15 3OE6-CXCR4-IT1t
12.90Single7TYXAmylin7TYX-CT (AMY2)-Amylin-Gs/β1/γ2; RAMP2
12.90Single8U1UCCL18U1U-CCR8-CCL1-Gi1/β1/γ2
12.50Single5L7IVismodegib5L7I-SMO-Vismodegib
12.50Single6FK6PubChem 1324730336FK6-Rhodopsin-PubChem 132473033
12.50Single6PH7Nerol6PH7-Rhodopsin-Nerol-Gt(CT)
12.50Single7D76Beclomethasone7D76-ADGRG3-Beclomethasone-Go/β1/γ2
12.50Single7F54Afamelanotide7F54-MC4-Afamelanotide-Gs/β1/γ2
12.50Single7NA7Ghrelin7NA7-Ghrelin-Ghrelin-Gi1/β1/γ2
12.50Single7W53Neuromedin-U-257W53-NMUR1-Neuromedin-U-25-chim(NtGi1-Gs-CtGq)/β1/γ2
12.50Single7W56Neuromedin-S7W56-NMUR1-Neuromedin-S-chim(NtGi1-Gs-CtGq)/β1/γ2
12.50Single7XP6Strychnine7XP6-TAS2R46-Strychnine-chim(Gs-CtGt3)/β1/γ2
12.50Single8IEIPubChem 1347468948IEI-GPR156; GPR156-PubChem 134746894
12.50Single8IEIPubChem 1347468948IEI-GPR156; GPR156-PubChem 134746894
12.50Single8IEPPubChem 1347468948IEP-GPR156; GPR156-PubChem 134746894
12.50Single8IEPPubChem 1347468948IEP-GPR156; GPR156-PubChem 134746894
12.50Single8IZBLysophosphatidylserine (UBL)8IZB-GPR174-Lysophosphatidylserine (UBL)-Gs/β1/γ2
12.50Single8KIGSHU91198KIG-MC3-SHU9119-Ca
12.50Single8U4OCXCL128U4O-CXCR4-CXCL12-Gi1/β1/γ2
12.50Single8U4RREGN7663-Fab8U4R-CXCR4-REGN7663-Fab
12.50Single8WPUTryptophan; Cinacalcet; PO4; Ca8WPU-CaS; CaS-Tryptophan; Cinacalcet; PO4; Ca-chim(NtGi2L-Gs-CtGq)/β1/γ2
12.50Single8X2KOleic monoethanolamide8X2K-GPR3-Oleic monoethanolamide-chim(NtGi1-Gs)/β1/γ2
12.50Single8XBHPubChem 1626566368XBH-GPR34-PubChem 162656636-Gi1/β1/γ2
12.50Single8ZCJPasireotide8ZCJ-SST5-Pasireotide-Gi1/β1/γ1
12.50Single8ZX5AM2518ZX5-GPR55-AM251-chim(NtGi1-G13)/β1/γ2
12.50Single9AUCCalcitonin gene-related peptide-19AUC-CT (AMY1)-Calcitonin gene-related peptide-1-Gs/β1/γ2; RAMP1
12.50Single9C1PCa; Tryptophan; '6218; PO49C1P-CaS; CaS-Ca-Ca; Tryptophan; '6218; PO4
12.50Consensusglp1_onOrthosteric Ligand7S1M-GLP-1-Exendin-4-D-Ala-Gs/β1/γ2 7X8R-GLP-1-BOC5-Gs/β1/γ2 6X19-GLP-1-CHU-128-Gs/β1/γ2 6X1A-GLP-1-Danuglipron-Gs/β1/γ2 6X18-GLP-1-GLP-1-Gs/β1/γ2 8JIP-GLP-1-MEDI0382-chim(NtGi1-Gs)/β1/γ2 7C2E-GLP-1-PubChem 149050799-Gs/β1/γ2 7KI0-GLP-1-Semaglutide-Gs/β1/γ2 7KI1-GLP-1-Taspoglutide-Gs/β1/γ2 7X8S-GLP-1-WB4-24-Gs/β1/γ2 8JIS-GLP-1-Peptide-15-chim(NtGi1-Gs)/β1/γ2 7VBI-GLP-1-Tirzepatide (non-acylated)-Gs/β1/γ2
12.50Consensusmc4_onOrthosteric Ligand7AUE-MC4-Setmelanotide-chim(NtGi1L-Gs)/β1/γ2 7F58-MC4-THIQ-Gs/β1/γ2 7F54-MC4-Afamelanotide-Gs/β1/γ2 7F53-MC4-α-MSH-Gs/β1/γ2 7F55-MC4-Bremelanotide-Gs/β1/γ2
12.50Consensusnk3_onOrthosteric Ligand8JBF-NK3-Senktide-chim(NtGi1-Gs-CtGq)/β1/γ2
12.50Consensusnk3_on_gpOrthosteric Ligand8JBF-NK3-Senktide-chim(NtGi1-Gs-CtGq)/β1/γ2
12.50Consensusnmur1_on_gpOrthosteric Ligand7W53-NMUR1-Neuromedin-U-25-chim(NtGi1-Gs-CtGq)/β1/γ2
12.50Consensusp2y_onOrthosteric Ligandp2y1_on p2y10_on p2y12_on
12.50Consensussomatostatin_offOrthosteric Ligandsst2_off
12.20Single8GY7Corticotropin8GY7-MC2-Corticotropin-Ca-chim(NtGi1-Gs)/β1/γ2; MRAP1
12.12Single7V35Peptide-207V35-Glucagon-Peptide-20-Gs/β1/γ2
12.12Single8JIPMEDI03828JIP-GLP-1-MEDI0382-chim(NtGi1-Gs)/β1/γ2
12.12Single8JIRSAR4258998JIR-GLP-1-SAR425899-chim(NtGi1-Gs)/β1/γ2
12.12Single9JR2PTH9JR2-PTH1-PTH-chim(NtGi1L-Gs-CtGq)/β1/γ2
12.00Single6WHCGlu16 analog of GCG6WHC-Glucagon-Glu16 analog of GCG-Gs/β1/γ2
12.00Single7PIVAfamelanotide7PIV-MC4-Afamelanotide-Gs/β1/γ2
12.00Single7SK5CXCL127SK5-ACKR3-CXCL12
12.00Single7XNACYN1548067XNA-SST2-CYN154806
12.00Single8IEBPubChem 1347468948IEB-GPR156; GPR156-PubChem 134746894
12.00Single8KH5Lysophosphatidylserine8KH5-GPR174-Lysophosphatidylserine-Gs/β1/γ2
12.00Single9IQRMuscarinic toxin 39IQR-α2a-Muscarinic toxin 3
12.00Single9KV6TLQP219KV6-C3aB-TLQP21-Go/β1/γ2
12.00Consensusmc4_on_gpOrthosteric Ligand7AUE-MC4-Setmelanotide-chim(NtGi1L-Gs)/β1/γ2 7F58-MC4-THIQ-Gs/β1/γ2 7F54-MC4-Afamelanotide-Gs/β1/γ2 7F53-MC4-α-MSH-Gs/β1/γ2 7F55-MC4-Bremelanotide-Gs/β1/γ2
12.00Consensussst2_offOrthosteric Ligand7XNA-SST2-CYN154806
11.76Single3ODUIT1t3ODU-CXCR4-IT1t
11.76Single5U09Taranabant5U09-CB1-Taranabant
11.76Single5ZKQABT-4915ZKQ-PAF-ABT-491
11.76Single6FKBPubChem 1324730386FKB-Rhodopsin-PubChem 132473038
11.76Single6RNKNF-56-EJ406RNK-Succinate-NF-56-EJ40
11.76Single7BR3Elagolix7BR3-GnRH1-Elagolix
11.76Single7SILCa; Ca; Ca; Cyclomethyltryptophan; R-568; PO47SIL-CaS; CaS-Ca-Ca; Ca; Ca; Cyclomethyltryptophan; R-568; PO4
11.76Single7SILCa; Ca; Ca; Cyclomethyltryptophan; R-568; PO47SIL-CaS; CaS-Ca-Ca; Ca; Ca; Cyclomethyltryptophan; R-568; PO4
11.76Single7TYYCalcitonin-17TYY-CT (AMY2)-Calcitonin-1-Gs/β1/γ2; RAMP2
11.76Single8H8JLodoxamide8H8J-GPR35-Lodoxamide-Ca-chim(NtGi1L-G13)/β1/γ2
11.76Single8HMPC178HMP-GPR52-C17-Gs/β1/γ2
11.76Single8JIUSAR4258998JIU-Glucagon-SAR425899-Gs/β1/γ2
11.76Single8U4PAMD31008U4P-CXCR4-AMD3100-Gi1/β1/γ2
11.76Single8U8FPalmitic Acid8U8F-GPR3-Palmitic Acid-Gs/β1/γ2
11.76Single9JR3PTH9JR3-PTH1-PTH-chim(NtGi1L-Gs-CtGq)/β1/γ2
11.76Consensusgnrh1_offOrthosteric Ligand7BR3-GnRH1-Elagolix
11.76Consensuspaf_offOrthosteric Ligand5ZKQ-PAF-ABT-491
11.54Single6MEOGp160; CD46MEO-CCR5-Gp160; CD4
11.54Single7F4DAlpha-MSH7F4D-MC1-α-MSH-chim(NtGi1-Gs)/β1/γ2
11.54Single7O7F6P4-CCL57O7F-CCR5-6P4-CCL5-Gi1/β1/γ1
11.54Single7XA3CCL27XA3-CCR2-CCL2-Gi1/β1/γ2
11.54Single8K6MNeuropeptide-Y8K6M-Y1-Neuropeptide-Y-Gi2/β1/γ1
11.54Single8YFOAc-LA-PTH Analog8YFO-PTH1-Ac-LA-PTH Analog-chim(NtGi1-Gs)/β1/γ2
11.54Consensusccr2_onOrthosteric Ligand7XA3-CCR2-CCL2-Gi1/β1/γ2
11.54Consensusccr2_on_gpOrthosteric Ligand7XA3-CCR2-CCL2-Gi1/β1/γ2
11.54Consensusccr_onOrthosteric Ligandccr6_on ccr8_on ccr2_on ccr1_on ccr5_on
11.54Consensusmc3_onOrthosteric Ligand8IOC-MC3-γ-MSH-Ca-chim(NtGi1-Gs)/β1/γ2
11.54Consensusmc3_on_gpOrthosteric Ligand8IOC-MC3-γ-MSH-Ca-chim(NtGi1-Gs)/β1/γ2
11.54Consensusnpy1_onOrthosteric Ligand8K6M-Y1-Neuropeptide-Y-Gi2/β1/γ1
11.54Consensusnpy1_on_gpOrthosteric Ligand8K6M-Y1-Neuropeptide-Y-Gi2/β1/γ1
11.43Consensusgluc_onOrthosteric Ligand6LMK-Glucagon-Glucagon-Gs/β1/γ2 8JIT-Glucagon-MEDI0382-Gs/β1/γ2 7V35-Glucagon-Peptide-20-Gs/β1/γ2
11.11Single6FK8PubChem 1324730356FK8-Rhodopsin-PubChem 132473035
11.11Single6FKAPubChem 1324730376FKA-Rhodopsin-PubChem 132473037
11.11Single6METGp160; CD46MET-CCR5-Gp160; CD4
11.11Single7FINPeptide-20; GGL7FIN-GIP-Peptide-20; GGL-Gs/β1/γ2
11.11Single7W57Neuromedin-S7W57-NMUR2-Neuromedin-S-chim(NtGi1-Gs-CtGq)/β1/γ2
11.11Single7XOVSR1461317XOV-CCKA-SR146131-Gs/β1/γ2
11.11Single7XXH2MeSADP7XXH-P2Y1-2MeSADP-chim(NtGi1-G11)/β1/γ2
11.11Single8K2WAMG4878K2W-CXCR3-AMG487
11.11Single8K4NPubChem 1687197658K4N-GPR34-PubChem 168719765-Gi1/β1/γ2
11.11Single8K4SDCA-3P8K4S-MRGPRX4-DCA-3P-chim(NtGi1L-Gs-CtGq)/β1/γ2
11.11Single8X7ATreprostinil8X7A-I2-Treprostinil-Gs/β1/γ2
11.11Single8XZJWN3538XZJ-Apelin; Apelin-WN353-Gi1/β1/γ2
11.11Single9DQJEP-39459DQJ-MRGPRD-EP-3945-chim(NtGi1-Gs-CtGq)/β1/γ2
11.11Single9K0KUTP9K0K-P2Y4-UTP-chim(NtGi1-Gs-CtGq)/β1/γ2
11.11Single9K0XATP9K0X-P2Y2-ATP-chim(NtGi1-Gs-CtGq)/β1/γ2
11.11Single9K20ATP9K20-P2Y2-ATP-chim(NtGi1-Go)/β1/γ2
11.11Single9KXSEP679KXS-C5a1-EP67-Go/β1/γ2
11.11Single9U80Conivaptan9U80-V2-Conivaptan
11.11Single9W33S5A19W33-SST5-S5A1
11.11Consensuscxcr3_offOrthosteric Ligand8K2W-CXCR3-AMG487
11.11Consensusgluc_on_gpOrthosteric Ligand6LMK-Glucagon-Glucagon-Gs/β1/γ2 8JIT-Glucagon-MEDI0382-Gs/β1/γ2 7V35-Glucagon-Peptide-20-Gs/β1/γ2
11.11Consensusgrh_offOrthosteric Ligandgnrh1_off
11.11Consensusp2y1_on_gpOrthosteric Ligand7XXH-P2Y1-2MeSADP-chim(NtGi1-G11)/β1/γ2
11.11Consensusp2y_on_gpOrthosteric Ligandp2y1_on_gp p2y10_on_gp p2y12_on_gp
10.71Single7F9YGhrelin7F9Y-Ghrelin-Ghrelin-chim(NtGi1-Gs-CtGq)/β1/γ2
10.71Single7P02Substance-P7P02-NK1-Substance-P-chim(NtGi1-Gs)/β1/γ2
10.71Single7TYWCalcitonin-17TYW-CT (AMY1)-Calcitonin-1-Gs/β1/γ2; RAMP1
10.71Single7VL9CCL15(26-92)7VL9-CCR1-CCL15(26-92)-Gi1/β1/γ2
10.71Single7Y35Abaloparatide7Y35-PTH1-Abaloparatide-Gs/β1/γ2
10.71Single8XVIEndothelin-18XVI-ETA-Endothelin-1-chim(Gs-CtGq)/β1/γ2
10.71Single8YG4LA-PTH Analog8YG4-PTH1-LA-PTH Analog-chim(NtGi1-Gs)/β1/γ2
10.71Consensusccr_on_gpOrthosteric Ligandccr6_on_gp ccr8_on_gp ccr2_on_gp ccr1_on_gp ccr5_on_gp
10.71Consensusp2y10_onOrthosteric Ligand8KGG-P2Y10-Lysophosphatidylserine (WJS)-chim(NtGi2-G13)/β1/γ2
10.53Single6FK7PubChem 1324730346FK7-Rhodopsin-PubChem 132473034
10.53Single6FKCPubChem 1324730396FKC-Rhodopsin-PubChem 132473039
10.53Single6FKDPubChem 1373491836FKD-Rhodopsin-PubChem 137349183
10.53Single7F83PF-051904577F83-Ghrelin-PF-05190457
10.53Single7NA8Ibutamoren7NA8-Ghrelin-Ibutamoren-Gi1/β1/γ2
10.53Single8EJKTAK-8758EJK-FFA1-TAK-875-chim(NtGi1L-Gs-CtGq)/β1/γ2
10.53Single8KEXDCA-3P8KEX-MRGPRX4-DCA-3P
10.53Single8X9TAP5038X9T-ADGRD1-AP503-chim(NtGi1-Gs)/β1/γ2
10.53Single8XBGS3E-Lysophosphatidylserine 8XBG-GPR34-S3E-Lysophosphatidylserine
10.34Single5UIW5P7-CCL55UIW-CCR5-5P7-CCL5
10.34Single6NBILA-PTH Analog6NBI-PTH1-LA-PTH Analog-Gs/β1/γ2
10.34Single7SK4CXCL12_LRHQ7SK4-ACKR3-CXCL12_LRHQ
10.34Single8FLRPTHrP(1-36)8FLR-PTH1-PTHrP(1-36)-Gs/β1/γ2
10.34Single9BUBCagrilintide9BUB-CT-Cagrilintide-Gs/β1/γ2
10.34Consensusccr5_offOrthosteric Ligand5UIW-CCR5-5P7-CCL5
10.34Consensusctlike_onOrthosteric Ligand6E3Y-CT Like-Calcitonin gene-related peptide-1-Gs/β1/γ2; RAMP1
10.00Single4PHUFasiglifam4PHU-FFA1-Fasiglifam
10.00Single6LFMCXCL86LFM-CXCR2-CXCL8-Gi1/β1/γ2
10.00Single8EJCTAK-8758EJC-FFA1-TAK-875-chim(NtGi1L-Gs-CtGq)/β1/γ2
10.00Single8HAOPTH8HAO-PTH1-PTH-chim(NtGi1-Gs)/β1/γ2
10.00Single8IZ4Lysophosphatidylserine (TJR)8IZ4-GPR34-Lysophosphatidylserine (TJR)-Gi1/β1/γ2
10.00Single8T6JCDPPB8T6J-mGlu5; mGlu5-CDPPB
10.00Single8T6JCDPPB8T6J-mGlu5; mGlu5-CDPPB
10.00Single8W8XBeta-MSH8W8X-MC3-β-MSH-Ca-Gs/β1/γ2
10.00Single9DQHEP-28259DQH-MRGPRD-EP-2825-chim(NtGi1-Gs-CtGq)/β1/γ2
10.00Single9KO4CCL219KO4-CCR7-CCL21-Gi1/β1/γ2
10.00Consensuscxcr2_on_gpOrthosteric Ligand6LFM-CXCR2-CXCL8-Gi1/β1/γ2
10.00Consensuscyslt_offOrthosteric Ligandcyslt2_off cyslt1_off
10.00Consensusglp2_onOrthosteric Ligand7D68-GLP-2-GLP-2-Gs/β1/γ2
10.00Consensusglp2_on_gpOrthosteric Ligand7D68-GLP-2-GLP-2-Gs/β1/γ2
9.68Single6LMKGlucagon6LMK-Glucagon-Glucagon-Gs/β1/γ2
9.68Single7VVLPTH7VVL-PTH1-PTH-Gs/β1/γ2
9.68Single9BTWCagrilintide9BTW-CT (AMY3)-Cagrilintide-Gs/β1/γ2; RAMP3
9.68Consensusctlike_on_gpOrthosteric Ligand6E3Y-CT Like-Calcitonin gene-related peptide-1-Gs/β1/γ2; RAMP1
9.68Consensusvpac2_onOrthosteric Ligand7VQX-VPAC1-PACAP27-Gs/β1/γ2
9.68Consensusvpac2_on_gpOrthosteric Ligand7VQX-VPAC1-PACAP27-Gs/β1/γ2
9.52Single5TZRMK86665TZR-FFA1-MK8666
9.52Single7F1TCCL37F1T-CCR5-CCL3
9.52Single7XWONeurokinin-A7XWO-NK2-Neurokinin-A-chim(NtGi1-Gs-CtGq)/β1/γ2
9.52Single7Y67C089 peptide7Y67-C5a1-C089 peptide-Gi1/β1/γ2
9.52Single8HQCC5a8HQC-C5a1-C5a-Go/β1/γ2
9.52Single8WJXADP8WJX-P2Y1-ADP-chim(Gs-CtGq)/β1/γ2
9.52Single8XBIPubChem 1626566368XBI-GPR34-PubChem 162656636
9.52Single9ITELPA9ITE-LPA6-LPA-chim(NtGi2-G13)/β1/γ2
9.52Single9L16CCL219L16-CCR7-CCL21
9.52Single9YDVMRS29059YDV-P2Y14-MRS2905-Gi1/β1/γ2
9.52Consensusnk2_on_gpOrthosteric Ligand7XWO-NK2-Neurokinin-A-chim(NtGi1-Gs-CtGq)/β1/γ2
9.38Single7RBTTirzepatide7RBT-GIP-Tirzepatide-LSN3556672-chim(NtGi1-Gs)/β1/γ2
9.38Consensusgip_onOrthosteric Ligand7FIN-GIP-Peptide-20; GGL-Gs/β1/γ2 7FIY-GIP-Tirzepatide-Gs/β1/γ2 7DTY-GIP-GIP-Gs/β1/γ2
9.38Consensusgip_on_gpOrthosteric Ligand7FIN-GIP-Peptide-20; GGL-Gs/β1/γ2 7FIY-GIP-Tirzepatide-Gs/β1/γ2 7DTY-GIP-GIP-Gs/β1/γ2
9.09Single4PXZ2MeSADP4PXZ-P2Y12-2MeSADP
9.09Single4PY02MeSATP4PY0-P2Y12-2MeSATP
9.09Single6OS2TRV0266OS2-AT1-TRV026
9.09Single6RZ7ONO-25703666RZ7-CysLT2-ONO-2570366
9.09Single7F55Bremelanotide7F55-MC4-Bremelanotide-Gs/β1/γ2
9.09Single7SK6CXCL12_LRHQ7SK6-ACKR3-CXCL12_LRHQ
9.09Single7T6BS1P7T6B-S1P2-S1P-chim(NtGi1L-G13)/β1/γ2
9.09Single7VBHPeptide-207VBH-GLP-1-Peptide-20-Gs/β1/γ2
9.09Single8F2APramlintide Analogue San3858F2A-CT (AMY3)-Pramlintide Analogue San385-Gs/β1/γ2; RAMP3
9.09Single8U26Substance-P8U26-NK1-Substance-P-Gs/β1/γ2
9.09Single8WRBLysophosphatidylserine (UBL)8WRB-GPR34-Lysophosphatidylserine (UBL)-Gi1/β1/γ2
9.09Single8XQSCholesterol8XQS-TAS2R14-Cholesterol-Flufenamic acid-Gi1/β1/γ1
9.09Single9ECJS-geranylgeranyl-L-glutathione9ECJ-P2Y8-S-geranylgeranyl-L-glutathione-G13/β1/γ2
9.09Single9YDUUDP-Glucose9YDU-P2Y14-UDP-Glucose-Gi1/β1/γ2
8.70Single6RZ9ONO-27703726RZ9-CysLT2-ONO-2770372
8.70Single7CX4Evatanepag7CX4-EP2-Evatanepag-Gs/β1/γ2
8.70Single7P00Substance-P7P00-NK1-Substance-P-chim(NtGi1-Gs-CtGq)/β1/γ2
8.70Single7PIUSetmelanotide7PIU-MC4-Setmelanotide-Gs/β1/γ2
8.70Single8K4OCXCL18K4O-KSHV-CXCL1-Gi1/β1/γ1
8.70Single8XBES3E-Lysophosphatidylserine 8XBE-GPR34-S3E-Lysophosphatidylserine-Gi1/β1/γ1
8.70Single9J0BUDP-Glucose9J0B-P2Y14-UDP-Glucose-Gi1/β1/γ2
8.70Single9KWXC5a-des-Arg9KWX-C5a1-C5a-des-Arg-Go/β1/γ2
8.70Consensuscyslt2_offOrthosteric Ligand6RZ7-CysLT2-ONO-2570366 6RZ8-CysLT2-ONO-2080365 6RZ9-CysLT2-ONO-2770372
8.70Consensusnk1_onOrthosteric Ligand7P00-NK1-Substance-P-chim(NtGi1-Gs-CtGq)/β1/γ2
8.70Consensusnk1_on_gpOrthosteric Ligand7P00-NK1-Substance-P-chim(NtGi1-Gs-CtGq)/β1/γ2
8.57Single8JITMEDI03828JIT-Glucagon-MEDI0382-Gs/β1/γ2
8.33Single6RZ6ONO-25703666RZ6-CysLT2-ONO-2570366
8.33Single7AUESetmelanotide7AUE-MC4-Setmelanotide-chim(NtGi1L-Gs)/β1/γ2
8.33Single7CX2PGE27CX2-EP2-PGE2-Gs/β1/γ2
8.33Single7RKNCX3CL17RKN-US28-CX3CL1-Gi1/β1/γ2
8.33Single7RMGSubstance-P7RMG-NK1-Substance-P-chim(Gs-CtGq)/β1/γ2
8.33Single7RMHSubstance-P7RMH-NK1-Substance-P-Gs/β1/γ2
8.33Single7X8SWB4-247X8S-GLP-1-WB4-24-Gs/β1/γ2
8.33Single8SAILysophosphatidylserine (S12)8SAI-GPR34-Lysophosphatidylserine (S12)-Gi1/β1/γ2
8.33Single9EAJNanobody AT2099EAJ-AT1-Nanobody AT209
8.33Single9ITBLPA9ITB-LPA6-LPA-chim(NtGi1-Gs-CtGq)/β1/γ2
8.33Consensusnmur1_onOrthosteric Ligand7W53-NMUR1-Neuromedin-U-25-chim(NtGi1-Gs-CtGq)/β1/γ2
8.00Single6RZ8ONO-20803656RZ8-CysLT2-ONO-2080365
8.00Single6X19CHU-1286X19-GLP-1-CHU-128-Gs/β1/γ2
8.00Single7CX3Taprenepag7CX3-EP2-Taprenepag-Gs/β1/γ2
8.00Single7W2ZGhrelin7W2Z-Ghrelin-Ghrelin-Go/β1/γ2
8.00Single8INRAlpha-MSH8INR-MC5-α-MSH-Ca-chim(NtGi1-Gs)/β1/γ2
8.00Single8JIQPeptide-158JIQ-Glucagon-Peptide-15-Gs/β1/γ2
8.00Single9BUECagrilintide9BUE-CT-Cagrilintide-Gs/β1/γ2
8.00Single9J0IUDP-Glucuronic acid9J0I-P2Y14-UDP-Glucuronic acid-Gi1/β1/γ2
8.00Single9UYLChemerin-99UYL-CML2-Chemerin-9-Arrestin2
8.00Consensuschemokine_onOrthosteric Ligandccr_on cxcr_on
7.69Single7E14Orforglipron7E14-GLP-1-Orforglipron-PubChem 156022738-Gs/β1/γ2
7.69Single7F1QCCL37F1Q-CCR5-CCL3-Gi1/β1/γ2
7.69Single7RMISubstance-P7RMI-NK1-Substance-P-chim(Gs-CtGq)/β1/γ2
7.69Single7TRYUrocortin7TRY-CRF2-Urocortin-chim(NtGi1-G11)/β1/γ2
7.69Single8IBVMotilin8IBV-Motilin-Motilin-chim(NtGi1-Gs-CtGq)/β1/γ2
7.69Single8IOCGamma-MSH8IOC-MC3-γ-MSH-Ca-chim(NtGi1-Gs)/β1/γ2
7.69Single8JBHSubstance-P8JBH-NK3-Substance-P-chim(NtGi1-Gs-CtGq)/β1/γ2
7.69Single8K6ONeuropeptide-Y8K6O-Y1-Neuropeptide-Y-Gi2/β1/γ1
7.69Single9J0FNADH9J0F-P2Y14-NADH-Gi1/β1/γ2
7.69Consensustachykinin_on_gpOrthosteric Ligandnk1_on_gp nk2_on_gp nk3_on_gp
7.41Single9B5YLA-PTH Analog9B5Y-PTH1-LA-PTH Analog-chim(NtGi1-Gq)/β1/γ2
7.41Single9IVMGLP-1 (Truncated)9IVM-GLP-1-GLP-1 (Truncated)-LSN3318839-chim(NtGi1-Gs)/β2/γ2
7.14Single6NIYCalcitonin-16NIY-CT-Calcitonin-1-Gs/β1/γ2
7.14Single7V68LY21196207V68-M4-Iperoxo-LY2119620-Gi1/β1/γ2
7.14Single7XKEDehydroepiandrosterone7XKE-ADGRG2-Dehydroepiandrosterone-chim(NtGi1-Gs)/β1/γ2
7.14Single8HQMNPGLY8HQM-GPR132-NPGLY-Gi1/β1/γ2
7.14Single8HVINOX-6-78HVI-GPR132-NOX-6-7-Gi1/β1/γ2
7.14Consensusneuromedin-u_onOrthosteric Ligandnmur1_on nmur2_on
7.14Consensustachykinin_onOrthosteric Ligandnk1_on nk2_on nk3_on
6.90Single5YQZNNC17025YQZ-Glucagon-NNC1702
6.90Single7TYHCalcitonin7TYH-CT (AMY2)-Calcitonin-Gs/β1/γ2; RAMP2
6.90Consensusneuromedin-u_on_gpOrthosteric Ligandnmur1_on_gp nmur2_on_gp
6.67Single7SK3CXCL127SK3-ACKR3-CXCL12
6.67Consensusccr5_onOrthosteric Ligand7O7F-CCR5-6P4-CCL5-Gi1/β1/γ1 7F1Q-CCR5-CCL3-Gi1/β1/γ2
6.45Single5NX2GLP-1 (Truncated)5NX2-GLP-1-GLP-1 (Truncated)
6.45Single7VVKPTH7VVK-PTH1-PTH-Gs/β1/γ2
6.25Single6PWCNeurotensin-(9-13)6PWC-NTS1-Neurotensin-(9-13)-Arrestin2
6.25Single7D77Hydrocortisone7D77-ADGRG3-Hydrocortisone-Go/β1/γ2
6.25Single7V6APubChem 98642757V6A-M4-PubChem 9864275-Gi1/β1/γ2
6.25Single8RQLFlufenamic acid8RQL-TAS2R14-Flufenamic acid-Flufenamic acid-chim(NtGi1-Gt3)/β1/γ2
6.25Single9BQ3Cagrilintide9BQ3-CT (AMY2)-Cagrilintide-Gs/β1/γ2; RAMP2
6.25Single9IJRC179IJR-GPR52-C17-Arrestin2
5.88Single6LI0C176LI0-GPR52-C17
5.88Single7T96LY21196207T96-M2-Acetylcholine-LY2119620-Go/β1/γ2
5.88Single7TRPLY20332987TRP-M4-Iperoxo-LY2033298-Gi1/β1/γ2
5.88Single7XKFDehydroepiandrosterone7XKF-ADGRG2-Dehydroepiandrosterone-Gs/β1/γ2
5.88Single8SZFCa; Ca; Tryptophan; Cinacalcet; PO4; Spermine8SZF-CaS; CaS-Ca; Ca; Tryptophan; Cinacalcet; PO4; Spermine
5.88Single8YKDDehydroepiandrosterone8YKD-ADGRG2-Dehydroepiandrosterone-chim(NtGi1-Gs)/β1/γ2
5.88Single9JCPLPC9JCP-GPR4-LPC-chim(NtGi1-Gs-CtGq)/β1/γ2
5.88Single9JLCAVE 09919JLC-MAS1-AVE 0991-Gi1/β1/γ2
5.88Single9LMPNE52-QQ579LMP-GPR4-NE52-QQ57
5.88Consensusgq_nucleotideOrthosteric Ligandgq_p2y
5.88Consensusgq_p2yOrthosteric Ligand7XXH-P2Y1-2MeSADP-chim(NtGi1-G11)/β1/γ2
5.56Single4MQTLY21196204MQT-M2-Iperoxo-LY2119620
5.56Single7F8YDevazepide7F8Y-CCKA-Devazepide
5.56Single7LCJDanuglipron7LCJ-GLP-1-Danuglipron
5.56Single7S8PMS471347S8P-MRGPRX4-MS47134-chim(NtGi2L-Gs-CtGq)/β1/γ2
5.56Single7TYOCalcitonin7TYO-CT-Calcitonin-Gs/β1/γ2
5.56Single7VDLCortistatin-147VDL-MRGPRX2-Cortistatin-14-Gi1/β1/γ2
5.56Single7VVOPTH7VVO-PTH1-PTH-Gs/β1/γ2
5.56Single7X2CFenoldopam7X2C-D1-Fenoldopam-Fenoldopam-Gs/β1/γ2
5.56Single8T3VDoconexent8T3V-FFA1-Doconexent-chim(NtGi2L-Gs-CtGq)/β1/γ2
5.56Single8YYWAlpha-ketoglutarate8YYW-Oxoglutarate-α-ketoglutarate-α-ketoglutarate-chim(Gi1-CtGq)/β1/γ2
5.56Single9KO2CCL199KO2-CCR7-CCL19-Gi1/β1
5.56Single9KO6CCL199KO6-CCR7-CCL19
5.56Consensuscxcr1_onOrthosteric Ligand8IC0-CXCR1-CXCL8-Gi1/β1/γ2
5.56Consensusp2y1_onOrthosteric Ligand7XXH-P2Y1-2MeSADP-chim(NtGi1-G11)/β1/γ2
5.26Single6U1NLY21196206U1N-M2-LY2119620-Arrestin2
5.26Single6WJCMuscarinic toxin 76WJC-M1-Atropine-Muscarinic toxin 7
5.26Single7C2EPubChem 1490507997C2E-GLP-1-PubChem 149050799-Gs/β1/γ2
5.26Single7T94LY21196207T94-M2-Acetylcholine-LY2119620-chim(NtGi1-Go)/β1/γ2
5.26Single7UTZDPPC7UTZ-TSH-TSH-DPPC-Gs/β1/γ2
5.26Single8IYXYL-3658IYX-GPR34-YL-365
5.26Single8JD6VU03647708JD6-mGlu4; mGlu4-Phosphoserine-VU0364770-Gi3/β1/γ2
5.26Single9IXXLTD49IXX-CysLT2-LTD4-chim(NtGi1-Gs-CtGq)/β1/γ2
5.26Single9JFUNE52-QQ579JFU-GPR4-NE52-QQ57
5.26Single9JQYTG6-1299JQY-EP4-TG6-129
5.26Consensuscxcr2_onOrthosteric Ligand6LFM-CXCR2-CXCL8-Gi1/β1/γ2
5.00Single4QIMANTA XV4QIM-SMO-ANTA XV
5.00Single6X1ADanuglipron6X1A-GLP-1-Danuglipron-Gs/β1/γ2
5.00Single7FIHOrg435537FIH-LH-hCG-Org43553-chim(NtGi1-Gs)/β1/γ2
5.00Single7LCIDanuglipron7LCI-GLP-1-Danuglipron-Gs/β1/γ2
5.00Single7LCKDanuglipron7LCK-GLP-1-Danuglipron
5.00Single7TRQVU04671547TRQ-M4-Iperoxo-VU0467154-Gi1/β1/γ2
5.00Single8IC0CXCL88IC0-CXCR1-CXCL8-Gi1/β1/γ2
5.00Single8ZYYNeurotensin-(8-13)8ZYY-NTS1-Neurotensin-(8-13)-SBI-553-Arrestin2
5.00Single9JROPF-044189489JRO-EP2-PF-04418948
5.00Single9METGp120; CD49MET-CXCR4-Gp120; CD4
5.00Consensuscxcr1_on_gpOrthosteric Ligand8IC0-CXCR1-CXCL8-Gi1/β1/γ2
4.76Single4JKVTaladegib4JKV-SMO-Taladegib
4.76Single6Z4QSR142948A6Z4Q-NTS1-SR142948A
4.76Single7VV0PAMP-127VV0-MRGPRX2-PAMP-12
4.76Single7VV4Cortistatin-147VV4-MRGPRX2-Cortistatin-14
4.76Single8XQPCholesterol8XQP-TAS2R14-Cholesterol-Aristolochic acid A-Gt3/β1/γ1
4.76Single8ZYTNeurotensin-(8-13)8ZYT-NTS1-Neurotensin-(8-13)-SBI-553-Arrestin2
4.76Single9EAHNanobody AT2099EAH-AT1-Olmesartan-Nanobody AT209
4.76Single9JRTTG6-1299JRT-EP2-TG6-129
4.76Consensusadgrg2_onOrthosteric Ligand7WUI-ADGRG2-IP15-chim(NtGi1-Gs)/β1/γ2 7WUQ-ADGRG2-Gs/β1/γ2 7XKF-ADGRG2-Dehydroepiandrosterone-Gs/β1/γ2
4.76Consensusadgrg2_on_gpOrthosteric Ligand7WUI-ADGRG2-IP15-chim(NtGi1-Gs)/β1/γ2 7WUQ-ADGRG2-Gs/β1/γ2 7XKF-ADGRG2-Dehydroepiandrosterone-Gs/β1/γ2
4.55Single5V56TC1145V56-SMO-TC114
4.55Single5V57TC1145V57-SMO-TC114
4.55Single6OS1TRV0266OS1-AT1-TRV026
4.55Single7S8MCortistatin-147S8M-MRGPRX2-Cortistatin-14-Gi1/β1/γ2
4.55Single7XBDGalanin7XBD-GAL2-Galanin-chim(NtGi2L-Gs-CtGq)/β1/γ2
4.55Single7XJLSpexin7XJL-GAL2-Spexin-chim(NtGi2L-Gs-CtGq)/β1/γ2
4.55Single8FN1Neurotensin-(8-13)8FN1-NTS1-Neurotensin-(8-13)-chim(NtGi1-Go)/β1/γ2
4.55Single8JBGNeurokinin-B8JBG-NK3-Neurokinin-B-chim(NtGi1-Gs-CtGq)/β1/γ2
4.55Single8JD5JNJ-40411813; ADX881788JD5-mGlu2; mGlu4-Glutamate-JNJ-40411813; ADX88178-Gi1/β1/γ2
4.55Single8XQTCholesterol8XQT-TAS2R14-Cholesterol-Gi1/β1/γ1
4.55Single9JCLADP9JCL-P2Y1-ADP-chim(Gs-CtGq)/β1/γ2
4.55Consensusmotilin_onOrthosteric Ligand8IBU-Motilin-Erythromycin-A-chim(NtGi1-Gs-CtGq)/β1/γ2
4.55Consensusp2y12_onOrthosteric Ligand7XXI-P2Y12-2MeSADP-Gi2/β1/γ2
4.35Single3VW7Vorapaxar; Na3VW7-PAR1-Vorapaxar; Na
4.35Single4XEENeurotensin-(8-13)4XEE-NTS1-Neurotensin-(8-13)
4.35Single4XESNeurotensin-(8-13)4XES-NTS1-Neurotensin-(8-13)
4.35Single6XOXOrforglipron6XOX-GLP-1-Orforglipron-chim(NtGi1-Gs)/β1/γ2
4.35Single6YVRNeurotensin-(6-13)6YVR-NTS1-Neurotensin-(6-13)
4.35Single7L0SNeurotensin-(8-13)7L0S-NTS1-Neurotensin-(8-13)-Gi1/β1/γ1
4.35Single7XXI2MeSADP7XXI-P2Y12-2MeSADP-Gi2/β1/γ2
4.35Single8IBUErythromycin-A8IBU-Motilin-Erythromycin-A-chim(NtGi1-Gs-CtGq)/β1/γ2
4.35Single8JPCNeurotensin-(8-13)8JPC-NTS1-Neurotensin-(8-13)-SBI-553; GDP; Mg-Gq; GRK2
4.35Single8XQNCholesterol8XQN-TAS2R14-Cholesterol-Aristolochic acid A-Gi1/β1/γ1
4.35Consensusgalanin_onOrthosteric Ligandgal2_on gal1_on
4.35Consensusgalanin_on_gpOrthosteric Ligandgal2_on_gp gal1_on_gp
4.35Consensusgi_p2yOrthosteric Ligand7XXI-P2Y12-2MeSADP-Gi2/β1/γ2
4.35Consensusmotilin_on_gpOrthosteric Ligand8IBU-Motilin-Erythromycin-A-chim(NtGi1-Gs-CtGq)/β1/γ2
4.35Consensusp2y12_on_gpOrthosteric Ligand7XXI-P2Y12-2MeSADP-Gi2/β1/γ2
4.17Single4BUONeurotensin-(8-13)4BUO-NTS1-Neurotensin-(8-13)
4.17Single4RWSvMIP-II4RWS-CXCR4-vMIP-II
4.17Single6M1HMaxadilan6M1H-PAC1-Maxadilan-Gs/β1/γ2
4.17Single8FN0Neurotensin-(8-13)8FN0-NTS1-Neurotensin-(8-13)-SBI-553-chim(NtGi1-Go)/β1/γ2
4.17Single8XVUCXCL28XVU-CXCR2-CXCL2
4.17Single8XXHCXCL28XXH-CXCR2-CXCL2-Go/β1/γ2
4.17Single8ZPLHF511168ZPL-CXCR4-HF51116
4.17Single9JH5C16:0 Ceramide9JH5-CysLT2-C16:0 Ceramide-chim(NtGi1-Gs-CtGq)/β1/γ2
4.17Consensusgal2_onOrthosteric Ligand7WQ4-GAL2-Galanin-chim(NtGi1-Gs-CtGq)/β1/γ2 7XJL-GAL2-Spexin-chim(NtGi2L-Gs-CtGq)/β1/γ2
4.17Consensusgal2_on_gpOrthosteric Ligand7WQ4-GAL2-Galanin-chim(NtGi1-Gs-CtGq)/β1/γ2 7XJL-GAL2-Spexin-chim(NtGi2L-Gs-CtGq)/β1/γ2
4.00Single5TZYMK8666; AP85TZY-FFA1-MK8666; AP8
4.00Single6KNMJN241-96KNM-Apelin-JN241-9
4.00Single7S8LCortistatin-147S8L-MRGPRX2-Cortistatin-14-chim(NtGi2L-Gs-CtGq)/β1/γ2
4.00Single8XQJJN2418XQJ-Apelin; Apelin-JN241
4.00Single8XQLCholesterol8XQL-TAS2R14-Cholesterol-Aristolochic acid A-Gt3/β1/γ1
4.00Single8XQOCholesterol8XQO-TAS2R14-Cholesterol-Aristolochic acid A-Gi1/β1/γ1
4.00Single8XX6CXCL88XX6-CXCR2-CXCL8-Go/β1/γ2
3.85Single7L0RNeurotensin-(8-13)7L0R-NTS1-Neurotensin-(8-13)-Gi1/β1/γ1
3.85Single7RTBPeptide-197RTB-GLP-1-Peptide-19-Gs/β1/γ2
3.85Single8XWNCXCL88XWN-CXCR2-CXCL8
3.57Single7W55Neuromedin-U-257W55-NMUR2-Neuromedin-U-25-chim(NtGi1-Gs-CtGq)/β1/γ2
3.57Consensusnmur2_onOrthosteric Ligand7W55-NMUR2-Neuromedin-U-25-chim(NtGi1-Gs-CtGq)/β1/γ2
3.57Consensusnmur2_on_gpOrthosteric Ligand7W55-NMUR2-Neuromedin-U-25-chim(NtGi1-Gs-CtGq)/β1/γ2

PDB Summary
PDB 8GE5
Class A
SubFamily Amine
Type Adrenergic
SubType Beta2
Species Homo Sapiens
Ligand Constrained Epinephrine
Other Ligand(s) -
Protein Partners Gs/Beta1/Gamma1
PDB Resolution 3.2
Date 2024-03-06
D.O.I. doi.org/10.1038/s41586-024-07153-1
Net Summary
Imin 3.37
Number of Linked Nodes 843
Number of Links 971
Number of Hubs 137
Number of Links mediated by Hubs 530
Number of Communities 30
Number of Nodes involved in Communities 191
Number of Links involved in Communities 252
Path Summary
Number Of Nodes in MetaPath 102
Number Of Links MetaPath 101
Number of Shortest Paths 3955409
Length Of Smallest Path 3
Average Path Length 42.1338
Length of Longest Path 75
Minimum Path Strength 1.215
Average Path Strength 6.39058
Maximum Path Strength 24.59
Minimum Path Correlation 0.71
Average Path Correlation 0.991131
Maximum Path Correlation 1
Minimum % Of Corr. Nodes 1.81818
Average % Of Corr. Nodes 30.7835
Maximum % Of Corr. Nodes 100
Minimum Path Hubs % 0
Average Path Hubs % 46.5065
Maximum Path Hubs % 100
AnnotationTypeLinks
Gene OntologyMolecular Function• amyloid-beta binding   • binding   • peptide binding   • protein binding   • enzyme binding   • adenylate cyclase binding   • G protein-coupled amine receptor activity   • molecular transducer activity   • beta2-adrenergic receptor activity   • G protein-coupled receptor activity   • transmembrane signaling receptor activity   • signaling receptor activity   • beta-adrenergic receptor activity   • adrenergic receptor activity   • protein-containing complex binding   • potassium channel regulator activity   • channel regulator activity   • ion channel regulator activity   • molecular function regulator activity   • transporter regulator activity   • identical protein binding   • protein homodimerization activity   • protein dimerization activity   • cation binding   • ion binding   • catecholamine binding   • norepinephrine binding   • small molecule binding   • multicellular organismal process   • response to nutrient levels   • multicellular organismal-level homeostasis   • response to stimulus   • homeostatic process   • response to dietary excess   • diet induced thermogenesis   • temperature homeostasis   • energy homeostasis   • adaptive thermogenesis   • response to stress   • response to abiotic stimulus   • response to cold   • response to temperature stimulus
Gene OntologyBiological Process• multicellular organismal process   • response to nutrient levels   • multicellular organismal-level homeostasis   • response to stimulus   • homeostatic process   • response to dietary excess   • diet induced thermogenesis   • temperature homeostasis   • energy homeostasis   • adaptive thermogenesis   • response to stress   • response to abiotic stimulus   • response to cold   • response to temperature stimulus   • cellular response to stimulus   • regulation of biological process   • regulation of cellular process   • signaling   • biological regulation   • cell communication   • adenylate cyclase-inhibiting G protein-coupled receptor signaling pathway   • adenylate cyclase-inhibiting adrenergic receptor signaling pathway   • adenylate cyclase-modulating G protein-coupled receptor signaling pathway   • adrenergic receptor signaling pathway   • G protein-coupled receptor signaling pathway   • cellular process   • signal transduction   • regulation of developmental process   • positive regulation of biological process   • regulation of biomineral tissue development   • regulation of bone mineralization   • positive regulation of ossification   • positive regulation of developmental process   • multicellular organism development   • positive regulation of biomineral tissue development   • ossification   • anatomical structure development   • biomineral tissue development   • regulation of multicellular organismal process   • developmental process   • regulation of multicellular organismal development   • bone mineralization   • animal organ development   • tissue development   • positive regulation of bone mineralization   • positive regulation of multicellular organismal process   • regulation of ossification   • regulation of multicellular organism growth   • regulation of growth   • regulation of developmental growth   • negative regulation of multicellular organism growth   • developmental growth   • negative regulation of developmental process   • growth   • negative regulation of biological process   • multicellular organism growth   • negative regulation of developmental growth   • negative regulation of growth   • negative regulation of multicellular organismal process   • adenylate cyclase-activating adrenergic receptor signaling pathway   • adenylate cyclase-activating G protein-coupled receptor signaling pathway   • fat cell differentiation   • cellular developmental process   • brown fat cell differentiation   • cell differentiation   • negative regulation of cardiac muscle cell apoptotic process   • muscle cell apoptotic process   • negative regulation of programmed cell death   • regulation of apoptotic process   • regulation of cardiac muscle cell apoptotic process   • regulation of muscle cell apoptotic process   • regulation of programmed cell death   • cell death   • cardiac muscle cell apoptotic process   • negative regulation of apoptotic process   • regulation of striated muscle cell apoptotic process   • striated muscle cell apoptotic process   • negative regulation of muscle cell apoptotic process   • negative regulation of cellular process   • negative regulation of striated muscle cell apoptotic process   • apoptotic process   • programmed cell death   • system process   • regulation of system process   • muscle contraction   • muscle system process   • regulation of muscle system process   • negative regulation of muscle contraction   • smooth muscle contraction   • regulation of smooth muscle contraction   • regulation of muscle contraction   • negative regulation of smooth muscle contraction   • positive regulation of DNA-templated transcription   • RNA metabolic process   • positive regulation of macromolecule biosynthetic process   • regulation of primary metabolic process   • nucleobase-containing compound metabolic process   • RNA biosynthetic process   • nucleic acid biosynthetic process   • positive regulation of metabolic process   • DNA-templated transcription   • regulation of RNA metabolic process   • transcription by RNA polymerase II   • positive regulation of biosynthetic process   • positive regulation of macromolecule metabolic process   • regulation of nucleobase-containing compound metabolic process   • positive regulation of cellular process   • regulation of RNA biosynthetic process   • regulation of biosynthetic process   • regulation of transcription by RNA polymerase II   • primary metabolic process   • regulation of macromolecule metabolic process   • positive regulation of transcription by RNA polymerase II   • nucleobase-containing compound biosynthetic process   • gene expression   • macromolecule biosynthetic process   • nucleic acid metabolic process   • positive regulation of RNA metabolic process   • regulation of gene expression   • biosynthetic process   • positive regulation of RNA biosynthetic process   • metabolic process   • regulation of macromolecule biosynthetic process   • macromolecule metabolic process   • regulation of DNA-templated transcription   • regulation of metabolic process   • tissue remodeling   • bone remodeling   • anatomical structure homeostasis   • tissue homeostasis   • bone resorption   • localization   • import into cell   • transport   • receptor-mediated endocytosis   • endocytosis   • establishment of localization   • vesicle-mediated transport   • cellular localization   • endosome to lysosome transport   • intracellular transport   • lysosomal transport   • establishment of localization in cell   • vacuolar transport   • heart process   • regulation of actin filament-based process   • regulation of heart contraction   • cardiac muscle contraction   • striated muscle contraction   • circulatory system process   • actin filament-based process   • positive regulation of actin filament-based movement   • blood circulation   • cardiac muscle cell contraction   • regulation of cardiac muscle contraction   • positive regulation of cardiac muscle cell contraction   • actin filament-based movement   • regulation of blood circulation   • regulation of striated muscle contraction   • regulation of actin filament-based movement   • regulation of cardiac muscle cell contraction   • actin-mediated cell contraction   • heart contraction   • positive regulation of organelle organization   • catabolic process   • regulation of cellular component organization   • positive regulation of cellular component organization   • regulation of autophagosome maturation   • macroautophagy   • autophagy   • protein-containing complex disassembly   • regulation of autophagy   • regulation of protein-containing complex disassembly   • cellular component organization   • autophagosome maturation   • cellular component organization or biogenesis   • positive regulation of macroautophagy   • process utilizing autophagic mechanism   • positive regulation of protein-containing complex disassembly   • cellular component disassembly   • positive regulation of autophagy   • protein-containing complex organization   • regulation of catabolic process   • positive regulation of autophagosome maturation   • regulation of organelle organization   • positive regulation of catabolic process   • organelle organization   • regulation of macroautophagy   • positive regulation of cardiac muscle cell apoptotic process   • positive regulation of programmed cell death   • positive regulation of striated muscle cell apoptotic process   • positive regulation of apoptotic process   • positive regulation of muscle cell apoptotic process   • lipophagy   • positive regulation of lipophagy   • regulation of lipophagy   • response to psychosocial stress   • regulation of cold-induced thermogenesis   • cold-induced thermogenesis   • positive regulation of cold-induced thermogenesis   • positive regulation of cell communication   • positive regulation of signal transduction   • regulation of signal transduction   • intracellular signal transduction   • positive regulation of response to stimulus   • regulation of intracellular signal transduction   • intracellular signaling cassette   • regulation of signaling   • positive regulation of MAPK cascade   • positive regulation of intracellular signal transduction   • regulation of MAPK cascade   • regulation of response to stimulus   • MAPK cascade   • regulation of cell communication   • positive regulation of signaling   • cell surface receptor signaling pathway   • ligand-gated ion channel signaling pathway   • ionotropic glutamate receptor signaling pathway   • glutamate receptor signaling pathway   • AMPA selective glutamate receptor signaling pathway   • regulation of tube diameter   • regulation of systemic arterial blood pressure mediated by a chemical signal   • regulation of blood pressure   • regulation of tube size   • norepinephrine-epinephrine-mediated vasodilation involved in regulation of systemic arterial blood pressure   • negative regulation of blood pressure   • regulation of systemic arterial blood pressure by norepinephrine-epinephrine   • regulation of systemic arterial blood pressure   • negative regulation of systemic arterial blood pressure   • vascular process in circulatory system   • regulation of biological quality   • blood vessel diameter maintenance   • vasodilation   • regulation of anatomical structure size   • negative regulation of signaling   • negative regulation of response to stimulus   • negative regulation of signal transduction   • negative regulation of G protein-coupled receptor signaling pathway   • negative regulation of cell communication   • regulation of G protein-coupled receptor signaling pathway   • positive regulation of cAMP/PKA signal transduction   • cAMP/PKA signal transduction   • regulation of cAMP/PKA signal transduction   • cellular response to nitrogen compound   • response to oxygen-containing compound   • response to nitrogen compound   • cellular response to amyloid-beta   • cellular response to oxygen-containing compound   • cellular response to chemical stimulus   • response to chemical   • response to amyloid-beta   • regulation of localization   • regulation of transport   • regulation of monoatomic ion transport   • regulation of sodium ion transport   • metal ion transport   • monoatomic ion transport   • regulation of metal ion transport   • monoatomic cation transport   • sodium ion transport   • heat generation   • regulation of postsynaptic membrane potential   • modulation of chemical synaptic transmission   • positive regulation of excitatory postsynaptic potential   • chemical synaptic transmission, postsynaptic   • synaptic signaling   • modulation of excitatory postsynaptic potential   • mini excitatory postsynaptic potential   • trans-synaptic signaling   • nervous system process   • cell-cell signaling   • chemical synaptic transmission   • regulation of nervous system process   • regulation of mini excitatory postsynaptic potential   • positive regulation of mini excitatory postsynaptic potential   • regulation of trans-synaptic signaling   • anterograde trans-synaptic signaling   • excitatory postsynaptic potential   • regulation of membrane potential   • cellular anatomical structure   • membrane   • membrane-bounded organelle   • intracellular anatomical structure   • dense core granule   • intracellular vesicle   • intracellular membrane-bounded organelle   • endomembrane system   • intracellular organelle   • cytoplasmic vesicle   • organelle   • secretory granule   • secretory vesicle   • cytoplasm
Gene OntologyCellular Component• cellular anatomical structure   • membrane   • membrane-bounded organelle   • intracellular anatomical structure   • dense core granule   • intracellular vesicle   • intracellular membrane-bounded organelle   • endomembrane system   • intracellular organelle   • cytoplasmic vesicle   • organelle   • secretory granule   • secretory vesicle   • cytoplasm   • vesicle   • neuronal dense core vesicle   • bounding membrane of organelle   • vesicle membrane   • clathrin-coated vesicle   • endocytic vesicle membrane   • coated vesicle   • endocytic vesicle   • clathrin-coated vesicle membrane   • clathrin-coated endocytic vesicle membrane   • clathrin-coated endocytic vesicle   • cytoplasmic vesicle membrane   • coated vesicle membrane   • organelle membrane   • protein-containing complex   • receptor complex   • intercellular bridge   • Golgi apparatus   • endosome membrane   • endosome   • intracellular membraneless organelle   • cilium   • plasma membrane bounded cell projection   • ciliary basal body   • cell projection   • microtubule organizing center   • cytoskeleton   • membraneless organelle   • microtubule cytoskeleton   • cell periphery   • apical part of cell   • plasma membrane   • plasma membrane region   • apical plasma membrane   • mitotic spindle   • spindle   • lytic vacuole   • vacuole   • lysosome   • early endosome   • nucleus   • protein binding   • binding   • G-protein beta-subunit binding   • fibroblast proliferation   • cell population proliferation   • cellular process   • cellular response to nitrogen compound   • cellular response to stimulus   • response to dopamine   • regulation of cellular process   • response to stimulus   • signaling   • cellular response to dopamine   • response to monoamine   • cell communication   • response to catecholamine   • adenylate cyclase-activating dopamine receptor signaling pathway   • cellular response to catecholamine stimulus   • signal transduction   • regulation of biological process   • G protein-coupled dopamine receptor signaling pathway   • biological regulation   • response to oxygen-containing compound   • response to nitrogen compound   • adenylate cyclase-activating G protein-coupled receptor signaling pathway   • cellular response to oxygen-containing compound   • cellular response to chemical stimulus   • cellular response to monoamine stimulus   • response to chemical   • adenylate cyclase-modulating G protein-coupled receptor signaling pathway   • G protein-coupled receptor signaling pathway   • response to ketone   • response to prostaglandin   • response to lipid   • response to endogenous stimulus   • response to alcohol   • cellular response to prostaglandin stimulus   • cellular response to endogenous stimulus   • cellular response to prostaglandin E stimulus   • cellular response to alcohol   • response to hormone   • cellular response to lipid   • response to prostaglandin E   • cellular response to ketone   • cellular response to hormone stimulus   • extrinsic component of plasma membrane   • catalytic complex   • plasma membrane protein complex   • cytoplasmic side of membrane   • membrane protein complex   • heterotrimeric G-protein complex   • side of membrane   • cytoplasmic side of plasma membrane   • GTPase complex   • extrinsic component of membrane   • extrinsic component of cytoplasmic side of plasma membrane   • extracellular exosome   • extracellular vesicle   • extracellular organelle   • extracellular region   • extracellular space   • extracellular membrane-bounded organelle   • synapse   • cell junction   • enzyme binding   • GTPase binding   • protein-containing complex binding   • pyrophosphatase activity   • GTPase activity   • ribonucleoside triphosphate phosphatase activity   • hydrolase activity, acting on acid anhydrides, in phosphorus-containing anhydrides   • hydrolase activity   • hydrolase activity, acting on acid anhydrides   • catalytic activity   • signaling receptor complex adaptor activity   • protein-macromolecule adaptor activity   • molecular adaptor activity   • signaling adaptor activity   • multicellular organismal process   • system process   • sensory perception of chemical stimulus   • sensory perception   • nervous system process   • sensory perception of taste   • developmental process   • sensory organ development   • eye development   • animal organ development   • retina development in camera-type eye   • visual system development   • multicellular organism development   • camera-type eye development   • anatomical structure development   • sensory system development   • system development   • small GTPase-mediated signal transduction   • Ras protein signal transduction   • intracellular signal transduction   • intracellular signaling cassette   • phospholipase C-activating G protein-coupled receptor signaling pathway   • synaptic signaling   • cellular response to acetylcholine   • cell-cell signaling   • acetylcholine receptor signaling pathway   • postsynaptic signal transduction   • G protein-coupled acetylcholine receptor signaling pathway   • response to acetylcholine   • non-motile cilium   • 9+0 non-motile cilium   • neuron projection   • photoreceptor disc membrane   • photoreceptor outer segment   • photoreceptor cell cilium   • cytosol   • vacuolar membrane   • lytic vacuole membrane   • lysosomal membrane   • guanyl nucleotide binding   • GTP binding   • nucleotide binding   • guanyl ribonucleotide binding   • purine ribonucleotide binding   • purine ribonucleoside triphosphate binding   • nucleoside phosphate binding   • ion binding   • purine nucleotide binding   • anion binding   • heterocyclic compound binding   • carbohydrate derivative binding   • ribonucleotide binding   • small molecule binding   • D1 dopamine receptor binding   • signaling receptor binding   • G protein-coupled receptor binding   • dopamine receptor binding   • G-protein beta/gamma-subunit complex binding   • G protein activity   • molecular function regulator activity   • enzyme regulator activity   • cyclase regulator activity   • enzyme activator activity   • cyclase activator activity   • molecular function activator activity   • adenylate cyclase regulator activity   • adenylate cyclase activator activity   • cation binding   • metal ion binding   • epithelium development   • ectodermal placode morphogenesis   • epidermis development   • molting cycle process   • hair cycle   • hair follicle placode formation   • tissue development   • ectodermal placode formation   • anatomical structure morphogenesis   • skin development   • skin epidermis development   • hair follicle development   • molting cycle   • anatomical structure formation involved in morphogenesis   • ectodermal placode development   • hair cycle process   • cellular homeostasis   • chemical homeostasis   • homeostatic process   • glucose homeostasis   • carbohydrate homeostasis   • intracellular chemical homeostasis   • intracellular glucose homeostasis   • neuromuscular process   • regulation of system process   • skeletal muscle contraction   • muscle contraction   • muscle system process   • regulation of muscle system process   • striated muscle contraction   • multicellular organismal movement   • musculoskeletal movement   • regulation of striated muscle contraction   • regulation of muscle contraction   • regulation of skeletal muscle contraction   • regulation of multicellular organismal process   • sensory perception of smell   • response to peptide hormone   • cellular response to peptide hormone stimulus   • response to glucagon   • cellular response to glucagon stimulus   • skeletal system development   • bone development   • response to pH   • cellular response to pH   • response to abiotic stimulus   • cellular response to acidic pH   • response to acidic pH   • cellular response to abiotic stimulus   • cellular response to environmental stimulus   • regulation of body fluid levels   • wound healing   • homotypic cell-cell adhesion   • cell activation   • hemostasis   • platelet aggregation   • blood coagulation   • cell adhesion   • cell-cell adhesion   • response to stress   • coagulation   • regulation of biological quality   • response to wounding   • platelet activation   • response to fluid shear stress   • vascular endothelial cell response to laminar fluid shear stress   • response to laminar fluid shear stress   • cellular response to stress   • cellular response to laminar fluid shear stress   • vascular endothelial cell response to fluid shear stress   • cellular response to fluid shear stress   • cognition   • developmental growth   • growth   • positive regulation of biological process   • adaptive thermogenesis   • multicellular organismal-level homeostasis   • regulation of cold-induced thermogenesis   • cold-induced thermogenesis   • temperature homeostasis   • positive regulation of cold-induced thermogenesis   • positive regulation of multicellular organismal process   • positive regulation of cell communication   • regulation of localization   • establishment of protein localization   • nitrogen compound transport   • positive regulation of establishment of protein localization   • localization   • establishment of localization in cell   • positive regulation of insulin secretion involved in cellular response to glucose stimulus   • positive regulation of insulin secretion   • intracellular protein localization   • regulation of peptide hormone secretion   • regulation of hormone levels   • positive regulation of peptide hormone secretion   • establishment of protein localization to extracellular region   • protein secretion   • establishment of localization   • regulation of protein secretion   • regulation of secretion   • cellular response to carbohydrate stimulus   • response to glucose   • positive regulation of protein localization   • insulin secretion involved in cellular response to glucose stimulus   • cellular localization   • regulation of hormone secretion   • regulation of protein localization   • regulation of peptide secretion   • transport   • positive regulation of secretion by cell   • hormone secretion   • protein localization to extracellular region   • positive regulation of protein transport   • peptide secretion   • regulation of secretion by cell   • secretion by cell   • positive regulation of hormone secretion   • response to monosaccharide   • response to carbohydrate   • positive regulation of secretion   • signal release   • cellular response to hexose stimulus   • cellular response to monosaccharide stimulus   • positive regulation of cellular process   • positive regulation of peptide secretion   • regulation of signaling   • regulation of transport   • secretion   • regulation of peptide transport   • regulation of establishment of protein localization   • export from cell   • cellular response to glucose stimulus   • regulation of protein transport   • positive regulation of protein secretion   • peptide transport   • response to hexose   • positive regulation of transport   • regulation of cellular localization   • protein transport   • regulation of insulin secretion   • peptide hormone secretion   • macromolecule localization   • regulation of insulin secretion involved in cellular response to glucose stimulus   • hormone transport   • regulation of cell communication   • insulin secretion   • positive regulation of signaling   • adenylate cyclase-activating adrenergic receptor signaling pathway   • adrenergic receptor signaling pathway   • serotonin receptor signaling pathway   • adenylate cyclase-activating serotonin receptor signaling pathway   • intracellular transport   • regulation of defense response   • regulation of response to external stimulus   • negative regulation of inflammatory response   • negative regulation of biological process   • inflammatory response to antigenic stimulus   • regulation of response to stress   • regulation of immune system process   • negative regulation of inflammatory response to antigenic stimulus   • defense response   • immune response   • negative regulation of response to stimulus   • negative regulation of immune response   • regulation of inflammatory response to antigenic stimulus   • response to external stimulus   • regulation of inflammatory response   • regulation of response to stimulus   • negative regulation of immune system process   • immune system process   • negative regulation of response to external stimulus   • negative regulation of defense response   • regulation of immune response   • inflammatory response   • positive regulation of adenylate cyclase activity   • positive regulation of molecular function   • regulation of molecular function   • positive regulation of cyclase activity   • activation of adenylate cyclase activity   • regulation of adenylate cyclase activity   • regulation of catalytic activity   • positive regulation of catalytic activity   • positive regulation of lyase activity   • cell surface receptor signaling pathway   • bile acid signaling pathway   • adenylate cyclase-activating G protein-coupled bile acid receptor signaling pathway   • renal system process   • multicellular organismal-level water homeostasis   • multicellular organismal-level chemical homeostasis   • renal water homeostasis   • Golgi apparatus subcompartment   • organelle subcompartment   • trans-Golgi network membrane   • trans-Golgi network
SCOP2Domain Identifier• G protein-coupled receptor-like   • Transducin (heterotrimeric G protein), gamma chain
SCOP2Family Identifier• G protein-coupled receptor-like   • Transducin (heterotrimeric G protein), gamma chain
Membrane Protein Annotations-• Orientations of Proteins in Membranes database (OPM)   • Protein Data Bank of Transmembrane Proteins (PDBTM)   • MemProtMD


Details about the values in these tables can be found in the corresponding documentation page .
CodeG1I
PDB ResiduesL:L:?1
Environment DetailsOpen EMBL-EBI Page
CodeG1I
Name(5R,6R)-6-(methylamino)-5,6,7,8-tetrahydronaphthalene-1,2,5-triol
Synonyms
Identifier
FormulaC11 H15 N O3
Molecular Weight209.242
SMILES
PubChem12353638
Formal Charge0
Total Atoms30
Total Chiral Atoms2
Total Bonds31
Total Aromatic Bonds6

PDBsumOpen PDBsum Page
ChainA
ProteinG Protein α Sub unit
UniProtP63092
Sequence
>8GE5_Chain_A
QRNEEKAQR EANKKIEKQ LQKDKQVYR ATHRLLLLG AGESGKSTI 
VKQMGIFET KFQVDKVNF HMFDVGGQR DERRKWIQC FNDVTAIIF 
VVASSSYNM VITNRLQEA LNLFKSIWN NRWLRTISV ILFLNKQDL 
LAEKVLAGK SKIEDYFPE FARYTTPED ATPEPGEDP RVTRAKYFI 
RDEFLRIST ASGDGRHYC YPHFTCAVD TENIRRVFN DCRDIIQRM 
HLRQYELL


Click on each residue to open a popup with some information about it.

ConSurf Conservation Grade (See documentation): 

 n/a   1    2    3    4    5    6    7    8    9  

ChainB
ProteinG Protein β Sub unit
UniProtP62873
Sequence
>8GE5_Chain_B
QLRQEAEQL KNQIRDARK ACADATLSQ ITNNIDPVG RIQMRTRRT 
LRGHLAKIY AMHWGTDSR LLVSASQDG KLIIWDSYT TNKVHAIPL 
RSSWVMTCA YAPSGNYVA CGGLDNICS IYNLKTVRV SRELAGHTG 
YLSCCRFLD DNQIVTSSG DTTCALWDI ETGQQTTTF TGHTGDVMS 
LSLAPDTRL FVSGACDAS AKLWDVREG MCRQTFTGH ESDINAICF 
FPNGNAFAT GSDDATCRL FDLRADQEL MTYSHDNII CGITSVSFS 
KSGRLLLAG YDDFNCNVW DALKADRAG VLAGHDNRV SCLGVTDDG 
MAVATGSWD SFLKIWN


Click on each residue to open a popup with some information about it.

ConSurf Conservation Grade (See documentation): 

 n/a   1    2    3    4    5    6    7    8    9  

ChainG
ProteinG Protein γ Sub unit
UniProtP59768
Sequence
>8GE5_Chain_G
QARKLVEQL KMEANIDRI KVSKAAADL MAYCEAHAK EDPLLTPVP 
ASENPFR


Click on each residue to open a popup with some information about it.

ConSurf Conservation Grade (See documentation): 

 n/a   1    2    3    4    5    6    7    8    9  

ChainR
ProteinReceptor
UniProtP07550
Sequence
>8GE5_Chain_R
EVWVVGMGI VMSLIVLAI VFGNVLVIT AIAKFERLQ TVTNYFITS 
LACADLVMG LAVVPFGAA HILTKTWTF GNFWCEFWT SIDVLCVTA 
SIETLCVIA VDRYFAITS PFKYQSLLT KNKARVIIL MVWIVSGLT 
SFLPIQMHW YRATHQEAI NCYAEETCC DFFTNQAYA IASSIVSFY 
VPLVIMVFV YSRVFQEAK RQLQKIDKS EGRFHVHKA LKTLGIIMG 
TFTLCWLPF FIVNIVHVI QDNLIRKEV YILLNWIGY VNSGFNPLI 
YCRSPDFRI AFQELL


Click on each residue to open a popup with some information about it.

ConSurf Conservation Grade (See documentation): 

 n/a   1    2    3    4    5    6    7    8    9  




This receptor, from the same or other species and bound to the same or other ligands, is also present in the following networks:
Show PDB Class SubFamily Type SubType Species Orthosteric Ligand Other Ligand(s) Protein Partners Resolution Date DOI
2RH1AAmineAdrenergicβ2Homo sapiensCarazolol--2.42007-10-30doi.org/10.1126/science.1150577
2R4RAAmineAdrenergicβ2Homo sapiens---3.42007-11-06doi.org/10.1038/nature06325
2R4SAAmineAdrenergicβ2Homo sapiens---3.42007-11-06doi.org/10.1038/nature06325
3D4SAAmineAdrenergicβ2Homo sapiensTimolol--2.82008-06-17doi.org/10.1016/j.str.2008.05.001
3KJ6AAmineAdrenergicβ2Homo sapiens---3.42010-02-16doi.org/10.1038/nature08650
3NY8AAmineAdrenergicβ2Homo sapiensICI118-551--2.842010-08-11doi.org/10.1021/ja105108q
3NY9AAmineAdrenergicβ2Homo sapiensPubChem 913103--2.842010-08-11doi.org/10.1021/ja105108q
3NYAAAmineAdrenergicβ2Homo sapiensAlprenolol--3.162010-08-11doi.org/10.1021/ja105108q
3PDSAAmineAdrenergicβ2Homo sapiensFAUC50--3.52011-01-12doi.org/10.1038/nature09665
3P0GAAmineAdrenergicβ2Homo sapiensBI167107--3.52011-01-19doi.org/10.1038/nature09648
3SN6AAmineAdrenergicβ2Homo sapiensBI167107-Gs/β1/γ23.22011-07-20doi.org/10.1038/nature10361
3SN6 (No Gprot) AAmineAdrenergicβ2Homo sapiensBI167107-3.22011-07-20doi.org/10.1038/nature10361
4GBRAAmineAdrenergicβ2Homo sapiensCarazolol--3.992012-10-24doi.org/10.1371/journal.pone.0046039
4LDEAAmineAdrenergicβ2Homo sapiensBI167107--2.792013-09-25doi.org/10.1038/nature12572
4LDLAAmineAdrenergicβ2Homo sapiensHydroxybenzyl Isoproterenol--3.12013-09-25doi.org/10.1038/nature12572
4LDOAAmineAdrenergicβ2Homo sapiensEpinephrine--3.22013-09-25doi.org/10.1038/nature12572
4QKXAAmineAdrenergicβ2Homo sapiensPubChem 76210628--3.32014-07-23doi.org/10.1073/pnas.1410415111
5D5AAAmineAdrenergicβ2Homo sapiensCarazolol--2.482016-01-13doi.org/10.1107/S2059798315021683
5D5BAAmineAdrenergicβ2Homo sapiensCarazolol--3.82016-01-13doi.org/10.1107/S2059798315021683
5JQHAAmineAdrenergicβ2Homo sapiensCarazolol--3.22016-07-13doi.org/10.1038/nature18636
5D6LAAmineAdrenergicβ2Homo sapiensCarazolol--3.22016-08-17doi.org/10.1038/nprot.2017.057
5X7DAAmineAdrenergicβ2Homo sapiensCarazololPubChem 129318963-2.72017-08-16doi.org/10.1038/nature23652
6MXTAAmineAdrenergicβ2Homo sapiensSalmeterol--2.962018-11-14doi.org/10.1038/s41589-018-0145-x
6E67AAmineAdrenergicβ2Homo sapiensBI167107-Gs(CT)3.72019-06-05doi.org/10.1016/j.cell.2019.04.021
6E67 (No Gprot) AAmineAdrenergicβ2Homo sapiensBI167107-3.72019-06-05doi.org/10.1016/j.cell.2019.04.021
6N48AAmineAdrenergicβ2Homo sapiensBI167107PubChem 138454256-3.22019-06-26doi.org/10.1126/science.aaw8981
6PRZAAmineAdrenergicβ2Homo sapiensAlprenolol--2.82019-11-13doi.org/10.1107/S2052252519013137
6PS0AAmineAdrenergicβ2Homo sapiensCarazolol--3.42019-11-13doi.org/10.1107/S2052252519013137
6PS1AAmineAdrenergicβ2Homo sapiensTimolol--3.22019-11-13doi.org/10.1107/S2052252519013137
6PS2AAmineAdrenergicβ2Homo sapiensAlprenolol--2.42019-11-13doi.org/10.1107/S2052252519013137
6PS3AAmineAdrenergicβ2Homo sapiensCarvedilol--2.52019-11-13doi.org/10.1107/S2052252519013137
6PS4AAmineAdrenergicβ2Homo sapiensICI118-551--2.62019-11-13doi.org/10.1107/S2052252519013137
6PS5AAmineAdrenergicβ2Homo sapiensPropranolol--2.92019-11-13doi.org/10.1107/S2052252519013137
6PS6AAmineAdrenergicβ2Homo sapiensTimolol--2.72019-11-13doi.org/10.1107/S2052252519013137
6NI3AAmineAdrenergicβ2Homo sapiensBI167107-Gs/β1/γ23.82019-11-20doi.org/10.1038/s41594-019-0330-y
6NI3 (No Gprot) AAmineAdrenergicβ2Homo sapiensBI167107-3.82019-11-20doi.org/10.1038/s41594-019-0330-y
6OBAAAmineAdrenergicβ2Homo sapiensAlprenololGTPL11074-3.12020-03-25doi.org/10.1038/s41589-020-0549-2
7BZ2AAmineAdrenergicβ2Homo sapiensArformoterol-Gs/β1/γ23.822020-08-05doi.org/10.1038/s41421-020-0176-9
7BZ2 (No Gprot) AAmineAdrenergicβ2Homo sapiensArformoterol-3.822020-08-05doi.org/10.1038/s41421-020-0176-9
7DHIAAmineAdrenergicβ2Homo sapiensSalbutamol-Gs/β1/γ23.262020-12-16doi.org/10.1093/nsr/nwaa284
7DHI (No Gprot) AAmineAdrenergicβ2Homo sapiensSalbutamol-3.262020-12-16doi.org/10.1093/nsr/nwaa284
7DHRAAmineAdrenergicβ2Homo sapiensIsoprenaline-Gs/β1/γ23.82020-12-16doi.org/10.1093/nsr/nwaa284
7DHR (No Gprot) AAmineAdrenergicβ2Homo sapiensIsoprenaline-3.82020-12-16doi.org/10.1093/nsr/nwaa284
7XKAAAmineAdrenergicβ2Homo sapiensConstrained Epinephrine--3.12023-04-26doi.org/10.1038/s41467-023-37808-y
8JJ8AAmineAdrenergicβ2Homo sapiensArformoterol--3.22023-09-06doi.org/10.1038/s41589-023-01389-0
8JJLAAmineAdrenergicβ2Homo sapiensOlodaterol--3.22023-09-06doi.org/10.1038/s41589-023-01389-0
8JJOAAmineAdrenergicβ2Homo sapiensAlprenolol--3.42023-09-06doi.org/10.1038/s41589-023-01389-0
8GE2AAmineAdrenergicβ2Homo sapiensConstrained Epinephrine-Gs/β1/γ13.32024-03-06doi.org/10.1038/s41586-024-07153-1
8GE2 (No Gprot) AAmineAdrenergicβ2Homo sapiensConstrained Epinephrine-3.32024-03-06doi.org/10.1038/s41586-024-07153-1
8GE5 (No Gprot) AAmineAdrenergicβ2Homo sapiensConstrained Epinephrine-3.22024-03-06doi.org/10.1038/s41586-024-07153-1
9CHUAAmineAdrenergicβ2Homo sapiensNorepinephrine--3.492024-11-13doi.org/10.1073/pnas.2414544121
9CHVAAmineAdrenergicβ2Homo sapiens---3.952024-11-13doi.org/10.1073/pnas.2414544121
9U9VAAmineAdrenergicβ2Homo sapiensMETH-Gs/β1/γ22.852025-09-03To be published
9U9V (No Gprot) AAmineAdrenergicβ2Homo sapiensMETH-2.852025-09-03To be published
7XK9AAmineAdrenergicβ2Homo sapiensConstrained IsoproterenolNa-3.42023-04-26doi.org/10.1038/s41467-023-37808-y
8GDZAAmineAdrenergicβ2Homo sapiensConstrained Epinephrine-Gs/β1/γ23.52024-03-06doi.org/10.1038/s41586-024-07153-1
8GDZ (No Gprot) AAmineAdrenergicβ2Homo sapiensConstrained Epinephrine-3.52024-03-06doi.org/10.1038/s41586-024-07153-1
8GE1AAmineAdrenergicβ2Homo sapiensConstrained Epinephrine-Gs/β1/γ23.42024-03-06doi.org/10.1038/s41586-024-07153-1
8GE1 (No Gprot) AAmineAdrenergicβ2Homo sapiensConstrained Epinephrine-3.42024-03-06doi.org/10.1038/s41586-024-07153-1
8GE3AAmineAdrenergicβ2Homo sapiensConstrained Epinephrine-Gs/β1/γ23.32024-03-06doi.org/10.1038/s41586-024-07153-1
8GE3 (No Gprot) AAmineAdrenergicβ2Homo sapiensConstrained Epinephrine-3.32024-03-06doi.org/10.1038/s41586-024-07153-1
8GE4AAmineAdrenergicβ2Homo sapiensConstrained Epinephrine-Gs/β1/γ23.32024-03-06doi.org/10.1038/s41586-024-07153-1
8GE4 (No Gprot) AAmineAdrenergicβ2Homo sapiensConstrained Epinephrine-3.32024-03-06doi.org/10.1038/s41586-024-07153-1
8GE6AAmineAdrenergicβ2Homo sapiensConstrained Epinephrine-Gs/β1/γ23.42024-03-06doi.org/10.1038/s41586-024-07153-1
8GE6 (No Gprot) AAmineAdrenergicβ2Homo sapiensConstrained Epinephrine-3.42024-03-06doi.org/10.1038/s41586-024-07153-1
8GE7AAmineAdrenergicβ2Homo sapiensConstrained Epinephrine-Gs/β1/γ23.42024-03-06doi.org/10.1038/s41586-024-07153-1
8GE7 (No Gprot) AAmineAdrenergicβ2Homo sapiensConstrained Epinephrine-3.42024-03-06doi.org/10.1038/s41586-024-07153-1
8GE8AAmineAdrenergicβ2Homo sapiensConstrained Epinephrine-Gs/β1/γ23.42024-03-06doi.org/10.1038/s41586-024-07153-1
8GE8 (No Gprot) AAmineAdrenergicβ2Homo sapiensConstrained Epinephrine-3.42024-03-06doi.org/10.1038/s41586-024-07153-1
8GE9AAmineAdrenergicβ2Homo sapiensConstrained Epinephrine-Gs/β1/γ23.52024-03-06doi.org/10.1038/s41586-024-07153-1
8GE9 (No Gprot) AAmineAdrenergicβ2Homo sapiensConstrained Epinephrine-3.52024-03-06doi.org/10.1038/s41586-024-07153-1
8GEAAAmineAdrenergicβ2Homo sapiensConstrained Epinephrine-Gs/β1/γ23.52024-03-06doi.org/10.1038/s41586-024-07153-1
8GEA (No Gprot) AAmineAdrenergicβ2Homo sapiensConstrained Epinephrine-3.52024-03-06doi.org/10.1038/s41586-024-07153-1
8GEBAAmineAdrenergicβ2Homo sapiensConstrained Epinephrine-Gs/β1/γ23.62024-03-06doi.org/10.1038/s41586-024-07153-1
8GEB (No Gprot) AAmineAdrenergicβ2Homo sapiensConstrained Epinephrine-3.62024-03-06doi.org/10.1038/s41586-024-07153-1
8GECAAmineAdrenergicβ2Homo sapiensConstrained Epinephrine-Gs/β1/γ23.52024-03-06doi.org/10.1038/s41586-024-07153-1
8GEC (No Gprot) AAmineAdrenergicβ2Homo sapiensConstrained Epinephrine-3.52024-03-06doi.org/10.1038/s41586-024-07153-1
8GEDAAmineAdrenergicβ2Homo sapiensConstrained Epinephrine-Gs/β1/γ23.52024-03-06doi.org/10.1038/s41586-024-07153-1
8GED (No Gprot) AAmineAdrenergicβ2Homo sapiensConstrained Epinephrine-3.52024-03-06doi.org/10.1038/s41586-024-07153-1
8GEEAAmineAdrenergicβ2Homo sapiensConstrained Epinephrine-Gs/β1/γ23.72024-03-06doi.org/10.1038/s41586-024-07153-1
8GEE (No Gprot) AAmineAdrenergicβ2Homo sapiensConstrained Epinephrine-3.72024-03-06doi.org/10.1038/s41586-024-07153-1
8GEFAAmineAdrenergicβ2Homo sapiensConstrained Epinephrine-Gs/β1/γ23.82024-03-06doi.org/10.1038/s41586-024-07153-1
8GEF (No Gprot) AAmineAdrenergicβ2Homo sapiensConstrained Epinephrine-3.82024-03-06doi.org/10.1038/s41586-024-07153-1
8GEGAAmineAdrenergicβ2Homo sapiensConstrained Epinephrine-Gs/β1/γ23.82024-03-06doi.org/10.1038/s41586-024-07153-1
8GEG (No Gprot) AAmineAdrenergicβ2Homo sapiensConstrained Epinephrine-3.82024-03-06doi.org/10.1038/s41586-024-07153-1
8GEHAAmineAdrenergicβ2Homo sapiensConstrained Epinephrine-Gs/β1/γ242024-03-06doi.org/10.1038/s41586-024-07153-1
8GEH (No Gprot) AAmineAdrenergicβ2Homo sapiensConstrained Epinephrine-42024-03-06doi.org/10.1038/s41586-024-07153-1
8GEIAAmineAdrenergicβ2Homo sapiensConstrained Epinephrine-Gs/β1/γ24.12024-03-06doi.org/10.1038/s41586-024-07153-1
8GEI (No Gprot) AAmineAdrenergicβ2Homo sapiensConstrained Epinephrine-4.12024-03-06doi.org/10.1038/s41586-024-07153-1
8GEJAAmineAdrenergicβ2Homo sapiensConstrained Epinephrine-Gs/β1/γ24.22024-03-06doi.org/10.1038/s41586-024-07153-1
8GEJ (No Gprot) AAmineAdrenergicβ2Homo sapiensConstrained Epinephrine-4.22024-03-06doi.org/10.1038/s41586-024-07153-1
8GFVAAmineAdrenergicβ2Homo sapiensConstrained EpinephrineGTPGs/β1/γ23.12024-03-06doi.org/10.1038/s41586-024-07153-1
8GFV (No Gprot) AAmineAdrenergicβ2Homo sapiensConstrained EpinephrineGTP3.12024-03-06doi.org/10.1038/s41586-024-07153-1
8GFWAAmineAdrenergicβ2Homo sapiensConstrained EpinephrineGTPGs/β1/γ232024-03-06doi.org/10.1038/s41586-024-07153-1
8GFW (No Gprot) AAmineAdrenergicβ2Homo sapiensConstrained EpinephrineGTP32024-03-06doi.org/10.1038/s41586-024-07153-1
8GFXAAmineAdrenergicβ2Homo sapiensConstrained EpinephrineGTPGs/β1/γ232024-03-06doi.org/10.1038/s41586-024-07153-1
8GFX (No Gprot) AAmineAdrenergicβ2Homo sapiensConstrained EpinephrineGTP32024-03-06doi.org/10.1038/s41586-024-07153-1
8GFYAAmineAdrenergicβ2Homo sapiensConstrained EpinephrineGTPGs/β1/γ232024-03-06doi.org/10.1038/s41586-024-07153-1
8GFY (No Gprot) AAmineAdrenergicβ2Homo sapiensConstrained EpinephrineGTP32024-03-06doi.org/10.1038/s41586-024-07153-1
8GFZAAmineAdrenergicβ2Homo sapiensConstrained EpinephrineGTPGs/β1/γ232024-03-06doi.org/10.1038/s41586-024-07153-1
8GFZ (No Gprot) AAmineAdrenergicβ2Homo sapiensConstrained EpinephrineGTP32024-03-06doi.org/10.1038/s41586-024-07153-1
8GG0AAmineAdrenergicβ2Homo sapiensConstrained EpinephrineGTPGs/β1/γ22.92024-03-06doi.org/10.1038/s41586-024-07153-1
8GG0 (No Gprot) AAmineAdrenergicβ2Homo sapiensConstrained EpinephrineGTP2.92024-03-06doi.org/10.1038/s41586-024-07153-1
8GG1AAmineAdrenergicβ2Homo sapiensConstrained EpinephrineGTPGs/β1/γ232024-03-06doi.org/10.1038/s41586-024-07153-1
8GG1 (No Gprot) AAmineAdrenergicβ2Homo sapiensConstrained EpinephrineGTP32024-03-06doi.org/10.1038/s41586-024-07153-1
8GG2AAmineAdrenergicβ2Homo sapiensConstrained EpinephrineGTPGs/β1/γ232024-03-06doi.org/10.1038/s41586-024-07153-1
8GG2 (No Gprot) AAmineAdrenergicβ2Homo sapiensConstrained EpinephrineGTP32024-03-06doi.org/10.1038/s41586-024-07153-1
8GG3AAmineAdrenergicβ2Homo sapiensConstrained EpinephrineGTPGs/β1/γ23.12024-03-06doi.org/10.1038/s41586-024-07153-1
8GG3 (No Gprot) AAmineAdrenergicβ2Homo sapiensConstrained EpinephrineGTP3.12024-03-06doi.org/10.1038/s41586-024-07153-1
8GG4AAmineAdrenergicβ2Homo sapiensConstrained EpinephrineGTPGs/β1/γ23.22024-03-06doi.org/10.1038/s41586-024-07153-1
8GG4 (No Gprot) AAmineAdrenergicβ2Homo sapiensConstrained EpinephrineGTP3.22024-03-06doi.org/10.1038/s41586-024-07153-1
8GG5AAmineAdrenergicβ2Homo sapiensConstrained EpinephrineGTPGs/β1/γ23.22024-03-06doi.org/10.1038/s41586-024-07153-1
8GG5 (No Gprot) AAmineAdrenergicβ2Homo sapiensConstrained EpinephrineGTP3.22024-03-06doi.org/10.1038/s41586-024-07153-1
8GG6AAmineAdrenergicβ2Homo sapiensConstrained EpinephrineGTPGs/β1/γ23.32024-03-06doi.org/10.1038/s41586-024-07153-1
8GG6 (No Gprot) AAmineAdrenergicβ2Homo sapiensConstrained EpinephrineGTP3.32024-03-06doi.org/10.1038/s41586-024-07153-1
8GG7AAmineAdrenergicβ2Homo sapiensConstrained EpinephrineGTPGs/β1/γ23.32024-03-06doi.org/10.1038/s41586-024-07153-1
8GG7 (No Gprot) AAmineAdrenergicβ2Homo sapiensConstrained EpinephrineGTP3.32024-03-06doi.org/10.1038/s41586-024-07153-1
8GG8AAmineAdrenergicβ2Homo sapiensConstrained EpinephrineGTPGs/β1/γ23.32024-03-06doi.org/10.1038/s41586-024-07153-1
8GG8 (No Gprot) AAmineAdrenergicβ2Homo sapiensConstrained EpinephrineGTP3.32024-03-06doi.org/10.1038/s41586-024-07153-1
8GG9AAmineAdrenergicβ2Homo sapiensConstrained EpinephrineGTPGs/β1/γ23.42024-03-06doi.org/10.1038/s41586-024-07153-1
8GG9 (No Gprot) AAmineAdrenergicβ2Homo sapiensConstrained EpinephrineGTP3.42024-03-06doi.org/10.1038/s41586-024-07153-1
8GGAAAmineAdrenergicβ2Homo sapiensConstrained EpinephrineGTPGs/β1/γ23.52024-03-06doi.org/10.1038/s41586-024-07153-1
8GGA (No Gprot) AAmineAdrenergicβ2Homo sapiensConstrained EpinephrineGTP3.52024-03-06doi.org/10.1038/s41586-024-07153-1
8GGBAAmineAdrenergicβ2Homo sapiensConstrained EpinephrineGTPGs/β1/γ23.52024-03-06doi.org/10.1038/s41586-024-07153-1
8GGB (No Gprot) AAmineAdrenergicβ2Homo sapiensConstrained EpinephrineGTP3.52024-03-06doi.org/10.1038/s41586-024-07153-1
8GGCAAmineAdrenergicβ2Homo sapiensConstrained EpinephrineGTPGs/β1/γ23.42024-03-06doi.org/10.1038/s41586-024-07153-1
8GGC (No Gprot) AAmineAdrenergicβ2Homo sapiensConstrained EpinephrineGTP3.42024-03-06doi.org/10.1038/s41586-024-07153-1
8GGEAAmineAdrenergicβ2Homo sapiensConstrained EpinephrineGTPGs/β1/γ23.52024-03-06doi.org/10.1038/s41586-024-07153-1
8GGE (No Gprot) AAmineAdrenergicβ2Homo sapiensConstrained EpinephrineGTP3.52024-03-06doi.org/10.1038/s41586-024-07153-1
8GGFAAmineAdrenergicβ2Homo sapiensConstrained EpinephrineGTPGs/β1/γ23.62024-03-06doi.org/10.1038/s41586-024-07153-1
8GGF (No Gprot) AAmineAdrenergicβ2Homo sapiensConstrained EpinephrineGTP3.62024-03-06doi.org/10.1038/s41586-024-07153-1
8GGIAAmineAdrenergicβ2Homo sapiensConstrained Epinephrine--3.52024-03-06doi.org/10.1038/s41586-024-07153-1
8GGJAAmineAdrenergicβ2Homo sapiensConstrained Epinephrine--3.52024-03-06doi.org/10.1038/s41586-024-07153-1
8GGKAAmineAdrenergicβ2Homo sapiensConstrained Epinephrine--3.32024-03-06doi.org/10.1038/s41586-024-07153-1
8GGLAAmineAdrenergicβ2Homo sapiensConstrained Epinephrine--3.22024-03-06doi.org/10.1038/s41586-024-07153-1
8GGMAAmineAdrenergicβ2Homo sapiensConstrained Epinephrine--3.22024-03-06doi.org/10.1038/s41586-024-07153-1
8GGNAAmineAdrenergicβ2Homo sapiensConstrained Epinephrine--3.32024-03-06doi.org/10.1038/s41586-024-07153-1
8GGOAAmineAdrenergicβ2Homo sapiensConstrained Epinephrine--3.22024-03-06doi.org/10.1038/s41586-024-07153-1
8GGPAAmineAdrenergicβ2Homo sapiensConstrained Epinephrine--3.22024-03-06doi.org/10.1038/s41586-024-07153-1
8GGQAAmineAdrenergicβ2Homo sapiensConstrained Epinephrine--3.42024-03-06doi.org/10.1038/s41586-024-07153-1
8GGRAAmineAdrenergicβ2Homo sapiensConstrained Epinephrine--3.42024-03-06doi.org/10.1038/s41586-024-07153-1
8GGSAAmineAdrenergicβ2Homo sapiensConstrained Epinephrine--3.52024-03-06doi.org/10.1038/s41586-024-07153-1
8GGTAAmineAdrenergicβ2Homo sapiensConstrained Epinephrine--3.52024-03-06doi.org/10.1038/s41586-024-07153-1
8GGUAAmineAdrenergicβ2Homo sapiensConstrained Epinephrine--3.42024-03-06doi.org/10.1038/s41586-024-07153-1
8GGVAAmineAdrenergicβ2Homo sapiensConstrained Epinephrine--3.52024-03-06doi.org/10.1038/s41586-024-07153-1
8GGWAAmineAdrenergicβ2Homo sapiensConstrained Epinephrine--3.62024-03-06doi.org/10.1038/s41586-024-07153-1
8GGXAAmineAdrenergicβ2Homo sapiensConstrained Epinephrine--3.62024-03-06doi.org/10.1038/s41586-024-07153-1
8GGYAAmineAdrenergicβ2Homo sapiensConstrained Epinephrine--3.92024-03-06doi.org/10.1038/s41586-024-07153-1
8GGZAAmineAdrenergicβ2Homo sapiensConstrained Epinephrine--3.92024-03-06doi.org/10.1038/s41586-024-07153-1
8GH0AAmineAdrenergicβ2Homo sapiensConstrained Epinephrine--42024-03-06doi.org/10.1038/s41586-024-07153-1
8GH1AAmineAdrenergicβ2Homo sapiensConstrained Epinephrine--4.12024-03-06doi.org/10.1038/s41586-024-07153-1
8UNLAAmineAdrenergicβ2Homo sapiensConstrained EpinephrineGTPGs/β1/γ23.32024-03-06doi.org/10.1038/s41586-024-07153-1
8UNL (No Gprot) AAmineAdrenergicβ2Homo sapiensConstrained EpinephrineGTP3.32024-03-06doi.org/10.1038/s41586-024-07153-1
8UNMAAmineAdrenergicβ2Homo sapiensConstrained EpinephrineGTPGs/β1/γ23.42024-03-06doi.org/10.1038/s41586-024-07153-1
8UNM (No Gprot) AAmineAdrenergicβ2Homo sapiensConstrained EpinephrineGTP3.42024-03-06doi.org/10.1038/s41586-024-07153-1
8UNNAAmineAdrenergicβ2Homo sapiensConstrained EpinephrineGTPGs/β1/γ23.42024-03-06doi.org/10.1038/s41586-024-07153-1
8UNN (No Gprot) AAmineAdrenergicβ2Homo sapiensConstrained EpinephrineGTP3.42024-03-06doi.org/10.1038/s41586-024-07153-1
8UNOAAmineAdrenergicβ2Homo sapiensConstrained EpinephrineGTPGs/β1/γ23.32024-03-06doi.org/10.1038/s41586-024-07153-1
8UNO (No Gprot) AAmineAdrenergicβ2Homo sapiensConstrained EpinephrineGTP3.32024-03-06doi.org/10.1038/s41586-024-07153-1
8UNPAAmineAdrenergicβ2Homo sapiensConstrained EpinephrineGTPGs/β1/γ23.32024-03-06doi.org/10.1038/s41586-024-07153-1
8UNP (No Gprot) AAmineAdrenergicβ2Homo sapiensConstrained EpinephrineGTP3.32024-03-06doi.org/10.1038/s41586-024-07153-1
8UNQAAmineAdrenergicβ2Homo sapiensConstrained EpinephrineGTPGs/β1/γ23.32024-03-06doi.org/10.1038/s41586-024-07153-1
8UNQ (No Gprot) AAmineAdrenergicβ2Homo sapiensConstrained EpinephrineGTP3.32024-03-06doi.org/10.1038/s41586-024-07153-1
8UNRAAmineAdrenergicβ2Homo sapiensConstrained EpinephrineGTPGs/β1/γ23.42024-03-06doi.org/10.1038/s41586-024-07153-1
8UNR (No Gprot) AAmineAdrenergicβ2Homo sapiensConstrained EpinephrineGTP3.42024-03-06doi.org/10.1038/s41586-024-07153-1
8UNSAAmineAdrenergicβ2Homo sapiensConstrained EpinephrineGTPGs/β1/γ23.42024-03-06doi.org/10.1038/s41586-024-07153-1
8UNS (No Gprot) AAmineAdrenergicβ2Homo sapiensConstrained EpinephrineGTP3.42024-03-06doi.org/10.1038/s41586-024-07153-1
8UNTAAmineAdrenergicβ2Homo sapiensConstrained EpinephrineGTPGs/β1/γ23.42024-03-06doi.org/10.1038/s41586-024-07153-1
8UNT (No Gprot) AAmineAdrenergicβ2Homo sapiensConstrained EpinephrineGTP3.42024-03-06doi.org/10.1038/s41586-024-07153-1
8UNUAAmineAdrenergicβ2Homo sapiensConstrained EpinephrineGTPGs/β1/γ23.52024-03-06doi.org/10.1038/s41586-024-07153-1
8UNU (No Gprot) AAmineAdrenergicβ2Homo sapiensConstrained EpinephrineGTP3.52024-03-06doi.org/10.1038/s41586-024-07153-1
8UNVAAmineAdrenergicβ2Homo sapiensConstrained EpinephrineGTPGs/β1/γ23.32024-03-06doi.org/10.1038/s41586-024-07153-1
8UNV (No Gprot) AAmineAdrenergicβ2Homo sapiensConstrained EpinephrineGTP3.32024-03-06doi.org/10.1038/s41586-024-07153-1
8UNWAAmineAdrenergicβ2Homo sapiensConstrained EpinephrineGTPGs/β1/γ23.42024-03-06doi.org/10.1038/s41586-024-07153-1
8UNW (No Gprot) AAmineAdrenergicβ2Homo sapiensConstrained EpinephrineGTP3.42024-03-06doi.org/10.1038/s41586-024-07153-1
8UNXAAmineAdrenergicβ2Homo sapiensConstrained EpinephrineGTPGs/β1/γ23.62024-03-06doi.org/10.1038/s41586-024-07153-1
8UNX (No Gprot) AAmineAdrenergicβ2Homo sapiensConstrained EpinephrineGTP3.62024-03-06doi.org/10.1038/s41586-024-07153-1
8UNYAAmineAdrenergicβ2Homo sapiensConstrained EpinephrineGTPGs/β1/γ23.62024-03-06doi.org/10.1038/s41586-024-07153-1
8UNY (No Gprot) AAmineAdrenergicβ2Homo sapiensConstrained EpinephrineGTP3.62024-03-06doi.org/10.1038/s41586-024-07153-1
8UNZAAmineAdrenergicβ2Homo sapiensConstrained EpinephrineGTPGs/β1/γ23.82024-03-06doi.org/10.1038/s41586-024-07153-1
8UNZ (No Gprot) AAmineAdrenergicβ2Homo sapiensConstrained EpinephrineGTP3.82024-03-06doi.org/10.1038/s41586-024-07153-1
8UO0AAmineAdrenergicβ2Homo sapiensConstrained EpinephrineGTPGs/β1/γ23.52024-03-06doi.org/10.1038/s41586-024-07153-1
8UO0 (No Gprot) AAmineAdrenergicβ2Homo sapiensConstrained EpinephrineGTP3.52024-03-06doi.org/10.1038/s41586-024-07153-1
8UO1AAmineAdrenergicβ2Homo sapiensConstrained EpinephrineGTP; MgGs/β1/γ23.62024-03-06doi.org/10.1038/s41586-024-07153-1
8UO1 (No Gprot) AAmineAdrenergicβ2Homo sapiensConstrained EpinephrineGTP; Mg3.62024-03-06doi.org/10.1038/s41586-024-07153-1
8UO2AAmineAdrenergicβ2Homo sapiensConstrained EpinephrineGTPGs/β1/γ23.62024-03-06doi.org/10.1038/s41586-024-07153-1
8UO2 (No Gprot) AAmineAdrenergicβ2Homo sapiensConstrained EpinephrineGTP3.62024-03-06doi.org/10.1038/s41586-024-07153-1
8UO3AAmineAdrenergicβ2Homo sapiensConstrained EpinephrineGTP; MgGs/β1/γ23.52024-03-06doi.org/10.1038/s41586-024-07153-1
8UO3 (No Gprot) AAmineAdrenergicβ2Homo sapiensConstrained EpinephrineGTP; Mg3.52024-03-06doi.org/10.1038/s41586-024-07153-1
8UO4AAmineAdrenergicβ2Homo sapiensConstrained EpinephrineGTP; MgGs/β1/γ242024-03-06doi.org/10.1038/s41586-024-07153-1
8UO4 (No Gprot) AAmineAdrenergicβ2Homo sapiensConstrained EpinephrineGTP; Mg42024-03-06doi.org/10.1038/s41586-024-07153-1
8W1VAAmineAdrenergicβ2Homo sapiensPubChem 171716265--32024-07-17doi.org/10.1021/acs.jmedchem.4c00578
9CHXAAmineAdrenergicβ2Homo sapiensCarazolol--3.52024-11-13doi.org/10.1073/pnas.2414544121
9BUYAAmineAdrenergicβ2Homo sapiensLM189-Gi1/β1/γ22.92025-05-28doi.org/10.1126/sciadv.adq3971
9BUY (No Gprot) AAmineAdrenergicβ2Homo sapiensLM189-2.92025-05-28doi.org/10.1126/sciadv.adq3971
9M55AAmineAdrenergicOct-Beta2Ixodes scapularisDPMF-chim(NtGi1-Gs)/β1/γ23.392025-12-1710.1093/pnasnexus/pgaf376
9M55 (No Gprot) AAmineAdrenergicOct-Beta2Ixodes scapularisDPMF-3.392025-12-1710.1093/pnasnexus/pgaf376
9M57AAmineAdrenergicOct-Beta2Ixodes scapularisOctopamine-chim(NtGi1-Gs)/β1/γ23.652025-12-1710.1093/pnasnexus/pgaf376
9M57 (No Gprot) AAmineAdrenergicOct-Beta2Ixodes scapularisOctopamine-3.652025-12-1710.1093/pnasnexus/pgaf376
9L8LAAmineAdrenergicβ2Homo sapiensBI167107AtazanavirGs/β1/γ2 ; Arrestin23.222025-12-31To be published
9L8L (No Gprot) AAmineAdrenergicβ2Homo sapiensBI167107Atazanavir3.222025-12-31To be published




You can download a compressed (zip) file with structure(s), 3D outputs (as PyMol and VMD scripts) and numerical data files (as csv and plain text files).

Download 8GE5.zip



You can click to copy the link of this page to easily come back here later

or use this QR code to link and share this page.



You can also  read or  download a guide explaining the meaning of all files and numerical data.