Color ConSurf Grade
      No Conservation data available
      1
      2
      3
      4
      5
      6
      7
      8
      9

Index: hub id, click on each number to highlight the corresponding hub in the 3D visualization.

Hub: the hub being considered.

Avg Int. Strength: the average interaction strength of all the links of the corresponding hub.

Num Of Links: the number of links of the corresponding hub.

Community: the id of the community the link belong to, otherwise 0.

ConSurf: this column reports the ConSurf conservation grades of each hub.

Index Hub Avg Int. Strength Num Of Links Community ConSurf
1A:A:V34 4.472584
2A:A:L37 5.615419
3A:A:L38 4.1775458
4A:A:L39 4.135419
5A:A:S44 2.945459
6A:A:K46 3.84559
7A:A:I185 5.88419
8A:A:F190 7.715488
9A:A:F192 4.422585
10A:A:L195 4.782584
11A:A:H196 4.645413
12A:A:F197 6.21333687
13A:A:R198 6.815416
14A:A:F200 7.56833616
15A:A:D201 3.185459
16A:A:V202 3.7419
17A:A:Q205 5.1325419
18A:A:S207 3.09167618
19A:A:E208 4.735419
20A:A:R209 4.385419
21A:A:K211 4.78714719
22A:A:W212 3.455819
23A:A:I213 3.544518
24A:A:H214 5.6625418
25A:A:C215 3.4325416
26A:A:F216 4.47222919
27A:A:F224 4.83719
28A:A:S229 3.5425409
29A:A:Y231 4.22222918
30A:A:F251 6.09333619
31A:A:F259 8.305404
32A:A:F260 5.0175419
33A:A:I266 3.126558
34A:A:L267 3.53519
35A:A:F268 4.29333659
36A:A:L269 3.875408
37A:A:N270 4.1775409
38A:A:F275 4.36714718
39A:A:I279 5.4175417
40A:A:P283 3.835415
41A:A:L284 5.25333617
42A:A:I286 4.2675413
43A:A:C287 6.785414
44A:A:F288 7.45286718
45A:A:Y291 8.335416
46A:A:Y303 7.196516
47A:A:I304 3.65333618
48A:A:F308 5.79167618
49A:A:Y320 5.746558
50A:A:H322 8.4725458
51A:A:N331 4.46408
52A:A:I332 4.935487
53A:A:F336 4.25788
54A:A:L348 4.26598
55A:A:R349 5.6225404
56A:A:L353 4.36506
57A:A:Y354 6.825695
58B:B:L7 3.084508
59B:B:R22 5.9275466
60B:B:L30 3.5925405
61B:B:I37 3.895112
62B:B:V40 3.82403
63B:B:R48 3.1075437
64B:B:L51 6.752539
65B:B:H54 8.08833639
66B:B:Y59 8.508518
67B:B:W63 5.07375837
68B:B:V71 4.98478
69B:B:D76 4.9575439
70B:B:L79 3.5175477
71B:B:I80 7.945438
72B:B:I81 4.642577
73B:B:W82 10.92539
74B:B:D83 7.5475438
75B:B:Y85 10.2175434
76B:B:K89 5.37667639
77B:B:H91 5.4725475
78B:B:I93 5.13477
79B:B:L95 4.365478
80B:B:W99 7.47125819
81B:B:Y105 4.20625876
82B:B:N110 5.61414
83B:B:Y111 5.976514
84B:B:V112 4.77578
85B:B:L117 3.1875419
86B:B:N119 4.265409
87B:B:I123 4.308516
88B:B:Y124 4.82143776
89B:B:L126 4.185475
90B:B:T128 1.86403
91B:B:E138 4.63476
92B:B:L139 5.37519
93B:B:H142 7.17667619
94B:B:Y145 4.671018
95B:B:R150 5.58446
96B:B:F151 4.035819
97B:B:T159 5.745419
98B:B:G162 3.042519
99B:B:D163 9.12419
100B:B:T165 4417
101B:B:C166 4.0475448
102B:B:L168 3.09446
103B:B:W169 9.14333618
104B:B:I171 4.515416
105B:B:T173 4.3875405
106B:B:Q176 6.3625414
107B:B:F180 6.21333647
108B:B:H183 7.18857749
109B:B:D186 5.698519
110B:B:L190 3.29545
111B:B:F199 6.10167649
112B:B:V200 4.9025466
113B:B:C204 4.08517
114B:B:D205 7.7475449
115B:B:K209 10.7025446
116B:B:L210 4.06505
117B:B:W211 7.56648
118B:B:C218 4.5025445
119B:B:Q220 7.0475467
120B:B:F222 7.7775468
121B:B:H225 7.16429769
122B:B:D228 6.478519
123B:B:I232 4.785468
124B:B:F234 4.59405
125B:B:F235 6.06143716
126B:B:P236 6.03417
127B:B:N237 3.895415
128B:B:F241 5.09766
129B:B:T243 4.964568
130B:B:T249 3.54466
131B:B:R251 7.20833668
132B:B:F253 6.55833666
133B:B:D258 9.17567
134B:B:M262 6.035414
135B:B:Y264 5.44167615
136B:B:I269 3.372514
137B:B:C271 4.22415
138B:B:F278 6.145417
139B:B:R283 6.34409
140B:B:Y289 6.24571717
141B:B:N295 5.992516
142B:B:V296 3.12405
143B:B:W297 5.7425418
144B:B:L300 3.7425116
145B:B:K301 4.915405
146B:B:R304 8.4425415
147B:B:H311 8.0665109
148B:B:S331 5.88254109
149B:B:W332 12.2033619
150B:B:D333 7.9954109
151B:B:K337 6.245106
152B:B:I338 3.202535
153B:B:W339 9.1685109
154B:B:N340 6.915439
155G:G:L19 3.6725149
156G:G:R27 6.695468
157G:G:M38 4.924114
158G:G:Y40 5.6875416
159G:G:D48 5.772509
160G:G:P49 4.2925407
161G:G:L51 4.342506
162G:G:P60 5.5775439
163G:G:F61 4.47222938
164L:L:?1 6.430671520
165R:R:N54 4.0725409
166R:R:V57 3.2975409
167R:R:E64 5.52754127
168R:R:L67 3.9625128
169R:R:L78 4.218529
170R:R:D82 5.596529
171R:R:L83 2.5725408
172R:R:L90 3.6725408
173R:R:V98 3.01406
174R:R:W102 6.67167629
175R:R:D116 9.3525428
176R:R:T121 3.488528
177R:R:S122 7.73428
178R:R:W125 7.735407
179R:R:H126 6.19333628
180R:R:L127 4.1925428
181R:R:R134 5.618529
182R:R:Y135 7.486509
183R:R:P141 3.375408
184R:R:N146 4.27405
185R:R:R148 7.6725408
186R:R:T160 4.896528
187R:R:W161 6.29829
188R:R:P170 6.1475408
189R:R:D180 7.014164
190R:R:C187 5.96429
191R:R:Y195 6.36833608
192R:R:Y198 3.0875405
193R:R:T200 4.0875427
194R:R:F201 4.5875425
195R:R:F204 6.885628
196R:R:Y205 5.4075427
197R:R:P207 4.8675409
198R:R:L208 2.9275427
199R:R:M211 4.1275409
200R:R:Y215 4.35667609
201R:R:F219 4.946506
202R:R:R225 4.69571797
203R:R:I226 4.0125496
204R:R:E340 8.4825498
205R:R:T343 3.9525408
206R:R:F354 3.66629
207R:R:W358 5.28444928
208R:R:L359 4.84407
209R:R:F361 7.862528
210R:R:F362 7.65833627
211R:R:W387 5.86628
212R:R:Y390 7.546528
213R:R:N396 7.155429
214R:R:Y400 4.164529
215R:R:Y402 5.532526
216R:R:F407 8.0665128
217W:W:?1 9.78556920
   

Color ConSurf Grade
      No Conservation data available
      1
      2
      3
      4
      5
      6
      7
      8
      9

Index: link id, click on each number to highlight the corresponding link in the 3D visualization.

Node1 Node2: the two nodes of the corresponding link.

Recurrence: the relative Recurrence in the pool of shortest paths.

Int. Strength: the interaction strength between the two nodes.

Hub1?, Hub2?: "Yes" if the corresponding node has more than 3 links, otherwise "No".

Community: the id of the community the link belong to, otherwise 0.

ConSurf1, ConSurf2: these columns report the ConSurf conservation grades of the two nodes involved in a link.

Index Node1 Node2 Recurrence Int. Strength Hub1? Hub2? Community ConSurf1 ConSurf2
1B:B:M61 B:B:W63 26.44.65NoYes367
2B:B:C317 B:B:M61 26.89856.48NoNo076
3B:B:C317 B:B:S316 41.15413.44NoNo079
4B:B:S316 B:B:W332 41.46734.94NoYes099
5A:A:H214 B:B:W332 87.95245.29YesYes189
6A:A:C215 A:A:H214 47.14422.95YesYes168
7A:A:C215 A:A:F216 87.23312.79YesYes169
8A:A:F216 A:A:L37 83.256910.96YesYes199
9A:A:L37 A:A:L39 83.45175.54YesYes199
10A:A:F224 A:A:L39 83.48742.44YesYes199
11A:A:F224 A:A:G40 1004.52YesNo099
12A:A:G40 A:A:S44 99.84321.86NoYes099
13A:A:K46 A:A:S44 92.67213.06YesYes599
14A:A:K46 A:A:L38 91.625.64YesYes598
15A:A:L199 A:A:L38 21.1414.15NoYes068
16A:A:L199 A:A:L36 19.97672.77NoNo067
17B:B:W332 B:B:Y59 50.60327.72YesYes198
18A:A:C215 B:B:Y59 47.23945.38YesYes168
19A:A:F259 A:A:H214 41.05236.79YesYes048
20A:A:F259 A:A:I213 41.28642.51YesYes048
21A:A:I213 A:A:R209 37.17536.26YesYes189
22A:A:L250 A:A:R209 50.15163.64NoYes099
23A:A:F224 A:A:L250 50.12436.09YesNo099
24A:A:F197 A:A:L36 15.21712.44YesNo877
25A:A:F197 A:A:F336 10.28972.14YesYes878
26A:A:I223 A:A:L38 70.91562.85NoYes578
27A:A:S207 A:A:W212 10.41932.47YesYes189
28A:A:W212 B:B:Y145 13.73561.93YesYes198
29B:B:L117 B:B:Y145 11.16122.34YesYes198
30B:B:G162 B:B:Y145 16.03214.35YesYes198
31A:A:I266 A:A:Y320 69.66012.42YesYes588
32A:A:I223 A:A:I266 69.27062.94NoYes578
33A:A:F224 A:A:V226 19.64632.62YesNo097
34A:A:F224 A:A:F251 18.503810.72YesYes199
35A:A:F224 A:A:L267 20.33013.65YesYes199
36A:A:F308 A:A:V226 15.08567.87YesNo087
37A:A:F251 A:A:F308 15.17949.65YesYes198
38A:A:F308 A:A:L267 15.10392.44YesYes189
39A:A:F308 A:A:I304 37.8152.51YesYes188
40A:A:F275 A:A:Y231 10.31445.16YesYes188
41A:A:I304 A:A:L284 15.81744.28YesYes187
42A:A:E318 A:A:Y320 69.222813.47NoYes048
43A:A:E318 R:R:R225 69.04628.14NoYes047
44A:A:L348 R:R:R225 63.85582.43YesYes987
45A:A:L348 A:A:L353 62.26932.77YesYes086
46A:A:C351 A:A:L353 12.31173.17NoYes046
47A:A:C351 R:R:R134 11.95799.75NoYes049
48A:A:L353 R:R:L347 39.76665.54YesNo068
49B:B:M325 G:G:P60 13.72583.35NoYes059
50B:B:M325 G:G:P49 19.1848.39NoYes057
51G:G:D48 G:G:P49 16.20913.22YesYes097
52G:G:D48 G:G:L51 13.44658.14YesYes096
53B:B:R283 G:G:L51 11.41754.86YesYes096
54B:B:L300 B:B:R283 10.82523.64YesYes069
55B:B:L300 G:G:C41 10.02214.76YesNo067
56B:B:F235 G:G:C41 10.27822.79YesNo067
57B:B:F235 B:B:N237 83.33822.42YesYes165
58B:B:G238 B:B:N237 82.0121.7NoYes075
59B:B:G238 B:B:P194 81.70884.06NoNo074
60B:B:A193 B:B:P194 81.40551.87NoNo044
61B:B:A193 B:B:F234 80.192.77NoYes045
62B:B:F234 B:B:V200 41.76377.87YesYes056
63B:B:L210 B:B:V200 15.82792.98YesYes056
64B:B:L210 B:B:Q220 25.71153.99YesYes057
65B:B:D258 B:B:Q220 23.061213.05YesYes677
66B:B:D258 B:B:R22 42.249111.91YesYes676
67B:B:I18 B:B:R22 31.71326.26NoYes076
68B:B:I18 G:G:L19 26.43561.43NoYes079
69B:B:A11 G:G:L19 14.54831.58NoYes1459
70B:B:A11 G:G:V16 13.22781.7NoNo057
71B:B:W63 G:G:F61 10.30412YesYes378
72B:B:F234 B:B:L255 37.81752.44YesNo056
73B:B:L210 B:B:L255 15.81654.15YesNo056
74B:B:F241 B:B:V200 21.73752.62YesYes666
75B:B:F222 B:B:F241 23.71539.65YesYes686
76B:B:D258 B:B:F222 23.14494.78YesYes678
77B:B:F241 B:B:L255 21.73792.44YesNo066
78B:B:R314 B:B:W332 97.471422.99NoYes189
79B:B:D290 B:B:R314 96.749417.87NoNo168
80B:B:C271 B:B:D290 96.4414.67YesNo156
81B:B:C271 B:B:Y289 95.01074.03YesYes157
82B:B:W297 B:B:Y289 89.23575.79YesYes187
83B:B:W297 B:B:Y264 88.82925.79YesYes185
84B:B:C317 B:B:G330 15.18221.96NoNo075
85B:B:G330 B:B:S331 14.83381.86NoYes059
86B:B:H311 B:B:S331 12.628312.55YesYes1099
87B:B:G77 B:B:S98 10.07881.86NoNo088
88B:B:S98 B:B:W99 10.27457.41NoYes089
89B:B:H142 B:B:S161 18.786616.74YesNo199
90B:B:G162 B:B:S161 24.70011.86YesNo199
91B:B:F241 B:B:F253 12.539111.79YesYes666
92B:B:F235 B:B:F278 75.64827.5YesYes167
93B:B:L285 B:B:Y264 78.17523.52NoYes165
94R:R:L347 R:R:Y215 39.21614.69NoYes089
95R:R:M211 R:R:Y215 39.38713.59YesYes099
96R:R:F354 R:R:M211 34.03283.73YesYes099
97R:R:F354 R:R:W358 30.37023.01YesYes298
98L:L:?1 R:R:W358 24.19942.23YesYes208
99R:R:R134 R:R:Y400 12.4014.12YesYes299
100A:A:R209 A:A:W212 13.03325YesYes199
101B:B:F278 B:B:L285 77.58418.53YesNo176
102B:B:H142 B:B:W169 11.1386.35YesYes198
Download PSN data

2D representation of the global metapath, ligand(s) interactions and
histograms of path distribution according to several parameters
(click on the image to enlarge it 🔍):

A 2D representation of the global communication in the network.

ConSurf Conservation Grade (See documentation): 

 n/a   1    2    3    4    5    6    7    8    9  

Number of shortest communication paths as a function of the average residue correlation.

Number of shortest communication paths as a function of the average interaction strength of their links.

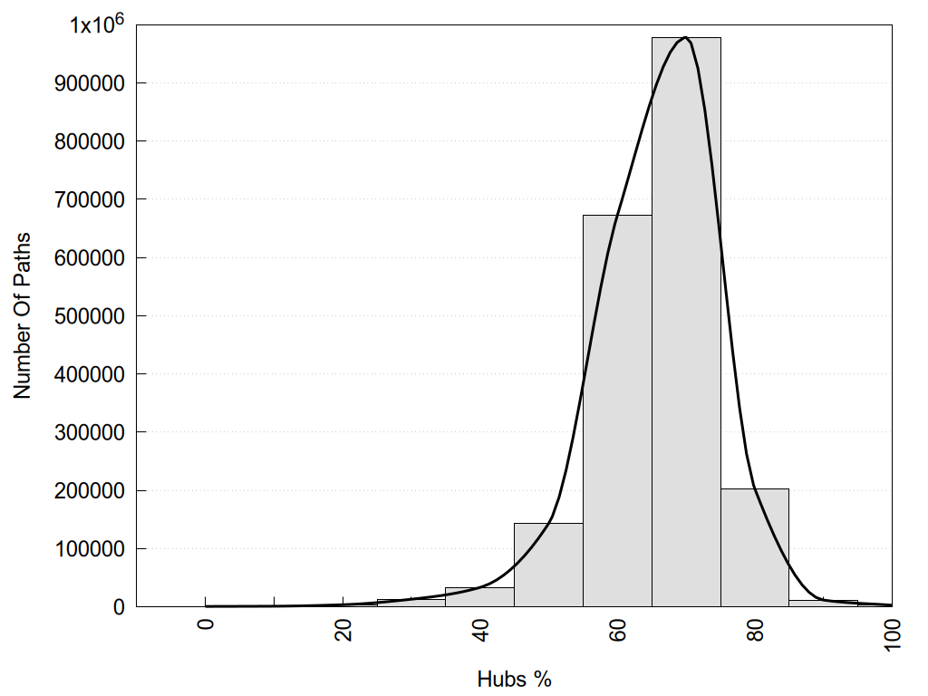
Number of shortest communication paths as a function of the % of hub nodes in each path.

Number of shortest communication paths as a function of the number of nodes in each path.

Number of shortest communication paths as a function of the % of correlated nodes in each path.


2D representation of the interactions of this orthosteric/allosteric ligand.


Links and nodes colored according to ConSurf Conservation Grade (See documentation): 

 n/a   1    2    3    4    5    6    7    8    9  

Node1 Node2 LinkStrength Comm IsNode1Hub? IsNode2Hub? Node1Cons Node2Cons Node1Shell Node2Shell
L:L:?1 R:R:A93 3.09 2 Yes No 0 7 0 1
L:L:?1 R:R:W102 4.47 2 Yes Yes 0 9 0 1
L:L:?1 R:R:F112 2.39 2 Yes No 0 6 0 1
L:L:?1 R:R:D116 20.41 2 Yes Yes 0 8 0 1
L:L:?1 R:R:V117 8.77 2 Yes No 0 8 0 1
L:L:?1 R:R:C120 3.11 2 Yes No 0 7 0 1
L:L:?1 R:R:T121 1.93 2 Yes Yes 0 8 0 1
L:L:?1 R:R:C187 4.15 2 Yes Yes 0 9 0 1
L:L:?1 R:R:I189 1.87 2 Yes No 0 6 0 1
L:L:?1 R:R:A203 2.06 2 Yes No 0 8 0 1
L:L:?1 R:R:W358 2.23 2 Yes Yes 0 8 0 1
L:L:?1 R:R:F361 15.93 2 Yes Yes 0 8 0 1
L:L:?1 R:R:F362 5.57 2 Yes Yes 0 7 0 1
L:L:?1 R:R:N386 8.98 2 Yes No 0 7 0 1
L:L:?1 R:R:Y390 11.5 2 Yes Yes 0 8 0 1
R:R:D116 R:R:V89 5.84 2 Yes No 8 8 1 2
R:R:L90 R:R:Y390 5.86 0 Yes Yes 8 8 2 1
R:R:F112 R:R:M92 7.46 0 No No 6 6 1 2
R:R:A93 R:R:W387 2.59 2 No Yes 7 8 1 2
R:R:A93 R:R:Y390 2.67 2 No Yes 7 8 1 1
R:R:W102 R:R:Y96 8.68 2 Yes No 9 6 1 2
R:R:L104 R:R:W102 11.39 2 No Yes 7 9 2 1
R:R:T108 R:R:W102 2.43 2 No Yes 6 9 2 1
R:R:C109 R:R:W102 3.92 2 No Yes 9 9 2 1
R:R:C187 R:R:W102 9.14 2 Yes Yes 9 9 1 1
R:R:L104 R:R:T108 7.37 2 No No 7 6 2 2
R:R:F112 R:R:T108 2.59 0 No No 6 6 1 2
R:R:C109 R:R:I113 3.27 2 No No 9 7 2 2
R:R:C109 R:R:C187 7.28 2 No Yes 9 9 2 1
R:R:C187 R:R:I113 3.27 2 Yes No 9 7 1 2
R:R:C120 R:R:D116 3.11 2 No Yes 7 8 1 1
R:R:D116 R:R:Y390 8.05 2 Yes Yes 8 8 1 1
R:R:S168 R:R:V117 3.23 0 No No 8 8 2 1
R:R:C120 R:R:W358 5.22 2 No Yes 7 8 1 1
R:R:T121 R:R:W125 2.43 2 Yes Yes 8 7 1 2
R:R:G164 R:R:T121 3.64 0 No Yes 8 8 2 1
R:R:I167 R:R:T121 6.08 0 No Yes 8 8 2 1
R:R:A203 R:R:T121 3.36 2 No Yes 8 8 1 1
R:R:F354 R:R:I124 3.77 2 Yes No 9 8 2 2
R:R:I124 R:R:W358 9.4 2 No Yes 8 8 2 1
R:R:I189 R:R:K191 2.91 0 No No 6 5 1 2
R:R:I189 R:R:Y195 3.63 0 No Yes 6 8 1 2
R:R:F362 R:R:T200 2.59 2 Yes Yes 7 7 1 2
R:R:A203 R:R:F362 2.77 2 No Yes 8 7 1 1
R:R:F204 R:R:F354 5.36 2 Yes Yes 8 9 2 2
R:R:F204 R:R:W358 3.01 2 Yes Yes 8 8 2 1
R:R:F204 R:R:F362 18.22 2 Yes Yes 8 7 2 1
R:R:F354 R:R:W358 3.01 2 Yes Yes 9 8 2 1
R:R:F361 R:R:W358 5.01 2 Yes Yes 8 8 1 1
R:R:F362 R:R:W358 5.01 2 Yes Yes 7 8 1 1
R:R:G389 R:R:W358 5.63 0 No Yes 8 8 2 1
R:R:N392 R:R:W358 9.04 0 No Yes 9 8 2 1
R:R:F361 R:R:F362 11.79 2 Yes Yes 8 7 1 1
R:R:A365 R:R:F361 4.16 0 No Yes 8 8 2 1
R:R:F361 R:R:N386 2.42 2 Yes No 8 7 1 1
R:R:I385 R:R:N386 2.83 0 No No 6 7 2 1
R:R:W387 R:R:Y390 9.65 2 Yes Yes 8 8 2 1

Location and physicochemical properties of the interaction partners of this ligand

Interactions of this ligand

Similarities between the interactions of this ligand and those of other networks

ShowSimilarityNetwork TypeNameLigandDescription
82.35Single9MD1Buspirone9MD1-5-HT1A-Buspirone-PtdIns4P-Gz/β1/γ2
77.78Single8PKMBefiradol8PKM-5-HT1A-Befiradol-Gi1/β1/γ1
70.59Single8FYTLSD8FYT-5-HT1A-LSD-PtdIns4P-Gi1/β1/γ1
70.59Single9GL2Befiradol9GL2-5-HT1A-Befiradol-Gs/β1/γ2
70.59Single9VJ6F-155999VJ6-5-HT1A-F-15599-Gi3/β1/γ2
66.67Single8JLNT1AM8JLN-TA1-T1AM-Gs/β1/γ2
66.67Single8S2TIsoprenaline8S2T-β1-Isoprenaline-chim(NtGi1-Gs)/β1/γ2
66.67Single8W8BSEP-3638568W8B-5-HT1A-SEP-363856-Gi1/β1/γ2
66.67Single9AS02-bromo-LSD9AS0-5-HT2A-2-bromo-LSD-chim(NtGi1-Gs-CtGq)/β1/γ2
64.71Single7W6PN-pyridin-4-ylisoquinolin-4-amine7W6P-α2a-N-pyridin-4-ylisoquinolin-4-amine-Go/β1/γ2
64.71Single7W7EPubChem 1649466767W7E-α2a-PubChem 164946676-Go/β1/γ2
64.71Single9BS9LSD9BS9-D2-LSD
64.71Single9BSBLSD9BSB-D2-LSD-chim(NtGi1-Go)/β1/γ2
64.71Consensusamine_on_gpOrthosteric Ligand5ht_on_gp adrenergic_on_gp dopamine_on_gp histamine_on_gp muscarinic_on_gp trace-amine_on_gp
64.71Consensusta1_on_gpOrthosteric Ligand8W87-TA1-METH-chim(NtGi1L-Gs)/β1/γ2 8W89-TA1-2-Phenylethylamine-chim(NtGi1L-Gs)/β1/γ2 8JLP-TA1-Ralmitaront-Gs/β1/γ2 8W8A-TA1-RO5256390-chim(NtGi1L-Gs)/β1/γ2 8W88-TA1-SEP-363856-Gs/β1/γ2 8JLO-TA1-Ulotaront-Gs/β1/γ2 8JLR-TA1-A77636-chim(NtGi1-Gs)/β1/γ2 8JSO-TA1-AMPH-chim(NtGi1-Gs)/β1/γ2 8ZSP-TA1-LSD-chim(NtGi1L-Gs)/β1/γ2
64.71Consensustrace-amine_on_gpOrthosteric Ligandta1_on_gp
62.50Single3NYAAlprenolol3NYA-β2-Alprenolol
62.50Single6H7MSalbutamol6H7M-β1-Salbutamol
62.50Single6K42Dexmedetomidine6K42-α2b-Dexmedetomidine-Gi1/β1/γ2
62.50Single7WC7Lisuride7WC7-5-HT2A-Lisuride
62.50Single8FY85-MeO-DMT8FY8-5-HT1A-5-MeO-DMT-PtdIns4P-Gi1/β1/γ1
62.50Single8JJOAlprenolol8JJO-β2-Alprenolol
62.50Single8W8ARO52563908W8A-TA1-RO5256390-chim(NtGi1L-Gs)/β1/γ2
62.50Single9AS1DMT9AS1-5-HT2A-DMT
62.50Single9JEAAtropine9JEA-M1-Atropine
62.50Consensusalpha2_onOrthosteric Ligandalpha2b_on
62.50Consensusalpha2_on_gpOrthosteric Ligandalpha2b_on_gp
62.50Consensusalpha2b_onOrthosteric Ligand6K42-α2b-Dexmedetomidine-Gi1/β1/γ2
62.50Consensusalpha2b_on_gpOrthosteric Ligand6K42-α2b-Dexmedetomidine-Gi1/β1/γ2
62.50Consensusgq_amineOrthosteric Ligandgq_muscarinic gq_histamine
61.11Single3D4STimolol3D4S-β2-Timolol
61.11Single4AMIBucindolol4AMI-β1-Bucindolol
61.11Single6H7NXamoterol6H7N-β1-Xamoterol
61.11Single6H7OCyanopindolol6H7O-β1-Cyanopindolol
61.11Single6VMSBromoergocryptine6VMS-D2-Bromoergocryptine-Gi1/β1/γ2
61.11Single6ZG4HTL00099366ZG4-M1-HTL0009936
61.11Single8FYE4-F,5-MeO-PyrT8FYE-5-HT1A-4-F,5-MeO-PyrT-PtdIns4P-Gi1/β1/γ1
60.00Single6KUYPubChem 1457046436KUY-α2a-PubChem 145704643
60.00Single8WC3SEP-3638568WC3-TA1-SEP-363856-chim(NtGi1-Gs)/β1/γ2
60.00Consensusgq_histamineOrthosteric Ligand7DFL-H1-Histamine-chim(NtGi1L-Gq)/β1/γ2
60.00Consensush1_on_gpOrthosteric Ligand7DFL-H1-Histamine-chim(NtGi1L-Gq)/β1/γ2
58.82Single2RH1Carazolol2RH1-β2-Carazolol
58.82Single2Y03Isoprenaline2Y03-β1-Isoprenaline
58.82Single5WIUNemonapride5WIU-D4-Nemonapride
58.82Single5WIVNemonapride5WIV-D4-Nemonapride-Na
58.82Single6KUWPubChem 572132346KUW-α2c-PubChem 57213234
58.82Single6PS3Carvedilol6PS3-β2-Carvedilol
58.82Single7BVQCarazolol7BVQ-β1-Carazolol
58.82Single7S0FIsoprenaline7S0F-β1-Isoprenaline-Gi1/β1/γ2
58.82Single7XK9Constrained Isoproterenol7XK9-β2-Constrained Isoproterenol-Na
58.82Single8EFBOliceridine8EFB-μ-Oliceridine-Gi1/β1/γ2
58.82Single8GFYConstrained Epinephrine8GFY-β2-Constrained Epinephrine-GTP-Gs/β1/γ2
58.82Single8GG2Constrained Epinephrine8GG2-β2-Constrained Epinephrine-GTP-Gs/β1/γ2
58.82Single9ARZ2-bromo-LSD9ARZ-5-HT2A-2-bromo-LSD
58.82Single9DYDAsenapine9DYD-5-HT1A-Asenapine-PtdIns4P-Go/β1/γ2
58.82Single9VJFBuspirone9VJF-5-HT1A-Buspirone-Gi3/β1/γ2
58.82Consensus5ht1_onOrthosteric Ligand5ht1a_on 5ht1d_on 5ht1e_on 5ht1f_on
58.82Consensus5ht1_on_gpOrthosteric Ligand5ht1a_on_gp 5ht1d_on_gp 5ht1e_on_gp 5ht1f_on_gp
58.82Consensus5ht1e_on_gpOrthosteric Ligand7E33-5-HT1E-BRL-54443-Gi1/β1/γ2 8UGY-5-HT1E-Mianserin-Gi1/β1/γ1 8UH3-5-HT1E-Setiptiline-Gi1/β1/γ1
58.82Consensus5ht5_on_gpOrthosteric Ligand5ht5a_on_gp
58.82Consensus5ht5a_on_gpOrthosteric Ligand7X5H-5-HT5A-5-CT-Gi1/β1/γ2 7UM6-5-HT5A-Lisuride-chim(NtGi1-Go)/β1/γ2 7UM7-5-HT5A-Methylergometrine-chim(NtGi1-Go)/β1/γ2
58.82Consensusadrenergic_offOrthosteric Ligandalpha_off beta_off
58.82Consensusadrenergic_on_gpOrthosteric Ligandalpha_on_gp beta_on_gp
58.82Consensusalpha2c_offOrthosteric Ligand6KUW-α2c-PubChem 57213234
58.82Consensusalpha_on_gpOrthosteric Ligandalpha1_on_gp alpha2_on_gp
58.82Consensusamine_offOrthosteric Ligand5ht_off adrenergic_off dopamine_off histamine_off muscarinic_off
58.82Consensusamine_offonOrthosteric Ligandamine_off amine_on
58.82Consensusamine_offon_gpOrthosteric Ligandamine_on_gp amine_off
58.82Consensusamine_onOrthosteric Ligand5ht_on adrenergic_on dopamine_on histamine_on muscarinic_on trace-amine_on
58.82Consensusbeta2_offOrthosteric Ligand2RH1-β2-Carazolol 6PS3-β2-Carvedilol 6PS5-β2-Propranolol 3D4S-β2-Timolol 3NY8-β2-ICI118-551 3NY9-β2-PubChem 913103 6PRZ-β2-Alprenolol
58.82Consensusbeta_offOrthosteric Ligandbeta1_off beta2_off
58.82Consensusgi_adrenergicOrthosteric Ligand7EJ0-α2a-Norepinephrine-Go/β1/γ2 7EJK-α2a-Oxymetazoline-Go/β1/γ2 7W7E-α2a-PubChem 164946676-Go/β1/γ2 7W6P-α2a-N-pyridin-4-ylisoquinolin-4-amine-Go/β1/γ2 7EJ8-α2a-Brimonidine-Go/β1/γ2 6K42-α2b-Dexmedetomidine-Gi1/β1/γ2 7EJA-α2a-Dexmedetomidine-Go/β1/γ2 7S0F-β1-Isoprenaline-Gi1/β1/γ2
58.82Consensusm3_onOrthosteric Ligand8E9Z-M3-Iperoxo-chim(NtGi2L-Gs-CtGq)/β1/γ2 8E9W-M3-2-Deoxycytidine-chim(NtGi2L-Gs-CtGq)/β1/γ2 8E9Y-M3-Clozapine-N-oxide-chim(NtGi2L-Gs-CtGq)/β1/γ2
58.82Consensusm3_on_gpOrthosteric Ligand8E9Z-M3-Iperoxo-chim(NtGi2L-Gs-CtGq)/β1/γ2 8E9W-M3-2-Deoxycytidine-chim(NtGi2L-Gs-CtGq)/β1/γ2 8E9Y-M3-Clozapine-N-oxide-chim(NtGi2L-Gs-CtGq)/β1/γ2
58.82Consensusta1_onOrthosteric Ligand8W87-TA1-METH-chim(NtGi1L-Gs)/β1/γ2 8W89-TA1-2-Phenylethylamine-chim(NtGi1L-Gs)/β1/γ2 8JLP-TA1-Ralmitaront-Gs/β1/γ2 8W8A-TA1-RO5256390-chim(NtGi1L-Gs)/β1/γ2 8W88-TA1-SEP-363856-Gs/β1/γ2 8JLO-TA1-Ulotaront-Gs/β1/γ2 8JLR-TA1-A77636-chim(NtGi1-Gs)/β1/γ2 8JSO-TA1-AMPH-chim(NtGi1-Gs)/β1/γ2 8ZSP-TA1-LSD-chim(NtGi1L-Gs)/β1/γ2
58.82Consensustrace-amine_onOrthosteric Ligandta1_on
57.89Single2YCZIodocyanopindolol2YCZ-β1-Iodocyanopindolol
57.89Single7JVRBromoergocryptine7JVR-D2-Bromoergocryptine-Gi1/β1/γ2
57.89Single7SK8CCX6627SK8-ACKR3-CXCL12-CCX662
57.89Single7X2DTavapadon7X2D-D1-Tavapadon-Gs/β1/γ2
57.89Single9HYIDP819HYI-5-HT1A-DP81-Gi1/β1/γ2
57.89Consensusd2_offOrthosteric Ligand6CM4-D2-Risperidone 6LUQ-D2-Haloperidol 7DFP-D2-Spiperone
56.25Single4MQTIperoxo4MQT-M2-Iperoxo-LY2119620
56.25Single6K41Dexmedetomidine6K41-α2b-Dexmedetomidine-Go/β1/γ2
56.25Single6WH4Methiothepin6WH4-5-HT2A-Methiothepin
56.25Single6WJCAtropine6WJC-M1-Atropine-Muscarinic toxin 7
56.25Single6ZFZ77-LH-28-16ZFZ-M1-77-LH-28-1
56.25Single7DHISalbutamol7DHI-β2-Salbutamol-Gs/β1/γ2
56.25Single7UM7Methylergometrine7UM7-5-HT5A-Methylergometrine-chim(NtGi1-Go)/β1/γ2
56.25Single8GE1Constrained Epinephrine8GE1-β2-Constrained Epinephrine-Gs/β1/γ2
56.25Single8GE4Constrained Epinephrine8GE4-β2-Constrained Epinephrine-Gs/β1/γ2
56.25Single8GE5Constrained Epinephrine8GE5-β2-Constrained Epinephrine-Gs/β1/γ1
56.25Single8GE6Constrained Epinephrine8GE6-β2-Constrained Epinephrine-Gs/β1/γ2
56.25Single8GE7Constrained Epinephrine8GE7-β2-Constrained Epinephrine-Gs/β1/γ2
56.25Single8GE8Constrained Epinephrine8GE8-β2-Constrained Epinephrine-Gs/β1/γ2
56.25Single8GEFConstrained Epinephrine8GEF-β2-Constrained Epinephrine-Gs/β1/γ2
56.25Single8GGVConstrained Epinephrine8GGV-β2-Constrained Epinephrine
56.25Single8JLKUlotaront8JLK-TA1-Ulotaront-chim(NtGi1-Gs)/β1/γ2
56.25Single8JSPUlotaront8JSP-5-HT1A-Ulotaront-Gi1/β1/γ2
56.25Single8THKA-616038THK-Alpha1A-A-61603-chim(NtGi2L-Gs-CtGq)/β1/γ2
56.25Single8UHBRO52563908UHB-TA1-RO5256390-Gs/β1/γ2
56.25Single8W88SEP-3638568W88-TA1-SEP-363856-Gs/β1/γ2
56.25Single9AS3LSD9AS3-5-HT2A-LSD
56.25Single9AS4LSD9AS4-5-HT2A-LSD-chim(NtGi1-Gs-CtGq)/β1/γ2
56.25Single9AS5Mescaline9AS5-5-HT2A-Mescaline
56.25Single9AS6Mescaline9AS6-5-HT2A-Mescaline-chim(NtGi1-Gs-CtGq)/β1/γ2
56.25Single9CBLEpinephrine9CBL-α2a-Epinephrine-Gi1/β1/γ2
56.25Single9JKQMETH9JKQ-TA1-METH-Gs/β1/γ2
56.25Single9KVIBufotenin9KVI-5-HT1A-Bufotenin-PtdIns4P-Gi1/β1/γ2
56.25Single9VJG8-OH-DPAT9VJG-5-HT1A-8-OH-DPAT-chim(NtGi2-Gz)/β1/γ2
56.25Single9VNFPindolol9VNF-5-HT1A-Pindolol-Go/β1/γ2
55.56Single4LDLHydroxybenzyl Isoproterenol4LDL-β2-Hydroxybenzyl Isoproterenol
55.56Single4U15Tiotropium4U15-M3-Tiotropium
55.56Single5D5ACarazolol5D5A-β2-Carazolol
55.56Single5D5BCarazolol5D5B-β2-Carazolol
55.56Single5ZKBAF-DX 3845ZKB-M2-AF-DX 384
55.56Single6H7JIsoprenaline6H7J-β1-Isoprenaline
55.56Single6OL9Tiotropium6OL9-M5-Tiotropium
55.56Single6TQ7SB-3348676TQ7-OX1-SB-334867
55.56Single7JJOIsoprenaline7JJO-β1-Isoprenaline-Gs/β1/γ2
55.56Single7T2HLofentanil7T2H-μ-Lofentanil-Gi1/β1/γ2
55.56Single7TRQIperoxo7TRQ-M4-Iperoxo-VU0467154-Gi1/β1/γ2
55.56Single7U2LC5-guano7U2L-μ-C5-guano-Gi1/β1/γ2
55.56Single8DZPmomSalB8DZP-κ-momSalB-Gi1/β1/γ2
55.56Single8EFLSR170188EFL-μ-SR17018-Gi1/β1/γ2
55.56Single8IRRRotigotine8IRR-D1-Rotigotine-Gs/β1/γ2
55.56Single8IRVRotigotine8IRV-D5-Rotigotine-chim(NtGi1-Gs)/β1/γ2
55.56Single9PY4Loperamide9PY4-μ-Loperamide-GDPβS-Gi1/β1/γ2
55.56Consensus5ht_offOrthosteric Ligand5ht2_off 5ht1_off
55.56Consensusbeta1_offOrthosteric Ligand2VT4-β1-Cyanopindolol 2YCW-β1-Carazolol 2YCZ-β1-Iodocyanopindolol 5A8E-β1-7-Methylcyanopindolol-Na 3ZPQ-β1-PubChem 594590-Na 3ZPR-β1-PubChem 598754-Na
55.56Consensusbeta2_onOrthosteric Ligand7DHI-β2-Salbutamol-Gs/β1/γ2 6NI3-β2-BI167107-Gs/β1/γ2
55.56Consensusbeta2_on_gpOrthosteric Ligand7DHI-β2-Salbutamol-Gs/β1/γ2 6NI3-β2-BI167107-Gs/β1/γ2
55.56Consensusd5_on_gpOrthosteric Ligand8IRV-D5-Rotigotine-chim(NtGi1-Gs)/β1/γ2
55.56Consensusgi_5htOrthosteric Ligand8FYT-5-HT1A-LSD-PtdIns4P-Gi1/β1/γ1 7UM7-5-HT5A-Methylergometrine-chim(NtGi1-Go)/β1/γ2 8UGY-5-HT1E-Mianserin-Gi1/β1/γ1 8W8B-5-HT1A-SEP-363856-Gi1/β1/γ2 7E2Y-5-HT1A-Serotonin-PtdIns4P-Gi1/β1/γ2 7E32-5-HT1D-Serotonin-Gi1/β1/γ2 7XTA-5-HT4-Serotonin-Gi1/β1/γ2 8UH3-5-HT1E-Setiptiline-Gi1/β1/γ1 8JSP-5-HT1A-Ulotaront-Gi1/β1/γ2 8FYL-5-HT1A-Vilazodone-PtdIns4P-Gi1/β1/γ1 8JT6-5-HT1A-(R)-IHCH-7179-PtdIns4P-Gi1/β1/γ2 8FYE-5-HT1A-4-F,5-MeO-PyrT-PtdIns4P-Gi1/β1/γ1 7X5H-5-HT5A-5-CT-Gi1/β1/γ2 8FY8-5-HT1A-5-MeO-DMT-PtdIns4P-Gi1/β1/γ1 7E2Z-5-HT1A-Aripiprazole-PtdIns4P-Gi1/β1/γ2 7E33-5-HT1E-BRL-54443-Gi1/β1/γ2 8FYX-5-HT1A-Buspirone-PtdIns4P-Gi1/β1/γ1 7EXD-5-HT1F-Lasmiditan-Gi1/β1/γ2 7UM6-5-HT5A-Lisuride-chim(NtGi1-Go)/β1/γ2
55.56Consensusgs_adrenergicOrthosteric Ligand7DHI-β2-Salbutamol-Gs/β1/γ2 7XJI-β3-Solabegron-Gs/β1/γ2 7JJO-β1-Isoprenaline-Gs/β1/γ2 6NI3-β2-BI167107-Gs/β1/γ2 8DCR-β1-Dobutamine-Gs/β1/γ2 7XJH-β3-Isoprenaline-Gs/β1/γ2 7DH5-β3-Mirabegron-Gs/β1/γ2
55.56Consensusm5_offOrthosteric Ligand6OL9-M5-Tiotropium
55.00Single8JLRA776368JLR-TA1-A77636-chim(NtGi1-Gs)/β1/γ2
55.00Single8X5YAstemizole8X5Y-H1-Astemizole
53.33Single7DFLHistamine7DFL-H1-Histamine-chim(NtGi1L-Gq)/β1/γ2
53.33Single9AS2DMT9AS2-5-HT2A-DMT-chim(NtGi1-Gs-CtGq)/β1/γ2
53.33Consensush1_onOrthosteric Ligand7DFL-H1-Histamine-chim(NtGi1L-Gq)/β1/γ2
52.94Single2Y04Salbutamol2Y04-β1-Salbutamol
52.94Single2YCYCyanopindolol2YCY-β1-Cyanopindolol
52.94Single3NY8ICI118-5513NY8-β2-ICI118-551
52.94Single3ZPQPubChem 5945903ZPQ-β1-PubChem 594590-Na
52.94Single4GBRCarazolol4GBR-β2-Carazolol
52.94Single4MQSIperoxo4MQS-M2-Iperoxo
52.94Single4QKXPubChem 762106284QKX-β2-PubChem 76210628
52.94Single4U14Tiotropium4U14-M3-Tiotropium
52.94Single4U16N-methyl-Scopolamine4U16-M3-N-methyl-Scopolamine
52.94Single5DHHSB-6121115DHH-NOP-SB-612111
52.94Single5YC8N-methyl-Scopolamine5YC8-M2-N-methyl-Scopolamine
52.94Single5ZK8N-methyl-Scopolamine5ZK8-M2-N-methyl-Scopolamine
52.94Single5ZKCN-methyl-Scopolamine5ZKC-M2-N-methyl-Scopolamine
52.94Single6DRZMethysergide6DRZ-5-HT2B-Methysergide
52.94Single6PRZAlprenolol6PRZ-β2-Alprenolol
52.94Single6PS1Timolol6PS1-β2-Timolol
52.94Single6PS2Alprenolol6PS2-β2-Alprenolol
52.94Single6WHADB139486WHA-5-HT2A-DB13948-chim(NtGi2L-Gs-CtGq)/β1/γ2
52.94Single7BTSEpinephrine7BTS-β1-Epinephrine
52.94Single7BU6Norepinephrine7BU6-β1-Norepinephrine
52.94Single7E32Serotonin7E32-5-HT1D-Serotonin-Gi1/β1/γ2
52.94Single7S0GIsoprenaline7S0G-β1-Isoprenaline-chim(Gi1-CtGs)/β1/γ2
52.94Single7TRPIperoxo7TRP-M4-Iperoxo-LY2033298-Gi1/β1/γ2
52.94Single7UM6Lisuride7UM6-5-HT5A-Lisuride-chim(NtGi1-Go)/β1/γ2
52.94Single7XJHIsoprenaline7XJH-β3-Isoprenaline-Gs/β1/γ2
52.94Single8GE2Constrained Epinephrine8GE2-β2-Constrained Epinephrine-Gs/β1/γ1
52.94Single8GE3Constrained Epinephrine8GE3-β2-Constrained Epinephrine-Gs/β1/γ2
52.94Single8GE9Constrained Epinephrine8GE9-β2-Constrained Epinephrine-Gs/β1/γ2
52.94Single8GECConstrained Epinephrine8GEC-β2-Constrained Epinephrine-Gs/β1/γ2
52.94Single8GEEConstrained Epinephrine8GEE-β2-Constrained Epinephrine-Gs/β1/γ2
52.94Single8GEHConstrained Epinephrine8GEH-β2-Constrained Epinephrine-Gs/β1/γ2
52.94Single8GFVConstrained Epinephrine8GFV-β2-Constrained Epinephrine-GTP-Gs/β1/γ2
52.94Single8GFWConstrained Epinephrine8GFW-β2-Constrained Epinephrine-GTP-Gs/β1/γ2
52.94Single8GFXConstrained Epinephrine8GFX-β2-Constrained Epinephrine-GTP-Gs/β1/γ2
52.94Single8GFZConstrained Epinephrine8GFZ-β2-Constrained Epinephrine-GTP-Gs/β1/γ2
52.94Single8GG0Constrained Epinephrine8GG0-β2-Constrained Epinephrine-GTP-Gs/β1/γ2
52.94Single8GG1Constrained Epinephrine8GG1-β2-Constrained Epinephrine-GTP-Gs/β1/γ2
52.94Single8GG3Constrained Epinephrine8GG3-β2-Constrained Epinephrine-GTP-Gs/β1/γ2
52.94Single8GG4Constrained Epinephrine8GG4-β2-Constrained Epinephrine-GTP-Gs/β1/γ2
52.94Single8GG6Constrained Epinephrine8GG6-β2-Constrained Epinephrine-GTP-Gs/β1/γ2
52.94Single8GG9Constrained Epinephrine8GG9-β2-Constrained Epinephrine-GTP-Gs/β1/γ2
52.94Single8GGIConstrained Epinephrine8GGI-β2-Constrained Epinephrine
52.94Single8GGJConstrained Epinephrine8GGJ-β2-Constrained Epinephrine
52.94Single8GGKConstrained Epinephrine8GGK-β2-Constrained Epinephrine
52.94Single8GGNConstrained Epinephrine8GGN-β2-Constrained Epinephrine
52.94Single8GGOConstrained Epinephrine8GGO-β2-Constrained Epinephrine
52.94Single8GGUConstrained Epinephrine8GGU-β2-Constrained Epinephrine
52.94Single8JLJT1AM8JLJ-TA1-T1AM-chim(NtGi1-Gs)/β1/γ2
52.94Single8JXRLSD8JXR-D1-LSD
52.94Single8UH3Setiptiline8UH3-5-HT1E-Setiptiline-Gi1/β1/γ1
52.94Single8UNQConstrained Epinephrine8UNQ-β2-Constrained Epinephrine-GTP-Gs/β1/γ2
52.94Single8UNYConstrained Epinephrine8UNY-β2-Constrained Epinephrine-GTP-Gs/β1/γ2
52.94Single8UWLLisuride8UWL-5-HT2A-Lisuride-chim(NtGi2-Gs-CtGq)/β1/γ2
52.94Single8W87METH8W87-TA1-METH-chim(NtGi1L-Gs)/β1/γ2
52.94Single8WC7ZH86678WC7-TA1-ZH8667-chim(NtGi1-Gs)/β1/γ2
52.94Single8XVKAmbrisentan8XVK-ETA-Ambrisentan
52.94Single8ZSSRO52633978ZSS-TA1-RO5263397-chim(NtGi1-Gs)/β1/γ2
52.94Single9BQJRO769BQJ-μ-RO76-Gi1/β1/γ2
52.94Single9CBMDexmedetomidine9CBM-α2a-Dexmedetomidine-Gi1/β1/γ2
52.94Single9DYFAsenapine9DYF-5-HT1A-Asenapine-PtdIns4P-Gi1/β1/γ2
52.94Single9PLNPubChem 1682595949PLN-α2a-PubChem 168259594
52.94Single9PLOPubChem 1682595949PLO-α2a-PubChem 168259594-Go/β1/γ2
52.94Single9PQDPubChem 1764919279PQD-α2a-PubChem 176491927
52.94Single9VMYTMU41429VMY-5-HT1A-TMU4142-Go/β1/γ2
52.94Consensus5ht1d_onOrthosteric Ligand7E32-5-HT1D-Serotonin-Gi1/β1/γ2
52.94Consensus5ht1d_on_gpOrthosteric Ligand7E32-5-HT1D-Serotonin-Gi1/β1/γ2
52.94Consensus5ht2b_offOrthosteric Ligand6DRZ-5-HT2B-Methysergide
52.94Consensus5ht5_onOrthosteric Ligand5ht5a_on
52.94Consensus5ht5a_onOrthosteric Ligand7X5H-5-HT5A-5-CT-Gi1/β1/γ2 7UM6-5-HT5A-Lisuride-chim(NtGi1-Go)/β1/γ2 7UM7-5-HT5A-Methylergometrine-chim(NtGi1-Go)/β1/γ2
52.94Consensusadrenergic_onOrthosteric Ligandalpha_on beta_on
52.94Consensusalpha_onOrthosteric Ligandalpha1_on alpha2_on
52.94Consensusd5_onOrthosteric Ligand8IRV-D5-Rotigotine-chim(NtGi1-Gs)/β1/γ2
52.94Consensusdopamine_offOrthosteric Ligandd2_off d3_off
52.94Consensusdopamine_onOrthosteric Ligandd2_on d1_on d3_on d4_on d5_on
52.94Consensusdopamine_on_gpOrthosteric Ligandd2_on_gp d1_on_gp d3_on_gp d4_on_gp d5_on_gp
52.94Consensusgs_trace-amineOrthosteric Ligand8W88-TA1-SEP-363856-Gs/β1/γ2 8JLJ-TA1-T1AM-chim(NtGi1-Gs)/β1/γ2 8JLO-TA1-Ulotaront-Gs/β1/γ2 8WC4-TA1-ZH8651-chim(NtGi1-Gs)/β1/γ2 8WC7-TA1-ZH8667-chim(NtGi1-Gs)/β1/γ2 8JLR-TA1-A77636-chim(NtGi1-Gs)/β1/γ2 8JSO-TA1-AMPH-chim(NtGi1-Gs)/β1/γ2 8W87-TA1-METH-chim(NtGi1L-Gs)/β1/γ2 8W89-TA1-2-Phenylethylamine-chim(NtGi1L-Gs)/β1/γ2 8JLP-TA1-Ralmitaront-Gs/β1/γ2 8W8A-TA1-RO5256390-chim(NtGi1L-Gs)/β1/γ2
52.94Consensusmuscarinic_onOrthosteric Ligandm2_on m3_on m4_on m1_on
52.94Consensusmuscarinic_on_gpOrthosteric Ligandm2_on_gp m3_on_gp m4_on_gp m1_on_gp
52.63Single4LDEBI1671074LDE-β2-BI167107
52.63Single5CXVTiotropium5CXV-M1-Tiotropium
52.63Single5F8UCyanopindolol5F8U-β1-Cyanopindolol
52.63Single6CM4Risperidone6CM4-D2-Risperidone
52.63Single6DRYMethylergometrine6DRY-5-HT2B-Methylergometrine
52.63Single7DFPSpiperone7DFP-D2-Spiperone
52.63Single7YMJTamsulosin7YMJ-Alpha1A-Tamsulosin
52.63Single8E9W2-Deoxycytidine8E9W-M3-2-Deoxycytidine-chim(NtGi2L-Gs-CtGq)/β1/γ2
52.63Single8IRSRotigotine8IRS-D2-Rotigotine-Gi1/β1/γ2
52.63Single8JJ8Arformoterol8JJ8-β2-Arformoterol
52.63Single9EK0Iperoxo9EK0-M5-Iperoxo-chim(NtGi1-Gs-CtGq)/β1/γ2
52.63Single9KVG5-MeO-DMT9KVG-5-HT1A-5-MeO-DMT-PtdIns4P-Gi1/β1/γ2
52.63Consensus5ht1a_onOrthosteric Ligand8FYT-5-HT1A-LSD-PtdIns4P-Gi1/β1/γ1 7E2Y-5-HT1A-Serotonin-PtdIns4P-Gi1/β1/γ2 7E2Z-5-HT1A-Aripiprazole-PtdIns4P-Gi1/β1/γ2 8FYX-5-HT1A-Buspirone-PtdIns4P-Gi1/β1/γ1 8JSP-5-HT1A-Ulotaront-Gi1/β1/γ2 8JT6-5-HT1A-(R)-IHCH-7179-PtdIns4P-Gi1/β1/γ2 8FY8-5-HT1A-5-MeO-DMT-PtdIns4P-Gi1/β1/γ1 8FYE-5-HT1A-4-F,5-MeO-PyrT-PtdIns4P-Gi1/β1/γ1 8FYL-5-HT1A-Vilazodone-PtdIns4P-Gi1/β1/γ1
52.63Consensus5ht1a_on_gpOrthosteric Ligand8FYT-5-HT1A-LSD-PtdIns4P-Gi1/β1/γ1 8FYX-5-HT1A-Buspirone-PtdIns4P-Gi1/β1/γ1 8JSP-5-HT1A-Ulotaront-Gi1/β1/γ2 8JT6-5-HT1A-(R)-IHCH-7179-PtdIns4P-Gi1/β1/γ2 7E2Y-5-HT1A-Serotonin-PtdIns4P-Gi1/β1/γ2 7E2Z-5-HT1A-Aripiprazole-PtdIns4P-Gi1/β1/γ2 8FY8-5-HT1A-5-MeO-DMT-PtdIns4P-Gi1/β1/γ1 8FYE-5-HT1A-4-F,5-MeO-PyrT-PtdIns4P-Gi1/β1/γ1 8FYL-5-HT1A-Vilazodone-PtdIns4P-Gi1/β1/γ1
52.63Consensusalpha1_offOrthosteric Ligandalpha1a_off
52.63Consensusalpha1a_offOrthosteric Ligand7YMJ-Alpha1A-Tamsulosin
52.63Consensusbeta3_onOrthosteric Ligand7DH5-β3-Mirabegron-Gs/β1/γ2 7XJH-β3-Isoprenaline-Gs/β1/γ2 7XJI-β3-Solabegron-Gs/β1/γ2
52.63Consensusbeta3_on_gpOrthosteric Ligand7DH5-β3-Mirabegron-Gs/β1/γ2 7XJH-β3-Isoprenaline-Gs/β1/γ2 7XJI-β3-Solabegron-Gs/β1/γ2
52.63Consensusbeta_onOrthosteric Ligandbeta1_on beta2_on beta3_on
52.63Consensusbeta_on_gpOrthosteric Ligandbeta1_on_gp beta2_on_gp beta3_on_gp
52.63Consensusd2_on_gpOrthosteric Ligand7JVR-D2-Bromoergocryptine-Gi1/β1/γ2 8IRS-D2-Rotigotine-Gi1/β1/γ2
52.63Consensusm1_offOrthosteric Ligand5CXV-M1-Tiotropium
52.38Single4AMJCarvedilol4AMJ-β1-Carvedilol
52.38Single8DCRDobutamine8DCR-β1-Dobutamine-Gs/β1/γ2
52.38Single8FYLVilazodone8FYL-5-HT1A-Vilazodone-PtdIns4P-Gi1/β1/γ1
52.38Single8ZSPLSD8ZSP-TA1-LSD-chim(NtGi1L-Gs)/β1/γ2
52.38Single9M4TSilodosin9M4T-Alpha1A-Silodosin
50.00Single2YCWCarazolol2YCW-β1-Carazolol
50.00Single4BVNCyanopindolol4BVN-β1-Cyanopindolol-Na
50.00Single5D6LCarazolol5D6L-β2-Carazolol
50.00Single5JQHCarazolol5JQH-β2-Carazolol
50.00Single5X7DCarazolol5X7D-β2-Carazolol-PubChem 129318963
50.00Single5X93K-87945X93-ETB-K-8794
50.00Single6DDFDAMGO6DDF-μ-DAMGO-Gi1/β1/γ2
50.00Single6E67BI1671076E67-β2-BI167107-Gs(CT)
50.00Single6H7LDobutamine6H7L-β1-Dobutamine
50.00Single6IBLArformoterol6IBL-β1-Arformoterol
50.00Single6OBAAlprenolol6OBA-β2-Alprenolol-GTPL11074
50.00Single6OIKIperoxo6OIK-M2-Iperoxo-LY2119620-chim(NtGi1-Go)/β1/γ2
50.00Single6PS6Timolol6PS6-β2-Timolol
50.00Single6TKOArformoterol6TKO-β1-Arformoterol-Arrestin2
50.00Single7SK7CCX6627SK7-ACKR3-CXCL12-CCX662
50.00Single7TRKIperoxo7TRK-M4-Iperoxo-Gi1/β1/γ2
50.00Single7U2KC6-guano7U2K-μ-C6-guano-Gi1/β1/γ2
50.00Single7VGY2-Iodomelatonin7VGY-MT1-2-Iodomelatonin-Gi1/β1/γ2
50.00Single7WC6LSD7WC6-5-HT2A-LSD
50.00Single7XJISolabegron7XJI-β3-Solabegron-Gs/β1/γ2
50.00Single7XKAConstrained Epinephrine7XKA-β2-Constrained Epinephrine
50.00Single7YM8Oxymetazoline7YM8-Alpha1A-Oxymetazoline-chim(Gs-CtGq)
50.00Single7YMHNorepinephrine7YMH-Alpha1A-Norepinephrine-chim(Gs-CtGq)
50.00Single8DZRGR89,6968DZR-κ-GR89,696-chim(NtGi2-Gt3)/β1/γ2
50.00Single8E9X2-Deoxycytidine8E9X-M4-2-Deoxycytidine-chim(NtGi1-Go)/β1/γ2
50.00Single8E9YClozapine-N-oxide8E9Y-M3-Clozapine-N-oxide-chim(NtGi2L-Gs-CtGq)/β1/γ2
50.00Single8E9ZIperoxo8E9Z-M3-Iperoxo-chim(NtGi2L-Gs-CtGq)/β1/γ2
50.00Single8FX5Xanomeline8FX5-M4-Xanomeline-Xanomeline-Gi1/β1/γ2
50.00Single8FYXBuspirone8FYX-5-HT1A-Buspirone-PtdIns4P-Gi1/β1/γ1
50.00Single8GDZConstrained Epinephrine8GDZ-β2-Constrained Epinephrine-Gs/β1/γ2
50.00Single8GEBConstrained Epinephrine8GEB-β2-Constrained Epinephrine-Gs/β1/γ2
50.00Single8GEGConstrained Epinephrine8GEG-β2-Constrained Epinephrine-Gs/β1/γ2
50.00Single8GGAConstrained Epinephrine8GGA-β2-Constrained Epinephrine-GTP-Gs/β1/γ2
50.00Single8GGBConstrained Epinephrine8GGB-β2-Constrained Epinephrine-GTP-Gs/β1/γ2
50.00Single8GGRConstrained Epinephrine8GGR-β2-Constrained Epinephrine
50.00Single8GGWConstrained Epinephrine8GGW-β2-Constrained Epinephrine
50.00Single8GH0Constrained Epinephrine8GH0-β2-Constrained Epinephrine
50.00Single8HOCImetit8HOC-H4-Imetit-Gi1/β1/γ2
50.00Single8UNNConstrained Epinephrine8UNN-β2-Constrained Epinephrine-GTP-Gs/β1/γ2
50.00Single8UNPConstrained Epinephrine8UNP-β2-Constrained Epinephrine-GTP-Gs/β1/γ2
50.00Single8YNAImmepip8YNA-H4-Immepip-Gi1/β1/γ2
50.00Single9F33FOB02-04A9F33-D3-FOB02-04A-Go/β1/γ2
50.00Single9F34FOB02-04A9F34-D3-FOB02-04A-Go/β1/γ2
50.00Single9K07DSO-5a9K07-BB3-DSO-5a-chim(NtGi2L-Gs-CtGq)/β1/γ2
50.00Single9KVHCinobufotenine9KVH-5-HT1A-Cinobufotenine-PtdIns4P-Gi1/β1/γ2
50.00Single9LL9DOI9LL9-5-HT2A-DOI-chim(NtGi1L-Gs-CtGq)/β1/γ2
50.00Single9MQJIsoquinuclidine9MQJ-μ-Isoquinuclidine
50.00Single9MQKIsoquinuclidine9MQK-κ-Isoquinuclidine
50.00Single9VJEBuspirone9VJE-5-HT1A-Buspirone-Go/β1/γ2
50.00Single9W49U-50488H9W49-κ-U-50488H-Gi1/β1/γ2
50.00Single9WP9S1P9WP9-S1P3-S1P-chim(NtGi2L-Gs-CtGq)/β1/γ2
50.00Consensus5ht2_offOrthosteric Ligand5ht2a_off 5ht2b_off 5ht2c_off
50.00Consensusalpha2_offOrthosteric Ligandalpha2c_off
50.00Consensusalpha_offOrthosteric Ligandalpha1_off alpha2_off
50.00Consensusbeta1_onOrthosteric Ligand8DCR-β1-Dobutamine-Gs/β1/γ2 7S0F-β1-Isoprenaline-Gi1/β1/γ2
50.00Consensusbeta1_on_gpOrthosteric Ligand8DCR-β1-Dobutamine-Gs/β1/γ2 7S0F-β1-Isoprenaline-Gi1/β1/γ2
50.00Consensusd2_onOrthosteric Ligand7JVR-D2-Bromoergocryptine-Gi1/β1/γ2 8IRS-D2-Rotigotine-Gi1/β1/γ2
50.00Consensusd4_onOrthosteric Ligand8IRU-D4-Rotigotine-chim(NtGi1-Gs-CtGi1)/β1/γ2
50.00Consensusgs_amineOrthosteric Ligandgs_5ht gs_adrenergic gs_dopamine gs_histamine gs_trace-amine
50.00Consensusm2_offOrthosteric Ligand5ZKC-M2-N-methyl-Scopolamine 5ZK3-M2-3-quinuclidinyl-benzilate 5ZKB-M2-AF-DX 384
50.00Consensusrhodopsin_offOrthosteric Ligand1U19-Rhodopsin-11-cis-Retinal 2PED-Rhodopsin-9-cis-Retinal 5TE5-Rhodopsin-20-Methanoretinal
50.00Consensuss1p3_on_gpOrthosteric Ligand7EW3-S1P3-S1P-Gi1/β1/γ2 7EW4-S1P3-CYM-5541-Gi1/β1/γ2 7EW2-S1P3-FTY720-P-Gi1/β1/γ2
47.83Single6PT2KGCHM076PT2-δ-KGCHM07
47.62Single3NY9PubChem 9131033NY9-β2-PubChem 913103
47.62Single7SK9CCX6627SK9-ACKR3-CCX662
47.62Single8Y72Peptide8Y72-μ-Peptide-BMS-986122-Gi1/β1/γ2
47.37Single2YDVNECA2YDV-A2A-NECA
47.37Single3P0GBI1671073P0G-β2-BI167107
47.37Single3SN6BI1671073SN6-β2-BI167107-Gs/β1/γ2
47.37Single4DJHJDTic4DJH-κ-JDTic
47.37Single4UHRCGS216804UHR-A2A-CGS21680
47.37Single5A8E7-Methylcyanopindolol5A8E-β1-7-Methylcyanopindolol-Na
47.37Single5G53NECA5G53-A2A-NECA-Gs
47.37Single5V54Methiothepin5V54-5-HT1B-Methiothepin
47.37Single6GT3Imaradenant6GT3-A2A-Imaradenant-Na
47.37Single6N48BI1671076N48-β2-BI167107-PubChem 138454256
47.37Single6OIJIperoxo6OIJ-M1-Iperoxo-chim(NtGi1L-G11)/β1/γ2
47.37Single6WGTLSD6WGT-5-HT2A-LSD
47.37Single7E2ZAripiprazole7E2Z-5-HT1A-Aripiprazole-PtdIns4P-Gi1/β1/γ2
47.37Single7VIGCBP-3077VIG-S1P1-CBP-307-Gi1/β1/γ2
47.37Single8DCSCyanopindolol8DCS-β1-Cyanopindolol-Gs/β1/γ2
47.37Single8EA0Iperoxo8EA0-M3-Iperoxo
47.37Single8EF5Fentanyl8EF5-μ-Fentanyl-Gi1/β1/γ2
47.37Single8IRURotigotine8IRU-D4-Rotigotine-chim(NtGi1-Gs-CtGi1)/β1/γ2
47.37Single8JT6(R)-IHCH-71798JT6-5-HT1A-(R)-IHCH-7179-PtdIns4P-Gi1/β1/γ2
47.37Single8JXXClobenpropit8JXX-H4-Clobenpropit-Gi1/β1/γ2
47.37Single9AS9RS130-1809AS9-5-HT2A-RS130-180
47.37Single9ASARS130-1809ASA-5-HT2A-RS130-180-chim(NtGi1-Gs-CtGq)/β1/γ2
47.37Single9I54PubChem 1764520919I54-D1-PubChem 176452091-Gs/β1/γ2
47.37Single9IJDCarazolol9IJD-β3-Carazolol-chim(NtGi1-Gs)/β1/γ2
47.37Single9PY3Loperamide9PY3-μ-Loperamide-GDPβS-Gi1/β1/γ2
47.37Single9UCPIperoxo9UCP-M1-Iperoxo-G11(CT)
47.37Single9WSTDAMGO9WST-μ-DAMGO-chim(NtGi1-Gz)/β1/γ2
47.37Consensus5ht1_offOrthosteric Ligand5ht1b_off
47.37Consensus5ht1b_offOrthosteric Ligand5V54-5-HT1B-Methiothepin
47.37Consensusd1_on_gpOrthosteric Ligand7F0T-D1-Dopamine-Gs/β1/γ2 7CKY-D1-PW0464-Gs/β1/γ2 8IRR-D1-Rotigotine-Gs/β1/γ2 7JV5-D1-SKF81297-Gs/β1/γ2 7JVP-D1-SKF83959-Gs/β1/γ2 7X2D-D1-Tavapadon-Gs/β1/γ2 7CKX-D1-A77636-Gs/β1/γ2 7JVQ-D1-Apomorphine-Gs/β1/γ2 7CKW-D1-Fenoldopam-Gs/β1/γ2
47.37Consensusd4_on_gpOrthosteric Ligand8IRU-D4-Rotigotine-chim(NtGi1-Gs-CtGi1)/β1/γ2
47.37Consensusgi_dopamineOrthosteric Ligand7JVR-D2-Bromoergocryptine-Gi1/β1/γ2 7CMV-D3-PD128907-Gi1/β1/γ2 7CMU-D3-Pramipexole-Gi1/β1/γ2 8IRS-D2-Rotigotine-Gi1/β1/γ2 8IRT-D3-Rotigotine-Gi1/β1/γ2
47.37Consensusgs_dopamineOrthosteric Ligand7F0T-D1-Dopamine-Gs/β1/γ2 7CKW-D1-Fenoldopam-Gs/β1/γ2 7CKY-D1-PW0464-Gs/β1/γ2 8IRV-D5-Rotigotine-chim(NtGi1-Gs)/β1/γ2 8IRR-D1-Rotigotine-Gs/β1/γ2 7JV5-D1-SKF81297-Gs/β1/γ2 7JVP-D1-SKF83959-Gs/β1/γ2 7X2D-D1-Tavapadon-Gs/β1/γ2 7CKX-D1-A77636-Gs/β1/γ2 7JVQ-D1-Apomorphine-Gs/β1/γ2
47.37Consensuskop_offOrthosteric Ligand4DJH-κ-JDTic
47.37Consensusm1_on_gpOrthosteric Ligand6OIJ-M1-Iperoxo-chim(NtGi1L-G11)/β1/γ2
47.37Consensusm3_offOrthosteric Ligand4U15-M3-Tiotropium 4U16-M3-N-methyl-Scopolamine 5ZHP-M3-PubChem 134828589
47.37Consensusmuscarinic_offOrthosteric Ligandm2_off m3_off m4_off m5_off m1_off
47.06Single3RZECidoxepin3RZE-H1-Cidoxepin
47.06Single4LDOEpinephrine4LDO-β2-Epinephrine
47.06Single6A94Zotepine6A94-5-HT2A-Zotepine
47.06Single6KUXRS799486KUX-α2a-RS79948
47.06Single6PS0Carazolol6PS0-β2-Carazolol
47.06Single6PS4ICI118-5516PS4-β2-ICI118-551
47.06Single6PS5Propranolol6PS5-β2-Propranolol
47.06Single6ZG9GSK10347026ZG9-M1-GSK1034702
47.06Single7CMUPramipexole7CMU-D3-Pramipexole-Gi1/β1/γ2
47.06Single7E33BRL-544437E33-5-HT1E-BRL-54443-Gi1/β1/γ2
47.06Single7EJ8Brimonidine7EJ8-α2a-Brimonidine-Go/β1/γ2
47.06Single7EJADexmedetomidine7EJA-α2a-Dexmedetomidine-Go/β1/γ2
47.06Single7F24Dopamine7F24-D1-Dopamine-GDP-Gs/β1/γ2
47.06Single7RANPubChem 1645758477RAN-5-HT2A-PubChem 164575847-chim(NtGi2L-Gs-CtGq)/β1/γ2
47.06Single7T94Acetylcholine7T94-M2-Acetylcholine-LY2119620-chim(NtGi1-Go)/β1/γ2
47.06Single7TRSAcetylcholine7TRS-M4-Acetylcholine-Gi1/β1/γ2
47.06Single7UL3Famotidine7UL3-H2-Famotidine
47.06Single8FCZ11-cis-Retinal8FCZ-Rhodopsin-11-cis-Retinal
47.06Single8GEAConstrained Epinephrine8GEA-β2-Constrained Epinephrine-Gs/β1/γ2
47.06Single8GEDConstrained Epinephrine8GED-β2-Constrained Epinephrine-Gs/β1/γ2
47.06Single8GG5Constrained Epinephrine8GG5-β2-Constrained Epinephrine-GTP-Gs/β1/γ2
47.06Single8GG7Constrained Epinephrine8GG7-β2-Constrained Epinephrine-GTP-Gs/β1/γ2
47.06Single8GG8Constrained Epinephrine8GG8-β2-Constrained Epinephrine-GTP-Gs/β1/γ2
47.06Single8GGLConstrained Epinephrine8GGL-β2-Constrained Epinephrine
47.06Single8GGMConstrained Epinephrine8GGM-β2-Constrained Epinephrine
47.06Single8GGPConstrained Epinephrine8GGP-β2-Constrained Epinephrine
47.06Single8GGQConstrained Epinephrine8GGQ-β2-Constrained Epinephrine
47.06Single8GGSConstrained Epinephrine8GGS-β2-Constrained Epinephrine
47.06Single8GGTConstrained Epinephrine8GGT-β2-Constrained Epinephrine
47.06Single8GGXConstrained Epinephrine8GGX-β2-Constrained Epinephrine
47.06Single8PM2DMCHA8PM2-TA7-DMCHA-Gs/β1/γ2
47.06Single8THLEpinephrine8THL-Alpha1A-Epinephrine-chim(NtGi2L-Gs-CtGq)/β1/γ2
47.06Single8U02Dopamine8U02-D2-Dopamine-Go/β1/γ2
47.06Single8UNLConstrained Epinephrine8UNL-β2-Constrained Epinephrine-GTP-Gs/β1/γ2
47.06Single8UNMConstrained Epinephrine8UNM-β2-Constrained Epinephrine-GTP-Gs/β1/γ2
47.06Single8UNOConstrained Epinephrine8UNO-β2-Constrained Epinephrine-GTP-Gs/β1/γ2
47.06Single8UNWConstrained Epinephrine8UNW-β2-Constrained Epinephrine-GTP-Gs/β1/γ2
47.06Single8V6UPubChem 1713924568V6U-5-HT2A-PubChem 171392456-chim(NtGi2-Gs-CtGq)/β1/γ2
47.06Single8WC8ZH86518WC8-TA1-ZH8651-chim(NtGi1-Gs)/β1/γ2
47.06Single8YN3Histamine8YN3-H2-Histamine-Gs/β1/γ2
47.06Single9AS8Psilocin9AS8-5-HT2A-Psilocin-chim(NtGi2L-Gs-CtGq)/β1/γ2
47.06Single9L84Epinephrine9L84-β1-Epinephrine-Atazanavir-Gs/β1/γ2
47.06Single9LRDHistamine9LRD-H1-Histamine-Gi1/β1/γ2
47.06Single9MQIIsoquinuclidine9MQI-μ-Isoquinuclidine
47.06Single9ODJMitragynine Pseudoindoxyl9ODJ-μ-Mitragynine Pseudoindoxyl-GTP; Mg-Gi1/β1/γ2
47.06Single9PY2Loperamide9PY2-μ-Loperamide-GDPβS-Gi1/β1/γ2
47.06Single9W6W5-CT9W6W-5-HT5A-5-CT-Gi1/β1/γ2
47.06Consensus5ht_on_gpOrthosteric Ligand5ht1_on_gp 5ht2_on_gp 5ht4_on_gp 5ht5_on_gp 5ht6_on_gp 5ht7_on_gp
47.06Consensusalpha1_onOrthosteric Ligandalpha1a_on
47.06Consensusalpha1_on_gpOrthosteric Ligandalpha1a_on_gp
47.06Consensusalpha1a_onOrthosteric Ligand7EJ0-α2a-Norepinephrine-Go/β1/γ2 7EJ8-α2a-Brimonidine-Go/β1/γ2 7EJA-α2a-Dexmedetomidine-Go/β1/γ2 7EJK-α2a-Oxymetazoline-Go/β1/γ2 7W6P-α2a-N-pyridin-4-ylisoquinolin-4-amine-Go/β1/γ2 7W7E-α2a-PubChem 164946676-Go/β1/γ2
47.06Consensusalpha1a_on_gpOrthosteric Ligand7EJ0-α2a-Norepinephrine-Go/β1/γ2 7EJ8-α2a-Brimonidine-Go/β1/γ2 7EJA-α2a-Dexmedetomidine-Go/β1/γ2 7EJK-α2a-Oxymetazoline-Go/β1/γ2 7W6P-α2a-N-pyridin-4-ylisoquinolin-4-amine-Go/β1/γ2 7W7E-α2a-PubChem 164946676-Go/β1/γ2
47.06Consensusd3_onOrthosteric Ligand7CMV-D3-PD128907-Gi1/β1/γ2 8IRT-D3-Rotigotine-Gi1/β1/γ2 7CMU-D3-Pramipexole-Gi1/β1/γ2
47.06Consensusd3_on_gpOrthosteric Ligand7CMV-D3-PD128907-Gi1/β1/γ2 8IRT-D3-Rotigotine-Gi1/β1/γ2 7CMU-D3-Pramipexole-Gi1/β1/γ2
47.06Consensusopsins_offOrthosteric Ligandrhodopsin_off
47.06Consensussensory_offOrthosteric Ligandopsins_off
46.67Single8WC9ZH86518WC9-TA1-ZH8651-chim(NtGi1-Gs-CtGq)/β1/γ2
45.45Single4IARErgotamine4IAR-5-HT1B-Ergotamine
45.45Single7WVWfMYFINILTL7WVW-FPR2-ALX-fMYFINILTL-Gi2/β1/γ2
45.45Consensusgi_opioidOrthosteric Ligand8F7R-μ-Endomorphin-Gi1/β1/γ2 8EF5-μ-Fentanyl-Gi1/β1/γ2 7SCG-μ-FH210-Gi1/β1/γ2 7T2H-μ-Lofentanil-Gi1/β1/γ2 7T2G-μ-Mitragynine Pseudoindoxyl-Gi1/β1/γ2 8DZP-κ-momSalB-Gi1/β1/γ2 8EF6-μ-Morphine-Gi1/β1/γ2 8F7X-NOP-Nociceptin-Gi1/β1/γ2 8EFB-μ-Oliceridine-Gi1/β1/γ2 7U2L-μ-C5-guano-Gi1/β1/γ2 8EFO-μ-PZM21-Gi1/β1/γ2 8EFL-μ-SR17018-Gi1/β1/γ2 8F7Q-μ-β-Endorphin-Gi1/β1/γ2 7U2K-μ-C6-guano-Gi1/β1/γ2 8EFQ-μ-DAMGO-Gi1/β1/γ2 8F7S-δ-Deltorphin-Gi1/β1/γ2 8F7W-κ-Dynorphin-Gi1/β1/γ2
45.45Consensusmop_offOrthosteric Ligand4DKL-μ-β-Funaltrexamine 8QOT-μ-Nanobody-E 7UL4-μ-Alvimopan
45.00Single2YCXCyanopindolol2YCX-β1-Cyanopindolol
45.00Single6A93Risperidone6A93-5-HT2A-Risperidone
45.00Single7BZ2Arformoterol7BZ2-β2-Arformoterol-Gs/β1/γ2
45.00Single7DH5Mirabegron7DH5-β3-Mirabegron-Gs/β1/γ2
45.00Single7EW2FTY720-P7EW2-S1P3-FTY720-P-Gi1/β1/γ2
45.00Single7EXDLasmiditan7EXD-5-HT1F-Lasmiditan-Gi1/β1/γ2
45.00Single7JNIOlodanrigan7JNI-AT2-Olodanrigan
45.00Single7XMTJ-21567XMT-SST4-J-2156-Gi1/β1/γ2
45.00Single7YITNalfurafine7YIT-κ-Nalfurafine
45.00Single8G056-OAU8G05-GPR84-6-OAU-Gi1/β1/γ2
45.00Single9EBIPiclidenoson9EBI-A3A-Piclidenoson-chim(NtGi1L-Gs-CtGi1)/β1/γ2
45.00Single9MQLIsoquinuclidine9MQL-κ-Isoquinuclidine
45.00Single9V6ONalfurafine9V6O-κ-Nalfurafine-Gi1/β1/γ2
45.00Consensus5ht1f_onOrthosteric Ligand7EXD-5-HT1F-Lasmiditan-Gi1/β1/γ2
45.00Consensus5ht1f_on_gpOrthosteric Ligand7EXD-5-HT1F-Lasmiditan-Gi1/β1/γ2
45.00Consensusgi_amineOrthosteric Ligandgi_5ht gi_muscarinic gi_adrenergic gi_dopamine gi_histamine
45.00Consensusgi_muscarinicOrthosteric Ligand8E9X-M4-2-Deoxycytidine-chim(NtGi1-Go)/β1/γ2 7T8X-M2-Acetylcholine-chim(NtGi1-Go)/β1/γ2 7TRS-M4-Acetylcholine-Gi1/β1/γ2 7TRK-M4-Iperoxo-Gi1/β1/γ2 7V6A-M4-PubChem 9864275-Gi1/β1/γ2
45.00Consensusmop_onOrthosteric Ligand8F7R-μ-Endomorphin-Gi1/β1/γ2 8EF5-μ-Fentanyl-Gi1/β1/γ2 7SCG-μ-FH210-Gi1/β1/γ2 7T2H-μ-Lofentanil-Gi1/β1/γ2 7T2G-μ-Mitragynine Pseudoindoxyl-Gi1/β1/γ2 8EF6-μ-Morphine-Gi1/β1/γ2 8EFB-μ-Oliceridine-Gi1/β1/γ2 7U2L-μ-C5-guano-Gi1/β1/γ2 8EFO-μ-PZM21-Gi1/β1/γ2 8EFL-μ-SR17018-Gi1/β1/γ2 8F7Q-μ-β-Endorphin-Gi1/β1/γ2 7U2K-μ-C6-guano-Gi1/β1/γ2 8EFQ-μ-DAMGO-Gi1/β1/γ2
45.00Consensusmop_on_gpOrthosteric Ligand8F7R-μ-Endomorphin-Gi1/β1/γ2 8EF5-μ-Fentanyl-Gi1/β1/γ2 7SCG-μ-FH210-Gi1/β1/γ2 7T2H-μ-Lofentanil-Gi1/β1/γ2 7T2G-μ-Mitragynine Pseudoindoxyl-Gi1/β1/γ2 8EF6-μ-Morphine-Gi1/β1/γ2 8EFB-μ-Oliceridine-Gi1/β1/γ2 7U2L-μ-C5-guano-Gi1/β1/γ2 8EFO-μ-PZM21-Gi1/β1/γ2 8EFL-μ-SR17018-Gi1/β1/γ2 8F7Q-μ-β-Endorphin-Gi1/β1/γ2 7U2K-μ-C6-guano-Gi1/β1/γ2 8EFQ-μ-DAMGO-Gi1/β1/γ2
45.00Consensusnk1_offOrthosteric Ligand6HLP-NK1-Netupitant 6HLO-NK1-Aprepitant 6HLL-NK1-CP99994 6E59-NK1-L-760735
45.00Consensusopioid_offOrthosteric Ligandmop_off nop_off dop_off kop_off
45.00Consensuss1p3_onOrthosteric Ligand7EW3-S1P3-S1P-Gi1/β1/γ2 7EW4-S1P3-CYM-5541-Gi1/β1/γ2 7EW2-S1P3-FTY720-P-Gi1/β1/γ2
44.44Single1HZX11-cis-Retinal1HZX-Rhodopsin-11-cis-Retinal
44.44Single2VT4Cyanopindolol2VT4-β1-Cyanopindolol
44.44Single2Y01Dobutamine2Y01-β1-Dobutamine
44.44Single2Y02Carmoterol2Y02-β1-Carmoterol
44.44Single3ZPRPubChem 5987543ZPR-β1-PubChem 598754-Na
44.44Single4DAJTiotropium4DAJ-M3-Tiotropium
44.44Single4EA3PubChem 102965614EA3-NOP-PubChem 10296561
44.44Single5DHGC-355DHG-NOP-C-35
44.44Single5DSGTiotropium5DSG-M4-Tiotropium
44.44Single5OLZPubChem 1355666095OLZ-A2A-PubChem 135566609-Na
44.44Single5OM1PubChem 1355666095OM1-A2A-PubChem 135566609-Na
44.44Single6DRXLisuride6DRX-5-HT2B-Lisuride
44.44Single7BU7BI1671077BU7-β1-BI167107
44.44Single7JVQApomorphine7JVQ-D1-Apomorphine-Gs/β1/γ2
44.44Single7SCGFH2107SCG-μ-FH210-Gi1/β1/γ2
44.44Single7T2GMitragynine Pseudoindoxyl7T2G-μ-Mitragynine Pseudoindoxyl-Gi1/β1/γ2
44.44Single7UL4Alvimopan7UL4-μ-Alvimopan
44.44Single7UM55-CT7UM5-5-HT5A-5-CT-chim(NtGi1-Go)/β1/γ2
44.44Single7VIFFTY720-P7VIF-S1P1-FTY720-P-Gi1/β1/γ2
44.44Single7XTC5-CT7XTC-5-HT7-5-CT-Gs/β1/γ2
44.44Single8DZSGR89,6968DZS-κ-GR89,696-chim(NtGi2-Gz)/β1/γ2
44.44Single8IRTRotigotine8IRT-D3-Rotigotine-Gi1/β1/γ2
44.44Single8PJKST1718PJK-5-HT1A-ST171-Gi1/β1/γ1
44.44Single8T1WCVN4248T1W-GPR6-CVN424
44.44Single8UGYMianserin8UGY-5-HT1E-Mianserin-Gi1/β1/γ1
44.44Single8UNRConstrained Epinephrine8UNR-β2-Constrained Epinephrine-GTP-Gs/β1/γ2
44.44Single8UNUConstrained Epinephrine8UNU-β2-Constrained Epinephrine-GTP-Gs/β1/γ2
44.44Single8UNVConstrained Epinephrine8UNV-β2-Constrained Epinephrine-GTP-Gs/β1/γ2
44.44Single8UNZConstrained Epinephrine8UNZ-β2-Constrained Epinephrine-GTP-Gs/β1/γ2
44.44Single8UO2Constrained Epinephrine8UO2-β2-Constrained Epinephrine-GTP-Gs/β1/γ2
44.44Single8VVGGB188VVG-κ-GB18-Gi1/β1/γ2
44.44Single8X63Mepyramine8X63-H1-Mepyramine
44.44Single8X64Desloratadine8X64-H1-Desloratadine
44.44Single8Y71A1D6F8Y71-δ-A1D6F-BMS986187-Gi1/β1/γ2
44.44Single8YN8Proxyfan8YN8-H3-Proxyfan-Go/β1/γ2
44.44Single9CHXCarazolol9CHX-β2-Carazolol
44.44Single9LLAAriadne9LLA-5-HT2A-Ariadne-chim(NtGi1L-Gs-CtGq)/β1/γ2
44.44Single9UAZAtropine9UAZ-M1-Atropine
44.44Consensus5ht7_onOrthosteric Ligand7XTC-5-HT7-5-CT-Gs/β1/γ2
44.44Consensus5ht7_on_gpOrthosteric Ligand7XTC-5-HT7-5-CT-Gs/β1/γ2
44.44Consensusgi_histamineOrthosteric Ligand8JXX-H4-Clobenpropit-Gi1/β1/γ2 8JXV-H4-Clozapine-Gi1/β1/γ2 8YUU-H3-Histamine-Gi1/β1/γ1 8HN8-H4-Histamine-Gi1/β1/γ2 8HOC-H4-Imetit-Gi1/β1/γ2 8JXW-H4-VUF6884-Gi1/β1/γ2
44.44Consensushistamine_offOrthosteric Ligandh1_off
44.44Consensusm4_offOrthosteric Ligand5DSG-M4-Tiotropium
43.75Single1L9H11-cis-Retinal1L9H-Rhodopsin-11-cis-Retinal
43.75Single1U1911-cis-Retinal1U19-Rhodopsin-11-cis-Retinal
43.75Single2G87All-trans-Retinal2G87-Rhodopsin-All-trans-Retinal
43.75Single2I3511-cis-Retinal2I35-Rhodopsin-11-cis-Retinal
43.75Single7SRQLSD7SRQ-5-HT2B-LSD
43.75Single7YFCHistamine7YFC-H4-Histamine-chim(NtGi1-Gs-CtGq)/β1/γ2
43.75Single7YFDImetit7YFD-H4-Imetit-chim(NtGi1-Gs-CtGq)/β1/γ2
43.75Single7YS6Serotonin7YS6-5-HT6-Serotonin-chim(NtGi1-Gs)/β1/γ2
43.75Single8DPFLorcaserin8DPF-5-HT2C-Lorcaserin-chim(NtGi2L-Gs-CtGq)/β1/γ2
43.75Single8GGYConstrained Epinephrine8GGY-β2-Constrained Epinephrine
43.75Single8HN8Histamine8HN8-H4-Histamine-Gi1/β1/γ2
43.75Single8UO4Constrained Epinephrine8UO4-β2-Constrained Epinephrine-GTP; Mg-Gs/β1/γ2
43.75Single8W892-Phenylethylamine8W89-TA1-2-Phenylethylamine-chim(NtGi1L-Gs)/β1/γ2
43.75Single8YN2Histamine8YN2-H1-Histamine-chim(NtGi1L-Gs-CtGq)/β1/γ2
43.75Single8YN5Histamine8YN5-H3-Histamine-Gi1/β1/γ2
43.75Single8YN6Imetit8YN6-H3-Imetit-Gi1/β1/γ2
43.75Single8YN7Immethridine8YN7-H3-Immethridine-Go/β1/γ2
43.75Single8ZSVRO52633978ZSV-TA1-RO5263397-chim(NtGi1-Gs)/β1/γ2
43.75Single9IJEEpinephrine9IJE-β3-Epinephrine-chim(NtGi1-Gs)/β1/γ2
43.75Single9L42Histamine9L42-H4-Histamine-Gi1/β1/γ2
43.75Single9U9VMETH9U9V-β2-METH-Gs/β1/γ2
42.86Single6BQHRitanserin6BQH-5-HT2C-Ritanserin
42.86Single7UM4AS26747237UM4-5-HT5A-AS2674723
42.86Single8XIOL7975918XIO-SST1-L797591-chim(NtGi1-Gs-CtGi1)/β1/γ2
42.86Single9YDPDADLE9YDP-δ-DADLE-chim(NtGi1L-Gs-CtGi1)/β1/γ2
42.86Single9YDRDADLE9YDR-δ-DADLE-MIPS3983-chim(NtGi1L-Gs-CtGi1)/β1/γ2
42.86Consensus5ht2c_offOrthosteric Ligand6BQH-5-HT2C-Ritanserin
42.86Consensusbb2_onOrthosteric Ligand7W40-BB2-Bombesin-chim(NtGi1L-Gq)/β1/γ2 7W3Z-BB2-Gastrin Releasing Peptide-chim(NtGi1L-Gq)/β1/γ2
42.86Consensusbb2_on_gpOrthosteric Ligand7W40-BB2-Bombesin-chim(NtGi1L-Gq)/β1/γ2 7W3Z-BB2-Gastrin Releasing Peptide-chim(NtGi1L-Gq)/β1/γ2
42.86Consensusbombesin_onOrthosteric Ligandbb2_on
42.86Consensusbombesin_on_gpOrthosteric Ligandbb2_on_gp
42.86Consensusendothelin_offOrthosteric Ligandetb_off
42.86Consensusetb_offOrthosteric Ligand5X93-ETB-K-8794 5XPR-ETB-Bosentan 6K1Q-ETB-IRL2500
42.86Consensusgq_bombesinOrthosteric Ligand7W40-BB2-Bombesin-chim(NtGi1L-Gq)/β1/γ2 7W3Z-BB2-Gastrin Releasing Peptide-chim(NtGi1L-Gq)/β1/γ2
42.86Consensuskop_on_gpOrthosteric Ligand8F7W-κ-Dynorphin-Gi1/β1/γ2 8DZS-κ-GR89,696-chim(NtGi2-Gz)/β1/γ2 8DZP-κ-momSalB-Gi1/β1/γ2
42.31Consensusopioid_on_gpOrthosteric Ligandmop_on_gp nop_on_gp dop_on_gp kop_on_gp
42.11Single2Y00Dobutamine2Y00-β1-Dobutamine
42.11Single4WW3All-trans-Retinal4WW3-Rhodopsin-All-trans-Retinal
42.11Single5C1MBU725C1M-μ-BU72
42.11Single5OM4PubChem 1355666095OM4-A2A-PubChem 135566609-Na
42.11Single5TVNLSD5TVN-5-HT2B-LSD
42.11Single5ZK33-quinuclidinyl-benzilate5ZK3-M2-3-quinuclidinyl-benzilate
42.11Single6LUQHaloperidol6LUQ-D2-Haloperidol
42.11Single6ME72-Phenylmelatonin6ME7-MT2-2-Phenylmelatonin
42.11Single6ME82-Phenylmelatonin6ME8-MT2-2-Phenylmelatonin
42.11Single7C4SS1P7C4S-S1P3-S1P
42.11Single7C61Ergotamine7C61-5-HT1B-Ergotamine
42.11Single7SBFPZM217SBF-μ-PZM21-Gi1/β1/γ2
42.11Single7TD3S1P7TD3-S1P1-S1P-Gi1/β1/γ2
42.11Single7X1TTaltirelin7X1T-TRH-Taltirelin-chim(NtGi2L-Gs-CtGq)/β1/γ2
42.11Single8C9WEtrumadenant8C9W-A2A-Etrumadenant
42.11Single8DZQmomSalB8DZQ-κ-momSalB-Go/β1/γ2
42.11Single8J18(3R)-3-Hydroxydodecanoic acid8J18-GPR84-(3R)-3-Hydroxydodecanoic acid-Gi1/β1/γ2
42.11Single8JXSPF-61428JXS-D1-PF-6142
42.11Single8YH0NECA8YH0-A3A-NECA-Gi1/β1/γ2
42.11Single8ZMFPubChem 1719206738ZMF-5-HT2C-PubChem 171920673
42.11Single9ARYSerotonin9ARY-5-HT2A-Serotonin-chim(NtGi1-Gs-CtGq)/β1/γ2
42.11Single9EE8Adenosine9EE8-A2A-Adenosine-Gs/β1/γ2
42.11Single9I52A1IZU9I52-D1-A1IZU-Gs/β1/γ2
42.11Single9KT6Acifran9KT6-HCA3-Acifran-Gi1/β1/γ2
42.11Single9L74S1P d16:19L74-S1P3-S1P d16:1-chim(NtGi2L-Gs-CtGq)/β1/γ2
42.11Single9PXYNaloxone9PXY-μ-Naloxone-GDPβS-Gi1/β1/γ2
42.11Consensusd1_onOrthosteric Ligand7F0T-D1-Dopamine-Gs/β1/γ2 7CKY-D1-PW0464-Gs/β1/γ2 8IRR-D1-Rotigotine-Gs/β1/γ2 7JV5-D1-SKF81297-Gs/β1/γ2 7JVP-D1-SKF83959-Gs/β1/γ2 7X2D-D1-Tavapadon-Gs/β1/γ2 7CKX-D1-A77636-Gs/β1/γ2 7JVQ-D1-Apomorphine-Gs/β1/γ2 7CKW-D1-Fenoldopam-Gs/β1/γ2
42.11Consensusgq_muscarinicOrthosteric Ligand6OIJ-M1-Iperoxo-chim(NtGi1L-G11)/β1/γ2
42.11Consensush1_offOrthosteric Ligand8X63-H1-Mepyramine 3RZE-H1-Cidoxepin 8X5Y-H1-Astemizole
42.11Consensusm1_onOrthosteric Ligand6OIJ-M1-Iperoxo-chim(NtGi1L-G11)/β1/γ2
41.67Single5WF5UK-4320975WF5-A2A-UK-432097
41.67Single8XIQL7967788XIQ-SST3-L796778-chim(NtGi1-Gs-CtGi1)/β1/γ2
41.18Single1GZM11-cis-Retinal1GZM-Rhodopsin-11-cis-Retinal
41.18Single2PED9-cis-Retinal2PED-Rhodopsin-9-cis-Retinal
41.18Single3C9L11-cis-Retinal3C9L-Rhodopsin-11-cis-Retinal
41.18Single7DHRIsoprenaline7DHR-β2-Isoprenaline-Gs/β1/γ2
41.18Single7LD4Adenosine7LD4-A1-Adenosine-Gi2/β1/γ2
41.18Single7LJDDopamine7LJD-D1-Dopamine-Mevidalen-Gs/β1/γ1
41.18Single7SRRLSD7SRR-5-HT2B-LSD-chim(NtGi2L-Gs-CtGq)/β1/γ2
41.18Single7SRSLSD7SRS-5-HT2B-LSD-Arrestin2
41.18Single7T8XAcetylcholine7T8X-M2-Acetylcholine-chim(NtGi1-Go)/β1/γ2
41.18Single7T90Acetylcholine7T90-M2-Acetylcholine-chim(NtGi1-Go)/β1/γ2
41.18Single7T96Acetylcholine7T96-M2-Acetylcholine-LY2119620-Go/β1/γ2
41.18Single7X2FDopamine7X2F-D1-Dopamine-Mevidalen-Gs/β1/γ2
41.18Single7X5H5-CT7X5H-5-HT5A-5-CT-Gi1/β1/γ2
41.18Single7XT8Serotonin7XT8-5-HT4-Serotonin-Gs/β1/γ2
41.18Single8A6CAll-trans-Retinal8A6C-Rhodopsin-All-trans-Retinal
41.18Single8A6DAll-trans-Retinal8A6D-Rhodopsin-All-trans-Retinal
41.18Single8A6EAll-trans-Retinal8A6E-Rhodopsin-All-trans-Retinal
41.18Single8GGCConstrained Epinephrine8GGC-β2-Constrained Epinephrine-GTP-Gs/β1/γ2
41.18Single8GGZConstrained Epinephrine8GGZ-β2-Constrained Epinephrine
41.18Single8IW4Spermidine8IW4-TAA9-Spermidine-chim(NtGi1-Gs)/β1/γ2
41.18Single8IWESpermidine8IWE-TAA9-Spermidine
41.18Single8JSOAMPH8JSO-TA1-AMPH-chim(NtGi1-Gs)/β1/γ2
41.18Single8TZQDopamine8TZQ-D2-Dopamine-Go/β1/γ2
41.18Single8UNSConstrained Epinephrine8UNS-β2-Constrained Epinephrine-GTP-Gs/β1/γ2
41.18Single8UNTConstrained Epinephrine8UNT-β2-Constrained Epinephrine-GTP-Gs/β1/γ2
41.18Single8UNXConstrained Epinephrine8UNX-β2-Constrained Epinephrine-GTP-Gs/β1/γ2
41.18Single8WC4ZH86518WC4-TA1-ZH8651-chim(NtGi1-Gs)/β1/γ2
41.18Single8WCA2-Phenylethylamine8WCA-TA1-2-Phenylethylamine-chim(NtGi1-Gs)/β1/γ2
41.18Single8Y0HVUF114188Y0H-CXCR3-VUF11418
41.18Single8Y0NVUF114188Y0N-CXCR3-VUF11418-Go/β1/γ2
41.18Single8YUTAmthamine8YUT-H2-Amthamine-Gs/β1/γ2
41.18Single8YUVImmepip8YUV-H3-Immepip-Gi1/β1/γ2
41.18Single9LRBHistamine9LRB-H1-Histamine-Gs/β1/γ2
41.18Single9VJ5Gepirone9VJ5-5-HT1A-Gepirone-Go/β1/γ2
41.18Consensus5ht1e_onOrthosteric Ligand7E33-5-HT1E-BRL-54443-Gi1/β1/γ2 8UGY-5-HT1E-Mianserin-Gi1/β1/γ1 8UH3-5-HT1E-Setiptiline-Gi1/β1/γ1
41.18Consensus5ht2_on_gpOrthosteric Ligand5ht2b_on_gp
41.18Consensus5ht2b_on_gpOrthosteric Ligand7SRR-5-HT2B-LSD-chim(NtGi2L-Gs-CtGq)/β1/γ2
41.18Consensus5ht_onOrthosteric Ligand5ht1_on 5ht2_on 5ht4_on 5ht5_on 5ht6_on 5ht7_on
41.18Consensusa1_onOrthosteric Ligand7LD4-A1-Adenosine-Gi2/β1/γ2
41.18Consensusa1_on_gpOrthosteric Ligand7LD4-A1-Adenosine-Gi2/β1/γ2
41.18Consensusgs_5htOrthosteric Ligand7XTC-5-HT7-5-CT-Gs/β1/γ2 7XTB-5-HT6-Serotonin-Gs/β1/γ2 8JLZ-5-HT6-ST1936-Gs/β1/γ2 7XT8-5-HT4-Serotonin-Gs/β1/γ2
41.18Consensushistamine_onOrthosteric Ligandh1_on h2_on h3_on h4_on
41.18Consensushistamine_on_gpOrthosteric Ligandh1_on_gp h2_on_gp h3_on_gp h4_on_gp
41.18Consensusm2_onOrthosteric Ligand7T8X-M2-Acetylcholine-chim(NtGi1-Go)/β1/γ2
41.18Consensusm2_on_gpOrthosteric Ligand7T8X-M2-Acetylcholine-chim(NtGi1-Go)/β1/γ2
41.18Consensussensory_offonOrthosteric Ligandsensory_off sensory_on
41.18Consensussensory_offon_gpOrthosteric Ligandsensory_on_gp sensory_on
40.91Single4UG2CGS216804UG2-A2A-CGS21680
40.91Single6G79Donitriptan6G79-5-HT1B-Donitriptan-Go/β1/γ2
40.91Single9IZASCH9002719IZA-HCA2-SCH900271-Gi1/β1/γ2
40.00Single3PDSFAUC503PDS-β2-FAUC50
40.00Single3UON3-quinuclidinyl-benzilate3UON-M2-3-quinuclidinyl-benzilate
40.00Single5ZHPPubChem 1348285895ZHP-M3-PubChem 134828589
40.00Single6DDEDAMGO6DDE-μ-DAMGO-Gi1/β1/γ2
40.00Single6J20Aprepitant6J20-NK1-Aprepitant
40.00Single6J21Aprepitant6J21-NK1-Aprepitant
40.00Single6NI3BI1671076NI3-β2-BI167107-Gs/β1/γ2
40.00Single7B6WCyclazosin7B6W-α1b-Cyclazosin
40.00Single7CKYPW04647CKY-D1-PW0464-Gs/β1/γ2
40.00Single7EW3S1P7EW3-S1P3-S1P-Gi1/β1/γ2
40.00Single7EW7SEW28717EW7-S1P1-SEW2871-Gi1/β1/γ2
40.00Single7JVPSKF839597JVP-D1-SKF83959-Gs/β1/γ2
40.00Single7W40Bombesin7W40-BB2-Bombesin-chim(NtGi1L-Gq)/β1/γ2
40.00Single7XY7NECA7XY7-A2B-NECA-chim(NtGi1-Gs)/β1/γ2
40.00Single8DPHLorcaserin8DPH-5-HT2C-Lorcaserin-chim(NtGi2L-Gs-CtGq)/β1/γ2
40.00Single8GEIConstrained Epinephrine8GEI-β2-Constrained Epinephrine-Gs/β1/γ2
40.00Single8IYHMK68928IYH-HCA2-MK6892-Go/β1/γ2
40.00Single8JLPRalmitaront8JLP-TA1-Ralmitaront-Gs/β1/γ2
40.00Single8JXVClozapine8JXV-H4-Clozapine-Gi1/β1/γ2
40.00Single8JXWVUF68848JXW-H4-VUF6884-Gi1/β1/γ2
40.00Single8T1VPubChem 1183102098T1V-GPR6-PubChem 118310209-Na
40.00Single8VVFJDTic8VVF-κ-JDTic-Gi1/β1/γ2
40.00Single8WC5Tetramethylammonium Ion8WC5-TA1-Tetramethylammonium Ion-chim(NtGi1-Gs)/β1/γ2
40.00Single8XVLZibotentan8XVL-ETA-Zibotentan
40.00Single8Z8ALactate8Z8A-HCA1-Lactate-Gi1/β1/γ2
40.00Single8ZWFJR14a8ZWF-C3aB-JR14a
40.00Single9BJKNaloxone9BJK-μ-Naloxone-PubChem 171642066
40.00Single9BKKCholecystokinin-89BKK-CCKA-Cholecystokinin-8-chim(NtGi1-Gs-CtGq)/β1/γ2
40.00Single9CHUNorepinephrine9CHU-β2-Norepinephrine
40.00Consensusclass-a_offOrthosteric Ligandsensory_off alicarboxylic_off amine_off lipid_off nucleotide_off peptide_off protein_off
40.00Consensush4_on_gpOrthosteric Ligand8HN8-H4-Histamine-Gi1/β1/γ2 8HOC-H4-Imetit-Gi1/β1/γ2 8JXV-H4-Clozapine-Gi1/β1/γ2 8JXW-H4-VUF6884-Gi1/β1/γ2 8JXX-H4-Clobenpropit-Gi1/β1/γ2
40.00Consensustachykinin_offOrthosteric Ligandnk1_off
39.13Single4IB4Ergotamine4IB4-5-HT2B-Ergotamine
39.13Single5UNFPubChem 157800525UNF-AT2-PubChem 15780052
39.13Single8WDTphotoNECA8WDT-A2A-photoNECA
39.13Single9BUYLM1899BUY-β2-LM189-Gi1/β1/γ2
38.89Single1F8811-cis-Retinal1F88-Rhodopsin-11-cis-Retinal
38.89Single2YDOAdenosine2YDO-A2A-Adenosine
38.89Single3OAX11-cis-Retinal3OAX-Rhodopsin-11-cis-Retinal
38.89Single3UZCPubChem 1355666093UZC-A2A-PubChem 135566609
38.89Single6IQLL7458706IQL-D4-L745870
38.89Single6TPGEMPA6TPG-OX2-EMPA
38.89Single6V9SGTPL114036V9S-OX1-GTPL11403
38.89Single6VI4JDTic6VI4-κ-JDTic
38.89Single7CKZDopamine7CKZ-D1-Dopamine-Mevidalen-Gs/β1/γ2
38.89Single7CMVPD1289077CMV-D3-PD128907-Gi1/β1/γ2
38.89Single7F0TDopamine7F0T-D1-Dopamine-Gs/β1/γ2
38.89Single7F1ZDopamine7F1Z-D1-Dopamine-GDP-Gs/β1/γ2
38.89Single7SR8TAK-9257SR8-OX2-TAK-925-chim(NtGi1L-Gs-CtGq)/β1/γ2
38.89Single7ZBC11-cis-Retinal7ZBC-Rhodopsin-11-cis-Retinal
38.89Single7ZBE11-cis-Retinal7ZBE-Rhodopsin-11-cis-Retinal
38.89Single8DPGPsilocin8DPG-5-HT2C-Psilocin-chim(NtGi2L-Gs-CtGq)/β1/γ2
38.89Single8HNMVUF112228HNM-CXCR3-VUF11222-Gi1/β1/γ2
38.89Single8JLQFenoldopam8JLQ-TA1-Fenoldopam-Gs/β1/γ2
38.89Single8UO0Constrained Epinephrine8UO0-β2-Constrained Epinephrine-GTP-Gs/β1/γ2
38.89Single8UO1Constrained Epinephrine8UO1-β2-Constrained Epinephrine-GTP; Mg-Gs/β1/γ2
38.89Single8YH2Adenosine8YH2-A3A-Adenosine-Gi1/β1/γ2
38.89Single8YKVPubChem 1375531688YKV-Succinate-PubChem 137553168-Gi1/β1/γ2
38.89Single8ZMGPimavanserin8ZMG-5-HT2A-Pimavanserin
38.89Single9JKYAcifran9JKY-HCA2-Acifran-Gi1/β1/γ2
38.89Single9L8LBI1671079L8L-β2-BI167107-Atazanavir-Gs/β1/γ2 ; Arrestin2
38.89Single9LL8Psilocin9LL8-5-HT2A-Psilocin-Gi1/β1/γ2
38.89Single9ODLMitragynine Pseudoindoxyl9ODL-μ-Mitragynine Pseudoindoxyl-GTP; Mg-Gi1/β1/γ2
38.89Single9PXVNaloxone9PXV-μ-Naloxone-Gi1/β1/γ2
38.89Consensus5ht2a_offOrthosteric Ligand6A94-5-HT2A-Zotepine 6A93-5-HT2A-Risperidone 7VOD-5-HT2A-Cariprazine 7WC8-5-HT2A-Lumateperone 8JT8-5-HT2A-(R)-IHCH-7179
38.89Consensusnop_offOrthosteric Ligand4EA3-NOP-PubChem 10296561 5DHG-NOP-C-35 5DHH-NOP-SB-612111
38.46Consensusopioid_onOrthosteric Ligandmop_on nop_on dop_on kop_on
38.10Single5UNHPubChem 1264564065UNH-AT2-PubChem 126456406
38.10Single6MXTSalmeterol6MXT-β2-Salmeterol
38.10Single7W0LPubChem 1227019087W0L-Apelin; Apelin-PubChem 122701908-Gi1/β1/γ2
38.10Single7WCNAR2314537WCN-GPR119-AR231453-Gs/β1/γ2
38.10Single8IYWGSK2560738IYW-HCA2-GSK256073-Go/β1/γ2
38.10Single8JJLOlodaterol8JJL-β2-Olodaterol
38.10Single8JWZEtrumadenant8JWZ-A2A-Etrumadenant-Na
38.10Single8JZ7MK68928JZ7-HCA2-MK6892-Gi1/β1/γ2
38.10Single8VHFMBX-29828VHF-GPR119-MBX-2982-Gs/β1/γ2
38.10Single9M4QDoxazosin9M4Q-Alpha1A-Doxazosin
38.10Single9WSVDAMGO9WSV-μ-DAMGO-Arrestin2
38.10Single9WSWEndomorphin9WSW-μ-Endomorphin-chim(NtGi1-Gz)/β1/γ2
38.10Single9YDQDADLE9YDQ-δ-DADLE-MIPS3614-chim(NtGi1L-Gs-CtGi1)/β1/γ2
38.10Consensuskop_onOrthosteric Ligand8F7W-κ-Dynorphin-Gi1/β1/γ2 8DZS-κ-GR89,696-chim(NtGi2-Gz)/β1/γ2 8DZP-κ-momSalB-Gi1/β1/γ2
38.10Consensusm4_onOrthosteric Ligand7TRS-M4-Acetylcholine-Gi1/β1/γ2 7V6A-M4-PubChem 9864275-Gi1/β1/γ2 8E9X-M4-2-Deoxycytidine-chim(NtGi1-Go)/β1/γ2 7TRK-M4-Iperoxo-Gi1/β1/γ2
38.10Consensusm4_on_gpOrthosteric Ligand7TRS-M4-Acetylcholine-Gi1/β1/γ2 7V6A-M4-PubChem 9864275-Gi1/β1/γ2 8E9X-M4-2-Deoxycytidine-chim(NtGi1-Go)/β1/γ2 7TRK-M4-Iperoxo-Gi1/β1/γ2
38.10Consensuss1p1_onOrthosteric Ligand7VIE-S1P1-S1P-Gi1/β1/γ2 7VIF-S1P1-FTY720-P-Gi1/β1/γ2 7VIG-S1P1-CBP-307-Gi1/β1/γ2 7EVY-S1P1-Siponimod-Gi1/β1/γ2 7EVZ-S1P1-Cenerimod-Gi1/β1/γ2 7EW0-S1P1-Ozanimod-Gi1/β1/γ2 7EW7-S1P1-SEW2871-Gi1/β1/γ2
38.10Consensuss1p1_on_gpOrthosteric Ligand7VIE-S1P1-S1P-Gi1/β1/γ2 7VIF-S1P1-FTY720-P-Gi1/β1/γ2 7VIG-S1P1-CBP-307-Gi1/β1/γ2 7EVY-S1P1-Siponimod-Gi1/β1/γ2 7EVZ-S1P1-Cenerimod-Gi1/β1/γ2 7EW0-S1P1-Ozanimod-Gi1/β1/γ2 7EW7-S1P1-SEW2871-Gi1/β1/γ2
37.50Single2J4Y11-cis-Retinal2J4Y-Rhodopsin-11-cis-Retinal
37.50Single3C9M11-cis-Retinal3C9M-Rhodopsin-11-cis-Retinal
37.50Single3QAKUK-4320973QAK-A2A-UK-432097
37.50Single6FUFAll-trans-Retinal6FUF-Rhodopsin-All-trans-Retinal-Go
37.50Single6HLOAprepitant6HLO-NK1-Aprepitant
37.50Single7EJKOxymetazoline7EJK-α2a-Oxymetazoline-Go/β1/γ2
37.50Single7F23Dopamine7F23-D1-Dopamine-GDP-Gs/β1/γ2
37.50Single8DPILorcaserin8DPI-5-HT2C-Lorcaserin-chim(NtGi2L-Gs-CtGq)/β1/γ2
37.50Single8F7SDeltorphin8F7S-δ-Deltorphin-Gi1/β1/γ2
37.50Single8ITFDMCHA8ITF-TAA9-DMCHA-chim(NtGi1-Gs)/β1/γ2
37.50Single8POKHistamine8POK-H2-Histamine-Gs/β1/γ2
37.50Single8WC62-Phenylethylamine8WC6-TA1-2-Phenylethylamine-chim(NtGi1-Gs)/β1/γ2
37.50Single8YN9Histamine8YN9-H4-Histamine-Gi1/β1/γ2
37.50Single8YUUHistamine8YUU-H3-Histamine-Gi1/β1/γ1
37.50Single9LL7DOI9LL7-5-HT2A-DOI-Gi1/β1/γ2
37.50Single9LRCHistamine9LRC-H4-Histamine
37.50Single9LREHistamine9LRE-H4-Histamine-Gi1/β1/γ2
37.50Consensusdop_on_gpOrthosteric Ligand8F7S-δ-Deltorphin-Gi1/β1/γ2
37.50Consensush2_on_gpOrthosteric Ligand8POK-H2-Histamine-Gs/β1/γ2
37.50Consensush3_onOrthosteric Ligand8YUU-H3-Histamine-Gi1/β1/γ1
37.50Consensush3_on_gpOrthosteric Ligand8YUU-H3-Histamine-Gi1/β1/γ1
37.50Consensusopsins_on_gpOrthosteric Ligandrhodopsin_on_gp opsin1lw_on_gp
37.50Consensusrhodopsin_onOrthosteric Ligand6OYA-Rhodopsin-All-trans-Retinal-Gt/β1/γ1
37.50Consensussensory_on_gpOrthosteric Ligandopsins_on_gp
36.84Single4EJ4Naltrindole4EJ4-δ-Naltrindole
36.84Single4X1HNonyl-Beta-D-Glucopyranoside4X1H-Rhodopsin-Nonyl-β-D-Glucopyranoside-Gt(CT)
36.84Single6Z10PubChem 1545855546Z10-Succinate-PubChem 154585554
36.84Single7CRHSKF839597CRH-D1-SKF83959-Gs/β1/γ2
36.84Single7LJCSKF812977LJC-D1-SKF81297-Mevidalen-Gs/β1/γ2
36.84Single7T6VfMLFII7T6V-FPR2-ALX-fMLFII-Gi1/β1/γ2
36.84Single7VGZRamelteon7VGZ-MT1-Ramelteon-Gi1/β1/γ2
36.84Single7VIES1P7VIE-S1P1-S1P-Gi1/β1/γ2
36.84Single7VKTLTB47VKT-BLT1-LTB4-Gi1/β1/γ2
36.84Single7X2CFenoldopam7X2C-D1-Fenoldopam-Fenoldopam-Gs/β1/γ2
36.84Single7YACPaltusotine7YAC-SST2-Paltusotine-Gi1/β1/γ2
36.84Single8CICEtrumadenant8CIC-A2A-Etrumadenant-Na
36.84Single8CU7LJ-45178CU7-A2A-LJ-4517-Na
36.84Single8JD0NAM5638JD0-mGlu2; mGlu3-Glutamate-NAM563
36.84Single9D61JDTic9D61-κ-JDTic-Gi1/β1/γ2
36.84Single9EPP11,20-Ethanoretinal9EPP-Rhodopsin-11,20-Ethanoretinal-chim(Gi1-CtGq)/β1/γ2
36.84Single9JGKBalovaptan9JGK-5-HT2B-Balovaptan
36.84Single9KFJPubChem 1383196749KFJ-RXFP3-PubChem 138319674-Gi2/β1/γ2
36.84Single9KUXCMPD6449KUX-Apelin; Apelin-CMPD644-Arrestin2
36.84Single9PXWNaloxone9PXW-μ-Naloxone-GDPβS-Gi1/β1/γ2
36.84Consensusadenosine_on_gpOrthosteric Liganda1_on_gp a2_on_gp a3_on_gp
36.84Consensusalicarboxylic_on_gpOrthosteric Ligandsuccinate_on_gp hca_on_gp
36.84Consensusblt1_onOrthosteric Ligand7VKT-BLT1-LTB4-Gi1/β1/γ2
36.84Consensusblt1_on_gpOrthosteric Ligand7VKT-BLT1-LTB4-Gi1/β1/γ2
36.84Consensusblt_onOrthosteric Ligandblt1_on
36.84Consensusblt_on_gpOrthosteric Ligandblt1_on_gp
36.84Consensusdop_offOrthosteric Ligand4EJ4-δ-Naltrindole
36.84Consensusgi_alicarboxylicOrthosteric Ligandgi_hca gi_succinate
36.84Consensusgi_leukotrieneOrthosteric Ligand7VKT-BLT1-LTB4-Gi1/β1/γ2
36.84Consensusleukotriene_onOrthosteric Ligandblt_on
36.84Consensusleukotriene_on_gpOrthosteric Ligandblt_on_gp
36.36Single4NC3Ergotamine4NC3-5-HT2B-Ergotamine
36.36Single5TUDErgotamine5TUD-5-HT2B-Ergotamine
36.36Single5UNGPubChem 157800525UNG-AT2-PubChem 15780052
36.36Single6BQGErgotamine6BQG-5-HT2C-Ergotamine
36.36Single7EZCUK-4320977EZC-A2A-UK-432097
36.36Single7XK2MK68927XK2-HCA2-MK6892-Gi1/β1/γ2
36.36Single7XZ6APD6687XZ6-GPR119-APD668-Gs/β1/γ2
36.36Single8E0GBU728E0G-μ-BU72
36.36Single8IJDMK68928IJD-HCA2-MK6892-Gi1/β1/γ2
36.36Single8J19LY2378J19-GPR84-LY237-Gi1/β1/γ2
36.36Single8ZWGJR14a8ZWG-C3aB-JR14a-Gi1/β1/γ2
36.36Single9CGJC6-Quino9CGJ-δ-C6-Quino-Gi1/β1/γ2
36.36Single9KT8Acifran9KT8-HCA2-Acifran-Gi1/β1/γ2
36.36Single9KUGEP679KUG-C5a1-EP67-Go/β1/γ2
36.36Single9L79AR2314539L79-GPR119-AR231453-chim(NtGi1-Gs)/β1/γ2
36.36Single9M54Neuropeptide-VF9M54-NPFF2-Neuropeptide-VF-Gi1/β1/γ2
36.36Consensusclass-a_onOrthosteric Ligandsensory_on alicarboxylic_on amine_on lipid_on nucleotide_on peptide_on protein_on
36.36Consensusgi_s1pOrthosteric Ligand7VIE-S1P1-S1P-Gi1/β1/γ2 7EW3-S1P3-S1P-Gi1/β1/γ2 7EVY-S1P1-Siponimod-Gi1/β1/γ2 7EW1-S1P5-Siponimod-Gi1/β1/γ2 7VIF-S1P1-FTY720-P-Gi1/β1/γ2 7VIG-S1P1-CBP-307-Gi1/β1/γ2 7EVZ-S1P1-Cenerimod-Gi1/β1/γ2 7EW4-S1P3-CYM-5541-Gi1/β1/γ2 7EW2-S1P3-FTY720-P-Gi1/β1/γ2 7EW0-S1P1-Ozanimod-Gi1/β1/γ2 7EW7-S1P1-SEW2871-Gi1/β1/γ2
36.00Single7T6TfMLFII7T6T-FPR1-ALX-fMLFII-Gi1/β1/γ2
36.00Single8XIRPasireotide8XIR-SST3-Pasireotide-chim(NtGi1-Gs-CtGi1)/β1/γ2
36.00Single9B54VIP369B54-CB1-VIP36-Gi1/β1/γ2
35.71Single7WVYAmyloid-Beta427WVY-FPR2-ALX-Amyloid-β42-Gi2/β1/γ2
35.71Single8FEG(DNCP)-Beta-Naloxamine8FEG-κ-(DNCP)-β-Naloxamine-Gi1/β1/γ2
35.71Single9KDFRES-701-39KDF-ETB-RES-701-3
35.29Single3AYMAll-trans-Retinal3AYM-Rhodopsin-All-trans-Retinal
35.29Single3PBLEticlopride3PBL-D3-Eticlopride
35.29Single5TE520-Methanoretinal5TE5-Rhodopsin-20-Methanoretinal
35.29Single6I9K9-cis-Retinal6I9K-Rhodopsin-9-cis-Retinal
35.29Single7E2YSerotonin7E2Y-5-HT1A-Serotonin-PtdIns4P-Gi1/β1/γ2
35.29Single7V68Iperoxo7V68-M4-Iperoxo-LY2119620-Gi1/β1/γ2
35.29Single7XT9Serotonin7XT9-5-HT4-Serotonin-Gs/β1/γ2
35.29Single7XTBSerotonin7XTB-5-HT6-Serotonin-Gs/β1/γ2
35.29Single8H2GNiacin8H2G-HCA2-Niacin-Gi1/β1/γ2
35.29Single8JLOUlotaront8JLO-TA1-Ulotaront-Gs/β1/γ2
35.29Single8K5BNiacin8K5B-HCA2-Niacin
35.29Single8UO3Constrained Epinephrine8UO3-β2-Constrained Epinephrine-GTP; Mg-Gs/β1/γ2
35.29Single8YN4Histamine8YN4-H2-Histamine-chim(NtGi1L-Gs-CtGq)/β1/γ2
35.29Single9AS7Psilocin9AS7-5-HT2A-Psilocin
35.29Single9IXJHistamine9IXJ-H2-Histamine-Gs/β1/γ2
35.29Single9JEDHistamine9JED-H4-Histamine-PO4-Gi1/β1/γ2
35.29Single9JEQHistamine9JEQ-H3-Histamine-Gi1/β1/γ2
35.29Consensusd3_offOrthosteric Ligand3PBL-D3-Eticlopride
35.29Consensush4_onOrthosteric Ligand8HN8-H4-Histamine-Gi1/β1/γ2 8HOC-H4-Imetit-Gi1/β1/γ2 8JXV-H4-Clozapine-Gi1/β1/γ2 8JXW-H4-VUF6884-Gi1/β1/γ2 8JXX-H4-Clobenpropit-Gi1/β1/γ2
35.00Single4ZJ8Suvorexant4ZJ8-OX1-Suvorexant
35.00Single5WQCEMPA5WQC-OX2-EMPA
35.00Single6GDGNECA6GDG-A2A-NECA-Gs/β1/γ1
35.00Single6ME62-Phenylmelatonin6ME6-MT2-2-Phenylmelatonin
35.00Single6TP6Filorexant6TP6-OX1-Filorexant
35.00Single7CKXA776367CKX-D1-A77636-Gs/β1/γ2
35.00Single7EO2FTY720-P7EO2-S1P1-FTY720-P-Gi1/β1/γ2
35.00Single7EUOfMLF7EUO-FPR1-ALX-fMLF-Gi1/β1/γ2
35.00Single7LD3Adenosine7LD3-A1-Adenosine-MIPS521-Gi2/β1/γ2
35.00Single7VOEAripiprazole7VOE-5-HT2A-Aripiprazole
35.00Single8HNLPS3724248HNL-CXCR3-PS372424-Gi1/β1/γ2
35.00Single8I7WGSK2560738I7W-HCA2-GSK256073-Gi1/β1/γ2
35.00Single8J6JGSK2560738J6J-HCA2-GSK256073-Gi1/β1/γ2
35.00Single8XYKVUF106618XYK-CXCR3-VUF10661-Go/β1/γ2
35.00Single8YICSAR2477998YIC-S1P1-SAR247799-Gi1/β1/γ2
35.00Single8YNSSNAP-948478YNS-MCH1-SNAP-94847
35.00Single8ZRKGSK12922638ZRK-GPR119-GSK1292263-Gs/β1/γ2
35.00Single9AXFCa; Ca; Ca; Cyclomethyltryptophan; R-568; PO49AXF-CaS; CaS-Ca-Ca; Ca; Ca; Cyclomethyltryptophan; R-568; PO4-chim(NtGi1-Gs-CtGq)/β1/γ2
35.00Single9IYBPGD29IYB-DP2-PGD2-A1D5Q-Gi1/β1/γ2
35.00Single9JKSPubChem 442501769JKS-HCA3-PubChem 44250176-Gi1/β1/γ2
35.00Single9KUVCMPD6449KUV-Apelin-CMPD644-Arrestin2
35.00Single9M8POleic monoethanolamide9M8P-GPR3 ; GPR3-Oleic monoethanolamide-AF64394
35.00Consensusa3_on_gpOrthosteric Liganda3a_on_gp
35.00Consensusa3a_onOrthosteric Ligand8X17-A3A-Namodenoson-Gi1/β1/γ2 8X16-A3A-Piclidenoson-Gi1/β1/γ2
35.00Consensusa3a_on_gpOrthosteric Ligand8X17-A3A-Namodenoson-Gi1/β1/γ2 8X16-A3A-Piclidenoson-Gi1/β1/γ2
35.00Consensuss1p_offOrthosteric Ligands1p1_off s1p5_off
34.78Single6PT3DPI-2876PT3-δ-DPI-287
34.78Single7XY6BAY 60-65837XY6-A2B-BAY 60-6583-chim(NtGi1-Gs)/β1/γ2
34.78Single8F7REndomorphin8F7R-μ-Endomorphin-Gi1/β1/γ2
34.78Single9CGKC5-Quino9CGK-δ-C5-Quino-Gi1/β1/γ2
34.78Single9M0RNeuropeptide-VF9M0R-NPFF1-Neuropeptide-VF-Gi1/β1/γ2
34.78Consensusdop_onOrthosteric Ligand8F7S-δ-Deltorphin-Gi1/β1/γ2
34.78Consensuss1p_onOrthosteric Ligands1p1_on s1p3_on s1p5_on
34.78Consensuss1p_on_gpOrthosteric Ligands1p1_on_gp s1p3_on_gp s1p5_on_gp
34.62Single8IHFMK68928IHF-HCA2-MK6892-Gi1/β1/γ2
34.62Single8J6IMK68928J6I-HCA2-MK6892-Gi1/β1/γ2
33.33Single2Z7311-cis-Retinal2Z73-Rhodopsin-11-cis-Retinal
33.33Single3AYN9-cis-Retinal3AYN-Rhodopsin-9-cis-Retinal
33.33Single3V2WPubChem 518926453V2W-S1P1-PubChem 51892645
33.33Single4IAQDihydroergotamine4IAQ-5-HT1B-Dihydroergotamine
33.33Single4Z34ONO-97803074Z34-LPA1-ONO-9780307
33.33Single6AKXA4R6AKX-CCR5-A4R
33.33Single6AKYMaraviroc6AKY-CCR5-Maraviroc
33.33Single6B73MP11046B73-κ-MP1104
33.33Single6E59L-7607356E59-NK1-L-760735
33.33Single6KO5PubChem 574000026KO5-Ghrelin-PubChem 57400002
33.33Single6OYAAll-trans-Retinal6OYA-Rhodopsin-All-trans-Retinal-Gt/β1/γ1
33.33Single7EJ0Norepinephrine7EJ0-α2a-Norepinephrine-Go/β1/γ2
33.33Single7EW1Siponimod7EW1-S1P5-Siponimod-Gi1/β1/γ2
33.33Single7F1ODopamine7F1O-D1-Dopamine-GDP; Mg-Gs/β1/γ2
33.33Single7JV5SKF812977JV5-D1-SKF81297-Gs/β1/γ2
33.33Single7M8W15r-Methyl-PGD27M8W-DP2-15r-Methyl-PGD2-Na
33.33Single7T6STC-FPR 437T6S-FPR2-ALX-TC-FPR 43-Gi1/β1/γ2
33.33Single7TD4Siponimod7TD4-S1P1-Siponimod-Gi1/β1/γ2
33.33Single7VIHCBP-3077VIH-S1P1-CBP-307-Gi1/β1/γ2
33.33Single7W0PElabela7W0P-Apelin-Elabela-Gi1/β1/γ2
33.33Single7WF7S1P7WF7-S1P1-S1P-Gi1/β1/γ2
33.33Single7WKDTRH7WKD-TRH-TRH-chim(NtGi1-Gs-CtGq)/β1/γ2
33.33Single8EFOPZM218EFO-μ-PZM21-Gi1/β1/γ2
33.33Single8F7XNociceptin8F7X-NOP-Nociceptin-Gi1/β1/γ2
33.33Single8HDPAdenosine8HDP-A2B-Adenosine-Gs/β1/γ2
33.33Single8IHBGSK2560738IHB-HCA2-GSK256073-Gi1/β1/γ2
33.33Single8IJANiacin8IJA-HCA2-Niacin-Gi1/β1/γ2
33.33Single8UGWCGS216808UGW-A2A-CGS21680
33.33Single8VVEnorBNI8VVE-κ-norBNI-Gi1/β1/γ2
33.33Single8WOGSuccinic acid8WOG-Succinate-Succinic acid-Gi1/β1/γ2
33.33Single8X16Piclidenoson8X16-A3A-Piclidenoson-Gi1/β1/γ2
33.33Single8XXVIndomethacin8XXV-DP2-Indomethacin-A1D5Q-Gi1/β1/γ2
33.33Single8XZICMF-0198XZI-Apelin; Apelin-CMF-019-Gi1/β1/γ2
33.33Single8YH6Namodenoson8YH6-A3A-Namodenoson-Gi1/β1/γ2
33.33Single8YKXMaleic acid8YKX-Succinate-Maleic acid-Gi1/β1/γ1
33.33Single8Z87CHBA8Z87-HCA1-CHBA-Gi1/β1/γ2
33.33Single8ZR5Firuglipel8ZR5-GPR119-Firuglipel-Gs/β1/γ2
33.33Single9EBHAdenosine9EBH-A3A-Adenosine-Gi1/β1/γ2
33.33Single9EEAAdenosine9EEA-A2A-Adenosine-Gs/β1/γ2
33.33Single9KVPSB2901579KVP-C3aB-SB290157-Go/β1/γ2
33.33Single9LLBDOI-NBOMe9LLB-5-HT2A-DOI-NBOMe-chim(NtGi1L-Gs-CtGq)/β1/γ2
33.33Single9PXUNaloxone9PXU-μ-Naloxone-Na
33.33Consensusa2_onOrthosteric Liganda2b_on
33.33Consensusa2_on_gpOrthosteric Liganda2b_on_gp
33.33Consensusa2b_onOrthosteric Ligand8HDP-A2B-Adenosine-Gs/β1/γ2 7XY6-A2B-BAY 60-6583-chim(NtGi1-Gs)/β1/γ2 7XY7-A2B-NECA-chim(NtGi1-Gs)/β1/γ2 8HDO-A2B-BAY 60-6583-Gs/β1/γ2
33.33Consensusa2b_on_gpOrthosteric Ligand8HDP-A2B-Adenosine-Gs/β1/γ2 7XY6-A2B-BAY 60-6583-chim(NtGi1-Gs)/β1/γ2 7XY7-A2B-NECA-chim(NtGi1-Gs)/β1/γ2 8HDO-A2B-BAY 60-6583-Gs/β1/γ2
33.33Consensusangiotensin_offOrthosteric Ligandat1_off
33.33Consensusclass-a_on_gpOrthosteric Ligandsensory_on_gp alicarboxylic_on_gp amine_on_gp lipid_on_gp nucleotide_on_gp peptide_on_gp protein_on_gp
33.33Consensusgi_succinateOrthosteric Ligand8YKW-Succinate-Succinic acid-Gi1/β1/γ1 8YKX-Succinate-Maleic acid-Gi1/β1/γ1
33.33Consensusgs_adenosineOrthosteric Ligand8HDP-A2B-Adenosine-Gs/β1/γ2 8HDO-A2B-BAY 60-6583-Gs/β1/γ2 7XY7-A2B-NECA-chim(NtGi1-Gs)/β1/γ2 7XY6-A2B-BAY 60-6583-chim(NtGi1-Gs)/β1/γ2
33.33Consensusgs_nucleotideOrthosteric Ligandgs_adenosine
33.33Consensuslpl_onOrthosteric Ligands1p_on lpa_on
33.33Consensuslpl_on_gpOrthosteric Ligands1p_on_gp lpa_on_gp
33.33Consensusrhodopsin_on_gpOrthosteric Ligand6OYA-Rhodopsin-All-trans-Retinal-Gt/β1/γ1
33.33Consensuss1p1_offOrthosteric Ligand3V2W-S1P1-PubChem 51892645
33.33Consensuss1p5_onOrthosteric Ligand7EW1-S1P5-Siponimod-Gi1/β1/γ2
33.33Consensuss1p5_on_gpOrthosteric Ligand7EW1-S1P5-Siponimod-Gi1/β1/γ2
33.33Consensussuccinate_onOrthosteric Ligand8YKW-Succinate-Succinic acid-Gi1/β1/γ1 8YKX-Succinate-Maleic acid-Gi1/β1/γ1
33.33Consensussuccinate_on_gpOrthosteric Ligand8YKW-Succinate-Succinic acid-Gi1/β1/γ1 8YKX-Succinate-Maleic acid-Gi1/β1/γ1
32.00Single7DDZJNJ-310200287DDZ-Y2-JNJ-31020028
32.00Consensusccr8_on_gpOrthosteric Ligand8KFX-CCR8-LMD-009-Gi1/β1/γ2 8KFY-CCR8-ZK-756326-Gi1/β1/γ2 8U1U-CCR8-CCL1-Gi1/β1/γ2
32.00Consensusgq_class-aOrthosteric Ligandgq_peptide gq_amine gq_nucleotide
32.00Consensusnpy2_offOrthosteric Ligand7DDZ-Y2-JNJ-31020028
32.00Consensussst4_onOrthosteric Ligand7XMS-SST4-Somatostatin-14-Gi1/β1/γ2 7XMT-SST4-J-2156-Gi1/β1/γ2
32.00Consensussst4_on_gpOrthosteric Ligand7XMS-SST4-Somatostatin-14-Gi1/β1/γ2 7XMT-SST4-J-2156-Gi1/β1/γ2
31.82Single4RWADIPP-NH24RWA-δ-DIPP-NH2
31.82Single7EVYSiponimod7EVY-S1P1-Siponimod-Gi1/β1/γ2
31.82Single7K15MKD0467K15-BLT1-MKD046-Na
31.82Single7L1VPubChem 1554910097L1V-OX2-PubChem 155491009-chim(NtGi1-Gs-CtGq)/β1/γ2
31.82Single7W0LPubChem 1227019087W0L-Apelin; Apelin-PubChem 122701908-Gi1/β1/γ2
31.82Single7WCMMBX-29827WCM-GPR119-MBX-2982-Gs/β1/γ2
31.82Single8IA8E7 peptide8IA8-C3aB-E7 peptide-Gi1/β1/γ2
31.82Single8JWY2-1188JWY-A2A-2-118
31.82Single8W1VPubChem 1717162658W1V-β2-PubChem 171716265
31.82Single8XYIVUF106618XYI-CXCR3-VUF10661
31.82Single9M8POleic monoethanolamide9M8P-GPR3 ; GPR3-Oleic monoethanolamide-AF64394
31.82Consensusleukotriene_offOrthosteric Ligandblt_off cyslt_off
31.58Single3V2YPubChem 518926453V2Y-S1P1-PubChem 51892645
31.58Single4DKLBeta-Funaltrexamine4DKL-μ-β-Funaltrexamine
31.58Single4MBSMaraviroc4MBS-CCR5-Maraviroc
31.58Single4N6HNaltrindole4N6H-δ-Naltrindole-Na
31.58Single4ZJCSB-6740424ZJC-OX1-SB-674042
31.58Single4ZUDOlmesartan4ZUD-AT1-Olmesartan
31.58Single6ME32-Phenylmelatonin6ME3-MT1-2-Phenylmelatonin
31.58Single6PS82-Phenylmelatonin6PS8-MT1-2-Phenylmelatonin
31.58Single6TP3Nemorexant6TP3-OX1-Nemorexant
31.58Single6TPNHTL66416TPN-OX2-HTL6641
31.58Single7CKWFenoldopam7CKW-D1-Fenoldopam-Gs/β1/γ2
31.58Single7F61PF-036547467F61-H3-PF-03654746
31.58Single7T32ZM-2413857T32-A2A-ZM-241385
31.58Single7VODCariprazine7VOD-5-HT2A-Cariprazine
31.58Single7VUGJNJ-635330547VUG-GPR139-JNJ-63533054-Gi1/β1/γ2
31.58Single7WC9PubChem 1624213647WC9-5-HT2A-PubChem 162421364
31.58Single8IHKAcifran8IHK-HCA3-Acifran
31.58Single8IY9Niacin8IY9-HCA2-Niacin-Go/β1/γ2
31.58Single8JIMMonomethyl fumarate8JIM-HCA2-Monomethyl fumarate-Gi1/β1/γ2
31.58Single8K5CAcipimox8K5C-HCA2-Acipimox
31.58Single8RLNLUF58348RLN-A2A-LUF5834
31.58Single8Y45ADL58598Y45-δ-ADL5859-Gi2/β1/γ2
31.58Single8Y6YGLPG09748Y6Y-FFA2-GLPG0974
31.58Single8ZBWQuin-C18ZBW-FPR2-ALX-Quin-C1-Gi2/β1/γ2
31.58Single9ARXSerotonin9ARX-5-HT2A-Serotonin
31.58Single9JH3CMF-0199JH3-Apelin; Apelin-CMF-019-Gi1/β1/γ2
31.58Single9KUWCMPD6449KUW-Apelin; Apelin-CMPD644-Arrestin2 ; Arrestin2
31.58Single9PXXNaloxone9PXX-μ-Naloxone-GDPβS-Gi1/β1/γ2
31.58Consensusadenosine_onOrthosteric Liganda1_on a2_on a3_on
31.58Consensusat1_offOrthosteric Ligand4YAY-AT1-ZD-7155 4ZUD-AT1-Olmesartan
31.58Consensusgi_adenosineOrthosteric Ligand7LD4-A1-Adenosine-Gi2/β1/γ2 8X17-A3A-Namodenoson-Gi1/β1/γ2 8X16-A3A-Piclidenoson-Gi1/β1/γ2
31.58Consensushca_onOrthosteric Ligandhca2_on
31.25Single2HPYAll-trans-Retinal2HPY-Rhodopsin-All-trans-Retinal
31.25Single8IWM2-Phenylethylamine8IWM-TAA9-2-Phenylethylamine
31.25Single9EE9Adenosine9EE9-A2A-Adenosine-Gs/β1/γ2
31.25Consensusgs_histamineOrthosteric Ligand8POK-H2-Histamine-Gs/β1/γ2
31.25Consensush2_onOrthosteric Ligand8POK-H2-Histamine-Gs/β1/γ2
31.25Consensusopsins_onOrthosteric Ligandrhodopsin_on opsin1lw_on
31.25Consensussensory_onOrthosteric Ligandopsins_on
31.03Single8ZH8QRFP268ZH8-QRFP-QRFP26-Gq/β1/γ1
30.77Single7TD0LPA7TD0-LPA1-LPA-Gi1/β1/γ2
30.77Single7TD2LPA7TD2-LPA1-LPA-Gi1/β1/γ2
30.77Single8XGUTAK4488XGU-Kiss1-TAK448-Gi1/β1/γ2
30.77Single9MEUCXCL129MEU-CXCR4-CXCL12
30.77Consensusangiotensin_onOrthosteric Ligandat1_on
30.77Consensusat1_onOrthosteric Ligand7F6G-AT1-(Sar1)-Angiotensin II-Gq/β1/γ2
30.77Consensusgs_cckOrthosteric Ligand7MBX-CCKA-Cholecystokinin-8-Gs/β1/γ1
30.77Consensusgs_class-aOrthosteric Ligandgs_peptide gs_nucleotide gs_amine
30.43Single4Z35ONO-99105394Z35-LPA1-ONO-9910539
30.43Single7EVZCenerimod7EVZ-S1P1-Cenerimod-Gi1/β1/γ2
30.43Single7EW0Ozanimod7EW0-S1P1-Ozanimod-Gi1/β1/γ2
30.43Single7MTSADX551647MTS-mGlu2; mGlu2-Glutamate-ADX55164-Gi1/β1/γ2
30.43Single7WVVfMLFII7WVV-FPR2-ALX-fMLFII-Gi2/β1/γ2
30.43Single7X1UTRH7X1U-TRH-TRH-chim(NtGi2L-Gs-CtGq)/β1/γ2
30.43Single8I95EP548I95-C3aB-EP54-Go/β1/γ2
30.43Single8T3OTUG-8918T3O-FFA4-TUG-891-chim(NtGi2L-Gs-CtGq)/β1/γ2
30.43Single8XGSKisspeptin-18XGS-Kiss1-Kisspeptin-1-chim(NtGi1-Gq)/β1/γ2
30.43Consensusnucleotide_on_gpOrthosteric Ligandadenosine_on_gp p2y_on_gp
30.43Consensusorexin_on_gpOrthosteric Ligandox2_on_gp
30.43Consensuspeptide_offOrthosteric Ligandcck_off angiotensin_off bombesin_off endothelin_off ghrelin_off npy_off opioid_off orexin_off somatostatin_off tachykinin_off vasop-oxy_off neurotensin_off
30.43Consensusprostanoid_offOrthosteric Ligandep_off dp_off
30.00Single4YAYZD-71554YAY-AT1-ZD-7155
30.00Single6TOTLemborexant6TOT-OX1-Lemborexant
30.00Single7DB6Ramelteon7DB6-MT1-Ramelteon-Gi1/β1/γ2
30.00Single7JOZPubChem 752020227JOZ-D1-PubChem 75202022-Gs/β1/γ2
30.00Single7M3JNPS-2143; PO47M3J-CaS; CaS-NPS-2143; PO4
30.00Single7SQOTAK-9257SQO-OX2-TAK-925-Gi1/β1/γ2
30.00Single7VH0Ramelteon7VH0-MT2-Ramelteon-Gi1/β1/γ1
30.00Single7WC8Lumateperone7WC8-5-HT2A-Lumateperone
30.00Single8CU6LJ-45178CU6-A2A-LJ-4517
30.00Single8EFQDAMGO8EFQ-μ-DAMGO-Gi1/β1/γ2
30.00Single8I7VAcipimox8I7V-HCA2-Acipimox-Gi1/β1/γ2
30.00Single8IHJAcifran8IHJ-HCA3-Acifran-Gi1/β1/γ2
30.00Single8J6PNiacin8J6P-HCA2-Niacin-PubChem 25101223-Gi1/β1/γ2
30.00Single8JHNMonomethyl fumarate8JHN-HCA2-Monomethyl fumarate-Go/β1/γ2
30.00Single8JIINiacin8JII-HCA2-Niacin-PubChem 25101223-Gi1/β1/γ2
30.00Single8JLZST19368JLZ-5-HT6-ST1936-Gs/β1/γ2
30.00Single8K5DGSK2560738K5D-HCA2-GSK256073
30.00Single8KFYZK-7563268KFY-CCR8-ZK-756326-Gi1/β1/γ2
30.00Single8X17Namodenoson8X17-A3A-Namodenoson-Gi1/β1/γ2
30.00Single8Y52BA18Y52-BB3-BA1-chim(NtGi1-Gs-CtGq)/β1/γ2
30.00Single9H37PubChem 1756706469H37-A2A-PubChem 175670646-Na
30.00Consensus5ht6_onOrthosteric Ligand7XTB-5-HT6-Serotonin-Gs/β1/γ2 8JLZ-5-HT6-ST1936-Gs/β1/γ2
30.00Consensus5ht6_on_gpOrthosteric Ligand7XTB-5-HT6-Serotonin-Gs/β1/γ2 8JLZ-5-HT6-ST1936-Gs/β1/γ2
30.00Consensusa3_onOrthosteric Liganda3a_on
30.00Consensusalicarboxylic_offOrthosteric Ligandsuccinate_off
30.00Consensusgi_hcaOrthosteric Ligand8J6R-HCA2-MK6892-Gi1/β1/γ2 8JIM-HCA2-Monomethyl fumarate-Gi1/β1/γ2 8IHI-HCA2-Acifran-Gi1/β1/γ2 8IHH-HCA2-LUF6283-Gi1/β1/γ2 8I7V-HCA2-Acipimox-Gi1/β1/γ2 8I7W-HCA2-GSK256073-Gi1/β1/γ2
30.00Consensusgi_orexinOrthosteric Ligand7SQO-OX2-TAK-925-Gi1/β1/γ2
30.00Consensushca2_onOrthosteric Ligand8J6R-HCA2-MK6892-Gi1/β1/γ2 8JIM-HCA2-Monomethyl fumarate-Gi1/β1/γ2 8I7V-HCA2-Acipimox-Gi1/β1/γ2 8I7W-HCA2-GSK256073-Gi1/β1/γ2 8IHH-HCA2-LUF6283-Gi1/β1/γ2 8IHI-HCA2-Acifran-Gi1/β1/γ2
30.00Consensushca2_on_gpOrthosteric Ligand8J6R-HCA2-MK6892-Gi1/β1/γ2 8IHI-HCA2-Acifran-Gi1/β1/γ2 8IHH-HCA2-LUF6283-Gi1/β1/γ2 8I7V-HCA2-Acipimox-Gi1/β1/γ2 8JIM-HCA2-Monomethyl fumarate-Gi1/β1/γ2 8I7W-HCA2-GSK256073-Gi1/β1/γ2
30.00Consensushca_on_gpOrthosteric Ligandhca2_on_gp
30.00Consensussuccinate_offOrthosteric Ligand6RNK-Succinate-NF-56-EJ40 6Z10-Succinate-PubChem 154585554
29.63Single7F6G(Sar1)-Angiotensin II7F6G-AT1-(Sar1)-Angiotensin II-Gq/β1/γ2
29.63Single8XWQEndothelin-18XWQ-ETB-Endothelin-1-Gi1/β1/γ2
29.63Consensusangiotensin_on_gpOrthosteric Ligandat1_on_gp
29.63Consensusat1_on_gpOrthosteric Ligand7F6G-AT1-(Sar1)-Angiotensin II-Gq/β1/γ2
29.63Consensuscxcr3_on_gpOrthosteric Ligand8HNK-CXCR3-CXCL11-Gi1/β1/γ2 8HNL-CXCR3-PS372424-Gi1/β1/γ2
29.63Consensusfpr2-alx_on_gpOrthosteric Ligand7WVX-FPR2-ALX-Humanin-Gi2/β1/γ2 7T6U-FPR2-ALX-CGEN-855A-Gi1/β1/γ2 7T6V-FPR2-ALX-fMLFII-Gi1/β1/γ2 7WVY-FPR2-ALX-Amyloid-β42-Gi2/β1/γ2 7T6S-FPR2-ALX-TC-FPR 43-Gi1/β1/γ2 6OMM-FPR2-ALX-WKYMVX-Gi1/β1/γ2
29.63Consensusgi_class-aOrthosteric Ligandgi_peptide gi_sensory gi_alicarboxylic gi_amine gi_lipid gi_nucleotide gi_protein
29.63Consensusgq_angiotensinOrthosteric Ligand7F6G-AT1-(Sar1)-Angiotensin II-Gq/β1/γ2
29.41Single2ZIY11-cis-Retinal2ZIY-Rhodopsin-11-cis-Retinal
29.41Single3PQRAll-trans-Retinal3PQR-Rhodopsin-All-trans-Retinal-Gt(CT)
29.41Single3UZAGTPL92363UZA-A2A-GTPL9236
29.41Single8GGEConstrained Epinephrine8GGE-β2-Constrained Epinephrine-GTP-Gs/β1/γ2
29.41Single8GGFConstrained Epinephrine8GGF-β2-Constrained Epinephrine-GTP-Gs/β1/γ2
29.41Single8GH1Constrained Epinephrine8GH1-β2-Constrained Epinephrine
29.41Single8IU2All-trans-Retinal8IU2-Opsin1LW-All-trans-Retinal-Gi1/β1/γ2
29.41Single8IW72-Phenylethylamine8IW7-TAA9-2-Phenylethylamine-chim(NtGi1-Gs)/β1/γ2
29.41Single8J6QBeta-Hydroxybutyrate8J6Q-HCA2-β-Hydroxybutyrate-PubChem 25101223-Gi1/β1/γ2
29.41Single8JXTHistamine8JXT-H4-Histamine-PO4-Gi1/β1/γ2
29.41Single9JG1Adriforant9JG1-H4-Adriforant
29.41Single9KT93,5-DHBA9KT9-HCA1-3,5-DHBA-Gi1/β1/γ2
29.41Consensus5ht2_onOrthosteric Ligand5ht2b_on
29.41Consensus5ht2b_onOrthosteric Ligand7SRR-5-HT2B-LSD-chim(NtGi2L-Gs-CtGq)/β1/γ2
29.41Consensusgi_opsinsOrthosteric Ligand8IU2-Opsin1LW-All-trans-Retinal-Gi1/β1/γ2
29.41Consensusgi_sensoryOrthosteric Ligandgi_opsins
29.41Consensusopsin1lw_onOrthosteric Ligand8IU2-Opsin1LW-All-trans-Retinal-Gi1/β1/γ2
29.41Consensusopsin1lw_on_gpOrthosteric Ligand8IU2-Opsin1LW-All-trans-Retinal-Gi1/β1/γ2
29.17Single5WF6UK-4320975WF6-A2A-UK-432097
29.17Single5ZTYAM102575ZTY-CB2-AM10257
29.17Single7F8WGastrin-177F8W-CCKB-Gastrin-17-chim(NtGsL-Gq)/β1/γ2
29.17Single7YJ4INSL57YJ4-RXFP4-INSL5-Gi2/β1/γ2
29.17Single9IPVJR14a9IPV-C3aB-JR14a-Gi1/β1/γ2
29.17Single9JF4PD1683689JF4-BB1-PD168368
29.17Single9KZ2EP679KZ2-C3aB-EP67-Go/β1/γ2
29.17Single9UMJEP549UMJ-C3aB-EP54-Go/β1/γ2
29.17Single9WSXEndomorphin9WSX-μ-Endomorphin-Arrestin2
29.17Consensuscb2_offOrthosteric Ligand5ZTY-CB2-AM10257
29.17Consensuscxcr3_onOrthosteric Ligand8HNK-CXCR3-CXCL11-Gi1/β1/γ2 8HNL-CXCR3-PS372424-Gi1/β1/γ2
29.17Consensusox2_onOrthosteric Ligand7L1V-OX2-PubChem 155491009-chim(NtGi1-Gs-CtGq)/β1/γ2 7SQO-OX2-TAK-925-Gi1/β1/γ2 7L1U-OX2-Orexin-chim(NtGi1-Gs-CtGq)/β1/γ2
29.17Consensusox2_on_gpOrthosteric Ligand7L1V-OX2-PubChem 155491009-chim(NtGi1-Gs-CtGq)/β1/γ2 7SQO-OX2-TAK-925-Gi1/β1/γ2 7L1U-OX2-Orexin-chim(NtGi1-Gs-CtGq)/β1/γ2
28.57Single4RWDDIPP-NH24RWD-δ-DIPP-NH2-Na
28.57Single5CGCHTL142425CGC-mGlu5-HTL14242
28.57Single5NM2ZM-2413855NM2-A2A-ZM-241385-Na
28.57Single5XPRBosentan5XPR-ETB-Bosentan
28.57Single6D26Fevipiprant6D26-DP2-Fevipiprant
28.57Single6HLPNetupitant6HLP-NK1-Netupitant
28.57Single6TO7Suvorexant6TO7-OX1-Suvorexant-Na
28.57Single7BB7AVP7BB7-V2-AVP-Gs/β1/γ2
28.57Single7CFNINT-7777CFN-GPBA-INT-777-Gs/β1/γ2
28.57Single7M3JNPS-2143; PO47M3J-CaS; CaS-NPS-2143; PO4
28.57Single7SINNPS-21437SIN-CaS; CaS-NPS-2143
28.57Single7SINNPS-21437SIN-CaS; CaS-NPS-2143
28.57Single7VUHJNJ-635330547VUH-GPR139-JNJ-63533054-chim(Gs-CtGq)/β1/γ2
28.57Single7W41PD1762527W41-BB2-PD176252
28.57Single8KFXLMD-0098KFX-CCR8-LMD-009-Gi1/β1/γ2
28.57Single8S4DCMF-0198S4D-Apelin-CMF-019
28.57Single8TH4Losartan8TH4-AT1-Losartan-AT118-L Nanobody
28.57Single8UUJFCH-22964138UUJ-HCA2-FCH-2296413-Gi1/β1/γ2
28.57Single8WGBVU01550418WGB-mGlu4; mGlu2-Glutamate-VU0155041-Gi3/β1/γ2
28.57Single8XGOTAK4488XGO-Kiss1-TAK448-chim(NtGi1-Gq)/β1/γ2
28.57Single8ZPSPrRP208ZPS-PrRP-PrRP20-chim(NtGi1-Gs-CtGi1)/β1/γ2
28.57Single8ZPTPrRP208ZPT-PrRP-PrRP20-chim(NtGi1-Gs-CtGq)/β1/γ2
28.57Single9AVLCa; Ca; Cyclomethyltryptophan; R-568; PO49AVL-CaS; CaS-Ca-Ca; Ca; Cyclomethyltryptophan; R-568; PO4-Gi3/β2/γ2
28.57Single9CIBFCH-22964139CIB-HCA2-FCH-2296413
28.57Single9EAHOlmesartan9EAH-AT1-Olmesartan-Nanobody AT209
28.57Single9KUTJR14a9KUT-C3aB-JR14a-Go/β1/γ2
28.57Consensusadenosine_offOrthosteric Liganda1_off a2_off
28.57Consensusbb2_offOrthosteric Ligand7W41-BB2-PD176252
28.57Consensusblt1_offOrthosteric Ligand5X33-BLT1-BIIL260 7K15-BLT1-MKD046-Na
28.57Consensusblt_offOrthosteric Ligandblt1_off
28.57Consensusbombesin_offOrthosteric Ligandbb2_off
28.57Consensusdp2_offOrthosteric Ligand6D26-DP2-Fevipiprant
28.57Consensusdp_offOrthosteric Liganddp2_off
28.57Consensusnucleotide_onOrthosteric Ligandadenosine_on p2y_on
28.00Single7F8XNN90567F8X-CCKA-NN9056
28.00Single7T6UCGEN-855A7T6U-FPR2-ALX-CGEN-855A-Gi1/β1/γ2
28.00Single8J6RMK68928J6R-HCA2-MK6892-Gi1/β1/γ2
28.00Single9UYJChemerin-99UYJ-CML2-Chemerin-9-Arrestin2
28.00Consensusgi_nucleotideOrthosteric Ligandgi_adenosine gi_p2y
28.00Consensusnop_onOrthosteric Ligand8F7X-NOP-Nociceptin-Gi1/β1/γ2
28.00Consensusnop_on_gpOrthosteric Ligand8F7X-NOP-Nociceptin-Gi1/β1/γ2
27.78Single7DD5Ca; Ca; Tryptophan; NPS-21437DD5-CaS; CaS-Ca-Ca; Ca; Tryptophan; NPS-2143
27.78Single7DD7Ca; Ca; Tryptophan; Evocalcet7DD7-CaS; CaS-Ca-Ca; Ca; Tryptophan; Evocalcet
27.78Single7XTASerotonin7XTA-5-HT4-Serotonin-Gi1/β1/γ2
27.78Single8EF6Morphine8EF6-μ-Morphine-Gi1/β1/γ2
27.78Single8JPNCis-Epoxysuccinic acid8JPN-Succinate-Cis-Epoxysuccinic acid-Gi1/β1/γ1
27.78Single8WP1Cis-Epoxysuccinic acid8WP1-Succinate-Cis-Epoxysuccinic acid-Gi1/β1/γ2
27.78Single8YH3N-methyladenosine8YH3-A3A-N-methyladenosine-Gi1/β1/γ2
27.78Single8YKWSuccinic acid8YKW-Succinate-Succinic acid-Gi1/β1/γ1
27.78Single9IQTNiacin9IQT-HCA2-Niacin-Gi1/β1/γ2
27.78Single9KUWCMPD6449KUW-Apelin; Apelin-CMPD644-Arrestin2 ; Arrestin2
27.78Consensus5ht4_onOrthosteric Ligand7XTA-5-HT4-Serotonin-Gi1/β1/γ2
27.78Consensus5ht4_on_gpOrthosteric Ligand7XTA-5-HT4-Serotonin-Gi1/β1/γ2
27.59Single7F8VGastrin-177F8V-CCKB-Gastrin-17-Gi2/β1/γ2
27.59Single7W3ZGastrin Releasing Peptide7W3Z-BB2-Gastrin Releasing Peptide-chim(NtGi1L-Gq)/β1/γ2
27.59Single7YKDChemerin-97YKD-CML1-Chemerin-9-Gi1/β1/γ2
27.27Single7EW4CYM-55417EW4-S1P3-CYM-5541-Gi1/β1/γ2
27.27Single7TUYGSK682753A7TUY-GPR183-GSK682753A
27.27Single7WVXHumanin7WVX-FPR2-ALX-Humanin-Gi2/β1/γ2
27.27Single7XTQR3997XTQ-GPBA-R399-Gs/β1/γ2
27.27Single8HDOBAY 60-65838HDO-A2B-BAY 60-6583-Gs/β1/γ2
27.27Single8ID39-Hydroxystearic acid8ID3-FFA4-9-Hydroxystearic acid-Gi1/β1/γ2
27.27Single8IHHLUF62838IHH-HCA2-LUF6283-Gi1/β1/γ2
27.27Single8XJMLatanoprost8XJM-FP-alpha-Latanoprost-chim(NtGi2-Gs-CtGq)/β1/γ2
27.27Single8Y73Peptide8Y73-μ-Peptide-MPAM-15-Gi1/β1/γ2
27.27Single8YNTSNAP-948478YNT-MCH1-SNAP-94847
27.27Single9AYFCa; Ca; Ca; Cyclomethyltryptophan; R-568; PO49AYF-CaS; CaS-Ca-Ca; Ca; Ca; Cyclomethyltryptophan; R-568; PO4-Gi1/β1/γ2
27.27Single9IK9Lanreotide9IK9-SST1-Lanreotide-Gi1/β1/γ2
27.27Single9JMCDS-3801b9JMC-Motilin-DS-3801b-chim(Gs-CtGq)/β1/γ2
27.27Single9KUXCMPD6449KUX-Apelin; Apelin-CMPD644-Arrestin2
26.92Single6DO1(Sar1,Ile8)-Angiotensin II6DO1-AT1-(Sar1,Ile8)-Angiotensin II
26.92Single7EZKCholecystokinin-87EZK-CCKA-Cholecystokinin-8-chim(NtGi1-Gs)/β1/γ2
26.92Single8F7WDynorphin8F7W-κ-Dynorphin-Gi1/β1/γ2
26.92Single8JZZC5a-des-Arg8JZZ-C5a1-C5a-des-Arg-Go/β1/γ2
26.92Single8SG1Chemerin-98SG1-CML1-Chemerin-9-Gi1/β1/γ2
26.92Single9E82CXCL12 (fragment)9E82-ACKR3-CXCL12 (fragment)-Arrestin2
26.92Single9JFK(Pen5)-Urotensin II9JFK-UT-(Pen5)-Urotensin II-chim(NtGi2L-Gs-CtGq)/β1/γ2
26.92Single9KT7MK68929KT7-HCA2-MK6892-Gi1/β1/γ2
26.92Single9ME1CXCL129ME1-CXCR4-CXCL12
26.92Single9UMXEP549UMX-C5a1-EP54-Go/β1/γ2
26.92Consensusformylpeptide_on_gpOrthosteric Ligandfpr2-alx_on_gp fpr1-alx_on_gp
26.92Consensusgi_cckOrthosteric Ligand7EZH-CCKA-Cholecystokinin-8-Gi1/β1/γ2 7F8V-CCKB-Gastrin-17-Gi2/β1/γ2
26.67Single7EIBKallidin-des-Arg107EIB-BK1-Kallidin-des-Arg10-chim(NtGi1-Gs-CtGq)/β1/γ2
26.67Single8GEJConstrained Epinephrine8GEJ-β2-Constrained Epinephrine-Gs/β1/γ2
26.67Single9BUCCagrilintide9BUC-CT-Cagrilintide-Gs/β1/γ2
26.67Single9K26PrRP319K26-PrRP-PrRP31-Gi1/β1/γ2
26.67Consensusgq_peptideOrthosteric Ligandgq_cck gq_kisspeptin gq_bradykinin gq_bombesin gq_angiotensin
26.32Single3VGAZM-2413853VGA-A2A-ZM-241385-Antibody
26.32Single4S0VSuvorexant4S0V-OX2-Suvorexant
26.32Single5OLVLUAA470705OLV-A2A-LUAA47070-Na
26.32Single5WS3EMPA5WS3-OX2-EMPA
26.32Single6D9HAdenosine6D9H-A1-Adenosine-Gi2/β1/γ2
26.32Single6DS0LY2660976DS0-5-HT2B-LY266097
26.32Single6ME2Ramelteon6ME2-MT1-Ramelteon
26.32Single6NWEOctyl-Beta-D-Glucopyranoside6NWE-Rhodopsin-Octyl-β-D-Glucopyranoside-Gt(CT)
26.32Single6TODEMPA6TOD-OX1-EMPA-Na
26.32Single6TPJSuvorexant6TPJ-OX2-Suvorexant
26.32Single7M3ECa; Ca; Tryptophan; NPS-21437M3E-CaS; CaS-Ca; Ca; Tryptophan; NPS-2143
26.32Single7M3ECa; Ca; Tryptophan; NPS-21437M3E-CaS; CaS-Ca; Ca; Tryptophan; NPS-2143
26.32Single7M3FCa; Ca; Tryptophan; Cinacalcet7M3F-CaS; CaS-Ca; Ca; Tryptophan; Cinacalcet
26.32Single7VUJJNJ-635330547VUJ-GPR139-JNJ-63533054-GDP-chim(Gs-CtGq)/β1/γ2
26.32Single8DU3PubChem 1055260648DU3-A2A-PubChem 105526064
26.32Single8IJBAcipimox8IJB-HCA2-Acipimox-Gi1/β1/γ2
26.32Single8J6LNiacin8J6L-HCA2-Niacin-Gi1/β1/γ2
26.32Single8JPPSuccinic acid8JPP-Succinate-Succinic acid-chim(Gs-CtGq)/β1/γ1
26.32Single8YYWAlpha-ketoglutarate8YYW-Oxoglutarate-α-ketoglutarate-α-ketoglutarate-chim(Gi1-CtGq)/β1/γ2
26.32Single9H2XPubChem 1756706449H2X-A2A-PubChem 175670644-Na
26.32Single9JKXAcifran9JKX-HCA3-Acifran-Gi1/β1/γ2
26.32Single9K6LSalicin9K6L-TAS2R16-Salicin-Gi2/β1/γ2
26.32Single9KPESalicin9KPE-TAS2R16-Salicin-Gi1/β1/γ2
26.32Single9M88Oleic monoethanolamide9M88-GPR3 ; GPR3-Oleic monoethanolamide-AF64394
26.32Single9PEEPF-07054894; OXM29PEE-CCR6-PF-07054894; OXM2
26.32Consensusorexin_offOrthosteric Ligandox2_off ox1_off
26.32Consensusox1_offOrthosteric Ligand6TP6-OX1-Filorexant 6TP4-OX1-ACT-462206 6V9S-OX1-GTPL11403 6TOT-OX1-Lemborexant 6TP3-OX1-Nemorexant 6TQ6-OX1-PubChem 145714283 6TQ9-OX1-SB-408124 4ZJC-OX1-SB-674042 4ZJ8-OX1-Suvorexant 6TOD-OX1-EMPA-Na 6TOS-OX1-GSK1059865-Na 6TQ4-OX1-PubChem 16046844-Na
26.32Consensusox2_offOrthosteric Ligand5WQC-OX2-EMPA 6TPN-OX2-HTL6641 7XRR-OX2-Lemborexant 6TPJ-OX2-Suvorexant
26.09Single4OR2FITM4OR2-mGlu1; mGlu1-FITM
26.09Single4PXFOctyl-Beta-D-Glucopyranoside4PXF-Rhodopsin-Octyl-β-D-Glucopyranoside-Arrestin1 Finger Loop
26.09Single6OS0Angiotensin II6OS0-AT1-Angiotensin II
26.09Single7EO4Siponimod7EO4-S1P1-Siponimod-Gi1/β1/γ2
26.09Single7EPENAM5637EPE-mGlu2-NAM563
26.09Single7MTRADX551647MTR-mGlu2; mGlu2-Glutamate-ADX55164
26.09Single7SUSPubChem 1227019087SUS-Apelin-PubChem 122701908
26.09Single7T6BS1P7T6B-S1P2-S1P-chim(NtGi1L-G13)/β1/γ2
26.09Single7XW9TRH7XW9-TRH-TRH-chim(NtGi1L-Gs-CtGq)/β1/γ2
26.09Single7XZ5Lysophosphatidylcholine7XZ5-GPR119-Lysophosphatidylcholine-Gs/β1/γ2
26.09Single8I9AEP548I9A-C3aB-EP54-chim(NtGi1-Gs-CtGq)/β1/γ2
26.09Single8T3QDoconexent8T3Q-FFA4-Doconexent-chim(NtGi2L-Gs-CtGq)/β1/γ2
26.09Single9DGIZ85267113509DGI-CB1-Z8526711350
26.09Single9GYOP3959GYO-GPBA-P395-chim(NtGi1-Gs)/β1/γ2
26.09Single9IZHLPA9IZH-LPA1-LPA-chim(NtGi2-G13)/β1/γ2
26.09Consensuscannabinoid_offOrthosteric Ligandcb2_off cb1_off
26.09Consensuslpl_offOrthosteric Ligands1p_off lpa_off
26.09Consensusorexin_onOrthosteric Ligandox2_on
26.09Consensustrh_onOrthosteric Ligand7XW9-TRH-TRH-chim(NtGi1L-Gs-CtGq)/β1/γ2
26.09Consensustrh_on_gpOrthosteric Ligand7XW9-TRH-TRH-chim(NtGi1L-Gs-CtGq)/β1/γ2
25.93Single7MBXCholecystokinin-87MBX-CCKA-Cholecystokinin-8-Gs/β1/γ1
25.93Single7XOUCholecystokinin-87XOU-CCKA-Cholecystokinin-8-Gs/β1/γ2
25.93Single9U4WGonadoliberin-19U4W-GnRH1-Gonadoliberin-1-chim(NtGi1L-Gs-CtGq)/β1/γ2
25.93Consensuscckb_on_gpOrthosteric Ligand8IA7-CCKB-Cholecystokinin-8-chim(NtGi1L-Gq)/β1/γ2 7XOW-CCKB-Sulfated Gastrin-(10-17)-chim(NtGi1-Gq)/β1/γ2 7F8V-CCKB-Gastrin-17-Gi2/β1/γ2
25.93Consensusfpr2-alx_onOrthosteric Ligand7WVX-FPR2-ALX-Humanin-Gi2/β1/γ2 7T6U-FPR2-ALX-CGEN-855A-Gi1/β1/γ2 7T6V-FPR2-ALX-fMLFII-Gi1/β1/γ2 7WVY-FPR2-ALX-Amyloid-β42-Gi2/β1/γ2 7T6S-FPR2-ALX-TC-FPR 43-Gi1/β1/γ2 6OMM-FPR2-ALX-WKYMVX-Gi1/β1/γ2
25.93Consensusgi_somatostatinOrthosteric Ligand7WIC-SST2-Somatostatin-14-Gi1/β1/γ2 7XMS-SST4-Somatostatin-14-Gi1/β1/γ2 8X8L-SST5-Cortistatin-14-chim(NtGi1-Gs-CtGi1)/β1/γ2 7XMT-SST4-J-2156-Gi1/β1/γ2 7WIG-SST2-L-054264-Gi1/β1/γ2 8X8N-SST5-Octreotide-chim(NtGi1-Gs-CtGi1)/β1/γ2 7YAE-SST2-Octreotide-Gi1/β1/γ2 7YAC-SST2-Paltusotine-Gi1/β1/γ2
25.93Consensuspeptide_offonOrthosteric Ligandpeptide_off peptide_on
25.93Consensussomatostatin_onOrthosteric Ligandsst2_on sst4_on sst5_on
25.93Consensussomatostatin_on_gpOrthosteric Ligandsst2_on_gp sst4_on_gp sst5_on_gp
25.81Single7VGXNeuropeptide-Y7VGX-Y1-Neuropeptide-Y-Gi1/β1/γ2
25.00Single3PXOAll-trans-Retinal3PXO-Rhodopsin-All-trans-Retinal
25.00Single4OR2FITM4OR2-mGlu1; mGlu1-FITM
25.00Single5CGDHTL142425CGD-mGlu5-HTL14242
25.00Single5DYSAll-trans-Retinal5DYS-Rhodopsin-All-trans-Retinal
25.00Single5IU7Q274563465IU7-A2A-Q27456346-Na
25.00Single5JTBZM-2413855JTB-A2A-ZM-241385
25.00Single5K2BZM-2413855K2B-A2A-ZM-241385-Na
25.00Single5TE3Octyl-Beta-D-Glucopyranoside5TE3-Rhodopsin-Octyl-β-D-Glucopyranoside
25.00Single6AQFZM-2413856AQF-A2A-ZM-241385
25.00Single6JODAngiotensin II6JOD-AT2-Angiotensin II
25.00Single6K1QIRL25006K1Q-ETB-IRL2500
25.00Single6ME42-Iodomelatonin6ME4-MT1-2-Iodomelatonin
25.00Single6TOSGSK10598656TOS-OX1-GSK1059865-Na
25.00Single6ZDRHMS1413f126ZDR-A2A-HMS1413f12-Na
25.00Single6ZDVPubChem 9840736ZDV-A2A-PubChem 984073-Na
25.00Single7DW9AVP7DW9-V2-AVP-chim(NtGi1-Gs)/β1/γ2
25.00Single7MBYCholecystokinin-87MBY-CCKA-Cholecystokinin-8-chim(NtGi1L-Gs-CtGq)/β1/γ2
25.00Single7WC4Serotonin7WC4-5-HT2A-Serotonin
25.00Single7WVUfMLF7WVU-FPR1-ALX-fMLF-Gi1/β1/γ2
25.00Single7Y65C5a (C-terminal peptide)7Y65-C5a1-C5a (C-terminal peptide)-Gi1/β1/γ2
25.00Single7YU8ONO-07405567YU8-LPA1-ONO-0740556-Gi1/β1/γ2
25.00Single8GAGZ85267113508GAG-CB1-Z8526711350-Gi1/β1/γ2
25.00Single8GUTLEI-1028GUT-CB2-LEI-102-Gi1/β1/γ2
25.00Single8H4KGW95088H4K-FFA4-GW9508-chim(NtGi1-Gs-CtGq)/β1/γ2
25.00Single8IULLatanoprost8IUL-FP-alpha-Latanoprost-chim(NtGi1-Gs-CtGq)/β1/γ2
25.00Single8JEIPubChem 117155568JEI-HCAR3-PubChem 11715556-Gi1/β1/γ2
25.00Single8JERAcipimox8JER-HCA2-Acipimox-Go/β1/γ2
25.00Single8K2XCXCL108K2X-CXCR3-CXCL10-Gi1/β1/γ2
25.00Single8K9KDAMGO8K9K-μ-DAMGO-Gi3/β1/γ1
25.00Single8K9LDAMGO8K9L-μ-DAMGO-BMS-986122-Gi3/β1/γ1
25.00Single8RQQZM-2413858RQQ-A2A-ZM-241385-Na
25.00Single8WPGTryptophan; Cinacalcet; PO4; Ca8WPG-CaS; CaS-Tryptophan; Cinacalcet; PO4; Ca
25.00Single8XJKCloprosetnol8XJK-FP-alpha-Cloprosetnol-chim(NtGi1-Gs-CtGq)/β1/γ2
25.00Single8XVJMacitentan8XVJ-ETA-Macitentan
25.00Single8Y01All-trans-Retinal8Y01-Opsin1MW-All-trans-Retinal-Gi1/β1/γ2
25.00Single8Y53MK50468Y53-BB3-MK5046-chim(NtGi1-Gs-CtGq)/β1/γ2
25.00Single8ZBISomatostatin-148ZBI-SST3-Somatostatin-14-Gi1/β1/γ2
25.00Single8ZJETAK4488ZJE-Kiss1-TAK448-chim(NtGi1-Gq)/β1/γ1
25.00Single9ASBCa; Ca; Cyclomethyltryptophan; R-568; PO49ASB-CaS; CaS-Ca-Ca; Ca; Cyclomethyltryptophan; R-568; PO4-chim(NtGi1-Gs-CtGq)/β1/γ2
25.00Single9AXFCa; Ca; Ca; Cyclomethyltryptophan; R-568; PO49AXF-CaS; CaS-Ca-Ca; Ca; Ca; Cyclomethyltryptophan; R-568; PO4-chim(NtGi1-Gs-CtGq)/β1/γ2
25.00Single9EAILosartan9EAI-AT1-Losartan-Nanobody AT209
25.00Single9EPQ11,20-Ethanoretinal9EPQ-Rhodopsin-11,20-Ethanoretinal-chim(Gi1-CtGq)/β1/γ2
25.00Single9IZFLPA9IZF-LPA1-LPA-Gi1/β1/γ2
25.00Single9JKVPubChem 27366909JKV-HCA3-PubChem 2736690-Gi1/β1/γ2
25.00Single9P1TZM-2413859P1T-A2A-ZM-241385
25.00Consensusa2_offOrthosteric Liganda2a_off
25.00Consensusa2a_offOrthosteric Ligand3RFM-A2A-Caffeine 8C9W-A2A-Etrumadenant 3UZA-A2A-GTPL9236 8GNG-A2A-Istradefylline 8CU6-A2A-LJ-4517 7PX4-A2A-PSB-2113 7PYR-A2A-PSB-2115 8DU3-A2A-PubChem 105526064 8JWY-A2A-2-118 8PWN-A2A-Theophylline 5IU4-A2A-ZM-241385-Na 5OLZ-A2A-PubChem 135566609-Na 6GT3-A2A-Imaradenant-Na 5OLV-A2A-LUAA47070-Na 5N2R-A2A-PSB36-Na 5IU7-A2A-Q27456346-Na 5OLH-A2A-Vipadenant-Na 5OLO-A2A-Tozadenant-Na 6ZDR-A2A-HMS1413f12-Na 8GNE-A2A-KW-6356-Na 8JWZ-A2A-Etrumadenant-Na 5IU8-A2A-Q27456347-Na 5IUB-A2A-Q27456344-Na 6ZDV-A2A-PubChem 984073-Na 5IUA-A2A-Q27456348-Na 8A2P-A2A-LUAA47070-Na
25.00Consensusapelin_onOrthosteric Ligand8XZH-Apelin; Apelin-MM07-Gi1/β1/γ2 7W0M-Apelin-PubChem 122701908-Gi1/β1/γ2 8XZJ-Apelin; Apelin-WN353-Gi1/β1/γ2 8XZF-Apelin; Apelin-WN561-Gi1/β1/γ2 8XZG-Apelin; Apelin-Apelin-13-Gi1/β1/γ2
25.00Consensusapelin_on_gpOrthosteric Ligand8XZH-Apelin; Apelin-MM07-Gi1/β1/γ2 7W0M-Apelin-PubChem 122701908-Gi1/β1/γ2 8XZJ-Apelin; Apelin-WN353-Gi1/β1/γ2 8XZF-Apelin; Apelin-WN561-Gi1/β1/γ2 8XZG-Apelin; Apelin-Apelin-13-Gi1/β1/γ2
25.00Consensuscck_onOrthosteric Ligandccka_on cckb_on
25.00Consensuscck_on_gpOrthosteric Ligandccka_on_gp cckb_on_gp
25.00Consensusghrelin_offOrthosteric Ligand6KO5-Ghrelin-PubChem 57400002 7F83-Ghrelin-PF-05190457
25.00Consensusgi_endothelinOrthosteric Ligand8IY5-ETB-Endothelin-1-Gi1/β1/γ2 8HBD-ETB-IRL1620-Gi1/β1/γ2
25.00Consensusgi_formylpeptideOrthosteric Ligand7WVY-FPR2-ALX-Amyloid-β42-Gi2/β1/γ2 7T6U-FPR2-ALX-CGEN-855A-Gi1/β1/γ2 7VFX-FPR1-ALX-fMIFL-Gi1/β1/γ2 7T6V-FPR2-ALX-fMLFII-Gi1/β1/γ2 7WVX-FPR2-ALX-Humanin-Gi2/β1/γ2 7T6S-FPR2-ALX-TC-FPR 43-Gi1/β1/γ2 6OMM-FPR2-ALX-WKYMVX-Gi1/β1/γ2
25.00Consensusgs_vasop-oxyOrthosteric Ligand7DW9-V2-AVP-chim(NtGi1-Gs)/β1/γ2
25.00Consensuspeptide_offon_gpOrthosteric Ligandpeptide_on_gp peptide_off
25.00Consensusprotein_onOrthosteric Ligandchemokine_on chemerin_on
25.00Consensusv2_onOrthosteric Ligand7DW9-V2-AVP-chim(NtGi1-Gs)/β1/γ2
25.00Consensusv2_on_gpOrthosteric Ligand7DW9-V2-AVP-chim(NtGi1-Gs)/β1/γ2
25.00Consensusvasop-oxy_onOrthosteric Ligandv2_on
25.00Consensusvasop-oxy_on_gpOrthosteric Ligandv2_on_gp
24.24Single8HBDIRL16208HBD-ETB-IRL1620-Gi1/β1/γ2
24.24Consensusetb_on_gpOrthosteric Ligand8IY5-ETB-Endothelin-1-Gi1/β1/γ2 8HBD-ETB-IRL1620-Gi1/β1/γ2
24.14Single7Y64C5a7Y64-C5a1-C5a-Gi1/β1/γ2
24.14Single8XQEApelin-138XQE-Apelin; Apelin-Apelin-13-Gi1/β1/γ2
24.14Single8XVHEndothelin-18XVH-ETB-Endothelin-1-chim(Gs-CtGq)/β1/γ2
24.14Single8ZRTEndothelin-18ZRT-ETB-Endothelin-1
24.14Single9JFYNeuropeptide-SF9JFY-NPFF2-Neuropeptide-SF-Gi1/β1/γ2
24.14Consensuscml1_on_gpOrthosteric Ligand7YKD-CML1-Chemerin-9-Gi1/β1/γ2
24.14Consensusgi_apelinOrthosteric Ligand8XZH-Apelin; Apelin-MM07-Gi1/β1/γ2 7W0M-Apelin-PubChem 122701908-Gi1/β1/γ2 8XZJ-Apelin; Apelin-WN353-Gi1/β1/γ2 8XZF-Apelin; Apelin-WN561-Gi1/β1/γ2 8XZG-Apelin; Apelin-Apelin-13-Gi1/β1/γ2
24.14Consensussst5_on_gpOrthosteric Ligand8X8L-SST5-Cortistatin-14-chim(NtGi1-Gs-CtGi1)/β1/γ2 8X8N-SST5-Octreotide-chim(NtGi1-Gs-CtGi1)/β1/γ2
24.14Consensusvpac1_onOrthosteric Ligand8E3Z-VPAC1-VIP-Gs/β1/γ2
24.00Single7F2OBradykinin7F2O-BK2-Bradykinin-chim(NtGi1-Gs-CtGq)/β1/γ2
24.00Single7RKFCX3CL17RKF-US28-CX3CL1-GDP-chim(NtGi1-G11)/β1/γ2
24.00Single7XN9L-0545227XN9-SST2-L-054522
24.00Single8IA7Cholecystokinin-88IA7-CCKB-Cholecystokinin-8-chim(NtGi1L-Gq)/β1/γ2
24.00Single8XZFWN5618XZF-Apelin; Apelin-WN561-Gi1/β1/γ2
24.00Single9IPYJR14a9IPY-C3aB-JR14a
24.00Single9V2NMacimorelin9V2N-Ghrelin-Macimorelin-chim(NtGi1-Gs-CtGq)/β1/γ2
24.00Consensusformylpeptide_onOrthosteric Ligandfpr2-alx_on fpr1-alx_on
24.00Consensussst2_onOrthosteric Ligand7WIC-SST2-Somatostatin-14-Gi1/β1/γ2 7WIG-SST2-L-054264-Gi1/β1/γ2 7YAE-SST2-Octreotide-Gi1/β1/γ2 7YAC-SST2-Paltusotine-Gi1/β1/γ2
24.00Consensussst2_on_gpOrthosteric Ligand7WIC-SST2-Somatostatin-14-Gi1/β1/γ2 7WIG-SST2-L-054264-Gi1/β1/γ2 7YAE-SST2-Octreotide-Gi1/β1/γ2 7YAC-SST2-Paltusotine-Gi1/β1/γ2
23.81Single3EMLZM-2413853EML-A2A-ZM-241385
23.81Single4EIYZM-2413854EIY-A2A-ZM-241385-Na
23.81Single4J4QOctyl Beta-D-Glucopyranoside4J4Q-Rhodopsin-Octyl β-D-Glucopyranoside-Gt(CT)
23.81Single5IU8Q274563475IU8-A2A-Q27456347-Na
23.81Single5K2AZM-2413855K2A-A2A-ZM-241385-Na
23.81Single5NDDAZ8838; Na5NDD-PAR2-AZ8838; Na
23.81Single5OLGZM-2413855OLG-A2A-ZM-241385-Na
23.81Single5TGZAM65385TGZ-CB1-AM6538
23.81Single5UIGPubChem 1240811965UIG-A2A-PubChem 124081196
23.81Single5VRAZM-2413855VRA-A2A-ZM-241385-Na
23.81Single5ZKPSR274175ZKP-PAF-SR27417
23.81Single6GPSMK08126GPS-CCR2-MK0812
23.81Single6S0LZM-2413856S0L-A2A-ZM-241385
23.81Single7F83PF-051904577F83-Ghrelin-PF-05190457
23.81Single7PYRPSB-21157PYR-A2A-PSB-2115
23.81Single7YXAONO-54306087YXA-S1P5-ONO-5430608
23.81Single8JT8(R)-IHCH-71798JT8-5-HT2A-(R)-IHCH-7179
23.81Single8YH5Riboprine8YH5-A3A-Riboprine-Gi1/β1/γ2
23.81Single8ZQEGPR15L(CT)8ZQE-GPR15-GPR15L(CT)-Gi1/β1/γ1
23.81Single9IZCMK19039IZC-HCA2-MK1903-Gi1/β1/γ2
23.81Single9KFTfMLFC9KFT-FPR1-ALX-fMLFC-Gi1/β1/γ2
23.81Single9P1SZM-2413859P1S-A2A-ZM-241385
23.81Consensusccr2_offOrthosteric Ligand6GPS-CCR2-MK0812
23.53Single3OE8IT1t3OE8-CXCR4-IT1t
23.53Single6LRYSarafotoxin-B6LRY-ETB-Sarafotoxin-B
23.53Single6OY9All-trans-Retinal6OY9-Rhodopsin-All-trans-Retinal-Gt/β1/γ1
23.53Single7DD5Ca; Ca; Tryptophan; NPS-21437DD5-CaS; CaS-Ca-Ca; Ca; Tryptophan; NPS-2143
23.53Single7MTBAll-trans-Retinal7MTB-Rhodopsin-All-trans-Retinal-GRK1
23.53Single8XOFLys058XOF-GPR30-Lys05-chim(NtGi1-Gs-CtGq)/β1/γ2
23.33Single8H0PNMB308H0P-BB1-NMB30-chim(NtGi1-Gs-CtGq)/β1/γ2
23.33Single9BLWCagrilintide (non-acylated)9BLW-CT (AMY1)-Cagrilintide (non-acylated)-Gs/β1/γ2; RAMP1
23.33Single9KFKRelaxin-39KFK-RXFP4-Relaxin-3-Gi2/β1/γ2
23.33Consensusgi_peptideOrthosteric Ligandgi_cck gi_apelin gi_compl-pept gi_endothelin gi_formylpeptide gi_galanin gi_ghrelin gi_npy gi_neurotensin gi_opioid gi_orexin gi_relaxin gi_somatostatin
23.33Consensusgi_proteinOrthosteric Ligandgi_chemokine gi_chemerin
23.33Consensusprotein_on_gpOrthosteric Ligandchemokine_on_gp chemerin_on_gp
23.33Consensusvpac1_on_gpOrthosteric Ligand8E3Z-VPAC1-VIP-Gs/β1/γ2
23.08Single4XT1CX3CL14XT1-US28-CX3CL1
23.08Single6WIVPubChem 52923113; PubChem 529246456WIV-GABAB1, GABAB2-PubChem 52923113; PubChem 52924645
23.08Single7XAUOctreotide7XAU-SST2-Octreotide-Gi1/β1/γ2
23.08Single8G59TUG-8918G59-FFA4-TUG-891-chim(Gi1-CtGq)/β1/γ2
23.08Single8WZ2Orexigenic Neuropeptide QRFP8WZ2-QRFP-Orexigenic Neuropeptide QRFP-chim(NtGi1L-Gs-CtGq)/β1/γ2
23.08Single8ZBJSomatostatin-148ZBJ-SST5-Somatostatin-14-Gi1/β1/γ2
23.08Single9BKJCholecystokinin-89BKJ-CCKA-Cholecystokinin-8-chim(NtGi1-Gs-CtGq)/β1/γ2
23.08Single9KWGC5a9KWG-C5a1-C5a-Go/β1/γ2
23.08Single9UMRC5a-pep9UMR-C5a1-C5a-pep-Go/β1/γ2
23.08Consensuschemerin_on_gpOrthosteric Ligandcml1_on_gp
23.08Consensuscml1_onOrthosteric Ligand7YKD-CML1-Chemerin-9-Gi1/β1/γ2
23.08Consensusgi_chemerinOrthosteric Ligand7YKD-CML1-Chemerin-9-Gi1/β1/γ2
23.08Consensussst5_onOrthosteric Ligand8X8L-SST5-Cortistatin-14-chim(NtGi1-Gs-CtGi1)/β1/γ2 8X8N-SST5-Octreotide-chim(NtGi1-Gs-CtGi1)/β1/γ2
22.86Single7X9ANeuropeptide-Y7X9A-Y1-Neuropeptide-Y-Gi1/β1/γ2
22.73Single5IUAQ274563485IUA-A2A-Q27456348-Na
22.73Single5N2RPSB365N2R-A2A-PSB36-Na
22.73Single5N2SPSB365N2S-A1-PSB36
22.73Single6GPXMK08126GPX-CCR2-MK0812
22.73Single6LPLZM-2413856LPL-A2A-ZM-241385-Na
22.73Single6S0QZM-2413856S0Q-A2A-ZM-241385
22.73Single6WQAZM-2413856WQA-A2A-ZM-241385-Na
22.73Single7EPFNAM5977EPF-mGlu2-NAM597
22.73Single7RM5ZM-2413857RM5-A2A-ZM-241385-Na
22.73Single7VFXfMIFL7VFX-FPR1-ALX-fMIFL-Gi1/β1/γ2
22.73Single7WIGL-0542647WIG-SST2-L-054264-Gi1/β1/γ2
22.73Single8FYNZM-2413858FYN-A2A-ZM-241385-Na
22.73Single8GNEKW-63568GNE-A2A-KW-6356-Na
22.73Single8QOTNanobody-E8QOT-μ-Nanobody-E
22.73Single8SZGCa; Ca; Tryptophan; Cinacalcet; PO4; Spermine8SZG-CaS; CaS-Ca; Ca; Tryptophan; Cinacalcet; PO4; Spermine-chim(NtGi1-Gq)/β1/γ2
22.73Single8TF5Oleic acid8TF5-GPR6-Oleic acid
22.73Single8X0CVU04244658X0C-mGlu5; mGlu5-Quisqualate-VU0424465
22.73Single8X0CVU04244658X0C-mGlu5; mGlu5-Quisqualate-VU0424465
22.73Single8X0DVU04244658X0D-mGlu5; mGlu5-Quisqualate-VU0424465
22.73Single8X0DVU04244658X0D-mGlu5; mGlu5-Quisqualate-VU0424465
22.73Single9AYFCa; Ca; Ca; Cyclomethyltryptophan; R-568; PO49AYF-CaS; CaS-Ca-Ca; Ca; Ca; Cyclomethyltryptophan; R-568; PO4-Gi1/β1/γ2
22.73Single9EHSLUF76029EHS-A3A-LUF7602
22.73Single9HAPTolvaptan9HAP-V2-Tolvaptan
22.73Single9U81Tolvaptan9U81-V2-Tolvaptan
22.73Consensusa1_offOrthosteric Ligand5UEN-A1-DU172 5N2S-A1-PSB36
22.73Consensuscb2_onOrthosteric Ligand8GUR-CB2-CP55940-Gi1/β1/γ2 8GUS-CB2-HU-308-Gi1/β1/γ2 8GUT-CB2-LEI-102-Gi1/β1/γ2 6KPF-CB2-AM12033-Gi1/β1/γ2 6PT0-CB2-WIN 55212-2-Gi1/β1/γ2 8GUQ-CB2-Olorinab-Gi1/β1/γ2
22.73Consensuscb2_on_gpOrthosteric Ligand8GUR-CB2-CP55940-Gi1/β1/γ2 8GUS-CB2-HU-308-Gi1/β1/γ2 8GUT-CB2-LEI-102-Gi1/β1/γ2 6KPF-CB2-AM12033-Gi1/β1/γ2 6PT0-CB2-WIN 55212-2-Gi1/β1/γ2 8GUQ-CB2-Olorinab-Gi1/β1/γ2
22.73Consensusfpr1-alx_onOrthosteric Ligand7VFX-FPR1-ALX-fMIFL-Gi1/β1/γ2
22.73Consensusfpr1-alx_on_gpOrthosteric Ligand7VFX-FPR1-ALX-fMIFL-Gi1/β1/γ2
22.73Consensuss1p5_offOrthosteric Ligand7YXA-S1P5-ONO-5430608
22.58Single7TYFAmylin7TYF-CT (AMY1)-Amylin-Gs/β1/γ2; RAMP1
22.58Single7XATSomatostatin-147XAT-SST2-Somatostatin-14-Gi1/β1/γ2
22.58Single8XWPEndothelin-18XWP-ETB-Endothelin-1-Gi1/β1/γ2
22.58Consensuspeptide_onOrthosteric Ligandcck_on angiotensin_on apelin_on bombesin_on bradykinin_on compl-peptide_on endothelin_on formylpeptide_on galanin_on ghrelin_on kisspeptin_on melanocortin_on motilin_on neuromedin-u_on npy_on neurotensin_on opioid_on orexin_on relaxin_on somatostatin_on tachykinin_on trh_on vasop-oxy_on
22.58Consensuspeptide_on_gpOrthosteric Ligandcck_on_gp angiotensin_on_gp apelin_on_gp bombesin_on_gp bradykinin_on_gp compl-peptide_on_gp endothelin_on_gp formylpeptide_on_gp galanin_on_gp ghrelin_on_gp kisspeptin_on_gp melanocortin_on_gp motilin_on_gp neuromedin-u_on_gp npy_on_gp neurotensin_on_gp opioid_on_gp orexin_on_gp relaxin_on_gp somatostatin_on_gp tachykinin_on_gp trh_on_gp vasop-oxy_on_gp
22.22Single5WKTOctyl-Beta-D-Glucopyranoside5WKT-Rhodopsin-Octyl-β-D-Glucopyranoside-Gt(CT)
22.22Single5XJM(Sar1,Ile8)-Angiotensin II5XJM-AT2-(Sar1,Ile8)-Angiotensin II
22.22Single7DD7Ca; Ca; Tryptophan; Evocalcet7DD7-CaS; CaS-Ca-Ca; Ca; Tryptophan; Evocalcet
22.22Single7MT8All-trans-Retinal7MT8-Rhodopsin-All-trans-Retinal-GRK1
22.22Single7MT9All-trans-Retinal7MT9-Rhodopsin-All-trans-Retinal-GRK1
22.22Single7MTAAll-trans-Retinal7MTA-Rhodopsin-All-trans-Retinal-GRK1
22.22Single7RKMCX3CL17RKM-US28-CX3CL1-Gi1/β1/γ2
22.22Single7W0NElabela7W0N-Apelin; Apelin-Elabela-Gi1/β1/γ2
22.22Single7WC5Psilocin7WC5-5-HT2A-Psilocin
22.22Single7XMSSomatostatin-147XMS-SST4-Somatostatin-14-Gi1/β1/γ2
22.22Single8Y63C20:0 Ceramide8Y63-FPR2-ALX-C20:0 Ceramide-Gi1/β1/γ2
22.22Single8Z7JJN241-98Z7J-Apelin-JN241-9-Gi1/β1/γ2
22.22Single9IK8Pasireotide9IK8-SST1-Pasireotide-Gi1/β1/γ2
22.22Single9IQSMuscarinic toxin 39IQS-M4-Muscarinic toxin 3
22.22Single9IQVMuscarinic toxin 39IQV-Alpha1A-Muscarinic toxin 3
22.22Single9JKT(2R)-2-hydroxy-3-phenylpropanoic acid9JKT-HCA3-(2R)-2-hydroxy-3-phenylpropanoic acid-Gi1/β1/γ2
22.22Single9KFIRelaxin-39KFI-RXFP3-Relaxin-3-Gi2/β1/γ2
22.22Consensuscckb_onOrthosteric Ligand8IA7-CCKB-Cholecystokinin-8-chim(NtGi1L-Gq)/β1/γ2 7XOW-CCKB-Sulfated Gastrin-(10-17)-chim(NtGi1-Gq)/β1/γ2 7F8V-CCKB-Gastrin-17-Gi2/β1/γ2
21.88Single6IGLIRL16206IGL-ETB-IRL1620
21.88Single7TS0Urocortin7TS0-CRF2-Urocortin-chim(NtGi1L-Go)/β1/γ2
21.88Single8F0KPramlintide Analogue San3858F0K-CT (AMY3)-Pramlintide Analogue San385-Gs/β1/γ2; RAMP3
21.88Single8WWNMCH8WWN-MCH1-MCH-Gi1/β1/γ2
21.88Consensusbk2_onOrthosteric Ligand7F6H-BK2-Bradykinin-Gq/β1/γ2 7F6I-BK2-Kallidin-Gq/β1/γ2
21.88Consensusbk2_on_gpOrthosteric Ligand7F6H-BK2-Bradykinin-Gq/β1/γ2 7F6I-BK2-Kallidin-Gq/β1/γ2
21.88Consensusbradykinin_onOrthosteric Ligandbk2_on
21.88Consensusbradykinin_on_gpOrthosteric Ligandbk2_on_gp
21.88Consensusendothelin_onOrthosteric Ligandetb_on eta_on
21.88Consensusetb_onOrthosteric Ligand8IY5-ETB-Endothelin-1-Gi1/β1/γ2 8HBD-ETB-IRL1620-Gi1/β1/γ2
21.88Consensusgq_bradykininOrthosteric Ligand7F6H-BK2-Bradykinin-Gq/β1/γ2 7F6I-BK2-Kallidin-Gq/β1/γ2
21.74Single6N4BMDMB-Fubinaca6N4B-CB1-MDMB-Fubinaca-Gi1/β1/γ2
21.74Single7PX4PSB-21137PX4-A2A-PSB-2113
21.74Single7TD1LPA7TD1-LPA1-LPA-Gi1/β1/γ2
21.74Single7XAVLanreotide7XAV-SST2-Lanreotide-Gi1/β1/γ2
21.74Single7XOWSulfated Gastrin-(10-17)7XOW-CCKB-Sulfated Gastrin-(10-17)-chim(NtGi1-Gq)/β1/γ2
21.74Single8HPTC5a (C-terminal peptide)8HPT-C5a1-C5a (C-terminal peptide)-Go/β1/γ2
21.74Single8I9LC3a8I9L-C3aB-C3a-Go/β1/γ2
21.74Single8JZPC5a8JZP-C5a1-C5a-Go/β1/γ2
21.74Single8WU1MDMB-Fubinaca8WU1-CB1-MDMB-Fubinaca-Arrestin2
21.74Single8X0BVU04244658X0B-mGlu5; mGlu5-Quisqualate-VU0424465
21.74Single8X0FVU298X0F-mGlu5; mGlu5-Quisqualate-VU29
21.74Single8XIPPasireotide8XIP-SST1-Pasireotide-chim(NtGi1-Gs-CtGi1)/β1/γ2
21.74Single9B65MDMB-Fubinaca9B65-CB1-MDMB-Fubinaca-Gi1/β1/γ2
21.74Single9EGOZ85267113509EGO-CB1-Z8526711350-Gi1/β1/γ2
21.74Single9IZGLPA9IZG-LPA1-LPA-chim(NtGi1-Gs-CtGq)/β1/γ2
21.74Consensusgi_cannabinoidOrthosteric Ligand8GUR-CB2-CP55940-Gi1/β1/γ2 8GUS-CB2-HU-308-Gi1/β1/γ2 8GUT-CB2-LEI-102-Gi1/β1/γ2 8GUQ-CB2-Olorinab-Gi1/β1/γ2 6KPF-CB2-AM12033-Gi1/β1/γ2 6PT0-CB2-WIN 55212-2-Gi1/β1/γ2 6KPG-CB1-AM841-Gi1/β1/γ2
21.74Consensusnpy_offOrthosteric Ligandnpy1_off npy2_off
21.74Consensusprotein_offOrthosteric Ligandchemokine_off grh_off
21.43Single6LW5WKYMVm6LW5-FPR2-ALX-WKYMVm
21.43Single8XZGApelin-138XZG-Apelin; Apelin-Apelin-13-Gi1/β1/γ2
21.43Single8XZHMM078XZH-Apelin; Apelin-MM07-Gi1/β1/γ2
21.43Single9K27PrRP319K27-PrRP-PrRP31-chim(NtGi1-Gq)/β1/γ2
21.43Single9M1ONeuropeptide-FF9M1O-NPFF2-Neuropeptide-FF-Gi1/β1/γ2
21.43Single9UYIChemerin-99UYI-CML2-Chemerin-9-Arrestin2
21.21Single5GLHEndothelin-15GLH-ETB-Endothelin-1
21.21Single6IGKEndothelin-36IGK-ETB-Endothelin-3
21.05Single3OE9IT1t3OE9-CXCR4-IT1t
21.05Single6HLLCP999946HLL-NK1-CP99994
21.05Single6TP4ACT-4622066TP4-OX1-ACT-462206
21.05Single8A2PLUAA470708A2P-A2A-LUAA47070-Na
21.05Single8IHIAcifran8IHI-HCA2-Acifran-Gi1/β1/γ2
21.05Single8JILNiacin8JIL-HCA2-Niacin-Gi1/β1/γ2
21.05Single9EPRAll-trans-Retinal9EPR-Rhodopsin-All-trans-Retinal-Gi1/β1/γ2
21.05Single9IZDCHBA9IZD-HCA1-CHBA-Gi1/β1/γ2
21.05Single9M88Oleic monoethanolamide9M88-GPR3 ; GPR3-Oleic monoethanolamide-AF64394
20.83Single4Z36ONO-30805734Z36-LPA1-ONO-3080573
20.83Single5X33BIIL2605X33-BLT1-BIIL260
20.83Single6XBLCholesterol6XBL-SMO-SAG-Cholesterol-Gi1/β1/γ2
20.83Single8HK2C3a8HK2-C3aB-C3a-Gi1/β1/γ2
20.83Single8ID9Icosapent8ID9-FFA4-Icosapent-Gi1/β1/γ2
20.83Single8IQ6Latanoprost8IQ6-FP-alpha-Latanoprost-chim(NtGi1-Gs-CtGq)/β1/γ2
20.83Single8J6DEP1418J6D-C3aB-EP141-Go/β1/γ2
20.83Single8JD3JNJ-404118138JD3-mGlu2; mGlu3-Glutamate-JNJ-40411813-Gi1/β1/γ2
20.83Single8JJPChemerin-98JJP-CML2-Chemerin-9-Gi1/β1/γ2
20.83Single8X8NOctreotide8X8N-SST5-Octreotide-chim(NtGi1-Gs-CtGi1)/β1/γ2
20.83Single8XJNCloprosetnol8XJN-TXA2-Cloprosetnol-chim(NtGi1-Gs-CtGq)/β1/γ2
20.83Single9BJKPubChem 1716420669BJK-μ-Naloxone-PubChem 171642066
20.83Single9GGGI-BOP9GGG-TXA2-I-BOP-chim(NtGi2L-Gs-CtGq)/β1/γ2
20.83Single9KZKC3a (fragment)9KZK-C3aB-C3a (fragment)-Go/β1/γ2
20.83Single9VIFNeuropeptide-VF9VIF-NPFF1-Neuropeptide-VF-Gi1/β1/γ2
20.83Consensusc3a_onOrthosteric Ligand8HK2-C3aB-C3a-Gi1/β1/γ2 8IA8-C3aB-E7 peptide-Gi1/β1/γ2
20.83Consensuscannabinoid_onOrthosteric Ligandcb2_on cb1_on
20.83Consensuscannabinoid_on_gpOrthosteric Ligandcb2_on_gp cb1_on_gp
20.83Consensusccr8_onOrthosteric Ligand8KFX-CCR8-LMD-009-Gi1/β1/γ2 8KFY-CCR8-ZK-756326-Gi1/β1/γ2 8U1U-CCR8-CCL1-Gi1/β1/γ2
20.83Consensusgi_lipidOrthosteric Ligandgi_cannabinoid gi_ffa gi_leukotriene gi_lpa gi_s1p
20.83Consensuslpa1_offOrthosteric Ligand4Z36-LPA1-ONO-3080573 4Z35-LPA1-ONO-9910539 4Z34-LPA1-ONO-9780307
20.83Consensuslpa_offOrthosteric Ligandlpa1_off
20.69Single6WIVPubChem 52923113; PubChem 529246456WIV-GABAB1, GABAB2-PubChem 52923113; PubChem 52924645
20.69Single7FIMTirzepatide7FIM-GLP-1-Tirzepatide-Gs/β1/γ2
20.69Single7KH0AVP7KH0-V2-AVP-chim(NtGi1-Gs)/β1/γ2
20.69Single7V9MSomatoliberin7V9M-GHRH (SV1)-Somatoliberin-Gs/β1/γ2
20.69Single7WUIIP157WUI-ADGRG2-IP15-chim(NtGi1-Gs)/β1/γ2
20.69Single8X8LCortistatin-148X8L-SST5-Cortistatin-14-chim(NtGi1-Gs-CtGi1)/β1/γ2
20.59Single7TZFAmylin7TZF-CT (AMY3)-Amylin-Gs/β1/γ2; RAMP3
20.59Consensusendothelin_on_gpOrthosteric Ligandetb_on_gp eta_on_gp
20.00Single2X72All-trans-Retinal2X72-Rhodopsin-All-trans-Retinal-Gt(CT)
20.00Single3ODUIT1t3ODU-CXCR4-IT1t
20.00Single3VG9ZM-2413853VG9-A2A-ZM-241385-Antibody
20.00Single5K2DZM-2413855K2D-A2A-ZM-241385-Na
20.00Single5OLHVipadenant5OLH-A2A-Vipadenant-Na
20.00Single5OLOTozadenant5OLO-A2A-Tozadenant-Na
20.00Single6JZHZM-2413856JZH-A2A-ZM-241385-Na
20.00Single6ME9Ramelteon6ME9-MT2-Ramelteon
20.00Single6PS7ZM-2413856PS7-A2A-ZM-241385-Na
20.00Single6RNKNF-56-EJ406RNK-Succinate-NF-56-EJ40
20.00Single6TQ6PubChem 1457142836TQ6-OX1-PubChem 145714283
20.00Single7EZHCholecystokinin-87EZH-CCKA-Cholecystokinin-8-Gi1/β1/γ2
20.00Single7F6HBradykinin7F6H-BK2-Bradykinin-Gq/β1/γ2
20.00Single7F6IKallidin7F6I-BK2-Kallidin-Gq/β1/γ2
20.00Single7F8ULintitript7F8U-CCKA-Lintitript
20.00Single7LLLExendin-47LLL-GLP-1-Exendin-4-Gs/β1/γ2
20.00Single7QBIAlpha-factor mating pheromone7QBI-STE2; STE2-α-factor mating pheromone
20.00Single7TUZ7-alpha,25-dihydroxycholesterol7TUZ-GPR183-7-α,25-dihydroxycholesterol-Gi1/β1/γ2
20.00Single7W0MPubChem 1227019087W0M-Apelin-PubChem 122701908-Gi1/β1/γ2
20.00Single7W0OElabela7W0O-Apelin-Elabela-Gi1/β1/γ2
20.00Single7WBJPACAP277WBJ-VPAC1-PACAP27-Gs/β1/γ2
20.00Single7X8RBOC57X8R-GLP-1-BOC5-Gs/β1/γ2
20.00Single7X9CPancreatic Hormone7X9C-Y4-Pancreatic Hormone-Gi1/β1/γ2
20.00Single7XRRLemborexant7XRR-OX2-Lemborexant
20.00Single7XV3Lysophosphatidylserine (WJS)7XV3-GPR174-Lysophosphatidylserine (WJS)-chim(NtGi1-Gs)/β1/γ2
20.00Single8DWGML3828DWG-MRGPRX1-BAM8-22-ML382-chim(NtGi2L-Gs-CtGq)/β1/γ2
20.00Single8E3YPACAP278E3Y-VPAC1-PACAP27-Gs/β1/γ2
20.00Single8E3ZVIP8E3Z-VPAC1-VIP-Gs/β1/γ2
20.00Single8GNGIstradefylline8GNG-A2A-Istradefylline
20.00Single8HCXEndothelin-18HCX-ETB-Endothelin-1-chim(NtGi2L-Gs-CtGq)/β1/γ2
20.00Single8HNKCXCL118HNK-CXCR3-CXCL11-Gi1/β1/γ2
20.00Single8IA2C5a8IA2-C5a1-C5a-Go/β1/γ2
20.00Single8IYSTUG-8918IYS-FFA4-TUG-891-GDP-chim(NtGi1L-Gq)/β1/γ2
20.00Single8RW0Istradefylline8RW0-A2A-Istradefylline-Na
20.00Single8UTDMK19038UTD-HCA2-MK1903-Gi1/β1/γ2
20.00Single8WPGTryptophan; Cinacalcet; PO4; Ca8WPG-CaS; CaS-Tryptophan; Cinacalcet; PO4; Ca
20.00Single8WWKMCH8WWK-MCH1-MCH-Gi1/β1/γ2
20.00Single8WWMMCH8WWM-MCH1-MCH-Gi1/β1/γ2
20.00Single8XJOU466198XJO-TXA2-U46619-chim(NtGi1-Gs-CtGq)/β1/γ2
20.00Single9AVLCa; Ca; Cyclomethyltryptophan; R-568; PO49AVL-CaS; CaS-Ca-Ca; Ca; Cyclomethyltryptophan; R-568; PO4-Gi3/β2/γ2
20.00Single9C1PCa; Tryptophan; '6218; PO49C1P-CaS; CaS-Ca-Ca; Tryptophan; '6218; PO4
20.00Single9C2FCa; Ca; Tryptophan; '54149; PO49C2F-CaS; CaS-Ca-Ca; Ca; Tryptophan; '54149; PO4
20.00Single9E2AGLP-19E2A-GLP-1-GLP-1-Gs/β1/γ2
20.00Single9J5VCpY9J5V-LPA1-CpY-Gi1/β1/γ2
20.00Single9KV8TLQP219KV8-C3aB-TLQP21-Go/β1/γ2
20.00Single9LKDPL459LKD-OR5V1-PL45
20.00Consensusc3a_on_gpOrthosteric Ligand8HK2-C3aB-C3a-Gi1/β1/γ2 8IA8-C3aB-E7 peptide-Gi1/β1/γ2
20.00Consensuscb1_on_gpOrthosteric Ligand6KPG-CB1-AM841-Gi1/β1/γ2 8K8J-CB1-Fenofibrate-chim(Gs-CtGq)/β1/γ2
20.00Consensusccka_onOrthosteric Ligand7EZH-CCKA-Cholecystokinin-8-Gi1/β1/γ2
20.00Consensusccka_on_gpOrthosteric Ligand7EZH-CCKA-Cholecystokinin-8-Gi1/β1/γ2
20.00Consensuschemerin_onOrthosteric Ligandcml1_on
20.00Consensuscrf_on_gpOrthosteric Ligandcrf2_on_gp crf1_on_gp
20.00Consensusfp-alpha_onOrthosteric Ligand8IUK-FP-alpha-PGF2-α-chim(NtGi1-Gs-CtGq)/β1/γ2 8IUL-FP-alpha-Latanoprost-chim(NtGi1-Gs-CtGq)/β1/γ2 8IUM-FP-alpha-Tafluprost acid-chim(NtGi1-Gs-CtGq)/β1/γ2
20.00Consensusfp-alpha_on_gpOrthosteric Ligand8IUK-FP-alpha-PGF2-α-chim(NtGi1-Gs-CtGq)/β1/γ2 8IUL-FP-alpha-Latanoprost-chim(NtGi1-Gs-CtGq)/β1/γ2 8IUM-FP-alpha-Tafluprost acid-chim(NtGi1-Gs-CtGq)/β1/γ2
20.00Consensusglp1_on_gpOrthosteric Ligand7S1M-GLP-1-Exendin-4-D-Ala-Gs/β1/γ2 7X8R-GLP-1-BOC5-Gs/β1/γ2 6X19-GLP-1-CHU-128-Gs/β1/γ2 6X1A-GLP-1-Danuglipron-Gs/β1/γ2 6X18-GLP-1-GLP-1-Gs/β1/γ2 8JIP-GLP-1-MEDI0382-chim(NtGi1-Gs)/β1/γ2 7C2E-GLP-1-PubChem 149050799-Gs/β1/γ2 7KI0-GLP-1-Semaglutide-Gs/β1/γ2 7KI1-GLP-1-Taspoglutide-Gs/β1/γ2 7X8S-GLP-1-WB4-24-Gs/β1/γ2 8JIS-GLP-1-Peptide-15-chim(NtGi1-Gs)/β1/γ2 7VBI-GLP-1-Tirzepatide (non-acylated)-Gs/β1/γ2
20.00Consensusgs_peptideOrthosteric Ligandgs_cck gs_melanocortin gs_vasop-oxy
20.00Consensusmc1_onOrthosteric Ligand7F4H-MC1-Afamelanotide-chim(NtGi1-Gs)/β1/γ2 7F4D-MC1-α-MSH-chim(NtGi1-Gs)/β1/γ2 7F4I-MC1-SHU9119-chim(NtGi1-Gs)/β1/γ2
20.00Consensusmc1_on_gpOrthosteric Ligand7F4H-MC1-Afamelanotide-chim(NtGi1-Gs)/β1/γ2 7F4D-MC1-α-MSH-chim(NtGi1-Gs)/β1/γ2 7F4I-MC1-SHU9119-chim(NtGi1-Gs)/β1/γ2
20.00Consensusnk2_onOrthosteric Ligand7XWO-NK2-Neurokinin-A-chim(NtGi1-Gs-CtGq)/β1/γ2
20.00Consensusprostanoid_onOrthosteric Ligandtp_on fp-alpha_on
20.00Consensusprostanoid_on_gpOrthosteric Ligandtp_on_gp fp-alpha_on_gp
20.00Consensustp_onOrthosteric Ligand8XJO-TXA2-U46619-chim(NtGi1-Gs-CtGq)/β1/γ2
20.00Consensustp_on_gpOrthosteric Ligand8XJO-TXA2-U46619-chim(NtGi1-Gs-CtGq)/β1/γ2
19.44Consensusclass-a_class-b1_cons_on_gpOrthosteric Ligandclass-a_on_gp class-b1_on_gp
19.35Single4XT3CX3CL14XT3-US28-CX3CL1
19.35Single6P9YPACAP276P9Y-PAC1-PACAP27-Gs/β1/γ2
19.35Single7QBIAlpha-factor mating pheromone7QBI-STE2; STE2-α-factor mating pheromone
19.35Single7RGPTirzepatide7RGP-GLP-1-Tirzepatide-chim(NtGi1-Gs)/β1/γ2
19.35Single8E3XPACAP278E3X-PAC1-PACAP27-Gs/β1/γ2
19.35Single8XVEBQ30208XVE-ETB-BQ3020-chim(Gs-CtGq)/β1/γ2
19.35Single9BP3Cagrilintide9BP3-CT (AMY1)-Cagrilintide-Gs/β1/γ2; RAMP1
19.35Single9P92VIP9P92-PAC1-VIP-Gs/β1/γ2
19.35Consensusgi_compl-peptOrthosteric Ligand8HK5-C5a1-C5a-Gi1/β1/γ2 8IA8-C3aB-E7 peptide-Gi1/β1/γ2 7Y66-C5a1-BM213-Gi1/β1/γ2 7Y67-C5a1-C089 peptide-Gi1/β1/γ2 8HK2-C3aB-C3a-Gi1/β1/γ2 7Y64-C5a1-C5a-Gi1/β1/γ2
19.35Consensusnpy4_onOrthosteric Ligand7X9C-Y4-Pancreatic Hormone-Gi1/β1/γ2
19.35Consensusnpy4_on_gpOrthosteric Ligand7X9C-Y4-Pancreatic Hormone-Gi1/β1/γ2
19.35Consensuspac1_onOrthosteric Ligand8E3X-PAC1-PACAP27-Gs/β1/γ2 6M1H-PAC1-Maxadilan-Gs/β1/γ2
19.35Consensuspac1_on_gpOrthosteric Ligand8E3X-PAC1-PACAP27-Gs/β1/γ2 6M1H-PAC1-Maxadilan-Gs/β1/γ2
19.35Consensuspac_on_gpOrthosteric Ligandpac1_on_gp
19.35Consensussecretin_onOrthosteric Ligand7D3S-Secretin-Secretin-Gs/β1/γ2
19.23Single6C1QPMX536C1Q-C5a1-PMX53-NDT9513727
19.23Single6OMMWKYMVX6OMM-FPR2-ALX-WKYMVX-Gi1/β1/γ2
19.23Single6XBJCholesterol6XBJ-SMO-Cholesterol-Gi1/β1/γ2
19.23Single7T11Octreotide7T11-SST2-Octreotide-Gi3/β1/γ2
19.23Single7YAEOctreotide7YAE-SST2-Octreotide-Gi1/β1/γ2
19.23Single8H4IDoconexent8H4I-FFA4-Doconexent-chim(NtGi1-Gs)/β1/γ2
19.23Single8IUMTafluprost acid8IUM-FP-alpha-Tafluprost acid-chim(NtGi1-Gs-CtGq)/β1/γ2
19.23Single8QJ2pN1628QJ2-MC4-pN162-Gs/β1/γ2
19.23Single8X3LXWD8X3L-CB2-XWD-Gi1/β1/γ2
19.23Single9KZ8EP679KZ8-C3aB-EP67-Go/β1/γ2
19.23Consensuscxcr_on_gpOrthosteric Ligandcxcr3_on_gp cxcr4_on_gp cxcr1_on_gp cxcr2_on_gp
19.23Consensusgq_cckOrthosteric Ligand8IA7-CCKB-Cholecystokinin-8-chim(NtGi1L-Gq)/β1/γ2 7XOW-CCKB-Sulfated Gastrin-(10-17)-chim(NtGi1-Gq)/β1/γ2 7EZM-CCKA-Cholecystokinin-8-chim(NtGsL-Gq)/β1/γ2 7F8W-CCKB-Gastrin-17-chim(NtGsL-Gq)/β1/γ2
19.05Single3REYPubChem 56973REY-A2A-PubChem 5697
19.05Single5IU4ZM-2413855IU4-A2A-ZM-241385-Na
19.05Single5IUBQ274563445IUB-A2A-Q27456344-Na
19.05Single5K2CZM-2413855K2C-A2A-ZM-241385-Na
19.05Single5NLXZM-2413855NLX-A2A-ZM-241385-Na
19.05Single5NM4ZM-2413855NM4-A2A-ZM-241385-Na
19.05Single5UVIZM-2413855UVI-A2A-ZM-241385
19.05Single6FFIMPEP6FFI-mGlu5-MPEP
19.05Single6MH8ZM-2413856MH8-A2A-ZM-241385
19.05Single6PELCitronellol6PEL-Rhodopsin-Citronellol-Gt(CT)
19.05Single6TPKRetosiban6TPK-OT-Retosiban
19.05Single7AROLUF58337ARO-A2A-LUF5833-Na
19.05Single7BB6AVP7BB6-V2-AVP-Gs/β1/γ2
19.05Single7M3GCa; Ca; Tryptophan; Evocalcet; Etelcalcetide; PO47M3G-CaS; CaS-Ca; Ca; Tryptophan; Evocalcet; Etelcalcetide; PO4
19.05Single7YK6PubChem 1383196747YK6-RXFP4-PubChem 138319674-Gi2/β1/γ2
19.05Single8GUQOlorinab8GUQ-CB2-Olorinab-Gi1/β1/γ2
19.05Single8GURCP559408GUR-CB2-CP55940-Gi1/β1/γ2
19.05Single8RWCStilSwitch28RWC-A2A-StilSwitch2-Na
19.05Single8RWDStilSwitch38RWD-A2A-StilSwitch3-Na
19.05Single8RWIStilSwitch28RWI-A2A-StilSwitch2-Na
19.05Single8WPUTryptophan; Cinacalcet; PO4; Ca8WPU-CaS; CaS-Tryptophan; Cinacalcet; PO4; Ca-chim(NtGi2L-Gs-CtGq)/β1/γ2
19.05Single8Y62C16:0 Ceramide8Y62-FPR2-ALX-C16:0 Ceramide-Gi1/β1/γ2
19.05Single8ZPMAMD0708ZPM-CXCR4-AMD070
19.05Single8ZPNAMD31008ZPN-CXCR4-AMD3100
19.05Single9ASBCa; Ca; Cyclomethyltryptophan; R-568; PO49ASB-CaS; CaS-Ca-Ca; Ca; Cyclomethyltryptophan; R-568; PO4-chim(NtGi1-Gs-CtGq)/β1/γ2
19.05Single9AVGCa; Ca; Cyclomethyltryptophan; R-568; PO49AVG-CaS; CaS-Ca-Ca; Ca; Cyclomethyltryptophan; R-568; PO4-chim(NtGi1-Gs)/β1/γ2
19.05Single9JMDAzithromycin9JMD-Motilin-Azithromycin-chim(Gs-CtGq)/β1/γ2
19.05Single9KPDSalicin9KPD-TAS2R16-Salicin-chim(Gs-CtGt3)/β1/γ2
19.05Single9LKBPL459LKB-OR5V1-PL45-chim(NtGi1-Gs)/β1
19.05Consensusot_offOrthosteric Ligand6TPK-OT-Retosiban
19.05Consensusvasop-oxy_offOrthosteric Ligandot_off
18.75Single4A4MAll-trans-Retinal4A4M-Rhodopsin-All-trans-Retinal-Gt(CT)
18.75Single5EN0All-trans-Retinal5EN0-Rhodopsin-All-trans-Retinal-Gt(CT)
18.75Single5MZPCaffeine5MZP-A2A-Caffeine-Na
18.75Single6B3JExendin-P56B3J-GLP-1-Exendin-P5-Gs/β1/γ2
18.75Single6P9XCorticoliberin-16P9X-CRF1-Corticoliberin-1-Gs/β1/γ2
18.75Single6VCBGLP-16VCB-GLP-1-GLP-1-LSN3160440-Gs/β1/γ2
18.75Single7F4FAfamelanotide7F4F-MC1-Afamelanotide-chim(NtGi1-Gs)/β1/γ2
18.75Single7QBCAlpha-factor mating pheromone7QBC-STE2; STE2-α-factor mating pheromone
18.75Single7YOONeuropeptide-Y7YOO-Y2-Neuropeptide-Y-Gi1/β1/γ2
18.75Single8WCBCyclohexylammonium Ion8WCB-TA1-Cyclohexylammonium Ion-chim(NtGi1-Gs-CtGq)/β1/γ2
18.75Single8WCCCyclohexylammonium Ion8WCC-TA1-Cyclohexylammonium Ion
18.75Single8WWLMCH8WWL-MCH1-MCH-Gi1/β1/γ2
18.75Single8ZJGChemerin8ZJG-CML1-Chemerin-Gi1/β1/γ2
18.75Consensuscrf_onOrthosteric Ligandcrf2_on crf1_on
18.75Consensusglp_onOrthosteric Ligandglp1_on glp2_on
18.75Consensusglp_on_gpOrthosteric Ligandglp1_on_gp glp2_on_gp
18.75Consensusnpy2_onOrthosteric Ligand7YOO-Y2-Neuropeptide-Y-Gi1/β1/γ2
18.75Consensusnpy2_on_gpOrthosteric Ligand7YOO-Y2-Neuropeptide-Y-Gi1/β1/γ2
18.75Consensussecretin_on_gpOrthosteric Ligand7D3S-Secretin-Secretin-Gs/β1/γ2
18.52Single7F4ISHU91197F4I-MC1-SHU9119-chim(NtGi1-Gs)/β1/γ2
18.52Single7QA8Antagonist Peptide7QA8-STE2; STE2-Antagonist Peptide
18.52Single7QA8Antagonist Peptide7QA8-STE2; STE2-Antagonist Peptide
18.52Single7WICSomatostatin-147WIC-SST2-Somatostatin-14-Gi1/β1/γ2
18.52Single8GHVAMG3158GHV-CB1-AMG315-Gi1/β1/γ2
18.52Single8K3ZCXCL128K3Z-CXCR4-CXCL12-Gi1/β1/γ1
18.52Single8WKYPG-9348WKY-MC4-PG-934
18.52Single8XGMChemerin8XGM-CML2-Chemerin-Gi1/β1/γ2
18.52Single9L3YChemerin9L3Y-CML2-Chemerin-Gi1/β1/γ2
18.52Consensuscxcr4_onOrthosteric Ligand8K3Z-CXCR4-CXCL12-Gi1/β1/γ1
18.52Consensusp2y_onOrthosteric Ligandp2y1_on p2y10_on p2y12_on
18.18Single5UENDU1725UEN-A1-DU172
18.18Single6D27CAY104716D27-DP2-CAY10471
18.18Single6FFHFenobam6FFH-mGlu5-Fenobam
18.18Single6IIVDaltroban6IIV-TXA2-Daltroban
18.18Single6KPFAM120336KPF-CB2-AM12033-Gi1/β1/γ2
18.18Single6LPJZM-2413856LPJ-A2A-ZM-241385-Na
18.18Single6LPKZM-2413856LPK-A2A-ZM-241385-Na
18.18Single6PB1Urocortin6PB1-CRF2-Urocortin-chim(NtGi1-Gs)/β1/γ2
18.18Single6WZGSecretin6WZG-Secretin-Secretin-Gs/β1/γ2
18.18Single6XBM25(S)-Epoxycholesterol6XBM-SMO-25(S)-Epoxycholesterol-Gi1/β1/γ2
18.18Single7CFMP3957CFM-GPBA-P395-Gs/β1/γ2
18.18Single7D68GLP-27D68-GLP-2-GLP-2-Gs/β1/γ2
18.18Single7KI1Taspoglutide7KI1-GLP-1-Taspoglutide-Gs/β1/γ2
18.18Single7QBCAlpha-factor mating pheromone7QBC-STE2; STE2-α-factor mating pheromone
18.18Single7V3ZCP559407V3Z-CB1-CP55940
18.18Single7YK7DC5910537YK7-RXFP4-DC591053-Gi2/β1/γ2
18.18Single8IY5Endothelin-18IY5-ETB-Endothelin-1-Gi1/β1/γ2
18.18Single8IY6Endothelin-18IY6-ETB-Endothelin-1
18.18Single8KEXDCA-3P8KEX-MRGPRX4-DCA-3P
18.18Single8RW7StilSwitch18RW7-A2A-StilSwitch1-Na
18.18Single8RWXStilSwitch38RWX-A2A-StilSwitch3-Na
18.18Single9AVGCa; Ca; Cyclomethyltryptophan; R-568; PO49AVG-CaS; CaS-Ca-Ca; Ca; Cyclomethyltryptophan; R-568; PO4-chim(NtGi1-Gs)/β1/γ2
18.18Single9BYOExendin-39BYO-GLP-1-Exendin-3-Gs/β1/γ2
18.18Single9P93VIP9P93-PAC1-VIP-Gs/β1/γ2
18.18Consensuscck_offOrthosteric Ligandccka_off
18.18Consensusccka_offOrthosteric Ligand7F8Y-CCKA-Devazepide 7F8U-CCKA-Lintitript
18.18Consensuslipid_offOrthosteric Ligandcannabinoid_off paf_off lpl_off prostanoid_off leukotriene_off
18.18Consensusnucleotide_offonOrthosteric Ligandnucleotide_off nucleotide_on
18.18Consensusnucleotide_offon_gpOrthosteric Ligandnucleotide_on_gp nucleotide_off
18.18Consensusvip-pacap_onOrthosteric Ligandvpac_on pac_on
18.18Consensusvip-pacap_on_gpOrthosteric Ligandvpac_on_gp pac_on_gp
17.95Consensusclass-b1_onOrthosteric Ligandglucagon_on vip-pacap_on pth_on crf_on calcitonin_on
17.95Consensuspth2_on_gpOrthosteric Ligand7F16-PTH2-TIP39-Gs/β1/γ2
17.86Single7RMISubstance-P7RMI-NK1-Substance-P-chim(Gs-CtGq)/β1/γ2
17.86Single7SK5CXCL127SK5-ACKR3-CXCL12
17.86Single7VBITirzepatide (non-acylated)7VBI-GLP-1-Tirzepatide (non-acylated)-Gs/β1/γ2
17.86Single7WJ5Somatostatin-147WJ5-SST2-Somatostatin-14-Gi1/β1/γ2
17.86Single8KH5Lysophosphatidylserine8KH5-GPR174-Lysophosphatidylserine-Gs/β1/γ2
17.86Single8XYDPlatelet Activating Factor8XYD-PAF-Platelet Activating Factor-Gi1/β1/γ2
17.86Single9L60Dynorphin9L60-κ-Dynorphin-MPAM-15-Gi1/β1/γ2
17.86Consensuscompl-peptide_onOrthosteric Ligandc5a1_on c3a_on
17.86Consensusghrelin_onOrthosteric Ligand7NA7-Ghrelin-Ghrelin-Gi1/β1/γ2 7F9Z-Ghrelin-GHRP-6-chim(NtGi1-Gs-CtGq)/β1/γ2 7NA8-Ghrelin-Ibutamoren-Gi1/β1/γ2
17.86Consensusghrelin_on_gpOrthosteric Ligand7NA7-Ghrelin-Ghrelin-Gi1/β1/γ2 7F9Z-Ghrelin-GHRP-6-chim(NtGi1-Gs-CtGq)/β1/γ2 7NA8-Ghrelin-Ibutamoren-Gi1/β1/γ2
17.65Single5MZJTheophylline5MZJ-A2A-Theophylline-Na
17.65Single6PB0Urocortin6PB0-CRF1-Urocortin-chim(NtGi1-Gs)/β1/γ2
17.65Single7DUQGLP-17DUQ-GLP-1-GLP-1-PubChem 156022738-Gs/β1/γ2
17.65Single7TYXAmylin7TYX-CT (AMY2)-Amylin-Gs/β1/γ2; RAMP2
17.65Single8PWNTheophylline8PWN-A2A-Theophylline
17.65Single8U1UCCL18U1U-CCR8-CCL1-Gi1/β1/γ2
17.65Single9JIDNiacin9JID-HCA3-Niacin-Gi1/β1/γ2
17.65Consensusccr5_on_gpOrthosteric Ligand7O7F-CCR5-6P4-CCL5-Gi1/β1/γ1 7F1Q-CCR5-CCL3-Gi1/β1/γ2
17.65Consensusclass-a_class-b1_cons_onOrthosteric Ligandclass-a_on class-b1_on
17.65Consensuscrf1_onOrthosteric Ligand6PB0-CRF1-Urocortin-chim(NtGi1-Gs)/β1/γ2 6P9X-CRF1-Corticoliberin-1-Gs/β1/γ2
17.65Consensusgi_npyOrthosteric Ligand8K6M-Y1-Neuropeptide-Y-Gi2/β1/γ1 7X9C-Y4-Pancreatic Hormone-Gi1/β1/γ2 7YOO-Y2-Neuropeptide-Y-Gi1/β1/γ2
17.65Consensusnpy_onOrthosteric Ligandnpy1_on npy2_on npy4_on
17.65Consensusnpy_on_gpOrthosteric Ligandnpy1_on_gp npy2_on_gp npy4_on_gp
17.50Single8F0JPramlintide Analogue San458F0J-CT-Pramlintide Analogue San45-Gs/β1/γ2
17.39Single5T1ABMS-6815T1A-CCR2-BMS-681-PubChem 12093170
17.39Single5YHLPubChem 1351213525YHL-EP4-PubChem 135121352
17.39Single5YWYONO-AE3-2085YWY-EP4-ONO-AE3-208
17.39Single5ZBQUR-MK-2995ZBQ-Y1-UR-MK-299
17.39Single6KPCAM120336KPC-CB2-AM12033
17.39Single7E9GJNJ-404118137E9G-mGlu2; mGlu2-Eglumetad-JNJ-40411813-Gi1/β1/γ2
17.39Single7M3GCa; Ca; Tryptophan; Evocalcet; Etelcalcetide; PO47M3G-CaS; CaS-Ca; Ca; Tryptophan; Evocalcet; Etelcalcetide; PO4
17.39Single7YU6ONO-07405567YU6-LPA1-ONO-0740556-Gi1/β1/γ2
17.39Single8GD9Rivenprost8GD9-EP4-Rivenprost-Gs/β1/γ2
17.39Single8GDCPGE28GDC-EP3-PGE2-Gi1/β1/γ2
17.39Single8ID4Linoleic acid8ID4-FFA4-Linoleic acid-Gi1/β1/γ2
17.39Single8K8JFenofibrate8K8J-CB1-Fenofibrate-chim(Gs-CtGq)/β1/γ2
17.39Single8X0BVU04244658X0B-mGlu5; mGlu5-Quisqualate-VU0424465
17.39Single9HC04YI9HC0-mGlu5-4YI
17.39Single9KPFSalicin9KPF-TAS2R16-Salicin-Gi1/β1/γ2
17.39Consensusep4_offOrthosteric Ligand5YWY-EP4-ONO-AE3-208 5YHL-EP4-PubChem 135121352
17.39Consensusep_offOrthosteric Ligandep4_off
17.39Consensuslipid_onOrthosteric Ligandcannabinoid_on ffa_on lpl_on prostanoid_on leukotriene_on
17.39Consensuslipid_on_gpOrthosteric Ligandcannabinoid_on_gp ffa_on_gp lpl_on_gp prostanoid_on_gp leukotriene_on_gp
17.39Consensuslpa1_onOrthosteric Ligand7TD1-LPA1-LPA-Gi1/β1/γ2 7YU3-LPA1-ONO-0740556-Gi1/β1/γ2
17.39Consensuslpa1_on_gpOrthosteric Ligand7TD1-LPA1-LPA-Gi1/β1/γ2 7YU3-LPA1-ONO-0740556-Gi1/β1/γ2
17.39Consensusrxfp4_onOrthosteric Ligand7YK7-RXFP4-DC591053-Gi2/β1/γ2 7YJ4-RXFP4-INSL5-Gi2/β1/γ2 7YK6-RXFP4-PubChem 138319674-Gi2/β1/γ2
17.39Consensusrxfp4_on_gpOrthosteric Ligand7YK7-RXFP4-DC591053-Gi2/β1/γ2 7YJ4-RXFP4-INSL5-Gi2/β1/γ2 7YK6-RXFP4-PubChem 138319674-Gi2/β1/γ2
17.24Single6UUNAdrenomedullin6UUN-CT Like (AM1)-Adrenomedullin-Gs/β1/γ2; RAMP2
17.24Single6VN7PACAP276VN7-VPAC1-PACAP27-Gs/β1/γ2
17.24Single6W25SHU91196W25-MC4-SHU9119-Ca
17.24Single7XA3CCL27XA3-CCR2-CCL2-Gi1/β1/γ2
17.24Single8K6MNeuropeptide-Y8K6M-Y1-Neuropeptide-Y-Gi2/β1/γ1
17.24Single8WKZSBL-MC-318WKZ-MC4-SBL-MC-31
17.24Consensusc5a1_onOrthosteric Ligand8HK5-C5a1-C5a-Gi1/β1/γ2 7Y66-C5a1-BM213-Gi1/β1/γ2 7Y67-C5a1-C089 peptide-Gi1/β1/γ2 7Y64-C5a1-C5a-Gi1/β1/γ2
17.24Consensusccr2_onOrthosteric Ligand7XA3-CCR2-CCL2-Gi1/β1/γ2
17.24Consensusccr2_on_gpOrthosteric Ligand7XA3-CCR2-CCL2-Gi1/β1/γ2
17.24Consensuscompl-peptide_on_gpOrthosteric Ligandc5a1_on_gp c3a_on_gp
17.24Consensuscxcr4_on_gpOrthosteric Ligand8K3Z-CXCR4-CXCL12-Gi1/β1/γ1
17.24Consensusnpy1_onOrthosteric Ligand8K6M-Y1-Neuropeptide-Y-Gi2/β1/γ1
17.24Consensusnpy1_on_gpOrthosteric Ligand8K6M-Y1-Neuropeptide-Y-Gi2/β1/γ1
17.14Single6LPBPACAP276LPB-PAC1-PACAP27-Gs/β1/γ1
17.14Single8FLSAbaloparatide8FLS-PTH1-Abaloparatide-Gs/β1/γ2
17.14Single8FLULA-PTH Analog8FLU-PTH1-LA-PTH Analog-Gs/β1/γ2
17.14Single9AUCCalcitonin gene-related peptide-19AUC-CT (AMY1)-Calcitonin gene-related peptide-1-Gs/β1/γ2; RAMP1
17.14Consensusglp1_onOrthosteric Ligand7S1M-GLP-1-Exendin-4-D-Ala-Gs/β1/γ2 7X8R-GLP-1-BOC5-Gs/β1/γ2 6X19-GLP-1-CHU-128-Gs/β1/γ2 6X1A-GLP-1-Danuglipron-Gs/β1/γ2 6X18-GLP-1-GLP-1-Gs/β1/γ2 8JIP-GLP-1-MEDI0382-chim(NtGi1-Gs)/β1/γ2 7C2E-GLP-1-PubChem 149050799-Gs/β1/γ2 7KI0-GLP-1-Semaglutide-Gs/β1/γ2 7KI1-GLP-1-Taspoglutide-Gs/β1/γ2 7X8S-GLP-1-WB4-24-Gs/β1/γ2 8JIS-GLP-1-Peptide-15-chim(NtGi1-Gs)/β1/γ2 7VBI-GLP-1-Tirzepatide (non-acylated)-Gs/β1/γ2
17.07Single8F2BPramlintide Analogue San458F2B-CT (AMY3)-Pramlintide Analogue San45-Gs/β1/γ2; RAMP3
16.67Single3RFMCaffeine3RFM-A2A-Caffeine
16.67Single4OO9Mavoglurant4OO9-mGlu5-Mavoglurant
16.67Single5XR8AM120335XR8-CB1-AM12033
16.67Single6M1IPACAP276M1I-PAC1-PACAP27-Gs/β1/γ2
16.67Single6O3CCholesterol6O3C-SMO-SAG21k-Cholesterol
16.67Single6TQ9SB-4081246TQ9-OX1-SB-408124
16.67Single6WI9Secretin6WI9-Secretin-Secretin-Gs/β1/γ2
16.67Single7AD3Alpha-factor mating pheromone7AD3-STE2; STE2-α-factor mating pheromone-Gi1/STE4/γ2
16.67Single7F4HAfamelanotide7F4H-MC1-Afamelanotide-chim(NtGi1-Gs)/β1/γ2
16.67Single7F58THIQ7F58-MC4-THIQ-Gs/β1/γ2
16.67Single7FEECP559407FEE-CB1-CP55940-ZCZ011
16.67Single7P2L4YI7P2L-mGlu5-4YI
16.67Single7R0CAVP7R0C-V2-AVP-Arrestin2
16.67Single7VVMPTH7VVM-PTH1-PTH-Gs/β1/γ2
16.67Single7WV9CP559407WV9-CB1-CP55940-ZCZ011-Gi2/β1/γ2
16.67Single7XK8Neuromedin-U-257XK8-NMUR2-Neuromedin-U-25-Gi1/β1/γ2
16.67Single7Y24Octreotide7Y24-SST2-Octreotide-Go/β1/γ2
16.67Single7YONPeptide-YY(3-36)7YON-Y2-Peptide-YY(3-36)-Gi1/β1/γ2
16.67Single7YU5ONO-07405567YU5-LPA1-ONO-0740556-Gi1/β1/γ2
16.67Single7YU7ONO-07405567YU7-LPA1-ONO-0740556-Gi1/β1/γ2
16.67Single8A2OTheophylline8A2O-A2A-Theophylline-Na
16.67Single8I2GPubChem 675302408I2G-FSH-FSH-PubChem 67530240-Gs/β1/γ2
16.67Single8ID6Oleic acid8ID6-FFA4-Oleic acid-Gi1/β1/γ2
16.67Single8IEDPubChem 1347468948IED-GPR156; GPR156-PubChem 134746894-Go/β1/γ2
16.67Single8IUKPGF2-alpha8IUK-FP-alpha-PGF2-α-chim(NtGi1-Gs-CtGq)/β1/γ2
16.67Single8JD5JNJ-40411813; ADX881788JD5-mGlu2; mGlu4-Glutamate-JNJ-40411813; ADX88178-Gi1/β1/γ2
16.67Single8JSRAnamorelin8JSR-Ghrelin-Anamorelin-chim(NtGi1-Gs-CtGq)/β1/γ2
16.67Single8TAOCDPPB8TAO-mGlu5; mGlu5-Quisqualate-CDPPB
16.67Single8WSTMCH8WST-MCH2-MCH-chim(NtGi1L-Gs-CtGq)/β1/γ2
16.67Single8X79MRE-2698X79-I2-MRE-269-Gs/β1/γ2
16.67Single8Y02All-trans-Retinal8Y02-OPN1SW-All-trans-Retinal-Gi1/β1/γ2
16.67Single8YW3Retatrutide8YW3-GLP-1-Retatrutide-Gs/β1/γ2
16.67Single8YW4Retatrutide8YW4-GIP-Retatrutide-chim(NtGi1-Gs)/β1/γ2
16.67Single9ASTLymphotactin9AST-XCR1-Lymphotactin-Gi1/β1/γ2
16.67Single9BLCCagrilintide (non-acylated)9BLC-CT-Cagrilintide (non-acylated)-Gs/β1/γ2
16.67Single9BUDCagrilintide9BUD-CT-Cagrilintide-Gs/β1/γ2
16.67Single9EBOGLP-1 (ACPC18)9EBO-GLP-1-GLP-1 (ACPC18)-Gs/β1/γ2
16.67Single9L0HJR14a9L0H-C3aB-JR14a-Go/β1/γ2
16.67Single9RHGC4079RHG-FZD7-C407
16.67Single9UY3Anamorelin9UY3-Ghrelin-Anamorelin-chim(NtGi1-Gs-CtGq)/β1/γ2
16.67Consensusc5a1_on_gpOrthosteric Ligand8HK5-C5a1-C5a-Gi1/β1/γ2 7Y66-C5a1-BM213-Gi1/β1/γ2 7Y67-C5a1-C089 peptide-Gi1/β1/γ2 7Y64-C5a1-C5a-Gi1/β1/γ2
16.67Consensuscrf1_on_gpOrthosteric Ligand6PB0-CRF1-Urocortin-chim(NtGi1-Gs)/β1/γ2 6P9X-CRF1-Corticoliberin-1-Gs/β1/γ2
16.67Consensuscrf2_onOrthosteric Ligand7TS0-CRF2-Urocortin-chim(NtGi1L-Go)/β1/γ2
16.67Consensuscyslt1_offOrthosteric Ligand6RZ5-CysLT1-Zafirlukast-Na 6RZ4-CysLT1-Pranlukast-Na
16.67Consensusgi_lpaOrthosteric Ligand7TD1-LPA1-LPA-Gi1/β1/γ2 7YU3-LPA1-ONO-0740556-Gi1/β1/γ2
16.67Consensusgi_relaxinOrthosteric Ligand7YK7-RXFP4-DC591053-Gi2/β1/γ2 7YJ4-RXFP4-INSL5-Gi2/β1/γ2 7YK6-RXFP4-PubChem 138319674-Gi2/β1/γ2
16.67Consensuslpa_onOrthosteric Ligandlpa1_on
16.67Consensuslpa_on_gpOrthosteric Ligandlpa1_on_gp
16.67Consensusnpy1_offOrthosteric Ligand5ZBH-Y1-BMS-193885 5ZBQ-Y1-UR-MK-299
16.67Consensusp2y_on_gpOrthosteric Ligandp2y1_on_gp p2y10_on_gp p2y12_on_gp
16.67Consensusprotein_offonOrthosteric Ligandprotein_off protein_on
16.67Consensusprotein_offon_gpOrthosteric Ligandprotein_on_gp protein_off
16.67Consensuspth1_on_gpOrthosteric Ligand6NBF-PTH1-LA-PTH Analog-Gs/β1/γ2 8HA0-PTH1-PTH-chim(NtGi1-Gs)/β1/γ2 8HAF-PTH1-PTHrP(1-36)-chim(NtGi1-Gs)/β1/γ2 7Y36-PTH1-PTH-Gs/β1/γ2 7Y35-PTH1-Abaloparatide-Gs/β1/γ2
16.67Consensusrelaxin_onOrthosteric Ligandrxfp4_on
16.67Consensusrelaxin_on_gpOrthosteric Ligandrxfp4_on_gp
16.28Consensusclass-b1_on_gpOrthosteric Ligandglucagon_on_gp vip-pacap_on_gp pth_on_gp crf_on_gp calcitonin_on_gp
16.22Single7TYYCalcitonin-17TYY-CT (AMY2)-Calcitonin-1-Gs/β1/γ2; RAMP2
16.22Single7Y36PTH7Y36-PTH1-PTH-Gs/β1/γ2
16.22Single8FLQPTH8FLQ-PTH1-PTH-Gs/β1/γ2
16.22Consensusglucagon_onOrthosteric Ligandglp_on gluc_on secretin_on gip_on
16.22Consensuspth2_onOrthosteric Ligand7F16-PTH2-TIP39-Gs/β1/γ2
16.13Single6X18GLP-16X18-GLP-1-GLP-1-Gs/β1/γ2
16.13Single7LLYOxyntomodulin7LLY-GLP-1-Oxyntomodulin-Gs/β1/γ2
16.13Single7P02Substance-P7P02-NK1-Substance-P-chim(NtGi1-Gs)/β1/γ2
16.13Single7X9BNeuropeptide-Y7X9B-Y2-Neuropeptide-Y-Gi1/β1/γ2
16.13Single8HCQEndothelin-18HCQ-ETA-Endothelin-1-chim(NtGi1-Gs-CtGq)/β1/γ2
16.13Single8HK5C5a8HK5-C5a1-C5a-Gi1/β1/γ2
16.13Single8IODPG-9018IOD-MC5-PG-901-Ca-chim(NtGi1-Gs)/β1/γ2
16.13Single8XVIEndothelin-18XVI-ETA-Endothelin-1-chim(Gs-CtGq)/β1/γ2
16.13Consensuschemokine_offOrthosteric Ligandccr_off cxcr_off
16.13Consensuschemokine_on_gpOrthosteric Ligandccr_on_gp cxcr_on_gp
16.13Consensuscxcr_offOrthosteric Ligandcxcr3_off cxcr4_off
16.13Consensuseta_onOrthosteric Ligand8HCQ-ETA-Endothelin-1-chim(NtGi1-Gs-CtGq)/β1/γ2
16.13Consensuseta_on_gpOrthosteric Ligand8HCQ-ETA-Endothelin-1-chim(NtGi1-Gs-CtGq)/β1/γ2
16.13Consensusgi_chemokineOrthosteric Ligand6WWZ-CCR6-CCL20-Go/β1/γ2 8HNK-CXCR3-CXCL11-Gi1/β1/γ2 8K3Z-CXCR4-CXCL12-Gi1/β1/γ1 8IC0-CXCR1-CXCL8-Gi1/β1/γ2 6LFM-CXCR2-CXCL8-Gi1/β1/γ2 8KFX-CCR8-LMD-009-Gi1/β1/γ2 7F1Q-CCR5-CCL3-Gi1/β1/γ2 8HNL-CXCR3-PS372424-Gi1/β1/γ2 8KFY-CCR8-ZK-756326-Gi1/β1/γ2 7O7F-CCR5-6P4-CCL5-Gi1/β1/γ1 8U1U-CCR8-CCL1-Gi1/β1/γ2 7VLA-CCR1-CCL15(27-92)-Gi1/β1/γ2 7XA3-CCR2-CCL2-Gi1/β1/γ2
16.13Consensuspac_onOrthosteric Ligandpac1_on
16.13Consensusvpac_onOrthosteric Ligandvpac1_on vpac2_on
16.00Single4N4WSANT-14N4W-SMO-SANT-1
16.00Single6AK3PGE26AK3-EP3-PGE2
16.00Single6C1RPMX536C1R-C5a1-PMX53-Avacopan; Na
16.00Single6IIURamatroban6IIU-TXA2-Ramatroban
16.00Single6KQICP559406KQI-CB1-CP55940-Org27569
16.00Single7L1UOrexin7L1U-OX2-Orexin-chim(NtGi1-Gs-CtGq)/β1/γ2
16.00Single7W0NElabela7W0N-Apelin; Apelin-Elabela-Gi1/β1/γ2
16.00Single7Y66BM2137Y66-C5a1-BM213-Gi1/β1/γ2
16.00Single8GCPPGE28GCP-EP4-PGE2-Gi1/β1/γ2
16.00Single8H0QGastrin Releasing Peptide8H0Q-BB2-Gastrin Releasing Peptide-chim(NtGi1-Gs-CtGq)/β1/γ2
16.00Single8XQSCholesterol8XQS-TAS2R14-Cholesterol-Flufenamic acid-Gi1/β1/γ1
16.00Single9L3WChemerin9L3W-CML1-Chemerin-Gi1/β1/γ2
16.00Single9W32SSTR5 antagonist 19W32-SST5-SSTR5 antagonist 1
16.00Single9WXMGPR15L(CT)9WXM-GPR15-GPR15L(CT)-Gi3/β1/γ2
16.00Consensuscb1_onOrthosteric Ligand6KPG-CB1-AM841-Gi1/β1/γ2 8K8J-CB1-Fenofibrate-chim(Gs-CtGq)/β1/γ2
16.00Consensuscxcr_onOrthosteric Ligandcxcr3_on cxcr4_on cxcr1_on cxcr2_on
16.00Consensuslipid_offonOrthosteric Ligandlipid_off lipid_on
16.00Consensuslipid_offon_gpOrthosteric Ligandlipid_on_gp lipid_off
15.79Single3OE6IT1t3OE6-CXCR4-IT1t
15.79Single6ME5Agomelatine6ME5-MT1-Agomelatine
15.79Single8EITDoconexent8EIT-FFA1-Doconexent-chim(NtGi1L-Gs-CtGq)/β1/γ2
15.79Single8JEFPubChem 113671668JEF-HCA3-PubChem 11367166-Gi1/β1/γ2
15.79Single8SZFCa; Ca; Tryptophan; Cinacalcet; PO4; Spermine8SZF-CaS; CaS-Ca; Ca; Tryptophan; Cinacalcet; PO4; Spermine
15.79Single9IV15alpha-DHT9IV1-ADGRD1-5α-DHT-chim(NtGi1-Gs)/β1/γ2
15.79Consensusglucagon_on_gpOrthosteric Ligandglp_on_gp gluc_on_gp secretin_on_gp gip_on_gp
15.79Consensuspth_onOrthosteric Ligandpth1_on pth2_on
15.62Single6FJ3PTH6FJ3-PTH1-PTH
15.62Single7CZ5Somatoliberin7CZ5-GHRH-Somatoliberin-Gs/β1/γ2
15.62Single7D3SSecretin7D3S-Secretin-Secretin-Gs/β1/γ2
15.62Single7KI0Semaglutide7KI0-GLP-1-Semaglutide-Gs/β1/γ2
15.62Single7RA3GIP7RA3-GIP-GIP-chim(NtGi1-Gs)/β1/γ2
15.62Single7VABTirzepatide (non-acylated)7VAB-GIP-Tirzepatide (non-acylated)-chim(NtGi1-Gs)/β1/γ2
15.62Single8JISPeptide-158JIS-GLP-1-Peptide-15-chim(NtGi1-Gs)/β1/γ2
15.62Single8XQFApelin-138XQF-Apelin-Apelin-13-Gi1/β1/γ2
15.62Single9BLBCagrilintide (non-acylated)9BLB-CT-Cagrilintide (non-acylated)-Gs/β1/γ2
15.62Single9J1Pg1:Ox9J1P-GLP-1-g1:Ox-chim(NtGi1-Gs)/β1/γ2
15.62Consensusccr_offOrthosteric Ligandccr2_off ccr5_off
15.62Consensuscrf2_on_gpOrthosteric Ligand7TS0-CRF2-Urocortin-chim(NtGi1L-Go)/β1/γ2
15.62Consensusvpac_on_gpOrthosteric Ligandvpac1_on_gp vpac2_on_gp
15.38Single4RWSvMIP-II4RWS-CXCR4-vMIP-II
15.38Single6KPGAM8416KPG-CB1-AM841-Gi1/β1/γ2
15.38Single7D7MPGE27D7M-EP4-PGE2-Gs/β1/γ1
15.38Single7EZMCholecystokinin-87EZM-CCKA-Cholecystokinin-8-chim(NtGsL-Gq)/β1/γ2
15.38Single7VVNPTH7VVN-PTH1-PTH-Gs/β1/γ2
15.38Single7Y27Somatostatin-147Y27-SST2-Somatostatin-14-chim(NtGi2L-Gs-CtGq)/β1/γ2
15.38Single8HN1Toxin AdTx18HN1-Alpha1A-Toxin AdTx1
15.38Single8ID8TUG-8918ID8-FFA4-TUG-891-Gi1/β1/γ2
15.38Single8WRZAM8418WRZ-CB1-AM841-Arrestin2
15.38Single8ZX4Lysophosphatidylinositol 8ZX4-GPR55-Lysophosphatidylinositol-chim(NtGi1-G13)/β1/γ2
15.38Single9C0KExendin-49C0K-GLP-1-Exendin-4-Gs/β1/γ2
15.38Single9GE3Lysophosphatidylinositol9GE3-GPR55-Lysophosphatidylinositol-chim(NtGi1-G13)/β1/γ2
15.38Single9GG5U466199GG5-TXA2-U46619-chim(NtGi2L-Gs-CtGq)/β1/γ2
15.38Single9KWXC5a-des-Arg9KWX-C5a1-C5a-des-Arg-Go/β1/γ2
15.38Single9M1HPGE29M1H-EP1-PGE2-chim(NtGi1-Gs-CtGq)/β1/γ2
15.38Single9UYHChemerin-99UYH-CML2-Chemerin-9-Arrestin2
15.38Single9UYMChemerin-99UYM-CML2-Chemerin-9-chim(Arrestin3-CtArrestin2)
15.38Single9VI9RFRP-39VI9-NPFF1-RFRP-3-Gi1/β1/γ2
15.15Single7AD3Alpha-factor mating pheromone7AD3-STE2; STE2-α-factor mating pheromone-Gi1/STE4/γ2
15.15Single7DTYGIP7DTY-GIP-GIP-Gs/β1/γ2
15.15Single7F53Alpha-MSH7F53-MC4-α-MSH-Gs/β1/γ2
15.15Single7FIYTirzepatide7FIY-GIP-Tirzepatide-Gs/β1/γ2
15.15Single7S1MExendin-4-D-Ala7S1M-GLP-1-Exendin-4-D-Ala-Gs/β1/γ2
15.15Single7TYNCalcitonin-17TYN-CT-Calcitonin-1-Gs/β1/γ2
15.15Single7VQXPACAP277VQX-VPAC1-PACAP27-Gs/β1/γ2
15.15Single9P94PACAP279P94-PAC1-PACAP27-Gs/β1/γ2
15.15Consensusp2y10_on_gpOrthosteric Ligand8KGG-P2Y10-Lysophosphatidylserine (WJS)-chim(NtGi2-G13)/β1/γ2
15.00Single6PGSGeraniol6PGS-Rhodopsin-Geraniol-Gt(CT)
15.00Single6PH7Nerol6PH7-Rhodopsin-Nerol-Gt(CT)
15.00Single6QNOAll-trans-Retinal6QNO-Rhodopsin-All-trans-Retinal-Gi1/β1/γ1
15.00Single6TQ4PubChem 160468446TQ4-OX1-PubChem 16046844-Na
15.00Single7D76Beclomethasone7D76-ADGRG3-Beclomethasone-Go/β1/γ2
15.00Single7F16TIP397F16-PTH2-TIP39-Gs/β1/γ2
15.00Single7VUIJNJ-635330547VUI-GPR139-JNJ-63533054-GTP-chim(Gs-CtGq)/β1/γ2
15.00Single7XP6Strychnine7XP6-TAS2R46-Strychnine-chim(Gs-CtGt3)/β1/γ2
15.00Single8RWHStilSwitch28RWH-A2A-StilSwitch2-Na
15.00Single8WPUTryptophan; Cinacalcet; PO4; Ca8WPU-CaS; CaS-Tryptophan; Cinacalcet; PO4; Ca-chim(NtGi2L-Gs-CtGq)/β1/γ2
15.00Single8X2KOleic monoethanolamide8X2K-GPR3-Oleic monoethanolamide-chim(NtGi1-Gs)/β1/γ2
15.00Single8ZX5AM2518ZX5-GPR55-AM251-chim(NtGi1-G13)/β1/γ2
15.00Single9B9YTaranabant9B9Y-CB1-Taranabant
15.00Single9C1PCa; Tryptophan; '6218; PO49C1P-CaS; CaS-Ca-Ca; Tryptophan; '6218; PO4
15.00Single9L3ZLRH7-C29L3Z-CML1-LRH7-C2
15.00Single9YDAAll-trans-Retinal9YDA-Opsin1MW-All-trans-Retinal-chim(NtGi1L-Gs-CtGt)/β1/γ2
14.81Single5VBLAMG3054 5VBL-Apelin-AMG3054
14.81Single7F9ZGHRP-67F9Z-Ghrelin-GHRP-6-chim(NtGi1-Gs-CtGq)/β1/γ2
14.81Single7RMGSubstance-P7RMG-NK1-Substance-P-chim(Gs-CtGq)/β1/γ2
14.81Single7X8SWB4-247X8S-GLP-1-WB4-24-Gs/β1/γ2
14.81Single7XBXCX3CL17XBX-CX3CR1-CX3CL1-Gi1/β1/γ2
14.81Single7Y1FDynorphin7Y1F-κ-Dynorphin-Gi1/β1/γ2
14.81Single8GDAL9026888GDA-EP4-L902688-Gs/β1/γ2
14.81Single8IQ4Carboprost8IQ4-FP-alpha-Carboprost-chim(NtGi1-Gs-CtGq)/β1/γ2
14.81Single9KX6C5a-des-Arg9KX6-C5a1-C5a-des-Arg-Go/β1/γ2
14.81Consensuscxcr4_offOrthosteric Ligand4RWS-CXCR4-vMIP-II 3OE0-CXCR4-CVX15 3OE6-CXCR4-IT1t
14.81Consensuskiss1_onOrthosteric Ligand8ZJD-Kiss1-Kisspeptin-1-chim(NtGi1-Gq)/β1/γ1
14.81Consensuskisspeptin_onOrthosteric Ligandkiss1_on
14.71Single5VAIGLP-15VAI-GLP-1-GLP-1-Gs/β1/γ2
14.71Single6LMLGlucagon6LML-Glucagon-Glucagon-Gi1/β1/γ1
14.71Single6NBHLA-PTH Analog6NBH-PTH1-LA-PTH Analog-Gs/β1/γ2
14.71Single6UUSAdrenomedullin6UUS-CT Like (AM2)-Adrenomedullin-Gs/β1/γ2; RAMP3
14.71Single7TYLAmylin7TYL-CT-Amylin-Gs/β1/γ2
14.71Single7VVJPTHrP(1-36)7VVJ-PTH1-PTHrP(1-36)-Gs/β1/γ2
14.71Single8HAFPTHrP(1-36)8HAF-PTH1-PTHrP(1-36)-chim(NtGi1-Gs)/β1/γ2
14.71Single8KGGLysophosphatidylserine (WJS)8KGG-P2Y10-Lysophosphatidylserine (WJS)-chim(NtGi2-G13)/β1/γ2
14.71Consensuspth1_onOrthosteric Ligand6NBF-PTH1-LA-PTH Analog-Gs/β1/γ2 8HA0-PTH1-PTH-chim(NtGi1-Gs)/β1/γ2 8HAF-PTH1-PTHrP(1-36)-chim(NtGi1-Gs)/β1/γ2 7Y36-PTH1-PTH-Gs/β1/γ2 7Y35-PTH1-Abaloparatide-Gs/β1/γ2
14.71Consensusvpac2_onOrthosteric Ligand7VQX-VPAC1-PACAP27-Gs/β1/γ2
14.71Consensusvpac2_on_gpOrthosteric Ligand7VQX-VPAC1-PACAP27-Gs/β1/γ2
14.29Single3PWHZM-2413853PWH-A2A-ZM-241385
14.29Single5ZKQABT-4915ZKQ-PAF-ABT-491
14.29Single6X19CHU-1286X19-GLP-1-CHU-128-Gs/β1/γ2
14.29Single7BR3Elagolix7BR3-GnRH1-Elagolix
14.29Single7M3FCa; Ca; Tryptophan; Cinacalcet7M3F-CaS; CaS-Ca; Ca; Tryptophan; Cinacalcet
14.29Single7NA7Ghrelin7NA7-Ghrelin-Ghrelin-Gi1/β1/γ2
14.29Single7S8PMS471347S8P-MRGPRX4-MS47134-chim(NtGi2L-Gs-CtGq)/β1/γ2
14.29Single7SILCa; Ca; Ca; Cyclomethyltryptophan; R-568; PO47SIL-CaS; CaS-Ca-Ca; Ca; Ca; Cyclomethyltryptophan; R-568; PO4
14.29Single7SILCa; Ca; Ca; Cyclomethyltryptophan; R-568; PO47SIL-CaS; CaS-Ca-Ca; Ca; Ca; Cyclomethyltryptophan; R-568; PO4
14.29Single7W53Neuromedin-U-257W53-NMUR1-Neuromedin-U-25-chim(NtGi1-Gs-CtGq)/β1/γ2
14.29Single7W56Neuromedin-S7W56-NMUR1-Neuromedin-S-chim(NtGi1-Gs-CtGq)/β1/γ2
14.29Single7X2CFenoldopam7X2C-D1-Fenoldopam-Fenoldopam-Gs/β1/γ2
14.29Single7XMRSomatostatin-147XMR-SST2-Somatostatin-14-Gi1/β1/γ2
14.29Single8HMPC178HMP-GPR52-C17-Gs/β1/γ2
14.29Single8IEBPubChem 1347468948IEB-GPR156; GPR156-PubChem 134746894
14.29Single8IZBLysophosphatidylserine (UBL)8IZB-GPR174-Lysophosphatidylserine (UBL)-Gs/β1/γ2
14.29Single8J20Valeric acid8J20-FFA3-Valeric acid-AR420626-Gi1/β1/γ2
14.29Single8KIGSHU91198KIG-MC3-SHU9119-Ca
14.29Single8RVWStilSwitch38RVW-A2A-StilSwitch3-Na
14.29Single8RW4AzoSwitch28RW4-A2A-AzoSwitch2-Na
14.29Single8RWEStilSwitch48RWE-A2A-StilSwitch4-Na
14.29Single8U4OCXCL128U4O-CXCR4-CXCL12-Gi1/β1/γ2
14.29Single8U4PAMD31008U4P-CXCR4-AMD3100-Gi1/β1/γ2
14.29Single8YWFRetatrutide8YWF-GLP-1-Retatrutide-chim(NtGi1-Gs)/β1/γ2
14.29Single8ZCJPasireotide8ZCJ-SST5-Pasireotide-Gi1/β1/γ1
14.29Single8ZJDKisspeptin-18ZJD-Kiss1-Kisspeptin-1-chim(NtGi1-Gq)/β1/γ1
14.29Single9FUPIstradefylline9FUP-A2A-Istradefylline-Na
14.29Single9HB3Mambaquaretin-19HB3-V2-Mambaquaretin-1
14.29Single9MEJGp1209MEJ-CXCR4-Gp120
14.29Consensusgip_onOrthosteric Ligand7FIN-GIP-Peptide-20; GGL-Gs/β1/γ2 7FIY-GIP-Tirzepatide-Gs/β1/γ2 7DTY-GIP-GIP-Gs/β1/γ2
14.29Consensusgip_on_gpOrthosteric Ligand7FIN-GIP-Peptide-20; GGL-Gs/β1/γ2 7FIY-GIP-Tirzepatide-Gs/β1/γ2 7DTY-GIP-GIP-Gs/β1/γ2
14.29Consensusgnrh1_offOrthosteric Ligand7BR3-GnRH1-Elagolix
14.29Consensusgq_kisspeptinOrthosteric Ligand8ZJD-Kiss1-Kisspeptin-1-chim(NtGi1-Gq)/β1/γ1
14.29Consensuskiss1_on_gpOrthosteric Ligand8ZJD-Kiss1-Kisspeptin-1-chim(NtGi1-Gq)/β1/γ1
14.29Consensuskisspeptin_on_gpOrthosteric Ligandkiss1_on_gp
14.29Consensusmc4_onOrthosteric Ligand7AUE-MC4-Setmelanotide-chim(NtGi1L-Gs)/β1/γ2 7F58-MC4-THIQ-Gs/β1/γ2 7F54-MC4-Afamelanotide-Gs/β1/γ2 7F53-MC4-α-MSH-Gs/β1/γ2 7F55-MC4-Bremelanotide-Gs/β1/γ2
14.29Consensusnmur1_on_gpOrthosteric Ligand7W53-NMUR1-Neuromedin-U-25-chim(NtGi1-Gs-CtGq)/β1/γ2
14.29Consensuspaf_offOrthosteric Ligand5ZKQ-PAF-ABT-491
14.29Consensuspth_on_gpOrthosteric Ligandpth1_on_gp pth2_on_gp
13.89Single8F2APramlintide Analogue San3858F2A-CT (AMY3)-Pramlintide Analogue San385-Gs/β1/γ2; RAMP3
13.89Consensusmelanocortin_onOrthosteric Ligandmc1_on mc4_on mc2_on mc3_on mc5_on
13.89Consensusmelanocortin_on_gpOrthosteric Ligandmc1_on_gp mc4_on_gp mc2_on_gp mc3_on_gp mc5_on_gp
13.79Single7C6A(Sar1,Ile8)-Angiotensin II7C6A-AT2-(Sar1,Ile8)-Angiotensin II
13.79Single7E14Orforglipron7E14-GLP-1-Orforglipron-PubChem 156022738-Gs/β1/γ2
13.79Single8F7QBeta-Endorphin8F7Q-μ-β-Endorphin-Gi1/β1/γ2
13.79Single8WSSMCH8WSS-MCH1-MCH-Gi1/β1/γ1
13.79Single9IQRMuscarinic toxin 39IQR-α2a-Muscarinic toxin 3
13.79Single9KV6TLQP219KV6-C3aB-TLQP21-Go/β1/γ2
13.79Consensusgi_ghrelinOrthosteric Ligand7NA7-Ghrelin-Ghrelin-Gi1/β1/γ2 7NA8-Ghrelin-Ibutamoren-Gi1/β1/γ2
13.79Consensusmc4_on_gpOrthosteric Ligand7AUE-MC4-Setmelanotide-chim(NtGi1L-Gs)/β1/γ2 7F58-MC4-THIQ-Gs/β1/γ2 7F54-MC4-Afamelanotide-Gs/β1/γ2 7F53-MC4-α-MSH-Gs/β1/γ2 7F55-MC4-Bremelanotide-Gs/β1/γ2
13.79Consensusmc5_onOrthosteric Ligand8INR-MC5-α-MSH-Ca-chim(NtGi1-Gs)/β1/γ2 8IOD-MC5-PG-901-Ca-chim(NtGi1-Gs)/β1/γ2
13.64Single6FKAPubChem 1324730376FKA-Rhodopsin-PubChem 132473037
13.64Single6PT0WIN 55212-26PT0-CB2-WIN 55212-2-Gi1/β1/γ2
13.64Single7XOVSR1461317XOV-CCKA-SR146131-Gs/β1/γ2
13.64Single8H4LDoconexent8H4L-FFA4-Doconexent-chim(NtGi1-Gs-CtGq)/β1/γ2
13.64Single8HQN9-S-HODE8HQN-GPR132-9-S-HODE-Gi1/β1/γ2
13.64Single8K2WAMG4878K2W-CXCR3-AMG487
13.64Single8X7ATreprostinil8X7A-I2-Treprostinil-Gs/β1/γ2
13.64Single9BA0MRI-18919BA0-CB1-MRI-1891
13.64Single9KXSEP679KXS-C5a1-EP67-Go/β1/γ2
13.64Single9M2FNeuropeptide-FF9M2F-NPFF1-Neuropeptide-FF-Gi1/β1/γ2
13.64Single9W33S5A19W33-SST5-S5A1
13.64Consensuscb1_offOrthosteric Ligand5U09-CB1-Taranabant 5TGZ-CB1-AM6538
13.64Consensuscxcr3_offOrthosteric Ligand8K2W-CXCR3-AMG487
13.64Consensusgrh_offOrthosteric Ligandgnrh1_off
13.64Consensusnucleotide_offOrthosteric Ligandadenosine_off p2y_off
13.51Single6WPWZP37806WPW-Glucagon-ZP3780-Gs/β1/γ2
13.51Single8JIPMEDI03828JIP-GLP-1-MEDI0382-chim(NtGi1-Gs)/β1/γ2
13.51Single8JIRSAR4258998JIR-GLP-1-SAR425899-chim(NtGi1-Gs)/β1/γ2
13.51Single9JR2PTH9JR2-PTH1-PTH-chim(NtGi1L-Gs-CtGq)/β1/γ2
13.33Single3OE0CVX153OE0-CXCR4-CVX15
13.33Single6MEOGp160; CD46MEO-CCR5-Gp160; CD4
13.33Single7F4DAlpha-MSH7F4D-MC1-α-MSH-chim(NtGi1-Gs)/β1/γ2
13.33Single7O7F6P4-CCL57O7F-CCR5-6P4-CCL5-Gi1/β1/γ1
13.33Single7RYCOxytocin7RYC-OT-Oxytocin-chim(NtGi2L-Gs-CtGq)/β1/γ2
13.33Single8K6NNeuropeptide-Y8K6N-Y2-Neuropeptide-Y-Gi2/β1/γ1
13.33Single9LXRLA-PTH Analog9LXR-PTH1-LA-PTH Analog-Arrestin2
13.33Consensusccr_onOrthosteric Ligandccr6_on ccr8_on ccr2_on ccr1_on ccr5_on
13.33Consensusclass-b1_class-b2_cons_onOrthosteric Ligandclass-b1_on class-b2_on
13.33Consensusclass-b1_class-b2_cons_on_gpOrthosteric Ligandclass-b1_on_gp class-b2_on_gp
13.16Single9JR3PTH9JR3-PTH1-PTH-chim(NtGi1L-Gs-CtGq)/β1/γ2
13.04Single6X1ADanuglipron6X1A-GLP-1-Danuglipron-Gs/β1/γ2
13.04Single7LCIDanuglipron7LCI-GLP-1-Danuglipron-Gs/β1/γ2
13.04Single7NA8Ibutamoren7NA8-Ghrelin-Ibutamoren-Gi1/β1/γ2
13.04Single7YU4ONO-07405567YU4-LPA1-ONO-0740556
13.04Single8GCML-9026888GCM-EP4-L-902688-Gi1/β1/γ2
13.04Single8XJLPGF2-alpha8XJL-FP-alpha-PGF2-α-chim(NtGi2-Gs-CtGq)/β1/γ2
13.04Single8ZBEOctreotide8ZBE-SST5-Octreotide-Gi1/β1/γ1
13.04Single9IYAONO-97105319IYA-GPR55-ONO-9710531
13.04Single9JQZGrapiprant 9JQZ-EP4-Grapiprant
12.90Single5WB2CX3CL1.355WB2-US28-CX3CL1.35
12.90Single6METGp160; CD46MET-CCR5-Gp160; CD4
12.90Single7FINPeptide-20; GGL7FIN-GIP-Peptide-20; GGL-Gs/β1/γ2
12.90Single7T10Somatostatin-147T10-SST2-Somatostatin-14-Gi3/β1/γ2
12.90Single7TYIAmylin7TYI-CT-Amylin-Gs/β1/γ2
12.90Single7W57Neuromedin-S7W57-NMUR2-Neuromedin-S-chim(NtGi1-Gs-CtGq)/β1/γ2
12.90Single8HA0PTH8HA0-PTH1-PTH-chim(NtGi1-Gs)/β1/γ2
12.90Single8XZJWN3538XZJ-Apelin; Apelin-WN353-Gi1/β1/γ2
12.90Single8YW5Retatrutide8YW5-Glucagon-Retatrutide-Gs/β1/γ2
12.90Consensusmc5_on_gpOrthosteric Ligand8INR-MC5-α-MSH-Ca-chim(NtGi1-Gs)/β1/γ2 8IOD-MC5-PG-901-Ca-chim(NtGi1-Gs)/β1/γ2
12.90Consensustachykinin_onOrthosteric Ligandnk1_on nk2_on nk3_on
12.82Single6E3YCalcitonin gene-related peptide-16E3Y-CT Like-Calcitonin gene-related peptide-1-Gs/β1/γ2; RAMP1
12.50Single4NTJAZD12834NTJ-P2Y12-AZD1283
12.50Single4PHUFasiglifam4PHU-FFA1-Fasiglifam
12.50Single6M9TMisoprostol-FA6M9T-EP3-Misoprostol-FA
12.50Single6RZ4Pranlukast6RZ4-CysLT1-Pranlukast-Na
12.50Single6XBKCholesterol6XBK-SMO-Cholesterol-Gi1/β1/γ2
12.50Single7F9YGhrelin7F9Y-Ghrelin-Ghrelin-chim(NtGi1-Gs-CtGq)/β1/γ2
12.50Single7TYWCalcitonin-17TYW-CT (AMY1)-Calcitonin-1-Gs/β1/γ2; RAMP1
12.50Single7VL9CCL15(26-92)7VL9-CCR1-CCL15(26-92)-Gi1/β1/γ2
12.50Single7Y26Octreotide7Y26-SST2-Octreotide-chim(NtGi2L-Gs-CtGq)/β1/γ2
12.50Single7YU3ONO-07405567YU3-LPA1-ONO-0740556-Gi1/β1/γ2
12.50Single8EJCTAK-8758EJC-FFA1-TAK-875-chim(NtGi1L-Gs-CtGq)/β1/γ2
12.50Single8ZVZBW245C8ZVZ-DP1-BW245C-Gs/β1/γ2
12.50Single9B9ZMRI-18679B9Z-CB1-MRI-1867
12.50Single9EE5ONO-25502899EE5-DP1-ONO-2550289
12.50Single9EKHONO-30302979EKH-DP1-ONO-3030297
12.50Single9ERXD9-THC analog9ERX-CB1-D9-THC analog-Gi1/β1/γ2
12.50Single9GE2ML1849GE2-GPR55-ML184-chim(NtGi1-G13)/β1/γ2
12.50Single9KO4CCL219KO4-CCR7-CCL21-Gi1/β1/γ2
12.50Consensuscalcitonin_onOrthosteric Ligandctlike_on
12.50Consensusccr_on_gpOrthosteric Ligandccr6_on_gp ccr8_on_gp ccr2_on_gp ccr1_on_gp ccr5_on_gp
12.50Consensusmc2_onOrthosteric Ligand8GY7-MC2-Corticotropin-Ca-chim(NtGi1-Gs)/β1/γ2; MRAP1
12.50Consensusmc2_on_gpOrthosteric Ligand8GY7-MC2-Corticotropin-Ca-chim(NtGi1-Gs)/β1/γ2; MRAP1
12.50Consensusp2y10_onOrthosteric Ligand8KGG-P2Y10-Lysophosphatidylserine (WJS)-chim(NtGi2-G13)/β1/γ2
12.12Single5UIW5P7-CCL55UIW-CCR5-5P7-CCL5
12.12Single6NBFLA-PTH Analog6NBF-PTH1-LA-PTH Analog-Gs/β1/γ2
12.12Single7SK3CXCL127SK3-ACKR3-CXCL12
12.12Single7SK4CXCL12_LRHQ7SK4-ACKR3-CXCL12_LRHQ
12.12Single9BUBCagrilintide9BUB-CT-Cagrilintide-Gs/β1/γ2
12.12Consensuscalcitonin_on_gpOrthosteric Ligandctlike_on_gp
12.12Consensusccr5_offOrthosteric Ligand5UIW-CCR5-5P7-CCL5
12.00Single5TZRMK86665TZR-FFA1-MK8666
12.00Single5XRAAM115425XRA-CB1-AM11542
12.00Single5ZBHBMS-1938855ZBH-Y1-BMS-193885
12.00Single6RZ5Zafirlukast6RZ5-CysLT1-Zafirlukast-Na
12.00Single7T9NDPPC7T9N-TSH-M22 Fab-DPPC-Gs/β1/γ2
12.00Single7XWONeurokinin-A7XWO-NK2-Neurokinin-A-chim(NtGi1-Gs-CtGq)/β1/γ2
12.00Single7Y67C089 peptide7Y67-C5a1-C089 peptide-Gi1/β1/γ2
12.00Single8GDBPGE28GDB-EP4-PGE2-Gs/β1/γ2
12.00Single8GUSHU-3088GUS-CB2-HU-308-Gi1/β1/γ2
12.00Single8HQCC5a8HQC-C5a1-C5a-Go/β1/γ2
12.00Single8ZW0PGD28ZW0-DP1-PGD2-Gs/β1/γ2
12.00Single9E9SPGD29E9S-DP1-PGD2-Gs/β1/γ1
12.00Single9L16CCL219L16-CCR7-CCL21
12.00Consensusffa2_onOrthosteric Ligand8J22-FFA2-TUG-1375-Gi1/β1/γ2
12.00Consensusnk2_on_gpOrthosteric Ligand7XWO-NK2-Neurokinin-A-chim(NtGi1-Gs-CtGq)/β1/γ2
12.00Consensusp2y12_onOrthosteric Ligand7XXI-P2Y12-2MeSADP-Gi2/β1/γ2
11.76Single5NX2GLP-1 (Truncated)5NX2-GLP-1-GLP-1 (Truncated)
11.76Single6UVAAdrenomedullin-26UVA-CT Like (AM2)-Adrenomedullin-2-Gs/β1/γ2; RAMP3
11.76Single8FU6ZP37808FU6-Glucagon-ZP3780-Gs/β1/γ2
11.76Single8HAOPTH8HAO-PTH1-PTH-chim(NtGi1-Gs)/β1/γ2
11.76Single8W8WAlpha-MSH8W8W-MC3-α-MSH-Ca-Gs/β1/γ2
11.76Consensusglp2_onOrthosteric Ligand7D68-GLP-2-GLP-2-Gs/β1/γ2
11.76Consensusglp2_on_gpOrthosteric Ligand7D68-GLP-2-GLP-2-Gs/β1/γ2
11.54Single5TZYMK8666; AP85TZY-FFA1-MK8666; AP8
11.54Single6OS2TRV0266OS2-AT1-TRV026
11.54Single6XOXOrforglipron6XOX-GLP-1-Orforglipron-chim(NtGi1-Gs)/β1/γ2
11.54Single7F55Bremelanotide7F55-MC4-Bremelanotide-Gs/β1/γ2
11.54Single7XXI2MeSADP7XXI-P2Y12-2MeSADP-Gi2/β1/γ2
11.54Single8XQNCholesterol8XQN-TAS2R14-Cholesterol-Aristolochic acid A-Gi1/β1/γ1
11.54Single9AU0BW245C9AU0-DP1-BW245C-Gs/β1/γ2
11.54Single9YDUUDP-Glucose9YDU-P2Y14-UDP-Glucose-Gi1/β1/γ2
11.54Consensusffa2_on_gpOrthosteric Ligand8J22-FFA2-TUG-1375-Gi1/β1/γ2
11.54Consensusgi_p2yOrthosteric Ligand7XXI-P2Y12-2MeSADP-Gi2/β1/γ2
11.54Consensusp2y12_on_gpOrthosteric Ligand7XXI-P2Y12-2MeSADP-Gi2/β1/γ2
11.43Single7VVLPTH7VVL-PTH1-PTH-Gs/β1/γ2
11.43Single8FLTM-PTH(1-14)8FLT-PTH1-M-PTH(1-14)-Gs/β1/γ2
11.43Single9BQ3Cagrilintide9BQ3-CT (AMY2)-Cagrilintide-Gs/β1/γ2; RAMP2
11.43Single9BTWCagrilintide9BTW-CT (AMY3)-Cagrilintide-Gs/β1/γ2; RAMP3
11.43Consensusctlike_on_gpOrthosteric Ligand6E3Y-CT Like-Calcitonin gene-related peptide-1-Gs/β1/γ2; RAMP1
11.43Consensusgs_melanocortinOrthosteric Ligand7F4H-MC1-Afamelanotide-chim(NtGi1-Gs)/β1/γ2 7F54-MC4-Afamelanotide-Gs/β1/γ2 7F4D-MC1-α-MSH-chim(NtGi1-Gs)/β1/γ2 8INR-MC5-α-MSH-Ca-chim(NtGi1-Gs)/β1/γ2 7F53-MC4-α-MSH-Gs/β1/γ2 7F55-MC4-Bremelanotide-Gs/β1/γ2 8GY7-MC2-Corticotropin-Ca-chim(NtGi1-Gs)/β1/γ2; MRAP1 8IOC-MC3-γ-MSH-Ca-chim(NtGi1-Gs)/β1/γ2 8IOD-MC5-PG-901-Ca-chim(NtGi1-Gs)/β1/γ2 7AUE-MC4-Setmelanotide-chim(NtGi1L-Gs)/β1/γ2 7F4I-MC1-SHU9119-chim(NtGi1-Gs)/β1/γ2 7F58-MC4-THIQ-Gs/β1/γ2
11.11Single7P00Substance-P7P00-NK1-Substance-P-chim(NtGi1-Gs-CtGq)/β1/γ2
11.11Single7PIUSetmelanotide7PIU-MC4-Setmelanotide-Gs/β1/γ2
11.11Single7QVMOxytocin7QVM-OT-Oxytocin-chim(NtGi1-Go-CtGq)/β1/γ2
11.11Single7RBTTirzepatide7RBT-GIP-Tirzepatide-LSN3556672-chim(NtGi1-Gs)/β1/γ2
11.11Single8HVINOX-6-78HVI-GPR132-NOX-6-7-Gi1/β1/γ2
11.11Single8K4OCXCL18K4O-KSHV-CXCL1-Gi1/β1/γ1
11.11Single8ZPLHF511168ZPL-CXCR4-HF51116
11.11Single9IV25alpha-DHT9IV2-ADGRD1-5α-DHT-chim(NtGi1-Gs)/β1/γ2
11.11Consensusnk1_onOrthosteric Ligand7P00-NK1-Substance-P-chim(NtGi1-Gs-CtGq)/β1/γ2
11.11Consensusnk1_on_gpOrthosteric Ligand7P00-NK1-Substance-P-chim(NtGi1-Gs-CtGq)/β1/γ2
10.87Single8GY7Corticotropin8GY7-MC2-Corticotropin-Ca-chim(NtGi1-Gs)/β1/γ2; MRAP1
10.81Single7VBHPeptide-207VBH-GLP-1-Peptide-20-Gs/β1/γ2
10.71Single7AUESetmelanotide7AUE-MC4-Setmelanotide-chim(NtGi1L-Gs)/β1/γ2
10.71Single7RKNCX3CL17RKN-US28-CX3CL1-Gi1/β1/γ2
10.71Single7RMHSubstance-P7RMH-NK1-Substance-P-Gs/β1/γ2
10.71Single7S8LCortistatin-147S8L-MRGPRX2-Cortistatin-14-chim(NtGi2L-Gs-CtGq)/β1/γ2
10.71Single8J22TUG-13758J22-FFA2-TUG-1375-Gi1/β1/γ2
10.71Single8JBFSenktide8JBF-NK3-Senktide-chim(NtGi1-Gs-CtGq)/β1/γ2
10.71Single8XQLCholesterol8XQL-TAS2R14-Cholesterol-Aristolochic acid A-Gt3/β1/γ1
10.71Single8XQOCholesterol8XQO-TAS2R14-Cholesterol-Aristolochic acid A-Gi1/β1/γ1
10.71Single8Z74JN241-98Z74-Apelin; Apelin-JN241-9
10.71Single8Z74JN241-98Z74-Apelin; Apelin-JN241-9
10.71Single9EAJNanobody AT2099EAJ-AT1-Nanobody AT209
10.71Single9JH6C20:0 Ceramide9JH6-CysLT2-C20:0 Ceramide-chim(NtGi1-Gs-CtGq)/β1/γ2
10.71Consensusnmur1_onOrthosteric Ligand7W53-NMUR1-Neuromedin-U-25-chim(NtGi1-Gs-CtGq)/β1/γ2
10.53Single6OT025(S)-Epoxycholesterol6OT0-SMO-25(S)-Epoxycholesterol-Gi1/β1/γ2
10.53Single7V35Peptide-207V35-Glucagon-Peptide-20-Gs/β1/γ2
10.53Single9C2FCa; Ca; Tryptophan; '54149; PO49C2F-CaS; CaS-Ca-Ca; Ca; Tryptophan; '54149; PO4
10.53Single9M42A1L8O9M42-GPR139-A1L8O-chim(Gs-CtGq)/β1/γ2
10.34Single7F54Afamelanotide7F54-MC4-Afamelanotide-Gs/β1/γ2
10.34Single9J0IUDP-Glucuronic acid9J0I-P2Y14-UDP-Glucuronic acid-Gi1/β1/γ2
10.34Single9UYLChemerin-99UYL-CML2-Chemerin-9-Arrestin2
10.34Consensuschemokine_onOrthosteric Ligandccr_on cxcr_on
10.34Consensusnk3_onOrthosteric Ligand8JBF-NK3-Senktide-chim(NtGi1-Gs-CtGq)/β1/γ2
10.34Consensusnk3_on_gpOrthosteric Ligand8JBF-NK3-Senktide-chim(NtGi1-Gs-CtGq)/β1/γ2
10.34Consensussomatostatin_offOrthosteric Ligandsst2_off
10.26Single7TYOCalcitonin7TYO-CT-Calcitonin-Gs/β1/γ2
10.26Single8JIUSAR4258998JIU-Glucagon-SAR425899-Gs/β1/γ2
10.00Single6FK9PubChem 1324730366FK9-Rhodopsin-PubChem 132473036
10.00Single6WHCGlu16 analog of GCG6WHC-Glucagon-Glu16 analog of GCG-Gs/β1/γ2
10.00Single7D77Hydrocortisone7D77-ADGRG3-Hydrocortisone-Go/β1/γ2
10.00Single7F1QCCL37F1Q-CCR5-CCL3-Gi1/β1/γ2
10.00Single7PIVAfamelanotide7PIV-MC4-Afamelanotide-Gs/β1/γ2
10.00Single7TRYUrocortin7TRY-CRF2-Urocortin-chim(NtGi1-G11)/β1/γ2
10.00Single7XNACYN1548067XNA-SST2-CYN154806
10.00Single8F76Propanoic acid8F76-OR51E2-Propanoic acid-Gs/β1/γ2
10.00Single8J21Butyric acid8J21-FFA3-Butyric acid-Gi1/β1/γ2
10.00Single8J24Acetic acid8J24-FFA2-Acetic acid-Gi1/β1/γ2
10.00Single8JBHSubstance-P8JBH-NK3-Substance-P-chim(NtGi1-Gs-CtGq)/β1/γ2
10.00Single8K6ONeuropeptide-Y8K6O-Y1-Neuropeptide-Y-Gi2/β1/γ1
10.00Single8RQLFlufenamic acid8RQL-TAS2R14-Flufenamic acid-Flufenamic acid-chim(NtGi1-Gt3)/β1/γ2
10.00Single8X9UMetenolone8X9U-ADGRD1-Metenolone-chim(NtGi1-Gs)/β1/γ2
10.00Single9EAINanobody AT2099EAI-AT1-Losartan-Nanobody AT209
10.00Single9J0FNADH9J0F-P2Y14-NADH-Gi1/β1/γ2
10.00Single9JHJC18:0 Ceramide9JHJ-FPR2-ALX-C18:0 Ceramide-Gi1/β1/γ2
10.00Consensusffa3_onOrthosteric Ligand8J21-FFA3-Butyric acid-Gi1/β1/γ2
10.00Consensusffa3_on_gpOrthosteric Ligand8J21-FFA3-Butyric acid-Gi1/β1/γ2
10.00Consensusgluc_onOrthosteric Ligand6LMK-Glucagon-Glucagon-Gs/β1/γ2 8JIT-Glucagon-MEDI0382-Gs/β1/γ2 7V35-Glucagon-Peptide-20-Gs/β1/γ2
10.00Consensussst2_offOrthosteric Ligand7XNA-SST2-CYN154806
10.00Consensustachykinin_on_gpOrthosteric Ligandnk1_on_gp nk2_on_gp nk3_on_gp
9.76Consensusgluc_on_gpOrthosteric Ligand6LMK-Glucagon-Glucagon-Gs/β1/γ2 8JIT-Glucagon-MEDI0382-Gs/β1/γ2 7V35-Glucagon-Peptide-20-Gs/β1/γ2
9.68Single8W8YGamma-MSH8W8Y-MC3-γ-MSH-Ca-Gs/β1/γ2
9.68Single8YFOAc-LA-PTH Analog8YFO-PTH1-Ac-LA-PTH Analog-chim(NtGi1-Gs)/β1/γ2
9.68Single9B5YLA-PTH Analog9B5Y-PTH1-LA-PTH Analog-chim(NtGi1-Gq)/β1/γ2
9.68Single9IVMGLP-1 (Truncated)9IVM-GLP-1-GLP-1 (Truncated)-LSN3318839-chim(NtGi1-Gs)/β2/γ2
9.68Consensusmc3_onOrthosteric Ligand8IOC-MC3-γ-MSH-Ca-chim(NtGi1-Gs)/β1/γ2
9.68Consensusmc3_on_gpOrthosteric Ligand8IOC-MC3-γ-MSH-Ca-chim(NtGi1-Gs)/β1/γ2
9.52Single5L7IVismodegib5L7I-SMO-Vismodegib
9.52Single6FK6PubChem 1324730336FK6-Rhodopsin-PubChem 132473033
9.52Single6LI0C176LI0-GPR52-C17
9.52Single7T96LY21196207T96-M2-Acetylcholine-LY2119620-Go/β1/γ2
9.52Single7TRPLY20332987TRP-M4-Iperoxo-LY2033298-Gi1/β1/γ2
9.52Single7XKFDehydroepiandrosterone7XKF-ADGRG2-Dehydroepiandrosterone-Gs/β1/γ2
9.52Single8SZFCa; Ca; Tryptophan; Cinacalcet; PO4; Spermine8SZF-CaS; CaS-Ca; Ca; Tryptophan; Cinacalcet; PO4; Spermine
9.52Single8U4RREGN7663-Fab8U4R-CXCR4-REGN7663-Fab
9.52Single8YKDDehydroepiandrosterone8YKD-ADGRG2-Dehydroepiandrosterone-chim(NtGi1-Gs)/β1/γ2
9.52Single9JLCAVE 09919JLC-MAS1-AVE 0991-Gi1/β1/γ2
9.52Single9LMPNE52-QQ579LMP-GPR4-NE52-QQ57
9.38Single6NIYCalcitonin-16NIY-CT-Calcitonin-1-Gs/β1/γ2
9.38Single8IEDPubChem 1347468948IED-GPR156; GPR156-PubChem 134746894-Go/β1/γ2
9.38Consensusneuromedin-u_onOrthosteric Ligandnmur1_on nmur2_on
9.09Single4MQTLY21196204MQT-M2-Iperoxo-LY2119620
9.09Single5U09Taranabant5U09-CB1-Taranabant
9.09Single6FKBPubChem 1324730386FKB-Rhodopsin-PubChem 132473038
9.09Single7F8YDevazepide7F8Y-CCKA-Devazepide
9.09Single7LCJDanuglipron7LCJ-GLP-1-Danuglipron
9.09Single7TYHCalcitonin7TYH-CT (AMY2)-Calcitonin-Gs/β1/γ2; RAMP2
9.09Single7VVOPTH7VVO-PTH1-PTH-Gs/β1/γ2
9.09Single7Y35Abaloparatide7Y35-PTH1-Abaloparatide-Gs/β1/γ2
9.09Single8H8JLodoxamide8H8J-GPR35-Lodoxamide-Ca-chim(NtGi1L-G13)/β1/γ2
9.09Single8T3SButyric acid8T3S-FFA2-Butyric acid-chim(NtGi2L-Gs-CtGq)/β1/γ2
9.09Single8U8FPalmitic Acid8U8F-GPR3-Palmitic Acid-Gs/β1/γ2
9.09Single8YG4LA-PTH Analog8YG4-PTH1-LA-PTH Analog-chim(NtGi1-Gs)/β1/γ2
9.09Consensusneuromedin-u_on_gpOrthosteric Ligandnmur1_on_gp nmur2_on_gp
8.82Single6NBILA-PTH Analog6NBI-PTH1-LA-PTH Analog-Gs/β1/γ2
8.82Single8FLRPTHrP(1-36)8FLR-PTH1-PTHrP(1-36)-Gs/β1/γ2
8.82Consensusccr5_onOrthosteric Ligand7O7F-CCR5-6P4-CCL5-Gi1/β1/γ1 7F1Q-CCR5-CCL3-Gi1/β1/γ2
8.82Consensusctlike_onOrthosteric Ligand6E3Y-CT Like-Calcitonin gene-related peptide-1-Gs/β1/γ2; RAMP1
8.70Single6FK8PubChem 1324730356FK8-Rhodopsin-PubChem 132473035
8.70Single6U1NLY21196206U1N-M2-LY2119620-Arrestin2
8.70Single6WJCMuscarinic toxin 76WJC-M1-Atropine-Muscarinic toxin 7
8.70Single7C2EPubChem 1490507997C2E-GLP-1-PubChem 149050799-Gs/β1/γ2
8.70Single7T94LY21196207T94-M2-Acetylcholine-LY2119620-chim(NtGi1-Go)/β1/γ2
8.70Single7XXH2MeSADP7XXH-P2Y1-2MeSADP-chim(NtGi1-G11)/β1/γ2
8.70Single8IYXYL-3658IYX-GPR34-YL-365
8.70Single8K4SDCA-3P8K4S-MRGPRX4-DCA-3P-chim(NtGi1L-Gs-CtGq)/β1/γ2
8.70Single9DQJEP-39459DQJ-MRGPRD-EP-3945-chim(NtGi1-Gs-CtGq)/β1/γ2
8.70Single9IXXLTD49IXX-CysLT2-LTD4-chim(NtGi1-Gs-CtGq)/β1/γ2
8.70Single9JFUNE52-QQ579JFU-GPR4-NE52-QQ57
8.70Single9K0KUTP9K0K-P2Y4-UTP-chim(NtGi1-Gs-CtGq)/β1/γ2
8.70Single9K0XATP9K0X-P2Y2-ATP-chim(NtGi1-Gs-CtGq)/β1/γ2
8.70Single9K1DButyric acid9K1D-FFA2-Butyric acid-Gi1/β1/γ2
8.70Single9K20ATP9K20-P2Y2-ATP-chim(NtGi1-Go)/β1/γ2
8.70Single9U80Conivaptan9U80-V2-Conivaptan
8.70Consensusp2y1_on_gpOrthosteric Ligand7XXH-P2Y1-2MeSADP-chim(NtGi1-G11)/β1/γ2
8.57Single7VVKPTH7VVK-PTH1-PTH-Gs/β1/γ2
8.33Single6FK7PubChem 1324730346FK7-Rhodopsin-PubChem 132473034
8.33Single6FKCPubChem 1324730396FKC-Rhodopsin-PubChem 132473039
8.33Single6FKDPubChem 1373491836FKD-Rhodopsin-PubChem 137349183
8.33Single6LMKGlucagon6LMK-Glucagon-Glucagon-Gs/β1/γ2
8.33Single7LCKDanuglipron7LCK-GLP-1-Danuglipron
8.33Single7PP1Selatogrel7PP1-P2Y12-Selatogrel
8.33Single7TRQVU04671547TRQ-M4-Iperoxo-VU0467154-Gi1/β1/γ2
8.33Single8EJKTAK-8758EJK-FFA1-TAK-875-chim(NtGi1L-Gs-CtGq)/β1/γ2
8.33Single8X9TAP5038X9T-ADGRD1-AP503-chim(NtGi1-Gs)/β1/γ2
8.33Single9METGp120; CD49MET-CXCR4-Gp120; CD4
8.00Single6LFMCXCL86LFM-CXCR2-CXCL8-Gi1/β1/γ2
8.00Single7VV4Cortistatin-147VV4-MRGPRX2-Cortistatin-14
8.00Single8T6JCDPPB8T6J-mGlu5; mGlu5-CDPPB
8.00Single8T6JCDPPB8T6J-mGlu5; mGlu5-CDPPB
8.00Single8XQPCholesterol8XQP-TAS2R14-Cholesterol-Aristolochic acid A-Gt3/β1/γ1
8.00Single9DQHEP-28259DQH-MRGPRD-EP-2825-chim(NtGi1-Gs-CtGq)/β1/γ2
8.00Consensuscxcr2_on_gpOrthosteric Ligand6LFM-CXCR2-CXCL8-Gi1/β1/γ2
8.00Consensuscyslt_offOrthosteric Ligandcyslt2_off cyslt1_off
7.89Single7SK6CXCL12_LRHQ7SK6-ACKR3-CXCL12_LRHQ
7.69Single6OS1TRV0266OS1-AT1-TRV026
7.69Single7F1TCCL37F1T-CCR5-CCL3
7.69Single7S8MCortistatin-147S8M-MRGPRX2-Cortistatin-14-Gi1/β1/γ2
7.69Single7XBDGalanin7XBD-GAL2-Galanin-chim(NtGi2L-Gs-CtGq)/β1/γ2
7.69Single8JBGNeurokinin-B8JBG-NK3-Neurokinin-B-chim(NtGi1-Gs-CtGq)/β1/γ2
7.69Single8WJXADP8WJX-P2Y1-ADP-chim(Gs-CtGq)/β1/γ2
7.69Single8XQTCholesterol8XQT-TAS2R14-Cholesterol-Gi1/β1/γ1
7.69Single9CLWTUG-13759CLW-FFA2-TUG-1375-4-CMTB-chim(NtGi1L-Gs-CtGq)/β1/γ2
7.69Single9ITELPA9ITE-LPA6-LPA-chim(NtGi2-G13)/β1/γ2
7.69Single9MENGp120 (V3 loop)9MEN-CXCR4-Gp120 (V3 loop)
7.69Single9YDVMRS29059YDV-P2Y14-MRS2905-Gi1/β1/γ2
7.69Consensusffa_onOrthosteric Ligandffa2_on ffa3_on
7.69Consensusffa_on_gpOrthosteric Ligandffa2_on_gp ffa3_on_gp
7.69Consensusgi_ffaOrthosteric Ligand8J21-FFA3-Butyric acid-Gi1/β1/γ2 8J22-FFA2-TUG-1375-Gi1/β1/γ2
7.69Consensusmotilin_onOrthosteric Ligand8IBU-Motilin-Erythromycin-A-chim(NtGi1-Gs-CtGq)/β1/γ2
7.50Single8JITMEDI03828JIT-Glucagon-MEDI0382-Gs/β1/γ2
7.41Single4PXZ2MeSADP4PXZ-P2Y12-2MeSADP
7.41Single4PY02MeSATP4PY0-P2Y12-2MeSATP
7.41Single6RZ7ONO-25703666RZ7-CysLT2-ONO-2570366
7.41Single7XW5ML1097XW5-TSH-TSH-ML109-Gs/β1/γ2
7.41Single7XW6ML1097XW6-TSH-M22 Fab-ML109-Gs/β1/γ2
7.41Single8IBUErythromycin-A8IBU-Motilin-Erythromycin-A-chim(NtGi1-Gs-CtGq)/β1/γ2
7.41Single8U26Substance-P8U26-NK1-Substance-P-Gs/β1/γ2
7.41Single8Y6WTUG-13758Y6W-FFA2-TUG-1375-4-CMTB-Gi1/β1/γ2
7.41Single9CM3TUG-13759CM3-FFA2-TUG-1375-PubChem 118615810-chim(NtGi1L-Gs-CtGq)/β1/γ2
7.41Single9ECJS-geranylgeranyl-L-glutathione9ECJ-P2Y8-S-geranylgeranyl-L-glutathione-G13/β1/γ2
7.41Consensusgalanin_onOrthosteric Ligandgal2_on gal1_on
7.41Consensusgalanin_on_gpOrthosteric Ligandgal2_on_gp gal1_on_gp
7.41Consensusmotilin_on_gpOrthosteric Ligand8IBU-Motilin-Erythromycin-A-chim(NtGi1-Gs-CtGq)/β1/γ2
7.14Single6RZ9ONO-27703726RZ9-CysLT2-ONO-2770372
7.14Single7CX4Evatanepag7CX4-EP2-Evatanepag-Gs/β1/γ2
7.14Consensuscyslt2_offOrthosteric Ligand6RZ7-CysLT2-ONO-2570366 6RZ8-CysLT2-ONO-2080365 6RZ9-CysLT2-ONO-2770372
7.14Consensusgal2_onOrthosteric Ligand7WQ4-GAL2-Galanin-chim(NtGi1-Gs-CtGq)/β1/γ2 7XJL-GAL2-Spexin-chim(NtGi2L-Gs-CtGq)/β1/γ2
7.14Consensusgal2_on_gpOrthosteric Ligand7WQ4-GAL2-Galanin-chim(NtGi1-Gs-CtGq)/β1/γ2 7XJL-GAL2-Spexin-chim(NtGi2L-Gs-CtGq)/β1/γ2
6.90Single6RZ6ONO-25703666RZ6-CysLT2-ONO-2570366
6.90Single7CX2PGE27CX2-EP2-PGE2-Gs/β1/γ2
6.90Single9CM7TUG-13759CM7-FFA2-TUG-1375-AZ-1729-Gi1/β1/γ2
6.90Single9ITBLPA9ITB-LPA6-LPA-chim(NtGi1-Gs-CtGq)/β1/γ2
6.90Single9NS9TUG-13759NS9-FFA2-TUG-1375-PubChem 118615810-Gi1/β1/γ2
6.67Single6RZ8ONO-20803656RZ8-CysLT2-ONO-2080365
6.67Single7CX3Taprenepag7CX3-EP2-Taprenepag-Gs/β1/γ2
6.67Single7RTBPeptide-197RTB-GLP-1-Peptide-19-Gs/β1/γ2
6.67Single7W2ZGhrelin7W2Z-Ghrelin-Ghrelin-Go/β1/γ2
6.67Single8IEIPubChem 1347468948IEI-GPR156; GPR156-PubChem 134746894
6.67Single8IEIPubChem 1347468948IEI-GPR156; GPR156-PubChem 134746894
6.67Single8IEPPubChem 1347468948IEP-GPR156; GPR156-PubChem 134746894
6.67Single8IEPPubChem 1347468948IEP-GPR156; GPR156-PubChem 134746894
6.67Single8INRAlpha-MSH8INR-MC5-α-MSH-Ca-chim(NtGi1-Gs)/β1/γ2
6.67Single8JIQPeptide-158JIQ-Glucagon-Peptide-15-Gs/β1/γ2
6.67Single8XBHPubChem 1626566368XBH-GPR34-PubChem 162656636-Gi1/β1/γ2
6.67Single9BUECagrilintide9BUE-CT-Cagrilintide-Gs/β1/γ2
6.45Single8IBVMotilin8IBV-Motilin-Motilin-chim(NtGi1-Gs-CtGq)/β1/γ2
6.45Single8IEBPubChem 1347468948IEB-GPR156; GPR156-PubChem 134746894
6.45Single8IOCGamma-MSH8IOC-MC3-γ-MSH-Ca-chim(NtGi1-Gs)/β1/γ2
6.25Single7W55Neuromedin-U-257W55-NMUR2-Neuromedin-U-25-chim(NtGi1-Gs-CtGq)/β1/γ2
6.25Consensusnmur2_onOrthosteric Ligand7W55-NMUR2-Neuromedin-U-25-chim(NtGi1-Gs-CtGq)/β1/γ2
6.25Consensusnmur2_on_gpOrthosteric Ligand7W55-NMUR2-Neuromedin-U-25-chim(NtGi1-Gs-CtGq)/β1/γ2
5.88Single5YQZNNC17025YQZ-Glucagon-NNC1702
5.56Single8W8XBeta-MSH8W8X-MC3-β-MSH-Ca-Gs/β1/γ2
5.26Single7V68LY21196207V68-M4-Iperoxo-LY2119620-Gi1/β1/γ2
5.26Single7XKEDehydroepiandrosterone7XKE-ADGRG2-Dehydroepiandrosterone-chim(NtGi1-Gs)/β1/γ2
5.26Single8HQMNPGLY8HQM-GPR132-NPGLY-Gi1/β1/γ2
4.76Single6OIKLY21196206OIK-M2-Iperoxo-LY2119620-chim(NtGi1-Go)/β1/γ2
4.76Single6PWCNeurotensin-(9-13)6PWC-NTS1-Neurotensin-(9-13)-Arrestin2
4.76Single7V6APubChem 98642757V6A-M4-PubChem 9864275-Gi1/β1/γ2
4.76Single9IJRC179IJR-GPR52-C17-Arrestin2
4.55Single8FX5Xanomeline8FX5-M4-Xanomeline-Xanomeline-Gi1/β1/γ2
4.55Single9JCPLPC9JCP-GPR4-LPC-chim(NtGi1-Gs-CtGq)/β1/γ2
4.55Consensusgq_nucleotideOrthosteric Ligandgq_p2y
4.55Consensusgq_p2yOrthosteric Ligand7XXH-P2Y1-2MeSADP-chim(NtGi1-G11)/β1/γ2
4.35Single4K5YCP-3763954K5Y-CRF1-CP-376395
4.35Single4XNVBPTU4XNV-P2Y1-BPTU
4.35Single6LFOCXCL86LFO-CXCR2-CXCL8-Gi1/β1/γ2
4.35Single7VDLCortistatin-147VDL-MRGPRX2-Cortistatin-14-Gi1/β1/γ2
4.35Single7WV9ZCZ0117WV9-CB1-CP55940-ZCZ011-Gi2/β1/γ2
4.35Single7XJJGalanin7XJJ-GAL1-Galanin-Go/β1/γ2
4.35Single8DWHPubChem 1390305318DWH-MRGPRX1-PubChem 139030531-chim(NtGi2L-Gs-CtGq)/β1/γ2
4.35Single8T3VDoconexent8T3V-FFA1-Doconexent-chim(NtGi2L-Gs-CtGq)/β1/γ2
4.35Single8YYWAlpha-ketoglutarate8YYW-Oxoglutarate-α-ketoglutarate-α-ketoglutarate-chim(Gi1-CtGq)/β1/γ2
4.35Single9KO2CCL199KO2-CCR7-CCL19-Gi1/β1
4.35Single9KO6CCL199KO6-CCR7-CCL19
4.35Consensuscxcr1_onOrthosteric Ligand8IC0-CXCR1-CXCL8-Gi1/β1/γ2
4.35Consensusp2y1_onOrthosteric Ligand7XXH-P2Y1-2MeSADP-chim(NtGi1-G11)/β1/γ2
4.17Single7UTZDPPC7UTZ-TSH-TSH-DPPC-Gs/β1/γ2
4.17Single8JD6VU03647708JD6-mGlu4; mGlu4-Phosphoserine-VU0364770-Gi3/β1/γ2
4.17Single8K4NPubChem 1687197658K4N-GPR34-PubChem 168719765-Gi1/β1/γ2
4.17Single8YRGFospropofol8YRG-MRGPRX4-Fospropofol-chim(NtGi1-Gs-CtGq)/β1/γ2
4.17Single9JQYTG6-1299JQY-EP4-TG6-129
4.17Consensuscxcr2_onOrthosteric Ligand6LFM-CXCR2-CXCL8-Gi1/β1/γ2
4.00Single4QIMANTA XV4QIM-SMO-ANTA XV
4.00Single4Z9GCP-3763954Z9G-CRF1-CP-376395
4.00Single6ORVTT-OAD26ORV-GLP-1-TT-OAD2-Gs/β1/γ2
4.00Single7FIHOrg435537FIH-LH-hCG-Org43553-chim(NtGi1-Gs)/β1/γ2
4.00Single7S15PubChem 1346112237S15-GLP-1-PubChem 134611223
4.00Single7WQ3Galanin7WQ3-GAL1-Galanin-Gi1/β1/γ2
4.00Single8GTIBMK-C2058GTI-CRF1-BMK-C205
4.00Single8IC0CXCL88IC0-CXCR1-CXCL8-Gi1/β1/γ2
4.00Single8XBGS3E-Lysophosphatidylserine 8XBG-GPR34-S3E-Lysophosphatidylserine
4.00Single8ZYYNeurotensin-(8-13)8ZYY-NTS1-Neurotensin-(8-13)-SBI-553-Arrestin2
4.00Single9IVGGLP-1 (Truncated)9IVG-GLP-1-GLP-1 (Truncated)-chim(NtGi1-Gs)/β1/γ2
4.00Single9JROPF-044189489JRO-EP2-PF-04418948
4.00Consensuscxcr1_on_gpOrthosteric Ligand8IC0-CXCR1-CXCL8-Gi1/β1/γ2
4.00Consensusgal1_onOrthosteric Ligand7WQ3-GAL1-Galanin-Gi1/β1/γ2
4.00Consensusgal1_on_gpOrthosteric Ligand7WQ3-GAL1-Galanin-Gi1/β1/γ2
4.00Consensusgi_galaninOrthosteric Ligand7WQ3-GAL1-Galanin-Gi1/β1/γ2
3.85Single4JKVTaladegib4JKV-SMO-Taladegib
3.85Single6Z4QSR142948A6Z4Q-NTS1-SR142948A
3.85Single7VV0PAMP-127VV0-MRGPRX2-PAMP-12
3.85Single8GTGBMK-I1528GTG-CRF1-BMK-I152
3.85Single8IZ4Lysophosphatidylserine (TJR)8IZ4-GPR34-Lysophosphatidylserine (TJR)-Gi1/β1/γ2
3.85Single8ZYTNeurotensin-(8-13)8ZYT-NTS1-Neurotensin-(8-13)-SBI-553-Arrestin2
3.85Single9EAHNanobody AT2099EAH-AT1-Olmesartan-Nanobody AT209
3.85Single9JRTTG6-1299JRT-EP2-TG6-129
3.70Single5V56TC1145V56-SMO-TC114
3.70Single5V57TC1145V57-SMO-TC114
3.70Single7XJLSpexin7XJL-GAL2-Spexin-chim(NtGi2L-Gs-CtGq)/β1/γ2
3.70Single8FN1Neurotensin-(8-13)8FN1-NTS1-Neurotensin-(8-13)-chim(NtGi1-Go)/β1/γ2
3.70Single8JD5JNJ-40411813; ADX881788JD5-mGlu2; mGlu4-Glutamate-JNJ-40411813; ADX88178-Gi1/β1/γ2
3.70Single8XBIPubChem 1626566368XBI-GPR34-PubChem 162656636
3.70Single9JCLADP9JCL-P2Y1-ADP-chim(Gs-CtGq)/β1/γ2
3.57Single3VW7Vorapaxar; Na3VW7-PAR1-Vorapaxar; Na
3.57Single4XEENeurotensin-(8-13)4XEE-NTS1-Neurotensin-(8-13)
3.57Single4XESNeurotensin-(8-13)4XES-NTS1-Neurotensin-(8-13)
3.57Single6YVRNeurotensin-(6-13)6YVR-NTS1-Neurotensin-(6-13)
3.57Single7L0SNeurotensin-(8-13)7L0S-NTS1-Neurotensin-(8-13)-Gi1/β1/γ1
3.57Single7WQ4Galanin7WQ4-GAL2-Galanin-chim(NtGi1-Gs-CtGq)/β1/γ2
3.57Single7XJKGalanin7XJK-GAL2-Galanin-chim(NtGi2L-Gs-CtGq)/β1/γ2
3.57Single8GTMBMK-C2038GTM-CRF1-BMK-C203
3.57Single8JPCNeurotensin-(8-13)8JPC-NTS1-Neurotensin-(8-13)-SBI-553; GDP; Mg-Gq; GRK2
3.57Single8WRBLysophosphatidylserine (UBL)8WRB-GPR34-Lysophosphatidylserine (UBL)-Gi1/β1/γ2
3.45Single4BUONeurotensin-(8-13)4BUO-NTS1-Neurotensin-(8-13)
3.45Single6M1HMaxadilan6M1H-PAC1-Maxadilan-Gs/β1/γ2
3.45Single8FN0Neurotensin-(8-13)8FN0-NTS1-Neurotensin-(8-13)-SBI-553-chim(NtGi1-Go)/β1/γ2
3.45Single8XBES3E-Lysophosphatidylserine 8XBE-GPR34-S3E-Lysophosphatidylserine-Gi1/β1/γ1
3.45Single8XVUCXCL28XVU-CXCR2-CXCL2
3.45Single8XXHCXCL28XXH-CXCR2-CXCL2-Go/β1/γ2
3.45Single9J0BUDP-Glucose9J0B-P2Y14-UDP-Glucose-Gi1/β1/γ2
3.45Single9JH5C16:0 Ceramide9JH5-CysLT2-C16:0 Ceramide-chim(NtGi1-Gs-CtGq)/β1/γ2
3.33Single5TZYMK8666; AP85TZY-FFA1-MK8666; AP8
3.33Single6KNMJN241-96KNM-Apelin-JN241-9
3.33Single8SAILysophosphatidylserine (S12)8SAI-GPR34-Lysophosphatidylserine (S12)-Gi1/β1/γ2
3.33Single8XQJJN2418XQJ-Apelin; Apelin-JN241
3.33Single8XX6CXCL88XX6-CXCR2-CXCL8-Go/β1/γ2
3.23Single7L0RNeurotensin-(8-13)7L0R-NTS1-Neurotensin-(8-13)-Gi1/β1/γ1
3.23Single8XWNCXCL88XWN-CXCR2-CXCL8

2D representation of the interactions of this orthosteric/allosteric ligand.


Links and nodes colored according to ConSurf Conservation Grade (See documentation): 

 n/a   1    2    3    4    5    6    7    8    9  

Node1 Node2 LinkStrength Comm IsNode1Hub? IsNode2Hub? Node1Cons Node2Cons Node1Shell Node2Shell
A:A:C351 A:A:L353 3.17 0 No Yes 4 6 2 2
A:A:C351 R:R:R134 9.75 0 No Yes 4 9 2 1
A:A:L353 R:R:T346 4.42 0 Yes No 6 8 2 1
R:R:G53 R:R:Y402 2.9 2 No Yes 9 6 1 1
R:R:G53 W:W:?1 4.58 2 No Yes 9 0 1 0
R:R:V57 R:R:Y402 3.79 0 Yes Yes 9 6 2 1
R:R:F407 R:R:V57 2.62 12 Yes Yes 8 9 2 2
R:R:I130 R:R:R134 5.01 2 No Yes 9 9 2 1
R:R:I130 R:R:Y400 6.04 2 No Yes 9 9 2 2
R:R:R134 R:R:Y215 5.14 2 Yes Yes 9 9 1 2
R:R:R134 R:R:Y400 4.12 2 Yes Yes 9 9 1 2
R:R:R134 W:W:?1 4.07 2 Yes Yes 9 0 1 0
R:R:I349 R:R:K345 5.82 2 No No 7 7 1 1
R:R:K345 W:W:?1 7.55 2 No Yes 7 0 1 0
R:R:T346 W:W:?1 5.92 0 No Yes 8 0 1 0
R:R:I349 R:R:I399 2.94 2 No No 7 8 1 2
R:R:I349 W:W:?1 2.87 2 No Yes 7 0 1 0
R:R:V398 R:R:Y402 3.79 2 No Yes 6 6 1 1
R:R:F403 R:R:V398 2.62 2 No No 8 6 1 1
R:R:V398 W:W:?1 4.99 2 No Yes 6 0 1 0
R:R:I399 R:R:Y400 3.63 0 No Yes 8 9 2 2
R:R:F411 R:R:Y402 6.19 0 No Yes 8 6 2 1
R:R:Y402 W:W:?1 10.99 2 Yes Yes 6 0 1 0
R:R:F403 W:W:?1 41.58 2 No Yes 8 0 1 0
R:R:F407 R:R:N404 13.29 12 Yes No 8 9 2 1
R:R:N404 W:W:?1 5.52 0 No Yes 9 0 1 0
R:R:G53 R:R:L52 1.71 2 No No 9 4 1 2
R:R:K342 R:R:T346 1.5 0 No No 8 8 2 1

Location and physicochemical properties of the interaction partners of this ligand

Interactions of this ligand

Similarities between the interactions of this ligand and those of other networks

ShowSimilarityNetwork TypeNameLigandDescription
81.82Single8FYEPtdIns4P8FYE-5-HT1A-4-F,5-MeO-PyrT-PtdIns4P-Gi1/β1/γ1
75.00Single8FYLPtdIns4P8FYL-5-HT1A-Vilazodone-PtdIns4P-Gi1/β1/γ1
70.00Single9DYDPtdIns4P9DYD-5-HT1A-Asenapine-PtdIns4P-Go/β1/γ2
66.67Single7E2XPtdIns4P7E2X-5-HT1A-PtdIns4P-Gi1/β1/γ2
66.67Single7E2ZPtdIns4P7E2Z-5-HT1A-Aripiprazole-PtdIns4P-Gi1/β1/γ2
66.67Single9KVGPtdIns4P9KVG-5-HT1A-5-MeO-DMT-PtdIns4P-Gi1/β1/γ2
63.64Single9MD1PtdIns4P9MD1-5-HT1A-Buspirone-PtdIns4P-Gz/β1/γ2
61.54Single8FY8PtdIns4P8FY8-5-HT1A-5-MeO-DMT-PtdIns4P-Gi1/β1/γ1
61.54Single8FYXPtdIns4P8FYX-5-HT1A-Buspirone-PtdIns4P-Gi1/β1/γ1
58.33Single9KVHPtdIns4P9KVH-5-HT1A-Cinobufotenine-PtdIns4P-Gi1/β1/γ2
53.85Single7E2YPtdIns4P7E2Y-5-HT1A-Serotonin-PtdIns4P-Gi1/β1/γ2
53.85Single8FYTPtdIns4P8FYT-5-HT1A-LSD-PtdIns4P-Gi1/β1/γ1
53.33Single9DYFPtdIns4P9DYF-5-HT1A-Asenapine-PtdIns4P-Gi1/β1/γ2
45.45Single5EE7MK08935EE7-Glucagon-MK0893
41.67Single5VEXNNC06405VEX-GLP-1-NNC0640
41.67Single6KK7PF-063722226KK7-GLP-1-PF-06372222
38.46Single5VEWPF-063722225VEW-GLP-1-PF-06372222
38.46Single6KJVPF-063722226KJV-GLP-1-PF-06372222
38.46Single6KK1PF-063722226KK1-GLP-1-PF-06372222
35.71Single5XEZNNC06405XEZ-Glucagon-NNC0640
35.29Single8TB7PubChem 1685102188TB7-GPR61-PubChem 168510218
33.33Single5XF1NNC06405XF1-Glucagon-NNC0640
33.33Single8JT6PtdIns4P8JT6-5-HT1A-(R)-IHCH-7179-PtdIns4P-Gi1/β1/γ2
30.00Single9KVIPtdIns4P9KVI-5-HT1A-Bufotenin-PtdIns4P-Gi1/β1/γ2
27.27Single9L84Atazanavir9L84-β1-Epinephrine-Atazanavir-Gs/β1/γ2
26.32Single6LN2PF-063722226LN2-GLP-1-PF-06372222
25.00Single7EB2rac-BHFF7EB2-GABAB2; GABAB1-Baclofen-rac-BHFF-Gi1/β1/γ2
25.00Single8JPFSBI-5538JPF-NTS1-Neurotensin-(8-13)-SBI-553
21.43Single7CA3rac-BHFF7CA3-GABAB1, GABAB2-rac-BHFF
20.00Single7C7QBHFF7C7Q-GABAB1, GABAB2-Baclofen-BHFF
18.75Single8XQSFlufenamic acid8XQS-TAS2R14-Cholesterol-Flufenamic acid-Gi1/β1/γ1
17.65Single8JPCSBI-553; GDP; Mg8JPC-NTS1-Neurotensin-(8-13)-SBI-553; GDP; Mg-Gq; GRK2
15.79Single8JPBSBI-553; GDP; Mg8JPB-NTS1-Neurotensin-(8-13)-SBI-553; GDP; Mg-Gq; GRK2
15.38Single9L80Atazanavir9L80-GPR119-Atazanavir-chim(NtGi1-Gs)/β1/γ2
15.00Single5LWEVercirnon5LWE-CCR9-Vercirnon
15.00Single8ZYUSBI-5538ZYU-NTS1-Neurotensin-(8-13)-SBI-553-Arrestin2
15.00Single8ZYYSBI-5538ZYY-NTS1-Neurotensin-(8-13)-SBI-553-Arrestin2
13.33Single5T1APubChem 120931705T1A-CCR2-BMS-681-PubChem 12093170
13.04Single8ZYTSBI-5538ZYT-NTS1-Neurotensin-(8-13)-SBI-553-Arrestin2
12.50Single8XQRFlufenamic acid8XQR-TAS2R14-Flufenamic acid-Gt3/β1/γ1
12.50Single9L8LAtazanavir9L8L-β2-BI167107-Atazanavir-Gs/β1/γ2 ; Arrestin2
11.76Single5X7DPubChem 1293189635X7D-β2-Carazolol-PubChem 129318963
11.76Single8RQLFlufenamic acid8RQL-TAS2R14-Flufenamic acid-Flufenamic acid-chim(NtGi1-Gt3)/β1/γ2
11.76Single8XQOAristolochic acid A8XQO-TAS2R14-Cholesterol-Aristolochic acid A-Gi1/β1/γ1
11.11Single8XQLAristolochic acid A8XQL-TAS2R14-Cholesterol-Aristolochic acid A-Gt3/β1/γ1
10.53Single6LFLPubChem 1534669966LFL-CXCR2-PubChem 153466996
10.53Single8GW8PCO3718GW8-PTH1-PCO371-Gs/β1/γ2
9.52Single8JR9PCO3718JR9-PTH1-PCO371-chim(NtGi1-Gs)/β1/γ2
8.33Single6UO8GS397836UO8-GABAB1, GABAB2-SKF97541-GS39783
8.33Single7DUQPubChem 1560227387DUQ-GLP-1-GLP-1-PubChem 156022738-Gs/β1/γ2
8.33Single8FN0SBI-5538FN0-NTS1-Neurotensin-(8-13)-SBI-553-chim(NtGi1-Go)/β1/γ2
6.67Single8XQPAristolochic acid A8XQP-TAS2R14-Cholesterol-Aristolochic acid A-Gt3/β1/γ1
5.88Single8XQNAristolochic acid A8XQN-TAS2R14-Cholesterol-Aristolochic acid A-Gi1/β1/γ1
5.26Single6QZHPubChem 136165388; Na6QZH-CCR7-PubChem 136165388; Na
4.76Single8J20AR4206268J20-FFA3-Valeric acid-AR420626-Gi1/β1/γ2
4.76Single9PEEPF-07054894; OXM29PEE-CCR6-PF-07054894; OXM2
3.33Single3VG9Antibody3VG9-A2A-ZM-241385-Antibody
3.03Single3VGAAntibody3VGA-A2A-ZM-241385-Antibody

PDB Summary
PDB 9DYE
Class A
SubFamily Amine
Type 5-Hydroxytryptamine
SubType 5-HT1A
Species Homo Sapiens
Ligand Buspirone
Other Ligand(s) PtdIns4P
Protein Partners Go/Beta1/Gamma2
PDB Resolution 2.9
Date 2025-08-13
D.O.I. doi.org/10.1126/sciadv.adu9851
Net Summary
Imin 1.86
Number of Linked Nodes 845
Number of Links 1141
Number of Hubs 217
Number of Links mediated by Hubs 797
Number of Communities 16
Number of Nodes involved in Communities 311
Number of Links involved in Communities 507
Path Summary
Number Of Nodes in MetaPath 103
Number Of Links MetaPath 102
Number of Shortest Paths 2077715
Length Of Smallest Path 3
Average Path Length 27.7289
Length of Longest Path 60
Minimum Path Strength 1.32
Average Path Strength 5.41025
Maximum Path Strength 26.285
Minimum Path Correlation 0.7
Average Path Correlation 0.987837
Maximum Path Correlation 1
Minimum % Of Corr. Nodes 2.94118
Average % Of Corr. Nodes 43.4403
Maximum % Of Corr. Nodes 100
Minimum Path Hubs % 0
Average Path Hubs % 65.3461
Maximum Path Hubs % 100
AnnotationTypeLinks
Gene OntologyMolecular Function• cation binding   • binding   • ion binding   • serotonin binding   • amine binding   • heterocyclic compound binding   • small molecule binding   • G protein-coupled amine receptor activity   • G protein-coupled serotonin receptor activity   • molecular transducer activity   • G protein-coupled receptor activity   • transmembrane signaling receptor activity   • signaling receptor activity   • Gi/o-coupled serotonin receptor activity   • neurotransmitter receptor activity   • serotonin receptor activity   • protein binding   • signaling receptor binding   • receptor-receptor interaction   • cellular response to stimulus   • regulation of biological process   • regulation of cellular process   • response to stimulus   • signaling   • biological regulation   • adenylate cyclase-inhibiting serotonin receptor signaling pathway   • G protein-coupled serotonin receptor signaling pathway   • cell communication   • adenylate cyclase-inhibiting G protein-coupled receptor signaling pathway   • adenylate cyclase-modulating G protein-coupled receptor signaling pathway   • G protein-coupled receptor signaling pathway   • cellular process   • signal transduction
Gene OntologyBiological Process• cellular response to stimulus   • regulation of biological process   • regulation of cellular process   • response to stimulus   • signaling   • biological regulation   • adenylate cyclase-inhibiting serotonin receptor signaling pathway   • G protein-coupled serotonin receptor signaling pathway   • cell communication   • adenylate cyclase-inhibiting G protein-coupled receptor signaling pathway   • adenylate cyclase-modulating G protein-coupled receptor signaling pathway   • G protein-coupled receptor signaling pathway   • cellular process   • signal transduction   • behavior   • multicellular organismal process   • exploration behavior   • regulation of amine metabolic process   • dopamine metabolic process   • primary metabolic process   • catechol-containing compound metabolic process   • regulation of primary metabolic process   • amine metabolic process   • catecholamine metabolic process   • phenol-containing compound metabolic process   • metabolic process   • regulation of catecholamine metabolic process   • regulation of metabolic process   • biogenic amine metabolic process   • regulation of dopamine metabolic process   • adult behavior   • regulation of tube diameter   • system process   • regulation of tube size   • regulation of system process   • circulatory system process   • regulation of blood circulation   • regulation of vasoconstriction   • vascular process in circulatory system   • regulation of multicellular organismal process   • blood vessel diameter maintenance   • regulation of biological quality   • blood circulation   • vasoconstriction   • regulation of anatomical structure size   • cell-cell signaling   • gamma-aminobutyric acid signaling pathway   • regulation of behavior   • serotonin metabolic process   • indole-containing compound metabolic process   • cellular response to nitrogen compound   • response to dopamine   • serotonin receptor signaling pathway   • cellular response to dopamine   • response to monoamine   • response to oxygen-containing compound   • response to nitrogen compound   • cellular response to oxygen-containing compound   • cellular response to chemical stimulus   • response to catecholamine   • cellular response to monoamine stimulus   • response to chemical   • cellular response to catecholamine stimulus   • cell population proliferation   • positive regulation of cell population proliferation   • regulation of cell population proliferation   • positive regulation of biological process   • positive regulation of cellular process   • regulation of localization   • regulation of hormone secretion   • transport   • hormone secretion   • localization   • regulation of secretion by cell   • secretion by cell   • signal release   • regulation of signaling   • regulation of transport   • secretion   • regulation of hormone levels   • export from cell   • establishment of localization   • regulation of secretion   • regulation of cell communication   • hormone transport   • monoamine transport   • nitrogen compound transport   • organic hydroxy compound transport   • monoatomic ion transport   • serotonin secretion   • regulation of monoatomic ion transport   • regulation of serotonin secretion   • serotonin transport   • trans-synaptic signaling   • synaptic signaling   • anterograde trans-synaptic signaling   • chemical synaptic transmission   • behavioral defense response   • fear response   • behavioral fear response   • defense response   • response to stress   • multicellular organismal response to stress   • G protein-coupled receptor signaling pathway, coupled to cyclic nucleotide second messenger   • cell periphery   • cellular anatomical structure   • plasma membrane   • membrane   • somatodendritic compartment   • cell projection   • dendrite   • dendritic tree   • neuron projection   • plasma membrane bounded cell projection   • synapse   • cell junction   • protein binding   • binding   • G-protein beta-subunit binding   • fibroblast proliferation   • adenylate cyclase-activating dopamine receptor signaling pathway   • G protein-coupled dopamine receptor signaling pathway   • adenylate cyclase-activating G protein-coupled receptor signaling pathway   • response to ketone   • response to prostaglandin   • response to lipid   • response to endogenous stimulus   • response to alcohol   • cellular response to prostaglandin stimulus   • cellular response to endogenous stimulus   • cellular response to prostaglandin E stimulus   • cellular response to alcohol   • response to hormone   • cellular response to lipid   • response to prostaglandin E   • cellular response to ketone   • cellular response to hormone stimulus   • protein-containing complex   • extrinsic component of plasma membrane   • catalytic complex   • plasma membrane protein complex   • cytoplasmic side of membrane   • membrane protein complex   • heterotrimeric G-protein complex   • side of membrane   • cytoplasmic side of plasma membrane   • GTPase complex   • extrinsic component of membrane   • extrinsic component of cytoplasmic side of plasma membrane   • extracellular exosome   • membrane-bounded organelle   • extracellular vesicle   • extracellular organelle   • extracellular region   • organelle   • extracellular space   • vesicle   • extracellular membrane-bounded organelle   • enzyme binding   • GTPase binding   • protein-containing complex binding   • pyrophosphatase activity   • GTPase activity   • ribonucleoside triphosphate phosphatase activity   • hydrolase activity, acting on acid anhydrides, in phosphorus-containing anhydrides   • hydrolase activity   • hydrolase activity, acting on acid anhydrides   • catalytic activity   • signaling receptor complex adaptor activity   • protein-macromolecule adaptor activity   • molecular adaptor activity   • signaling adaptor activity   • sensory perception of chemical stimulus   • sensory perception   • nervous system process   • sensory perception of taste   • developmental process   • sensory organ development   • eye development   • animal organ development   • retina development in camera-type eye   • visual system development   • multicellular organism development   • camera-type eye development   • anatomical structure development   • sensory system development   • system development   • small GTPase-mediated signal transduction   • Ras protein signal transduction   • intracellular signal transduction   • intracellular signaling cassette   • phospholipase C-activating G protein-coupled receptor signaling pathway   • cellular response to acetylcholine   • acetylcholine receptor signaling pathway   • postsynaptic signal transduction   • G protein-coupled acetylcholine receptor signaling pathway   • response to acetylcholine   • non-motile cilium   • 9+0 non-motile cilium   • cilium   • photoreceptor disc membrane   • photoreceptor outer segment   • photoreceptor cell cilium   • organelle membrane   • intracellular anatomical structure   • cytoplasm   • cytosol   • vacuolar membrane   • lytic vacuole   • vacuole   • intracellular membrane-bounded organelle   • intracellular organelle   • lytic vacuole membrane   • bounding membrane of organelle   • lysosomal membrane   • lysosome   • mu-type opioid receptor binding   • signaling receptor binding   • G protein-coupled receptor binding   • opioid receptor binding   • guanyl nucleotide binding   • GTP binding   • nucleotide binding   • guanyl ribonucleotide binding   • purine ribonucleotide binding   • purine ribonucleoside triphosphate binding   • nucleoside phosphate binding   • ion binding   • purine nucleotide binding   • anion binding   • heterocyclic compound binding   • carbohydrate derivative binding   • ribonucleotide binding   • small molecule binding   • peptide hormone receptor binding   • corticotropin-releasing hormone receptor binding   • corticotropin-releasing hormone receptor 1 binding   • hormone receptor binding   • neuropeptide receptor binding   • G protein-coupled serotonin receptor binding   • G-protein beta/gamma-subunit complex binding   • G protein activity   • molecular function regulator activity   • cation binding   • metal ion binding   • heart process   • regulation of heart contraction   • heart contraction   • locomotory behavior   • membrane docking   • vesicle-mediated transport   • organelle localization by membrane tethering   • exocytosis   • organelle localization   • vesicle docking   • exocytic process   • vesicle docking involved in exocytosis   • negative regulation of protein transport   • establishment of protein localization   • negative regulation of biological process   • negative regulation of transport   • negative regulation of secretion   • negative regulation of hormone secretion   • negative regulation of secretion by cell   • intracellular protein localization   • regulation of peptide hormone secretion   • negative regulation of peptide hormone secretion   • establishment of protein localization to extracellular region   • negative regulation of establishment of protein localization   • protein secretion   • regulation of protein secretion   • negative regulation of protein secretion   • regulation of protein localization   • regulation of peptide secretion   • negative regulation of signaling   • negative regulation of cell communication   • protein localization to extracellular region   • negative regulation of peptide secretion   • peptide secretion   • negative regulation of cellular process   • negative regulation of protein localization   • regulation of peptide transport   • regulation of establishment of protein localization   • regulation of protein transport   • peptide transport   • negative regulation of insulin secretion   • protein transport   • regulation of insulin secretion   • peptide hormone secretion   • macromolecule localization   • insulin secretion   • modulation of chemical synaptic transmission   • regulation of trans-synaptic signaling   • postsynaptic modulation of chemical synaptic transmission   • muscle contraction   • muscle system process   • postsynapse   • postsynaptic membrane   • plasma membrane region   • synaptic membrane   • parallel fiber to Purkinje cell synapse   • excitatory synapse   • presynapse   • presynaptic membrane   • GABA-ergic synapse   • glutamatergic synapse   • cell body
Gene OntologyCellular Component
SCOP2Domain Identifier• Transducin (heterotrimeric G protein), gamma chain
SCOP2Family Identifier• Transducin (heterotrimeric G protein), gamma chain
Membrane Protein Annotations-• Orientations of Proteins in Membranes database (OPM)   • Protein Data Bank of Transmembrane Proteins (PDBTM)   • MemProtMD


Details about the values in these tables can be found in the corresponding documentation page .
CodeYLX
PDB ResiduesL:L:?1
Environment DetailsOpen EMBL-EBI Page
CodeYLX
NameBuspirone
SynonymsBuspironum
Identifier
FormulaC21 H31 N5 O2
Molecular Weight385.503
SMILES
PubChem2477
Formal Charge0
Total Atoms59
Total Chiral Atoms0
Total Bonds62
Total Aromatic Bonds6

CodeJ40
PDB ResiduesW:W:?1
Environment DetailsOpen EMBL-EBI Page
CodeJ40
Name[(2R)-1-[oxidanyl-[(2R,3R,5S,6R)-2,3,5,6-tetrakis(oxidanyl)-4-phosphonooxy-cyclohexyl]oxy-phosphoryl]oxy-3-tetradecanoyloxy-propan-2-yl] (5E,8E)-hexadeca-5,8,11,14-tetraenoate
Synonyms
Identifier
FormulaC39 H68 O16 P2
Molecular Weight854.895
SMILES
PubChem
Formal Charge0
Total Atoms125
Total Chiral Atoms5
Total Bonds125
Total Aromatic Bonds0

PDBsumOpen PDBsum Page
ChainA
ProteinG Protein α Sub unit
UniProtP09471
Sequence
>9DYE_Chain_A
LSAEERAAL ERSKAIEKN LKEDGISAA KDVKLLLLG AGESGKSTI 
VKQMKITGI VETHFTFKN LHFRLFDVG GQRSERKKW IHCFEDVTA 
IIFCVALSG YDQNRMHES LMLFDSICN NKFFIDTSI ILFLNKKDL 
FGEKIKKSP LTICFPEYT GPNTYEDAA AYIQAQFES KNRSPNKEI 
YCHMTCATD TNNIQVVFD AVTDIIIAN NLRGCGLY


Click on each residue to open a popup with some information about it.

ConSurf Conservation Grade (See documentation): 

 n/a   1    2    3    4    5    6    7    8    9  

ChainB
ProteinG Protein β Sub unit
UniProtP62873
Sequence
>9DYE_Chain_B
DQLRQEAEQ LKNQIRDAR KACADATLS QITNNIDPV GRIQMRTRR 
TLRGHLAKI YAMHWGTDS RLLVSASQD GKLIIWDSY TTNKVHAIP 
LRSSWVMTC AYAPSGNYV ACGGLDNIC SIYNLKTRE GNVRVSREL 
AGHTGYLSC CRFLDDNQI VTSSGDTTC ALWDIETGQ QTTTFTGHT 
GDVMSLSLA PDTRLFVSG ACDASAKLW DVREGMCRQ TFTGHESDI 
NAICFFPNG NAFATGSDD ATCRLFDLR ADQELMTYS HDNIICGIT 
SVSFSKSGR LLLAGYDDF NCNVWDALK ADRAGVLAG HDNRVSCLG 
VTDDGMAVA TGSWDSFLK IWN


Click on each residue to open a popup with some information about it.

ConSurf Conservation Grade (See documentation): 

 n/a   1    2    3    4    5    6    7    8    9  

ChainG
ProteinG Protein γ Sub unit
UniProtP59768
Sequence
>9DYE_Chain_G
SIAQARKLV EQLKMEANI DRIKVSKAA ADLMAYCEA HAKEDPLLT 
PVPASENPF RE


Click on each residue to open a popup with some information about it.

ConSurf Conservation Grade (See documentation): 

 n/a   1    2    3    4    5    6    7    8    9  

ChainR
ProteinReceptor
UniProtP08908
Sequence
>9DYE_Chain_R
YQVITSLLL GTLIFCAVL GNACVVAAI ALERSLQNV ANYLIGSLA 
VTDLMVSVL VLPMAALYQ VLNKWTLGQ VTCDLFIAL DVLCCTSSI 
HLCAIALDR YWAITDPID YVNKRTPRR AAALISLTW LIGFLISIP 
PMLGWRTPE DRSDPDACT ISKDHGYTI YSTFGAFYI PLLLMLVLY 
GRIFRAARF RIRKNERNA EAKRKMALA RERKTVKTL GIIMGTFIL 
CWLPFFIVA LVLPFCESS CHMPTLLGA IINWLGYSN SLLNPVIYA 
YFNKDFQNA FKKIIW


Click on each residue to open a popup with some information about it.

ConSurf Conservation Grade (See documentation): 

 n/a   1    2    3    4    5    6    7    8    9  




This receptor, from the same or other species and bound to the same or other ligands, is also present in the following networks:
Show PDB Class SubFamily Type SubType Species Orthosteric Ligand Other Ligand(s) Protein Partners Resolution Date DOI
7E2XAAmine5-Hydroxytryptamine5-HT1AHomo sapiens-PtdIns4PGi1/β1/γ232021-04-14doi.org/10.1038/s41586-021-03376-8
7E2X (No Gprot) AAmine5-Hydroxytryptamine5-HT1AHomo sapiens-PtdIns4P32021-04-14doi.org/10.1038/s41586-021-03376-8
7E2YAAmine5-Hydroxytryptamine5-HT1AHomo sapiensSerotoninPtdIns4PGi1/β1/γ232021-04-14doi.org/10.1038/s41586-021-03376-8
7E2Y (No Gprot) AAmine5-Hydroxytryptamine5-HT1AHomo sapiensSerotoninPtdIns4P32021-04-14doi.org/10.1038/s41586-021-03376-8
7E2ZAAmine5-Hydroxytryptamine5-HT1AHomo sapiensAripiprazolePtdIns4PGi1/β1/γ23.12021-04-14doi.org/10.1038/s41586-021-03376-8
7E2Z (No Gprot) AAmine5-Hydroxytryptamine5-HT1AHomo sapiensAripiprazolePtdIns4P3.12021-04-14doi.org/10.1038/s41586-021-03376-8
8JSPAAmine5-Hydroxytryptamine5-HT1AHomo sapiensUlotaront-Gi1/β1/γ23.652023-11-15doi.org/10.1038/s41586-023-06804-z
8JSP (No Gprot) AAmine5-Hydroxytryptamine5-HT1AHomo sapiensUlotaront-3.652023-11-15doi.org/10.1038/s41586-023-06804-z
8W8BAAmine5-Hydroxytryptamine5-HT1AHomo sapiensSEP-363856-Gi1/β1/γ232023-11-22doi.org/10.1038/s41586-023-06775-1
8W8B (No Gprot) AAmine5-Hydroxytryptamine5-HT1AHomo sapiensSEP-363856-32023-11-22doi.org/10.1038/s41586-023-06775-1
8FY8AAmine5-Hydroxytryptamine5-HT1AHomo sapiens5-MeO-DMTPtdIns4PGi1/β1/γ12.792024-05-15doi.org/10.1038/s41586-024-07403-2
8FY8 (No Gprot) AAmine5-Hydroxytryptamine5-HT1AHomo sapiens5-MeO-DMTPtdIns4P2.792024-05-15doi.org/10.1038/s41586-024-07403-2
8FYEAAmine5-Hydroxytryptamine5-HT1AHomo sapiens4-F,5-MeO-PyrTPtdIns4PGi1/β1/γ12.852024-05-15doi.org/10.1038/s41586-024-07403-2
8FYE (No Gprot) AAmine5-Hydroxytryptamine5-HT1AHomo sapiens4-F,5-MeO-PyrTPtdIns4P2.852024-05-15doi.org/10.1038/s41586-024-07403-2
8FYLAAmine5-Hydroxytryptamine5-HT1AHomo sapiensVilazodonePtdIns4PGi1/β1/γ12.942024-05-15doi.org/10.1038/s41586-024-07403-2
8FYL (No Gprot) AAmine5-Hydroxytryptamine5-HT1AHomo sapiensVilazodonePtdIns4P2.942024-05-15doi.org/10.1038/s41586-024-07403-2
8FYTAAmine5-Hydroxytryptamine5-HT1AHomo sapiensLSDPtdIns4PGi1/β1/γ12.642024-05-15doi.org/10.1038/s41586-024-07403-2
8FYT (No Gprot) AAmine5-Hydroxytryptamine5-HT1AHomo sapiensLSDPtdIns4P2.642024-05-15doi.org/10.1038/s41586-024-07403-2
8FYXAAmine5-Hydroxytryptamine5-HT1AHomo sapiensBuspironePtdIns4PGi1/β1/γ12.722024-05-15doi.org/10.1038/s41586-024-07403-2
8FYX (No Gprot) AAmine5-Hydroxytryptamine5-HT1AHomo sapiensBuspironePtdIns4P2.722024-05-15doi.org/10.1038/s41586-024-07403-2
8PJKAAmine5-Hydroxytryptamine5-HT1AHomo sapiensST171-Gi1/β1/γ12.42024-05-29doi.org/10.1126/sciadv.adv9267
8PJK (No Gprot) AAmine5-Hydroxytryptamine5-HT1AHomo sapiensST171-2.42024-05-29doi.org/10.1126/sciadv.adv9267
8PKMAAmine5-Hydroxytryptamine5-HT1AHomo sapiensBefiradol-Gi1/β1/γ12.92024-05-29doi.org/10.1126/sciadv.adv9267
8PKM (No Gprot) AAmine5-Hydroxytryptamine5-HT1AHomo sapiensBefiradol-2.92024-05-29doi.org/10.1126/sciadv.adv9267
8JT6AAmine5-Hydroxytryptamine5-HT1AHomo sapiens(R)-IHCH-7179PtdIns4PGi1/β1/γ232024-02-28doi.org/10.1016/j.cell.2024.02.034
8JT6 (No Gprot) AAmine5-Hydroxytryptamine5-HT1AHomo sapiens(R)-IHCH-7179PtdIns4P32024-02-28doi.org/10.1016/j.cell.2024.02.034
9GL2AAmine5-Hydroxytryptamine5-HT1AHomo sapiensBefiradol-Gs/β1/γ23.22025-07-02doi.org/10.1126/sciadv.adv9267
9GL2 (No Gprot) AAmine5-Hydroxytryptamine5-HT1AHomo sapiensBefiradol-3.22025-07-02doi.org/10.1126/sciadv.adv9267
9DYDAAmine5-Hydroxytryptamine5-HT1AHomo sapiensAsenapinePtdIns4PGo/β1/γ22.962025-08-13doi.org/10.1126/sciadv.adu9851
9DYD (No Gprot) AAmine5-Hydroxytryptamine5-HT1AHomo sapiensAsenapinePtdIns4P2.962025-08-13doi.org/10.1126/sciadv.adu9851
9DYE (No Gprot) AAmine5-Hydroxytryptamine5-HT1AHomo sapiensBuspironePtdIns4P2.92025-08-13doi.org/10.1126/sciadv.adu9851
9DYFAAmine5-Hydroxytryptamine5-HT1AHomo sapiensAsenapinePtdIns4PGi1/β1/γ22.742025-08-13doi.org/10.1126/sciadv.adu9851
9DYF (No Gprot) AAmine5-Hydroxytryptamine5-HT1AHomo sapiensAsenapinePtdIns4P2.742025-08-13doi.org/10.1126/sciadv.adu9851
9MD1AAmine5-Hydroxytryptamine5-HT1AHomo sapiensBuspironePtdIns4PGz/β1/γ23.032025-08-13doi.org/10.1126/sciadv.adu9851
9MD1 (No Gprot) AAmine5-Hydroxytryptamine5-HT1AHomo sapiensBuspironePtdIns4P3.032025-08-13doi.org/10.1126/sciadv.adu9851
9VJ5AAmine5-Hydroxytryptamine5-HT1AHomo sapiensGepirone-Go/β1/γ22.692025-11-12To be published
9VJ5 (No Gprot) AAmine5-Hydroxytryptamine5-HT1AHomo sapiensGepirone-2.692025-11-12To be published
9VJ6AAmine5-Hydroxytryptamine5-HT1AHomo sapiensF-15599-Gi3/β1/γ22.622025-11-12To be published
9VJ6 (No Gprot) AAmine5-Hydroxytryptamine5-HT1AHomo sapiensF-15599-2.622025-11-12To be published
9VJEAAmine5-Hydroxytryptamine5-HT1AHomo sapiensBuspirone-Go/β1/γ22.472025-11-12To be published
9VJE (No Gprot) AAmine5-Hydroxytryptamine5-HT1AHomo sapiensBuspirone-2.472025-11-12To be published
9VJFAAmine5-Hydroxytryptamine5-HT1AHomo sapiensBuspirone-Gi3/β1/γ22.72025-11-12To be published
9VJF (No Gprot) AAmine5-Hydroxytryptamine5-HT1AHomo sapiensBuspirone-2.72025-11-12To be published
9VJGAAmine5-Hydroxytryptamine5-HT1AHomo sapiens8-OH-DPAT-chim(NtGi2-Gz)/β1/γ22.672025-11-12To be published
9VJG (No Gprot) AAmine5-Hydroxytryptamine5-HT1AHomo sapiens8-OH-DPAT-2.672025-11-12To be published
9VMYAAmine5-Hydroxytryptamine5-HT1AHomo sapiensTMU4142-Go/β1/γ22.862025-11-12To be published
9VMY (No Gprot) AAmine5-Hydroxytryptamine5-HT1AHomo sapiensTMU4142-2.862025-11-12To be published
9VNFAAmine5-Hydroxytryptamine5-HT1AHomo sapiensPindolol-Go/β1/γ22.742025-11-12To be published
9VNF (No Gprot) AAmine5-Hydroxytryptamine5-HT1AHomo sapiensPindolol-2.742025-11-12To be published
9KVGAAmine5-Hydroxytryptamine5-HT1AHomo sapiens5-MeO-DMTPtdIns4PGi1/β1/γ22.632025-12-03To be published
9KVG (No Gprot) AAmine5-Hydroxytryptamine5-HT1AHomo sapiens5-MeO-DMTPtdIns4P2.632025-12-03To be published
9KVHAAmine5-Hydroxytryptamine5-HT1AHomo sapiensCinobufoteninePtdIns4PGi1/β1/γ22.592025-12-03To be published
9KVH (No Gprot) AAmine5-Hydroxytryptamine5-HT1AHomo sapiensCinobufoteninePtdIns4P2.592025-12-03To be published
9KVIAAmine5-Hydroxytryptamine5-HT1AHomo sapiensBufoteninPtdIns4PGi1/β1/γ22.542025-12-03To be published
9KVI (No Gprot) AAmine5-Hydroxytryptamine5-HT1AHomo sapiensBufoteninPtdIns4P2.542025-12-03To be published
9HYIAAmine5-Hydroxytryptamine5-HT1AHomo sapiensDP81-Gi1/β1/γ22.32026-01-21To be published
9HYI (No Gprot) AAmine5-Hydroxytryptamine5-HT1AHomo sapiensDP81-2.32026-01-21To be published




You can download a compressed (zip) file with structure(s), 3D outputs (as PyMol and VMD scripts) and numerical data files (as csv and plain text files).

Download 9DYE.zip



You can click to copy the link of this page to easily come back here later

or use this QR code to link and share this page.



You can also  read or  download a guide explaining the meaning of all files and numerical data.