Color ConSurf Grade
      No Conservation data available
      1
      2
      3
      4
      5
      6
      7
      8
      9

Index: hub id, click on each number to highlight the corresponding hub in the 3D visualization.

Hub: the hub being considered.

Avg Int. Strength: the average interaction strength of all the links of the corresponding hub.

Num Of Links: the number of links of the corresponding hub.

Community: the id of the community the link belong to, otherwise 0.

ConSurf: this column reports the ConSurf conservation grades of each hub.

Index Hub Avg Int. Strength Num Of Links Community ConSurf
1A:A:E16 3.9954174
2A:A:Q19 8.96754174
3A:A:L30 2.61565
4A:A:H41 5.08667656
5A:A:K53 5.432509
6A:A:I56 4.015497
7A:A:V214 5.436556
8A:A:F219 7.37833658
9A:A:H220 9.2654137
10A:A:M221 5.564598
11A:A:F222 7.695137
12A:A:Q227 5.232589
13A:A:E230 9.2525489
14A:A:K233 7.144549
15A:A:W234 7.444509
16A:A:F238 10.5485139
17A:A:I244 5.1725408
18A:A:I245 3.06667697
19A:A:F246 4.6525149
20A:A:Y253 5.125438
21A:A:R265 5.02754189
22A:A:L272 5.774148
23A:A:F273 5.7825409
24A:A:W281 11.51625
25A:A:I288 5.95499
26A:A:L289 5.2625409
27A:A:F290 4.22333699
28A:A:N292 5.4325499
29A:A:Q294 6.34536
30A:A:L297 4.365438
31A:A:F312 4.77333638
32A:A:E314 4.42536
33A:A:F315 13.4725406
34A:A:Y318 7.755436
35A:A:P321 5.56535
36A:A:E330 9.94433
37A:A:D331 8.0075434
38A:A:V334 4.556534
39A:A:K338 6.944535
40A:A:Y339 6.484533
41A:A:F340 9.038537
42A:A:R342 6.60167634
43A:A:E344 5.38535
44A:A:F345 8.23408
45A:A:L346 7.7325434
46A:A:S349 5.205437
47A:A:C359 3.805435
48A:A:Y360 7.76408
49A:A:F363 6.4825435
50A:A:N371 4.45499
51A:A:R373 6.8025455
52A:A:R374 6.4475494
53A:A:F376 8.35667658
54A:A:H387 8.18558
55A:A:Q390 5.322554
56A:A:Y391 6.21833654
57B:B:L7 4.162508
58B:B:I18 3.5075407
59B:B:R19 3.74404
60B:B:R22 4.7865206
61B:B:L30 4.0175405
62B:B:T34 3.5945115
63B:B:I37 3.86254112
64B:B:V40 4.95754113
65B:B:L51 5.9475469
66B:B:H54 10.54569
67B:B:M61 4.152566
68B:B:W63 7.14333667
69B:B:L70 6.66465
70B:B:Q75 7.765409
71B:B:D76 7.1025409
72B:B:K78 4.46668
73B:B:I80 8.49568
74B:B:I81 4.234107
75B:B:W82 10.8967669
76B:B:S84 5.2575465
77B:B:Y85 11.215464
78B:B:T86 9.71754176
79B:B:N88 10.294177
80B:B:K89 9.29667669
81B:B:H91 6.7085105
82B:B:I93 5.0485107
83B:B:L95 4.2345108
84B:B:W99 10.2185139
85B:B:M101 5.938509
86B:B:Y105 5.0675406
87B:B:N110 5.55254154
88B:B:Y111 5.964154
89B:B:C114 3.8454108
90B:B:L117 4.7554139
91B:B:I123 3.434156
92B:B:Y124 4.981676106
93B:B:L126 5.23254105
94B:B:V133 6.064104
95B:B:H142 8.458589
96B:B:Y145 6.348588
97B:B:L146 3.135487
98B:B:F151 7.2325409
99B:B:L152 4.528573
100B:B:V158 4.245475
101B:B:T159 4.90833689
102B:B:S160 5.955476
103B:B:S161 8.09489
104B:B:D163 9.0725489
105B:B:W169 9.975688
106B:B:T173 3.665405
107B:B:F180 7.196577
108B:B:H183 7.916579
109B:B:D186 7.128589
110B:B:V187 3.84579
111B:B:L190 5.335475
112B:B:F199 8.8075479
113B:B:V200 8.225446
114B:B:K209 11.6225476
115B:B:L210 7.294545
116B:B:W211 9.816578
117B:B:C218 6.4375475
118B:B:R219 5.69445
119B:B:Q220 6.4875447
120B:B:H225 8.33714749
121B:B:D228 7.356549
122B:B:I232 4.692548
123B:B:F234 6.755445
124B:B:F235 7.3356166
125B:B:P236 5.66754167
126B:B:N237 9.32405
127B:B:F241 7.095646
128B:B:T243 5.5925448
129B:B:D246 6.8775449
130B:B:D247 9.335449
131B:B:T249 8.3446
132B:B:R251 10.45748
133B:B:F253 5.85143746
134B:B:D254 4.406509
135B:B:R256 7.535409
136B:B:L261 3.4925405
137B:B:Y264 6.195605
138B:B:I269 3.948524
139B:B:T274 4.6925428
140B:B:S277 3.75405
141B:B:F278 6.016167
142B:B:R283 8.325119
143B:B:L284 3.5145115
144B:B:Y289 5.41625827
145B:B:D290 8.56526
146B:B:C294 3.8975425
147B:B:N295 7.115626
148B:B:V296 4.0025405
149B:B:W297 7.9625428
150B:B:D298 8.4754119
151B:B:L300 6.5725116
152B:B:R304 8.765425
153B:B:V307 4.645423
154B:B:H311 9.675429
155B:B:R314 14.41528
156B:B:L318 3.48626
157B:B:T329 5.72428
158B:B:W332 11.0267629
159B:B:L336 4.27407
160B:B:I338 3.85465
161B:B:W339 9.45167629
162R:R:F5 6.702514
163R:R:Y6 8.04667616
164R:R:R7 4.1825414
165R:R:N34 5.764229
166R:R:V60 3.42557
167R:R:Y62 5.094237
168R:R:L68 6.285129
169R:R:T69 4.214228
170R:R:D72 6.0775409
171R:R:K76 6.8625418
172R:R:S80 6.85418
173R:R:Y87 8.16333618
174R:R:L104 3.59415
175R:R:F108 5.93167616
176R:R:M112 5.762518
177R:R:F114 7.328517
178R:R:F115 8.2275408
179R:R:L117 5.4875418
180R:R:S118 4.165417
181R:R:L121 5.5875405
182R:R:M126 5.45409
183R:R:E129 6.31459
184R:R:L132 4.7775405
185R:R:F138 9.3775457
186R:R:Y140 11.7683658
187R:R:F163 5.062517
188R:R:P167 8.0775419
189R:R:F168 4.6325414
190R:R:F174 6.964516
191R:R:Q176 5.7625405
192R:R:Y177 9.166519
193R:R:P179 4.49418
194R:R:W182 9.795619
195R:R:F184 5.90667618
196R:R:I185 6.195617
197R:R:Q186 6.768515
198R:R:V188 6.2775413
199R:R:V196 6.325415
200R:R:Y199 7.69714716
201R:R:Y203 5.486518
202R:R:L206 4.555415
203R:R:L210 5.2825406
204R:R:M222 2.8775407
205R:R:R231 5.964555
206R:R:H235 5.98333634
207R:R:E260 4.962509
208R:R:M270 4.86754129
209R:R:F274 5.9245129
210R:R:I282 3.91254248
211R:R:R284 9.84515
212R:R:Y286 8.04254245
213R:R:Y287 4.25404
214R:R:E301 6.005613
215R:R:L309 4.0725417
216R:R:I315 5.35754129
217R:R:I317 4.705409
218R:R:D319 6.4045129
219R:R:I322 4.4625408
220R:R:I324 3.832509
221G:G:K20 3.534196
222G:G:R27 6.2254208
223G:G:D48 6.348509
224G:G:P49 3.8725407
225G:G:L51 3.8225116
226G:G:N59 8.146569
227G:G:F61 5.39143768
228L:L:?1 7.684621310
   

Color ConSurf Grade
      No Conservation data available
      1
      2
      3
      4
      5
      6
      7
      8
      9

Index: link id, click on each number to highlight the corresponding link in the 3D visualization.

Node1 Node2: the two nodes of the corresponding link.

Recurrence: the relative Recurrence in the pool of shortest paths.

Int. Strength: the interaction strength between the two nodes.

Hub1?, Hub2?: "Yes" if the corresponding node has more than 3 links, otherwise "No".

Community: the id of the community the link belong to, otherwise 0.

ConSurf1, ConSurf2: these columns report the ConSurf conservation grades of the two nodes involved in a link.

Index Node1 Node2 Recurrence Int. Strength Hub1? Hub2? Community ConSurf1 ConSurf2
1B:B:L70 B:B:W82 10.11355.69YesYes659
2B:B:L70 B:B:M61 10.15465.65YesYes656
3B:B:C317 B:B:M61 21.12283.24NoYes076
4B:B:C317 B:B:S316 21.40633.44NoNo079
5B:B:S316 B:B:W332 21.55034.94NoYes099
6B:B:K57 B:B:W332 28.959324.37NoYes299
7B:B:K57 B:B:Q75 29.333810.85NoYes099
8A:A:H387 R:R:Y140 91.941914.16YesYes588
9A:A:H387 A:A:I383 46.0736.63YesNo588
10A:A:H41 A:A:I383 46.29535.3YesNo568
11A:A:F219 A:A:H41 46.69986.79YesYes586
12A:A:C379 A:A:F219 46.08846.98NoYes088
13A:A:C379 A:A:L43 91.863.17NoNo087
14A:A:I245 A:A:L43 91.86142.85YesNo077
15A:A:I245 A:A:L45 97.69122.85YesNo978
16A:A:K53 A:A:L45 98.34984.23YesNo098
17A:A:D223 A:A:K53 1006.91NoYes099
18A:A:D223 A:A:G225 99.97963.35NoNo099
19A:A:A226 A:A:G225 99.97271.95NoNo099
20A:A:A226 A:A:G206 99.96571.95NoNo098
21A:A:G206 A:A:Q227 99.84314.93NoYes889
22A:A:Q227 B:B:Y145 71.1274.51YesYes898
23B:B:M101 B:B:Y145 30.49598.38YesYes098
24A:A:C237 B:B:M101 14.41174.86NoYes089
25A:A:C237 B:B:Q75 14.36269.16NoYes089
26A:A:H387 R:R:R141 46.07524.51YesNo086
27A:A:H41 R:R:R141 46.16463.39YesNo066
28A:A:H41 A:A:T242 45.74925.48YesNo068
29A:A:C379 A:A:T242 45.77523.38NoNo088
30B:B:M101 B:B:Y59 14.41178.38YesNo098
31B:B:Q75 B:B:Y59 14.36263.38YesNo098
32A:A:N279 A:A:W281 34.90413.39NoYes085
33A:A:L282 A:A:N279 35.013413.73NoNo098
34A:A:I235 A:A:L282 35.12562.85NoNo099
35A:A:I235 A:A:W234 35.23835.87NoYes099
36A:A:R231 A:A:W234 22.542910NoYes099
37A:A:L272 A:A:R231 22.11887.29YesNo1489
38A:A:V224 A:A:W234 28.734513.48NoYes099
39B:B:D186 B:B:Y145 10.88229.2YesYes898
40A:A:E230 B:B:D186 10.93687.8YesYes899
41A:A:E230 A:A:R232 10.78111.63YesNo098
42A:A:R232 B:B:D228 10.699210.72NoYes089
43A:A:F246 A:A:L272 21.85557.31YesYes1498
44A:A:F246 A:A:L289 12.97063.65YesYes099
45A:A:W281 B:B:D290 27.284310.05YesYes256
46B:B:R314 B:B:T274 16.66335.17YesYes288
47B:B:S275 B:B:T274 17.60873.2NoYes088
48B:B:L318 B:B:S275 17.22476.01YesNo068
49B:B:D228 B:B:S227 10.04942.94YesNo496
50B:B:S227 B:B:S245 10.00343.26NoNo469
51B:B:C271 B:B:D290 19.89243.11NoYes256
52B:B:C271 B:B:Y289 19.22982.69NoYes257
53R:R:V60 R:R:Y140 77.10863.79YesYes578
54R:R:L64 R:R:V60 75.88322.98NoYes087
55R:R:L64 R:R:M126 74.8795.65NoYes089
56R:R:L68 R:R:M126 70.73645.65YesYes099
57R:R:D72 R:R:L68 62.63925.43YesYes099
58R:R:D72 R:R:S316 59.3198.83YesNo098
59L:L:?1 R:R:S316 55.90932.96YesNo108
60L:L:?1 R:R:W182 18.227114.98YesYes109
61R:R:W182 R:R:Y177 10.833726.04YesYes199
62L:L:?1 R:R:M112 12.89189.3YesYes108
63R:R:F184 R:R:I185 12.78416.28YesYes187
64R:R:F108 R:R:L93 10.35354.87YesNo166
65R:R:F108 R:R:V82 10.35357.87YesNo166
66R:R:A97 R:R:L104 10.35471.58NoYes015
67A:A:Q227 A:A:V224 28.76682.87YesNo099
68A:A:W234 B:B:Y145 30.92523.86YesYes098
Download PSN data

2D representation of the global metapath, ligand(s) interactions and
histograms of path distribution according to several parameters
(click on the image to enlarge it 🔍):

A 2D representation of the global communication in the network.

ConSurf Conservation Grade (See documentation): 

 n/a   1    2    3    4    5    6    7    8    9  

Number of shortest communication paths as a function of the average residue correlation.

Number of shortest communication paths as a function of the average interaction strength of their links.

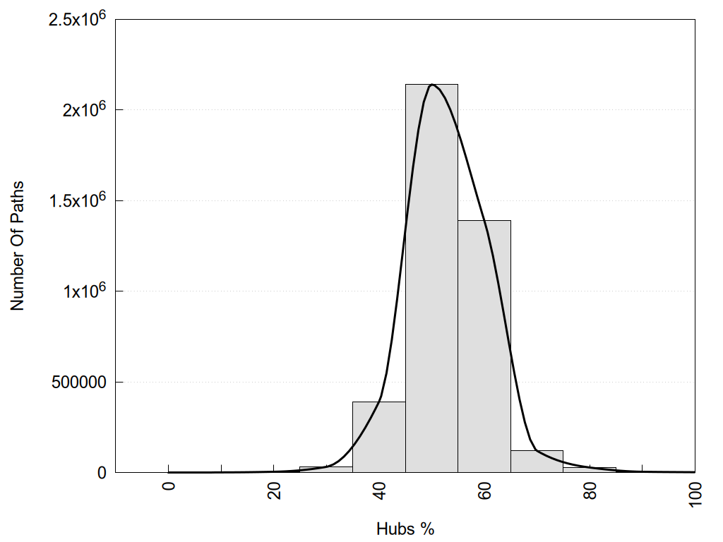
Number of shortest communication paths as a function of the % of hub nodes in each path.

Number of shortest communication paths as a function of the number of nodes in each path.

Number of shortest communication paths as a function of the % of correlated nodes in each path.


2D representation of the interactions of this orthosteric/allosteric ligand.


Links and nodes colored according to ConSurf Conservation Grade (See documentation): 

 n/a   1    2    3    4    5    6    7    8    9  

Node1 Node2 LinkStrength Comm IsNode1Hub? IsNode2Hub? Node1Cons Node2Cons Node1Shell Node2Shell
R:R:N18 R:R:Y87 9.3 1 No Yes 3 8 2 1
R:R:N18 R:R:P179 3.26 1 No Yes 3 8 2 2
R:R:A20 R:R:Y87 9.34 0 No Yes 6 8 2 1
R:R:M22 R:R:R310 14.89 0 No No 3 9 2 1
R:R:F27 R:R:S80 11.89 1 No Yes 8 8 2 1
R:R:F27 R:R:P81 5.78 1 No No 8 8 2 2
R:R:D72 R:R:S316 8.83 0 Yes No 9 8 2 1
R:R:K76 R:R:S80 3.06 1 Yes Yes 8 8 1 1
R:R:K76 R:R:S316 6.12 1 Yes No 8 8 1 1
R:R:I317 R:R:K76 4.36 0 Yes Yes 9 8 2 1
L:L:?1 R:R:K76 13.91 1 Yes Yes 0 8 0 1
R:R:F108 R:R:L79 12.18 1 Yes No 6 6 2 1
R:R:L79 R:R:M112 4.24 1 No Yes 6 8 1 1
L:L:?1 R:R:L79 7.28 1 Yes No 0 6 0 1
R:R:P81 R:R:S80 3.56 1 No Yes 8 8 2 1
L:L:?1 R:R:S80 8.89 1 Yes Yes 0 8 0 1
R:R:F108 R:R:V83 3.93 1 Yes No 6 9 2 1
R:R:T181 R:R:V83 3.17 0 No No 9 9 2 1
L:L:?1 R:R:V83 7.84 1 Yes No 0 9 0 1
R:R:P179 R:R:Y87 4.17 1 Yes Yes 8 8 2 1
R:R:T181 R:R:Y87 17.48 0 No Yes 9 8 2 1
L:L:?1 R:R:Y87 6.17 1 Yes Yes 0 8 0 1
R:R:F108 R:R:M112 3.73 1 Yes Yes 6 8 2 1
R:R:F108 R:R:W182 3.01 1 Yes Yes 6 9 2 1
R:R:F184 R:R:M112 8.71 1 Yes Yes 8 8 2 1
R:R:L309 R:R:M112 2.83 1 Yes Yes 7 8 1 1
L:L:?1 R:R:M112 9.3 1 Yes Yes 0 8 0 1
R:R:W182 R:R:Y177 26.04 1 Yes Yes 9 9 1 2
R:R:F184 R:R:Y177 4.13 1 Yes Yes 8 9 2 2
R:R:P179 R:R:W182 6.76 1 Yes Yes 8 9 2 1
R:R:L306 R:R:W182 4.56 1 No Yes 7 9 1 1
R:R:L309 R:R:W182 3.42 1 Yes Yes 7 9 1 1
L:L:?1 R:R:W182 14.98 1 Yes Yes 0 9 0 1
R:R:F184 R:R:L309 7.31 1 Yes Yes 8 7 2 1
R:R:L312 R:R:V281 5.96 0 No No 8 8 1 2
R:R:L306 R:R:R310 14.58 1 No No 7 9 1 1
L:L:?1 R:R:L306 4.55 1 Yes No 0 7 0 1
L:L:?1 R:R:L309 2.73 1 Yes Yes 0 7 0 1
L:L:?1 R:R:R310 9.59 1 Yes No 0 9 0 1
L:L:?1 R:R:S313 9.88 1 Yes No 0 9 0 1
L:L:?1 R:R:S316 2.96 1 Yes No 0 8 0 1
R:R:V14 R:R:Y87 2.52 0 No Yes 4 8 2 1
L:L:?1 R:R:L312 1.82 1 Yes No 0 8 0 1

Location and physicochemical properties of the interaction partners of this ligand

Interactions of this ligand

Similarities between the interactions of this ligand and those of other networks

ShowSimilarityNetwork TypeNameLigandDescription
80.00Single8GCPPGE28GCP-EP4-PGE2-Gi1/β1/γ2
80.00Single9AU0BW245C9AU0-DP1-BW245C-Gs/β1/γ2
73.33Single8GDBPGE28GDB-EP4-PGE2-Gs/β1/γ2
73.33Single8X79MRE-2698X79-I2-MRE-269-Gs/β1/γ2
71.43Single6IIVDaltroban6IIV-TXA2-Daltroban
71.43Single8XJLPGF2-alpha8XJL-FP-alpha-PGF2-α-chim(NtGi2-Gs-CtGq)/β1/γ2
70.59Single8GDAL9026888GDA-EP4-L902688-Gs/β1/γ2
70.59Single8IQ4Carboprost8IQ4-FP-alpha-Carboprost-chim(NtGi1-Gs-CtGq)/β1/γ2
68.75Single6AK3PGE26AK3-EP3-PGE2
66.67Single6M9TMisoprostol-FA6M9T-EP3-Misoprostol-FA
66.67Single8GD9Rivenprost8GD9-EP4-Rivenprost-Gs/β1/γ2
66.67Single8ZVZBW245C8ZVZ-DP1-BW245C-Gs/β1/γ2
64.71Single7CX4Evatanepag7CX4-EP2-Evatanepag-Gs/β1/γ2
64.71Single8XJKCloprosetnol8XJK-FP-alpha-Cloprosetnol-chim(NtGi1-Gs-CtGq)/β1/γ2
64.71Single8XJOU466198XJO-TXA2-U46619-chim(NtGi1-Gs-CtGq)/β1/γ2
64.71Single9GG5U466199GG5-TXA2-U46619-chim(NtGi2L-Gs-CtGq)/β1/γ2
64.71Single9M1HPGE29M1H-EP1-PGE2-chim(NtGi1-Gs-CtGq)/β1/γ2
64.71Consensusfp-alpha_onOrthosteric Ligand8IUK-FP-alpha-PGF2-α-chim(NtGi1-Gs-CtGq)/β1/γ2 8IUL-FP-alpha-Latanoprost-chim(NtGi1-Gs-CtGq)/β1/γ2 8IUM-FP-alpha-Tafluprost acid-chim(NtGi1-Gs-CtGq)/β1/γ2
64.71Consensusfp-alpha_on_gpOrthosteric Ligand8IUK-FP-alpha-PGF2-α-chim(NtGi1-Gs-CtGq)/β1/γ2 8IUL-FP-alpha-Latanoprost-chim(NtGi1-Gs-CtGq)/β1/γ2 8IUM-FP-alpha-Tafluprost acid-chim(NtGi1-Gs-CtGq)/β1/γ2
64.71Consensusprostanoid_onOrthosteric Ligandtp_on fp-alpha_on
64.71Consensusprostanoid_on_gpOrthosteric Ligandtp_on_gp fp-alpha_on_gp
64.71Consensustp_onOrthosteric Ligand8XJO-TXA2-U46619-chim(NtGi1-Gs-CtGq)/β1/γ2
64.71Consensustp_on_gpOrthosteric Ligand8XJO-TXA2-U46619-chim(NtGi1-Gs-CtGq)/β1/γ2
62.50Single8IUKPGF2-alpha8IUK-FP-alpha-PGF2-α-chim(NtGi1-Gs-CtGq)/β1/γ2
62.50Single9E9SPGD29E9S-DP1-PGD2-Gs/β1/γ1
61.11Single7CX2PGE27CX2-EP2-PGE2-Gs/β1/γ2
61.11Single8IUMTafluprost acid8IUM-FP-alpha-Tafluprost acid-chim(NtGi1-Gs-CtGq)/β1/γ2
60.00Single9JQZGrapiprant 9JQZ-EP4-Grapiprant
58.82Single6IIURamatroban6IIU-TXA2-Ramatroban
58.82Single8IQ6Latanoprost8IQ6-FP-alpha-Latanoprost-chim(NtGi1-Gs-CtGq)/β1/γ2
58.82Single8XJNCloprosetnol8XJN-TXA2-Cloprosetnol-chim(NtGi1-Gs-CtGq)/β1/γ2
58.82Single9GGGI-BOP9GGG-TXA2-I-BOP-chim(NtGi2L-Gs-CtGq)/β1/γ2
57.89Single7CX3Taprenepag7CX3-EP2-Taprenepag-Gs/β1/γ2
56.25Single9JRTTG6-1299JRT-EP2-TG6-129
53.33Single8X7ATreprostinil8X7A-I2-Treprostinil-Gs/β1/γ2
52.94Single8XJMLatanoprost8XJM-FP-alpha-Latanoprost-chim(NtGi2-Gs-CtGq)/β1/γ2
47.37Single8IULLatanoprost8IUL-FP-alpha-Latanoprost-chim(NtGi1-Gs-CtGq)/β1/γ2
47.06Consensuss1p5_offOrthosteric Ligand7YXA-S1P5-ONO-5430608
41.18Single5TGZAM65385TGZ-CB1-AM6538
41.18Single7YXAONO-54306087YXA-S1P5-ONO-5430608
41.18Single9JROPF-044189489JRO-EP2-PF-04418948
40.00Single7D7MPGE27D7M-EP4-PGE2-Gs/β1/γ1
38.89Single8GDCPGE28GDC-EP3-PGE2-Gi1/β1/γ2
38.89Single9B9ZMRI-18679B9Z-CB1-MRI-1867
38.89Single9EKHONO-30302979EKH-DP1-ONO-3030297
37.50Single5U09Taranabant5U09-CB1-Taranabant
36.84Single9RHGC4079RHG-FZD7-C407
35.29Single9BA0MRI-18919BA0-CB1-MRI-1891
35.29Consensuscb1_offOrthosteric Ligand5U09-CB1-Taranabant 5TGZ-CB1-AM6538
33.33Single6KPFAM120336KPF-CB2-AM12033-Gi1/β1/γ2
33.33Single8GCML-9026888GCM-EP4-L-902688-Gi1/β1/γ2
31.58Single5YHLPubChem 1351213525YHL-EP4-PubChem 135121352
31.58Single5YWYONO-AE3-2085YWY-EP4-ONO-AE3-208
31.58Single6KPCAM120336KPC-CB2-AM12033
31.58Single9EE5ONO-25502899EE5-DP1-ONO-2550289
31.58Single9ERXD9-THC analog9ERX-CB1-D9-THC analog-Gi1/β1/γ2
31.58Consensusep4_offOrthosteric Ligand5YWY-EP4-ONO-AE3-208 5YHL-EP4-PubChem 135121352
31.58Consensusep_offOrthosteric Ligandep4_off
31.58Consensuss1p_offOrthosteric Ligands1p1_off s1p5_off
31.25Single5L7IVismodegib5L7I-SMO-Vismodegib
31.25Single9B9YTaranabant9B9Y-CB1-Taranabant
30.00Single5XRAAM115425XRA-CB1-AM11542
30.00Single6N4BMDMB-Fubinaca6N4B-CB1-MDMB-Fubinaca-Gi1/β1/γ2
30.00Single8GUSHU-3088GUS-CB2-HU-308-Gi1/β1/γ2
29.41Single8HMPC178HMP-GPR52-C17-Gs/β1/γ2
29.41Single8IJANiacin8IJA-HCA2-Niacin-Gi1/β1/γ2
29.41Single8J6LNiacin8J6L-HCA2-Niacin-Gi1/β1/γ2
29.41Single8Z87CHBA8Z87-HCA1-CHBA-Gi1/β1/γ2
29.41Single9JKXAcifran9JKX-HCA3-Acifran-Gi1/β1/γ2
29.41Single9K6LSalicin9K6L-TAS2R16-Salicin-Gi2/β1/γ2
28.57Single4N4WSANT-14N4W-SMO-SANT-1
28.57Consensuscannabinoid_offOrthosteric Ligandcb2_off cb1_off
28.57Consensuscannabinoid_onOrthosteric Ligandcb2_on cb1_on
28.57Consensuscannabinoid_on_gpOrthosteric Ligandcb2_on_gp cb1_on_gp
28.57Consensuslipid_offonOrthosteric Ligandlipid_off lipid_on
28.57Consensuslipid_offon_gpOrthosteric Ligandlipid_on_gp lipid_off
27.78Single2YDOAdenosine2YDO-A2A-Adenosine
27.78Single7VUGJNJ-635330547VUG-GPR139-JNJ-63533054-Gi1/β1/γ2
27.78Single8IY9Niacin8IY9-HCA2-Niacin-Go/β1/γ2
27.78Single8JERAcipimox8JER-HCA2-Acipimox-Go/β1/γ2
27.78Single8K5CAcipimox8K5C-HCA2-Acipimox
27.78Single9JQYTG6-1299JQY-EP4-TG6-129
27.27Single8WRZAM8418WRZ-CB1-AM841-Arrestin2
27.27Consensuscb1_on_gpOrthosteric Ligand6KPG-CB1-AM841-Gi1/β1/γ2 8K8J-CB1-Fenofibrate-chim(Gs-CtGq)/β1/γ2
27.27Consensusprostanoid_offOrthosteric Ligandep_off dp_off
26.32Single2Y01Dobutamine2Y01-β1-Dobutamine
26.32Single7V3ZCP559407V3Z-CB1-CP55940
26.32Single8I7VAcipimox8I7V-HCA2-Acipimox-Gi1/β1/γ2
26.32Single8IHJAcifran8IHJ-HCA3-Acifran-Gi1/β1/γ2
26.32Single8JHNMonomethyl fumarate8JHN-HCA2-Monomethyl fumarate-Go/β1/γ2
26.32Single8JIINiacin8JII-HCA2-Niacin-PubChem 25101223-Gi1/β1/γ2
26.09Single5ZTYAM102575ZTY-CB2-AM10257
26.09Single8X3LXWD8X3L-CB2-XWD-Gi1/β1/γ2
26.09Consensuscb2_offOrthosteric Ligand5ZTY-CB2-AM10257
25.00Single2Y00Dobutamine2Y00-β1-Dobutamine
25.00Single4JKVTaladegib4JKV-SMO-Taladegib
25.00Single5T1ABMS-6815T1A-CCR2-BMS-681-PubChem 12093170
25.00Single6GPXMK08126GPX-CCR2-MK0812
25.00Single6XBKCholesterol6XBK-SMO-Cholesterol-Gi1/β1/γ2
25.00Single7LD3Adenosine7LD3-A1-Adenosine-MIPS521-Gi2/β1/γ2
25.00Single8GHVAMG3158GHV-CB1-AMG315-Gi1/β1/γ2
25.00Single8ITFDMCHA8ITF-TAA9-DMCHA-chim(NtGi1-Gs)/β1/γ2
25.00Single8J6QBeta-Hydroxybutyrate8J6Q-HCA2-β-Hydroxybutyrate-PubChem 25101223-Gi1/β1/γ2
25.00Single8JEFPubChem 113671668JEF-HCA3-PubChem 11367166-Gi1/β1/γ2
25.00Single8JXTHistamine8JXT-H4-Histamine-PO4-Gi1/β1/γ2
25.00Single8K8JFenofibrate8K8J-CB1-Fenofibrate-chim(Gs-CtGq)/β1/γ2
25.00Single8UUJFCH-22964138UUJ-HCA2-FCH-2296413-Gi1/β1/γ2
25.00Single8WDTphotoNECA8WDT-A2A-photoNECA
25.00Single8YN9Histamine8YN9-H4-Histamine-Gi1/β1/γ2
25.00Single8YUUHistamine8YUU-H3-Histamine-Gi1/β1/γ1
25.00Single9CIBFCH-22964139CIB-HCA2-FCH-2296413
25.00Single9EE8Adenosine9EE8-A2A-Adenosine-Gs/β1/γ2
25.00Single9JG1Adriforant9JG1-H4-Adriforant
25.00Single9JKSPubChem 442501769JKS-HCA3-PubChem 44250176-Gi1/β1/γ2
25.00Single9KT6Acifran9KT6-HCA3-Acifran-Gi1/β1/γ2
25.00Single9KT93,5-DHBA9KT9-HCA1-3,5-DHBA-Gi1/β1/γ2
25.00Single9LRCHistamine9LRC-H4-Histamine
25.00Single9LREHistamine9LRE-H4-Histamine-Gi1/β1/γ2
25.00Consensuscb2_onOrthosteric Ligand8GUR-CB2-CP55940-Gi1/β1/γ2 8GUS-CB2-HU-308-Gi1/β1/γ2 8GUT-CB2-LEI-102-Gi1/β1/γ2 6KPF-CB2-AM12033-Gi1/β1/γ2 6PT0-CB2-WIN 55212-2-Gi1/β1/γ2 8GUQ-CB2-Olorinab-Gi1/β1/γ2
25.00Consensuscb2_on_gpOrthosteric Ligand8GUR-CB2-CP55940-Gi1/β1/γ2 8GUS-CB2-HU-308-Gi1/β1/γ2 8GUT-CB2-LEI-102-Gi1/β1/γ2 6KPF-CB2-AM12033-Gi1/β1/γ2 6PT0-CB2-WIN 55212-2-Gi1/β1/γ2 8GUQ-CB2-Olorinab-Gi1/β1/γ2
25.00Consensush3_onOrthosteric Ligand8YUU-H3-Histamine-Gi1/β1/γ1
25.00Consensush3_on_gpOrthosteric Ligand8YUU-H3-Histamine-Gi1/β1/γ1
24.14Single7EIBKallidin-des-Arg107EIB-BK1-Kallidin-des-Arg10-chim(NtGi1-Gs-CtGq)/β1/γ2
24.00Single3QAKUK-4320973QAK-A2A-UK-432097
23.81Single2YDVNECA2YDV-A2A-NECA
23.81Single4UHRCGS216804UHR-A2A-CGS21680
23.81Single5G53NECA5G53-A2A-NECA-Gs
23.81Single5V56TC1145V56-SMO-TC114
23.81Single5V57TC1145V57-SMO-TC114
23.81Single5XR8AM120335XR8-CB1-AM12033
23.81Single6O3CCholesterol6O3C-SMO-SAG21k-Cholesterol
23.81Single7WV9CP559407WV9-CB1-CP55940-ZCZ011-Gi2/β1/γ2
23.81Single8IHBGSK2560738IHB-HCA2-GSK256073-Gi1/β1/γ2
23.81Single8IHHLUF62838IHH-HCA2-LUF6283-Gi1/β1/γ2
23.81Single8JXVClozapine8JXV-H4-Clozapine-Gi1/β1/γ2
23.81Single8JXWVUF68848JXW-H4-VUF6884-Gi1/β1/γ2
23.81Single8WU1MDMB-Fubinaca8WU1-CB1-MDMB-Fubinaca-Arrestin2
23.81Single9EGOZ85267113509EGO-CB1-Z8526711350-Gi1/β1/γ2
23.81Consensusgi_cannabinoidOrthosteric Ligand8GUR-CB2-CP55940-Gi1/β1/γ2 8GUS-CB2-HU-308-Gi1/β1/γ2 8GUT-CB2-LEI-102-Gi1/β1/γ2 8GUQ-CB2-Olorinab-Gi1/β1/γ2 6KPF-CB2-AM12033-Gi1/β1/γ2 6PT0-CB2-WIN 55212-2-Gi1/β1/γ2 6KPG-CB1-AM841-Gi1/β1/γ2
23.81Consensusprotein_offOrthosteric Ligandchemokine_off grh_off
23.53Single6LI0C176LI0-GPR52-C17
23.53Single7YFDImetit7YFD-H4-Imetit-chim(NtGi1-Gs-CtGq)/β1/γ2
23.53Single8H2GNiacin8H2G-HCA2-Niacin-Gi1/β1/γ2
23.53Single8HN8Histamine8HN8-H4-Histamine-Gi1/β1/γ2
23.53Single8IHIAcifran8IHI-HCA2-Acifran-Gi1/β1/γ2
23.53Single8JILNiacin8JIL-HCA2-Niacin-Gi1/β1/γ2
23.53Single8K5BNiacin8K5B-HCA2-Niacin
23.53Single8YN5Histamine8YN5-H3-Histamine-Gi1/β1/γ2
23.53Single8YN6Imetit8YN6-H3-Imetit-Gi1/β1/γ2
23.53Single8YN7Immethridine8YN7-H3-Immethridine-Go/β1/γ2
23.53Single8ZX5AM2518ZX5-GPR55-AM251-chim(NtGi1-G13)/β1/γ2
23.53Single9JEDHistamine9JED-H4-Histamine-PO4-Gi1/β1/γ2
23.53Single9JEQHistamine9JEQ-H3-Histamine-Gi1/β1/γ2
23.53Single9L42Histamine9L42-H4-Histamine-Gi1/β1/γ2
23.53Consensush4_onOrthosteric Ligand8HN8-H4-Histamine-Gi1/β1/γ2 8HOC-H4-Imetit-Gi1/β1/γ2 8JXV-H4-Clozapine-Gi1/β1/γ2 8JXW-H4-VUF6884-Gi1/β1/γ2 8JXX-H4-Clobenpropit-Gi1/β1/γ2
23.33Single8FLTM-PTH(1-14)8FLT-PTH1-M-PTH(1-14)-Gs/β1/γ2
23.08Single5WF5UK-4320975WF5-A2A-UK-432097
22.73Single4Z36ONO-30805734Z36-LPA1-ONO-3080573
22.73Single5X33BIIL2605X33-BLT1-BIIL260
22.73Single6H7NXamoterol6H7N-β1-Xamoterol
22.73Single6KQICP559406KQI-CB1-CP55940-Org27569
22.73Single7K15MKD0467K15-BLT1-MKD046-Na
22.73Single8G056-OAU8G05-GPR84-6-OAU-Gi1/β1/γ2
22.73Single8IYWGSK2560738IYW-HCA2-GSK256073-Go/β1/γ2
22.73Single9BJKPubChem 1716420669BJK-μ-Naloxone-PubChem 171642066
22.73Single9DGIZ85267113509DGI-CB1-Z8526711350
22.73Single9EBIPiclidenoson9EBI-A3A-Piclidenoson-chim(NtGi1L-Gs-CtGi1)/β1/γ2
22.73Consensusbeta3_onOrthosteric Ligand7DH5-β3-Mirabegron-Gs/β1/γ2 7XJH-β3-Isoprenaline-Gs/β1/γ2 7XJI-β3-Solabegron-Gs/β1/γ2
22.73Consensusbeta3_on_gpOrthosteric Ligand7DH5-β3-Mirabegron-Gs/β1/γ2 7XJH-β3-Isoprenaline-Gs/β1/γ2 7XJI-β3-Solabegron-Gs/β1/γ2
22.73Consensuscb1_onOrthosteric Ligand6KPG-CB1-AM841-Gi1/β1/γ2 8K8J-CB1-Fenofibrate-chim(Gs-CtGq)/β1/γ2
22.73Consensusleukotriene_offOrthosteric Ligandblt_off cyslt_off
22.73Consensuslpl_offOrthosteric Ligands1p_off lpa_off
22.22Single4S0VSuvorexant4S0V-OX2-Suvorexant
22.22Single6D9HAdenosine6D9H-A1-Adenosine-Gi2/β1/γ2
22.22Single6TPJSuvorexant6TPJ-OX2-Suvorexant
22.22Single7LD4Adenosine7LD4-A1-Adenosine-Gi2/β1/γ2
22.22Single7T8XAcetylcholine7T8X-M2-Acetylcholine-chim(NtGi1-Go)/β1/γ2
22.22Single7T90Acetylcholine7T90-M2-Acetylcholine-chim(NtGi1-Go)/β1/γ2
22.22Single7T96Acetylcholine7T96-M2-Acetylcholine-LY2119620-Go/β1/γ2
22.22Single8HOCImetit8HOC-H4-Imetit-Gi1/β1/γ2
22.22Single8IJBAcipimox8IJB-HCA2-Acipimox-Gi1/β1/γ2
22.22Single8IW4Spermidine8IW4-TAA9-Spermidine-chim(NtGi1-Gs)/β1/γ2
22.22Single8IWESpermidine8IWE-TAA9-Spermidine
22.22Single8RW0Istradefylline8RW0-A2A-Istradefylline-Na
22.22Single8WC4ZH86518WC4-TA1-ZH8651-chim(NtGi1-Gs)/β1/γ2
22.22Single8WCA2-Phenylethylamine8WCA-TA1-2-Phenylethylamine-chim(NtGi1-Gs)/β1/γ2
22.22Single8Y0HVUF114188Y0H-CXCR3-VUF11418
22.22Single8Y0NVUF114188Y0N-CXCR3-VUF11418-Go/β1/γ2
22.22Single8YNAImmepip8YNA-H4-Immepip-Gi1/β1/γ2
22.22Single8YUVImmepip8YUV-H3-Immepip-Gi1/β1/γ2
22.22Single9KPESalicin9KPE-TAS2R16-Salicin-Gi1/β1/γ2
22.22Consensusa1_onOrthosteric Ligand7LD4-A1-Adenosine-Gi2/β1/γ2
22.22Consensusa1_on_gpOrthosteric Ligand7LD4-A1-Adenosine-Gi2/β1/γ2
22.22Consensushistamine_onOrthosteric Ligandh1_on h2_on h3_on h4_on
22.22Consensushistamine_on_gpOrthosteric Ligandh1_on_gp h2_on_gp h3_on_gp h4_on_gp
22.22Consensusm2_onOrthosteric Ligand7T8X-M2-Acetylcholine-chim(NtGi1-Go)/β1/γ2
22.22Consensusm2_on_gpOrthosteric Ligand7T8X-M2-Acetylcholine-chim(NtGi1-Go)/β1/γ2
21.74Single6H7LDobutamine6H7L-β1-Dobutamine
21.74Single6KPGAM8416KPG-CB1-AM841-Gi1/β1/γ2
21.74Single7U2KC6-guano7U2K-μ-C6-guano-Gi1/β1/γ2
21.74Single7XJISolabegron7XJI-β3-Solabegron-Gs/β1/γ2
21.74Single7XK2MK68927XK2-HCA2-MK6892-Gi1/β1/γ2
21.74Single8E9X2-Deoxycytidine8E9X-M4-2-Deoxycytidine-chim(NtGi1-Go)/β1/γ2
21.74Single8FX5Xanomeline8FX5-M4-Xanomeline-Xanomeline-Gi1/β1/γ2
21.74Single8GAGZ85267113508GAG-CB1-Z8526711350-Gi1/β1/γ2
21.74Single8J19LY2378J19-GPR84-LY237-Gi1/β1/γ2
21.74Single9KT8Acifran9KT8-HCA2-Acifran-Gi1/β1/γ2
21.74Consensusbeta1_onOrthosteric Ligand8DCR-β1-Dobutamine-Gs/β1/γ2 7S0F-β1-Isoprenaline-Gi1/β1/γ2
21.74Consensusbeta1_on_gpOrthosteric Ligand8DCR-β1-Dobutamine-Gs/β1/γ2 7S0F-β1-Isoprenaline-Gi1/β1/γ2
21.05Single6TOSGSK10598656TOS-OX1-GSK1059865-Na
21.05Single6TP3Nemorexant6TP3-OX1-Nemorexant
21.05Single7AROLUF58337ARO-A2A-LUF5833-Na
21.05Single7F61PF-036547467F61-H3-PF-03654746
21.05Single7T94Acetylcholine7T94-M2-Acetylcholine-LY2119620-chim(NtGi1-Go)/β1/γ2
21.05Single7TRSAcetylcholine7TRS-M4-Acetylcholine-Gi1/β1/γ2
21.05Single8GURCP559408GUR-CB2-CP55940-Gi1/β1/γ2
21.05Single8HNMVUF112228HNM-CXCR3-VUF11222-Gi1/β1/γ2
21.05Single8IHKAcifran8IHK-HCA3-Acifran
21.05Single8JIMMonomethyl fumarate8JIM-HCA2-Monomethyl fumarate-Gi1/β1/γ2
21.05Single8JLKUlotaront8JLK-TA1-Ulotaront-chim(NtGi1-Gs)/β1/γ2
21.05Single8K2WAMG4878K2W-CXCR3-AMG487
21.05Single8PM2DMCHA8PM2-TA7-DMCHA-Gs/β1/γ2
21.05Single8RWIStilSwitch28RWI-A2A-StilSwitch2-Na
21.05Single8W88SEP-3638568W88-TA1-SEP-363856-Gs/β1/γ2
21.05Single8WC8ZH86518WC8-TA1-ZH8651-chim(NtGi1-Gs)/β1/γ2
21.05Single8ZPMAMD0708ZPM-CXCR4-AMD070
21.05Single9AXFCa; Ca; Ca; Cyclomethyltryptophan; R-568; PO49AXF-CaS; CaS-Ca-Ca; Ca; Ca; Cyclomethyltryptophan; R-568; PO4-chim(NtGi1-Gs-CtGq)/β1/γ2
21.05Single9EPQ11,20-Ethanoretinal9EPQ-Rhodopsin-11,20-Ethanoretinal-chim(Gi1-CtGq)/β1/γ2
21.05Single9JFUNE52-QQ579JFU-GPR4-NE52-QQ57
21.05Single9JKYAcifran9JKY-HCA2-Acifran-Gi1/β1/γ2
21.05Single9PXXNaloxone9PXX-μ-Naloxone-GDPβS-Gi1/β1/γ2
21.05Consensuscxcr3_offOrthosteric Ligand8K2W-CXCR3-AMG487
21.05Consensushca_onOrthosteric Ligandhca2_on
20.83Single4UG2CGS216804UG2-A2A-CGS21680
20.83Single5WF6UK-4320975WF6-A2A-UK-432097
20.83Single6XBJCholesterol6XBJ-SMO-Cholesterol-Gi1/β1/γ2
20.83Single7SK9CCX6627SK9-ACKR3-CCX662
20.83Single8XZFWN5618XZF-Apelin; Apelin-WN561-Gi1/β1/γ2
20.83Single9IZASCH9002719IZA-HCA2-SCH900271-Gi1/β1/γ2
20.83Consensuscxcr_on_gpOrthosteric Ligandcxcr3_on_gp cxcr4_on_gp cxcr1_on_gp cxcr2_on_gp
20.00Single4J4QOctyl Beta-D-Glucopyranoside4J4Q-Rhodopsin-Octyl β-D-Glucopyranoside-Gt(CT)
20.00Single4QIMANTA XV4QIM-SMO-ANTA XV
20.00Single4U16N-methyl-Scopolamine4U16-M3-N-methyl-Scopolamine
20.00Single5OLZPubChem 1355666095OLZ-A2A-PubChem 135566609-Na
20.00Single5OM1PubChem 1355666095OM1-A2A-PubChem 135566609-Na
20.00Single5UENDU1725UEN-A1-DU172
20.00Single5YC8N-methyl-Scopolamine5YC8-M2-N-methyl-Scopolamine
20.00Single5ZK8N-methyl-Scopolamine5ZK8-M2-N-methyl-Scopolamine
20.00Single5ZKCN-methyl-Scopolamine5ZKC-M2-N-methyl-Scopolamine
20.00Single6GPSMK08126GPS-CCR2-MK0812
20.00Single6P9XCorticoliberin-16P9X-CRF1-Corticoliberin-1-Gs/β1/γ2
20.00Single6TOTLemborexant6TOT-OX1-Lemborexant
20.00Single6UVAAdrenomedullin-26UVA-CT Like (AM2)-Adrenomedullin-2-Gs/β1/γ2; RAMP3
20.00Single6WHADB139486WHA-5-HT2A-DB13948-chim(NtGi2L-Gs-CtGq)/β1/γ2
20.00Single6XBM25(S)-Epoxycholesterol6XBM-SMO-25(S)-Epoxycholesterol-Gi1/β1/γ2
20.00Single7BU7BI1671077BU7-β1-BI167107
20.00Single7CRHSKF839597CRH-D1-SKF83959-Gs/β1/γ2
20.00Single7JVQApomorphine7JVQ-D1-Apomorphine-Gs/β1/γ2
20.00Single7M3JNPS-2143; PO47M3J-CaS; CaS-NPS-2143; PO4
20.00Single7QA8Antagonist Peptide7QA8-STE2; STE2-Antagonist Peptide
20.00Single7QA8Antagonist Peptide7QA8-STE2; STE2-Antagonist Peptide
20.00Single7T2GMitragynine Pseudoindoxyl7T2G-μ-Mitragynine Pseudoindoxyl-Gi1/β1/γ2
20.00Single7W0PElabela7W0P-Apelin-Elabela-Gi1/β1/γ2
20.00Single8CU7LJ-45178CU7-A2A-LJ-4517-Na
20.00Single8DCRDobutamine8DCR-β1-Dobutamine-Gs/β1/γ2
20.00Single8J6PNiacin8J6P-HCA2-Niacin-PubChem 25101223-Gi1/β1/γ2
20.00Single8K3ZCXCL128K3Z-CXCR4-CXCL12-Gi1/β1/γ1
20.00Single8RW7StilSwitch18RW7-A2A-StilSwitch1-Na
20.00Single8RWXStilSwitch38RWX-A2A-StilSwitch3-Na
20.00Single8T1WCVN4248T1W-GPR6-CVN424
20.00Single8W87METH8W87-TA1-METH-chim(NtGi1L-Gs)/β1/γ2
20.00Single8W8ARO52563908W8A-TA1-RO5256390-chim(NtGi1L-Gs)/β1/γ2
20.00Single8YN8Proxyfan8YN8-H3-Proxyfan-Go/β1/γ2
20.00Single8ZSSRO52633978ZSS-TA1-RO5263397-chim(NtGi1-Gs)/β1/γ2
20.00Single9BUYLM1899BUY-β2-LM189-Gi1/β1/γ2
20.00Single9EPP11,20-Ethanoretinal9EPP-Rhodopsin-11,20-Ethanoretinal-chim(Gi1-CtGq)/β1/γ2
20.00Single9IZCMK19039IZC-HCA2-MK1903-Gi1/β1/γ2
20.00Single9JEAAtropine9JEA-M1-Atropine
20.00Single9JGKBalovaptan9JGK-5-HT2B-Balovaptan
20.00Consensusadenosine_on_gpOrthosteric Liganda1_on_gp a2_on_gp a3_on_gp
20.00Consensusalicarboxylic_on_gpOrthosteric Ligandsuccinate_on_gp hca_on_gp
20.00Consensusccr2_offOrthosteric Ligand6GPS-CCR2-MK0812
20.00Consensuscrf_onOrthosteric Ligandcrf2_on crf1_on
20.00Consensuscxcr4_onOrthosteric Ligand8K3Z-CXCR4-CXCL12-Gi1/β1/γ1
20.00Consensusgi_alicarboxylicOrthosteric Ligandgi_hca gi_succinate
20.00Consensusgi_hcaOrthosteric Ligand8J6R-HCA2-MK6892-Gi1/β1/γ2 8JIM-HCA2-Monomethyl fumarate-Gi1/β1/γ2 8IHI-HCA2-Acifran-Gi1/β1/γ2 8IHH-HCA2-LUF6283-Gi1/β1/γ2 8I7V-HCA2-Acipimox-Gi1/β1/γ2 8I7W-HCA2-GSK256073-Gi1/β1/γ2
20.00Consensusgi_histamineOrthosteric Ligand8JXX-H4-Clobenpropit-Gi1/β1/γ2 8JXV-H4-Clozapine-Gi1/β1/γ2 8YUU-H3-Histamine-Gi1/β1/γ1 8HN8-H4-Histamine-Gi1/β1/γ2 8HOC-H4-Imetit-Gi1/β1/γ2 8JXW-H4-VUF6884-Gi1/β1/γ2
20.00Consensusgs_trace-amineOrthosteric Ligand8W88-TA1-SEP-363856-Gs/β1/γ2 8JLJ-TA1-T1AM-chim(NtGi1-Gs)/β1/γ2 8JLO-TA1-Ulotaront-Gs/β1/γ2 8WC4-TA1-ZH8651-chim(NtGi1-Gs)/β1/γ2 8WC7-TA1-ZH8667-chim(NtGi1-Gs)/β1/γ2 8JLR-TA1-A77636-chim(NtGi1-Gs)/β1/γ2 8JSO-TA1-AMPH-chim(NtGi1-Gs)/β1/γ2 8W87-TA1-METH-chim(NtGi1L-Gs)/β1/γ2 8W89-TA1-2-Phenylethylamine-chim(NtGi1L-Gs)/β1/γ2 8JLP-TA1-Ralmitaront-Gs/β1/γ2 8W8A-TA1-RO5256390-chim(NtGi1L-Gs)/β1/γ2
20.00Consensushca2_onOrthosteric Ligand8J6R-HCA2-MK6892-Gi1/β1/γ2 8JIM-HCA2-Monomethyl fumarate-Gi1/β1/γ2 8I7V-HCA2-Acipimox-Gi1/β1/γ2 8I7W-HCA2-GSK256073-Gi1/β1/γ2 8IHH-HCA2-LUF6283-Gi1/β1/γ2 8IHI-HCA2-Acifran-Gi1/β1/γ2
20.00Consensushca2_on_gpOrthosteric Ligand8J6R-HCA2-MK6892-Gi1/β1/γ2 8IHI-HCA2-Acifran-Gi1/β1/γ2 8IHH-HCA2-LUF6283-Gi1/β1/γ2 8I7V-HCA2-Acipimox-Gi1/β1/γ2 8JIM-HCA2-Monomethyl fumarate-Gi1/β1/γ2 8I7W-HCA2-GSK256073-Gi1/β1/γ2
20.00Consensushca_on_gpOrthosteric Ligandhca2_on_gp
20.00Consensuslipid_offOrthosteric Ligandcannabinoid_off paf_off lpl_off prostanoid_off leukotriene_off
20.00Consensusmuscarinic_onOrthosteric Ligandm2_on m3_on m4_on m1_on
20.00Consensusmuscarinic_on_gpOrthosteric Ligandm2_on_gp m3_on_gp m4_on_gp m1_on_gp
19.35Single7TS0Urocortin7TS0-CRF2-Urocortin-chim(NtGi1L-Go)/β1/γ2
19.35Consensusbk2_onOrthosteric Ligand7F6H-BK2-Bradykinin-Gq/β1/γ2 7F6I-BK2-Kallidin-Gq/β1/γ2
19.35Consensusbk2_on_gpOrthosteric Ligand7F6H-BK2-Bradykinin-Gq/β1/γ2 7F6I-BK2-Kallidin-Gq/β1/γ2
19.35Consensusbradykinin_onOrthosteric Ligandbk2_on
19.35Consensusbradykinin_on_gpOrthosteric Ligandbk2_on_gp
19.35Consensusgq_bradykininOrthosteric Ligand7F6H-BK2-Bradykinin-Gq/β1/γ2 7F6I-BK2-Kallidin-Gq/β1/γ2
19.23Single5XJM(Sar1,Ile8)-Angiotensin II5XJM-AT2-(Sar1,Ile8)-Angiotensin II
19.23Single6DO1(Sar1,Ile8)-Angiotensin II6DO1-AT1-(Sar1,Ile8)-Angiotensin II
19.23Single6HLOAprepitant6HLO-NK1-Aprepitant
19.23Single7RKMCX3CL17RKM-US28-CX3CL1-Gi1/β1/γ2
19.23Single7W0NElabela7W0N-Apelin; Apelin-Elabela-Gi1/β1/γ2
19.23Single9KT7MK68929KT7-HCA2-MK6892-Gi1/β1/γ2
19.05Single4ZJ8Suvorexant4ZJ8-OX1-Suvorexant
19.05Single5CGCHTL142425CGC-mGlu5-HTL14242
19.05Single5N2RPSB365N2R-A2A-PSB36-Na
19.05Single5OM4PubChem 1355666095OM4-A2A-PubChem 135566609-Na
19.05Single5ZK33-quinuclidinyl-benzilate5ZK3-M2-3-quinuclidinyl-benzilate
19.05Single6D26Fevipiprant6D26-DP2-Fevipiprant
19.05Single6GDGNECA6GDG-A2A-NECA-Gs/β1/γ1
19.05Single6ME72-Phenylmelatonin6ME7-MT2-2-Phenylmelatonin
19.05Single6TO7Suvorexant6TO7-OX1-Suvorexant-Na
19.05Single6TP6Filorexant6TP6-OX1-Filorexant
19.05Single7C61Ergotamine7C61-5-HT1B-Ergotamine
19.05Single7EPFNAM5977EPF-mGlu2-NAM597
19.05Single7M3JNPS-2143; PO47M3J-CaS; CaS-NPS-2143; PO4
19.05Single7VUHJNJ-635330547VUH-GPR139-JNJ-63533054-chim(Gs-CtGq)/β1/γ2
19.05Single8E9ZIperoxo8E9Z-M3-Iperoxo-chim(NtGi2L-Gs-CtGq)/β1/γ2
19.05Single8EFBOliceridine8EFB-μ-Oliceridine-Gi1/β1/γ2
19.05Single8HNLPS3724248HNL-CXCR3-PS372424-Gi1/β1/γ2
19.05Single8J18(3R)-3-Hydroxydodecanoic acid8J18-GPR84-(3R)-3-Hydroxydodecanoic acid-Gi1/β1/γ2
19.05Single8J6JGSK2560738J6J-HCA2-GSK256073-Gi1/β1/γ2
19.05Single8S4DCMF-0198S4D-Apelin-CMF-019
19.05Single8TF5Oleic acid8TF5-GPR6-Oleic acid
19.05Single8WGBVU01550418WGB-mGlu4; mGlu2-Glutamate-VU0155041-Gi3/β1/γ2
19.05Single8X0BVU04244658X0B-mGlu5; mGlu5-Quisqualate-VU0424465
19.05Single8X0CVU04244658X0C-mGlu5; mGlu5-Quisqualate-VU0424465
19.05Single8X0CVU04244658X0C-mGlu5; mGlu5-Quisqualate-VU0424465
19.05Single8X0DVU04244658X0D-mGlu5; mGlu5-Quisqualate-VU0424465
19.05Single8YNSSNAP-948478YNS-MCH1-SNAP-94847
19.05Single9EHSLUF76029EHS-A3A-LUF7602
19.05Single9KPFSalicin9KPF-TAS2R16-Salicin-Gi1/β1/γ2
19.05Single9PXYNaloxone9PXY-μ-Naloxone-GDPβS-Gi1/β1/γ2
19.05Consensusa1_offOrthosteric Ligand5UEN-A1-DU172 5N2S-A1-PSB36
19.05Consensusadenosine_offOrthosteric Liganda1_off a2_off
19.05Consensusblt1_offOrthosteric Ligand5X33-BLT1-BIIL260 7K15-BLT1-MKD046-Na
19.05Consensusblt_offOrthosteric Ligandblt1_off
19.05Consensusdp2_offOrthosteric Ligand6D26-DP2-Fevipiprant
19.05Consensusdp_offOrthosteric Liganddp2_off
19.05Consensusgq_muscarinicOrthosteric Ligand6OIJ-M1-Iperoxo-chim(NtGi1L-G11)/β1/γ2
19.05Consensusgs_amineOrthosteric Ligandgs_5ht gs_adrenergic gs_dopamine gs_histamine gs_trace-amine
19.05Consensuslipid_onOrthosteric Ligandcannabinoid_on ffa_on lpl_on prostanoid_on leukotriene_on
19.05Consensuslipid_on_gpOrthosteric Ligandcannabinoid_on_gp ffa_on_gp lpl_on_gp prostanoid_on_gp leukotriene_on_gp
19.05Consensusm1_onOrthosteric Ligand6OIJ-M1-Iperoxo-chim(NtGi1L-G11)/β1/γ2
19.05Consensusm2_offOrthosteric Ligand5ZKC-M2-N-methyl-Scopolamine 5ZK3-M2-3-quinuclidinyl-benzilate 5ZKB-M2-AF-DX 384
19.05Consensusm3_onOrthosteric Ligand8E9Z-M3-Iperoxo-chim(NtGi2L-Gs-CtGq)/β1/γ2 8E9W-M3-2-Deoxycytidine-chim(NtGi2L-Gs-CtGq)/β1/γ2 8E9Y-M3-Clozapine-N-oxide-chim(NtGi2L-Gs-CtGq)/β1/γ2
19.05Consensusm3_on_gpOrthosteric Ligand8E9Z-M3-Iperoxo-chim(NtGi2L-Gs-CtGq)/β1/γ2 8E9W-M3-2-Deoxycytidine-chim(NtGi2L-Gs-CtGq)/β1/γ2 8E9Y-M3-Clozapine-N-oxide-chim(NtGi2L-Gs-CtGq)/β1/γ2
19.05Consensusta1_onOrthosteric Ligand8W87-TA1-METH-chim(NtGi1L-Gs)/β1/γ2 8W89-TA1-2-Phenylethylamine-chim(NtGi1L-Gs)/β1/γ2 8JLP-TA1-Ralmitaront-Gs/β1/γ2 8W8A-TA1-RO5256390-chim(NtGi1L-Gs)/β1/γ2 8W88-TA1-SEP-363856-Gs/β1/γ2 8JLO-TA1-Ulotaront-Gs/β1/γ2 8JLR-TA1-A77636-chim(NtGi1-Gs)/β1/γ2 8JSO-TA1-AMPH-chim(NtGi1-Gs)/β1/γ2 8ZSP-TA1-LSD-chim(NtGi1L-Gs)/β1/γ2
19.05Consensustrace-amine_onOrthosteric Ligandta1_on
18.75Single6OT025(S)-Epoxycholesterol6OT0-SMO-25(S)-Epoxycholesterol-Gi1/β1/γ2
18.75Single6PB0Urocortin6PB0-CRF1-Urocortin-chim(NtGi1-Gs)/β1/γ2
18.75Single8DPHLorcaserin8DPH-5-HT2C-Lorcaserin-chim(NtGi2L-Gs-CtGq)/β1/γ2
18.75Single8GEIConstrained Epinephrine8GEI-β2-Constrained Epinephrine-Gs/β1/γ2
18.75Single8WC5Tetramethylammonium Ion8WC5-TA1-Tetramethylammonium Ion-chim(NtGi1-Gs)/β1/γ2
18.75Single8Y02All-trans-Retinal8Y02-OPN1SW-All-trans-Retinal-Gi1/β1/γ2
18.75Single8Z8ALactate8Z8A-HCA1-Lactate-Gi1/β1/γ2
18.52Single8YFOAc-LA-PTH Analog8YFO-PTH1-Ac-LA-PTH Analog-chim(NtGi1-Gs)/β1/γ2
18.52Single9B54VIP369B54-CB1-VIP36-Gi1/β1/γ2
18.52Single9LXRLA-PTH Analog9LXR-PTH1-LA-PTH Analog-Arrestin2
18.52Consensuscxcr4_on_gpOrthosteric Ligand8K3Z-CXCR4-CXCL12-Gi1/β1/γ1
18.18Single3PDSFAUC503PDS-β2-FAUC50
18.18Single3UON3-quinuclidinyl-benzilate3UON-M2-3-quinuclidinyl-benzilate
18.18Single4LDLHydroxybenzyl Isoproterenol4LDL-β2-Hydroxybenzyl Isoproterenol
18.18Single4OO9Mavoglurant4OO9-mGlu5-Mavoglurant
18.18Single4U15Tiotropium4U15-M3-Tiotropium
18.18Single5A8E7-Methylcyanopindolol5A8E-β1-7-Methylcyanopindolol-Na
18.18Single5ZKBAF-DX 3845ZKB-M2-AF-DX 384
18.18Single6GT3Imaradenant6GT3-A2A-Imaradenant-Na
18.18Single6KO5PubChem 574000026KO5-Ghrelin-PubChem 57400002
18.18Single6N48BI1671076N48-β2-BI167107-PubChem 138454256
18.18Single6OIJIperoxo6OIJ-M1-Iperoxo-chim(NtGi1L-G11)/β1/γ2
18.18Single6OL9Tiotropium6OL9-M5-Tiotropium
18.18Single7FEECP559407FEE-CB1-CP55940-ZCZ011
18.18Single7P2L4YI7P2L-mGlu5-4YI
18.18Single7T2HLofentanil7T2H-μ-Lofentanil-Gi1/β1/γ2
18.18Single7TRQIperoxo7TRQ-M4-Iperoxo-VU0467154-Gi1/β1/γ2
18.18Single7TUYGSK682753A7TUY-GPR183-GSK682753A
18.18Single7U2LC5-guano7U2L-μ-C5-guano-Gi1/β1/γ2
18.18Single8DCSCyanopindolol8DCS-β1-Cyanopindolol-Gs/β1/γ2
18.18Single8EA0Iperoxo8EA0-M3-Iperoxo
18.18Single8EF5Fentanyl8EF5-μ-Fentanyl-Gi1/β1/γ2
18.18Single8FLSAbaloparatide8FLS-PTH1-Abaloparatide-Gs/β1/γ2
18.18Single8I9LC3a8I9L-C3aB-C3a-Go/β1/γ2
18.18Single8IRRRotigotine8IRR-D1-Rotigotine-Gs/β1/γ2
18.18Single8JXXClobenpropit8JXX-H4-Clobenpropit-Gi1/β1/γ2
18.18Single8T1VPubChem 1183102098T1V-GPR6-PubChem 118310209-Na
18.18Single8XZICMF-0198XZI-Apelin; Apelin-CMF-019-Gi1/β1/γ2
18.18Single8YNTSNAP-948478YNT-MCH1-SNAP-94847
18.18Single9B65MDMB-Fubinaca9B65-CB1-MDMB-Fubinaca-Gi1/β1/γ2
18.18Single9KUXCMPD6449KUX-Apelin; Apelin-CMPD644-Arrestin2
18.18Consensusclass-a_offOrthosteric Ligandsensory_off alicarboxylic_off amine_off lipid_off nucleotide_off peptide_off protein_off
18.18Consensusd1_on_gpOrthosteric Ligand7F0T-D1-Dopamine-Gs/β1/γ2 7CKY-D1-PW0464-Gs/β1/γ2 8IRR-D1-Rotigotine-Gs/β1/γ2 7JV5-D1-SKF81297-Gs/β1/γ2 7JVP-D1-SKF83959-Gs/β1/γ2 7X2D-D1-Tavapadon-Gs/β1/γ2 7CKX-D1-A77636-Gs/β1/γ2 7JVQ-D1-Apomorphine-Gs/β1/γ2 7CKW-D1-Fenoldopam-Gs/β1/γ2
18.18Consensusgs_adrenergicOrthosteric Ligand7DHI-β2-Salbutamol-Gs/β1/γ2 7XJI-β3-Solabegron-Gs/β1/γ2 7JJO-β1-Isoprenaline-Gs/β1/γ2 6NI3-β2-BI167107-Gs/β1/γ2 8DCR-β1-Dobutamine-Gs/β1/γ2 7XJH-β3-Isoprenaline-Gs/β1/γ2 7DH5-β3-Mirabegron-Gs/β1/γ2
18.18Consensusgs_dopamineOrthosteric Ligand7F0T-D1-Dopamine-Gs/β1/γ2 7CKW-D1-Fenoldopam-Gs/β1/γ2 7CKY-D1-PW0464-Gs/β1/γ2 8IRV-D5-Rotigotine-chim(NtGi1-Gs)/β1/γ2 8IRR-D1-Rotigotine-Gs/β1/γ2 7JV5-D1-SKF81297-Gs/β1/γ2 7JVP-D1-SKF83959-Gs/β1/γ2 7X2D-D1-Tavapadon-Gs/β1/γ2 7CKX-D1-A77636-Gs/β1/γ2 7JVQ-D1-Apomorphine-Gs/β1/γ2
18.18Consensush4_on_gpOrthosteric Ligand8HN8-H4-Histamine-Gi1/β1/γ2 8HOC-H4-Imetit-Gi1/β1/γ2 8JXV-H4-Clozapine-Gi1/β1/γ2 8JXW-H4-VUF6884-Gi1/β1/γ2 8JXX-H4-Clobenpropit-Gi1/β1/γ2
18.18Consensusm1_on_gpOrthosteric Ligand6OIJ-M1-Iperoxo-chim(NtGi1L-G11)/β1/γ2
18.18Consensusm5_offOrthosteric Ligand6OL9-M5-Tiotropium
18.18Consensusmuscarinic_offOrthosteric Ligandm2_off m3_off m4_off m5_off m1_off
18.18Consensusta1_on_gpOrthosteric Ligand8W87-TA1-METH-chim(NtGi1L-Gs)/β1/γ2 8W89-TA1-2-Phenylethylamine-chim(NtGi1L-Gs)/β1/γ2 8JLP-TA1-Ralmitaront-Gs/β1/γ2 8W8A-TA1-RO5256390-chim(NtGi1L-Gs)/β1/γ2 8W88-TA1-SEP-363856-Gs/β1/γ2 8JLO-TA1-Ulotaront-Gs/β1/γ2 8JLR-TA1-A77636-chim(NtGi1-Gs)/β1/γ2 8JSO-TA1-AMPH-chim(NtGi1-Gs)/β1/γ2 8ZSP-TA1-LSD-chim(NtGi1L-Gs)/β1/γ2
18.18Consensustrace-amine_on_gpOrthosteric Ligandta1_on_gp
17.86Single5WB2CX3CL1.355WB2-US28-CX3CL1.35
17.86Single6NIYCalcitonin-16NIY-CT-Calcitonin-1-Gs/β1/γ2
17.86Single7AD3Alpha-factor mating pheromone7AD3-STE2; STE2-α-factor mating pheromone-Gi1/STE4/γ2
17.86Single7KH0AVP7KH0-V2-AVP-chim(NtGi1-Gs)/β1/γ2
17.86Single7TYIAmylin7TYI-CT-Amylin-Gs/β1/γ2
17.86Single7WUIIP157WUI-ADGRG2-IP15-chim(NtGi1-Gs)/β1/γ2
17.86Single8IHFMK68928IHF-HCA2-MK6892-Gi1/β1/γ2
17.86Single8J6IMK68928J6I-HCA2-MK6892-Gi1/β1/γ2
17.86Single8WSTMCH8WST-MCH2-MCH-chim(NtGi1L-Gs-CtGq)/β1/γ2
17.86Single8X8LCortistatin-148X8L-SST5-Cortistatin-14-chim(NtGi1-Gs-CtGi1)/β1/γ2
17.86Single8YW5Retatrutide8YW5-Glucagon-Retatrutide-Gs/β1/γ2
17.65Single2J4Y11-cis-Retinal2J4Y-Rhodopsin-11-cis-Retinal
17.65Single3OE6IT1t3OE6-CXCR4-IT1t
17.65Single7D77Hydrocortisone7D77-ADGRG3-Hydrocortisone-Go/β1/γ2
17.65Single7EJKOxymetazoline7EJK-α2a-Oxymetazoline-Go/β1/γ2
17.65Single7F23Dopamine7F23-D1-Dopamine-GDP-Gs/β1/γ2
17.65Single7MT8All-trans-Retinal7MT8-Rhodopsin-All-trans-Retinal-GRK1
17.65Single7VVMPTH7VVM-PTH1-PTH-Gs/β1/γ2
17.65Single8IW72-Phenylethylamine8IW7-TAA9-2-Phenylethylamine-chim(NtGi1-Gs)/β1/γ2
17.65Single8WC62-Phenylethylamine8WC6-TA1-2-Phenylethylamine-chim(NtGi1-Gs)/β1/γ2
17.65Single8WC9ZH86518WC9-TA1-ZH8651-chim(NtGi1-Gs-CtGq)/β1/γ2
17.65Single9IJRC179IJR-GPR52-C17-Arrestin2
17.65Consensuscrf_on_gpOrthosteric Ligandcrf2_on_gp crf1_on_gp
17.39Single2YCXCyanopindolol2YCX-β1-Cyanopindolol
17.39Single4LDEBI1671074LDE-β2-BI167107
17.39Single5CXVTiotropium5CXV-M1-Tiotropium
17.39Single6A93Risperidone6A93-5-HT2A-Risperidone
17.39Single6CM4Risperidone6CM4-D2-Risperidone
17.39Single6XBLCholesterol6XBL-SMO-SAG-Cholesterol-Gi1/β1/γ2
17.39Single7BZ2Arformoterol7BZ2-β2-Arformoterol-Gs/β1/γ2
17.39Single7DH5Mirabegron7DH5-β3-Mirabegron-Gs/β1/γ2
17.39Single7SUSPubChem 1227019087SUS-Apelin-PubChem 122701908
17.39Single7W0LPubChem 1227019087W0L-Apelin; Apelin-PubChem 122701908-Gi1/β1/γ2
17.39Single8E9W2-Deoxycytidine8E9W-M3-2-Deoxycytidine-chim(NtGi2L-Gs-CtGq)/β1/γ2
17.39Single8J6DEP1418J6D-C3aB-EP141-Go/β1/γ2
17.39Single8JJ8Arformoterol8JJ8-β2-Arformoterol
17.39Single8JZ7MK68928JZ7-HCA2-MK6892-Gi1/β1/γ2
17.39Single8XQSCholesterol8XQS-TAS2R14-Cholesterol-Flufenamic acid-Gi1/β1/γ1
17.39Single9EK0Iperoxo9EK0-M5-Iperoxo-chim(NtGi1-Gs-CtGq)/β1/γ2
17.39Consensusbeta_onOrthosteric Ligandbeta1_on beta2_on beta3_on
17.39Consensusbeta_on_gpOrthosteric Ligandbeta1_on_gp beta2_on_gp beta3_on_gp
17.39Consensuscxcr_onOrthosteric Ligandcxcr3_on cxcr4_on cxcr1_on cxcr2_on
17.39Consensusgi_amineOrthosteric Ligandgi_5ht gi_muscarinic gi_adrenergic gi_dopamine gi_histamine
17.39Consensusgi_muscarinicOrthosteric Ligand8E9X-M4-2-Deoxycytidine-chim(NtGi1-Go)/β1/γ2 7T8X-M2-Acetylcholine-chim(NtGi1-Go)/β1/γ2 7TRS-M4-Acetylcholine-Gi1/β1/γ2 7TRK-M4-Iperoxo-Gi1/β1/γ2 7V6A-M4-PubChem 9864275-Gi1/β1/γ2
17.39Consensuslpa1_offOrthosteric Ligand4Z36-LPA1-ONO-3080573 4Z35-LPA1-ONO-9910539 4Z34-LPA1-ONO-9780307
17.39Consensuslpa_offOrthosteric Ligandlpa1_off
17.39Consensusm1_offOrthosteric Ligand5CXV-M1-Tiotropium
17.39Consensusopioid_offOrthosteric Ligandmop_off nop_off dop_off kop_off
17.24Single7F6HBradykinin7F6H-BK2-Bradykinin-Gq/β1/γ2
17.24Single7F6IKallidin7F6I-BK2-Kallidin-Gq/β1/γ2
17.24Single7QBIAlpha-factor mating pheromone7QBI-STE2; STE2-α-factor mating pheromone
17.24Single7VL9CCL15(26-92)7VL9-CCR1-CCL15(26-92)-Gi1/β1/γ2
17.24Single8XQEApelin-138XQE-Apelin; Apelin-Apelin-13-Gi1/β1/γ2
17.24Single8YG4LA-PTH Analog8YG4-PTH1-LA-PTH Analog-chim(NtGi1-Gs)/β1/γ2
17.24Consensuscalcitonin_onOrthosteric Ligandctlike_on
17.24Consensuschemokine_offOrthosteric Ligandccr_off cxcr_off
17.24Consensuscml1_on_gpOrthosteric Ligand7YKD-CML1-Chemerin-9-Gi1/β1/γ2
17.24Consensuscxcr_offOrthosteric Ligandcxcr3_off cxcr4_off
17.14Single7TYYCalcitonin-17TYY-CT (AMY2)-Calcitonin-1-Gs/β1/γ2; RAMP2
17.14Single7Y36PTH7Y36-PTH1-PTH-Gs/β1/γ2
17.14Single8FLQPTH8FLQ-PTH1-PTH-Gs/β1/γ2
17.14Single9JR3PTH9JR3-PTH1-PTH-chim(NtGi1L-Gs-CtGq)/β1/γ2
16.67Single2YCZIodocyanopindolol2YCZ-β1-Iodocyanopindolol
16.67Single3OE9IT1t3OE9-CXCR4-IT1t
16.67Single4BVNCyanopindolol4BVN-β1-Cyanopindolol-Na
16.67Single4Z35ONO-99105394Z35-LPA1-ONO-9910539
16.67Single5CGDHTL142425CGD-mGlu5-HTL14242
16.67Single5TUDErgotamine5TUD-5-HT2B-Ergotamine
16.67Single6BQHRitanserin6BQH-5-HT2C-Ritanserin
16.67Single6E3YCalcitonin gene-related peptide-16E3Y-CT Like-Calcitonin gene-related peptide-1-Gs/β1/γ2; RAMP1
16.67Single6FJ3PTH6FJ3-PTH1-PTH
16.67Single6IBLArformoterol6IBL-β1-Arformoterol
16.67Single6TKOArformoterol6TKO-β1-Arformoterol-Arrestin2
16.67Single7D76Beclomethasone7D76-ADGRG3-Beclomethasone-Go/β1/γ2
16.67Single7DD5Ca; Ca; Tryptophan; NPS-21437DD5-CaS; CaS-Ca-Ca; Ca; Tryptophan; NPS-2143
16.67Single7EW0Ozanimod7EW0-S1P1-Ozanimod-Gi1/β1/γ2
16.67Single7EZCUK-4320977EZC-A2A-UK-432097
16.67Single7QBIAlpha-factor mating pheromone7QBI-STE2; STE2-α-factor mating pheromone
16.67Single7T96LY21196207T96-M2-Acetylcholine-LY2119620-Go/β1/γ2
16.67Single7VUIJNJ-635330547VUI-GPR139-JNJ-63533054-GTP-chim(Gs-CtGq)/β1/γ2
16.67Single7XKFDehydroepiandrosterone7XKF-ADGRG2-Dehydroepiandrosterone-Gs/β1/γ2
16.67Single7XP6Strychnine7XP6-TAS2R46-Strychnine-chim(Gs-CtGt3)/β1/γ2
16.67Single7YFCHistamine7YFC-H4-Histamine-chim(NtGi1-Gs-CtGq)/β1/γ2
16.67Single7YKDChemerin-97YKD-CML1-Chemerin-9-Gi1/β1/γ2
16.67Single8E0GBU728E0G-μ-BU72
16.67Single8E9YClozapine-N-oxide8E9Y-M3-Clozapine-N-oxide-chim(NtGi2L-Gs-CtGq)/β1/γ2
16.67Single8FLRPTHrP(1-36)8FLR-PTH1-PTHrP(1-36)-Gs/β1/γ2
16.67Single8ID8TUG-8918ID8-FFA4-TUG-891-Gi1/β1/γ2
16.67Single8IJDMK68928IJD-HCA2-MK6892-Gi1/β1/γ2
16.67Single8JLOUlotaront8JLO-TA1-Ulotaront-Gs/β1/γ2
16.67Single8K4OCXCL18K4O-KSHV-CXCL1-Gi1/β1/γ1
16.67Single8W892-Phenylethylamine8W89-TA1-2-Phenylethylamine-chim(NtGi1L-Gs)/β1/γ2
16.67Single8XGSKisspeptin-18XGS-Kiss1-Kisspeptin-1-chim(NtGi1-Gq)/β1/γ2
16.67Single8XVJMacitentan8XVJ-ETA-Macitentan
16.67Single8YH3N-methyladenosine8YH3-A3A-N-methyladenosine-Gi1/β1/γ2
16.67Single8YKDDehydroepiandrosterone8YKD-ADGRG2-Dehydroepiandrosterone-chim(NtGi1-Gs)/β1/γ2
16.67Single8YKWSuccinic acid8YKW-Succinate-Succinic acid-Gi1/β1/γ1
16.67Single8ZSVRO52633978ZSV-TA1-RO5263397-chim(NtGi1-Gs)/β1/γ2
16.67Single9BLWCagrilintide (non-acylated)9BLW-CT (AMY1)-Cagrilintide (non-acylated)-Gs/β1/γ2; RAMP1
16.67Single9CGJC6-Quino9CGJ-δ-C6-Quino-Gi1/β1/γ2
16.67Single9EPRAll-trans-Retinal9EPR-Rhodopsin-All-trans-Retinal-Gi1/β1/γ2
16.67Single9HYIDP819HYI-5-HT1A-DP81-Gi1/β1/γ2
16.67Single9IQTNiacin9IQT-HCA2-Niacin-Gi1/β1/γ2
16.67Single9IZDCHBA9IZD-HCA1-CHBA-Gi1/β1/γ2
16.67Single9JLCAVE 09919JLC-MAS1-AVE 0991-Gi1/β1/γ2
16.67Single9KUGEP679KUG-C5a1-EP67-Go/β1/γ2
16.67Single9KV8TLQP219KV8-C3aB-TLQP21-Go/β1/γ2
16.67Single9LMPNE52-QQ579LMP-GPR4-NE52-QQ57
16.67Single9M54Neuropeptide-VF9M54-NPFF2-Neuropeptide-VF-Gi1/β1/γ2
16.67Single9U9VMETH9U9V-β2-METH-Gs/β1/γ2
16.67Consensus5ht2c_offOrthosteric Ligand6BQH-5-HT2C-Ritanserin
16.67Consensuscalcitonin_on_gpOrthosteric Ligandctlike_on_gp
16.67Consensusccr_offOrthosteric Ligandccr2_off ccr5_off
16.67Consensusclass-a_onOrthosteric Ligandsensory_on alicarboxylic_on amine_on lipid_on nucleotide_on peptide_on protein_on
16.67Consensuspac1_onOrthosteric Ligand8E3X-PAC1-PACAP27-Gs/β1/γ2 6M1H-PAC1-Maxadilan-Gs/β1/γ2
16.67Consensuspac1_on_gpOrthosteric Ligand8E3X-PAC1-PACAP27-Gs/β1/γ2 6M1H-PAC1-Maxadilan-Gs/β1/γ2
16.22Consensusmc2_onOrthosteric Ligand8GY7-MC2-Corticotropin-Ca-chim(NtGi1-Gs)/β1/γ2; MRAP1
16.22Consensusmc2_on_gpOrthosteric Ligand8GY7-MC2-Corticotropin-Ca-chim(NtGi1-Gs)/β1/γ2; MRAP1
16.13Single7AD3Alpha-factor mating pheromone7AD3-STE2; STE2-α-factor mating pheromone-Gi1/STE4/γ2
16.13Single7F4FAfamelanotide7F4F-MC1-Afamelanotide-chim(NtGi1-Gs)/β1/γ2
16.13Single7XATSomatostatin-147XAT-SST2-Somatostatin-14-Gi1/β1/γ2
16.13Single8FEG(DNCP)-Beta-Naloxamine8FEG-κ-(DNCP)-β-Naloxamine-Gi1/β1/γ2
16.13Single8W8XBeta-MSH8W8X-MC3-β-MSH-Ca-Gs/β1/γ2
16.13Single8ZJGChemerin8ZJG-CML1-Chemerin-Gi1/β1/γ2
16.00Single3NY9PubChem 9131033NY9-β2-PubChem 913103
16.00Single6PT3DPI-2876PT3-δ-DPI-287
16.00Single7F2OBradykinin7F2O-BK2-Bradykinin-chim(NtGi1-Gs-CtGq)/β1/γ2
16.00Single7F8WGastrin-177F8W-CCKB-Gastrin-17-chim(NtGsL-Gq)/β1/γ2
16.00Single7RKFCX3CL17RKF-US28-CX3CL1-GDP-chim(NtGi1-G11)/β1/γ2
16.00Single7RKNCX3CL17RKN-US28-CX3CL1-Gi1/β1/γ2
16.00Single7XY6BAY 60-65837XY6-A2B-BAY 60-6583-chim(NtGi1-Gs)/β1/γ2
16.00Single7YJ4INSL57YJ4-RXFP4-INSL5-Gi2/β1/γ2
16.00Single8IA7Cholecystokinin-88IA7-CCKB-Cholecystokinin-8-chim(NtGi1L-Gq)/β1/γ2
16.00Single8JLRA776368JLR-TA1-A77636-chim(NtGi1-Gs)/β1/γ2
16.00Single8X5YAstemizole8X5Y-H1-Astemizole
16.00Single8XQOCholesterol8XQO-TAS2R14-Cholesterol-Aristolochic acid A-Gi1/β1/γ1
16.00Single9CGKC5-Quino9CGK-δ-C5-Quino-Gi1/β1/γ2
16.00Single9KZ2EP679KZ2-C3aB-EP67-Go/β1/γ2
16.00Single9KZ8EP679KZ8-C3aB-EP67-Go/β1/γ2
16.00Single9M0RNeuropeptide-VF9M0R-NPFF1-Neuropeptide-VF-Gi1/β1/γ2
16.00Single9UMJEP549UMJ-C3aB-EP54-Go/β1/γ2
16.00Consensuscxcr3_onOrthosteric Ligand8HNK-CXCR3-CXCL11-Gi1/β1/γ2 8HNL-CXCR3-PS372424-Gi1/β1/γ2
15.79Single3ODUIT1t3ODU-CXCR4-IT1t
15.79Single3PWHZM-2413853PWH-A2A-ZM-241385
15.79Single3V2WPubChem 518926453V2W-S1P1-PubChem 51892645
15.79Single5WS3EMPA5WS3-OX2-EMPA
15.79Single5ZKQABT-4915ZKQ-PAF-ABT-491
15.79Single6DS0LY2660976DS0-5-HT2B-LY266097
15.79Single6KUYPubChem 1457046436KUY-α2a-PubChem 145704643
15.79Single6OYAAll-trans-Retinal6OYA-Rhodopsin-All-trans-Retinal-Gt/β1/γ1
15.79Single6TODEMPA6TOD-OX1-EMPA-Na
15.79Single7DHRIsoprenaline7DHR-β2-Isoprenaline-Gs/β1/γ2
15.79Single7EJ0Norepinephrine7EJ0-α2a-Norepinephrine-Go/β1/γ2
15.79Single7VUJJNJ-635330547VUJ-GPR139-JNJ-63533054-GDP-chim(Gs-CtGq)/β1/γ2
15.79Single7WF7S1P7WF7-S1P1-S1P-Gi1/β1/γ2
15.79Single7X2CFenoldopam7X2C-D1-Fenoldopam-Fenoldopam-Gs/β1/γ2
15.79Single7YM8Oxymetazoline7YM8-Alpha1A-Oxymetazoline-chim(Gs-CtGq)
15.79Single7YMHNorepinephrine7YMH-Alpha1A-Norepinephrine-chim(Gs-CtGq)
15.79Single8DWGML3828DWG-MRGPRX1-BAM8-22-ML382-chim(NtGi2L-Gs-CtGq)/β1/γ2
15.79Single8EFOPZM218EFO-μ-PZM21-Gi1/β1/γ2
15.79Single8FYXBuspirone8FYX-5-HT1A-Buspirone-PtdIns4P-Gi1/β1/γ1
15.79Single8GGAConstrained Epinephrine8GGA-β2-Constrained Epinephrine-GTP-Gs/β1/γ2
15.79Single8GGCConstrained Epinephrine8GGC-β2-Constrained Epinephrine-GTP-Gs/β1/γ2
15.79Single8GGRConstrained Epinephrine8GGR-β2-Constrained Epinephrine
15.79Single8GGWConstrained Epinephrine8GGW-β2-Constrained Epinephrine
15.79Single8GGZConstrained Epinephrine8GGZ-β2-Constrained Epinephrine
15.79Single8GH0Constrained Epinephrine8GH0-β2-Constrained Epinephrine
15.79Single8GNGIstradefylline8GNG-A2A-Istradefylline
15.79Single8HDPAdenosine8HDP-A2B-Adenosine-Gs/β1/γ2
15.79Single8JPPSuccinic acid8JPP-Succinate-Succinic acid-chim(Gs-CtGq)/β1/γ1
15.79Single8JSOAMPH8JSO-TA1-AMPH-chim(NtGi1-Gs)/β1/γ2
15.79Single8UNXConstrained Epinephrine8UNX-β2-Constrained Epinephrine-GTP-Gs/β1/γ2
15.79Single8UTDMK19038UTD-HCA2-MK1903-Gi1/β1/γ2
15.79Single8WC3SEP-3638568WC3-TA1-SEP-363856-chim(NtGi1-Gs)/β1/γ2
15.79Single8WOGSuccinic acid8WOG-Succinate-Succinic acid-Gi1/β1/γ2
15.79Single8YKXMaleic acid8YKX-Succinate-Maleic acid-Gi1/β1/γ1
15.79Single8YYWAlpha-ketoglutarate8YYW-Oxoglutarate-α-ketoglutarate-α-ketoglutarate-chim(Gi1-CtGq)/β1/γ2
15.79Single9EBHAdenosine9EBH-A3A-Adenosine-Gi1/β1/γ2
15.79Single9EEAAdenosine9EEA-A2A-Adenosine-Gs/β1/γ2
15.79Single9J5VCpY9J5V-LPA1-CpY-Gi1/β1/γ2
15.79Single9KO2CCL199KO2-CCR7-CCL19-Gi1/β1
15.79Single9KO6CCL199KO6-CCR7-CCL19
15.79Single9MQJIsoquinuclidine9MQJ-μ-Isoquinuclidine
15.79Single9VJ5Gepirone9VJ5-5-HT1A-Gepirone-Go/β1/γ2
15.79Single9VJEBuspirone9VJE-5-HT1A-Buspirone-Go/β1/γ2
15.79Single9W49U-50488H9W49-κ-U-50488H-Gi1/β1/γ2
15.79Consensusalpha2_offOrthosteric Ligandalpha2c_off
15.79Consensusangiotensin_offOrthosteric Ligandat1_off
15.79Consensuscxcr1_onOrthosteric Ligand8IC0-CXCR1-CXCL8-Gi1/β1/γ2
15.79Consensusgi_succinateOrthosteric Ligand8YKW-Succinate-Succinic acid-Gi1/β1/γ1 8YKX-Succinate-Maleic acid-Gi1/β1/γ1
15.79Consensusgq_histamineOrthosteric Ligand7DFL-H1-Histamine-chim(NtGi1L-Gq)/β1/γ2
15.79Consensush1_on_gpOrthosteric Ligand7DFL-H1-Histamine-chim(NtGi1L-Gq)/β1/γ2
15.79Consensusox1_offOrthosteric Ligand6TP6-OX1-Filorexant 6TP4-OX1-ACT-462206 6V9S-OX1-GTPL11403 6TOT-OX1-Lemborexant 6TP3-OX1-Nemorexant 6TQ6-OX1-PubChem 145714283 6TQ9-OX1-SB-408124 4ZJC-OX1-SB-674042 4ZJ8-OX1-Suvorexant 6TOD-OX1-EMPA-Na 6TOS-OX1-GSK1059865-Na 6TQ4-OX1-PubChem 16046844-Na
15.79Consensuspaf_offOrthosteric Ligand5ZKQ-PAF-ABT-491
15.79Consensusrhodopsin_on_gpOrthosteric Ligand6OYA-Rhodopsin-All-trans-Retinal-Gt/β1/γ1
15.79Consensuss1p1_offOrthosteric Ligand3V2W-S1P1-PubChem 51892645
15.79Consensussuccinate_onOrthosteric Ligand8YKW-Succinate-Succinic acid-Gi1/β1/γ1 8YKX-Succinate-Maleic acid-Gi1/β1/γ1
15.79Consensussuccinate_on_gpOrthosteric Ligand8YKW-Succinate-Succinic acid-Gi1/β1/γ1 8YKX-Succinate-Maleic acid-Gi1/β1/γ1
15.62Single5VAIGLP-15VAI-GLP-1-GLP-1-Gs/β1/γ2
15.62Single7TYLAmylin7TYL-CT-Amylin-Gs/β1/γ2
15.62Single7VVJPTHrP(1-36)7VVJ-PTH1-PTHrP(1-36)-Gs/β1/γ2
15.62Single7VVLPTH7VVL-PTH1-PTH-Gs/β1/γ2
15.62Single9BTWCagrilintide9BTW-CT (AMY3)-Cagrilintide-Gs/β1/γ2; RAMP3
15.62Consensusgs_melanocortinOrthosteric Ligand7F4H-MC1-Afamelanotide-chim(NtGi1-Gs)/β1/γ2 7F54-MC4-Afamelanotide-Gs/β1/γ2 7F4D-MC1-α-MSH-chim(NtGi1-Gs)/β1/γ2 8INR-MC5-α-MSH-Ca-chim(NtGi1-Gs)/β1/γ2 7F53-MC4-α-MSH-Gs/β1/γ2 7F55-MC4-Bremelanotide-Gs/β1/γ2 8GY7-MC2-Corticotropin-Ca-chim(NtGi1-Gs)/β1/γ2; MRAP1 8IOC-MC3-γ-MSH-Ca-chim(NtGi1-Gs)/β1/γ2 8IOD-MC5-PG-901-Ca-chim(NtGi1-Gs)/β1/γ2 7AUE-MC4-Setmelanotide-chim(NtGi1L-Gs)/β1/γ2 7F4I-MC1-SHU9119-chim(NtGi1-Gs)/β1/γ2 7F58-MC4-THIQ-Gs/β1/γ2
15.38Single4AMJCarvedilol4AMJ-β1-Carvedilol
15.38Single4IARErgotamine4IAR-5-HT1B-Ergotamine
15.38Single6WIVPubChem 52923113; PubChem 529246456WIV-GABAB1, GABAB2-PubChem 52923113; PubChem 52924645
15.38Single7F8XNN90567F8X-CCKA-NN9056
15.38Single7RTBPeptide-197RTB-GLP-1-Peptide-19-Gs/β1/γ2
15.38Single7WKDTRH7WKD-TRH-TRH-chim(NtGi1-Gs-CtGq)/β1/γ2
15.38Single8F0JPramlintide Analogue San458F0J-CT-Pramlintide Analogue San45-Gs/β1/γ2
15.38Single8FYLVilazodone8FYL-5-HT1A-Vilazodone-PtdIns4P-Gi1/β1/γ1
15.38Single8J6RMK68928J6R-HCA2-MK6892-Gi1/β1/γ2
15.38Single8U4OCXCL128U4O-CXCR4-CXCL12-Gi1/β1/γ2
15.38Single8ZSPLSD8ZSP-TA1-LSD-chim(NtGi1L-Gs)/β1/γ2
15.38Single9KWGC5a9KWG-C5a1-C5a-Go/β1/γ2
15.38Single9M4TSilodosin9M4T-Alpha1A-Silodosin
15.38Consensuschemokine_onOrthosteric Ligandccr_on cxcr_on
15.38Consensusclass-a_on_gpOrthosteric Ligandsensory_on_gp alicarboxylic_on_gp amine_on_gp lipid_on_gp nucleotide_on_gp peptide_on_gp protein_on_gp
15.38Consensusgi_opioidOrthosteric Ligand8F7R-μ-Endomorphin-Gi1/β1/γ2 8EF5-μ-Fentanyl-Gi1/β1/γ2 7SCG-μ-FH210-Gi1/β1/γ2 7T2H-μ-Lofentanil-Gi1/β1/γ2 7T2G-μ-Mitragynine Pseudoindoxyl-Gi1/β1/γ2 8DZP-κ-momSalB-Gi1/β1/γ2 8EF6-μ-Morphine-Gi1/β1/γ2 8F7X-NOP-Nociceptin-Gi1/β1/γ2 8EFB-μ-Oliceridine-Gi1/β1/γ2 7U2L-μ-C5-guano-Gi1/β1/γ2 8EFO-μ-PZM21-Gi1/β1/γ2 8EFL-μ-SR17018-Gi1/β1/γ2 8F7Q-μ-β-Endorphin-Gi1/β1/γ2 7U2K-μ-C6-guano-Gi1/β1/γ2 8EFQ-μ-DAMGO-Gi1/β1/γ2 8F7S-δ-Deltorphin-Gi1/β1/γ2 8F7W-κ-Dynorphin-Gi1/β1/γ2
15.38Consensusmop_offOrthosteric Ligand4DKL-μ-β-Funaltrexamine 8QOT-μ-Nanobody-E 7UL4-μ-Alvimopan
15.38Consensussst5_onOrthosteric Ligand8X8L-SST5-Cortistatin-14-chim(NtGi1-Gs-CtGi1)/β1/γ2 8X8N-SST5-Octreotide-chim(NtGi1-Gs-CtGi1)/β1/γ2
15.15Single7RBTTirzepatide7RBT-GIP-Tirzepatide-LSN3556672-chim(NtGi1-Gs)/β1/γ2
15.00Single1F8811-cis-Retinal1F88-Rhodopsin-11-cis-Retinal
15.00Single3UZCPubChem 1355666093UZC-A2A-PubChem 135566609
15.00Single3V2YPubChem 518926453V2Y-S1P1-PubChem 51892645
15.00Single4LDOEpinephrine4LDO-β2-Epinephrine
15.00Single4ZJCSB-6740424ZJC-OX1-SB-674042
15.00Single4ZUDOlmesartan4ZUD-AT1-Olmesartan
15.00Single5IU4ZM-2413855IU4-A2A-ZM-241385-Na
15.00Single5IUBQ274563445IUB-A2A-Q27456344-Na
15.00Single5K2CZM-2413855K2C-A2A-ZM-241385-Na
15.00Single5NM4ZM-2413855NM4-A2A-ZM-241385-Na
15.00Single6AQFZM-2413856AQF-A2A-ZM-241385
15.00Single6FFIMPEP6FFI-mGlu5-MPEP
15.00Single6K41Dexmedetomidine6K41-α2b-Dexmedetomidine-Go/β1/γ2
15.00Single6KUXRS799486KUX-α2a-RS79948
15.00Single6ME32-Phenylmelatonin6ME3-MT1-2-Phenylmelatonin
15.00Single6PS0Carazolol6PS0-β2-Carazolol
15.00Single6PS4ICI118-5516PS4-β2-ICI118-551
15.00Single6PS82-Phenylmelatonin6PS8-MT1-2-Phenylmelatonin
15.00Single6PT0WIN 55212-26PT0-CB2-WIN 55212-2-Gi1/β1/γ2
15.00Single6TPGEMPA6TPG-OX2-EMPA
15.00Single6V9SGTPL114036V9S-OX1-GTPL11403
15.00Single6VI4JDTic6VI4-κ-JDTic
15.00Single6WJCAtropine6WJC-M1-Atropine-Muscarinic toxin 7
15.00Single6WJCMuscarinic toxin 76WJC-M1-Atropine-Muscarinic toxin 7
15.00Single6ZFZ77-LH-28-16ZFZ-M1-77-LH-28-1
15.00Single6ZG9GSK10347026ZG9-M1-GSK1034702
15.00Single7CKZDopamine7CKZ-D1-Dopamine-Mevidalen-Gs/β1/γ2
15.00Single7CMUPramipexole7CMU-D3-Pramipexole-Gi1/β1/γ2
15.00Single7CMVPD1289077CMV-D3-PD128907-Gi1/β1/γ2
15.00Single7DHISalbutamol7DHI-β2-Salbutamol-Gs/β1/γ2
15.00Single7EJ8Brimonidine7EJ8-α2a-Brimonidine-Go/β1/γ2
15.00Single7EJADexmedetomidine7EJA-α2a-Dexmedetomidine-Go/β1/γ2
15.00Single7F0TDopamine7F0T-D1-Dopamine-Gs/β1/γ2
15.00Single7F1ZDopamine7F1Z-D1-Dopamine-GDP-Gs/β1/γ2
15.00Single7RANPubChem 1645758477RAN-5-HT2A-PubChem 164575847-chim(NtGi2L-Gs-CtGq)/β1/γ2
15.00Single7T32ZM-2413857T32-A2A-ZM-241385
15.00Single7T94LY21196207T94-M2-Acetylcholine-LY2119620-chim(NtGi1-Go)/β1/γ2
15.00Single7UM7Methylergometrine7UM7-5-HT5A-Methylergometrine-chim(NtGi1-Go)/β1/γ2
15.00Single7XOVSR1461317XOV-CCKA-SR146131-Gs/β1/γ2
15.00Single7YK6PubChem 1383196747YK6-RXFP4-PubChem 138319674-Gi2/β1/γ2
15.00Single8GE1Constrained Epinephrine8GE1-β2-Constrained Epinephrine-Gs/β1/γ2
15.00Single8GE4Constrained Epinephrine8GE4-β2-Constrained Epinephrine-Gs/β1/γ2
15.00Single8GE5Constrained Epinephrine8GE5-β2-Constrained Epinephrine-Gs/β1/γ1
15.00Single8GE6Constrained Epinephrine8GE6-β2-Constrained Epinephrine-Gs/β1/γ2
15.00Single8GE7Constrained Epinephrine8GE7-β2-Constrained Epinephrine-Gs/β1/γ2
15.00Single8GE8Constrained Epinephrine8GE8-β2-Constrained Epinephrine-Gs/β1/γ2
15.00Single8GEAConstrained Epinephrine8GEA-β2-Constrained Epinephrine-Gs/β1/γ2
15.00Single8GEDConstrained Epinephrine8GED-β2-Constrained Epinephrine-Gs/β1/γ2
15.00Single8GEFConstrained Epinephrine8GEF-β2-Constrained Epinephrine-Gs/β1/γ2
15.00Single8GG8Constrained Epinephrine8GG8-β2-Constrained Epinephrine-GTP-Gs/β1/γ2
15.00Single8GGQConstrained Epinephrine8GGQ-β2-Constrained Epinephrine
15.00Single8GGSConstrained Epinephrine8GGS-β2-Constrained Epinephrine
15.00Single8GGTConstrained Epinephrine8GGT-β2-Constrained Epinephrine
15.00Single8GGVConstrained Epinephrine8GGV-β2-Constrained Epinephrine
15.00Single8GGXConstrained Epinephrine8GGX-β2-Constrained Epinephrine
15.00Single8GUQOlorinab8GUQ-CB2-Olorinab-Gi1/β1/γ2
15.00Single8JEIPubChem 117155568JEI-HCAR3-PubChem 11715556-Gi1/β1/γ2
15.00Single8JLNT1AM8JLN-TA1-T1AM-Gs/β1/γ2
15.00Single8JLQFenoldopam8JLQ-TA1-Fenoldopam-Gs/β1/γ2
15.00Single8RLNLUF58348RLN-A2A-LUF5834
15.00Single8RWCStilSwitch28RWC-A2A-StilSwitch2-Na
15.00Single8RWDStilSwitch38RWD-A2A-StilSwitch3-Na
15.00Single8THKA-616038THK-Alpha1A-A-61603-chim(NtGi2L-Gs-CtGq)/β1/γ2
15.00Single8THLEpinephrine8THL-Alpha1A-Epinephrine-chim(NtGi2L-Gs-CtGq)/β1/γ2
15.00Single8UHBRO52563908UHB-TA1-RO5256390-Gs/β1/γ2
15.00Single8UNMConstrained Epinephrine8UNM-β2-Constrained Epinephrine-GTP-Gs/β1/γ2
15.00Single8UNWConstrained Epinephrine8UNW-β2-Constrained Epinephrine-GTP-Gs/β1/γ2
15.00Single8UO0Constrained Epinephrine8UO0-β2-Constrained Epinephrine-GTP-Gs/β1/γ2
15.00Single8Y01All-trans-Retinal8Y01-Opsin1MW-All-trans-Retinal-Gi1/β1/γ2
15.00Single8Y45ADL58598Y45-δ-ADL5859-Gi2/β1/γ2
15.00Single8Y6YGLPG09748Y6Y-FFA2-GLPG0974
15.00Single8YH2Adenosine8YH2-A3A-Adenosine-Gi1/β1/γ2
15.00Single8ZPNAMD31008ZPN-CXCR4-AMD3100
15.00Single9AS5Mescaline9AS5-5-HT2A-Mescaline
15.00Single9AS6Mescaline9AS6-5-HT2A-Mescaline-chim(NtGi1-Gs-CtGq)/β1/γ2
15.00Single9CBLEpinephrine9CBL-α2a-Epinephrine-Gi1/β1/γ2
15.00Single9JH3CMF-0199JH3-Apelin; Apelin-CMF-019-Gi1/β1/γ2
15.00Single9JKQMETH9JKQ-TA1-METH-Gs/β1/γ2
15.00Single9K0KUTP9K0K-P2Y4-UTP-chim(NtGi1-Gs-CtGq)/β1/γ2
15.00Single9K0XATP9K0X-P2Y2-ATP-chim(NtGi1-Gs-CtGq)/β1/γ2
15.00Single9K20ATP9K20-P2Y2-ATP-chim(NtGi1-Go)/β1/γ2
15.00Single9KPDSalicin9KPD-TAS2R16-Salicin-chim(Gs-CtGt3)/β1/γ2
15.00Single9L8LBI1671079L8L-β2-BI167107-Atazanavir-Gs/β1/γ2 ; Arrestin2
15.00Single9M2FNeuropeptide-FF9M2F-NPFF1-Neuropeptide-FF-Gi1/β1/γ2
15.00Single9MQIIsoquinuclidine9MQI-μ-Isoquinuclidine
15.00Single9ODJMitragynine Pseudoindoxyl9ODJ-μ-Mitragynine Pseudoindoxyl-GTP; Mg-Gi1/β1/γ2
15.00Single9ODLMitragynine Pseudoindoxyl9ODL-μ-Mitragynine Pseudoindoxyl-GTP; Mg-Gi1/β1/γ2
15.00Single9VNFPindolol9VNF-5-HT1A-Pindolol-Go/β1/γ2
15.00Consensusadenosine_onOrthosteric Liganda1_on a2_on a3_on
15.00Consensusalpha1_onOrthosteric Ligandalpha1a_on
15.00Consensusalpha1_on_gpOrthosteric Ligandalpha1a_on_gp
15.00Consensusalpha1a_onOrthosteric Ligand7EJ0-α2a-Norepinephrine-Go/β1/γ2 7EJ8-α2a-Brimonidine-Go/β1/γ2 7EJA-α2a-Dexmedetomidine-Go/β1/γ2 7EJK-α2a-Oxymetazoline-Go/β1/γ2 7W6P-α2a-N-pyridin-4-ylisoquinolin-4-amine-Go/β1/γ2 7W7E-α2a-PubChem 164946676-Go/β1/γ2
15.00Consensusalpha1a_on_gpOrthosteric Ligand7EJ0-α2a-Norepinephrine-Go/β1/γ2 7EJ8-α2a-Brimonidine-Go/β1/γ2 7EJA-α2a-Dexmedetomidine-Go/β1/γ2 7EJK-α2a-Oxymetazoline-Go/β1/γ2 7W6P-α2a-N-pyridin-4-ylisoquinolin-4-amine-Go/β1/γ2 7W7E-α2a-PubChem 164946676-Go/β1/γ2
15.00Consensusat1_offOrthosteric Ligand4YAY-AT1-ZD-7155 4ZUD-AT1-Olmesartan
15.00Consensusd3_onOrthosteric Ligand7CMV-D3-PD128907-Gi1/β1/γ2 8IRT-D3-Rotigotine-Gi1/β1/γ2 7CMU-D3-Pramipexole-Gi1/β1/γ2
15.00Consensusd3_on_gpOrthosteric Ligand7CMV-D3-PD128907-Gi1/β1/γ2 8IRT-D3-Rotigotine-Gi1/β1/γ2 7CMU-D3-Pramipexole-Gi1/β1/γ2
15.00Consensusghrelin_offOrthosteric Ligand6KO5-Ghrelin-PubChem 57400002 7F83-Ghrelin-PF-05190457
15.00Consensusgi_adenosineOrthosteric Ligand7LD4-A1-Adenosine-Gi2/β1/γ2 8X17-A3A-Namodenoson-Gi1/β1/γ2 8X16-A3A-Piclidenoson-Gi1/β1/γ2
15.00Consensusopsins_offOrthosteric Ligandrhodopsin_off
15.00Consensuspth_on_gpOrthosteric Ligandpth1_on_gp pth2_on_gp
15.00Consensussensory_offOrthosteric Ligandopsins_off
14.81Single7C6A(Sar1,Ile8)-Angiotensin II7C6A-AT2-(Sar1,Ile8)-Angiotensin II
14.81Single7WJ5Somatostatin-147WJ5-SST2-Somatostatin-14-Gi1/β1/γ2
14.81Single7XMSSomatostatin-147XMS-SST4-Somatostatin-14-Gi1/β1/γ2
14.81Single8F7WDynorphin8F7W-κ-Dynorphin-Gi1/β1/γ2
14.81Single8JZZC5a-des-Arg8JZZ-C5a1-C5a-des-Arg-Go/β1/γ2
14.81Single8SG1Chemerin-98SG1-CML1-Chemerin-9-Gi1/β1/γ2
14.81Single8Z7JJN241-98Z7J-Apelin-JN241-9-Gi1/β1/γ2
14.81Single9IQRMuscarinic toxin 39IQR-α2a-Muscarinic toxin 3
14.81Single9IQVMuscarinic toxin 39IQV-Alpha1A-Muscarinic toxin 3
14.81Single9JFK(Pen5)-Urotensin II9JFK-UT-(Pen5)-Urotensin II-chim(NtGi2L-Gs-CtGq)/β1/γ2
14.81Single9KFIRelaxin-39KFI-RXFP3-Relaxin-3-Gi2/β1/γ2
14.81Single9KV6TLQP219KV6-C3aB-TLQP21-Go/β1/γ2
14.81Consensuscompl-peptide_onOrthosteric Ligandc5a1_on c3a_on
14.81Consensusgi_ghrelinOrthosteric Ligand7NA7-Ghrelin-Ghrelin-Gi1/β1/γ2 7NA8-Ghrelin-Ibutamoren-Gi1/β1/γ2
14.81Consensusgq_class-aOrthosteric Ligandgq_peptide gq_amine gq_nucleotide
14.81Consensusmc4_on_gpOrthosteric Ligand7AUE-MC4-Setmelanotide-chim(NtGi1L-Gs)/β1/γ2 7F58-MC4-THIQ-Gs/β1/γ2 7F54-MC4-Afamelanotide-Gs/β1/γ2 7F53-MC4-α-MSH-Gs/β1/γ2 7F55-MC4-Bremelanotide-Gs/β1/γ2
14.71Single8FLULA-PTH Analog8FLU-PTH1-LA-PTH Analog-Gs/β1/γ2
14.71Single9AUCCalcitonin gene-related peptide-19AUC-CT (AMY1)-Calcitonin gene-related peptide-1-Gs/β1/γ2; RAMP1
14.71Consensusglp1_onOrthosteric Ligand7S1M-GLP-1-Exendin-4-D-Ala-Gs/β1/γ2 7X8R-GLP-1-BOC5-Gs/β1/γ2 6X19-GLP-1-CHU-128-Gs/β1/γ2 6X1A-GLP-1-Danuglipron-Gs/β1/γ2 6X18-GLP-1-GLP-1-Gs/β1/γ2 8JIP-GLP-1-MEDI0382-chim(NtGi1-Gs)/β1/γ2 7C2E-GLP-1-PubChem 149050799-Gs/β1/γ2 7KI0-GLP-1-Semaglutide-Gs/β1/γ2 7KI1-GLP-1-Taspoglutide-Gs/β1/γ2 7X8S-GLP-1-WB4-24-Gs/β1/γ2 8JIS-GLP-1-Peptide-15-chim(NtGi1-Gs)/β1/γ2 7VBI-GLP-1-Tirzepatide (non-acylated)-Gs/β1/γ2
14.71Consensusmelanocortin_onOrthosteric Ligandmc1_on mc4_on mc2_on mc3_on mc5_on
14.71Consensusmelanocortin_on_gpOrthosteric Ligandmc1_on_gp mc4_on_gp mc2_on_gp mc3_on_gp mc5_on_gp
14.29Single2VT4Cyanopindolol2VT4-β1-Cyanopindolol
14.29Single2Y04Salbutamol2Y04-β1-Salbutamol
14.29Single2YCYCyanopindolol2YCY-β1-Cyanopindolol
14.29Single3NY8ICI118-5513NY8-β2-ICI118-551
14.29Single3NYAAlprenolol3NYA-β2-Alprenolol
14.29Single3OE0CVX153OE0-CXCR4-CVX15
14.29Single3ZPRPubChem 5987543ZPR-β1-PubChem 598754-Na
14.29Single4DAJTiotropium4DAJ-M3-Tiotropium
14.29Single4EA3PubChem 102965614EA3-NOP-PubChem 10296561
14.29Single4EIYZM-2413854EIY-A2A-ZM-241385-Na
14.29Single4EJ4Naltrindole4EJ4-δ-Naltrindole
14.29Single4GBRCarazolol4GBR-β2-Carazolol
14.29Single4MQSIperoxo4MQS-M2-Iperoxo
14.29Single4QKXPubChem 762106284QKX-β2-PubChem 76210628
14.29Single4U14Tiotropium4U14-M3-Tiotropium
14.29Single4YAYZD-71554YAY-AT1-ZD-7155
14.29Single5DHHSB-6121115DHH-NOP-SB-612111
14.29Single5DSGTiotropium5DSG-M4-Tiotropium
14.29Single5IU8Q274563475IU8-A2A-Q27456347-Na
14.29Single5NDDAZ8838; Na5NDD-PAR2-AZ8838; Na
14.29Single5OLGZM-2413855OLG-A2A-ZM-241385-Na
14.29Single6D27CAY104716D27-DP2-CAY10471
14.29Single6DRZMethysergide6DRZ-5-HT2B-Methysergide
14.29Single6FFHFenobam6FFH-mGlu5-Fenobam
14.29Single6H7MSalbutamol6H7M-β1-Salbutamol
14.29Single6K42Dexmedetomidine6K42-α2b-Dexmedetomidine-Gi1/β1/γ2
14.29Single6LPJZM-2413856LPJ-A2A-ZM-241385-Na
14.29Single6LPKZM-2413856LPK-A2A-ZM-241385-Na
14.29Single6MEOGp160; CD46MEO-CCR5-Gp160; CD4
14.29Single6PRZAlprenolol6PRZ-β2-Alprenolol
14.29Single6PS1Timolol6PS1-β2-Timolol
14.29Single6UUNAdrenomedullin6UUN-CT Like (AM1)-Adrenomedullin-Gs/β1/γ2; RAMP2
14.29Single6W25SHU91196W25-MC4-SHU9119-Ca
14.29Single6Z10PubChem 1545855546Z10-Succinate-PubChem 154585554
14.29Single7BTSEpinephrine7BTS-β1-Epinephrine
14.29Single7BU6Norepinephrine7BU6-β1-Norepinephrine
14.29Single7LJCSKF812977LJC-D1-SKF81297-Mevidalen-Gs/β1/γ2
14.29Single7O7F6P4-CCL57O7F-CCR5-6P4-CCL5-Gi1/β1/γ1
14.29Single7PYRPSB-21157PYR-A2A-PSB-2115
14.29Single7RYCOxytocin7RYC-OT-Oxytocin-chim(NtGi2L-Gs-CtGq)/β1/γ2
14.29Single7S0GIsoprenaline7S0G-β1-Isoprenaline-chim(Gi1-CtGs)/β1/γ2
14.29Single7TD0LPA7TD0-LPA1-LPA-Gi1/β1/γ2
14.29Single7TD2LPA7TD2-LPA1-LPA-Gi1/β1/γ2
14.29Single7TRPIperoxo7TRP-M4-Iperoxo-LY2033298-Gi1/β1/γ2
14.29Single7TRQVU04671547TRQ-M4-Iperoxo-VU0467154-Gi1/β1/γ2
14.29Single7UL4Alvimopan7UL4-μ-Alvimopan
14.29Single7VKTLTB47VKT-BLT1-LTB4-Gi1/β1/γ2
14.29Single7WC8Lumateperone7WC8-5-HT2A-Lumateperone
14.29Single7X2CFenoldopam7X2C-D1-Fenoldopam-Fenoldopam-Gs/β1/γ2
14.29Single7XA3CCL27XA3-CCR2-CCL2-Gi1/β1/γ2
14.29Single7YACPaltusotine7YAC-SST2-Paltusotine-Gi1/β1/γ2
14.29Single7YK7DC5910537YK7-RXFP4-DC591053-Gi2/β1/γ2
14.29Single7YU4ONO-07405567YU4-LPA1-ONO-0740556
14.29Single8CU6LJ-45178CU6-A2A-LJ-4517
14.29Single8GE2Constrained Epinephrine8GE2-β2-Constrained Epinephrine-Gs/β1/γ1
14.29Single8GE3Constrained Epinephrine8GE3-β2-Constrained Epinephrine-Gs/β1/γ2
14.29Single8GE9Constrained Epinephrine8GE9-β2-Constrained Epinephrine-Gs/β1/γ2
14.29Single8GECConstrained Epinephrine8GEC-β2-Constrained Epinephrine-Gs/β1/γ2
14.29Single8GEEConstrained Epinephrine8GEE-β2-Constrained Epinephrine-Gs/β1/γ2
14.29Single8GEHConstrained Epinephrine8GEH-β2-Constrained Epinephrine-Gs/β1/γ2
14.29Single8GFVConstrained Epinephrine8GFV-β2-Constrained Epinephrine-GTP-Gs/β1/γ2
14.29Single8GFWConstrained Epinephrine8GFW-β2-Constrained Epinephrine-GTP-Gs/β1/γ2
14.29Single8GFXConstrained Epinephrine8GFX-β2-Constrained Epinephrine-GTP-Gs/β1/γ2
14.29Single8GFZConstrained Epinephrine8GFZ-β2-Constrained Epinephrine-GTP-Gs/β1/γ2
14.29Single8GG0Constrained Epinephrine8GG0-β2-Constrained Epinephrine-GTP-Gs/β1/γ2
14.29Single8GG1Constrained Epinephrine8GG1-β2-Constrained Epinephrine-GTP-Gs/β1/γ2
14.29Single8GG3Constrained Epinephrine8GG3-β2-Constrained Epinephrine-GTP-Gs/β1/γ2
14.29Single8GG4Constrained Epinephrine8GG4-β2-Constrained Epinephrine-GTP-Gs/β1/γ2
14.29Single8GG6Constrained Epinephrine8GG6-β2-Constrained Epinephrine-GTP-Gs/β1/γ2
14.29Single8GG9Constrained Epinephrine8GG9-β2-Constrained Epinephrine-GTP-Gs/β1/γ2
14.29Single8GGIConstrained Epinephrine8GGI-β2-Constrained Epinephrine
14.29Single8GGJConstrained Epinephrine8GGJ-β2-Constrained Epinephrine
14.29Single8GGKConstrained Epinephrine8GGK-β2-Constrained Epinephrine
14.29Single8GGNConstrained Epinephrine8GGN-β2-Constrained Epinephrine
14.29Single8GGOConstrained Epinephrine8GGO-β2-Constrained Epinephrine
14.29Single8GGUConstrained Epinephrine8GGU-β2-Constrained Epinephrine
14.29Single8IC0CXCL88IC0-CXCR1-CXCL8-Gi1/β1/γ2
14.29Single8IRTRotigotine8IRT-D3-Rotigotine-Gi1/β1/γ2
14.29Single8JJOAlprenolol8JJO-β2-Alprenolol
14.29Single8JLJT1AM8JLJ-TA1-T1AM-chim(NtGi1-Gs)/β1/γ2
14.29Single8JLZST19368JLZ-5-HT6-ST1936-Gs/β1/γ2
14.29Single8JXRLSD8JXR-D1-LSD
14.29Single8K5DGSK2560738K5D-HCA2-GSK256073
14.29Single8PJKST1718PJK-5-HT1A-ST171-Gi1/β1/γ1
14.29Single8UNQConstrained Epinephrine8UNQ-β2-Constrained Epinephrine-GTP-Gs/β1/γ2
14.29Single8UNRConstrained Epinephrine8UNR-β2-Constrained Epinephrine-GTP-Gs/β1/γ2
14.29Single8UNUConstrained Epinephrine8UNU-β2-Constrained Epinephrine-GTP-Gs/β1/γ2
14.29Single8UNVConstrained Epinephrine8UNV-β2-Constrained Epinephrine-GTP-Gs/β1/γ2
14.29Single8UNYConstrained Epinephrine8UNY-β2-Constrained Epinephrine-GTP-Gs/β1/γ2
14.29Single8UNZConstrained Epinephrine8UNZ-β2-Constrained Epinephrine-GTP-Gs/β1/γ2
14.29Single8UO2Constrained Epinephrine8UO2-β2-Constrained Epinephrine-GTP-Gs/β1/γ2
14.29Single8W8YGamma-MSH8W8Y-MC3-γ-MSH-Ca-Gs/β1/γ2
14.29Single8WC7ZH86678WC7-TA1-ZH8667-chim(NtGi1-Gs)/β1/γ2
14.29Single8X17Namodenoson8X17-A3A-Namodenoson-Gi1/β1/γ2
14.29Single8X9TAP5038X9T-ADGRD1-AP503-chim(NtGi1-Gs)/β1/γ2
14.29Single8XGUTAK4488XGU-Kiss1-TAK448-Gi1/β1/γ2
14.29Single8XIQL7967788XIQ-SST3-L796778-chim(NtGi1-Gs-CtGi1)/β1/γ2
14.29Single8XVKAmbrisentan8XVK-ETA-Ambrisentan
14.29Single8Y71A1D6F8Y71-δ-A1D6F-BMS986187-Gi1/β1/γ2
14.29Single8YH5Riboprine8YH5-A3A-Riboprine-Gi1/β1/γ2
14.29Single9CBMDexmedetomidine9CBM-α2a-Dexmedetomidine-Gi1/β1/γ2
14.29Single9CHXCarazolol9CHX-β2-Carazolol
14.29Single9D61JDTic9D61-κ-JDTic-Gi1/β1/γ2
14.29Single9JR2PTH9JR2-PTH1-PTH-chim(NtGi1L-Gs-CtGq)/β1/γ2
14.29Single9KFJPubChem 1383196749KFJ-RXFP3-PubChem 138319674-Gi2/β1/γ2
14.29Single9KUXCMPD6449KUX-Apelin; Apelin-CMPD644-Arrestin2
14.29Single9PLNPubChem 1682595949PLN-α2a-PubChem 168259594
14.29Single9PLOPubChem 1682595949PLO-α2a-PubChem 168259594-Go/β1/γ2
14.29Single9PQDPubChem 1764919279PQD-α2a-PubChem 176491927
14.29Single9PXWNaloxone9PXW-μ-Naloxone-GDPβS-Gi1/β1/γ2
14.29Single9U4WGonadoliberin-19U4W-GnRH1-Gonadoliberin-1-chim(NtGi1L-Gs-CtGq)/β1/γ2
14.29Single9UAZAtropine9UAZ-M1-Atropine
14.29Single9VMYTMU41429VMY-5-HT1A-TMU4142-Go/β1/γ2
14.29Consensus5ht2b_offOrthosteric Ligand6DRZ-5-HT2B-Methysergide
14.29Consensusa3_onOrthosteric Liganda3a_on
14.29Consensusadrenergic_onOrthosteric Ligandalpha_on beta_on
14.29Consensusalicarboxylic_offOrthosteric Ligandsuccinate_off
14.29Consensusalpha2_onOrthosteric Ligandalpha2b_on
14.29Consensusalpha2_on_gpOrthosteric Ligandalpha2b_on_gp
14.29Consensusalpha2b_onOrthosteric Ligand6K42-α2b-Dexmedetomidine-Gi1/β1/γ2
14.29Consensusalpha2b_on_gpOrthosteric Ligand6K42-α2b-Dexmedetomidine-Gi1/β1/γ2
14.29Consensusalpha_onOrthosteric Ligandalpha1_on alpha2_on
14.29Consensusangiotensin_onOrthosteric Ligandat1_on
14.29Consensusat1_onOrthosteric Ligand7F6G-AT1-(Sar1)-Angiotensin II-Gq/β1/γ2
14.29Consensusblt1_onOrthosteric Ligand7VKT-BLT1-LTB4-Gi1/β1/γ2
14.29Consensusblt1_on_gpOrthosteric Ligand7VKT-BLT1-LTB4-Gi1/β1/γ2
14.29Consensusblt_onOrthosteric Ligandblt1_on
14.29Consensusblt_on_gpOrthosteric Ligandblt1_on_gp
14.29Consensusc5a1_onOrthosteric Ligand8HK5-C5a1-C5a-Gi1/β1/γ2 7Y66-C5a1-BM213-Gi1/β1/γ2 7Y67-C5a1-C089 peptide-Gi1/β1/γ2 7Y64-C5a1-C5a-Gi1/β1/γ2
14.29Consensusccr2_onOrthosteric Ligand7XA3-CCR2-CCL2-Gi1/β1/γ2
14.29Consensusccr2_on_gpOrthosteric Ligand7XA3-CCR2-CCL2-Gi1/β1/γ2
14.29Consensusccr_onOrthosteric Ligandccr6_on ccr8_on ccr2_on ccr1_on ccr5_on
14.29Consensusclass-b1_class-b2_cons_onOrthosteric Ligandclass-b1_on class-b2_on
14.29Consensusclass-b1_class-b2_cons_on_gpOrthosteric Ligandclass-b1_on_gp class-b2_on_gp
14.29Consensusclass-b1_on_gpOrthosteric Ligandglucagon_on_gp vip-pacap_on_gp pth_on_gp crf_on_gp calcitonin_on_gp
14.29Consensuscompl-peptide_on_gpOrthosteric Ligandc5a1_on_gp c3a_on_gp
14.29Consensuscxcr1_on_gpOrthosteric Ligand8IC0-CXCR1-CXCL8-Gi1/β1/γ2
14.29Consensusd5_onOrthosteric Ligand8IRV-D5-Rotigotine-chim(NtGi1-Gs)/β1/γ2
14.29Consensusdop_offOrthosteric Ligand4EJ4-δ-Naltrindole
14.29Consensusdopamine_offOrthosteric Ligandd2_off d3_off
14.29Consensusdopamine_onOrthosteric Ligandd2_on d1_on d3_on d4_on d5_on
14.29Consensusdopamine_on_gpOrthosteric Ligandd2_on_gp d1_on_gp d3_on_gp d4_on_gp d5_on_gp
14.29Consensusgi_leukotrieneOrthosteric Ligand7VKT-BLT1-LTB4-Gi1/β1/γ2
14.29Consensusgi_somatostatinOrthosteric Ligand7WIC-SST2-Somatostatin-14-Gi1/β1/γ2 7XMS-SST4-Somatostatin-14-Gi1/β1/γ2 8X8L-SST5-Cortistatin-14-chim(NtGi1-Gs-CtGi1)/β1/γ2 7XMT-SST4-J-2156-Gi1/β1/γ2 7WIG-SST2-L-054264-Gi1/β1/γ2 8X8N-SST5-Octreotide-chim(NtGi1-Gs-CtGi1)/β1/γ2 7YAE-SST2-Octreotide-Gi1/β1/γ2 7YAC-SST2-Paltusotine-Gi1/β1/γ2
14.29Consensusglp1_on_gpOrthosteric Ligand7S1M-GLP-1-Exendin-4-D-Ala-Gs/β1/γ2 7X8R-GLP-1-BOC5-Gs/β1/γ2 6X19-GLP-1-CHU-128-Gs/β1/γ2 6X1A-GLP-1-Danuglipron-Gs/β1/γ2 6X18-GLP-1-GLP-1-Gs/β1/γ2 8JIP-GLP-1-MEDI0382-chim(NtGi1-Gs)/β1/γ2 7C2E-GLP-1-PubChem 149050799-Gs/β1/γ2 7KI0-GLP-1-Semaglutide-Gs/β1/γ2 7KI1-GLP-1-Taspoglutide-Gs/β1/γ2 7X8S-GLP-1-WB4-24-Gs/β1/γ2 8JIS-GLP-1-Peptide-15-chim(NtGi1-Gs)/β1/γ2 7VBI-GLP-1-Tirzepatide (non-acylated)-Gs/β1/γ2
14.29Consensusgq_amineOrthosteric Ligandgq_muscarinic gq_histamine
14.29Consensusleukotriene_onOrthosteric Ligandblt_on
14.29Consensusleukotriene_on_gpOrthosteric Ligandblt_on_gp
14.29Consensusm4_offOrthosteric Ligand5DSG-M4-Tiotropium
14.29Consensussomatostatin_onOrthosteric Ligandsst2_on sst4_on sst5_on
14.29Consensussomatostatin_on_gpOrthosteric Ligandsst2_on_gp sst4_on_gp sst5_on_gp
14.29Consensussuccinate_offOrthosteric Ligand6RNK-Succinate-NF-56-EJ40 6Z10-Succinate-PubChem 154585554
13.95Single8GY7Corticotropin8GY7-MC2-Corticotropin-Ca-chim(NtGi1-Gs)/β1/γ2; MRAP1
13.89Consensusglucagon_onOrthosteric Ligandglp_on gluc_on secretin_on gip_on
13.79Single6METGp160; CD46MET-CCR5-Gp160; CD4
13.79Single6WI9Secretin6WI9-Secretin-Secretin-Gs/β1/γ2
13.79Single6WIVPubChem 52923113; PubChem 529246456WIV-GABAB1, GABAB2-PubChem 52923113; PubChem 52924645
13.79Single7F6G(Sar1)-Angiotensin II7F6G-AT1-(Sar1)-Angiotensin II-Gq/β1/γ2
13.79Single7FIMTirzepatide7FIM-GLP-1-Tirzepatide-Gs/β1/γ2
13.79Single7T10Somatostatin-147T10-SST2-Somatostatin-14-Gi3/β1/γ2
13.79Single7W57Neuromedin-S7W57-NMUR2-Neuromedin-S-chim(NtGi1-Gs-CtGq)/β1/γ2
13.79Single8HA0PTH8HA0-PTH1-PTH-chim(NtGi1-Gs)/β1/γ2
13.79Single8XWQEndothelin-18XWQ-ETB-Endothelin-1-Gi1/β1/γ2
13.79Single8XZJWN3538XZJ-Apelin; Apelin-WN353-Gi1/β1/γ2
13.79Single8YW3Retatrutide8YW3-GLP-1-Retatrutide-Gs/β1/γ2
13.79Single8ZBISomatostatin-148ZBI-SST3-Somatostatin-14-Gi1/β1/γ2
13.79Single9BKKCholecystokinin-89BKK-CCKA-Cholecystokinin-8-chim(NtGi1-Gs-CtGq)/β1/γ2
13.79Single9BLCCagrilintide (non-acylated)9BLC-CT-Cagrilintide (non-acylated)-Gs/β1/γ2
13.79Consensusangiotensin_on_gpOrthosteric Ligandat1_on_gp
13.79Consensusapelin_onOrthosteric Ligand8XZH-Apelin; Apelin-MM07-Gi1/β1/γ2 7W0M-Apelin-PubChem 122701908-Gi1/β1/γ2 8XZJ-Apelin; Apelin-WN353-Gi1/β1/γ2 8XZF-Apelin; Apelin-WN561-Gi1/β1/γ2 8XZG-Apelin; Apelin-Apelin-13-Gi1/β1/γ2
13.79Consensusapelin_on_gpOrthosteric Ligand8XZH-Apelin; Apelin-MM07-Gi1/β1/γ2 7W0M-Apelin-PubChem 122701908-Gi1/β1/γ2 8XZJ-Apelin; Apelin-WN353-Gi1/β1/γ2 8XZF-Apelin; Apelin-WN561-Gi1/β1/γ2 8XZG-Apelin; Apelin-Apelin-13-Gi1/β1/γ2
13.79Consensusat1_on_gpOrthosteric Ligand7F6G-AT1-(Sar1)-Angiotensin II-Gq/β1/γ2
13.79Consensusc5a1_on_gpOrthosteric Ligand8HK5-C5a1-C5a-Gi1/β1/γ2 7Y66-C5a1-BM213-Gi1/β1/γ2 7Y67-C5a1-C089 peptide-Gi1/β1/γ2 7Y64-C5a1-C5a-Gi1/β1/γ2
13.79Consensuscrf2_onOrthosteric Ligand7TS0-CRF2-Urocortin-chim(NtGi1L-Go)/β1/γ2
13.79Consensuscxcr3_on_gpOrthosteric Ligand8HNK-CXCR3-CXCL11-Gi1/β1/γ2 8HNL-CXCR3-PS372424-Gi1/β1/γ2
13.79Consensusgi_class-aOrthosteric Ligandgi_peptide gi_sensory gi_alicarboxylic gi_amine gi_lipid gi_nucleotide gi_protein
13.79Consensusgq_angiotensinOrthosteric Ligand7F6G-AT1-(Sar1)-Angiotensin II-Gq/β1/γ2
13.79Consensusprotein_offonOrthosteric Ligandprotein_off protein_on
13.79Consensusprotein_offon_gpOrthosteric Ligandprotein_on_gp protein_off
13.64Single2RH1Carazolol2RH1-β2-Carazolol
13.64Single2Y03Isoprenaline2Y03-β1-Isoprenaline
13.64Single2YCWCarazolol2YCW-β1-Carazolol
13.64Single5C1MBU725C1M-μ-BU72
13.64Single5D6LCarazolol5D6L-β2-Carazolol
13.64Single5IUAQ274563485IUA-A2A-Q27456348-Na
13.64Single5JQHCarazolol5JQH-β2-Carazolol
13.64Single5N2SPSB365N2S-A1-PSB36
13.64Single5NM2ZM-2413855NM2-A2A-ZM-241385-Na
13.64Single5WQCEMPA5WQC-OX2-EMPA
13.64Single5X7DCarazolol5X7D-β2-Carazolol-PubChem 129318963
13.64Single6E67BI1671076E67-β2-BI167107-Gs(CT)
13.64Single6HLPNetupitant6HLP-NK1-Netupitant
13.64Single6KUWPubChem 572132346KUW-α2c-PubChem 57213234
13.64Single6LPLZM-2413856LPL-A2A-ZM-241385-Na
13.64Single6ME62-Phenylmelatonin6ME6-MT2-2-Phenylmelatonin
13.64Single6ME82-Phenylmelatonin6ME8-MT2-2-Phenylmelatonin
13.64Single6OIKIperoxo6OIK-M2-Iperoxo-LY2119620-chim(NtGi1-Go)/β1/γ2
13.64Single6PS3Carvedilol6PS3-β2-Carvedilol
13.64Single6PS6Timolol6PS6-β2-Timolol
13.64Single6S0QZM-2413856S0Q-A2A-ZM-241385
13.64Single6WQAZM-2413856WQA-A2A-ZM-241385-Na
13.64Single7BVQCarazolol7BVQ-β1-Carazolol
13.64Single7EO2FTY720-P7EO2-S1P1-FTY720-P-Gi1/β1/γ2
13.64Single7RM5ZM-2413857RM5-A2A-ZM-241385-Na
13.64Single7S0FIsoprenaline7S0F-β1-Isoprenaline-Gi1/β1/γ2
13.64Single7SBFPZM217SBF-μ-PZM21-Gi1/β1/γ2
13.64Single7SINNPS-21437SIN-CaS; CaS-NPS-2143
13.64Single7SINNPS-21437SIN-CaS; CaS-NPS-2143
13.64Single7TD3S1P7TD3-S1P1-S1P-Gi1/β1/γ2
13.64Single7TRKIperoxo7TRK-M4-Iperoxo-Gi1/β1/γ2
13.64Single7W41PD1762527W41-BB2-PD176252
13.64Single7WC6LSD7WC6-5-HT2A-LSD
13.64Single7WIGL-0542647WIG-SST2-L-054264-Gi1/β1/γ2
13.64Single7X1TTaltirelin7X1T-TRH-Taltirelin-chim(NtGi2L-Gs-CtGq)/β1/γ2
13.64Single7XK9Constrained Isoproterenol7XK9-β2-Constrained Isoproterenol-Na
13.64Single7XKAConstrained Epinephrine7XKA-β2-Constrained Epinephrine
13.64Single7YU3ONO-07405567YU3-LPA1-ONO-0740556-Gi1/β1/γ2
13.64Single7YU6ONO-07405567YU6-LPA1-ONO-0740556-Gi1/β1/γ2
13.64Single8DZQmomSalB8DZQ-κ-momSalB-Go/β1/γ2
13.64Single8DZRGR89,6968DZR-κ-GR89,696-chim(NtGi2-Gt3)/β1/γ2
13.64Single8FYNZM-2413858FYN-A2A-ZM-241385-Na
13.64Single8GDZConstrained Epinephrine8GDZ-β2-Constrained Epinephrine-Gs/β1/γ2
13.64Single8GEBConstrained Epinephrine8GEB-β2-Constrained Epinephrine-Gs/β1/γ2
13.64Single8GEGConstrained Epinephrine8GEG-β2-Constrained Epinephrine-Gs/β1/γ2
13.64Single8GFYConstrained Epinephrine8GFY-β2-Constrained Epinephrine-GTP-Gs/β1/γ2
13.64Single8GG2Constrained Epinephrine8GG2-β2-Constrained Epinephrine-GTP-Gs/β1/γ2
13.64Single8GGBConstrained Epinephrine8GGB-β2-Constrained Epinephrine-GTP-Gs/β1/γ2
13.64Single8I7WGSK2560738I7W-HCA2-GSK256073-Gi1/β1/γ2
13.64Single8T6JCDPPB8T6J-mGlu5; mGlu5-CDPPB
13.64Single8T6JCDPPB8T6J-mGlu5; mGlu5-CDPPB
13.64Single8TH4Losartan8TH4-AT1-Losartan-AT118-L Nanobody
13.64Single8UNNConstrained Epinephrine8UNN-β2-Constrained Epinephrine-GTP-Gs/β1/γ2
13.64Single8UNPConstrained Epinephrine8UNP-β2-Constrained Epinephrine-GTP-Gs/β1/γ2
13.64Single8X0DVU04244658X0D-mGlu5; mGlu5-Quisqualate-VU0424465
13.64Single8XYKVUF106618XYK-CXCR3-VUF10661-Go/β1/γ2
13.64Single8YICSAR2477998YIC-S1P1-SAR247799-Gi1/β1/γ2
13.64Single8ZPTPrRP208ZPT-PrRP-PrRP20-chim(NtGi1-Gs-CtGq)/β1/γ2
13.64Single9ARZ2-bromo-LSD9ARZ-5-HT2A-2-bromo-LSD
13.64Single9AVLCa; Ca; Cyclomethyltryptophan; R-568; PO49AVL-CaS; CaS-Ca-Ca; Ca; Cyclomethyltryptophan; R-568; PO4-Gi3/β2/γ2
13.64Single9AXFCa; Ca; Ca; Cyclomethyltryptophan; R-568; PO49AXF-CaS; CaS-Ca-Ca; Ca; Ca; Cyclomethyltryptophan; R-568; PO4-chim(NtGi1-Gs-CtGq)/β1/γ2
13.64Single9AYFCa; Ca; Ca; Cyclomethyltryptophan; R-568; PO49AYF-CaS; CaS-Ca-Ca; Ca; Ca; Cyclomethyltryptophan; R-568; PO4-Gi1/β1/γ2
13.64Single9EAHOlmesartan9EAH-AT1-Olmesartan-Nanobody AT209
13.64Single9F33FOB02-04A9F33-D3-FOB02-04A-Go/β1/γ2
13.64Single9F34FOB02-04A9F34-D3-FOB02-04A-Go/β1/γ2
13.64Single9HAPTolvaptan9HAP-V2-Tolvaptan
13.64Single9HC04YI9HC0-mGlu5-4YI
13.64Single9I52A1IZU9I52-D1-A1IZU-Gs/β1/γ2
13.64Single9KUVCMPD6449KUV-Apelin-CMPD644-Arrestin2
13.64Single9L74S1P d16:19L74-S1P3-S1P d16:1-chim(NtGi2L-Gs-CtGq)/β1/γ2
13.64Single9MQKIsoquinuclidine9MQK-κ-Isoquinuclidine
13.64Single9VJFBuspirone9VJF-5-HT1A-Buspirone-Gi3/β1/γ2
13.64Consensus5ht2_offOrthosteric Ligand5ht2a_off 5ht2b_off 5ht2c_off
13.64Consensus5ht5_on_gpOrthosteric Ligand5ht5a_on_gp
13.64Consensus5ht5a_on_gpOrthosteric Ligand7X5H-5-HT5A-5-CT-Gi1/β1/γ2 7UM6-5-HT5A-Lisuride-chim(NtGi1-Go)/β1/γ2 7UM7-5-HT5A-Methylergometrine-chim(NtGi1-Go)/β1/γ2
13.64Consensusa3_on_gpOrthosteric Liganda3a_on_gp
13.64Consensusa3a_onOrthosteric Ligand8X17-A3A-Namodenoson-Gi1/β1/γ2 8X16-A3A-Piclidenoson-Gi1/β1/γ2
13.64Consensusa3a_on_gpOrthosteric Ligand8X17-A3A-Namodenoson-Gi1/β1/γ2 8X16-A3A-Piclidenoson-Gi1/β1/γ2
13.64Consensusadrenergic_offOrthosteric Ligandalpha_off beta_off
13.64Consensusadrenergic_on_gpOrthosteric Ligandalpha_on_gp beta_on_gp
13.64Consensusalpha2c_offOrthosteric Ligand6KUW-α2c-PubChem 57213234
13.64Consensusalpha_offOrthosteric Ligandalpha1_off alpha2_off
13.64Consensusalpha_on_gpOrthosteric Ligandalpha1_on_gp alpha2_on_gp
13.64Consensusamine_offOrthosteric Ligand5ht_off adrenergic_off dopamine_off histamine_off muscarinic_off
13.64Consensusamine_offonOrthosteric Ligandamine_off amine_on
13.64Consensusamine_offon_gpOrthosteric Ligandamine_on_gp amine_off
13.64Consensusamine_onOrthosteric Ligand5ht_on adrenergic_on dopamine_on histamine_on muscarinic_on trace-amine_on
13.64Consensusbb2_offOrthosteric Ligand7W41-BB2-PD176252
13.64Consensusbeta2_offOrthosteric Ligand2RH1-β2-Carazolol 6PS3-β2-Carvedilol 6PS5-β2-Propranolol 3D4S-β2-Timolol 3NY8-β2-ICI118-551 3NY9-β2-PubChem 913103 6PRZ-β2-Alprenolol
13.64Consensusbeta_offOrthosteric Ligandbeta1_off beta2_off
13.64Consensusbombesin_offOrthosteric Ligandbb2_off
13.64Consensusd1_onOrthosteric Ligand7F0T-D1-Dopamine-Gs/β1/γ2 7CKY-D1-PW0464-Gs/β1/γ2 8IRR-D1-Rotigotine-Gs/β1/γ2 7JV5-D1-SKF81297-Gs/β1/γ2 7JVP-D1-SKF83959-Gs/β1/γ2 7X2D-D1-Tavapadon-Gs/β1/γ2 7CKX-D1-A77636-Gs/β1/γ2 7JVQ-D1-Apomorphine-Gs/β1/γ2 7CKW-D1-Fenoldopam-Gs/β1/γ2
13.64Consensusd2_onOrthosteric Ligand7JVR-D2-Bromoergocryptine-Gi1/β1/γ2 8IRS-D2-Rotigotine-Gi1/β1/γ2
13.64Consensusd4_onOrthosteric Ligand8IRU-D4-Rotigotine-chim(NtGi1-Gs-CtGi1)/β1/γ2
13.64Consensusgi_adrenergicOrthosteric Ligand7EJ0-α2a-Norepinephrine-Go/β1/γ2 7EJK-α2a-Oxymetazoline-Go/β1/γ2 7W7E-α2a-PubChem 164946676-Go/β1/γ2 7W6P-α2a-N-pyridin-4-ylisoquinolin-4-amine-Go/β1/γ2 7EJ8-α2a-Brimonidine-Go/β1/γ2 6K42-α2b-Dexmedetomidine-Gi1/β1/γ2 7EJA-α2a-Dexmedetomidine-Go/β1/γ2 7S0F-β1-Isoprenaline-Gi1/β1/γ2
13.64Consensusrxfp4_onOrthosteric Ligand7YK7-RXFP4-DC591053-Gi2/β1/γ2 7YJ4-RXFP4-INSL5-Gi2/β1/γ2 7YK6-RXFP4-PubChem 138319674-Gi2/β1/γ2
13.64Consensusrxfp4_on_gpOrthosteric Ligand7YK7-RXFP4-DC591053-Gi2/β1/γ2 7YJ4-RXFP4-INSL5-Gi2/β1/γ2 7YK6-RXFP4-PubChem 138319674-Gi2/β1/γ2
13.51Consensusgluc_onOrthosteric Ligand6LMK-Glucagon-Glucagon-Gs/β1/γ2 8JIT-Glucagon-MEDI0382-Gs/β1/γ2 7V35-Glucagon-Peptide-20-Gs/β1/γ2
13.51Consensusglucagon_on_gpOrthosteric Ligandglp_on_gp gluc_on_gp secretin_on_gp gip_on_gp
13.33Single7TYWCalcitonin-17TYW-CT (AMY1)-Calcitonin-1-Gs/β1/γ2; RAMP1
13.33Single7WBJPACAP277WBJ-VPAC1-PACAP27-Gs/β1/γ2
13.33Single7Y35Abaloparatide7Y35-PTH1-Abaloparatide-Gs/β1/γ2
13.33Single7Y64C5a7Y64-C5a1-C5a-Gi1/β1/γ2
13.33Single8GEJConstrained Epinephrine8GEJ-β2-Constrained Epinephrine-Gs/β1/γ2
13.33Single8HCXEndothelin-18HCX-ETB-Endothelin-1-chim(NtGi2L-Gs-CtGq)/β1/γ2
13.33Single8WCBCyclohexylammonium Ion8WCB-TA1-Cyclohexylammonium Ion-chim(NtGi1-Gs-CtGq)/β1/γ2
13.33Single8WCCCyclohexylammonium Ion8WCC-TA1-Cyclohexylammonium Ion
13.33Single8WWKMCH8WWK-MCH1-MCH-Gi1/β1/γ2
13.33Single8WWMMCH8WWM-MCH1-MCH-Gi1/β1/γ2
13.33Single8XGOTAK4488XGO-Kiss1-TAK448-chim(NtGi1-Gq)/β1/γ2
13.33Single8XVHEndothelin-18XVH-ETB-Endothelin-1-chim(Gs-CtGq)/β1/γ2
13.33Single8ZPSPrRP208ZPS-PrRP-PrRP20-chim(NtGi1-Gs-CtGi1)/β1/γ2
13.33Single8ZRTEndothelin-18ZRT-ETB-Endothelin-1
13.33Consensusccr_on_gpOrthosteric Ligandccr6_on_gp ccr8_on_gp ccr2_on_gp ccr1_on_gp ccr5_on_gp
13.33Consensuschemokine_on_gpOrthosteric Ligandccr_on_gp cxcr_on_gp
13.33Consensusgi_apelinOrthosteric Ligand8XZH-Apelin; Apelin-MM07-Gi1/β1/γ2 7W0M-Apelin-PubChem 122701908-Gi1/β1/γ2 8XZJ-Apelin; Apelin-WN353-Gi1/β1/γ2 8XZF-Apelin; Apelin-WN561-Gi1/β1/γ2 8XZG-Apelin; Apelin-Apelin-13-Gi1/β1/γ2
13.33Consensusgi_chemokineOrthosteric Ligand6WWZ-CCR6-CCL20-Go/β1/γ2 8HNK-CXCR3-CXCL11-Gi1/β1/γ2 8K3Z-CXCR4-CXCL12-Gi1/β1/γ1 8IC0-CXCR1-CXCL8-Gi1/β1/γ2 6LFM-CXCR2-CXCL8-Gi1/β1/γ2 8KFX-CCR8-LMD-009-Gi1/β1/γ2 7F1Q-CCR5-CCL3-Gi1/β1/γ2 8HNL-CXCR3-PS372424-Gi1/β1/γ2 8KFY-CCR8-ZK-756326-Gi1/β1/γ2 7O7F-CCR5-6P4-CCL5-Gi1/β1/γ1 8U1U-CCR8-CCL1-Gi1/β1/γ2 7VLA-CCR1-CCL15(27-92)-Gi1/β1/γ2 7XA3-CCR2-CCL2-Gi1/β1/γ2
13.33Consensusmc1_onOrthosteric Ligand7F4H-MC1-Afamelanotide-chim(NtGi1-Gs)/β1/γ2 7F4D-MC1-α-MSH-chim(NtGi1-Gs)/β1/γ2 7F4I-MC1-SHU9119-chim(NtGi1-Gs)/β1/γ2
13.33Consensusmc1_on_gpOrthosteric Ligand7F4H-MC1-Afamelanotide-chim(NtGi1-Gs)/β1/γ2 7F4D-MC1-α-MSH-chim(NtGi1-Gs)/β1/γ2 7F4I-MC1-SHU9119-chim(NtGi1-Gs)/β1/γ2
13.33Consensusopioid_onOrthosteric Ligandmop_on nop_on dop_on kop_on
13.33Consensussst5_on_gpOrthosteric Ligand8X8L-SST5-Cortistatin-14-chim(NtGi1-Gs-CtGi1)/β1/γ2 8X8N-SST5-Octreotide-chim(NtGi1-Gs-CtGi1)/β1/γ2
13.33Consensusvpac1_onOrthosteric Ligand8E3Z-VPAC1-VIP-Gs/β1/γ2
13.16Consensusgluc_on_gpOrthosteric Ligand6LMK-Glucagon-Glucagon-Gs/β1/γ2 8JIT-Glucagon-MEDI0382-Gs/β1/γ2 7V35-Glucagon-Peptide-20-Gs/β1/γ2
13.04Single3P0GBI1671073P0G-β2-BI167107
13.04Single4DJHJDTic4DJH-κ-JDTic
13.04Single4IAQDihydroergotamine4IAQ-5-HT1B-Dihydroergotamine
13.04Single4Z34ONO-97803074Z34-LPA1-ONO-9780307
13.04Single5D5ACarazolol5D5A-β2-Carazolol
13.04Single5D5BCarazolol5D5B-β2-Carazolol
13.04Single5ZHPPubChem 1348285895ZHP-M3-PubChem 134828589
13.04Single6H7JIsoprenaline6H7J-β1-Isoprenaline
13.04Single6J21Aprepitant6J21-NK1-Aprepitant
13.04Single6TQ7SB-3348676TQ7-OX1-SB-334867
13.04Single7E2ZAripiprazole7E2Z-5-HT1A-Aripiprazole-PtdIns4P-Gi1/β1/γ2
13.04Single7EW7SEW28717EW7-S1P1-SEW2871-Gi1/β1/γ2
13.04Single7F58THIQ7F58-MC4-THIQ-Gs/β1/γ2
13.04Single7JJOIsoprenaline7JJO-β1-Isoprenaline-Gs/β1/γ2
13.04Single7JVPSKF839597JVP-D1-SKF83959-Gs/β1/γ2
13.04Single7M8W15r-Methyl-PGD27M8W-DP2-15r-Methyl-PGD2-Na
13.04Single7PX4PSB-21137PX4-A2A-PSB-2113
13.04Single7W6PN-pyridin-4-ylisoquinolin-4-amine7W6P-α2a-N-pyridin-4-ylisoquinolin-4-amine-Go/β1/γ2
13.04Single7W7EPubChem 1649466767W7E-α2a-PubChem 164946676-Go/β1/γ2
13.04Single7XTQR3997XTQ-GPBA-R399-Gs/β1/γ2
13.04Single7XY7NECA7XY7-A2B-NECA-chim(NtGi1-Gs)/β1/γ2
13.04Single7YU5ONO-07405567YU5-LPA1-ONO-0740556-Gi1/β1/γ2
13.04Single7YU7ONO-07405567YU7-LPA1-ONO-0740556-Gi1/β1/γ2
13.04Single8DZPmomSalB8DZP-κ-momSalB-Gi1/β1/γ2
13.04Single8HPTC5a (C-terminal peptide)8HPT-C5a1-C5a (C-terminal peptide)-Go/β1/γ2
13.04Single8HQCC5a8HQC-C5a1-C5a-Go/β1/γ2
13.04Single8IRURotigotine8IRU-D4-Rotigotine-chim(NtGi1-Gs-CtGi1)/β1/γ2
13.04Single8IRVRotigotine8IRV-D5-Rotigotine-chim(NtGi1-Gs)/β1/γ2
13.04Single8IYHMK68928IYH-HCA2-MK6892-Go/β1/γ2
13.04Single8JLPRalmitaront8JLP-TA1-Ralmitaront-Gs/β1/γ2
13.04Single8JT6(R)-IHCH-71798JT6-5-HT1A-(R)-IHCH-7179-PtdIns4P-Gi1/β1/γ2
13.04Single8TAOCDPPB8TAO-mGlu5; mGlu5-Quisqualate-CDPPB
13.04Single8UGWCGS216808UGW-A2A-CGS21680
13.04Single8VVFJDTic8VVF-κ-JDTic-Gi1/β1/γ2
13.04Single8X0BVU04244658X0B-mGlu5; mGlu5-Quisqualate-VU0424465
13.04Single8X16Piclidenoson8X16-A3A-Piclidenoson-Gi1/β1/γ2
13.04Single8XIPPasireotide8XIP-SST1-Pasireotide-chim(NtGi1-Gs-CtGi1)/β1/γ2
13.04Single8XVLZibotentan8XVL-ETA-Zibotentan
13.04Single8YH6Namodenoson8YH6-A3A-Namodenoson-Gi1/β1/γ2
13.04Single8ZWFJR14a8ZWF-C3aB-JR14a
13.04Single9AS9RS130-1809AS9-5-HT2A-RS130-180
13.04Single9ASARS130-1809ASA-5-HT2A-RS130-180-chim(NtGi1-Gs-CtGq)/β1/γ2
13.04Single9ASTLymphotactin9AST-XCR1-Lymphotactin-Gi1/β1/γ2
13.04Single9AYFCa; Ca; Ca; Cyclomethyltryptophan; R-568; PO49AYF-CaS; CaS-Ca-Ca; Ca; Ca; Cyclomethyltryptophan; R-568; PO4-Gi1/β1/γ2
13.04Single9BJKNaloxone9BJK-μ-Naloxone-PubChem 171642066
13.04Single9BS9LSD9BS9-D2-LSD
13.04Single9BSBLSD9BSB-D2-LSD-chim(NtGi1-Go)/β1/γ2
13.04Single9IJDCarazolol9IJD-β3-Carazolol-chim(NtGi1-Gs)/β1/γ2
13.04Single9IK9Lanreotide9IK9-SST1-Lanreotide-Gi1/β1/γ2
13.04Single9IZGLPA9IZG-LPA1-LPA-chim(NtGi1-Gs-CtGq)/β1/γ2
13.04Single9JMCDS-3801b9JMC-Motilin-DS-3801b-chim(Gs-CtGq)/β1/γ2
13.04Single9KVPSB2901579KVP-C3aB-SB290157-Go/β1/γ2
13.04Single9PY3Loperamide9PY3-μ-Loperamide-GDPβS-Gi1/β1/γ2
13.04Single9UCPIperoxo9UCP-M1-Iperoxo-G11(CT)
13.04Consensus5ht_offOrthosteric Ligand5ht2_off 5ht1_off
13.04Consensusa2_onOrthosteric Liganda2b_on
13.04Consensusa2_on_gpOrthosteric Liganda2b_on_gp
13.04Consensusa2b_onOrthosteric Ligand8HDP-A2B-Adenosine-Gs/β1/γ2 7XY6-A2B-BAY 60-6583-chim(NtGi1-Gs)/β1/γ2 7XY7-A2B-NECA-chim(NtGi1-Gs)/β1/γ2 8HDO-A2B-BAY 60-6583-Gs/β1/γ2
13.04Consensusa2b_on_gpOrthosteric Ligand8HDP-A2B-Adenosine-Gs/β1/γ2 7XY6-A2B-BAY 60-6583-chim(NtGi1-Gs)/β1/γ2 7XY7-A2B-NECA-chim(NtGi1-Gs)/β1/γ2 8HDO-A2B-BAY 60-6583-Gs/β1/γ2
13.04Consensusamine_on_gpOrthosteric Ligand5ht_on_gp adrenergic_on_gp dopamine_on_gp histamine_on_gp muscarinic_on_gp trace-amine_on_gp
13.04Consensusbeta1_offOrthosteric Ligand2VT4-β1-Cyanopindolol 2YCW-β1-Carazolol 2YCZ-β1-Iodocyanopindolol 5A8E-β1-7-Methylcyanopindolol-Na 3ZPQ-β1-PubChem 594590-Na 3ZPR-β1-PubChem 598754-Na
13.04Consensusbeta2_onOrthosteric Ligand7DHI-β2-Salbutamol-Gs/β1/γ2 6NI3-β2-BI167107-Gs/β1/γ2
13.04Consensusbeta2_on_gpOrthosteric Ligand7DHI-β2-Salbutamol-Gs/β1/γ2 6NI3-β2-BI167107-Gs/β1/γ2
13.04Consensusd4_on_gpOrthosteric Ligand8IRU-D4-Rotigotine-chim(NtGi1-Gs-CtGi1)/β1/γ2
13.04Consensusd5_on_gpOrthosteric Ligand8IRV-D5-Rotigotine-chim(NtGi1-Gs)/β1/γ2
13.04Consensusgi_5htOrthosteric Ligand8FYT-5-HT1A-LSD-PtdIns4P-Gi1/β1/γ1 7UM7-5-HT5A-Methylergometrine-chim(NtGi1-Go)/β1/γ2 8UGY-5-HT1E-Mianserin-Gi1/β1/γ1 8W8B-5-HT1A-SEP-363856-Gi1/β1/γ2 7E2Y-5-HT1A-Serotonin-PtdIns4P-Gi1/β1/γ2 7E32-5-HT1D-Serotonin-Gi1/β1/γ2 7XTA-5-HT4-Serotonin-Gi1/β1/γ2 8UH3-5-HT1E-Setiptiline-Gi1/β1/γ1 8JSP-5-HT1A-Ulotaront-Gi1/β1/γ2 8FYL-5-HT1A-Vilazodone-PtdIns4P-Gi1/β1/γ1 8JT6-5-HT1A-(R)-IHCH-7179-PtdIns4P-Gi1/β1/γ2 8FYE-5-HT1A-4-F,5-MeO-PyrT-PtdIns4P-Gi1/β1/γ1 7X5H-5-HT5A-5-CT-Gi1/β1/γ2 8FY8-5-HT1A-5-MeO-DMT-PtdIns4P-Gi1/β1/γ1 7E2Z-5-HT1A-Aripiprazole-PtdIns4P-Gi1/β1/γ2 7E33-5-HT1E-BRL-54443-Gi1/β1/γ2 8FYX-5-HT1A-Buspirone-PtdIns4P-Gi1/β1/γ1 7EXD-5-HT1F-Lasmiditan-Gi1/β1/γ2 7UM6-5-HT5A-Lisuride-chim(NtGi1-Go)/β1/γ2
13.04Consensusgi_dopamineOrthosteric Ligand7JVR-D2-Bromoergocryptine-Gi1/β1/γ2 7CMV-D3-PD128907-Gi1/β1/γ2 7CMU-D3-Pramipexole-Gi1/β1/γ2 8IRS-D2-Rotigotine-Gi1/β1/γ2 8IRT-D3-Rotigotine-Gi1/β1/γ2
13.04Consensusgi_lpaOrthosteric Ligand7TD1-LPA1-LPA-Gi1/β1/γ2 7YU3-LPA1-ONO-0740556-Gi1/β1/γ2
13.04Consensusgi_relaxinOrthosteric Ligand7YK7-RXFP4-DC591053-Gi2/β1/γ2 7YJ4-RXFP4-INSL5-Gi2/β1/γ2 7YK6-RXFP4-PubChem 138319674-Gi2/β1/γ2
13.04Consensusgs_adenosineOrthosteric Ligand8HDP-A2B-Adenosine-Gs/β1/γ2 8HDO-A2B-BAY 60-6583-Gs/β1/γ2 7XY7-A2B-NECA-chim(NtGi1-Gs)/β1/γ2 7XY6-A2B-BAY 60-6583-chim(NtGi1-Gs)/β1/γ2
13.04Consensusgs_nucleotideOrthosteric Ligandgs_adenosine
13.04Consensuskop_offOrthosteric Ligand4DJH-κ-JDTic
13.04Consensuslpa_onOrthosteric Ligandlpa1_on
13.04Consensuslpa_on_gpOrthosteric Ligandlpa1_on_gp
13.04Consensusm3_offOrthosteric Ligand4U15-M3-Tiotropium 4U16-M3-N-methyl-Scopolamine 5ZHP-M3-PubChem 134828589
13.04Consensusmotilin_onOrthosteric Ligand8IBU-Motilin-Erythromycin-A-chim(NtGi1-Gs-CtGq)/β1/γ2
13.04Consensusrelaxin_onOrthosteric Ligandrxfp4_on
13.04Consensusrelaxin_on_gpOrthosteric Ligandrxfp4_on_gp
12.90Single4XT3CX3CL14XT3-US28-CX3CL1
12.90Single5UIW5P7-CCL55UIW-CCR5-5P7-CCL5
12.90Single6NBFLA-PTH Analog6NBF-PTH1-LA-PTH Analog-Gs/β1/γ2
12.90Single7CZ5Somatoliberin7CZ5-GHRH-Somatoliberin-Gs/β1/γ2
12.90Single7F8VGastrin-177F8V-CCKB-Gastrin-17-Gi2/β1/γ2
12.90Single7RGPTirzepatide7RGP-GLP-1-Tirzepatide-chim(NtGi1-Gs)/β1/γ2
12.90Single7SK3CXCL127SK3-ACKR3-CXCL12
12.90Single8JISPeptide-158JIS-GLP-1-Peptide-15-chim(NtGi1-Gs)/β1/γ2
12.90Single8XVEBQ30208XVE-ETB-BQ3020-chim(Gs-CtGq)/β1/γ2
12.90Single9BLBCagrilintide (non-acylated)9BLB-CT-Cagrilintide (non-acylated)-Gs/β1/γ2
12.90Single9BP3Cagrilintide9BP3-CT (AMY1)-Cagrilintide-Gs/β1/γ2; RAMP1
12.90Single9KFKRelaxin-39KFK-RXFP4-Relaxin-3-Gi2/β1/γ2
12.90Consensusccr5_offOrthosteric Ligand5UIW-CCR5-5P7-CCL5
12.90Consensuscrf2_on_gpOrthosteric Ligand7TS0-CRF2-Urocortin-chim(NtGi1L-Go)/β1/γ2
12.90Consensusgi_compl-peptOrthosteric Ligand8HK5-C5a1-C5a-Gi1/β1/γ2 8IA8-C3aB-E7 peptide-Gi1/β1/γ2 7Y66-C5a1-BM213-Gi1/β1/γ2 7Y67-C5a1-C089 peptide-Gi1/β1/γ2 8HK2-C3aB-C3a-Gi1/β1/γ2 7Y64-C5a1-C5a-Gi1/β1/γ2
12.90Consensusopioid_on_gpOrthosteric Ligandmop_on_gp nop_on_gp dop_on_gp kop_on_gp
12.90Consensussecretin_onOrthosteric Ligand7D3S-Secretin-Secretin-Gs/β1/γ2
12.90Consensusvpac1_on_gpOrthosteric Ligand8E3Z-VPAC1-VIP-Gs/β1/γ2
12.82Consensusclass-b1_onOrthosteric Ligandglucagon_on vip-pacap_on pth_on crf_on calcitonin_on
12.50Single3D4STimolol3D4S-β2-Timolol
12.50Single3PXOAll-trans-Retinal3PXO-Rhodopsin-All-trans-Retinal
12.50Single4AMIBucindolol4AMI-β1-Bucindolol
12.50Single4OR2FITM4OR2-mGlu1; mGlu1-FITM
12.50Single4RWADIPP-NH24RWA-δ-DIPP-NH2
12.50Single5DYSAll-trans-Retinal5DYS-Rhodopsin-All-trans-Retinal
12.50Single5MZJTheophylline5MZJ-A2A-Theophylline-Na
12.50Single5NX2GLP-1 (Truncated)5NX2-GLP-1-GLP-1 (Truncated)
12.50Single6B3JExendin-P56B3J-GLP-1-Exendin-P5-Gs/β1/γ2
12.50Single6DRYMethylergometrine6DRY-5-HT2B-Methylergometrine
12.50Single6H7OCyanopindolol6H7O-β1-Cyanopindolol
12.50Single6MXTSalmeterol6MXT-β2-Salmeterol
12.50Single6OS2TRV0266OS2-AT1-TRV026
12.50Single6VMSBromoergocryptine6VMS-D2-Bromoergocryptine-Gi1/β1/γ2
12.50Single6ZG4HTL00099366ZG4-M1-HTL0009936
12.50Single7DFPSpiperone7DFP-D2-Spiperone
12.50Single7EO4Siponimod7EO4-S1P1-Siponimod-Gi1/β1/γ2
12.50Single7EPENAM5637EPE-mGlu2-NAM563
12.50Single7EVYSiponimod7EVY-S1P1-Siponimod-Gi1/β1/γ2
12.50Single7EW2FTY720-P7EW2-S1P3-FTY720-P-Gi1/β1/γ2
12.50Single7EXDLasmiditan7EXD-5-HT1F-Lasmiditan-Gi1/β1/γ2
12.50Single7F53Alpha-MSH7F53-MC4-α-MSH-Gs/β1/γ2
12.50Single7JNIOlodanrigan7JNI-AT2-Olodanrigan
12.50Single7MTRADX551647MTR-mGlu2; mGlu2-Glutamate-ADX55164
12.50Single7QBCAlpha-factor mating pheromone7QBC-STE2; STE2-α-factor mating pheromone
12.50Single7T6BS1P7T6B-S1P2-S1P-chim(NtGi1L-G13)/β1/γ2
12.50Single7TYFAmylin7TYF-CT (AMY1)-Amylin-Gs/β1/γ2; RAMP1
12.50Single7TYNCalcitonin-17TYN-CT-Calcitonin-1-Gs/β1/γ2
12.50Single7VVKPTH7VVK-PTH1-PTH-Gs/β1/γ2
12.50Single7W0LPubChem 1227019087W0L-Apelin; Apelin-PubChem 122701908-Gi1/β1/γ2
12.50Single7W0NElabela7W0N-Apelin; Apelin-Elabela-Gi1/β1/γ2
12.50Single7WVYAmyloid-Beta427WVY-FPR2-ALX-Amyloid-β42-Gi2/β1/γ2
12.50Single7XKEDehydroepiandrosterone7XKE-ADGRG2-Dehydroepiandrosterone-chim(NtGi1-Gs)/β1/γ2
12.50Single7YITNalfurafine7YIT-κ-Nalfurafine
12.50Single7YMJTamsulosin7YMJ-Alpha1A-Tamsulosin
12.50Single8FYE4-F,5-MeO-PyrT8FYE-5-HT1A-4-F,5-MeO-PyrT-PtdIns4P-Gi1/β1/γ1
12.50Single8FYTLSD8FYT-5-HT1A-LSD-PtdIns4P-Gi1/β1/γ1
12.50Single8HAOPTH8HAO-PTH1-PTH-chim(NtGi1-Gs)/β1/γ2
12.50Single8HK2C3a8HK2-C3aB-C3a-Gi1/β1/γ2
12.50Single8I9AEP548I9A-C3aB-EP54-chim(NtGi1-Gs-CtGq)/β1/γ2
12.50Single8IA8E7 peptide8IA8-C3aB-E7 peptide-Gi1/β1/γ2
12.50Single8IBUErythromycin-A8IBU-Motilin-Erythromycin-A-chim(NtGi1-Gs-CtGq)/β1/γ2
12.50Single8IRSRotigotine8IRS-D2-Rotigotine-Gi1/β1/γ2
12.50Single8JJLOlodaterol8JJL-β2-Olodaterol
12.50Single8JJPChemerin-98JJP-CML2-Chemerin-9-Gi1/β1/γ2
12.50Single8JWY2-1188JWY-A2A-2-118
12.50Single8PWNTheophylline8PWN-A2A-Theophylline
12.50Single8W1VPubChem 1717162658W1V-β2-PubChem 171716265
12.50Single8W8WAlpha-MSH8W8W-MC3-α-MSH-Ca-Gs/β1/γ2
12.50Single8WWLMCH8WWL-MCH1-MCH-Gi1/β1/γ2
12.50Single8X8NOctreotide8X8N-SST5-Octreotide-chim(NtGi1-Gs-CtGi1)/β1/γ2
12.50Single8XQNCholesterol8XQN-TAS2R14-Cholesterol-Aristolochic acid A-Gi1/β1/γ1
12.50Single8XWPEndothelin-18XWP-ETB-Endothelin-1-Gi1/β1/γ2
12.50Single8XYIVUF106618XYI-CXCR3-VUF10661
12.50Single8ZH8QRFP268ZH8-QRFP-QRFP26-Gq/β1/γ1
12.50Single9BUCCagrilintide9BUC-CT-Cagrilintide-Gs/β1/γ2
12.50Single9GL2Befiradol9GL2-5-HT1A-Befiradol-Gs/β1/γ2
12.50Single9JIDNiacin9JID-HCA3-Niacin-Gi1/β1/γ2
12.50Single9JKVPubChem 27366909JKV-HCA3-PubChem 2736690-Gi1/β1/γ2
12.50Single9KDFRES-701-39KDF-ETB-RES-701-3
12.50Single9KVG5-MeO-DMT9KVG-5-HT1A-5-MeO-DMT-PtdIns4P-Gi1/β1/γ2
12.50Single9M4QDoxazosin9M4Q-Alpha1A-Doxazosin
12.50Single9M8POleic monoethanolamide9M8P-GPR3 ; GPR3-Oleic monoethanolamide-AF64394
12.50Single9MQLIsoquinuclidine9MQL-κ-Isoquinuclidine
12.50Single9V6ONalfurafine9V6O-κ-Nalfurafine-Gi1/β1/γ2
12.50Single9VJ6F-155999VJ6-5-HT1A-F-15599-Gi3/β1/γ2
12.50Consensus5ht1a_onOrthosteric Ligand8FYT-5-HT1A-LSD-PtdIns4P-Gi1/β1/γ1 7E2Y-5-HT1A-Serotonin-PtdIns4P-Gi1/β1/γ2 7E2Z-5-HT1A-Aripiprazole-PtdIns4P-Gi1/β1/γ2 8FYX-5-HT1A-Buspirone-PtdIns4P-Gi1/β1/γ1 8JSP-5-HT1A-Ulotaront-Gi1/β1/γ2 8JT6-5-HT1A-(R)-IHCH-7179-PtdIns4P-Gi1/β1/γ2 8FY8-5-HT1A-5-MeO-DMT-PtdIns4P-Gi1/β1/γ1 8FYE-5-HT1A-4-F,5-MeO-PyrT-PtdIns4P-Gi1/β1/γ1 8FYL-5-HT1A-Vilazodone-PtdIns4P-Gi1/β1/γ1
12.50Consensus5ht1a_on_gpOrthosteric Ligand8FYT-5-HT1A-LSD-PtdIns4P-Gi1/β1/γ1 8FYX-5-HT1A-Buspirone-PtdIns4P-Gi1/β1/γ1 8JSP-5-HT1A-Ulotaront-Gi1/β1/γ2 8JT6-5-HT1A-(R)-IHCH-7179-PtdIns4P-Gi1/β1/γ2 7E2Y-5-HT1A-Serotonin-PtdIns4P-Gi1/β1/γ2 7E2Z-5-HT1A-Aripiprazole-PtdIns4P-Gi1/β1/γ2 8FY8-5-HT1A-5-MeO-DMT-PtdIns4P-Gi1/β1/γ1 8FYE-5-HT1A-4-F,5-MeO-PyrT-PtdIns4P-Gi1/β1/γ1 8FYL-5-HT1A-Vilazodone-PtdIns4P-Gi1/β1/γ1
12.50Consensus5ht1f_onOrthosteric Ligand7EXD-5-HT1F-Lasmiditan-Gi1/β1/γ2
12.50Consensus5ht1f_on_gpOrthosteric Ligand7EXD-5-HT1F-Lasmiditan-Gi1/β1/γ2
12.50Consensusalpha1_offOrthosteric Ligandalpha1a_off
12.50Consensusalpha1a_offOrthosteric Ligand7YMJ-Alpha1A-Tamsulosin
12.50Consensusc3a_onOrthosteric Ligand8HK2-C3aB-C3a-Gi1/β1/γ2 8IA8-C3aB-E7 peptide-Gi1/β1/γ2
12.50Consensusccr8_onOrthosteric Ligand8KFX-CCR8-LMD-009-Gi1/β1/γ2 8KFY-CCR8-ZK-756326-Gi1/β1/γ2 8U1U-CCR8-CCL1-Gi1/β1/γ2
12.50Consensusd2_on_gpOrthosteric Ligand7JVR-D2-Bromoergocryptine-Gi1/β1/γ2 8IRS-D2-Rotigotine-Gi1/β1/γ2
12.50Consensusgi_lipidOrthosteric Ligandgi_cannabinoid gi_ffa gi_leukotriene gi_lpa gi_s1p
12.50Consensusglp_onOrthosteric Ligandglp1_on glp2_on
12.50Consensusglp_on_gpOrthosteric Ligandglp1_on_gp glp2_on_gp
12.50Consensusgq_peptideOrthosteric Ligandgq_cck gq_kisspeptin gq_bradykinin gq_bombesin gq_angiotensin
12.50Consensuskop_onOrthosteric Ligand8F7W-κ-Dynorphin-Gi1/β1/γ2 8DZS-κ-GR89,696-chim(NtGi2-Gz)/β1/γ2 8DZP-κ-momSalB-Gi1/β1/γ2
12.50Consensusm4_onOrthosteric Ligand7TRS-M4-Acetylcholine-Gi1/β1/γ2 7V6A-M4-PubChem 9864275-Gi1/β1/γ2 8E9X-M4-2-Deoxycytidine-chim(NtGi1-Go)/β1/γ2 7TRK-M4-Iperoxo-Gi1/β1/γ2
12.50Consensusm4_on_gpOrthosteric Ligand7TRS-M4-Acetylcholine-Gi1/β1/γ2 7V6A-M4-PubChem 9864275-Gi1/β1/γ2 8E9X-M4-2-Deoxycytidine-chim(NtGi1-Go)/β1/γ2 7TRK-M4-Iperoxo-Gi1/β1/γ2
12.50Consensusmop_onOrthosteric Ligand8F7R-μ-Endomorphin-Gi1/β1/γ2 8EF5-μ-Fentanyl-Gi1/β1/γ2 7SCG-μ-FH210-Gi1/β1/γ2 7T2H-μ-Lofentanil-Gi1/β1/γ2 7T2G-μ-Mitragynine Pseudoindoxyl-Gi1/β1/γ2 8EF6-μ-Morphine-Gi1/β1/γ2 8EFB-μ-Oliceridine-Gi1/β1/γ2 7U2L-μ-C5-guano-Gi1/β1/γ2 8EFO-μ-PZM21-Gi1/β1/γ2 8EFL-μ-SR17018-Gi1/β1/γ2 8F7Q-μ-β-Endorphin-Gi1/β1/γ2 7U2K-μ-C6-guano-Gi1/β1/γ2 8EFQ-μ-DAMGO-Gi1/β1/γ2
12.50Consensusmop_on_gpOrthosteric Ligand8F7R-μ-Endomorphin-Gi1/β1/γ2 8EF5-μ-Fentanyl-Gi1/β1/γ2 7SCG-μ-FH210-Gi1/β1/γ2 7T2H-μ-Lofentanil-Gi1/β1/γ2 7T2G-μ-Mitragynine Pseudoindoxyl-Gi1/β1/γ2 8EF6-μ-Morphine-Gi1/β1/γ2 8EFB-μ-Oliceridine-Gi1/β1/γ2 7U2L-μ-C5-guano-Gi1/β1/γ2 8EFO-μ-PZM21-Gi1/β1/γ2 8EFL-μ-SR17018-Gi1/β1/γ2 8F7Q-μ-β-Endorphin-Gi1/β1/γ2 7U2K-μ-C6-guano-Gi1/β1/γ2 8EFQ-μ-DAMGO-Gi1/β1/γ2
12.50Consensusmotilin_on_gpOrthosteric Ligand8IBU-Motilin-Erythromycin-A-chim(NtGi1-Gs-CtGq)/β1/γ2
12.50Consensuss1p1_onOrthosteric Ligand7VIE-S1P1-S1P-Gi1/β1/γ2 7VIF-S1P1-FTY720-P-Gi1/β1/γ2 7VIG-S1P1-CBP-307-Gi1/β1/γ2 7EVY-S1P1-Siponimod-Gi1/β1/γ2 7EVZ-S1P1-Cenerimod-Gi1/β1/γ2 7EW0-S1P1-Ozanimod-Gi1/β1/γ2 7EW7-S1P1-SEW2871-Gi1/β1/γ2
12.50Consensuss1p1_on_gpOrthosteric Ligand7VIE-S1P1-S1P-Gi1/β1/γ2 7VIF-S1P1-FTY720-P-Gi1/β1/γ2 7VIG-S1P1-CBP-307-Gi1/β1/γ2 7EVY-S1P1-Siponimod-Gi1/β1/γ2 7EVZ-S1P1-Cenerimod-Gi1/β1/γ2 7EW0-S1P1-Ozanimod-Gi1/β1/γ2 7EW7-S1P1-SEW2871-Gi1/β1/γ2
12.50Consensussecretin_on_gpOrthosteric Ligand7D3S-Secretin-Secretin-Gs/β1/γ2
12.12Single6IGLIRL16206IGL-ETB-IRL1620
12.12Single6LMLGlucagon6LML-Glucagon-Glucagon-Gi1/β1/γ1
12.12Single6NBHLA-PTH Analog6NBH-PTH1-LA-PTH Analog-Gs/β1/γ2
12.12Single6PB1Urocortin6PB1-CRF2-Urocortin-chim(NtGi1-Gs)/β1/γ2
12.12Single6UUSAdrenomedullin6UUS-CT Like (AM2)-Adrenomedullin-Gs/β1/γ2; RAMP3
12.12Single6WZGSecretin6WZG-Secretin-Secretin-Gs/β1/γ2
12.12Single7D68GLP-27D68-GLP-2-GLP-2-Gs/β1/γ2
12.12Single7QBCAlpha-factor mating pheromone7QBC-STE2; STE2-α-factor mating pheromone
12.12Single8F0KPramlintide Analogue San3858F0K-CT (AMY3)-Pramlintide Analogue San385-Gs/β1/γ2; RAMP3
12.12Single8IY5Endothelin-18IY5-ETB-Endothelin-1-Gi1/β1/γ2
12.12Single8WWNMCH8WWN-MCH1-MCH-Gi1/β1/γ2
12.12Consensusendothelin_onOrthosteric Ligandetb_on eta_on
12.12Consensuspth1_onOrthosteric Ligand6NBF-PTH1-LA-PTH Analog-Gs/β1/γ2 8HA0-PTH1-PTH-chim(NtGi1-Gs)/β1/γ2 8HAF-PTH1-PTHrP(1-36)-chim(NtGi1-Gs)/β1/γ2 7Y36-PTH1-PTH-Gs/β1/γ2 7Y35-PTH1-Abaloparatide-Gs/β1/γ2
12.12Consensusvpac2_onOrthosteric Ligand7VQX-VPAC1-PACAP27-Gs/β1/γ2
12.12Consensusvpac2_on_gpOrthosteric Ligand7VQX-VPAC1-PACAP27-Gs/β1/γ2
12.00Single4NC3Ergotamine4NC3-5-HT2B-Ergotamine
12.00Single4OR2FITM4OR2-mGlu1; mGlu1-FITM
12.00Single4RWSvMIP-II4RWS-CXCR4-vMIP-II
12.00Single5UNGPubChem 157800525UNG-AT2-PubChem 15780052
12.00Single5X93K-87945X93-ETB-K-8794
12.00Single6BQGErgotamine6BQG-5-HT2C-Ergotamine
12.00Single7EVZCenerimod7EVZ-S1P1-Cenerimod-Gi1/β1/γ2
12.00Single7JVRBromoergocryptine7JVR-D2-Bromoergocryptine-Gi1/β1/γ2
12.00Single7LLLExendin-47LLL-GLP-1-Exendin-4-Gs/β1/γ2
12.00Single7MTSADX551647MTS-mGlu2; mGlu2-Glutamate-ADX55164-Gi1/β1/γ2
12.00Single7P00Substance-P7P00-NK1-Substance-P-chim(NtGi1-Gs-CtGq)/β1/γ2
12.00Single7PIUSetmelanotide7PIU-MC4-Setmelanotide-Gs/β1/γ2
12.00Single7QVMOxytocin7QVM-OT-Oxytocin-chim(NtGi1-Go-CtGq)/β1/γ2
12.00Single7SK7CCX6627SK7-ACKR3-CXCL12-CCX662
12.00Single7SK8CCX6627SK8-ACKR3-CXCL12-CCX662
12.00Single7VGY2-Iodomelatonin7VGY-MT1-2-Iodomelatonin-Gi1/β1/γ2
12.00Single7VVNPTH7VVN-PTH1-PTH-Gs/β1/γ2
12.00Single7X1UTRH7X1U-TRH-TRH-chim(NtGi2L-Gs-CtGq)/β1/γ2
12.00Single7X2DTavapadon7X2D-D1-Tavapadon-Gs/β1/γ2
12.00Single7X8RBOC57X8R-GLP-1-BOC5-Gs/β1/γ2
12.00Single7Y27Somatostatin-147Y27-SST2-Somatostatin-14-chim(NtGi2L-Gs-CtGq)/β1/γ2
12.00Single7Y65C5a (C-terminal peptide)7Y65-C5a1-C5a (C-terminal peptide)-Gi1/β1/γ2
12.00Single7YU8ONO-07405567YU8-LPA1-ONO-0740556-Gi1/β1/γ2
12.00Single8GUTLEI-1028GUT-CB2-LEI-102-Gi1/β1/γ2
12.00Single8HN1Toxin AdTx18HN1-Alpha1A-Toxin AdTx1
12.00Single8I95EP548I95-C3aB-EP54-Go/β1/γ2
12.00Single8IYSTUG-8918IYS-FFA4-TUG-891-GDP-chim(NtGi1L-Gq)/β1/γ2
12.00Single8K2XCXCL108K2X-CXCR3-CXCL10-Gi1/β1/γ2
12.00Single8S2TIsoprenaline8S2T-β1-Isoprenaline-chim(NtGi1-Gs)/β1/γ2
12.00Single8XIOL7975918XIO-SST1-L797591-chim(NtGi1-Gs-CtGi1)/β1/γ2
12.00Single8ZPLHF511168ZPL-CXCR4-HF51116
12.00Single9AS02-bromo-LSD9AS0-5-HT2A-2-bromo-LSD-chim(NtGi1-Gs-CtGq)/β1/γ2
12.00Single9DYEBuspirone9DYE-5-HT1A-Buspirone-PtdIns4P-Go/β1/γ2
12.00Single9EAILosartan9EAI-AT1-Losartan-Nanobody AT209
12.00Single9IZFLPA9IZF-LPA1-LPA-Gi1/β1/γ2
12.00Single9KWXC5a-des-Arg9KWX-C5a1-C5a-des-Arg-Go/β1/γ2
12.00Single9L79AR2314539L79-GPR119-AR231453-chim(NtGi1-Gs)/β1/γ2
12.00Single9UYHChemerin-99UYH-CML2-Chemerin-9-Arrestin2
12.00Single9UYMChemerin-99UYM-CML2-Chemerin-9-chim(Arrestin3-CtArrestin2)
12.00Single9WP9S1P9WP9-S1P3-S1P-chim(NtGi2L-Gs-CtGq)/β1/γ2
12.00Consensusc3a_on_gpOrthosteric Ligand8HK2-C3aB-C3a-Gi1/β1/γ2 8IA8-C3aB-E7 peptide-Gi1/β1/γ2
12.00Consensuscck_onOrthosteric Ligandccka_on cckb_on
12.00Consensuscck_on_gpOrthosteric Ligandccka_on_gp cckb_on_gp
12.00Consensusd2_offOrthosteric Ligand6CM4-D2-Risperidone 6LUQ-D2-Haloperidol 7DFP-D2-Spiperone
12.00Consensusendothelin_offOrthosteric Ligandetb_off
12.00Consensusetb_offOrthosteric Ligand5X93-ETB-K-8794 5XPR-ETB-Bosentan 6K1Q-ETB-IRL2500
12.00Consensusgi_s1pOrthosteric Ligand7VIE-S1P1-S1P-Gi1/β1/γ2 7EW3-S1P3-S1P-Gi1/β1/γ2 7EVY-S1P1-Siponimod-Gi1/β1/γ2 7EW1-S1P5-Siponimod-Gi1/β1/γ2 7VIF-S1P1-FTY720-P-Gi1/β1/γ2 7VIG-S1P1-CBP-307-Gi1/β1/γ2 7EVZ-S1P1-Cenerimod-Gi1/β1/γ2 7EW4-S1P3-CYM-5541-Gi1/β1/γ2 7EW2-S1P3-FTY720-P-Gi1/β1/γ2 7EW0-S1P1-Ozanimod-Gi1/β1/γ2 7EW7-S1P1-SEW2871-Gi1/β1/γ2
12.00Consensuskop_on_gpOrthosteric Ligand8F7W-κ-Dynorphin-Gi1/β1/γ2 8DZS-κ-GR89,696-chim(NtGi2-Gz)/β1/γ2 8DZP-κ-momSalB-Gi1/β1/γ2
12.00Consensusnk1_onOrthosteric Ligand7P00-NK1-Substance-P-chim(NtGi1-Gs-CtGq)/β1/γ2
12.00Consensusnk1_on_gpOrthosteric Ligand7P00-NK1-Substance-P-chim(NtGi1-Gs-CtGq)/β1/γ2
12.00Consensusnucleotide_on_gpOrthosteric Ligandadenosine_on_gp p2y_on_gp
11.76Single2HPYAll-trans-Retinal2HPY-Rhodopsin-All-trans-Retinal
11.76Single3OE8IT1t3OE8-CXCR4-IT1t
11.76Single5GLHEndothelin-15GLH-ETB-Endothelin-1
11.76Single6IGKEndothelin-36IGK-ETB-Endothelin-3
11.76Single7DD5Ca; Ca; Tryptophan; NPS-21437DD5-CaS; CaS-Ca-Ca; Ca; Tryptophan; NPS-2143
11.76Single7DUQGLP-17DUQ-GLP-1-GLP-1-PubChem 156022738-Gs/β1/γ2
11.76Single7MTBAll-trans-Retinal7MTB-Rhodopsin-All-trans-Retinal-GRK1
11.76Single8A2OTheophylline8A2O-A2A-Theophylline-Na
11.76Single8IWM2-Phenylethylamine8IWM-TAA9-2-Phenylethylamine
11.76Single8U1UCCL18U1U-CCR8-CCL1-Gi1/β1/γ2
11.76Single8XOFLys058XOF-GPR30-Lys05-chim(NtGi1-Gs-CtGq)/β1/γ2
11.76Single9C2FCa; Ca; Tryptophan; '54149; PO49C2F-CaS; CaS-Ca-Ca; Ca; Tryptophan; '54149; PO4
11.76Single9CHUNorepinephrine9CHU-β2-Norepinephrine
11.76Single9EE9Adenosine9EE9-A2A-Adenosine-Gs/β1/γ2
11.76Single9L0HJR14a9L0H-C3aB-JR14a-Go/β1/γ2
11.76Consensusbb2_onOrthosteric Ligand7W40-BB2-Bombesin-chim(NtGi1L-Gq)/β1/γ2 7W3Z-BB2-Gastrin Releasing Peptide-chim(NtGi1L-Gq)/β1/γ2
11.76Consensusbb2_on_gpOrthosteric Ligand7W40-BB2-Bombesin-chim(NtGi1L-Gq)/β1/γ2 7W3Z-BB2-Gastrin Releasing Peptide-chim(NtGi1L-Gq)/β1/γ2
11.76Consensusbombesin_onOrthosteric Ligandbb2_on
11.76Consensusbombesin_on_gpOrthosteric Ligandbb2_on_gp
11.76Consensusccr5_on_gpOrthosteric Ligand7O7F-CCR5-6P4-CCL5-Gi1/β1/γ1 7F1Q-CCR5-CCL3-Gi1/β1/γ2
11.76Consensusclass-a_class-b1_cons_onOrthosteric Ligandclass-a_on class-b1_on
11.76Consensuscrf1_onOrthosteric Ligand6PB0-CRF1-Urocortin-chim(NtGi1-Gs)/β1/γ2 6P9X-CRF1-Corticoliberin-1-Gs/β1/γ2
11.76Consensusgi_endothelinOrthosteric Ligand8IY5-ETB-Endothelin-1-Gi1/β1/γ2 8HBD-ETB-IRL1620-Gi1/β1/γ2
11.76Consensusgip_onOrthosteric Ligand7FIN-GIP-Peptide-20; GGL-Gs/β1/γ2 7FIY-GIP-Tirzepatide-Gs/β1/γ2 7DTY-GIP-GIP-Gs/β1/γ2
11.76Consensusgip_on_gpOrthosteric Ligand7FIN-GIP-Peptide-20; GGL-Gs/β1/γ2 7FIY-GIP-Tirzepatide-Gs/β1/γ2 7DTY-GIP-GIP-Gs/β1/γ2
11.76Consensusgq_bombesinOrthosteric Ligand7W40-BB2-Bombesin-chim(NtGi1L-Gq)/β1/γ2 7W3Z-BB2-Gastrin Releasing Peptide-chim(NtGi1L-Gq)/β1/γ2
11.76Consensusopsins_onOrthosteric Ligandrhodopsin_on opsin1lw_on
11.76Consensussensory_onOrthosteric Ligandopsins_on
11.54Single5VBLAMG3054 5VBL-Apelin-AMG3054
11.54Single7AUESetmelanotide7AUE-MC4-Setmelanotide-chim(NtGi1L-Gs)/β1/γ2
11.54Single7RMGSubstance-P7RMG-NK1-Substance-P-chim(Gs-CtGq)/β1/γ2
11.54Single7RMHSubstance-P7RMH-NK1-Substance-P-Gs/β1/γ2
11.54Single7T11Octreotide7T11-SST2-Octreotide-Gi3/β1/γ2
11.54Single7X8SWB4-247X8S-GLP-1-WB4-24-Gs/β1/γ2
11.54Single7XBXCX3CL17XBX-CX3CR1-CX3CL1-Gi1/β1/γ2
11.54Single7XN9L-0545227XN9-SST2-L-054522
11.54Single7YAEOctreotide7YAE-SST2-Octreotide-Gi1/β1/γ2
11.54Single8QJ2pN1628QJ2-MC4-pN162-Gs/β1/γ2
11.54Single8XQLCholesterol8XQL-TAS2R14-Cholesterol-Aristolochic acid A-Gt3/β1/γ1
11.54Single8XX6CXCL88XX6-CXCR2-CXCL8-Go/β1/γ2
11.54Single9EAJNanobody AT2099EAJ-AT1-Nanobody AT209
11.54Single9IPVJR14a9IPV-C3aB-JR14a-Gi1/β1/γ2
11.54Single9IPYJR14a9IPY-C3aB-JR14a
11.54Single9MD1Buspirone9MD1-5-HT1A-Buspirone-PtdIns4P-Gz/β1/γ2
11.54Single9V2NMacimorelin9V2N-Ghrelin-Macimorelin-chim(NtGi1-Gs-CtGq)/β1/γ2
11.54Consensuscxcr4_offOrthosteric Ligand4RWS-CXCR4-vMIP-II 3OE0-CXCR4-CVX15 3OE6-CXCR4-IT1t
11.54Consensusgq_cckOrthosteric Ligand8IA7-CCKB-Cholecystokinin-8-chim(NtGi1L-Gq)/β1/γ2 7XOW-CCKB-Sulfated Gastrin-(10-17)-chim(NtGi1-Gq)/β1/γ2 7EZM-CCKA-Cholecystokinin-8-chim(NtGsL-Gq)/β1/γ2 7F8W-CCKB-Gastrin-17-chim(NtGsL-Gq)/β1/γ2
11.54Consensusnmur1_onOrthosteric Ligand7W53-NMUR1-Neuromedin-U-25-chim(NtGi1-Gs-CtGq)/β1/γ2
11.54Consensusox2_onOrthosteric Ligand7L1V-OX2-PubChem 155491009-chim(NtGi1-Gs-CtGq)/β1/γ2 7SQO-OX2-TAK-925-Gi1/β1/γ2 7L1U-OX2-Orexin-chim(NtGi1-Gs-CtGq)/β1/γ2
11.54Consensusox2_on_gpOrthosteric Ligand7L1V-OX2-PubChem 155491009-chim(NtGi1-Gs-CtGq)/β1/γ2 7SQO-OX2-TAK-925-Gi1/β1/γ2 7L1U-OX2-Orexin-chim(NtGi1-Gs-CtGq)/β1/γ2
11.54Consensuss1p_onOrthosteric Ligands1p1_on s1p3_on s1p5_on
11.54Consensuss1p_on_gpOrthosteric Ligands1p1_on_gp s1p3_on_gp s1p5_on_gp
11.43Single6LPBPACAP276LPB-PAC1-PACAP27-Gs/β1/γ1
11.43Single7TZFAmylin7TZF-CT (AMY3)-Amylin-Gs/β1/γ2; RAMP3
11.43Single7VBHPeptide-207VBH-GLP-1-Peptide-20-Gs/β1/γ2
11.43Single8F2APramlintide Analogue San3858F2A-CT (AMY3)-Pramlintide Analogue San385-Gs/β1/γ2; RAMP3
11.43Consensusendothelin_on_gpOrthosteric Ligandetb_on_gp eta_on_gp
11.43Consensusetb_on_gpOrthosteric Ligand8IY5-ETB-Endothelin-1-Gi1/β1/γ2 8HBD-ETB-IRL1620-Gi1/β1/γ2
11.11Single3C9M11-cis-Retinal3C9M-Rhodopsin-11-cis-Retinal
11.11Single3PQRAll-trans-Retinal3PQR-Rhodopsin-All-trans-Retinal-Gt(CT)
11.11Single3UZAGTPL92363UZA-A2A-GTPL9236
11.11Single4IB4Ergotamine4IB4-5-HT2B-Ergotamine
11.11Single4XT1CX3CL14XT1-US28-CX3CL1
11.11Single5UNFPubChem 157800525UNF-AT2-PubChem 15780052
11.11Single6D32Cyclopamine6D32-SMO-Cyclopamine-Cyclopamine
11.11Single6FUFAll-trans-Retinal6FUF-Rhodopsin-All-trans-Retinal-Go
11.11Single6LRYSarafotoxin-B6LRY-ETB-Sarafotoxin-B
11.11Single6WPWZP37806WPW-Glucagon-ZP3780-Gs/β1/γ2
11.11Single6X19CHU-1286X19-GLP-1-CHU-128-Gs/β1/γ2
11.11Single7DD7Ca; Ca; Tryptophan; Evocalcet7DD7-CaS; CaS-Ca-Ca; Ca; Tryptophan; Evocalcet
11.11Single7F4ISHU91197F4I-MC1-SHU9119-chim(NtGi1-Gs)/β1/γ2
11.11Single7MT9All-trans-Retinal7MT9-Rhodopsin-All-trans-Retinal-GRK1
11.11Single7MTAAll-trans-Retinal7MTA-Rhodopsin-All-trans-Retinal-GRK1
11.11Single7NA7Ghrelin7NA7-Ghrelin-Ghrelin-Gi1/β1/γ2
11.11Single7V35Peptide-207V35-Glucagon-Peptide-20-Gs/β1/γ2
11.11Single7W2ZGhrelin7W2Z-Ghrelin-Ghrelin-Go/β1/γ2
11.11Single7W53Neuromedin-U-257W53-NMUR1-Neuromedin-U-25-chim(NtGi1-Gs-CtGq)/β1/γ2
11.11Single7WC5Psilocin7WC5-5-HT2A-Psilocin
11.11Single7WICSomatostatin-147WIC-SST2-Somatostatin-14-Gi1/β1/γ2
11.11Single7WVWfMYFINILTL7WVW-FPR2-ALX-fMYFINILTL-Gi2/β1/γ2
11.11Single7XAUOctreotide7XAU-SST2-Octreotide-Gi1/β1/γ2
11.11Single7XMRSomatostatin-147XMR-SST2-Somatostatin-14-Gi1/β1/γ2
11.11Single8G59TUG-8918G59-FFA4-TUG-891-chim(Gi1-CtGq)/β1/γ2
11.11Single8GGEConstrained Epinephrine8GGE-β2-Constrained Epinephrine-GTP-Gs/β1/γ2
11.11Single8GGFConstrained Epinephrine8GGF-β2-Constrained Epinephrine-GTP-Gs/β1/γ2
11.11Single8GH1Constrained Epinephrine8GH1-β2-Constrained Epinephrine
11.11Single8INRAlpha-MSH8INR-MC5-α-MSH-Ca-chim(NtGi1-Gs)/β1/γ2
11.11Single8IU2All-trans-Retinal8IU2-Opsin1LW-All-trans-Retinal-Gi1/β1/γ2
11.11Single8JIPMEDI03828JIP-GLP-1-MEDI0382-chim(NtGi1-Gs)/β1/γ2
11.11Single8JIQPeptide-158JIQ-Glucagon-Peptide-15-Gs/β1/γ2
11.11Single8JIRSAR4258998JIR-GLP-1-SAR425899-chim(NtGi1-Gs)/β1/γ2
11.11Single8KIGSHU91198KIG-MC3-SHU9119-Ca
11.11Single8PKMBefiradol8PKM-5-HT1A-Befiradol-Gi1/β1/γ1
11.11Single8RQLFlufenamic acid8RQL-TAS2R14-Flufenamic acid-Flufenamic acid-chim(NtGi1-Gt3)/β1/γ2
11.11Single8XGMChemerin8XGM-CML2-Chemerin-Gi1/β1/γ2
11.11Single8XWNCXCL88XWN-CXCR2-CXCL8
11.11Single8YWFRetatrutide8YWF-GLP-1-Retatrutide-chim(NtGi1-Gs)/β1/γ2
11.11Single8ZBJSomatostatin-148ZBJ-SST5-Somatostatin-14-Gi1/β1/γ2
11.11Single8ZCJPasireotide8ZCJ-SST5-Pasireotide-Gi1/β1/γ1
11.11Single9BKJCholecystokinin-89BKJ-CCKA-Cholecystokinin-8-chim(NtGi1-Gs-CtGq)/β1/γ2
11.11Single9BUECagrilintide9BUE-CT-Cagrilintide-Gs/β1/γ2
11.11Single9HB3Mambaquaretin-19HB3-V2-Mambaquaretin-1
11.11Single9IV15alpha-DHT9IV1-ADGRD1-5α-DHT-chim(NtGi1-Gs)/β1/γ2
11.11Single9JKT(2R)-2-hydroxy-3-phenylpropanoic acid9JKT-HCA3-(2R)-2-hydroxy-3-phenylpropanoic acid-Gi1/β1/γ2
11.11Single9L3YChemerin9L3Y-CML2-Chemerin-Gi1/β1/γ2
11.11Single9UYJChemerin-99UYJ-CML2-Chemerin-9-Arrestin2
11.11Consensus5ht2_onOrthosteric Ligand5ht2b_on
11.11Consensus5ht2b_onOrthosteric Ligand7SRR-5-HT2B-LSD-chim(NtGi2L-Gs-CtGq)/β1/γ2
11.11Consensuschemerin_on_gpOrthosteric Ligandcml1_on_gp
11.11Consensuscml1_onOrthosteric Ligand7YKD-CML1-Chemerin-9-Gi1/β1/γ2
11.11Consensuscrf1_on_gpOrthosteric Ligand6PB0-CRF1-Urocortin-chim(NtGi1-Gs)/β1/γ2 6P9X-CRF1-Corticoliberin-1-Gs/β1/γ2
11.11Consensusgi_chemerinOrthosteric Ligand7YKD-CML1-Chemerin-9-Gi1/β1/γ2
11.11Consensusgi_nucleotideOrthosteric Ligandgi_adenosine gi_p2y
11.11Consensusgi_opsinsOrthosteric Ligand8IU2-Opsin1LW-All-trans-Retinal-Gi1/β1/γ2
11.11Consensusgi_sensoryOrthosteric Ligandgi_opsins
11.11Consensusgs_peptideOrthosteric Ligandgs_cck gs_melanocortin gs_vasop-oxy
11.11Consensuslpl_onOrthosteric Ligands1p_on lpa_on
11.11Consensuslpl_on_gpOrthosteric Ligands1p_on_gp lpa_on_gp
11.11Consensusmc4_onOrthosteric Ligand7AUE-MC4-Setmelanotide-chim(NtGi1L-Gs)/β1/γ2 7F58-MC4-THIQ-Gs/β1/γ2 7F54-MC4-Afamelanotide-Gs/β1/γ2 7F53-MC4-α-MSH-Gs/β1/γ2 7F55-MC4-Bremelanotide-Gs/β1/γ2
11.11Consensusnmur1_on_gpOrthosteric Ligand7W53-NMUR1-Neuromedin-U-25-chim(NtGi1-Gs-CtGq)/β1/γ2
11.11Consensusopsin1lw_onOrthosteric Ligand8IU2-Opsin1LW-All-trans-Retinal-Gi1/β1/γ2
11.11Consensusopsin1lw_on_gpOrthosteric Ligand8IU2-Opsin1LW-All-trans-Retinal-Gi1/β1/γ2
11.11Consensusopsins_on_gpOrthosteric Ligandrhodopsin_on_gp opsin1lw_on_gp
11.11Consensuspth1_on_gpOrthosteric Ligand6NBF-PTH1-LA-PTH Analog-Gs/β1/γ2 8HA0-PTH1-PTH-chim(NtGi1-Gs)/β1/γ2 8HAF-PTH1-PTHrP(1-36)-chim(NtGi1-Gs)/β1/γ2 7Y36-PTH1-PTH-Gs/β1/γ2 7Y35-PTH1-Abaloparatide-Gs/β1/γ2
11.11Consensusrhodopsin_onOrthosteric Ligand6OYA-Rhodopsin-All-trans-Retinal-Gt/β1/γ1
11.11Consensussensory_on_gpOrthosteric Ligandopsins_on_gp
10.81Single7TYOCalcitonin7TYO-CT-Calcitonin-Gs/β1/γ2
10.81Single8JITMEDI03828JIT-Glucagon-MEDI0382-Gs/β1/γ2
10.81Single8JIUSAR4258998JIU-Glucagon-SAR425899-Gs/β1/γ2
10.81Consensusclass-a_class-b1_cons_on_gpOrthosteric Ligandclass-a_on_gp class-b1_on_gp
10.71Single6WHCGlu16 analog of GCG6WHC-Glucagon-Glu16 analog of GCG-Gs/β1/γ2
10.71Single7DDZJNJ-310200287DDZ-Y2-JNJ-31020028
10.71Single7E14Orforglipron7E14-GLP-1-Orforglipron-PubChem 156022738-Gs/β1/γ2
10.71Single7PIVAfamelanotide7PIV-MC4-Afamelanotide-Gs/β1/γ2
10.71Single7RMISubstance-P7RMI-NK1-Substance-P-chim(Gs-CtGq)/β1/γ2
10.71Single7SK5CXCL127SK5-ACKR3-CXCL12
10.71Single7TRYUrocortin7TRY-CRF2-Urocortin-chim(NtGi1-G11)/β1/γ2
10.71Single7XNACYN1548067XNA-SST2-CYN154806
10.71Single8F7QBeta-Endorphin8F7Q-μ-β-Endorphin-Gi1/β1/γ2
10.71Single8F7SDeltorphin8F7S-δ-Deltorphin-Gi1/β1/γ2
10.71Single8JBHSubstance-P8JBH-NK3-Substance-P-chim(NtGi1-Gs-CtGq)/β1/γ2
10.71Single8WSSMCH8WSS-MCH1-MCH-Gi1/β1/γ1
10.71Single8XYDPlatelet Activating Factor8XYD-PAF-Platelet Activating Factor-Gi1/β1/γ2
10.71Single9EAINanobody AT2099EAI-AT1-Losartan-Nanobody AT209
10.71Single9IQSMuscarinic toxin 39IQS-M4-Muscarinic toxin 3
10.71Single9L60Dynorphin9L60-κ-Dynorphin-MPAM-15-Gi1/β1/γ2
10.71Single9ME1CXCL129ME1-CXCR4-CXCL12
10.71Single9UMXEP549UMX-C5a1-EP54-Go/β1/γ2
10.71Consensuscckb_onOrthosteric Ligand8IA7-CCKB-Cholecystokinin-8-chim(NtGi1L-Gq)/β1/γ2 7XOW-CCKB-Sulfated Gastrin-(10-17)-chim(NtGi1-Gq)/β1/γ2 7F8V-CCKB-Gastrin-17-Gi2/β1/γ2
10.71Consensusccr8_on_gpOrthosteric Ligand8KFX-CCR8-LMD-009-Gi1/β1/γ2 8KFY-CCR8-ZK-756326-Gi1/β1/γ2 8U1U-CCR8-CCL1-Gi1/β1/γ2
10.71Consensusdop_on_gpOrthosteric Ligand8F7S-δ-Deltorphin-Gi1/β1/γ2
10.71Consensusgi_cckOrthosteric Ligand7EZH-CCKA-Cholecystokinin-8-Gi1/β1/γ2 7F8V-CCKB-Gastrin-17-Gi2/β1/γ2
10.71Consensusmc5_onOrthosteric Ligand8INR-MC5-α-MSH-Ca-chim(NtGi1-Gs)/β1/γ2 8IOD-MC5-PG-901-Ca-chim(NtGi1-Gs)/β1/γ2
10.71Consensusnpy2_offOrthosteric Ligand7DDZ-Y2-JNJ-31020028
10.71Consensuss1p3_on_gpOrthosteric Ligand7EW3-S1P3-S1P-Gi1/β1/γ2 7EW4-S1P3-CYM-5541-Gi1/β1/γ2 7EW2-S1P3-FTY720-P-Gi1/β1/γ2
10.71Consensussst2_offOrthosteric Ligand7XNA-SST2-CYN154806
10.71Consensussst4_onOrthosteric Ligand7XMS-SST4-Somatostatin-14-Gi1/β1/γ2 7XMT-SST4-J-2156-Gi1/β1/γ2
10.71Consensussst4_on_gpOrthosteric Ligand7XMS-SST4-Somatostatin-14-Gi1/β1/γ2 7XMT-SST4-J-2156-Gi1/β1/γ2
10.53Single1L9H11-cis-Retinal1L9H-Rhodopsin-11-cis-Retinal
10.53Single1U1911-cis-Retinal1U19-Rhodopsin-11-cis-Retinal
10.53Single2G87All-trans-Retinal2G87-Rhodopsin-All-trans-Retinal
10.53Single2I3511-cis-Retinal2I35-Rhodopsin-11-cis-Retinal
10.53Single3PBLEticlopride3PBL-D3-Eticlopride
10.53Single4O9RCyclopamine4O9R-SMO-Cyclopamine
10.53Single5TE520-Methanoretinal5TE5-Rhodopsin-20-Methanoretinal
10.53Single6QNOAll-trans-Retinal6QNO-Rhodopsin-All-trans-Retinal-Gi1/β1/γ1
10.53Single7DD7Ca; Ca; Tryptophan; Evocalcet7DD7-CaS; CaS-Ca-Ca; Ca; Tryptophan; Evocalcet
10.53Single7DFLHistamine7DFL-H1-Histamine-chim(NtGi1L-Gq)/β1/γ2
10.53Single7E2YSerotonin7E2Y-5-HT1A-Serotonin-PtdIns4P-Gi1/β1/γ2
10.53Single7SRQLSD7SRQ-5-HT2B-LSD
10.53Single7TRPLY20332987TRP-M4-Iperoxo-LY2033298-Gi1/β1/γ2
10.53Single7XT9Serotonin7XT9-5-HT4-Serotonin-Gs/β1/γ2
10.53Single7XTASerotonin7XTA-5-HT4-Serotonin-Gi1/β1/γ2
10.53Single8DPFLorcaserin8DPF-5-HT2C-Lorcaserin-chim(NtGi2L-Gs-CtGq)/β1/γ2
10.53Single8FX5Xanomeline8FX5-M4-Xanomeline-Xanomeline-Gi1/β1/γ2
10.53Single8GGYConstrained Epinephrine8GGY-β2-Constrained Epinephrine
10.53Single8JPNCis-Epoxysuccinic acid8JPN-Succinate-Cis-Epoxysuccinic acid-Gi1/β1/γ1
10.53Single8RWHStilSwitch28RWH-A2A-StilSwitch2-Na
10.53Single8U4RREGN7663-Fab8U4R-CXCR4-REGN7663-Fab
10.53Single8UO3Constrained Epinephrine8UO3-β2-Constrained Epinephrine-GTP; Mg-Gs/β1/γ2
10.53Single8WP1Cis-Epoxysuccinic acid8WP1-Succinate-Cis-Epoxysuccinic acid-Gi1/β1/γ2
10.53Single8WPUTryptophan; Cinacalcet; PO4; Ca8WPU-CaS; CaS-Tryptophan; Cinacalcet; PO4; Ca-chim(NtGi2L-Gs-CtGq)/β1/γ2
10.53Single8YN4Histamine8YN4-H2-Histamine-chim(NtGi1L-Gs-CtGq)/β1/γ2
10.53Single9C1PCa; Tryptophan; '6218; PO49C1P-CaS; CaS-Ca-Ca; Tryptophan; '6218; PO4
10.53Single9IJEEpinephrine9IJE-β3-Epinephrine-chim(NtGi1-Gs)/β1/γ2
10.53Single9IXJHistamine9IXJ-H2-Histamine-Gs/β1/γ2
10.53Single9KUWCMPD6449KUW-Apelin; Apelin-CMPD644-Arrestin2 ; Arrestin2
10.53Single9L3ZLRH7-C29L3Z-CML1-LRH7-C2
10.53Consensus5ht4_onOrthosteric Ligand7XTA-5-HT4-Serotonin-Gi1/β1/γ2
10.53Consensus5ht4_on_gpOrthosteric Ligand7XTA-5-HT4-Serotonin-Gi1/β1/γ2
10.53Consensusadgrg_onOrthosteric Ligandadgrg2_on adgrg4_on
10.53Consensusadgrg_on_gpOrthosteric Ligandadgrg2_on_gp adgrg4_on_gp
10.53Consensusd3_offOrthosteric Ligand3PBL-D3-Eticlopride
10.53Consensush1_onOrthosteric Ligand7DFL-H1-Histamine-chim(NtGi1L-Gq)/β1/γ2
10.53Consensuspth_onOrthosteric Ligandpth1_on pth2_on
10.34Single6LW5WKYMVm6LW5-FPR2-ALX-WKYMVm
10.34Single6PT2KGCHM076PT2-δ-KGCHM07
10.34Single6VN7PACAP276VN7-VPAC1-PACAP27-Gs/β1/γ2
10.34Single7F4DAlpha-MSH7F4D-MC1-α-MSH-chim(NtGi1-Gs)/β1/γ2
10.34Single7XOUCholecystokinin-87XOU-CCKA-Cholecystokinin-8-Gs/β1/γ2
10.34Single8WKZSBL-MC-318WKZ-MC4-SBL-MC-31
10.34Single8XIRPasireotide8XIR-SST3-Pasireotide-chim(NtGi1-Gs-CtGi1)/β1/γ2
10.34Single8XZGApelin-138XZG-Apelin; Apelin-Apelin-13-Gi1/β1/γ2
10.34Single9IVMGLP-1 (Truncated)9IVM-GLP-1-GLP-1 (Truncated)-LSN3318839-chim(NtGi1-Gs)/β2/γ2
10.34Single9K27PrRP319K27-PrRP-PrRP31-chim(NtGi1-Gq)/β1/γ2
10.34Single9M1ONeuropeptide-FF9M1O-NPFF2-Neuropeptide-FF-Gi1/β1/γ2
10.34Single9MEUCXCL129MEU-CXCR4-CXCL12
10.34Single9UYIChemerin-99UYI-CML2-Chemerin-9-Arrestin2
10.34Consensuscckb_on_gpOrthosteric Ligand8IA7-CCKB-Cholecystokinin-8-chim(NtGi1L-Gq)/β1/γ2 7XOW-CCKB-Sulfated Gastrin-(10-17)-chim(NtGi1-Gq)/β1/γ2 7F8V-CCKB-Gastrin-17-Gi2/β1/γ2
10.34Consensusgs_class-aOrthosteric Ligandgs_peptide gs_nucleotide gs_amine
10.34Consensuspeptide_offonOrthosteric Ligandpeptide_off peptide_on
10.00Single1GZM11-cis-Retinal1GZM-Rhodopsin-11-cis-Retinal
10.00Single2PED9-cis-Retinal2PED-Rhodopsin-9-cis-Retinal
10.00Single2X72All-trans-Retinal2X72-Rhodopsin-All-trans-Retinal-Gt(CT)
10.00Single3C9L11-cis-Retinal3C9L-Rhodopsin-11-cis-Retinal
10.00Single3VG9ZM-2413853VG9-A2A-ZM-241385-Antibody
10.00Single3VGAZM-2413853VGA-A2A-ZM-241385-Antibody
10.00Single4MQTLY21196204MQT-M2-Iperoxo-LY2119620
10.00Single4QINSAG1.54QIN-SMO-SAG1.5
10.00Single5K2DZM-2413855K2D-A2A-ZM-241385-Na
10.00Single5OLHVipadenant5OLH-A2A-Vipadenant-Na
10.00Single5OLOTozadenant5OLO-A2A-Tozadenant-Na
10.00Single6AKXA4R6AKX-CCR5-A4R
10.00Single6AKYMaraviroc6AKY-CCR5-Maraviroc
10.00Single6B73MP11046B73-κ-MP1104
10.00Single6JODAngiotensin II6JOD-AT2-Angiotensin II
10.00Single6JZHZM-2413856JZH-A2A-ZM-241385-Na
10.00Single6M1IPACAP276M1I-PAC1-PACAP27-Gs/β1/γ2
10.00Single6O3CSAG21k6O3C-SMO-SAG21k-Cholesterol
10.00Single6OBAAlprenolol6OBA-β2-Alprenolol-GTPL11074
10.00Single6PS7ZM-2413856PS7-A2A-ZM-241385-Na
10.00Single6RNKNF-56-EJ406RNK-Succinate-NF-56-EJ40
10.00Single7DW9AVP7DW9-V2-AVP-chim(NtGi1-Gs)/β1/γ2
10.00Single7F16TIP397F16-PTH2-TIP39-Gs/β1/γ2
10.00Single7F1ODopamine7F1O-D1-Dopamine-GDP; Mg-Gs/β1/γ2
10.00Single7F4HAfamelanotide7F4H-MC1-Afamelanotide-chim(NtGi1-Gs)/β1/γ2
10.00Single7F8ULintitript7F8U-CCKA-Lintitript
10.00Single7FINPeptide-20; GGL7FIN-GIP-Peptide-20; GGL-Gs/β1/γ2
10.00Single7LJDDopamine7LJD-D1-Dopamine-Mevidalen-Gs/β1/γ1
10.00Single7M3ECa; Ca; Tryptophan; NPS-21437M3E-CaS; CaS-Ca; Ca; Tryptophan; NPS-2143
10.00Single7M3ECa; Ca; Tryptophan; NPS-21437M3E-CaS; CaS-Ca; Ca; Tryptophan; NPS-2143
10.00Single7M3FCa; Ca; Tryptophan; Cinacalcet7M3F-CaS; CaS-Ca; Ca; Tryptophan; Cinacalcet
10.00Single7SILCa; Ca; Ca; Cyclomethyltryptophan; R-568; PO47SIL-CaS; CaS-Ca-Ca; Ca; Ca; Cyclomethyltryptophan; R-568; PO4
10.00Single7SILCa; Ca; Ca; Cyclomethyltryptophan; R-568; PO47SIL-CaS; CaS-Ca-Ca; Ca; Ca; Cyclomethyltryptophan; R-568; PO4
10.00Single7SRRLSD7SRR-5-HT2B-LSD-chim(NtGi2L-Gs-CtGq)/β1/γ2
10.00Single7SRSLSD7SRS-5-HT2B-LSD-Arrestin2
10.00Single7TUZ7-alpha,25-dihydroxycholesterol7TUZ-GPR183-7-α,25-dihydroxycholesterol-Gi1/β1/γ2
10.00Single7V9MSomatoliberin7V9M-GHRH (SV1)-Somatoliberin-Gs/β1/γ2
10.00Single7VDLCortistatin-147VDL-MRGPRX2-Cortistatin-14-Gi1/β1/γ2
10.00Single7W0OElabela7W0O-Apelin-Elabela-Gi1/β1/γ2
10.00Single7W40Bombesin7W40-BB2-Bombesin-chim(NtGi1L-Gq)/β1/γ2
10.00Single7XK8Neuromedin-U-257XK8-NMUR2-Neuromedin-U-25-Gi1/β1/γ2
10.00Single7XRRLemborexant7XRR-OX2-Lemborexant
10.00Single7XT8Serotonin7XT8-5-HT4-Serotonin-Gs/β1/γ2
10.00Single7YONPeptide-YY(3-36)7YON-Y2-Peptide-YY(3-36)-Gi1/β1/γ2
10.00Single8A6CAll-trans-Retinal8A6C-Rhodopsin-All-trans-Retinal
10.00Single8A6DAll-trans-Retinal8A6D-Rhodopsin-All-trans-Retinal
10.00Single8A6EAll-trans-Retinal8A6E-Rhodopsin-All-trans-Retinal
10.00Single8DU3PubChem 1055260648DU3-A2A-PubChem 105526064
10.00Single8H4KGW95088H4K-FFA4-GW9508-chim(NtGi1-Gs-CtGq)/β1/γ2
10.00Single8H8JLodoxamide8H8J-GPR35-Lodoxamide-Ca-chim(NtGi1L-G13)/β1/γ2
10.00Single8RVWStilSwitch38RVW-A2A-StilSwitch3-Na
10.00Single8RW4AzoSwitch28RW4-A2A-AzoSwitch2-Na
10.00Single8RWEStilSwitch48RWE-A2A-StilSwitch4-Na
10.00Single8TZQDopamine8TZQ-D2-Dopamine-Go/β1/γ2
10.00Single8U4PAMD31008U4P-CXCR4-AMD3100-Gi1/β1/γ2
10.00Single8UNSConstrained Epinephrine8UNS-β2-Constrained Epinephrine-GTP-Gs/β1/γ2
10.00Single8UNTConstrained Epinephrine8UNT-β2-Constrained Epinephrine-GTP-Gs/β1/γ2
10.00Single8WPGTryptophan; Cinacalcet; PO4; Ca8WPG-CaS; CaS-Tryptophan; Cinacalcet; PO4; Ca
10.00Single8XXVIndomethacin8XXV-DP2-Indomethacin-A1D5Q-Gi1/β1/γ2
10.00Single8YW4Retatrutide8YW4-GIP-Retatrutide-chim(NtGi1-Gs)/β1/γ2
10.00Single9AVLCa; Ca; Cyclomethyltryptophan; R-568; PO49AVL-CaS; CaS-Ca-Ca; Ca; Cyclomethyltryptophan; R-568; PO4-Gi3/β2/γ2
10.00Single9BUDCagrilintide9BUD-CT-Cagrilintide-Gs/β1/γ2
10.00Single9C2FCa; Ca; Tryptophan; '54149; PO49C2F-CaS; CaS-Ca-Ca; Ca; Tryptophan; '54149; PO4
10.00Single9EBOGLP-1 (ACPC18)9EBO-GLP-1-GLP-1 (ACPC18)-Gs/β1/γ2
10.00Single9FUPIstradefylline9FUP-A2A-Istradefylline-Na
10.00Single9H2XPubChem 1756706449H2X-A2A-PubChem 175670644-Na
10.00Single9KVHCinobufotenine9KVH-5-HT1A-Cinobufotenine-PtdIns4P-Gi1/β1/γ2
10.00Single9LLBDOI-NBOMe9LLB-5-HT2A-DOI-NBOMe-chim(NtGi1L-Gs-CtGq)/β1/γ2
10.00Single9M88Oleic monoethanolamide9M88-GPR3 ; GPR3-Oleic monoethanolamide-AF64394
10.00Single9PXUNaloxone9PXU-μ-Naloxone-Na
10.00Consensus5ht1e_onOrthosteric Ligand7E33-5-HT1E-BRL-54443-Gi1/β1/γ2 8UGY-5-HT1E-Mianserin-Gi1/β1/γ1 8UH3-5-HT1E-Setiptiline-Gi1/β1/γ1
10.00Consensus5ht2_on_gpOrthosteric Ligand5ht2b_on_gp
10.00Consensus5ht2b_on_gpOrthosteric Ligand7SRR-5-HT2B-LSD-chim(NtGi2L-Gs-CtGq)/β1/γ2
10.00Consensusgs_vasop-oxyOrthosteric Ligand7DW9-V2-AVP-chim(NtGi1-Gs)/β1/γ2
10.00Consensusmc5_on_gpOrthosteric Ligand8INR-MC5-α-MSH-Ca-chim(NtGi1-Gs)/β1/γ2 8IOD-MC5-PG-901-Ca-chim(NtGi1-Gs)/β1/γ2
10.00Consensusneuromedin-u_onOrthosteric Ligandnmur1_on nmur2_on
10.00Consensusorexin_offOrthosteric Ligandox2_off ox1_off
10.00Consensusox2_offOrthosteric Ligand5WQC-OX2-EMPA 6TPN-OX2-HTL6641 7XRR-OX2-Lemborexant 6TPJ-OX2-Suvorexant
10.00Consensuspeptide_offon_gpOrthosteric Ligandpeptide_on_gp peptide_off
10.00Consensusprotein_onOrthosteric Ligandchemokine_on chemerin_on
10.00Consensuspth2_on_gpOrthosteric Ligand7F16-PTH2-TIP39-Gs/β1/γ2
10.00Consensusrhodopsin_offOrthosteric Ligand1U19-Rhodopsin-11-cis-Retinal 2PED-Rhodopsin-9-cis-Retinal 5TE5-Rhodopsin-20-Methanoretinal
10.00Consensussensory_offonOrthosteric Ligandsensory_off sensory_on
10.00Consensussensory_offon_gpOrthosteric Ligandsensory_on_gp sensory_on
10.00Consensustachykinin_onOrthosteric Ligandnk1_on nk2_on nk3_on
10.00Consensusv2_onOrthosteric Ligand7DW9-V2-AVP-chim(NtGi1-Gs)/β1/γ2
10.00Consensusv2_on_gpOrthosteric Ligand7DW9-V2-AVP-chim(NtGi1-Gs)/β1/γ2
10.00Consensusvasop-oxy_onOrthosteric Ligandv2_on
10.00Consensusvasop-oxy_on_gpOrthosteric Ligandv2_on_gp
9.68Single5YQZNNC17025YQZ-Glucagon-NNC1702
9.68Single7F9YGhrelin7F9Y-Ghrelin-Ghrelin-chim(NtGi1-Gs-CtGq)/β1/γ2
9.68Single7LLYOxyntomodulin7LLY-GLP-1-Oxyntomodulin-Gs/β1/γ2
9.68Single7P02Substance-P7P02-NK1-Substance-P-chim(NtGi1-Gs)/β1/γ2
9.68Single7TYHCalcitonin7TYH-CT (AMY2)-Calcitonin-Gs/β1/γ2; RAMP2
9.68Single7X9BNeuropeptide-Y7X9B-Y2-Neuropeptide-Y-Gi1/β1/γ2
9.68Single7X9CPancreatic Hormone7X9C-Y4-Pancreatic Hormone-Gi1/β1/γ2
9.68Single8E3YPACAP278E3Y-VPAC1-PACAP27-Gs/β1/γ2
9.68Single8E3ZVIP8E3Z-VPAC1-VIP-Gs/β1/γ2
9.68Single8HCQEndothelin-18HCQ-ETA-Endothelin-1-chim(NtGi1-Gs-CtGq)/β1/γ2
9.68Single8HK5C5a8HK5-C5a1-C5a-Gi1/β1/γ2
9.68Single8HNKCXCL118HNK-CXCR3-CXCL11-Gi1/β1/γ2
9.68Single8IA2C5a8IA2-C5a1-C5a-Go/β1/γ2
9.68Single8XVIEndothelin-18XVI-ETA-Endothelin-1-chim(Gs-CtGq)/β1/γ2
9.68Single9E2AGLP-19E2A-GLP-1-GLP-1-Gs/β1/γ2
9.68Single9JFYNeuropeptide-SF9JFY-NPFF2-Neuropeptide-SF-Gi1/β1/γ2
9.68Consensuseta_onOrthosteric Ligand8HCQ-ETA-Endothelin-1-chim(NtGi1-Gs-CtGq)/β1/γ2
9.68Consensuseta_on_gpOrthosteric Ligand8HCQ-ETA-Endothelin-1-chim(NtGi1-Gs-CtGq)/β1/γ2
9.68Consensusneuromedin-u_on_gpOrthosteric Ligandnmur1_on_gp nmur2_on_gp
9.68Consensuspac_onOrthosteric Ligandpac1_on
9.52Single3OAX11-cis-Retinal3OAX-Rhodopsin-11-cis-Retinal
9.52Single3REYPubChem 56973REY-A2A-PubChem 5697
9.52Single4DKLBeta-Funaltrexamine4DKL-μ-β-Funaltrexamine
9.52Single4MBSMaraviroc4MBS-CCR5-Maraviroc
9.52Single4MQTIperoxo4MQT-M2-Iperoxo-LY2119620
9.52Single4N6HNaltrindole4N6H-δ-Naltrindole-Na
9.52Single5IU7Q274563465IU7-A2A-Q27456346-Na
9.52Single5JTBZM-2413855JTB-A2A-ZM-241385
9.52Single5K2BZM-2413855K2B-A2A-ZM-241385-Na
9.52Single5NLXZM-2413855NLX-A2A-ZM-241385-Na
9.52Single6IQLL7458706IQL-D4-L745870
9.52Single6ME42-Iodomelatonin6ME4-MT1-2-Iodomelatonin
9.52Single6MH8ZM-2413856MH8-A2A-ZM-241385
9.52Single6PS5Propranolol6PS5-β2-Propranolol
9.52Single6U1NLY21196206U1N-M2-LY2119620-Arrestin2
9.52Single6WH4Methiothepin6WH4-5-HT2A-Methiothepin
9.52Single6XBLSAG6XBL-SMO-SAG-Cholesterol-Gi1/β1/γ2
9.52Single6ZDRHMS1413f126ZDR-A2A-HMS1413f12-Na
9.52Single7BB6AVP7BB6-V2-AVP-Gs/β1/γ2
9.52Single7CKWFenoldopam7CKW-D1-Fenoldopam-Gs/β1/γ2
9.52Single7E33BRL-544437E33-5-HT1E-BRL-54443-Gi1/β1/γ2
9.52Single7F24Dopamine7F24-D1-Dopamine-GDP-Gs/β1/γ2
9.52Single7SR8TAK-9257SR8-OX2-TAK-925-chim(NtGi1L-Gs-CtGq)/β1/γ2
9.52Single7UL3Famotidine7UL3-H2-Famotidine
9.52Single7UTZDPPC7UTZ-TSH-TSH-DPPC-Gs/β1/γ2
9.52Single7WC9PubChem 1624213647WC9-5-HT2A-PubChem 162421364
9.52Single7XXH2MeSADP7XXH-P2Y1-2MeSADP-chim(NtGi1-G11)/β1/γ2
9.52Single7ZBC11-cis-Retinal7ZBC-Rhodopsin-11-cis-Retinal
9.52Single7ZBE11-cis-Retinal7ZBE-Rhodopsin-11-cis-Retinal
9.52Single7ZI0SAG7ZI0-SMO-SAG-Cholesterol
9.52Single8DPGPsilocin8DPG-5-HT2C-Psilocin-chim(NtGi2L-Gs-CtGq)/β1/γ2
9.52Single8F2BPramlintide Analogue San458F2B-CT (AMY3)-Pramlintide Analogue San45-Gs/β1/γ2; RAMP3
9.52Single8FCZ11-cis-Retinal8FCZ-Rhodopsin-11-cis-Retinal
9.52Single8GG5Constrained Epinephrine8GG5-β2-Constrained Epinephrine-GTP-Gs/β1/γ2
9.52Single8GG7Constrained Epinephrine8GG7-β2-Constrained Epinephrine-GTP-Gs/β1/γ2
9.52Single8GGLConstrained Epinephrine8GGL-β2-Constrained Epinephrine
9.52Single8GGMConstrained Epinephrine8GGM-β2-Constrained Epinephrine
9.52Single8GGPConstrained Epinephrine8GGP-β2-Constrained Epinephrine
9.52Single8K9KDAMGO8K9K-μ-DAMGO-Gi3/β1/γ1
9.52Single8RQQZM-2413858RQQ-A2A-ZM-241385-Na
9.52Single8U02Dopamine8U02-D2-Dopamine-Go/β1/γ2
9.52Single8UNLConstrained Epinephrine8UNL-β2-Constrained Epinephrine-GTP-Gs/β1/γ2
9.52Single8UNOConstrained Epinephrine8UNO-β2-Constrained Epinephrine-GTP-Gs/β1/γ2
9.52Single8UO1Constrained Epinephrine8UO1-β2-Constrained Epinephrine-GTP; Mg-Gs/β1/γ2
9.52Single8V6UPubChem 1713924568V6U-5-HT2A-PubChem 171392456-chim(NtGi2-Gs-CtGq)/β1/γ2
9.52Single8W8BSEP-3638568W8B-5-HT1A-SEP-363856-Gi1/β1/γ2
9.52Single8WPGTryptophan; Cinacalcet; PO4; Ca8WPG-CaS; CaS-Tryptophan; Cinacalcet; PO4; Ca
9.52Single8WPUTryptophan; Cinacalcet; PO4; Ca8WPU-CaS; CaS-Tryptophan; Cinacalcet; PO4; Ca-chim(NtGi2L-Gs-CtGq)/β1/γ2
9.52Single8Y53MK50468Y53-BB3-MK5046-chim(NtGi1-Gs-CtGq)/β1/γ2
9.52Single8YKVPubChem 1375531688YKV-Succinate-PubChem 137553168-Gi1/β1/γ2
9.52Single8YN3Histamine8YN3-H2-Histamine-Gs/β1/γ2
9.52Single8ZBWQuin-C18ZBW-FPR2-ALX-Quin-C1-Gi2/β1/γ2
9.52Single9AS3LSD9AS3-5-HT2A-LSD
9.52Single9AS4LSD9AS4-5-HT2A-LSD-chim(NtGi1-Gs-CtGq)/β1/γ2
9.52Single9AS8Psilocin9AS8-5-HT2A-Psilocin-chim(NtGi2L-Gs-CtGq)/β1/γ2
9.52Single9ASBCa; Ca; Cyclomethyltryptophan; R-568; PO49ASB-CaS; CaS-Ca-Ca; Ca; Cyclomethyltryptophan; R-568; PO4-chim(NtGi1-Gs-CtGq)/β1/γ2
9.52Single9ASBCa; Ca; Cyclomethyltryptophan; R-568; PO49ASB-CaS; CaS-Ca-Ca; Ca; Cyclomethyltryptophan; R-568; PO4-chim(NtGi1-Gs-CtGq)/β1/γ2
9.52Single9AVGCa; Ca; Cyclomethyltryptophan; R-568; PO49AVG-CaS; CaS-Ca-Ca; Ca; Cyclomethyltryptophan; R-568; PO4-chim(NtGi1-Gs)/β1/γ2
9.52Single9JMDAzithromycin9JMD-Motilin-Azithromycin-chim(Gs-CtGq)/β1/γ2
9.52Single9KUWCMPD6449KUW-Apelin; Apelin-CMPD644-Arrestin2 ; Arrestin2
9.52Single9KVIBufotenin9KVI-5-HT1A-Bufotenin-PtdIns4P-Gi1/β1/γ2
9.52Single9KXSEP679KXS-C5a1-EP67-Go/β1/γ2
9.52Single9L84Epinephrine9L84-β1-Epinephrine-Atazanavir-Gs/β1/γ2
9.52Single9LRDHistamine9LRD-H1-Histamine-Gi1/β1/γ2
9.52Single9P1TZM-2413859P1T-A2A-ZM-241385
9.52Single9PXVNaloxone9PXV-μ-Naloxone-Gi1/β1/γ2
9.52Single9PY2Loperamide9PY2-μ-Loperamide-GDPβS-Gi1/β1/γ2
9.52Single9VJG8-OH-DPAT9VJG-5-HT1A-8-OH-DPAT-chim(NtGi2-Gz)/β1/γ2
9.52Single9W33S5A19W33-SST5-S5A1
9.52Single9W6W5-CT9W6W-5-HT5A-5-CT-Gi1/β1/γ2
9.52Consensus5ht2a_offOrthosteric Ligand6A94-5-HT2A-Zotepine 6A93-5-HT2A-Risperidone 7VOD-5-HT2A-Cariprazine 7WC8-5-HT2A-Lumateperone 8JT8-5-HT2A-(R)-IHCH-7179
9.52Consensus5ht_on_gpOrthosteric Ligand5ht1_on_gp 5ht2_on_gp 5ht4_on_gp 5ht5_on_gp 5ht6_on_gp 5ht7_on_gp
9.52Consensusa2_offOrthosteric Liganda2a_off
9.52Consensusa2a_offOrthosteric Ligand3RFM-A2A-Caffeine 8C9W-A2A-Etrumadenant 3UZA-A2A-GTPL9236 8GNG-A2A-Istradefylline 8CU6-A2A-LJ-4517 7PX4-A2A-PSB-2113 7PYR-A2A-PSB-2115 8DU3-A2A-PubChem 105526064 8JWY-A2A-2-118 8PWN-A2A-Theophylline 5IU4-A2A-ZM-241385-Na 5OLZ-A2A-PubChem 135566609-Na 6GT3-A2A-Imaradenant-Na 5OLV-A2A-LUAA47070-Na 5N2R-A2A-PSB36-Na 5IU7-A2A-Q27456346-Na 5OLH-A2A-Vipadenant-Na 5OLO-A2A-Tozadenant-Na 6ZDR-A2A-HMS1413f12-Na 8GNE-A2A-KW-6356-Na 8JWZ-A2A-Etrumadenant-Na 5IU8-A2A-Q27456347-Na 5IUB-A2A-Q27456344-Na 6ZDV-A2A-PubChem 984073-Na 5IUA-A2A-Q27456348-Na 8A2P-A2A-LUAA47070-Na
9.52Consensuscxcr2_onOrthosteric Ligand6LFM-CXCR2-CXCL8-Gi1/β1/γ2
9.52Consensusnop_offOrthosteric Ligand4EA3-NOP-PubChem 10296561 5DHG-NOP-C-35 5DHH-NOP-SB-612111
9.52Consensusnucleotide_offOrthosteric Ligandadenosine_off p2y_off
9.52Consensusp2y1_on_gpOrthosteric Ligand7XXH-P2Y1-2MeSADP-chim(NtGi1-G11)/β1/γ2
9.38Single6NBILA-PTH Analog6NBI-PTH1-LA-PTH Analog-Gs/β1/γ2
9.38Single6P9YPACAP276P9Y-PAC1-PACAP27-Gs/β1/γ2
9.38Single7D3SSecretin7D3S-Secretin-Secretin-Gs/β1/γ2
9.38Single7KI0Semaglutide7KI0-GLP-1-Semaglutide-Gs/β1/γ2
9.38Single7RA3GIP7RA3-GIP-GIP-chim(NtGi1-Gs)/β1/γ2
9.38Single7VABTirzepatide (non-acylated)7VAB-GIP-Tirzepatide (non-acylated)-chim(NtGi1-Gs)/β1/γ2
9.38Single7W3ZGastrin Releasing Peptide7W3Z-BB2-Gastrin Releasing Peptide-chim(NtGi1L-Gq)/β1/γ2
9.38Single8E3XPACAP278E3X-PAC1-PACAP27-Gs/β1/γ2
9.38Single8H0PNMB308H0P-BB1-NMB30-chim(NtGi1-Gs-CtGq)/β1/γ2
9.38Single9BUBCagrilintide9BUB-CT-Cagrilintide-Gs/β1/γ2
9.38Single9J1Pg1:Ox9J1P-GLP-1-g1:Ox-chim(NtGi1-Gs)/β1/γ2
9.38Single9P92VIP9P92-PAC1-VIP-Gs/β1/γ2
9.38Consensusccr5_onOrthosteric Ligand7O7F-CCR5-6P4-CCL5-Gi1/β1/γ1 7F1Q-CCR5-CCL3-Gi1/β1/γ2
9.38Consensusctlike_onOrthosteric Ligand6E3Y-CT Like-Calcitonin gene-related peptide-1-Gs/β1/γ2; RAMP1
9.38Consensusgi_peptideOrthosteric Ligandgi_cck gi_apelin gi_compl-pept gi_endothelin gi_formylpeptide gi_galanin gi_ghrelin gi_npy gi_neurotensin gi_opioid gi_orexin gi_relaxin gi_somatostatin
9.38Consensusgi_proteinOrthosteric Ligandgi_chemokine gi_chemerin
9.38Consensusnpy4_onOrthosteric Ligand7X9C-Y4-Pancreatic Hormone-Gi1/β1/γ2
9.38Consensusnpy4_on_gpOrthosteric Ligand7X9C-Y4-Pancreatic Hormone-Gi1/β1/γ2
9.38Consensuspac_on_gpOrthosteric Ligandpac1_on_gp
9.38Consensusprotein_on_gpOrthosteric Ligandchemokine_on_gp chemerin_on_gp
9.09Single1HZX11-cis-Retinal1HZX-Rhodopsin-11-cis-Retinal
9.09Single2Y02Carmoterol2Y02-β1-Carmoterol
9.09Single3EMLZM-2413853EML-A2A-ZM-241385
9.09Single3ZPQPubChem 5945903ZPQ-β1-PubChem 594590-Na
9.09Single4X1HNonyl-Beta-D-Glucopyranoside4X1H-Rhodopsin-Nonyl-β-D-Glucopyranoside-Gt(CT)
9.09Single5DHGC-355DHG-NOP-C-35
9.09Single5K2AZM-2413855K2A-A2A-ZM-241385-Na
9.09Single5UIGPubChem 1240811965UIG-A2A-PubChem 124081196
9.09Single5VRAZM-2413855VRA-A2A-ZM-241385-Na
9.09Single5ZKPSR274175ZKP-PAF-SR27417
9.09Single6DRXLisuride6DRX-5-HT2B-Lisuride
9.09Single6PS2Alprenolol6PS2-β2-Alprenolol
9.09Single6S0LZM-2413856S0L-A2A-ZM-241385
9.09Single6VCBGLP-16VCB-GLP-1-GLP-1-LSN3160440-Gs/β1/γ2
9.09Single7CFMP3957CFM-GPBA-P395-Gs/β1/γ2
9.09Single7DTYGIP7DTY-GIP-GIP-Gs/β1/γ2
9.09Single7E32Serotonin7E32-5-HT1D-Serotonin-Gi1/β1/γ2
9.09Single7F83PF-051904577F83-Ghrelin-PF-05190457
9.09Single7FIHOrg435537FIH-LH-hCG-Org43553-chim(NtGi1-Gs)/β1/γ2
9.09Single7FIYTirzepatide7FIY-GIP-Tirzepatide-Gs/β1/γ2
9.09Single7JOZPubChem 752020227JOZ-D1-PubChem 75202022-Gs/β1/γ2
9.09Single7S1MExendin-4-D-Ala7S1M-GLP-1-Exendin-4-D-Ala-Gs/β1/γ2
9.09Single7SCGFH2107SCG-μ-FH210-Gi1/β1/γ2
9.09Single7SQOTAK-9257SQO-OX2-TAK-925-Gi1/β1/γ2
9.09Single7UM55-CT7UM5-5-HT5A-5-CT-chim(NtGi1-Go)/β1/γ2
9.09Single7UM6Lisuride7UM6-5-HT5A-Lisuride-chim(NtGi1-Go)/β1/γ2
9.09Single7VGZRamelteon7VGZ-MT1-Ramelteon-Gi1/β1/γ2
9.09Single7VIES1P7VIE-S1P1-S1P-Gi1/β1/γ2
9.09Single7VQXPACAP277VQX-VPAC1-PACAP27-Gs/β1/γ2
9.09Single7WC7Lisuride7WC7-5-HT2A-Lisuride
9.09Single7XJHIsoprenaline7XJH-β3-Isoprenaline-Gs/β1/γ2
9.09Single7YOONeuropeptide-Y7YOO-Y2-Neuropeptide-Y-Gi1/β1/γ2
9.09Single8CICEtrumadenant8CIC-A2A-Etrumadenant-Na
9.09Single8DZSGR89,6968DZS-κ-GR89,696-chim(NtGi2-Gz)/β1/γ2
9.09Single8FU6ZP37808FU6-Glucagon-ZP3780-Gs/β1/γ2
9.09Single8FY85-MeO-DMT8FY8-5-HT1A-5-MeO-DMT-PtdIns4P-Gi1/β1/γ1
9.09Single8JD0NAM5638JD0-mGlu2; mGlu3-Glutamate-NAM563
9.09Single8KFYZK-7563268KFY-CCR8-ZK-756326-Gi1/β1/γ2
9.09Single8TH3AT118-H Nanobody8TH3-AT1-AT118-H Nanobody
9.09Single8UGYMianserin8UGY-5-HT1E-Mianserin-Gi1/β1/γ1
9.09Single8UH3Setiptiline8UH3-5-HT1E-Setiptiline-Gi1/β1/γ1
9.09Single8UWLLisuride8UWL-5-HT2A-Lisuride-chim(NtGi2-Gs-CtGq)/β1/γ2
9.09Single8VVGGB188VVG-κ-GB18-Gi1/β1/γ2
9.09Single8X63Mepyramine8X63-H1-Mepyramine
9.09Single8X64Desloratadine8X64-H1-Desloratadine
9.09Single8ZQEGPR15L(CT)8ZQE-GPR15-GPR15L(CT)-Gi1/β1/γ1
9.09Single9AS1DMT9AS1-5-HT2A-DMT
9.09Single9AVGCa; Ca; Cyclomethyltryptophan; R-568; PO49AVG-CaS; CaS-Ca-Ca; Ca; Cyclomethyltryptophan; R-568; PO4-chim(NtGi1-Gs)/β1/γ2
9.09Single9BQJRO769BQJ-μ-RO76-Gi1/β1/γ2
9.09Single9DYFAsenapine9DYF-5-HT1A-Asenapine-PtdIns4P-Gi1/β1/γ2
9.09Single9H37PubChem 1756706469H37-A2A-PubChem 175670646-Na
9.09Single9IMATalquetamab9IMA-GPRC5D; GPRC5D-Talquetamab
9.09Single9IVGGLP-1 (Truncated)9IVG-GLP-1-GLP-1 (Truncated)-chim(NtGi1-Gs)/β1/γ2
9.09Single9K26PrRP319K26-PrRP-PrRP31-Gi1/β1/γ2
9.09Single9P1SZM-2413859P1S-A2A-ZM-241385
9.09Single9P94PACAP279P94-PAC1-PACAP27-Gs/β1/γ2
9.09Consensus5ht1d_onOrthosteric Ligand7E32-5-HT1D-Serotonin-Gi1/β1/γ2
9.09Consensus5ht1d_on_gpOrthosteric Ligand7E32-5-HT1D-Serotonin-Gi1/β1/γ2
9.09Consensus5ht5_onOrthosteric Ligand5ht5a_on
9.09Consensus5ht5a_onOrthosteric Ligand7X5H-5-HT5A-5-CT-Gi1/β1/γ2 7UM6-5-HT5A-Lisuride-chim(NtGi1-Go)/β1/γ2 7UM7-5-HT5A-Methylergometrine-chim(NtGi1-Go)/β1/γ2
9.09Consensus5ht6_onOrthosteric Ligand7XTB-5-HT6-Serotonin-Gs/β1/γ2 8JLZ-5-HT6-ST1936-Gs/β1/γ2
9.09Consensus5ht6_on_gpOrthosteric Ligand7XTB-5-HT6-Serotonin-Gs/β1/γ2 8JLZ-5-HT6-ST1936-Gs/β1/γ2
9.09Consensusgi_orexinOrthosteric Ligand7SQO-OX2-TAK-925-Gi1/β1/γ2
9.09Consensusglp2_onOrthosteric Ligand7D68-GLP-2-GLP-2-Gs/β1/γ2
9.09Consensusglp2_on_gpOrthosteric Ligand7D68-GLP-2-GLP-2-Gs/β1/γ2
9.09Consensushistamine_offOrthosteric Ligandh1_off
9.09Consensusnpy2_onOrthosteric Ligand7YOO-Y2-Neuropeptide-Y-Gi1/β1/γ2
9.09Consensusnpy2_on_gpOrthosteric Ligand7YOO-Y2-Neuropeptide-Y-Gi1/β1/γ2
9.09Consensusnucleotide_offonOrthosteric Ligandnucleotide_off nucleotide_on
9.09Consensusnucleotide_offon_gpOrthosteric Ligandnucleotide_on_gp nucleotide_off
9.09Consensuspeptide_onOrthosteric Ligandcck_on angiotensin_on apelin_on bombesin_on bradykinin_on compl-peptide_on endothelin_on formylpeptide_on galanin_on ghrelin_on kisspeptin_on melanocortin_on motilin_on neuromedin-u_on npy_on neurotensin_on opioid_on orexin_on relaxin_on somatostatin_on tachykinin_on trh_on vasop-oxy_on
9.09Consensuspeptide_on_gpOrthosteric Ligandcck_on_gp angiotensin_on_gp apelin_on_gp bombesin_on_gp bradykinin_on_gp compl-peptide_on_gp endothelin_on_gp formylpeptide_on_gp galanin_on_gp ghrelin_on_gp kisspeptin_on_gp melanocortin_on_gp motilin_on_gp neuromedin-u_on_gp npy_on_gp neurotensin_on_gp opioid_on_gp orexin_on_gp relaxin_on_gp somatostatin_on_gp tachykinin_on_gp trh_on_gp vasop-oxy_on_gp
8.82Single7KI1Taspoglutide7KI1-GLP-1-Taspoglutide-Gs/β1/γ2
8.82Single7VGXNeuropeptide-Y7VGX-Y1-Neuropeptide-Y-Gi1/β1/γ2
8.82Single8HAFPTHrP(1-36)8HAF-PTH1-PTHrP(1-36)-chim(NtGi1-Gs)/β1/γ2
8.82Single8IY6Endothelin-18IY6-ETB-Endothelin-1
8.82Single8Y52BA18Y52-BB3-BA1-chim(NtGi1-Gs-CtGq)/β1/γ2
8.82Single9BQ3Cagrilintide9BQ3-CT (AMY2)-Cagrilintide-Gs/β1/γ2; RAMP2
8.82Single9BYOExendin-39BYO-GLP-1-Exendin-3-Gs/β1/γ2
8.82Single9P93VIP9P93-PAC1-VIP-Gs/β1/γ2
8.82Consensusctlike_on_gpOrthosteric Ligand6E3Y-CT Like-Calcitonin gene-related peptide-1-Gs/β1/γ2; RAMP1
8.82Consensusetb_onOrthosteric Ligand8IY5-ETB-Endothelin-1-Gi1/β1/γ2 8HBD-ETB-IRL1620-Gi1/β1/γ2
8.82Consensusvip-pacap_onOrthosteric Ligandvpac_on pac_on
8.82Consensusvip-pacap_on_gpOrthosteric Ligandvpac_on_gp pac_on_gp
8.70Single4RWDDIPP-NH24RWD-δ-DIPP-NH2-Na
8.70Single4WW3All-trans-Retinal4WW3-Rhodopsin-All-trans-Retinal
8.70Single5TVNLSD5TVN-5-HT2B-LSD
8.70Single5WIUNemonapride5WIU-D4-Nemonapride
8.70Single5WIVNemonapride5WIV-D4-Nemonapride-Na
8.70Single5XPRBosentan5XPR-ETB-Bosentan
8.70Single6LFMCXCL86LFM-CXCR2-CXCL8-Gi1/β1/γ2
8.70Single6LUQHaloperidol6LUQ-D2-Haloperidol
8.70Single6RZ4Pranlukast6RZ4-CysLT1-Pranlukast-Na
8.70Single7C4SS1P7C4S-S1P3-S1P
8.70Single7CFNINT-7777CFN-GPBA-INT-777-Gs/β1/γ2
8.70Single7CKXA776367CKX-D1-A77636-Gs/β1/γ2
8.70Single7VOEAripiprazole7VOE-5-HT2A-Aripiprazole
8.70Single7VV0PAMP-127VV0-MRGPRX2-PAMP-12
8.70Single7VV4Cortistatin-147VV4-MRGPRX2-Cortistatin-14
8.70Single8C9WEtrumadenant8C9W-A2A-Etrumadenant
8.70Single8GNEKW-63568GNE-A2A-KW-6356-Na
8.70Single8JXSPF-61428JXS-D1-PF-6142
8.70Single8KFXLMD-0098KFX-CCR8-LMD-009-Gi1/β1/γ2
8.70Single8QOTNanobody-E8QOT-μ-Nanobody-E
8.70Single8SZGCa; Ca; Tryptophan; Cinacalcet; PO4; Spermine8SZG-CaS; CaS-Ca; Ca; Tryptophan; Cinacalcet; PO4; Spermine-chim(NtGi1-Gq)/β1/γ2
8.70Single8TH4AT118-L Nanobody8TH4-AT1-Losartan-AT118-L Nanobody
8.70Single8XQPCholesterol8XQP-TAS2R14-Cholesterol-Aristolochic acid A-Gt3/β1/γ1
8.70Single8YH0NECA8YH0-A3A-NECA-Gi1/β1/γ2
8.70Single8ZMFPubChem 1719206738ZMF-5-HT2C-PubChem 171920673
8.70Single8ZRKGSK12922638ZRK-GPR119-GSK1292263-Gs/β1/γ2
8.70Single9DYDAsenapine9DYD-5-HT1A-Asenapine-PtdIns4P-Go/β1/γ2
8.70Single9EAHNanobody AT2099EAH-AT1-Olmesartan-Nanobody AT209
8.70Single9GE2ML1849GE2-GPR55-ML184-chim(NtGi1-G13)/β1/γ2
8.70Single9IYBPGD29IYB-DP2-PGD2-A1D5Q-Gi1/β1/γ2
8.70Single9K07DSO-5a9K07-BB3-DSO-5a-chim(NtGi2L-Gs-CtGq)/β1/γ2
8.70Single9KO4CCL219KO4-CCR7-CCL21-Gi1/β1/γ2
8.70Single9KUTJR14a9KUT-C3aB-JR14a-Go/β1/γ2
8.70Single9M8POleic monoethanolamide9M8P-GPR3 ; GPR3-Oleic monoethanolamide-AF64394
8.70Single9U81Tolvaptan9U81-V2-Tolvaptan
8.70Consensus5ht1_onOrthosteric Ligand5ht1a_on 5ht1d_on 5ht1e_on 5ht1f_on
8.70Consensus5ht1_on_gpOrthosteric Ligand5ht1a_on_gp 5ht1d_on_gp 5ht1e_on_gp 5ht1f_on_gp
8.70Consensus5ht1e_on_gpOrthosteric Ligand7E33-5-HT1E-BRL-54443-Gi1/β1/γ2 8UGY-5-HT1E-Mianserin-Gi1/β1/γ1 8UH3-5-HT1E-Setiptiline-Gi1/β1/γ1
8.70Consensusadgrg2_onOrthosteric Ligand7WUI-ADGRG2-IP15-chim(NtGi1-Gs)/β1/γ2 7WUQ-ADGRG2-Gs/β1/γ2 7XKF-ADGRG2-Dehydroepiandrosterone-Gs/β1/γ2
8.70Consensusadgrg2_on_gpOrthosteric Ligand7WUI-ADGRG2-IP15-chim(NtGi1-Gs)/β1/γ2 7WUQ-ADGRG2-Gs/β1/γ2 7XKF-ADGRG2-Dehydroepiandrosterone-Gs/β1/γ2
8.70Consensuscxcr2_on_gpOrthosteric Ligand6LFM-CXCR2-CXCL8-Gi1/β1/γ2
8.70Consensush1_offOrthosteric Ligand8X63-H1-Mepyramine 3RZE-H1-Cidoxepin 8X5Y-H1-Astemizole
8.70Consensuslpa1_onOrthosteric Ligand7TD1-LPA1-LPA-Gi1/β1/γ2 7YU3-LPA1-ONO-0740556-Gi1/β1/γ2
8.70Consensuslpa1_on_gpOrthosteric Ligand7TD1-LPA1-LPA-Gi1/β1/γ2 7YU3-LPA1-ONO-0740556-Gi1/β1/γ2
8.70Consensusnucleotide_onOrthosteric Ligandadenosine_on p2y_on
8.57Single8ZJETAK4488ZJE-Kiss1-TAK448-chim(NtGi1-Gq)/β1/γ1
8.57Consensusgi_npyOrthosteric Ligand8K6M-Y1-Neuropeptide-Y-Gi2/β1/γ1 7X9C-Y4-Pancreatic Hormone-Gi1/β1/γ2 7YOO-Y2-Neuropeptide-Y-Gi1/β1/γ2
8.57Consensusnpy_onOrthosteric Ligandnpy1_on npy2_on npy4_on
8.57Consensusnpy_on_gpOrthosteric Ligandnpy1_on_gp npy2_on_gp npy4_on_gp
8.33Single3SN6BI1671073SN6-β2-BI167107-Gs/β1/γ2
8.33Single5V54Methiothepin5V54-5-HT1B-Methiothepin
8.33Single6NI3BI1671076NI3-β2-BI167107-Gs/β1/γ2
8.33Single6OS1TRV0266OS1-AT1-TRV026
8.33Single6WGTLSD6WGT-5-HT2A-LSD
8.33Single7B6WCyclazosin7B6W-α1b-Cyclazosin
8.33Single7CKYPW04647CKY-D1-PW0464-Gs/β1/γ2
8.33Single7EW1Siponimod7EW1-S1P5-Siponimod-Gi1/β1/γ2
8.33Single7EW3S1P7EW3-S1P3-S1P-Gi1/β1/γ2
8.33Single7F1TCCL37F1T-CCR5-CCL3
8.33Single7JV5SKF812977JV5-D1-SKF81297-Gs/β1/γ2
8.33Single7R0CAVP7R0C-V2-AVP-Arrestin2
8.33Single7S8MCortistatin-147S8M-MRGPRX2-Cortistatin-14-Gi1/β1/γ2
8.33Single7SK6CXCL12_LRHQ7SK6-ACKR3-CXCL12_LRHQ
8.33Single7T9NDPPC7T9N-TSH-M22 Fab-DPPC-Gs/β1/γ2
8.33Single7TD1LPA7TD1-LPA1-LPA-Gi1/β1/γ2
8.33Single7VIGCBP-3077VIG-S1P1-CBP-307-Gi1/β1/γ2
8.33Single7XAVLanreotide7XAV-SST2-Lanreotide-Gi1/β1/γ2
8.33Single7XOWSulfated Gastrin-(10-17)7XOW-CCKB-Sulfated Gastrin-(10-17)-chim(NtGi1-Gq)/β1/γ2
8.33Single7Y24Octreotide7Y24-SST2-Octreotide-Go/β1/γ2
8.33Single7Y67C089 peptide7Y67-C5a1-C089 peptide-Gi1/β1/γ2
8.33Single8EFLSR170188EFL-μ-SR17018-Gi1/β1/γ2
8.33Single8HBDIRL16208HBD-ETB-IRL1620-Gi1/β1/γ2
8.33Single8I2GPubChem 675302408I2G-FSH-FSH-PubChem 67530240-Gs/β1/γ2
8.33Single8ID6Oleic acid8ID6-FFA4-Oleic acid-Gi1/β1/γ2
8.33Single8JSRAnamorelin8JSR-Ghrelin-Anamorelin-chim(NtGi1-Gs-CtGq)/β1/γ2
8.33Single8VVEnorBNI8VVE-κ-norBNI-Gi1/β1/γ2
8.33Single8WJXADP8WJX-P2Y1-ADP-chim(Gs-CtGq)/β1/γ2
8.33Single8X0FVU298X0F-mGlu5; mGlu5-Quisqualate-VU29
8.33Single8XQTCholesterol8XQT-TAS2R14-Cholesterol-Gi1/β1/γ1
8.33Single8ZR5Firuglipel8ZR5-GPR119-Firuglipel-Gs/β1/γ2
8.33Single9I54PubChem 1764520919I54-D1-PubChem 176452091-Gs/β1/γ2
8.33Single9JCLADP9JCL-P2Y1-ADP-chim(Gs-CtGq)/β1/γ2
8.33Single9L16CCL219L16-CCR7-CCL21
8.33Single9MENGp120 (V3 loop)9MEN-CXCR4-Gp120 (V3 loop)
8.33Single9PY4Loperamide9PY4-μ-Loperamide-GDPβS-Gi1/β1/γ2
8.33Single9WSTDAMGO9WST-μ-DAMGO-chim(NtGi1-Gz)/β1/γ2
8.33Consensus5ht1_offOrthosteric Ligand5ht1b_off
8.33Consensus5ht1b_offOrthosteric Ligand5V54-5-HT1B-Methiothepin
8.33Consensuscyslt1_offOrthosteric Ligand6RZ5-CysLT1-Zafirlukast-Na 6RZ4-CysLT1-Pranlukast-Na
8.33Consensusnpy_offOrthosteric Ligandnpy1_off npy2_off
8.33Consensuss1p5_onOrthosteric Ligand7EW1-S1P5-Siponimod-Gi1/β1/γ2
8.33Consensuss1p5_on_gpOrthosteric Ligand7EW1-S1P5-Siponimod-Gi1/β1/γ2
8.33Consensustachykinin_offOrthosteric Ligandnk1_off
8.00Single4PXFOctyl-Beta-D-Glucopyranoside4PXF-Rhodopsin-Octyl-β-D-Glucopyranoside-Arrestin1 Finger Loop
8.00Single5F8UCyanopindolol5F8U-β1-Cyanopindolol
8.00Single5UNHPubChem 1264564065UNH-AT2-PubChem 126456406
8.00Single6C1RPMX536C1R-C5a1-PMX53-Avacopan; Na
8.00Single6OS0Angiotensin II6OS0-AT1-Angiotensin II
8.00Single7F55Bremelanotide7F55-MC4-Bremelanotide-Gs/β1/γ2
8.00Single7L1UOrexin7L1U-OX2-Orexin-chim(NtGi1-Gs-CtGq)/β1/γ2
8.00Single7L1VPubChem 1554910097L1V-OX2-PubChem 155491009-chim(NtGi1-Gs-CtGq)/β1/γ2
8.00Single7WCNAR2314537WCN-GPR119-AR231453-Gs/β1/γ2
8.00Single7XMTJ-21567XMT-SST4-J-2156-Gi1/β1/γ2
8.00Single7XW6ML1097XW6-TSH-M22 Fab-ML109-Gs/β1/γ2
8.00Single7XW9TRH7XW9-TRH-TRH-chim(NtGi1L-Gs-CtGq)/β1/γ2
8.00Single7XZ5Lysophosphatidylcholine7XZ5-GPR119-Lysophosphatidylcholine-Gs/β1/γ2
8.00Single7Y66BM2137Y66-C5a1-BM213-Gi1/β1/γ2
8.00Single8ID9Icosapent8ID9-FFA4-Icosapent-Gi1/β1/γ2
8.00Single8JWZEtrumadenant8JWZ-A2A-Etrumadenant-Na
8.00Single8VHFMBX-29828VHF-GPR119-MBX-2982-Gs/β1/γ2
8.00Single8XX3CXCL38XX3-CXCR2-CXCL3-Go/β1/γ2
8.00Single9GYOP3959GYO-GPBA-P395-chim(NtGi1-Gs)/β1/γ2
8.00Single9IZHLPA9IZH-LPA1-LPA-chim(NtGi2-G13)/β1/γ2
8.00Single9KZKC3a (fragment)9KZK-C3aB-C3a (fragment)-Go/β1/γ2
8.00Single9L3WChemerin9L3W-CML1-Chemerin-Gi1/β1/γ2
8.00Single9WSVDAMGO9WSV-μ-DAMGO-Arrestin2
8.00Single9WSWEndomorphin9WSW-μ-Endomorphin-chim(NtGi1-Gz)/β1/γ2
8.00Single9WXMGPR15L(CT)9WXM-GPR15-GPR15L(CT)-Gi3/β1/γ2
8.00Single9YDQDADLE9YDQ-δ-DADLE-MIPS3614-chim(NtGi1L-Gs-CtGi1)/β1/γ2
8.00Consensusnk1_offOrthosteric Ligand6HLP-NK1-Netupitant 6HLO-NK1-Aprepitant 6HLL-NK1-CP99994 6E59-NK1-L-760735
8.00Consensusorexin_onOrthosteric Ligandox2_on
8.00Consensuss1p3_onOrthosteric Ligand7EW3-S1P3-S1P-Gi1/β1/γ2 7EW4-S1P3-CYM-5541-Gi1/β1/γ2 7EW2-S1P3-FTY720-P-Gi1/β1/γ2
8.00Consensustrh_onOrthosteric Ligand7XW9-TRH-TRH-chim(NtGi1L-Gs-CtGq)/β1/γ2
8.00Consensustrh_on_gpOrthosteric Ligand7XW9-TRH-TRH-chim(NtGi1L-Gs-CtGq)/β1/γ2
7.89Single7X9ANeuropeptide-Y7X9A-Y1-Neuropeptide-Y-Gi1/β1/γ2
7.89Consensuspth2_onOrthosteric Ligand7F16-PTH2-TIP39-Gs/β1/γ2
7.69Single6DDFDAMGO6DDF-μ-DAMGO-Gi1/β1/γ2
7.69Single6K1QIRL25006K1Q-ETB-IRL2500
7.69Single6M1HMaxadilan6M1H-PAC1-Maxadilan-Gs/β1/γ2
7.69Single7EZHCholecystokinin-87EZH-CCKA-Cholecystokinin-8-Gi1/β1/γ2
7.69Single7EZMCholecystokinin-87EZM-CCKA-Cholecystokinin-8-chim(NtGsL-Gq)/β1/γ2
7.69Single7UM4AS26747237UM4-5-HT5A-AS2674723
7.69Single7XZ6APD6687XZ6-GPR119-APD668-Gs/β1/γ2
7.69Single8W8SAA-148W8S-GPR101-AA-14
7.69Single8XBES3E-Lysophosphatidylserine 8XBE-GPR34-S3E-Lysophosphatidylserine-Gi1/β1/γ1
7.69Single8XVUCXCL28XVU-CXCR2-CXCL2
7.69Single8XWFCXCL38XWF-CXCR2-CXCL3
7.69Single8XXHCXCL28XXH-CXCR2-CXCL2-Go/β1/γ2
7.69Single8ZWGJR14a8ZWG-C3aB-JR14a-Gi1/β1/γ2
7.69Single8ZX4Lysophosphatidylinositol 8ZX4-GPR55-Lysophosphatidylinositol-chim(NtGi1-G13)/β1/γ2
7.69Single9C0KExendin-49C0K-GLP-1-Exendin-4-Gs/β1/γ2
7.69Single9GE3Lysophosphatidylinositol9GE3-GPR55-Lysophosphatidylinositol-chim(NtGi1-G13)/β1/γ2
7.69Single9J0BUDP-Glucose9J0B-P2Y14-UDP-Glucose-Gi1/β1/γ2
7.69Single9YDPDADLE9YDP-δ-DADLE-chim(NtGi1L-Gs-CtGi1)/β1/γ2
7.69Consensusccka_onOrthosteric Ligand7EZH-CCKA-Cholecystokinin-8-Gi1/β1/γ2
7.69Consensusccka_on_gpOrthosteric Ligand7EZH-CCKA-Cholecystokinin-8-Gi1/β1/γ2
7.69Consensuschemerin_onOrthosteric Ligandcml1_on
7.69Consensusorexin_on_gpOrthosteric Ligandox2_on_gp
7.69Consensuspeptide_offOrthosteric Ligandcck_off angiotensin_off bombesin_off endothelin_off ghrelin_off npy_off opioid_off orexin_off somatostatin_off tachykinin_off vasop-oxy_off neurotensin_off
7.41Single6C1QPMX536C1Q-C5a1-PMX53-NDT9513727
7.41Single6G79Donitriptan6G79-5-HT1B-Donitriptan-Go/β1/γ2
7.41Single7S8LCortistatin-147S8L-MRGPRX2-Cortistatin-14-chim(NtGi2L-Gs-CtGq)/β1/γ2
7.41Single7Y1FDynorphin7Y1F-κ-Dynorphin-Gi1/β1/γ2
7.41Single8F7REndomorphin8F7R-μ-Endomorphin-Gi1/β1/γ2
7.41Single8H4IDoconexent8H4I-FFA4-Doconexent-chim(NtGi1-Gs)/β1/γ2
7.41Single8JBFSenktide8JBF-NK3-Senktide-chim(NtGi1-Gs-CtGq)/β1/γ2
7.41Single8Y72Peptide8Y72-μ-Peptide-BMS-986122-Gi1/β1/γ2
7.41Single9JF4PD1683689JF4-BB1-PD168368
7.41Single9KX6C5a-des-Arg9KX6-C5a1-C5a-des-Arg-Go/β1/γ2
7.41Single9WSXEndomorphin9WSX-μ-Endomorphin-Arrestin2
7.41Consensusdop_onOrthosteric Ligand8F7S-δ-Deltorphin-Gi1/β1/γ2
7.41Consensussst2_onOrthosteric Ligand7WIC-SST2-Somatostatin-14-Gi1/β1/γ2 7WIG-SST2-L-054264-Gi1/β1/γ2 7YAE-SST2-Octreotide-Gi1/β1/γ2 7YAC-SST2-Paltusotine-Gi1/β1/γ2
7.41Consensussst2_on_gpOrthosteric Ligand7WIC-SST2-Somatostatin-14-Gi1/β1/γ2 7WIG-SST2-L-054264-Gi1/β1/γ2 7YAE-SST2-Octreotide-Gi1/β1/γ2 7YAC-SST2-Paltusotine-Gi1/β1/γ2
7.14Single7F54Afamelanotide7F54-MC4-Afamelanotide-Gs/β1/γ2
7.14Single7T6UCGEN-855A7T6U-FPR2-ALX-CGEN-855A-Gi1/β1/γ2
7.14Single7TD4Siponimod7TD4-S1P1-Siponimod-Gi1/β1/γ2
7.14Single7VLACCL15(27-92)7VLA-CCR1-CCL15(27-92)-Gi1/β1/γ2
7.14Single7W56Neuromedin-S7W56-NMUR1-Neuromedin-S-chim(NtGi1-Gs-CtGq)/β1/γ2
7.14Single8IEBPubChem 1347468948IEB-GPR156; GPR156-PubChem 134746894
7.14Single8IEIPubChem 1347468948IEI-GPR156; GPR156-PubChem 134746894
7.14Single8IEIPubChem 1347468948IEI-GPR156; GPR156-PubChem 134746894
7.14Single8IEPPubChem 1347468948IEP-GPR156; GPR156-PubChem 134746894
7.14Single8IEPPubChem 1347468948IEP-GPR156; GPR156-PubChem 134746894
7.14Single8W8RAA-148W8R-GPR101-AA-14-chim(NtGi1-Gs)/β1/γ2
7.14Single8WKYPG-9348WKY-MC4-PG-934
7.14Single8WZ2Orexigenic Neuropeptide QRFP8WZ2-QRFP-Orexigenic Neuropeptide QRFP-chim(NtGi1L-Gs-CtGq)/β1/γ2
7.14Single8XBHPubChem 1626566368XBH-GPR34-PubChem 162656636-Gi1/β1/γ2
7.14Single9MEJGp1209MEJ-CXCR4-Gp120
7.14Single9UMRC5a-pep9UMR-C5a1-C5a-pep-Go/β1/γ2
7.14Consensusccr1_onOrthosteric Ligand7VLA-CCR1-CCL15(27-92)-Gi1/β1/γ2
7.14Consensusccr1_on_gpOrthosteric Ligand7VLA-CCR1-CCL15(27-92)-Gi1/β1/γ2
7.14Consensusclass-b2_onOrthosteric Ligandadgrg_on adgrf_on adgrl_on adgre_on adgrd_on
7.14Consensusclass-b2_on_gpOrthosteric Ligandadgrg_on_gp adgrf_on_gp adgrl_on_gp adgre_on_gp adgrd_on_gp
7.14Consensusnk3_onOrthosteric Ligand8JBF-NK3-Senktide-chim(NtGi1-Gs-CtGq)/β1/γ2
7.14Consensusnk3_on_gpOrthosteric Ligand8JBF-NK3-Senktide-chim(NtGi1-Gs-CtGq)/β1/γ2
7.14Consensusp2y_onOrthosteric Ligandp2y1_on p2y10_on p2y12_on
7.14Consensussomatostatin_offOrthosteric Ligandsst2_off
6.90Single7EZKCholecystokinin-87EZK-CCKA-Cholecystokinin-8-chim(NtGi1-Gs)/β1/γ2
6.90Single7F1QCCL37F1Q-CCR5-CCL3-Gi1/β1/γ2
6.90Single7VBITirzepatide (non-acylated)7VBI-GLP-1-Tirzepatide (non-acylated)-Gs/β1/γ2
6.90Single8IBVMotilin8IBV-Motilin-Motilin-chim(NtGi1-Gs-CtGq)/β1/γ2
6.90Single8IEBPubChem 1347468948IEB-GPR156; GPR156-PubChem 134746894
6.90Single8IOCGamma-MSH8IOC-MC3-γ-MSH-Ca-chim(NtGi1-Gs)/β1/γ2
6.90Single9E82CXCL12 (fragment)9E82-ACKR3-CXCL12 (fragment)-Arrestin2
6.90Single9IK8Pasireotide9IK8-SST1-Pasireotide-Gi1/β1/γ2
6.90Single9J0FNADH9J0F-P2Y14-NADH-Gi1/β1/γ2
6.90Consensusghrelin_onOrthosteric Ligand7NA7-Ghrelin-Ghrelin-Gi1/β1/γ2 7F9Z-Ghrelin-GHRP-6-chim(NtGi1-Gs-CtGq)/β1/γ2 7NA8-Ghrelin-Ibutamoren-Gi1/β1/γ2
6.90Consensusghrelin_on_gpOrthosteric Ligand7NA7-Ghrelin-Ghrelin-Gi1/β1/γ2 7F9Z-Ghrelin-GHRP-6-chim(NtGi1-Gs-CtGq)/β1/γ2 7NA8-Ghrelin-Ibutamoren-Gi1/β1/γ2
6.90Consensustachykinin_on_gpOrthosteric Ligandnk1_on_gp nk2_on_gp nk3_on_gp
6.67Single7T6TfMLFII7T6T-FPR1-ALX-fMLFII-Gi1/β1/γ2
6.67Single7W55Neuromedin-U-257W55-NMUR2-Neuromedin-U-25-chim(NtGi1-Gs-CtGq)/β1/γ2
6.67Single8K6MNeuropeptide-Y8K6M-Y1-Neuropeptide-Y-Gi2/β1/γ1
6.67Single8K6NNeuropeptide-Y8K6N-Y2-Neuropeptide-Y-Gi2/β1/γ1
6.67Single8TLMAnti-murine CCR8 antibody8TLM-CCR8-Anti-murine CCR8 antibody
6.67Single8XZHMM078XZH-Apelin; Apelin-MM07-Gi1/β1/γ2
6.67Single9B5YLA-PTH Analog9B5Y-PTH1-LA-PTH Analog-chim(NtGi1-Gq)/β1/γ2
6.67Consensusgs_cckOrthosteric Ligand7MBX-CCKA-Cholecystokinin-8-Gs/β1/γ1
6.67Consensusmc3_onOrthosteric Ligand8IOC-MC3-γ-MSH-Ca-chim(NtGi1-Gs)/β1/γ2
6.67Consensusmc3_on_gpOrthosteric Ligand8IOC-MC3-γ-MSH-Ca-chim(NtGi1-Gs)/β1/γ2
6.67Consensusnmur2_onOrthosteric Ligand7W55-NMUR2-Neuromedin-U-25-chim(NtGi1-Gs-CtGq)/β1/γ2
6.67Consensusnmur2_on_gpOrthosteric Ligand7W55-NMUR2-Neuromedin-U-25-chim(NtGi1-Gs-CtGq)/β1/γ2
6.67Consensusnpy1_onOrthosteric Ligand8K6M-Y1-Neuropeptide-Y-Gi2/β1/γ1
6.67Consensusnpy1_on_gpOrthosteric Ligand8K6M-Y1-Neuropeptide-Y-Gi2/β1/γ1
6.45Single8IEDPubChem 1347468948IED-GPR156; GPR156-PubChem 134746894-Go/β1/γ2
6.45Single8IEDPubChem 1347468948IED-GPR156; GPR156-PubChem 134746894-Go/β1/γ2
6.45Consensusgi_formylpeptideOrthosteric Ligand7WVY-FPR2-ALX-Amyloid-β42-Gi2/β1/γ2 7T6U-FPR2-ALX-CGEN-855A-Gi1/β1/γ2 7VFX-FPR1-ALX-fMIFL-Gi1/β1/γ2 7T6V-FPR2-ALX-fMLFII-Gi1/β1/γ2 7WVX-FPR2-ALX-Humanin-Gi2/β1/γ2 7T6S-FPR2-ALX-TC-FPR 43-Gi1/β1/γ2 6OMM-FPR2-ALX-WKYMVX-Gi1/β1/γ2
6.45Consensusp2y_on_gpOrthosteric Ligandp2y1_on_gp p2y10_on_gp p2y12_on_gp
6.25Single4A4MAll-trans-Retinal4A4M-Rhodopsin-All-trans-Retinal-Gt(CT)
6.25Single5EN0All-trans-Retinal5EN0-Rhodopsin-All-trans-Retinal-Gt(CT)
6.25Single5MZPCaffeine5MZP-A2A-Caffeine-Na
6.25Single6X18GLP-16X18-GLP-1-GLP-1-Gs/β1/γ2
6.25Single8IODPG-9018IOD-MC5-PG-901-Ca-chim(NtGi1-Gs)/β1/γ2
6.25Consensusvpac_onOrthosteric Ligandvpac1_on vpac2_on
6.06Single7SK4CXCL12_LRHQ7SK4-ACKR3-CXCL12_LRHQ
6.06Single8XQFApelin-138XQF-Apelin-Apelin-13-Gi1/β1/γ2
6.06Consensusvpac_on_gpOrthosteric Ligandvpac1_on_gp vpac2_on_gp
5.88Single6VCBLSN31604406VCB-GLP-1-GLP-1-LSN3160440-Gs/β1/γ2
5.88Single7V68LY21196207V68-M4-Iperoxo-LY2119620-Gi1/β1/γ2
5.88Single7WC4Serotonin7WC4-5-HT2A-Serotonin
5.88Single7XKDDehydroepiandrosterone7XKD-ADGRG2-Dehydroepiandrosterone-Gs/β1/γ2
5.88Single8HQMNPGLY8HQM-GPR132-NPGLY-Gi1/β1/γ2
5.88Single8HVINOX-6-78HVI-GPR132-NOX-6-7-Gi1/β1/γ2
5.88Single8X9S5alpha-DHT8X9S-ADGRD1-5α-DHT-chim(NtGi1-Gs)/β1/γ2
5.88Consensusp2y10_on_gpOrthosteric Ligand8KGG-P2Y10-Lysophosphatidylserine (WJS)-chim(NtGi2-G13)/β1/γ2
5.71Single6LMKGlucagon6LMK-Glucagon-Glucagon-Gs/β1/γ2
5.71Single8KGGLysophosphatidylserine (WJS)8KGG-P2Y10-Lysophosphatidylserine (WJS)-chim(NtGi2-G13)/β1/γ2
5.56Single3RFMCaffeine3RFM-A2A-Caffeine
5.56Single6OY9All-trans-Retinal6OY9-Rhodopsin-All-trans-Retinal-Gt/β1/γ1
5.56Single6TQ9SB-4081246TQ9-OX1-SB-408124
5.56Single6XBM25(S)-Epoxycholesterol6XBM-SMO-25(S)-Epoxycholesterol-Gi1/β1/γ2
5.56Single7TYXAmylin7TYX-CT (AMY2)-Amylin-Gs/β1/γ2; RAMP2
5.56Single7VDMSubstance-P7VDM-MRGPRX2-Substance-P-Gi1/β1/γ2
5.56Single8U4QREGN7663-Fab8U4Q-CXCR4-REGN7663-Fab-Gi1/β1/γ2
5.56Single9IVMLSN33188399IVM-GLP-1-GLP-1 (Truncated)-LSN3318839-chim(NtGi1-Gs)/β2/γ2
5.56Single9M42A1L8O9M42-GPR139-A1L8O-chim(Gs-CtGq)/β1/γ2
5.56Consensusgs_histamineOrthosteric Ligand8POK-H2-Histamine-Gs/β1/γ2
5.56Consensush2_onOrthosteric Ligand8POK-H2-Histamine-Gs/β1/γ2
5.56Consensusp2y_offOrthosteric Ligandp2y1_off
5.26Single2ZIY11-cis-Retinal2ZIY-Rhodopsin-11-cis-Retinal
5.26Single4XNWMRS25004XNW-P2Y1-MRS2500
5.26Single5WKTOctyl-Beta-D-Glucopyranoside5WKT-Rhodopsin-Octyl-β-D-Glucopyranoside-Gt(CT)
5.26Single6FK9PubChem 1324730366FK9-Rhodopsin-PubChem 132473036
5.26Single6ME5Agomelatine6ME5-MT1-Agomelatine
5.26Single6OIKLY21196206OIK-M2-Iperoxo-LY2119620-chim(NtGi1-Go)/β1/γ2
5.26Single6PWCNeurotensin-(9-13)6PWC-NTS1-Neurotensin-(9-13)-Arrestin2
5.26Single8DPILorcaserin8DPI-5-HT2C-Lorcaserin-chim(NtGi2L-Gs-CtGq)/β1/γ2
5.26Single8F76Propanoic acid8F76-OR51E2-Propanoic acid-Gs/β1/γ2
5.26Single8J6QPubChem 251012238J6Q-HCA2-β-Hydroxybutyrate-PubChem 25101223-Gi1/β1/γ2
5.26Single8POKHistamine8POK-H2-Histamine-Gs/β1/γ2
5.26Single8SZFCa; Ca; Tryptophan; Cinacalcet; PO4; Spermine8SZF-CaS; CaS-Ca; Ca; Tryptophan; Cinacalcet; PO4; Spermine
5.26Single8X9UMetenolone8X9U-ADGRD1-Metenolone-chim(NtGi1-Gs)/β1/γ2
5.26Single8Y63C20:0 Ceramide8Y63-FPR2-ALX-C20:0 Ceramide-Gi1/β1/γ2
5.26Single9JHJC18:0 Ceramide9JHJ-FPR2-ALX-C18:0 Ceramide-Gi1/β1/γ2
5.26Single9LL7DOI9LL7-5-HT2A-DOI-Gi1/β1/γ2
5.26Single9MBCAZ122160529MBC-mGlu8; mGlu8-DCPG-AZ12216052
5.26Consensush2_on_gpOrthosteric Ligand8POK-H2-Histamine-Gs/β1/γ2
5.26Consensusp2y1_offOrthosteric Ligand4XNW-P2Y1-MRS2500
5.00Single3AYMAll-trans-Retinal3AYM-Rhodopsin-All-trans-Retinal
5.00Single6FK6PubChem 1324730336FK6-Rhodopsin-PubChem 132473033
5.00Single6HLLCP999946HLL-NK1-CP99994
5.00Single6I9K9-cis-Retinal6I9K-Rhodopsin-9-cis-Retinal
5.00Single6PGSGeraniol6PGS-Rhodopsin-Geraniol-Gt(CT)
5.00Single6PH7Nerol6PH7-Rhodopsin-Nerol-Gt(CT)
5.00Single6TP4ACT-4622066TP4-OX1-ACT-462206
5.00Single6TQ4PubChem 160468446TQ4-OX1-PubChem 16046844-Na
5.00Single7S8NR-Zinc-35737S8N-MRGPRX2-R-Zinc-3573-chim(NtGi2L-Gs-CtGq)/β1/γ2
5.00Single7S8OR-Zinc-35737S8O-MRGPRX2-R-Zinc-3573-Gi1/β1/γ2
5.00Single7V68Iperoxo7V68-M4-Iperoxo-LY2119620-Gi1/β1/γ2
5.00Single7VDHC48/807VDH-MRGPRX2-C48/80-Gi1/β1/γ2
5.00Single7XTBSerotonin7XTB-5-HT6-Serotonin-Gs/β1/γ2
5.00Single7YS6Serotonin7YS6-5-HT6-Serotonin-chim(NtGi1-Gs)/β1/γ2
5.00Single8A2PLUAA470708A2P-A2A-LUAA47070-Na
5.00Single8EF6Morphine8EF6-μ-Morphine-Gi1/β1/γ2
5.00Single8J6PPubChem 251012238J6P-HCA2-Niacin-PubChem 25101223-Gi1/β1/γ2
5.00Single8JHYPubChem 251012238JHY-HCA2-PubChem 25101223-Gi1/β1/γ2
5.00Single8JIIPubChem 251012238JII-HCA2-Niacin-PubChem 25101223-Gi1/β1/γ2
5.00Single8SZFCa; Ca; Tryptophan; Cinacalcet; PO4; Spermine8SZF-CaS; CaS-Ca; Ca; Tryptophan; Cinacalcet; PO4; Spermine
5.00Single8UO4Constrained Epinephrine8UO4-β2-Constrained Epinephrine-GTP; Mg-Gs/β1/γ2
5.00Single8X2KOleic monoethanolamide8X2K-GPR3-Oleic monoethanolamide-chim(NtGi1-Gs)/β1/γ2
5.00Single8YN2Histamine8YN2-H1-Histamine-chim(NtGi1L-Gs-CtGq)/β1/γ2
5.00Single8ZYUNeurotensin-(8-13)8ZYU-NTS1-Neurotensin-(8-13)-SBI-553-Arrestin2
5.00Single9AS2DMT9AS2-5-HT2A-DMT-chim(NtGi1-Gs-CtGq)/β1/γ2
5.00Single9AS7Psilocin9AS7-5-HT2A-Psilocin
5.00Single9E7RGB889E7R-PAR2-GB88-chim(NtGi1L-Gs-CtGq)/β1/γ2
5.00Single9M88Oleic monoethanolamide9M88-GPR3 ; GPR3-Oleic monoethanolamide-AF64394
5.00Single9MBCAZ122160529MBC-mGlu8; mGlu8-DCPG-AZ12216052
5.00Single9YDAAll-trans-Retinal9YDA-Opsin1MW-All-trans-Retinal-chim(NtGi1L-Gs-CtGt)/β1/γ2
5.00Consensusgq_nucleotideOrthosteric Ligandgq_p2y
5.00Consensusgq_p2yOrthosteric Ligand7XXH-P2Y1-2MeSADP-chim(NtGi1-G11)/β1/γ2
4.76Single2Z7311-cis-Retinal2Z73-Rhodopsin-11-cis-Retinal
4.76Single3AYN9-cis-Retinal3AYN-Rhodopsin-9-cis-Retinal
4.76Single4BWBNeurotensin-(8-12)4BWB-NTS1-Neurotensin-(8-12)
4.76Single4XNVBPTU4XNV-P2Y1-BPTU
4.76Single5OLVLUAA470705OLV-A2A-LUAA47070-Na
4.76Single6FKBPubChem 1324730386FKB-Rhodopsin-PubChem 132473038
4.76Single6LFOCXCL86LFO-CXCR2-CXCL8-Gi1/β1/γ2
4.76Single6ME2Ramelteon6ME2-MT1-Ramelteon
4.76Single6ME9Ramelteon6ME9-MT2-Ramelteon
4.76Single6NWEOctyl-Beta-D-Glucopyranoside6NWE-Rhodopsin-Octyl-β-D-Glucopyranoside-Gt(CT)
4.76Single6TQ6PubChem 1457142836TQ6-OX1-PubChem 145714283
4.76Single6WWZCCL206WWZ-CCR6-CCL20-Go/β1/γ2
4.76Single7BR3Elagolix7BR3-GnRH1-Elagolix
4.76Single7F8YDevazepide7F8Y-CCKA-Devazepide
4.76Single7M3FCa; Ca; Tryptophan; Cinacalcet7M3F-CaS; CaS-Ca; Ca; Tryptophan; Cinacalcet
4.76Single7S8PMS471347S8P-MRGPRX4-MS47134-chim(NtGi2L-Gs-CtGq)/β1/γ2
4.76Single7VIHCBP-3077VIH-S1P1-CBP-307-Gi1/β1/γ2
4.76Single7VV5C48/807VV5-MRGPRX2-C48/80-Gi1/β1/γ2
4.76Single7VVOPTH7VVO-PTH1-PTH-Gs/β1/γ2
4.76Single7W0MPubChem 1227019087W0M-Apelin-PubChem 122701908-Gi1/β1/γ2
4.76Single7X2FDopamine7X2F-D1-Dopamine-Mevidalen-Gs/β1/γ2
4.76Single7X5H5-CT7X5H-5-HT5A-5-CT-Gi1/β1/γ2
4.76Single7XJJGalanin7XJJ-GAL1-Galanin-Go/β1/γ2
4.76Single8DWHPubChem 1390305318DWH-MRGPRX1-PubChem 139030531-chim(NtGi2L-Gs-CtGq)/β1/γ2
4.76Single8U4SREGN7663-Fab8U4S-CXCR4-REGN7663-Fab
4.76Single8U4TREGN7663-Fab8U4T-CXCR4-REGN7663-Fab
4.76Single8U8FPalmitic Acid8U8F-GPR3-Palmitic Acid-Gs/β1/γ2
4.76Single8XXXCXCL68XXX-CXCR2-CXCL6-Go/β1/γ2
4.76Single8YNFCXCL88YNF-ACKR1-CXCL8
4.76Single8YUTAmthamine8YUT-H2-Amthamine-Gs/β1/γ2
4.76Single8YYWAlpha-ketoglutarate8YYW-Oxoglutarate-α-ketoglutarate-α-ketoglutarate-chim(Gi1-CtGq)/β1/γ2
4.76Single9C1PCa; Tryptophan; '6218; PO49C1P-CaS; CaS-Ca-Ca; Tryptophan; '6218; PO4
4.76Single9LKDPL459LKD-OR5V1-PL45
4.76Single9LL9DOI9LL9-5-HT2A-DOI-chim(NtGi1L-Gs-CtGq)/β1/γ2
4.76Single9LRBHistamine9LRB-H1-Histamine-Gs/β1/γ2
4.76Single9PEEPF-07054894; OXM29PEE-CCR6-PF-07054894; OXM2
4.76Consensus5ht_onOrthosteric Ligand5ht1_on 5ht2_on 5ht4_on 5ht5_on 5ht6_on 5ht7_on
4.76Consensusccr6_onOrthosteric Ligand6WWZ-CCR6-CCL20-Go/β1/γ2
4.76Consensusccr6_on_gpOrthosteric Ligand6WWZ-CCR6-CCL20-Go/β1/γ2
4.76Consensusgnrh1_offOrthosteric Ligand7BR3-GnRH1-Elagolix
4.76Consensusgs_5htOrthosteric Ligand7XTC-5-HT7-5-CT-Gs/β1/γ2 7XTB-5-HT6-Serotonin-Gs/β1/γ2 8JLZ-5-HT6-ST1936-Gs/β1/γ2 7XT8-5-HT4-Serotonin-Gs/β1/γ2
4.76Consensusp2y1_onOrthosteric Ligand7XXH-P2Y1-2MeSADP-chim(NtGi1-G11)/β1/γ2
4.55Single3RZECidoxepin3RZE-H1-Cidoxepin
4.55Single5TE3Octyl-Beta-D-Glucopyranoside5TE3-Rhodopsin-Octyl-β-D-Glucopyranoside
4.55Single5UVIZM-2413855UVI-A2A-ZM-241385
4.55Single6A94Zotepine6A94-5-HT2A-Zotepine
4.55Single6FK8PubChem 1324730356FK8-Rhodopsin-PubChem 132473035
4.55Single6FKAPubChem 1324730376FKA-Rhodopsin-PubChem 132473037
4.55Single6PELCitronellol6PEL-Rhodopsin-Citronellol-Gt(CT)
4.55Single6TPKRetosiban6TPK-OT-Retosiban
4.55Single6TPNHTL66416TPN-OX2-HTL6641
4.55Single6ZDVPubChem 9840736ZDV-A2A-PubChem 984073-Na
4.55Single7C2EPubChem 1490507997C2E-GLP-1-PubChem 149050799-Gs/β1/γ2
4.55Single7VODCariprazine7VOD-5-HT2A-Cariprazine
4.55Single7VV6C48/807VV6-MRGPRX2-C48/80
4.55Single8H4LDoconexent8H4L-FFA4-Doconexent-chim(NtGi1-Gs-CtGq)/β1/γ2
4.55Single8HQN9-S-HODE8HQN-GPR132-9-S-HODE-Gi1/β1/γ2
4.55Single8JD6VU03647708JD6-mGlu4; mGlu4-Phosphoserine-VU0364770-Gi3/β1/γ2
4.55Single8JSPUlotaront8JSP-5-HT1A-Ulotaront-Gi1/β1/γ2
4.55Single8K4NPubChem 1687197658K4N-GPR34-PubChem 168719765-Gi1/β1/γ2
4.55Single8Y62C16:0 Ceramide8Y62-FPR2-ALX-C16:0 Ceramide-Gi1/β1/γ2
4.55Single8ZMGPimavanserin8ZMG-5-HT2A-Pimavanserin
4.55Single9ARXSerotonin9ARX-5-HT2A-Serotonin
4.55Single9DQJEP-39459DQJ-MRGPRD-EP-3945-chim(NtGi1-Gs-CtGq)/β1/γ2
4.55Single9LKBPL459LKB-OR5V1-PL45-chim(NtGi1-Gs)/β1
4.55Single9LL8Psilocin9LL8-5-HT2A-Psilocin-Gi1/β1/γ2
4.55Consensusgrh_offOrthosteric Ligandgnrh1_off
4.55Consensusot_offOrthosteric Ligand6TPK-OT-Retosiban
4.55Consensusvasop-oxy_offOrthosteric Ligandot_off
4.35Single5T04Neurotensin-(8-13)5T04-NTS1-Neurotensin-(8-13)
4.35Single6FK7PubChem 1324730346FK7-Rhodopsin-PubChem 132473034
4.35Single6FKCPubChem 1324730396FKC-Rhodopsin-PubChem 132473039
4.35Single6FKDPubChem 1373491836FKD-Rhodopsin-PubChem 137349183
4.35Single6ORVTT-OAD26ORV-GLP-1-TT-OAD2-Gs/β1/γ2
4.35Single6X1ADanuglipron6X1A-GLP-1-Danuglipron-Gs/β1/γ2
4.35Single6Z4VNeurotensin-(9-13)6Z4V-NTS1-Neurotensin-(9-13)
4.35Single7DB6Ramelteon7DB6-MT1-Ramelteon-Gi1/β1/γ2
4.35Single7LCKDanuglipron7LCK-GLP-1-Danuglipron
4.35Single7NA8Ibutamoren7NA8-Ghrelin-Ibutamoren-Gi1/β1/γ2
4.35Single7S15PubChem 1346112237S15-GLP-1-PubChem 134611223
4.35Single7SK8CXCL127SK8-ACKR3-CXCL12-CCX662
4.35Single7T6VfMLFII7T6V-FPR2-ALX-fMLFII-Gi1/β1/γ2
4.35Single7VH0Ramelteon7VH0-MT2-Ramelteon-Gi1/β1/γ1
4.35Single7VIFFTY720-P7VIF-S1P1-FTY720-P-Gi1/β1/γ2
4.35Single7WQ3Galanin7WQ3-GAL1-Galanin-Gi1/β1/γ2
4.35Single7XTC5-CT7XTC-5-HT7-5-CT-Gs/β1/γ2
4.35Single8EFQDAMGO8EFQ-μ-DAMGO-Gi1/β1/γ2
4.35Single8EJKTAK-8758EJK-FFA1-TAK-875-chim(NtGi1L-Gs-CtGq)/β1/γ2
4.35Single8JT8(R)-IHCH-71798JT8-5-HT2A-(R)-IHCH-7179
4.35Single8ZBEOctreotide8ZBE-SST5-Octreotide-Gi1/β1/γ1
4.35Single9IYAONO-97105319IYA-GPR55-ONO-9710531
4.35Single9LLAAriadne9LLA-5-HT2A-Ariadne-chim(NtGi1L-Gs-CtGq)/β1/γ2
4.35Single9METGp120; CD49MET-CXCR4-Gp120; CD4
4.35Consensus5ht7_onOrthosteric Ligand7XTC-5-HT7-5-CT-Gs/β1/γ2
4.35Consensus5ht7_on_gpOrthosteric Ligand7XTC-5-HT7-5-CT-Gs/β1/γ2
4.35Consensuscck_offOrthosteric Ligandccka_off
4.35Consensusccka_offOrthosteric Ligand7F8Y-CCKA-Devazepide 7F8U-CCKA-Lintitript
4.35Consensusgal1_onOrthosteric Ligand7WQ3-GAL1-Galanin-Gi1/β1/γ2
4.35Consensusgal1_on_gpOrthosteric Ligand7WQ3-GAL1-Galanin-Gi1/β1/γ2
4.35Consensusgi_galaninOrthosteric Ligand7WQ3-GAL1-Galanin-Gi1/β1/γ2
4.17Single4PHUFasiglifam4PHU-FFA1-Fasiglifam
4.17Single5ZBQUR-MK-2995ZBQ-Y1-UR-MK-299
4.17Single7BB7AVP7BB7-V2-AVP-Gs/β1/γ2
4.17Single7E9GJNJ-404118137E9G-mGlu2; mGlu2-Eglumetad-JNJ-40411813-Gi1/β1/γ2
4.17Single7EUOfMLF7EUO-FPR1-ALX-fMLF-Gi1/β1/γ2
4.17Single7Y26Octreotide7Y26-SST2-Octreotide-chim(NtGi2L-Gs-CtGq)/β1/γ2
4.17Single8EJCTAK-8758EJC-FFA1-TAK-875-chim(NtGi1L-Gs-CtGq)/β1/γ2
4.17Single8ID4Linoleic acid8ID4-FFA4-Linoleic acid-Gi1/β1/γ2
4.17Single8IZ4Lysophosphatidylserine (TJR)8IZ4-GPR34-Lysophosphatidylserine (TJR)-Gi1/β1/γ2
4.17Single8ZYTNeurotensin-(8-13)8ZYT-NTS1-Neurotensin-(8-13)-SBI-553-Arrestin2
4.17Single9ARYSerotonin9ARY-5-HT2A-Serotonin-chim(NtGi1-Gs-CtGq)/β1/γ2
4.17Single9DQHEP-28259DQH-MRGPRD-EP-2825-chim(NtGi1-Gs-CtGq)/β1/γ2
4.17Consensuscyslt_offOrthosteric Ligandcyslt2_off cyslt1_off
4.00Single3ZEVNeurotensin-(7-13)3ZEV-NTS1-Neurotensin-(7-13)
4.00Single4BV0Neurotensin-(7-13)4BV0-NTS1-Neurotensin-(7-13)
4.00Single5TZRMK86665TZR-FFA1-MK8666
4.00Single6DDEDAMGO6DDE-μ-DAMGO-Gi1/β1/γ2
4.00Single6E59L-7607356E59-NK1-L-760735
4.00Single6J20Aprepitant6J20-NK1-Aprepitant
4.00Single6RZ5Zafirlukast6RZ5-CysLT1-Zafirlukast-Na
4.00Single6Z8NSRI-98296Z8N-NTS1-SRI-9829
4.00Single7EW4CYM-55417EW4-S1P3-CYM-5541-Gi1/β1/γ2
4.00Single7L0PNeurotensin-(8-13)7L0P-NTS1-Neurotensin-(8-13)-Gi1/β1/γ1
4.00Single7L0QNeurotensin-(8-13)7L0Q-NTS1-Neurotensin-(8-13)-Gi1/β1/γ1
4.00Single7SK7CXCL127SK7-ACKR3-CXCL12-CCX662
4.00Single7WVXHumanin7WVX-FPR2-ALX-Humanin-Gi2/β1/γ2
4.00Single7XBDGalanin7XBD-GAL2-Galanin-chim(NtGi2L-Gs-CtGq)/β1/γ2
4.00Single7XJLSpexin7XJL-GAL2-Spexin-chim(NtGi2L-Gs-CtGq)/β1/γ2
4.00Single7XWONeurokinin-A7XWO-NK2-Neurokinin-A-chim(NtGi1-Gs-CtGq)/β1/γ2
4.00Single8FMZNeurotensin-(8-13)8FMZ-NTS1-Neurotensin-(8-13)-chim(NtGi2L-Gs-CtGq)/β1/γ2
4.00Single8FN1Neurotensin-(8-13)8FN1-NTS1-Neurotensin-(8-13)-chim(NtGi1-Go)/β1/γ2
4.00Single8HDOBAY 60-65838HDO-A2B-BAY 60-6583-Gs/β1/γ2
4.00Single8ID39-Hydroxystearic acid8ID3-FFA4-9-Hydroxystearic acid-Gi1/β1/γ2
4.00Single8JBGNeurokinin-B8JBG-NK3-Neurokinin-B-chim(NtGi1-Gs-CtGq)/β1/γ2
4.00Single8JD5JNJ-40411813; ADX881788JD5-mGlu2; mGlu4-Glutamate-JNJ-40411813; ADX88178-Gi1/β1/γ2
4.00Single8JD5JNJ-40411813; ADX881788JD5-mGlu2; mGlu4-Glutamate-JNJ-40411813; ADX88178-Gi1/β1/γ2
4.00Single8JZPC5a8JZP-C5a1-C5a-Go/β1/γ2
4.00Single8XBIPubChem 1626566368XBI-GPR34-PubChem 162656636
4.00Single8XX7CXCL58XX7-CXCR2-CXCL5-Go/β1/γ2
4.00Single8Y73Peptide8Y73-μ-Peptide-MPAM-15-Gi1/β1/γ2
4.00Single9ITELPA9ITE-LPA6-LPA-chim(NtGi2-G13)/β1/γ2
4.00Single9UY3Anamorelin9UY3-Ghrelin-Anamorelin-chim(NtGi1-Gs-CtGq)/β1/γ2
4.00Consensusffa2_onOrthosteric Ligand8J22-FFA2-TUG-1375-Gi1/β1/γ2
4.00Consensusffa_onOrthosteric Ligandffa2_on ffa3_on
4.00Consensusffa_on_gpOrthosteric Ligandffa2_on_gp ffa3_on_gp
4.00Consensusgi_ffaOrthosteric Ligand8J21-FFA3-Butyric acid-Gi1/β1/γ2 8J22-FFA2-TUG-1375-Gi1/β1/γ2
4.00Consensusneurotensin_onOrthosteric Ligandnts1_on
4.00Consensusnk2_on_gpOrthosteric Ligand7XWO-NK2-Neurokinin-A-chim(NtGi1-Gs-CtGq)/β1/γ2
4.00Consensusnpy1_offOrthosteric Ligand5ZBH-Y1-BMS-193885 5ZBQ-Y1-UR-MK-299
4.00Consensusnts1_onOrthosteric Ligand6OSA-NTS1-JMV449-Gi1/β1/γ2 7L0S-NTS1-Neurotensin-(8-13)-Gi1/β1/γ1
3.85Single3VW7Vorapaxar; Na3VW7-PAR1-Vorapaxar; Na
3.85Single4GRVNeurotensin-(8-13)4GRV-NTS1-Neurotensin-(8-13)
3.85Single4PXZ2MeSADP4PXZ-P2Y12-2MeSADP
3.85Single4PY02MeSATP4PY0-P2Y12-2MeSATP
3.85Single4XEENeurotensin-(8-13)4XEE-NTS1-Neurotensin-(8-13)
3.85Single4XESNeurotensin-(8-13)4XES-NTS1-Neurotensin-(8-13)
3.85Single5TZYMK8666; AP85TZY-FFA1-MK8666; AP8
3.85Single6OSAJMV4496OSA-NTS1-JMV449-Gi1/β1/γ2
3.85Single6RZ7ONO-25703666RZ7-CysLT2-ONO-2570366
3.85Single6XOXOrforglipron6XOX-GLP-1-Orforglipron-chim(NtGi1-Gs)/β1/γ2
3.85Single6YVRNeurotensin-(6-13)6YVR-NTS1-Neurotensin-(6-13)
3.85Single7L0SNeurotensin-(8-13)7L0S-NTS1-Neurotensin-(8-13)-Gi1/β1/γ1
3.85Single7WCMMBX-29827WCM-GPR119-MBX-2982-Gs/β1/γ2
3.85Single7WQ4Galanin7WQ4-GAL2-Galanin-chim(NtGi1-Gs-CtGq)/β1/γ2
3.85Single7XJKGalanin7XJK-GAL2-Galanin-chim(NtGi2L-Gs-CtGq)/β1/γ2
3.85Single7XW5ML1097XW5-TSH-TSH-ML109-Gs/β1/γ2
3.85Single8DWCBAM8-228DWC-MRGPRX1-BAM8-22-chim(NtGi2L-Gs-CtGq)/β1/γ2
3.85Single8H0QGastrin Releasing Peptide8H0Q-BB2-Gastrin Releasing Peptide-chim(NtGi1-Gs-CtGq)/β1/γ2
3.85Single8JD3JNJ-404118138JD3-mGlu2; mGlu3-Glutamate-JNJ-40411813-Gi1/β1/γ2
3.85Single8JPBNeurotensin-(8-13)8JPB-NTS1-Neurotensin-(8-13)-SBI-553; GDP; Mg-Gq; GRK2
3.85Single8JPCNeurotensin-(8-13)8JPC-NTS1-Neurotensin-(8-13)-SBI-553; GDP; Mg-Gq; GRK2
3.85Single8T3QDoconexent8T3Q-FFA4-Doconexent-chim(NtGi2L-Gs-CtGq)/β1/γ2
3.85Single8U26Substance-P8U26-NK1-Substance-P-Gs/β1/γ2
3.85Single8WRBLysophosphatidylserine (UBL)8WRB-GPR34-Lysophosphatidylserine (UBL)-Gi1/β1/γ2
3.85Single8XQJJN2418XQJ-Apelin; Apelin-JN241
3.85Single8XWACXCL18XWA-CXCR2-CXCL1
3.85Single8XWMCXCL68XWM-CXCR2-CXCL6
3.85Single8XWSCXCL58XWS-CXCR2-CXCL5
3.85Single8Y6WTUG-13758Y6W-FFA2-TUG-1375-4-CMTB-Gi1/β1/γ2
3.85Single9ECJS-geranylgeranyl-L-glutathione9ECJ-P2Y8-S-geranylgeranyl-L-glutathione-G13/β1/γ2
3.85Single9VIFNeuropeptide-VF9VIF-NPFF1-Neuropeptide-VF-Gi1/β1/γ2
3.85Single9W32SSTR5 antagonist 19W32-SST5-SSTR5 antagonist 1
3.85Consensusffa2_on_gpOrthosteric Ligand8J22-FFA2-TUG-1375-Gi1/β1/γ2
3.85Consensusgalanin_onOrthosteric Ligandgal2_on gal1_on
3.85Consensusgalanin_on_gpOrthosteric Ligandgal2_on_gp gal1_on_gp
3.85Consensusgi_neurotensinOrthosteric Ligand6OSA-NTS1-JMV449-Gi1/β1/γ2 7L0S-NTS1-Neurotensin-(8-13)-Gi1/β1/γ1
3.85Consensusneurotensin_on_gpOrthosteric Ligandnts1_on_gp
3.85Consensusnts1_on_gpOrthosteric Ligand6OSA-NTS1-JMV449-Gi1/β1/γ2 7L0S-NTS1-Neurotensin-(8-13)-Gi1/β1/γ1
3.70Single4BUONeurotensin-(8-13)4BUO-NTS1-Neurotensin-(8-13)
3.70Single6RZ9ONO-27703726RZ9-CysLT2-ONO-2770372
3.70Single6UP7Neurotensin-(8-13)6UP7-NTS1-Neurotensin-(8-13)-Arrestin2
3.70Single7WVVfMLFII7WVV-FPR2-ALX-fMLFII-Gi2/β1/γ2
3.70Single8FN0Neurotensin-(8-13)8FN0-NTS1-Neurotensin-(8-13)-SBI-553-chim(NtGi1-Go)/β1/γ2
3.70Single8JPFNeurotensin-(8-13)8JPF-NTS1-Neurotensin-(8-13)-SBI-553
3.70Single8T3OTUG-8918T3O-FFA4-TUG-891-chim(NtGi2L-Gs-CtGq)/β1/γ2
3.70Single8XWVCXCL18XWV-CXCR2-CXCL1-Go/β1/γ2
3.70Single9YDRDADLE9YDR-δ-DADLE-MIPS3983-chim(NtGi1L-Gs-CtGi1)/β1/γ2
3.70Consensuscyslt2_offOrthosteric Ligand6RZ7-CysLT2-ONO-2570366 6RZ8-CysLT2-ONO-2080365 6RZ9-CysLT2-ONO-2770372
3.70Consensusgal2_onOrthosteric Ligand7WQ4-GAL2-Galanin-chim(NtGi1-Gs-CtGq)/β1/γ2 7XJL-GAL2-Spexin-chim(NtGi2L-Gs-CtGq)/β1/γ2
3.70Consensusgal2_on_gpOrthosteric Ligand7WQ4-GAL2-Galanin-chim(NtGi1-Gs-CtGq)/β1/γ2 7XJL-GAL2-Spexin-chim(NtGi2L-Gs-CtGq)/β1/γ2
3.70Consensusnk2_onOrthosteric Ligand7XWO-NK2-Neurokinin-A-chim(NtGi1-Gs-CtGq)/β1/γ2
3.57Single6KNMJN241-96KNM-Apelin-JN241-9
3.57Single6OMMWKYMVX6OMM-FPR2-ALX-WKYMVX-Gi1/β1/γ2
3.57Single6OS9JMV4496OS9-NTS1-JMV449-Gi1/β1/γ2
3.57Single6RZ6ONO-25703666RZ6-CysLT2-ONO-2570366
3.57Single7F9ZGHRP-67F9Z-Ghrelin-GHRP-6-chim(NtGi1-Gs-CtGq)/β1/γ2
3.57Single8J22TUG-13758J22-FFA2-TUG-1375-Gi1/β1/γ2
3.57Single8SAILysophosphatidylserine (S12)8SAI-GPR34-Lysophosphatidylserine (S12)-Gi1/β1/γ2
3.57Single8XQJJN2418XQJ-Apelin; Apelin-JN241
3.57Single8Z74JN241-98Z74-Apelin; Apelin-JN241-9
3.57Single8Z74JN241-98Z74-Apelin; Apelin-JN241-9
3.57Single9ITBLPA9ITB-LPA6-LPA-chim(NtGi1-Gs-CtGq)/β1/γ2
3.57Single9JH6C20:0 Ceramide9JH6-CysLT2-C20:0 Ceramide-chim(NtGi1-Gs-CtGq)/β1/γ2
3.57Consensusformylpeptide_onOrthosteric Ligandfpr2-alx_on fpr1-alx_on
3.57Consensuskiss1_onOrthosteric Ligand8ZJD-Kiss1-Kisspeptin-1-chim(NtGi1-Gq)/β1/γ1
3.57Consensuskisspeptin_onOrthosteric Ligandkiss1_on
3.45Single6RZ8ONO-20803656RZ8-CysLT2-ONO-2080365
3.45Single7L0RNeurotensin-(8-13)7L0R-NTS1-Neurotensin-(8-13)-Gi1/β1/γ1
3.45Single8DWGBAM8-228DWG-MRGPRX1-BAM8-22-ML382-chim(NtGi2L-Gs-CtGq)/β1/γ2
3.45Single8F7XNociceptin8F7X-NOP-Nociceptin-Gi1/β1/γ2
3.45Single8IZBLysophosphatidylserine (UBL)8IZB-GPR174-Lysophosphatidylserine (UBL)-Gs/β1/γ2
3.45Single8ZJDKisspeptin-18ZJD-Kiss1-Kisspeptin-1-chim(NtGi1-Gq)/β1/γ1
3.45Single9J0IUDP-Glucuronic acid9J0I-P2Y14-UDP-Glucuronic acid-Gi1/β1/γ2
3.45Single9UYLChemerin-99UYL-CML2-Chemerin-9-Arrestin2
3.45Consensusgq_kisspeptinOrthosteric Ligand8ZJD-Kiss1-Kisspeptin-1-chim(NtGi1-Gq)/β1/γ1
3.45Consensuskiss1_on_gpOrthosteric Ligand8ZJD-Kiss1-Kisspeptin-1-chim(NtGi1-Gq)/β1/γ1
3.45Consensuskisspeptin_on_gpOrthosteric Ligandkiss1_on_gp
3.45Consensusnop_onOrthosteric Ligand8F7X-NOP-Nociceptin-Gi1/β1/γ2
3.45Consensusnop_on_gpOrthosteric Ligand8F7X-NOP-Nociceptin-Gi1/β1/γ2
3.33Single8K6ONeuropeptide-Y8K6O-Y1-Neuropeptide-Y-Gi2/β1/γ1
3.33Single8KH5Lysophosphatidylserine8KH5-GPR174-Lysophosphatidylserine-Gs/β1/γ2
3.33Consensusformylpeptide_on_gpOrthosteric Ligandfpr2-alx_on_gp fpr1-alx_on_gp
3.23Single7MBXCholecystokinin-87MBX-CCKA-Cholecystokinin-8-Gs/β1/γ1
3.23Consensusfpr2-alx_onOrthosteric Ligand7WVX-FPR2-ALX-Humanin-Gi2/β1/γ2 7T6U-FPR2-ALX-CGEN-855A-Gi1/β1/γ2 7T6V-FPR2-ALX-fMLFII-Gi1/β1/γ2 7WVY-FPR2-ALX-Amyloid-β42-Gi2/β1/γ2 7T6S-FPR2-ALX-TC-FPR 43-Gi1/β1/γ2 6OMM-FPR2-ALX-WKYMVX-Gi1/β1/γ2
3.12Consensusfpr2-alx_on_gpOrthosteric Ligand7WVX-FPR2-ALX-Humanin-Gi2/β1/γ2 7T6U-FPR2-ALX-CGEN-855A-Gi1/β1/γ2 7T6V-FPR2-ALX-fMLFII-Gi1/β1/γ2 7WVY-FPR2-ALX-Amyloid-β42-Gi2/β1/γ2 7T6S-FPR2-ALX-TC-FPR 43-Gi1/β1/γ2 6OMM-FPR2-ALX-WKYMVX-Gi1/β1/γ2
3.03Consensusp2y10_onOrthosteric Ligand8KGG-P2Y10-Lysophosphatidylserine (WJS)-chim(NtGi2-G13)/β1/γ2

PDB Summary
PDB 8ZW0
Class A
SubFamily Lipid
Type Prostaglandin
SubType DP1
Species Homo Sapiens
Ligand PGD2
Other Ligand(s) -
Protein Partners Gs/Beta1/Gamma2
PDB Resolution 2.72
Date 2025-05-28
D.O.I. doi.org/10.1073/pnas.2501902122
Net Summary
Imin 2.67
Number of Linked Nodes 893
Number of Links 1167
Number of Hubs 228
Number of Links mediated by Hubs 804
Number of Communities 24
Number of Nodes involved in Communities 331
Number of Links involved in Communities 513
Path Summary
Number Of Nodes in MetaPath 69
Number Of Links MetaPath 68
Number of Shortest Paths 4107450
Length Of Smallest Path 3
Average Path Length 33.5604
Length of Longest Path 57
Minimum Path Strength 1.345
Average Path Strength 5.95571
Maximum Path Strength 22.22
Minimum Path Correlation 0.7
Average Path Correlation 0.993767
Maximum Path Correlation 1
Minimum % Of Corr. Nodes 2.5641
Average % Of Corr. Nodes 39.0237
Maximum % Of Corr. Nodes 100
Minimum Path Hubs % 0
Average Path Hubs % 52.768
Maximum Path Hubs % 100
AnnotationTypeLinks
Gene OntologyMolecular Function• binding   • guanyl nucleotide binding   • GTP binding   • nucleotide binding   • guanyl ribonucleotide binding   • purine ribonucleotide binding   • purine ribonucleoside triphosphate binding   • nucleoside phosphate binding   • ion binding   • purine nucleotide binding   • anion binding   • heterocyclic compound binding   • carbohydrate derivative binding   • ribonucleotide binding   • small molecule binding   • D1 dopamine receptor binding   • protein binding   • signaling receptor binding   • G protein-coupled receptor binding   • dopamine receptor binding   • protein-containing complex binding   • G-protein beta/gamma-subunit complex binding   • pyrophosphatase activity   • GTPase activity   • G protein activity   • ribonucleoside triphosphate phosphatase activity   • molecular function regulator activity   • hydrolase activity, acting on acid anhydrides, in phosphorus-containing anhydrides   • hydrolase activity   • hydrolase activity, acting on acid anhydrides   • catalytic activity   • enzyme regulator activity   • cyclase regulator activity   • enzyme activator activity   • cyclase activator activity   • molecular function activator activity   • adenylate cyclase regulator activity   • adenylate cyclase activator activity   • cation binding   • metal ion binding   • developmental process   • multicellular organismal process   • epithelium development   • ectodermal placode morphogenesis   • epidermis development   • molting cycle process   • hair cycle   • animal organ development   • hair follicle placode formation   • tissue development   • ectodermal placode formation   • anatomical structure morphogenesis   • skin development   • skin epidermis development   • hair follicle development
Gene OntologyBiological Process• developmental process   • multicellular organismal process   • epithelium development   • ectodermal placode morphogenesis   • epidermis development   • molting cycle process   • hair cycle   • animal organ development   • hair follicle placode formation   • tissue development   • ectodermal placode formation   • anatomical structure morphogenesis   • skin development   • skin epidermis development   • hair follicle development   • molting cycle   • anatomical structure development   • anatomical structure formation involved in morphogenesis   • ectodermal placode development   • hair cycle process   • cellular homeostasis   • chemical homeostasis   • homeostatic process   • glucose homeostasis   • carbohydrate homeostasis   • intracellular chemical homeostasis   • intracellular glucose homeostasis   • system process   • regulation of biological process   • nervous system process   • neuromuscular process   • regulation of system process   • biological regulation   • skeletal muscle contraction   • muscle contraction   • muscle system process   • regulation of muscle system process   • striated muscle contraction   • multicellular organismal movement   • musculoskeletal movement   • regulation of striated muscle contraction   • regulation of muscle contraction   • regulation of skeletal muscle contraction   • regulation of multicellular organismal process   • sensory perception of chemical stimulus   • sensory perception   • sensory perception of smell   • cellular response to stimulus   • cellular response to nitrogen compound   • response to stimulus   • response to endogenous stimulus   • response to peptide hormone   • cellular response to peptide hormone stimulus   • response to oxygen-containing compound   • response to nitrogen compound   • response to glucagon   • cellular response to oxygen-containing compound   • cellular response to glucagon stimulus   • cellular response to endogenous stimulus   • cellular response to chemical stimulus   • response to hormone   • response to chemical   • cellular process   • cellular response to hormone stimulus   • multicellular organism development   • skeletal system development   • bone development   • system development   • response to pH   • cellular response to pH   • response to abiotic stimulus   • cellular response to acidic pH   • response to acidic pH   • cellular response to abiotic stimulus   • cellular response to environmental stimulus   • regulation of body fluid levels   • wound healing   • homotypic cell-cell adhesion   • cell activation   • hemostasis   • platelet aggregation   • blood coagulation   • cell adhesion   • cell-cell adhesion   • response to stress   • coagulation   • regulation of biological quality   • response to wounding   • platelet activation   • response to fluid shear stress   • vascular endothelial cell response to laminar fluid shear stress   • response to laminar fluid shear stress   • cellular response to stress   • cellular response to laminar fluid shear stress   • vascular endothelial cell response to fluid shear stress   • cellular response to fluid shear stress   • cognition   • developmental growth   • growth   • response to ketone   • response to prostaglandin   • response to lipid   • response to alcohol   • cellular response to prostaglandin stimulus   • cellular response to prostaglandin E stimulus   • cellular response to alcohol   • cellular response to lipid   • response to prostaglandin E   • cellular response to ketone   • regulation of cellular process   • signaling   • adenylate cyclase-activating G protein-coupled receptor signaling pathway   • cell communication   • adenylate cyclase-modulating G protein-coupled receptor signaling pathway   • G protein-coupled receptor signaling pathway   • signal transduction   • positive regulation of biological process   • adaptive thermogenesis   • multicellular organismal-level homeostasis   • regulation of cold-induced thermogenesis   • cold-induced thermogenesis   • temperature homeostasis   • positive regulation of cold-induced thermogenesis   • positive regulation of multicellular organismal process   • positive regulation of cell communication   • regulation of localization   • establishment of protein localization   • nitrogen compound transport   • positive regulation of establishment of protein localization   • localization   • establishment of localization in cell   • positive regulation of insulin secretion involved in cellular response to glucose stimulus   • positive regulation of insulin secretion   • intracellular protein localization   • regulation of peptide hormone secretion   • regulation of hormone levels   • positive regulation of peptide hormone secretion   • establishment of protein localization to extracellular region   • protein secretion   • establishment of localization   • regulation of protein secretion   • regulation of secretion   • cellular response to carbohydrate stimulus   • response to glucose   • positive regulation of protein localization   • insulin secretion involved in cellular response to glucose stimulus   • cellular localization   • regulation of hormone secretion   • regulation of protein localization   • regulation of peptide secretion   • transport   • positive regulation of secretion by cell   • hormone secretion   • protein localization to extracellular region   • positive regulation of protein transport   • peptide secretion   • regulation of secretion by cell   • secretion by cell   • positive regulation of hormone secretion   • response to monosaccharide   • response to carbohydrate   • positive regulation of secretion   • signal release   • cellular response to hexose stimulus   • cellular response to monosaccharide stimulus   • positive regulation of cellular process   • positive regulation of peptide secretion   • regulation of signaling   • regulation of transport   • secretion   • regulation of peptide transport   • regulation of establishment of protein localization   • export from cell   • cell-cell signaling   • cellular response to glucose stimulus   • regulation of protein transport   • positive regulation of protein secretion   • peptide transport   • response to hexose   • positive regulation of transport   • regulation of cellular localization   • protein transport   • regulation of insulin secretion   • peptide hormone secretion   • macromolecule localization   • regulation of insulin secretion involved in cellular response to glucose stimulus   • hormone transport   • regulation of cell communication   • insulin secretion   • positive regulation of signaling   • adenylate cyclase-activating adrenergic receptor signaling pathway   • adrenergic receptor signaling pathway   • response to dopamine   • cellular response to dopamine   • response to monoamine   • response to catecholamine   • cellular response to catecholamine stimulus   • serotonin receptor signaling pathway   • cellular response to monoamine stimulus   • adenylate cyclase-activating serotonin receptor signaling pathway   • intracellular transport   • regulation of defense response   • regulation of response to external stimulus   • negative regulation of inflammatory response   • negative regulation of biological process   • inflammatory response to antigenic stimulus   • regulation of response to stress   • regulation of immune system process   • negative regulation of inflammatory response to antigenic stimulus   • defense response   • immune response   • negative regulation of response to stimulus   • negative regulation of immune response   • regulation of inflammatory response to antigenic stimulus   • response to external stimulus   • regulation of inflammatory response   • regulation of response to stimulus   • negative regulation of immune system process   • immune system process   • negative regulation of response to external stimulus   • negative regulation of defense response   • regulation of immune response   • inflammatory response   • positive regulation of adenylate cyclase activity   • positive regulation of molecular function   • regulation of molecular function   • positive regulation of cyclase activity   • activation of adenylate cyclase activity   • regulation of adenylate cyclase activity   • regulation of catalytic activity   • positive regulation of catalytic activity   • positive regulation of lyase activity   • adenylate cyclase-activating dopamine receptor signaling pathway   • G protein-coupled dopamine receptor signaling pathway   • cell surface receptor signaling pathway   • bile acid signaling pathway   • adenylate cyclase-activating G protein-coupled bile acid receptor signaling pathway   • renal system process   • multicellular organismal-level water homeostasis   • multicellular organismal-level chemical homeostasis   • renal water homeostasis   • cellular anatomical structure   • membrane   • protein-containing complex   • extrinsic component of plasma membrane   • catalytic complex   • plasma membrane protein complex   • cytoplasmic side of membrane   • plasma membrane   • membrane protein complex   • heterotrimeric G-protein complex   • side of membrane   • cell periphery   • cytoplasmic side of plasma membrane   • GTPase complex
Gene OntologyCellular Component• cellular anatomical structure   • membrane   • protein-containing complex   • extrinsic component of plasma membrane   • catalytic complex   • plasma membrane protein complex   • cytoplasmic side of membrane   • plasma membrane   • membrane protein complex   • heterotrimeric G-protein complex   • side of membrane   • cell periphery   • cytoplasmic side of plasma membrane   • GTPase complex   • extrinsic component of membrane   • extrinsic component of cytoplasmic side of plasma membrane   • extracellular exosome   • membrane-bounded organelle   • extracellular vesicle   • extracellular organelle   • extracellular region   • organelle   • extracellular space   • vesicle   • extracellular membrane-bounded organelle   • intracellular anatomical structure   • cytoplasm   • cytosol   • Golgi apparatus subcompartment   • Golgi apparatus   • organelle subcompartment   • trans-Golgi network membrane   • intracellular membrane-bounded organelle   • endomembrane system   • intracellular organelle   • trans-Golgi network   • organelle membrane   • protein binding   • binding   • G-protein beta-subunit binding   • fibroblast proliferation   • cell population proliferation   • cellular process   • cellular response to nitrogen compound   • cellular response to stimulus   • response to dopamine   • regulation of cellular process   • response to stimulus   • signaling   • cellular response to dopamine   • response to monoamine   • cell communication   • response to catecholamine   • adenylate cyclase-activating dopamine receptor signaling pathway   • cellular response to catecholamine stimulus   • signal transduction   • regulation of biological process   • G protein-coupled dopamine receptor signaling pathway   • biological regulation   • response to oxygen-containing compound   • response to nitrogen compound   • adenylate cyclase-activating G protein-coupled receptor signaling pathway   • cellular response to oxygen-containing compound   • cellular response to chemical stimulus   • cellular response to monoamine stimulus   • response to chemical   • adenylate cyclase-modulating G protein-coupled receptor signaling pathway   • G protein-coupled receptor signaling pathway   • response to ketone   • response to prostaglandin   • response to lipid   • response to endogenous stimulus   • response to alcohol   • cellular response to prostaglandin stimulus   • cellular response to endogenous stimulus   • cellular response to prostaglandin E stimulus   • cellular response to alcohol   • response to hormone   • cellular response to lipid   • response to prostaglandin E   • cellular response to ketone   • cellular response to hormone stimulus   • synapse   • cell junction   • prostanoid receptor activity   • molecular transducer activity   • G protein-coupled receptor activity   • transmembrane signaling receptor activity   • signaling receptor activity   • icosanoid receptor activity   • prostaglandin D receptor activity   • prostaglandin receptor activity   • prostaglandin J receptor activity   • multicellular organismal process   • sleep   • positive regulation of cytosolic calcium ion concentration   • regulation of biological quality   • establishment of organelle localization   • regulated exocytosis   • cellular localization   • transport   • cell activation involved in immune response   • leukocyte degranulation   • myeloid leukocyte activation   • myeloid leukocyte mediated immunity   • vesicle-mediated transport   • leukocyte activation   • localization   • secretion by cell   • organelle localization   • leukocyte activation involved in immune response   • establishment of localization in cell   • mast cell activation   • leukocyte mediated immunity   • mast cell mediated immunity   • immune response   • secretion   • cell activation   • vacuolar localization   • export from cell   • mast cell degranulation   • establishment of localization   • myeloid cell activation involved in immune response   • immune effector process   • mast cell activation involved in immune response   • exocytosis   • immune system process   • lysosome localization   • developmental process   • multicellular organism development   • sex determination   • male sex determination   • reproductive process   • anatomical structure development   • developmental process involved in reproduction   • defense response   • response to stress   • inflammatory response   • cellular response to prostaglandin D stimulus   • response to prostaglandin D   • carbohydrate derivative metabolic process   • primary metabolic process   • nucleoside metabolic process   • purine-containing compound metabolic process   • nucleobase-containing compound metabolic process   • adenosine metabolic process   • nucleobase-containing small molecule metabolic process   • metabolic process   • small molecule metabolic process   • purine nucleoside metabolic process   • ribonucleoside metabolic process   • purine ribonucleoside metabolic process   • enzyme binding   • GTPase binding   • protein-containing complex binding   • pyrophosphatase activity   • GTPase activity   • ribonucleoside triphosphate phosphatase activity   • hydrolase activity, acting on acid anhydrides, in phosphorus-containing anhydrides   • hydrolase activity   • hydrolase activity, acting on acid anhydrides   • catalytic activity   • signaling receptor complex adaptor activity   • protein-macromolecule adaptor activity   • molecular adaptor activity   • signaling adaptor activity   • system process   • sensory perception of chemical stimulus   • sensory perception   • nervous system process   • sensory perception of taste   • sensory organ development   • eye development   • animal organ development   • retina development in camera-type eye   • visual system development   • camera-type eye development   • sensory system development   • system development   • small GTPase-mediated signal transduction   • Ras protein signal transduction   • intracellular signal transduction   • intracellular signaling cassette   • phospholipase C-activating G protein-coupled receptor signaling pathway   • synaptic signaling   • cellular response to acetylcholine   • cell-cell signaling   • acetylcholine receptor signaling pathway   • postsynaptic signal transduction   • G protein-coupled acetylcholine receptor signaling pathway   • response to acetylcholine   • non-motile cilium   • 9+0 non-motile cilium   • cilium   • neuron projection   • photoreceptor disc membrane   • photoreceptor outer segment   • plasma membrane bounded cell projection   • cell projection   • photoreceptor cell cilium   • vacuolar membrane   • lytic vacuole   • vacuole   • lytic vacuole membrane   • bounding membrane of organelle   • lysosomal membrane   • lysosome
SCOP2Domain Identifier• Transducin (heterotrimeric G protein), gamma chain
SCOP2Family Identifier• Transducin (heterotrimeric G protein), gamma chain
Membrane Protein Annotations-• Orientations of Proteins in Membranes database (OPM)   • Protein Data Bank of Transmembrane Proteins (PDBTM)   • MemProtMD


Details about the values in these tables can be found in the corresponding documentation page .
CodePG2
PDB ResiduesL:L:?1
Environment DetailsOpen EMBL-EBI Page
CodePG2
NameProstaglandin D2
Synonyms(5E,13E)-9,15-DIHYDROXY-11-OXOPROSTA-5,13-DIEN-1-OIC ACID
Identifier
FormulaC20 H32 O5
Molecular Weight352.465
SMILES
PubChem448457
Formal Charge0
Total Atoms57
Total Chiral Atoms4
Total Bonds57
Total Aromatic Bonds0

PDBsumOpen PDBsum Page
ChainA
ProteinG Protein α Sub unit
UniProtP63092
Sequence
>8ZW0_Chain_A
TEDQRNEEK AQREANKKI EKQLQKDKQ VYRATHRLL LLGAGESGK 
TIVKQMRIT SGIFETKFQ VDKVNFHMF DVGQRDERR KWIQCFNDV 
TAIIFVVAS SSYNTNRLQ ALLFSIWNN WLRSVILFL NKQDLLAEK 
VLAGKSKIE DYFPEFARY TTPEDATPE PGEDPRVTR AKYFIRDEF 
LRISTASGD GRHYCYPHF TCVDTENIR RVFNDCRDI IQRMHLRQY 
ELNAAKDKD TS


Click on each residue to open a popup with some information about it.

ConSurf Conservation Grade (See documentation): 

 n/a   1    2    3    4    5    6    7    8    9  

ChainB
ProteinG Protein β Sub unit
UniProtP62873
Sequence
>8ZW0_Chain_B
ELDQLRQEA EQLKNQIRD ARKACADAT LSQITNNID PVGRIQMRT 
RRTLRGHLA KIYAMHWGT DSRLLVSAS QDGKLIIWD SYTTNKVHA 
IPLRSSWVM TCAYAPSGN YVACGGLDN ICSIYNLKT REGNVRVSR 
ELAGHTGYL SCCRFLDDN QIVTSSGDT TCALWDIET GQQTTTFTG 
HTGDVMSLS LAPDTRLFV SGACDASAK LWDVREGMC RQTFTGHES 
DINAICFFP NGNAFATGS DDATCRLFD LRADQELMT YSHDNIICG 
ITSVSFSKS GRLLLAGYD DFNCNVWDA LKADRAGVL AGHDNRVSC 
LGVTDDGMA VATGSWDSF LKIWN


Click on each residue to open a popup with some information about it.

ConSurf Conservation Grade (See documentation): 

 n/a   1    2    3    4    5    6    7    8    9  

ChainR
ProteinReceptor
UniProtQ13258
Sequence
>8ZW0_Chain_R
PFYRCQNTT SVEKGNSAV MGGVLFSTG LLGNLLALG LLARSGLGP 
LPSVFYMLV CGLTVTDLL GKCLLSPVV LAAYAQNRS LRVLAPALD 
NSLCQAFAF FMSFFGLSS TLQLLAMAL ECWLSLGHP FFYRRHITL 
RLGALVAPV VSAFSLAFC ALPFMGFGK FVQYCPGTW CFIQMVHEE 
GSLSVLGYS VLYSSLMAL LVLATVLCN LGAMRNLYA MHRRLQRHP 
QPLEELDHL LLLALMTVL FTMCSLPVI YRAYYGAFK DVKEKNRTS 
EEAEDLRAL RFLSVISIV DPWIFIIFR SPVFRIFF


Click on each residue to open a popup with some information about it.

ConSurf Conservation Grade (See documentation): 

 n/a   1    2    3    4    5    6    7    8    9  

ChainG
ProteinG Protein γ Sub unit
UniProtP59768
Sequence
>8ZW0_Chain_G
TASIAQARK LVEQLKMEA NIDRIKVSK AAADLMAYC EAHAKEDPL 
LTPVPASEN PFR


Click on each residue to open a popup with some information about it.

ConSurf Conservation Grade (See documentation): 

 n/a   1    2    3    4    5    6    7    8    9  




This receptor, from the same or other species and bound to the same or other ligands, is also present in the following networks:
Show PDB Class SubFamily Type SubType Species Orthosteric Ligand Other Ligand(s) Protein Partners Resolution Date DOI
9E9SALipidProstanoidDP1Homo sapiensPGD2-Gs/β1/γ12.682025-09-03To be published
9E9S (No Gprot) ALipidProstanoidDP1Homo sapiensPGD2-2.682025-09-03To be published
9EE5ALipidProstanoidDP1Homo sapiensONO-2550289--2.892025-09-03doi.org/10.1038/s41467-025-64002-z
9EI5ALipidProstanoidDP1Homo sapiens---2.842025-09-03doi.org/10.1038/s41467-025-64002-z
9EKHALipidProstanoidDP1Homo sapiensONO-3030297--2.892025-09-03doi.org/10.1038/s41467-025-64002-z
9UWDALipidProstaglandinDP1Homo sapiens----2025-04-09doi.org/10.1073/pnas.2501902122
8ZVZALipidProstaglandinDP1Homo sapiensBW245C-Gs/β1/γ22.352025-05-28doi.org/10.1073/pnas.2501902122
8ZVZ (No Gprot) ALipidProstaglandinDP1Homo sapiensBW245C-2.352025-05-28doi.org/10.1073/pnas.2501902122
8ZW0 (No Gprot) ALipidProstaglandinDP1Homo sapiensPGD2-2.722025-05-28doi.org/10.1073/pnas.2501902122
9AU0ALipidProstaglandinDP1Homo sapiensBW245C-Gs/β1/γ22.452025-08-27To be published
9AU0 (No Gprot) ALipidProstaglandinDP1Homo sapiensBW245C-2.452025-08-27To be published




You can download a compressed (zip) file with structure(s), 3D outputs (as PyMol and VMD scripts) and numerical data files (as csv and plain text files).

Download 8ZW0.zip



You can click to copy the link of this page to easily come back here later

or use this QR code to link and share this page.



You can also  read or  download a guide explaining the meaning of all files and numerical data.