Color ConSurf Grade
      No Conservation data available
      1
      2
      3
      4
      5
      6
      7
      8
      9

Index: hub id, click on each number to highlight the corresponding hub in the 3D visualization.

Hub: the hub being considered.

Avg Int. Strength: the average interaction strength of all the links of the corresponding hub.

Num Of Links: the number of links of the corresponding hub.

Community: the id of the community the link belong to, otherwise 0.

ConSurf: this column reports the ConSurf conservation grades of each hub.

Index Hub Avg Int. Strength Num Of Links Community ConSurf
1A:A:I26 3.0975449
2A:A:L30 3.54445
3A:A:R42 5.7025429
4A:A:L43 3.2525417
5A:A:L44 5.765429
6A:A:L46 3.93833628
7A:A:K53 5.252519
8A:A:I56 4.822517
9A:A:I207 5.91429
10A:A:E209 8.1975429
11A:A:F212 5.23833619
12A:A:V214 3.7925416
13A:A:V217 4.19415
14A:A:F219 7.07429718
15A:A:H220 8.3925427
16A:A:M221 4.5075408
17A:A:F222 6.56167627
18A:A:R231 5.505429
19A:A:R232 4.795408
20A:A:K233 4.22167629
21A:A:W234 7.12125829
22A:A:I235 5.394529
23A:A:F238 6.58629
24A:A:I244 4.825428
25A:A:F246 4.26833629
26A:A:V247 5.4025417
27A:A:V248 5.052527
28A:A:Y253 6.764588
29A:A:L270 6.4925406
30A:A:F273 4.57143729
31A:A:I276 4.7725428
32A:A:W277 9.17333626
33A:A:W281 8.955625
34A:A:L282 3.8825429
35A:A:V287 4.07426
36A:A:I288 4.7725419
37A:A:L289 4.082529
38A:A:F290 5.84667619
39A:A:L291 3.37628
40A:A:N292 3.22519
41A:A:K293 6.14419
42A:A:Q294 6.1675426
43A:A:I308 6.825487
44A:A:Y311 9.69406
45A:A:F312 3.93488
46A:A:F315 9.428586
47A:A:Y318 3.17406
48A:A:E330 6.11423
49A:A:V334 4.198524
50A:A:T335 3.2575404
51A:A:K338 6.0275425
52A:A:F340 4.94167687
53A:A:R342 6.19424
54A:A:F345 5.44143728
55A:A:C359 3.6025425
56A:A:Y360 9.01618
57A:A:F363 6.9425425
58A:A:T364 5.59419
59A:A:N371 6.352519
60A:A:R373 6.264515
61A:A:I375 3.3875419
62A:A:F376 6.59167618
63A:A:I383 3.065418
64A:A:N387 3.87418
65A:A:L388 3.23408
66A:A:Y391 6.65833614
67B:B:L30 4.344535
68B:B:T34 2.985435
69B:B:V40 3.09403
70B:B:H54 8.30857749
71B:B:K57 10.205429
72B:B:Y59 8.675428
73B:B:M61 4.145446
74B:B:W63 5.62125847
75B:B:L70 5.538545
76B:B:V71 4.976578
77B:B:Q75 8.666529
78B:B:D76 6.012549
79B:B:L79 3.57333677
80B:B:I80 6.45448
81B:B:I81 4.36777
82B:B:W82 8.27667649
83B:B:K89 4.625449
84B:B:I93 6.142577
85B:B:L95 3.998578
86B:B:W99 7.27714729
87B:B:Y105 4.96714776
88B:B:Y111 3.50333624
89B:B:V112 5.114578
90B:B:C114 4.3325478
91B:B:L117 3.58429
92B:B:C121 4.135428
93B:B:I123 3.72526
94B:B:Y124 4.03625876
95B:B:L126 4.226575
96B:B:V133 6.535474
97B:B:L139 6.1529
98B:B:H142 6.90143729
99B:B:Y145 5.63628
100B:B:L146 4.67427
101B:B:C149 3.09428
102B:B:F151 4.65729
103B:B:L152 4.24333663
104B:B:D154 5.8475426
105B:B:V158 4.8425465
106B:B:T159 6.136529
107B:B:S160 4.06466
108B:B:S161 6.505429
109B:B:D163 6.276529
110B:B:C166 3.516568
111B:B:L168 3.24667666
112B:B:W169 7.98167628
113B:B:I171 3.5475426
114B:B:T173 5.4775405
115B:B:Q176 5.785424
116B:B:F180 7.25667667
117B:B:H183 6.73833669
118B:B:D186 3.8925429
119B:B:V187 5.134569
120B:B:M188 3.74428
121B:B:L190 4.07833665
122B:B:L192 2.954565
123B:B:A193 3.76454
124B:B:F199 6.09857769
125B:B:V200 6.6025456
126B:B:S201 3.34669
127B:B:C204 3.5625427
128B:B:K209 9.076566
129B:B:L210 5.0075455
130B:B:W211 8.67714768
131B:B:V213 3.78464
132B:B:R219 3.55455
133B:B:Q220 8.07457
134B:B:H225 7.19333659
135B:B:D228 7.325429
136B:B:I232 5.7925458
137B:B:F234 5.775455
138B:B:F235 6.52125836
139B:B:P236 5.6675437
140B:B:N237 6.0825435
141B:B:F241 6.87714756
142B:B:T243 6.682558
143B:B:D246 7.6429
144B:B:R251 8.988558
145B:B:L252 4.0625437
146B:B:F253 6.24429756
147B:B:D254 6.56754109
148B:B:R256 7.38754109
149B:B:L261 5.57405
150B:B:M262 4.63534
151B:B:Y264 5.03857735
152B:B:F278 4.63143737
153B:B:G282 3.3875439
154B:B:R283 5.71667639
155B:B:L285 4.9175436
156B:B:Y289 6.666537
157B:B:N295 4.992536
158B:B:V296 4.195405
159B:B:W297 4.368538
160B:B:K301 8.99405
161B:B:V307 3.54433
162B:B:H311 8.214529
163B:B:R314 10.1683628
164B:B:L318 3.822526
165B:B:V327 3.7825426
166B:B:T329 5.0875428
167B:B:W332 9.68429729
168B:B:D333 6.908529
169B:B:L336 3.878547
170B:B:K337 8.88426
171B:B:W339 5.41167629
172B:B:N340 7.5625449
173G:G:R27 5.7075458
174G:G:Y40 8.4325436
175G:G:C41 3.4225437
176G:G:L51 3.32506
177G:G:P60 6.8125449
178G:G:F61 5.25778948
179L:L:?1 6.913331510
180R:R:I85 3.3154126
181R:R:T88 5.155417
182R:R:N92 5.5175419
183R:R:V95 3.138519
184R:R:N110 4.715419
185R:R:F112 6.75667618
186R:R:D120 5.482519
187R:R:L123 4.122507
188R:R:M128 5.904518
189R:R:W141 5.79125817
190R:R:C148 5.34419
191R:R:W151 6.204515
192R:R:I152 3.035615
193R:R:Y153 5.98416
194R:R:L157 4.552516
195R:R:F158 5.98167617
196R:R:T160 5.062517
197R:R:M164 3.08406
198R:R:H165 9.17518
199R:R:L166 5.415418
200R:R:D172 8.5025419
201R:R:R173 5.422519
202R:R:P180 4.9775408
203R:R:I181 4.498517
204R:R:H182 8.55415
205R:R:H183 6.72617
206R:R:W200 4.29833619
207R:R:K220 7.43413
208R:R:F222 3.79402
209R:R:C227 4.9225419
210R:R:L229 3.62414
211R:R:F234 4.095417
212R:R:F243 12.9725418
213R:R:F244 5.2725415
214R:R:P246 4.695409
215R:R:Y254 8.0475419
216R:R:I258 4.895415
217R:R:L325 2.6425418
218R:R:F329 7.372508
219R:R:F332 5.705409
220R:R:W336 5.37167618
221R:R:F339 6.96517
222R:R:F340 10.7467617
223R:R:F365 3.812505
224R:R:W367 6.415616
225R:R:Y370 6.10286717
226R:R:Y380 5.955619
227R:R:T381 6.94417
228R:R:T386 4.8125406
229R:R:Y387 7.24889918
230R:R:F391 4.824516
   

Color ConSurf Grade
      No Conservation data available
      1
      2
      3
      4
      5
      6
      7
      8
      9

Index: link id, click on each number to highlight the corresponding link in the 3D visualization.

Node1 Node2: the two nodes of the corresponding link.

Recurrence: the relative Recurrence in the pool of shortest paths.

Int. Strength: the interaction strength between the two nodes.

Hub1?, Hub2?: "Yes" if the corresponding node has more than 3 links, otherwise "No".

Community: the id of the community the link belong to, otherwise 0.

ConSurf1, ConSurf2: these columns report the ConSurf conservation grades of the two nodes involved in a link.

Index Node1 Node2 Recurrence Int. Strength Hub1? Hub2? Community ConSurf1 ConSurf2
1B:B:R68 B:B:Y85 12.751216.46NoNo054
2B:B:Y85 G:G:F61 12.90089.28NoYes448
3B:B:G330 B:B:L336 12.71755.13NoYes057
4B:B:G330 B:B:S331 13.54981.86NoNo059
5B:B:D333 B:B:S331 13.56647.36YesNo299
6B:B:D333 B:B:N313 1006.73YesNo297
7B:B:N313 B:B:W332 1003.39NoYes279
8A:A:W281 B:B:W332 1008.43YesYes259
9A:A:N279 A:A:W281 1003.39NoYes285
10A:A:I235 A:A:N279 55.42112.83YesNo298
11A:A:I235 A:A:L46 55.38922.85YesYes298
12A:A:F246 A:A:L46 65.40292.44YesYes298
13A:A:F246 A:A:V248 1002.62YesYes297
14A:A:L291 A:A:V248 1004.47YesYes287
15A:A:L291 A:A:Q294 1002.66YesYes286
16A:A:Q294 A:A:S250 1007.22YesNo066
17A:A:S250 A:A:S251 1001.63NoNo069
18A:A:K293 A:A:S251 1009.18YesNo199
19A:A:K293 A:A:N292 1002.8YesYes199
20A:A:I56 A:A:N292 70.06644.25YesYes179
21A:A:I56 A:A:V57 17.53793.07YesNo077
22A:A:M221 A:A:V57 17.52124.56YesNo087
23A:A:F212 A:A:M221 17.50056.22YesYes098
24A:A:F212 A:A:F219 51.957415YesYes198
25A:A:F219 A:A:V217 59.3475.24YesYes185
26A:A:V217 R:R:I181 59.20344.61YesYes157
27B:B:D333 B:B:H311 1007.56YesYes299
28A:A:L282 A:A:N279 56.22834.12YesNo298
29A:A:I276 A:A:L282 55.38872.85YesYes289
30A:A:F246 A:A:I276 55.48367.54YesYes298
31A:A:F290 A:A:I56 52.48396.28YesYes197
32A:A:F290 A:A:I375 69.74693.77YesYes199
33A:A:F212 A:A:I375 35.02942.51YesYes199
34A:A:N292 A:A:T364 52.60342.92YesYes199
35A:A:F290 A:A:T364 52.48267.78YesYes199
36A:A:F290 A:A:I245 34.72283.77YesNo197
37A:A:I245 A:A:L43 34.68462.85NoYes177
38A:A:F219 A:A:L43 69.28784.87YesYes187
39A:A:I375 A:A:L43 34.68452.85YesYes197
40A:A:F219 A:A:F376 60.40157.5YesYes188
41A:A:F376 R:R:I181 59.21985.02YesYes187
42A:A:I383 R:R:I181 1002.94YesYes187
43A:A:I383 A:A:N387 1002.83YesYes188
44A:A:N387 A:A:Y391 1003.49YesYes184
45A:A:Y391 R:R:R173 74.46453.09YesYes149
46A:A:Y391 R:R:T109 12.3718.74YesNo048
47A:A:E390 R:R:T109 12.0685.64NoNo048
48A:A:E390 R:R:N107 11.768410.52NoNo047
49A:A:Y391 R:R:D172 18.389510.34YesYes149
50R:R:N107 R:R:N110 11.46942.72NoYes079
51B:B:L286 B:B:V296 92.62824.47NoYes075
52B:B:L284 B:B:V296 91.29514.47NoYes055
53B:B:L284 B:B:R283 91.22752.43NoYes059
54B:B:L300 B:B:R283 13.71976.07NoYes369
55B:B:L300 B:B:T34 13.64672.95NoYes365
56B:B:L30 B:B:T34 13.50652.95YesYes355
57B:B:L30 B:B:M262 12.75935.65YesYes354
58B:B:M262 B:B:Y264 12.31318.38YesYes345
59B:B:C250 B:B:Y264 77.22914.03NoYes385
60B:B:C250 B:B:G244 76.17911.96NoNo385
61B:B:G244 B:B:S245 75.66921.86NoNo059
62B:B:H225 B:B:S245 74.09538.37YesNo099
63B:B:F253 B:B:H225 54.12853.39YesYes569
64B:B:F222 B:B:F253 44.14926.43NoYes586
65B:B:F222 B:B:Q220 43.628211.71NoYes587
66B:B:D258 B:B:Q220 11.04111.75NoYes577
67B:B:R283 G:G:C41 76.32224.18YesYes397
68B:B:F235 G:G:C41 38.76522.79YesYes367
69B:B:F235 B:B:F278 37.36998.57YesYes367
70B:B:F278 B:B:L252 24.76052.44YesYes377
71B:B:L252 B:B:Y264 24.62518.21YesYes375
72B:B:G282 G:G:C41 37.48911.96YesYes397
73B:B:F278 B:B:G282 37.3423.01YesYes379
74B:B:F278 B:B:L285 24.90878.53YesYes376
75B:B:L285 B:B:Y264 24.61153.52YesYes365
76B:B:A299 B:B:F278 24.75842.77NoYes057
77B:B:A299 B:B:Y264 24.60932.67NoYes055
78B:B:Q220 B:B:R219 29.96333.5YesYes575
79B:B:D212 B:B:R219 28.38963.57NoYes595
80B:B:D212 B:B:R214 27.86492.38NoNo099
81B:B:R214 B:B:V213 26.81816.54NoYes094
82B:B:F199 B:B:V213 14.19852.62YesYes694
83B:B:D66 B:B:R68 10.7352.38NoNo085
84B:B:D66 B:B:L69 10.57986.79NoNo085
85B:B:H225 B:B:T243 14.71449.58YesYes598
86B:B:F234 B:B:V200 11.03796.55YesYes556
87R:R:R173 R:R:Y380 48.55519.26YesYes199
88R:R:L166 R:R:Y380 46.75268.21YesYes189
89R:R:F332 R:R:L166 39.83032.44YesYes098
90R:R:F332 R:R:W336 35.928.02YesYes098
91L:L:?1 R:R:W336 25.65661.88YesYes108
92R:R:D172 R:R:K195 17.79346.91YesNo196
93R:R:F112 R:R:K195 17.500711.17YesNo186
94R:R:I169 R:R:R173 17.79486.26NoYes199
95R:R:F112 R:R:I169 17.49585.02YesNo189
96R:R:F112 R:R:H165 12.671312.44YesYes188
97R:R:H165 R:R:W200 11.46596.35YesYes189
98R:R:F158 R:R:W200 18.10133.01YesYes179
99R:R:F112 R:R:I196 12.66942.51YesNo188
100R:R:I196 R:R:W200 11.46342.35NoYes189
101B:B:L286 B:B:L318 91.85455.54NoYes276
102B:B:L318 B:B:T329 92.12124.42YesYes268
103B:B:H311 B:B:T329 92.3355.48YesYes298
Download PSN data

2D representation of the global metapath, ligand(s) interactions and
histograms of path distribution according to several parameters
(click on the image to enlarge it 🔍):

A 2D representation of the global communication in the network.

ConSurf Conservation Grade (See documentation): 

 n/a   1    2    3    4    5    6    7    8    9  

Number of shortest communication paths as a function of the average residue correlation.

Number of shortest communication paths as a function of the average interaction strength of their links.

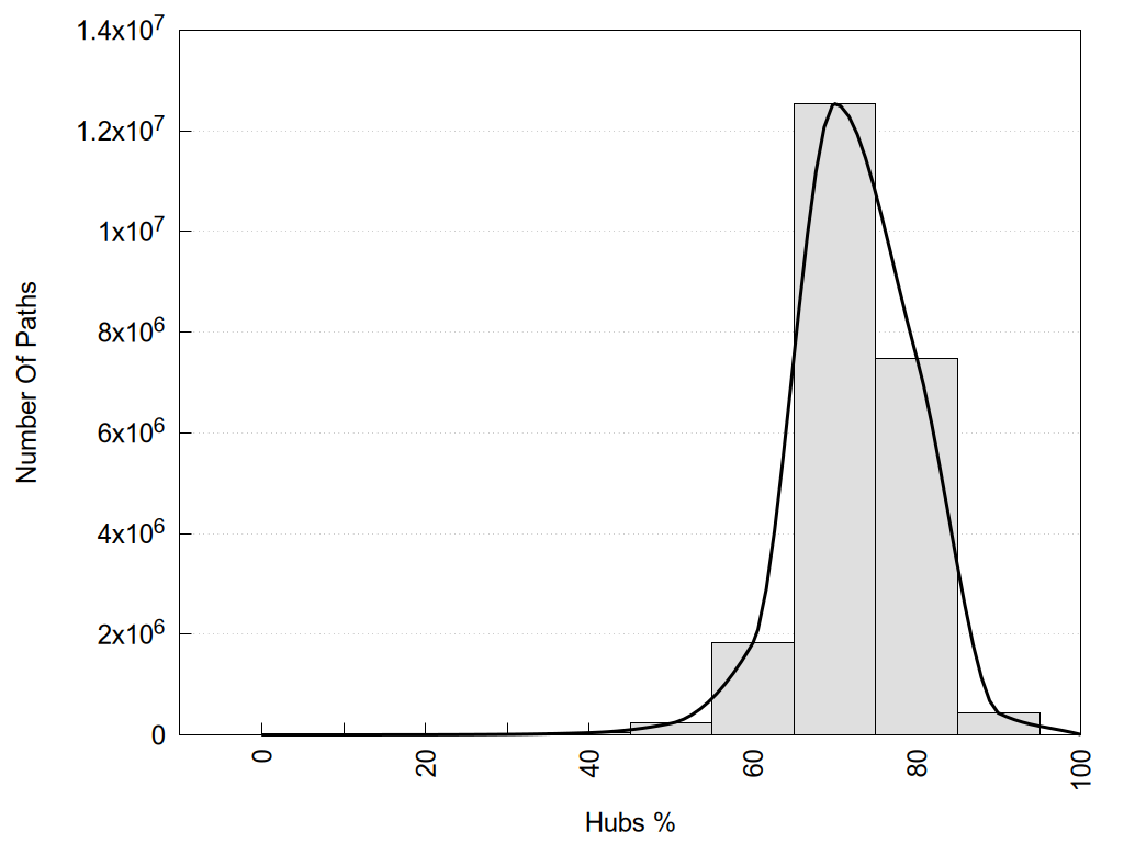
Number of shortest communication paths as a function of the % of hub nodes in each path.

Number of shortest communication paths as a function of the number of nodes in each path.

Number of shortest communication paths as a function of the % of correlated nodes in each path.


2D representation of the interactions of this orthosteric/allosteric ligand.


Links and nodes colored according to ConSurf Conservation Grade (See documentation): 

 n/a   1    2    3    4    5    6    7    8    9  

Node1 Node2 LinkStrength Comm IsNode1Hub? IsNode2Hub? Node1Cons Node2Cons Node1Shell Node2Shell
L:L:?1 R:R:W151 8.46 1 Yes Yes 0 5 0 1
L:L:?1 R:R:I152 3.53 1 Yes Yes 0 5 0 1
L:L:?1 R:R:D155 20.17 1 Yes No 0 8 0 1
L:L:?1 R:R:V156 4.92 1 Yes No 0 6 0 1
L:L:?1 R:R:S159 4.96 1 Yes No 0 7 0 1
L:L:?1 R:R:T160 4.87 1 Yes Yes 0 7 0 1
L:L:?1 R:R:L228 6.86 1 Yes No 0 4 0 1
L:L:?1 R:R:L229 2.29 1 Yes Yes 0 4 0 1
L:L:?1 R:R:S239 3.72 1 Yes No 0 6 0 1
L:L:?1 R:R:S242 7.44 1 Yes No 0 6 0 1
L:L:?1 R:R:W336 1.88 1 Yes Yes 0 8 0 1
L:L:?1 R:R:F339 12.07 1 Yes Yes 0 7 0 1
L:L:?1 R:R:F340 12.07 1 Yes Yes 0 7 0 1
L:L:?1 R:R:V366 3.69 1 Yes No 0 6 0 1
L:L:?1 R:R:Y370 6.77 1 Yes Yes 0 7 0 1
R:R:L123 R:R:V127 4.47 0 Yes No 7 8 2 2
R:R:L123 R:R:M128 2.83 0 Yes Yes 7 8 2 2
R:R:L123 R:R:S159 3 0 Yes No 7 7 2 1
R:R:D155 R:R:V127 8.76 1 No No 8 8 1 2
R:R:V127 R:R:Y370 5.05 1 No Yes 8 7 2 1
R:R:M128 R:R:W367 3.49 1 Yes Yes 8 6 2 2
R:R:M128 R:R:Y370 7.18 1 Yes Yes 8 7 2 1
R:R:V130 R:R:W141 3.68 1 No Yes 4 7 2 2
R:R:V130 R:R:W151 13.48 1 No Yes 4 5 2 1
R:R:S131 R:R:W367 6.18 1 No Yes 7 6 2 2
R:R:S131 R:R:Y370 2.54 1 No Yes 7 7 2 1
R:R:C148 R:R:W141 5.22 1 Yes Yes 9 7 2 2
R:R:W141 R:R:W151 2.81 1 Yes Yes 7 5 2 1
R:R:C227 R:R:W141 5.22 1 Yes Yes 9 7 2 2
R:R:C148 R:R:I152 3.27 1 Yes Yes 9 5 2 1
R:R:C148 R:R:C227 7.28 1 Yes Yes 9 9 2 2
R:R:I152 R:R:W151 2.35 1 Yes Yes 5 5 1 1
R:R:C227 R:R:W151 3.92 1 Yes Yes 9 5 2 1
R:R:I152 R:R:I210 2.94 1 Yes No 5 6 1 2
R:R:C227 R:R:I152 3.27 1 Yes Yes 9 5 2 1
R:R:I152 R:R:L229 2.85 1 Yes Yes 5 4 1 1
R:R:D155 R:R:Y370 10.34 1 No Yes 8 7 1 1
R:R:S207 R:R:V156 3.23 1 No No 7 6 2 1
R:R:S159 R:R:W336 4.94 1 No Yes 7 8 1 1
R:R:M164 R:R:T160 3.01 0 Yes Yes 6 7 2 1
R:R:S203 R:R:T160 6.4 0 No Yes 8 7 2 1
R:R:I206 R:R:T160 3.04 0 No Yes 6 7 2 1
R:R:S242 R:R:T160 7.99 1 No Yes 6 7 1 1
R:R:F234 R:R:L229 4.87 1 Yes Yes 7 4 2 1
R:R:L229 R:R:V235 4.47 1 Yes No 4 6 1 2
R:R:F340 R:R:S239 6.61 1 Yes No 7 6 1 1
R:R:F243 R:R:F244 13.93 1 Yes Yes 8 5 2 2
R:R:F243 R:R:F340 27.86 1 Yes Yes 8 7 2 1
R:R:F244 R:R:F340 2.14 1 Yes Yes 5 7 2 1
R:R:F332 R:R:W336 8.02 0 Yes Yes 9 8 2 1
R:R:F340 R:R:W336 4.01 1 Yes Yes 7 8 1 1
R:R:G369 R:R:W336 8.44 1 No Yes 7 8 2 1
R:R:S372 R:R:W336 4.94 1 No Yes 9 8 2 1
R:R:F339 R:R:F340 11.79 1 Yes Yes 7 7 1 1
R:R:F339 R:R:L362 4.87 1 Yes No 7 3 1 2
R:R:F339 R:R:F365 2.14 1 Yes Yes 7 5 1 2
R:R:F339 R:R:V366 3.93 1 Yes No 7 6 1 1
R:R:V366 R:R:Y370 5.05 1 No Yes 6 7 1 1
R:R:W367 R:R:Y370 5.79 1 Yes Yes 6 7 2 1
R:R:G369 R:R:S372 1.86 1 No No 7 9 2 2
R:R:L228 R:R:S226 1.5 0 No No 4 4 1 2

Location and physicochemical properties of the interaction partners of this ligand

Interactions of this ligand

Similarities between the interactions of this ligand and those of other networks

ShowSimilarityNetwork TypeNameLigandDescription
81.25Single8FYTLSD8FYT-5-HT1A-LSD-PtdIns4P-Gi1/β1/γ1
80.00Single9ARZ2-bromo-LSD9ARZ-5-HT2A-2-bromo-LSD
76.47Single8S2TIsoprenaline8S2T-β1-Isoprenaline-chim(NtGi1-Gs)/β1/γ2
73.33Single8UWLLisuride8UWL-5-HT2A-Lisuride-chim(NtGi2-Gs-CtGq)/β1/γ2
73.33Single9AS1DMT9AS1-5-HT2A-DMT
72.22Single8JLRA776368JLR-TA1-A77636-chim(NtGi1-Gs)/β1/γ2
70.59Single4AMIBucindolol4AMI-β1-Bucindolol
70.59Single6VMSBromoergocryptine6VMS-D2-Bromoergocryptine-Gi1/β1/γ2
70.59Single8FYE4-F,5-MeO-PyrT8FYE-5-HT1A-4-F,5-MeO-PyrT-PtdIns4P-Gi1/β1/γ1
68.75Single2Y03Isoprenaline2Y03-β1-Isoprenaline
68.42Single8ZSPLSD8ZSP-TA1-LSD-chim(NtGi1L-Gs)/β1/γ2
66.67Single7JVRBromoergocryptine7JVR-D2-Bromoergocryptine-Gi1/β1/γ2
66.67Single8JLNT1AM8JLN-TA1-T1AM-Gs/β1/γ2
66.67Single8W8BSEP-3638568W8B-5-HT1A-SEP-363856-Gi1/β1/γ2
66.67Single9DYEBuspirone9DYE-5-HT1A-Buspirone-PtdIns4P-Go/β1/γ2
64.71Single6H7JIsoprenaline6H7J-β1-Isoprenaline
64.71Single6WGTLSD6WGT-5-HT2A-LSD
64.71Single7JJOIsoprenaline7JJO-β1-Isoprenaline-Gs/β1/γ2
64.71Single7W6PN-pyridin-4-ylisoquinolin-4-amine7W6P-α2a-N-pyridin-4-ylisoquinolin-4-amine-Go/β1/γ2
64.71Single7W7EPubChem 1649466767W7E-α2a-PubChem 164946676-Go/β1/γ2
64.71Single9BS9LSD9BS9-D2-LSD
64.71Single9BSBLSD9BSB-D2-LSD-chim(NtGi1-Go)/β1/γ2
64.71Consensus5ht_offOrthosteric Ligand5ht2_off 5ht1_off
64.71Consensusamine_on_gpOrthosteric Ligand5ht_on_gp adrenergic_on_gp dopamine_on_gp histamine_on_gp muscarinic_on_gp trace-amine_on_gp
64.71Consensusta1_on_gpOrthosteric Ligand8W87-TA1-METH-chim(NtGi1L-Gs)/β1/γ2 8W89-TA1-2-Phenylethylamine-chim(NtGi1L-Gs)/β1/γ2 8JLP-TA1-Ralmitaront-Gs/β1/γ2 8W8A-TA1-RO5256390-chim(NtGi1L-Gs)/β1/γ2 8W88-TA1-SEP-363856-Gs/β1/γ2 8JLO-TA1-Ulotaront-Gs/β1/γ2 8JLR-TA1-A77636-chim(NtGi1-Gs)/β1/γ2 8JSO-TA1-AMPH-chim(NtGi1-Gs)/β1/γ2 8ZSP-TA1-LSD-chim(NtGi1L-Gs)/β1/γ2
64.71Consensustrace-amine_on_gpOrthosteric Ligandta1_on_gp
62.50Single2Y04Salbutamol2Y04-β1-Salbutamol
62.50Single3NYAAlprenolol3NYA-β2-Alprenolol
62.50Single4U16N-methyl-Scopolamine4U16-M3-N-methyl-Scopolamine
62.50Single6DRXLisuride6DRX-5-HT2B-Lisuride
62.50Single6DRZMethysergide6DRZ-5-HT2B-Methysergide
62.50Single6H7MSalbutamol6H7M-β1-Salbutamol
62.50Single6K42Dexmedetomidine6K42-α2b-Dexmedetomidine-Gi1/β1/γ2
62.50Single7WC7Lisuride7WC7-5-HT2A-Lisuride
62.50Single7XJHIsoprenaline7XJH-β3-Isoprenaline-Gs/β1/γ2
62.50Single8FY85-MeO-DMT8FY8-5-HT1A-5-MeO-DMT-PtdIns4P-Gi1/β1/γ1
62.50Single8JJOAlprenolol8JJO-β2-Alprenolol
62.50Single8UH3Setiptiline8UH3-5-HT1E-Setiptiline-Gi1/β1/γ1
62.50Single8W8ARO52563908W8A-TA1-RO5256390-chim(NtGi1L-Gs)/β1/γ2
62.50Single9JEAAtropine9JEA-M1-Atropine
62.50Consensus5ht2b_offOrthosteric Ligand6DRZ-5-HT2B-Methysergide
62.50Consensusalpha2_onOrthosteric Ligandalpha2b_on
62.50Consensusalpha2_on_gpOrthosteric Ligandalpha2b_on_gp
62.50Consensusalpha2b_onOrthosteric Ligand6K42-α2b-Dexmedetomidine-Gi1/β1/γ2
62.50Consensusalpha2b_on_gpOrthosteric Ligand6K42-α2b-Dexmedetomidine-Gi1/β1/γ2
62.50Consensusgq_amineOrthosteric Ligandgq_muscarinic gq_histamine
61.11Single3D4STimolol3D4S-β2-Timolol
61.11Single4LDEBI1671074LDE-β2-BI167107
61.11Single5CXVTiotropium5CXV-M1-Tiotropium
61.11Single5F8UCyanopindolol5F8U-β1-Cyanopindolol
61.11Single6DRYMethylergometrine6DRY-5-HT2B-Methylergometrine
61.11Single6H7NXamoterol6H7N-β1-Xamoterol
61.11Single6H7OCyanopindolol6H7O-β1-Cyanopindolol
61.11Single8E9W2-Deoxycytidine8E9W-M3-2-Deoxycytidine-chim(NtGi2L-Gs-CtGq)/β1/γ2
61.11Single8IRSRotigotine8IRS-D2-Rotigotine-Gi1/β1/γ2
61.11Single9GL2Befiradol9GL2-5-HT1A-Befiradol-Gs/β1/γ2
61.11Single9KVG5-MeO-DMT9KVG-5-HT1A-5-MeO-DMT-PtdIns4P-Gi1/β1/γ2
61.11Consensusd2_on_gpOrthosteric Ligand7JVR-D2-Bromoergocryptine-Gi1/β1/γ2 8IRS-D2-Rotigotine-Gi1/β1/γ2
61.11Consensusm1_offOrthosteric Ligand5CXV-M1-Tiotropium
60.00Single4AMJCarvedilol4AMJ-β1-Carvedilol
60.00Single6KUYPubChem 1457046436KUY-α2a-PubChem 145704643
60.00Single8PKMBefiradol8PKM-5-HT1A-Befiradol-Gi1/β1/γ1
60.00Single8WC3SEP-3638568WC3-TA1-SEP-363856-chim(NtGi1-Gs)/β1/γ2
60.00Consensusgq_histamineOrthosteric Ligand7DFL-H1-Histamine-chim(NtGi1L-Gq)/β1/γ2
60.00Consensush1_on_gpOrthosteric Ligand7DFL-H1-Histamine-chim(NtGi1L-Gq)/β1/γ2
58.82Single2RH1Carazolol2RH1-β2-Carazolol
58.82Single4WW3All-trans-Retinal4WW3-Rhodopsin-All-trans-Retinal
58.82Single5JQHCarazolol5JQH-β2-Carazolol
58.82Single6KUWPubChem 572132346KUW-α2c-PubChem 57213234
58.82Single6PS3Carvedilol6PS3-β2-Carvedilol
58.82Single6PS6Timolol6PS6-β2-Timolol
58.82Single7BVQCarazolol7BVQ-β1-Carazolol
58.82Single7S0FIsoprenaline7S0F-β1-Isoprenaline-Gi1/β1/γ2
58.82Single7XK9Constrained Isoproterenol7XK9-β2-Constrained Isoproterenol-Na
58.82Single8GFYConstrained Epinephrine8GFY-β2-Constrained Epinephrine-GTP-Gs/β1/γ2
58.82Single8GG2Constrained Epinephrine8GG2-β2-Constrained Epinephrine-GTP-Gs/β1/γ2
58.82Single9DYDAsenapine9DYD-5-HT1A-Asenapine-PtdIns4P-Go/β1/γ2
58.82Consensus5ht1_onOrthosteric Ligand5ht1a_on 5ht1d_on 5ht1e_on 5ht1f_on
58.82Consensus5ht1_on_gpOrthosteric Ligand5ht1a_on_gp 5ht1d_on_gp 5ht1e_on_gp 5ht1f_on_gp
58.82Consensus5ht1e_on_gpOrthosteric Ligand7E33-5-HT1E-BRL-54443-Gi1/β1/γ2 8UGY-5-HT1E-Mianserin-Gi1/β1/γ1 8UH3-5-HT1E-Setiptiline-Gi1/β1/γ1
58.82Consensus5ht2_offOrthosteric Ligand5ht2a_off 5ht2b_off 5ht2c_off
58.82Consensus5ht5_on_gpOrthosteric Ligand5ht5a_on_gp
58.82Consensus5ht5a_on_gpOrthosteric Ligand7X5H-5-HT5A-5-CT-Gi1/β1/γ2 7UM6-5-HT5A-Lisuride-chim(NtGi1-Go)/β1/γ2 7UM7-5-HT5A-Methylergometrine-chim(NtGi1-Go)/β1/γ2
58.82Consensusadrenergic_offOrthosteric Ligandalpha_off beta_off
58.82Consensusadrenergic_on_gpOrthosteric Ligandalpha_on_gp beta_on_gp
58.82Consensusalpha2c_offOrthosteric Ligand6KUW-α2c-PubChem 57213234
58.82Consensusalpha_on_gpOrthosteric Ligandalpha1_on_gp alpha2_on_gp
58.82Consensusamine_offOrthosteric Ligand5ht_off adrenergic_off dopamine_off histamine_off muscarinic_off
58.82Consensusamine_offonOrthosteric Ligandamine_off amine_on
58.82Consensusamine_offon_gpOrthosteric Ligandamine_on_gp amine_off
58.82Consensusamine_onOrthosteric Ligand5ht_on adrenergic_on dopamine_on histamine_on muscarinic_on trace-amine_on
58.82Consensusbeta2_offOrthosteric Ligand2RH1-β2-Carazolol 6PS3-β2-Carvedilol 6PS5-β2-Propranolol 3D4S-β2-Timolol 3NY8-β2-ICI118-551 3NY9-β2-PubChem 913103 6PRZ-β2-Alprenolol
58.82Consensusbeta_offOrthosteric Ligandbeta1_off beta2_off
58.82Consensusd2_onOrthosteric Ligand7JVR-D2-Bromoergocryptine-Gi1/β1/γ2 8IRS-D2-Rotigotine-Gi1/β1/γ2
58.82Consensusgi_adrenergicOrthosteric Ligand7EJ0-α2a-Norepinephrine-Go/β1/γ2 7EJK-α2a-Oxymetazoline-Go/β1/γ2 7W7E-α2a-PubChem 164946676-Go/β1/γ2 7W6P-α2a-N-pyridin-4-ylisoquinolin-4-amine-Go/β1/γ2 7EJ8-α2a-Brimonidine-Go/β1/γ2 6K42-α2b-Dexmedetomidine-Gi1/β1/γ2 7EJA-α2a-Dexmedetomidine-Go/β1/γ2 7S0F-β1-Isoprenaline-Gi1/β1/γ2
58.82Consensusm2_offOrthosteric Ligand5ZKC-M2-N-methyl-Scopolamine 5ZK3-M2-3-quinuclidinyl-benzilate 5ZKB-M2-AF-DX 384
58.82Consensusm3_onOrthosteric Ligand8E9Z-M3-Iperoxo-chim(NtGi2L-Gs-CtGq)/β1/γ2 8E9W-M3-2-Deoxycytidine-chim(NtGi2L-Gs-CtGq)/β1/γ2 8E9Y-M3-Clozapine-N-oxide-chim(NtGi2L-Gs-CtGq)/β1/γ2
58.82Consensusm3_on_gpOrthosteric Ligand8E9Z-M3-Iperoxo-chim(NtGi2L-Gs-CtGq)/β1/γ2 8E9W-M3-2-Deoxycytidine-chim(NtGi2L-Gs-CtGq)/β1/γ2 8E9Y-M3-Clozapine-N-oxide-chim(NtGi2L-Gs-CtGq)/β1/γ2
58.82Consensusta1_onOrthosteric Ligand8W87-TA1-METH-chim(NtGi1L-Gs)/β1/γ2 8W89-TA1-2-Phenylethylamine-chim(NtGi1L-Gs)/β1/γ2 8JLP-TA1-Ralmitaront-Gs/β1/γ2 8W8A-TA1-RO5256390-chim(NtGi1L-Gs)/β1/γ2 8W88-TA1-SEP-363856-Gs/β1/γ2 8JLO-TA1-Ulotaront-Gs/β1/γ2 8JLR-TA1-A77636-chim(NtGi1-Gs)/β1/γ2 8JSO-TA1-AMPH-chim(NtGi1-Gs)/β1/γ2 8ZSP-TA1-LSD-chim(NtGi1L-Gs)/β1/γ2
58.82Consensustrace-amine_onOrthosteric Ligandta1_on
57.89Single2YCZIodocyanopindolol2YCZ-β1-Iodocyanopindolol
57.89Single4BVNCyanopindolol4BVN-β1-Cyanopindolol-Na
57.89Single6BQHRitanserin6BQH-5-HT2C-Ritanserin
57.89Single6IBLArformoterol6IBL-β1-Arformoterol
57.89Single6TKOArformoterol6TKO-β1-Arformoterol-Arrestin2
57.89Single9L79AR2314539L79-GPR119-AR231453-chim(NtGi1-Gs)/β1/γ2
57.89Consensus5ht2c_offOrthosteric Ligand6BQH-5-HT2C-Ritanserin
56.25Single4MQTIperoxo4MQT-M2-Iperoxo-LY2119620
56.25Single6K41Dexmedetomidine6K41-α2b-Dexmedetomidine-Go/β1/γ2
56.25Single6KUXRS799486KUX-α2a-RS79948
56.25Single6WH4Methiothepin6WH4-5-HT2A-Methiothepin
56.25Single6WJCAtropine6WJC-M1-Atropine-Muscarinic toxin 7
56.25Single7DHISalbutamol7DHI-β2-Salbutamol-Gs/β1/γ2
56.25Single7UL3Famotidine7UL3-H2-Famotidine
56.25Single7UM7Methylergometrine7UM7-5-HT5A-Methylergometrine-chim(NtGi1-Go)/β1/γ2
56.25Single8GE1Constrained Epinephrine8GE1-β2-Constrained Epinephrine-Gs/β1/γ2
56.25Single8GE4Constrained Epinephrine8GE4-β2-Constrained Epinephrine-Gs/β1/γ2
56.25Single8GE5Constrained Epinephrine8GE5-β2-Constrained Epinephrine-Gs/β1/γ1
56.25Single8GE6Constrained Epinephrine8GE6-β2-Constrained Epinephrine-Gs/β1/γ2
56.25Single8GE7Constrained Epinephrine8GE7-β2-Constrained Epinephrine-Gs/β1/γ2
56.25Single8GE8Constrained Epinephrine8GE8-β2-Constrained Epinephrine-Gs/β1/γ2
56.25Single8GEFConstrained Epinephrine8GEF-β2-Constrained Epinephrine-Gs/β1/γ2
56.25Single8GGVConstrained Epinephrine8GGV-β2-Constrained Epinephrine
56.25Single8JLKUlotaront8JLK-TA1-Ulotaront-chim(NtGi1-Gs)/β1/γ2
56.25Single8JSPUlotaront8JSP-5-HT1A-Ulotaront-Gi1/β1/γ2
56.25Single8PM2DMCHA8PM2-TA7-DMCHA-Gs/β1/γ2
56.25Single8THKA-616038THK-Alpha1A-A-61603-chim(NtGi2L-Gs-CtGq)/β1/γ2
56.25Single8UHBRO52563908UHB-TA1-RO5256390-Gs/β1/γ2
56.25Single8V6UPubChem 1713924568V6U-5-HT2A-PubChem 171392456-chim(NtGi2-Gs-CtGq)/β1/γ2
56.25Single8W88SEP-3638568W88-TA1-SEP-363856-Gs/β1/γ2
56.25Single9AS3LSD9AS3-5-HT2A-LSD
56.25Single9AS4LSD9AS4-5-HT2A-LSD-chim(NtGi1-Gs-CtGq)/β1/γ2
56.25Single9AS5Mescaline9AS5-5-HT2A-Mescaline
56.25Single9AS6Mescaline9AS6-5-HT2A-Mescaline-chim(NtGi1-Gs-CtGq)/β1/γ2
56.25Single9AS8Psilocin9AS8-5-HT2A-Psilocin-chim(NtGi2L-Gs-CtGq)/β1/γ2
56.25Single9CBLEpinephrine9CBL-α2a-Epinephrine-Gi1/β1/γ2
56.25Single9JKQMETH9JKQ-TA1-METH-Gs/β1/γ2
56.25Single9KVIBufotenin9KVI-5-HT1A-Bufotenin-PtdIns4P-Gi1/β1/γ2
56.25Single9VJG8-OH-DPAT9VJG-5-HT1A-8-OH-DPAT-chim(NtGi2-Gz)/β1/γ2
56.25Single9VNFPindolol9VNF-5-HT1A-Pindolol-Go/β1/γ2
55.56Single3SN6BI1671073SN6-β2-BI167107-Gs/β1/γ2
55.56Single4LDLHydroxybenzyl Isoproterenol4LDL-β2-Hydroxybenzyl Isoproterenol
55.56Single4U15Tiotropium4U15-M3-Tiotropium
55.56Single5D5ACarazolol5D5A-β2-Carazolol
55.56Single5D5BCarazolol5D5B-β2-Carazolol
55.56Single5V54Methiothepin5V54-5-HT1B-Methiothepin
55.56Single5ZKBAF-DX 3845ZKB-M2-AF-DX 384
55.56Single6N48BI1671076N48-β2-BI167107-PubChem 138454256
55.56Single6OL9Tiotropium6OL9-M5-Tiotropium
55.56Single6TQ7SB-3348676TQ7-OX1-SB-334867
55.56Single7B6WCyclazosin7B6W-α1b-Cyclazosin
55.56Single7TRQIperoxo7TRQ-M4-Iperoxo-VU0467154-Gi1/β1/γ2
55.56Single8DZPmomSalB8DZP-κ-momSalB-Gi1/β1/γ2
55.56Single8IRRRotigotine8IRR-D1-Rotigotine-Gs/β1/γ2
55.56Single8IRURotigotine8IRU-D4-Rotigotine-chim(NtGi1-Gs-CtGi1)/β1/γ2
55.56Single8JT6(R)-IHCH-71798JT6-5-HT1A-(R)-IHCH-7179-PtdIns4P-Gi1/β1/γ2
55.56Single8JXXClobenpropit8JXX-H4-Clobenpropit-Gi1/β1/γ2
55.56Single9AS9RS130-1809AS9-5-HT2A-RS130-180
55.56Single9ASARS130-1809ASA-5-HT2A-RS130-180-chim(NtGi1-Gs-CtGq)/β1/γ2
55.56Single9IJDCarazolol9IJD-β3-Carazolol-chim(NtGi1-Gs)/β1/γ2
55.56Consensus5ht1_offOrthosteric Ligand5ht1b_off
55.56Consensus5ht1b_offOrthosteric Ligand5V54-5-HT1B-Methiothepin
55.56Consensusbeta1_offOrthosteric Ligand2VT4-β1-Cyanopindolol 2YCW-β1-Carazolol 2YCZ-β1-Iodocyanopindolol 5A8E-β1-7-Methylcyanopindolol-Na 3ZPQ-β1-PubChem 594590-Na 3ZPR-β1-PubChem 598754-Na
55.56Consensusbeta2_onOrthosteric Ligand7DHI-β2-Salbutamol-Gs/β1/γ2 6NI3-β2-BI167107-Gs/β1/γ2
55.56Consensusbeta2_on_gpOrthosteric Ligand7DHI-β2-Salbutamol-Gs/β1/γ2 6NI3-β2-BI167107-Gs/β1/γ2
55.56Consensusd1_on_gpOrthosteric Ligand7F0T-D1-Dopamine-Gs/β1/γ2 7CKY-D1-PW0464-Gs/β1/γ2 8IRR-D1-Rotigotine-Gs/β1/γ2 7JV5-D1-SKF81297-Gs/β1/γ2 7JVP-D1-SKF83959-Gs/β1/γ2 7X2D-D1-Tavapadon-Gs/β1/γ2 7CKX-D1-A77636-Gs/β1/γ2 7JVQ-D1-Apomorphine-Gs/β1/γ2 7CKW-D1-Fenoldopam-Gs/β1/γ2
55.56Consensusd4_on_gpOrthosteric Ligand8IRU-D4-Rotigotine-chim(NtGi1-Gs-CtGi1)/β1/γ2
55.56Consensusgi_5htOrthosteric Ligand8FYT-5-HT1A-LSD-PtdIns4P-Gi1/β1/γ1 7UM7-5-HT5A-Methylergometrine-chim(NtGi1-Go)/β1/γ2 8UGY-5-HT1E-Mianserin-Gi1/β1/γ1 8W8B-5-HT1A-SEP-363856-Gi1/β1/γ2 7E2Y-5-HT1A-Serotonin-PtdIns4P-Gi1/β1/γ2 7E32-5-HT1D-Serotonin-Gi1/β1/γ2 7XTA-5-HT4-Serotonin-Gi1/β1/γ2 8UH3-5-HT1E-Setiptiline-Gi1/β1/γ1 8JSP-5-HT1A-Ulotaront-Gi1/β1/γ2 8FYL-5-HT1A-Vilazodone-PtdIns4P-Gi1/β1/γ1 8JT6-5-HT1A-(R)-IHCH-7179-PtdIns4P-Gi1/β1/γ2 8FYE-5-HT1A-4-F,5-MeO-PyrT-PtdIns4P-Gi1/β1/γ1 7X5H-5-HT5A-5-CT-Gi1/β1/γ2 8FY8-5-HT1A-5-MeO-DMT-PtdIns4P-Gi1/β1/γ1 7E2Z-5-HT1A-Aripiprazole-PtdIns4P-Gi1/β1/γ2 7E33-5-HT1E-BRL-54443-Gi1/β1/γ2 8FYX-5-HT1A-Buspirone-PtdIns4P-Gi1/β1/γ1 7EXD-5-HT1F-Lasmiditan-Gi1/β1/γ2 7UM6-5-HT5A-Lisuride-chim(NtGi1-Go)/β1/γ2
55.56Consensusgi_dopamineOrthosteric Ligand7JVR-D2-Bromoergocryptine-Gi1/β1/γ2 7CMV-D3-PD128907-Gi1/β1/γ2 7CMU-D3-Pramipexole-Gi1/β1/γ2 8IRS-D2-Rotigotine-Gi1/β1/γ2 8IRT-D3-Rotigotine-Gi1/β1/γ2
55.56Consensusgs_adrenergicOrthosteric Ligand7DHI-β2-Salbutamol-Gs/β1/γ2 7XJI-β3-Solabegron-Gs/β1/γ2 7JJO-β1-Isoprenaline-Gs/β1/γ2 6NI3-β2-BI167107-Gs/β1/γ2 8DCR-β1-Dobutamine-Gs/β1/γ2 7XJH-β3-Isoprenaline-Gs/β1/γ2 7DH5-β3-Mirabegron-Gs/β1/γ2
55.56Consensusgs_dopamineOrthosteric Ligand7F0T-D1-Dopamine-Gs/β1/γ2 7CKW-D1-Fenoldopam-Gs/β1/γ2 7CKY-D1-PW0464-Gs/β1/γ2 8IRV-D5-Rotigotine-chim(NtGi1-Gs)/β1/γ2 8IRR-D1-Rotigotine-Gs/β1/γ2 7JV5-D1-SKF81297-Gs/β1/γ2 7JVP-D1-SKF83959-Gs/β1/γ2 7X2D-D1-Tavapadon-Gs/β1/γ2 7CKX-D1-A77636-Gs/β1/γ2 7JVQ-D1-Apomorphine-Gs/β1/γ2
55.56Consensusm3_offOrthosteric Ligand4U15-M3-Tiotropium 4U16-M3-N-methyl-Scopolamine 5ZHP-M3-PubChem 134828589
55.56Consensusm5_offOrthosteric Ligand6OL9-M5-Tiotropium
55.56Consensusmuscarinic_offOrthosteric Ligandm2_off m3_off m4_off m5_off m1_off
55.00Single3NY9PubChem 9131033NY9-β2-PubChem 913103
55.00Single9MD1Buspirone9MD1-5-HT1A-Buspirone-PtdIns4P-Gz/β1/γ2
53.33Single7DFLHistamine7DFL-H1-Histamine-chim(NtGi1L-Gq)/β1/γ2
53.33Single8DPFLorcaserin8DPF-5-HT2C-Lorcaserin-chim(NtGi2L-Gs-CtGq)/β1/γ2
53.33Single9AS2DMT9AS2-5-HT2A-DMT-chim(NtGi1-Gs-CtGq)/β1/γ2
53.33Consensush1_onOrthosteric Ligand7DFL-H1-Histamine-chim(NtGi1L-Gq)/β1/γ2
52.94Single2Y02Carmoterol2Y02-β1-Carmoterol
52.94Single2YCYCyanopindolol2YCY-β1-Cyanopindolol
52.94Single3NY8ICI118-5513NY8-β2-ICI118-551
52.94Single3ZPQPubChem 5945903ZPQ-β1-PubChem 594590-Na
52.94Single4DAJTiotropium4DAJ-M3-Tiotropium
52.94Single4GBRCarazolol4GBR-β2-Carazolol
52.94Single4MQSIperoxo4MQS-M2-Iperoxo
52.94Single4QKXPubChem 762106284QKX-β2-PubChem 76210628
52.94Single4U14Tiotropium4U14-M3-Tiotropium
52.94Single5DSGTiotropium5DSG-M4-Tiotropium
52.94Single5YC8N-methyl-Scopolamine5YC8-M2-N-methyl-Scopolamine
52.94Single5ZK8N-methyl-Scopolamine5ZK8-M2-N-methyl-Scopolamine
52.94Single5ZKCN-methyl-Scopolamine5ZKC-M2-N-methyl-Scopolamine
52.94Single6PRZAlprenolol6PRZ-β2-Alprenolol
52.94Single6PS1Timolol6PS1-β2-Timolol
52.94Single6PS2Alprenolol6PS2-β2-Alprenolol
52.94Single6WHADB139486WHA-5-HT2A-DB13948-chim(NtGi2L-Gs-CtGq)/β1/γ2
52.94Single7BTSEpinephrine7BTS-β1-Epinephrine
52.94Single7BU6Norepinephrine7BU6-β1-Norepinephrine
52.94Single7E32Serotonin7E32-5-HT1D-Serotonin-Gi1/β1/γ2
52.94Single7S0GIsoprenaline7S0G-β1-Isoprenaline-chim(Gi1-CtGs)/β1/γ2
52.94Single7TRPIperoxo7TRP-M4-Iperoxo-LY2033298-Gi1/β1/γ2
52.94Single7UM55-CT7UM5-5-HT5A-5-CT-chim(NtGi1-Go)/β1/γ2
52.94Single7UM6Lisuride7UM6-5-HT5A-Lisuride-chim(NtGi1-Go)/β1/γ2
52.94Single8GE2Constrained Epinephrine8GE2-β2-Constrained Epinephrine-Gs/β1/γ1
52.94Single8GE3Constrained Epinephrine8GE3-β2-Constrained Epinephrine-Gs/β1/γ2
52.94Single8GE9Constrained Epinephrine8GE9-β2-Constrained Epinephrine-Gs/β1/γ2
52.94Single8GECConstrained Epinephrine8GEC-β2-Constrained Epinephrine-Gs/β1/γ2
52.94Single8GEEConstrained Epinephrine8GEE-β2-Constrained Epinephrine-Gs/β1/γ2
52.94Single8GEHConstrained Epinephrine8GEH-β2-Constrained Epinephrine-Gs/β1/γ2
52.94Single8GFVConstrained Epinephrine8GFV-β2-Constrained Epinephrine-GTP-Gs/β1/γ2
52.94Single8GFWConstrained Epinephrine8GFW-β2-Constrained Epinephrine-GTP-Gs/β1/γ2
52.94Single8GFXConstrained Epinephrine8GFX-β2-Constrained Epinephrine-GTP-Gs/β1/γ2
52.94Single8GFZConstrained Epinephrine8GFZ-β2-Constrained Epinephrine-GTP-Gs/β1/γ2
52.94Single8GG0Constrained Epinephrine8GG0-β2-Constrained Epinephrine-GTP-Gs/β1/γ2
52.94Single8GG1Constrained Epinephrine8GG1-β2-Constrained Epinephrine-GTP-Gs/β1/γ2
52.94Single8GG3Constrained Epinephrine8GG3-β2-Constrained Epinephrine-GTP-Gs/β1/γ2
52.94Single8GG4Constrained Epinephrine8GG4-β2-Constrained Epinephrine-GTP-Gs/β1/γ2
52.94Single8GG6Constrained Epinephrine8GG6-β2-Constrained Epinephrine-GTP-Gs/β1/γ2
52.94Single8GG9Constrained Epinephrine8GG9-β2-Constrained Epinephrine-GTP-Gs/β1/γ2
52.94Single8GGIConstrained Epinephrine8GGI-β2-Constrained Epinephrine
52.94Single8GGJConstrained Epinephrine8GGJ-β2-Constrained Epinephrine
52.94Single8GGKConstrained Epinephrine8GGK-β2-Constrained Epinephrine
52.94Single8GGNConstrained Epinephrine8GGN-β2-Constrained Epinephrine
52.94Single8GGOConstrained Epinephrine8GGO-β2-Constrained Epinephrine
52.94Single8GGUConstrained Epinephrine8GGU-β2-Constrained Epinephrine
52.94Single8JLJT1AM8JLJ-TA1-T1AM-chim(NtGi1-Gs)/β1/γ2
52.94Single8JXRLSD8JXR-D1-LSD
52.94Single8UGYMianserin8UGY-5-HT1E-Mianserin-Gi1/β1/γ1
52.94Single8UNQConstrained Epinephrine8UNQ-β2-Constrained Epinephrine-GTP-Gs/β1/γ2
52.94Single8UNYConstrained Epinephrine8UNY-β2-Constrained Epinephrine-GTP-Gs/β1/γ2
52.94Single8VVGGB188VVG-κ-GB18-Gi1/β1/γ2
52.94Single8W87METH8W87-TA1-METH-chim(NtGi1L-Gs)/β1/γ2
52.94Single8WC7ZH86678WC7-TA1-ZH8667-chim(NtGi1-Gs)/β1/γ2
52.94Single8XVKAmbrisentan8XVK-ETA-Ambrisentan
52.94Single8YN8Proxyfan8YN8-H3-Proxyfan-Go/β1/γ2
52.94Single8ZSSRO52633978ZSS-TA1-RO5263397-chim(NtGi1-Gs)/β1/γ2
52.94Single9CBMDexmedetomidine9CBM-α2a-Dexmedetomidine-Gi1/β1/γ2
52.94Single9DYFAsenapine9DYF-5-HT1A-Asenapine-PtdIns4P-Gi1/β1/γ2
52.94Single9PLNPubChem 1682595949PLN-α2a-PubChem 168259594
52.94Single9PLOPubChem 1682595949PLO-α2a-PubChem 168259594-Go/β1/γ2
52.94Single9PQDPubChem 1764919279PQD-α2a-PubChem 176491927
52.94Single9VMYTMU41429VMY-5-HT1A-TMU4142-Go/β1/γ2
52.94Consensus5ht1d_onOrthosteric Ligand7E32-5-HT1D-Serotonin-Gi1/β1/γ2
52.94Consensus5ht1d_on_gpOrthosteric Ligand7E32-5-HT1D-Serotonin-Gi1/β1/γ2
52.94Consensus5ht5_onOrthosteric Ligand5ht5a_on
52.94Consensus5ht5a_onOrthosteric Ligand7X5H-5-HT5A-5-CT-Gi1/β1/γ2 7UM6-5-HT5A-Lisuride-chim(NtGi1-Go)/β1/γ2 7UM7-5-HT5A-Methylergometrine-chim(NtGi1-Go)/β1/γ2
52.94Consensusadrenergic_onOrthosteric Ligandalpha_on beta_on
52.94Consensusalpha_onOrthosteric Ligandalpha1_on alpha2_on
52.94Consensusd5_onOrthosteric Ligand8IRV-D5-Rotigotine-chim(NtGi1-Gs)/β1/γ2
52.94Consensusdopamine_offOrthosteric Ligandd2_off d3_off
52.94Consensusdopamine_onOrthosteric Ligandd2_on d1_on d3_on d4_on d5_on
52.94Consensusdopamine_on_gpOrthosteric Ligandd2_on_gp d1_on_gp d3_on_gp d4_on_gp d5_on_gp
52.94Consensusgs_trace-amineOrthosteric Ligand8W88-TA1-SEP-363856-Gs/β1/γ2 8JLJ-TA1-T1AM-chim(NtGi1-Gs)/β1/γ2 8JLO-TA1-Ulotaront-Gs/β1/γ2 8WC4-TA1-ZH8651-chim(NtGi1-Gs)/β1/γ2 8WC7-TA1-ZH8667-chim(NtGi1-Gs)/β1/γ2 8JLR-TA1-A77636-chim(NtGi1-Gs)/β1/γ2 8JSO-TA1-AMPH-chim(NtGi1-Gs)/β1/γ2 8W87-TA1-METH-chim(NtGi1L-Gs)/β1/γ2 8W89-TA1-2-Phenylethylamine-chim(NtGi1L-Gs)/β1/γ2 8JLP-TA1-Ralmitaront-Gs/β1/γ2 8W8A-TA1-RO5256390-chim(NtGi1L-Gs)/β1/γ2
52.94Consensusm4_offOrthosteric Ligand5DSG-M4-Tiotropium
52.94Consensusmuscarinic_onOrthosteric Ligandm2_on m3_on m4_on m1_on
52.94Consensusmuscarinic_on_gpOrthosteric Ligandm2_on_gp m3_on_gp m4_on_gp m1_on_gp
52.63Single6ZG4HTL00099366ZG4-M1-HTL0009936
52.63Single7BZ2Arformoterol7BZ2-β2-Arformoterol-Gs/β1/γ2
52.63Single7DFPSpiperone7DFP-D2-Spiperone
52.63Single7DH5Mirabegron7DH5-β3-Mirabegron-Gs/β1/γ2
52.63Single8G056-OAU8G05-GPR84-6-OAU-Gi1/β1/γ2
52.63Single8JJ8Arformoterol8JJ8-β2-Arformoterol
52.63Single9EK0Iperoxo9EK0-M5-Iperoxo-chim(NtGi1-Gs-CtGq)/β1/γ2
52.63Single9V6ONalfurafine9V6O-κ-Nalfurafine-Gi1/β1/γ2
52.63Single9VJ6F-155999VJ6-5-HT1A-F-15599-Gi3/β1/γ2
52.63Consensus5ht1a_onOrthosteric Ligand8FYT-5-HT1A-LSD-PtdIns4P-Gi1/β1/γ1 7E2Y-5-HT1A-Serotonin-PtdIns4P-Gi1/β1/γ2 7E2Z-5-HT1A-Aripiprazole-PtdIns4P-Gi1/β1/γ2 8FYX-5-HT1A-Buspirone-PtdIns4P-Gi1/β1/γ1 8JSP-5-HT1A-Ulotaront-Gi1/β1/γ2 8JT6-5-HT1A-(R)-IHCH-7179-PtdIns4P-Gi1/β1/γ2 8FY8-5-HT1A-5-MeO-DMT-PtdIns4P-Gi1/β1/γ1 8FYE-5-HT1A-4-F,5-MeO-PyrT-PtdIns4P-Gi1/β1/γ1 8FYL-5-HT1A-Vilazodone-PtdIns4P-Gi1/β1/γ1
52.63Consensus5ht1a_on_gpOrthosteric Ligand8FYT-5-HT1A-LSD-PtdIns4P-Gi1/β1/γ1 8FYX-5-HT1A-Buspirone-PtdIns4P-Gi1/β1/γ1 8JSP-5-HT1A-Ulotaront-Gi1/β1/γ2 8JT6-5-HT1A-(R)-IHCH-7179-PtdIns4P-Gi1/β1/γ2 7E2Y-5-HT1A-Serotonin-PtdIns4P-Gi1/β1/γ2 7E2Z-5-HT1A-Aripiprazole-PtdIns4P-Gi1/β1/γ2 8FY8-5-HT1A-5-MeO-DMT-PtdIns4P-Gi1/β1/γ1 8FYE-5-HT1A-4-F,5-MeO-PyrT-PtdIns4P-Gi1/β1/γ1 8FYL-5-HT1A-Vilazodone-PtdIns4P-Gi1/β1/γ1
52.63Consensusbeta3_onOrthosteric Ligand7DH5-β3-Mirabegron-Gs/β1/γ2 7XJH-β3-Isoprenaline-Gs/β1/γ2 7XJI-β3-Solabegron-Gs/β1/γ2
52.63Consensusbeta3_on_gpOrthosteric Ligand7DH5-β3-Mirabegron-Gs/β1/γ2 7XJH-β3-Isoprenaline-Gs/β1/γ2 7XJI-β3-Solabegron-Gs/β1/γ2
52.63Consensusbeta_onOrthosteric Ligandbeta1_on beta2_on beta3_on
52.63Consensusbeta_on_gpOrthosteric Ligandbeta1_on_gp beta2_on_gp beta3_on_gp
52.63Consensusgi_muscarinicOrthosteric Ligand8E9X-M4-2-Deoxycytidine-chim(NtGi1-Go)/β1/γ2 7T8X-M2-Acetylcholine-chim(NtGi1-Go)/β1/γ2 7TRS-M4-Acetylcholine-Gi1/β1/γ2 7TRK-M4-Iperoxo-Gi1/β1/γ2 7V6A-M4-PubChem 9864275-Gi1/β1/γ2
52.38Single4IARErgotamine4IAR-5-HT1B-Ergotamine
52.38Single8FYLVilazodone8FYL-5-HT1A-Vilazodone-PtdIns4P-Gi1/β1/γ1
52.38Single9M4TSilodosin9M4T-Alpha1A-Silodosin
50.00Single2YCWCarazolol2YCW-β1-Carazolol
50.00Single2Z7311-cis-Retinal2Z73-Rhodopsin-11-cis-Retinal
50.00Single3AYN9-cis-Retinal3AYN-Rhodopsin-9-cis-Retinal
50.00Single5D6LCarazolol5D6L-β2-Carazolol
50.00Single5TVNLSD5TVN-5-HT2B-LSD
50.00Single5WIUNemonapride5WIU-D4-Nemonapride
50.00Single5WIVNemonapride5WIV-D4-Nemonapride-Na
50.00Single5X7DCarazolol5X7D-β2-Carazolol-PubChem 129318963
50.00Single5X93K-87945X93-ETB-K-8794
50.00Single5ZK33-quinuclidinyl-benzilate5ZK3-M2-3-quinuclidinyl-benzilate
50.00Single6E67BI1671076E67-β2-BI167107-Gs(CT)
50.00Single6H7LDobutamine6H7L-β1-Dobutamine
50.00Single6ME72-Phenylmelatonin6ME7-MT2-2-Phenylmelatonin
50.00Single6OBAAlprenolol6OBA-β2-Alprenolol-GTPL11074
50.00Single6OIKIperoxo6OIK-M2-Iperoxo-LY2119620-chim(NtGi1-Go)/β1/γ2
50.00Single7C61Ergotamine7C61-5-HT1B-Ergotamine
50.00Single7SK7CCX6627SK7-ACKR3-CXCL12-CCX662
50.00Single7SK8CCX6627SK8-ACKR3-CXCL12-CCX662
50.00Single7TRKIperoxo7TRK-M4-Iperoxo-Gi1/β1/γ2
50.00Single7U2KC6-guano7U2K-μ-C6-guano-Gi1/β1/γ2
50.00Single7UM4AS26747237UM4-5-HT5A-AS2674723
50.00Single7VGY2-Iodomelatonin7VGY-MT1-2-Iodomelatonin-Gi1/β1/γ2
50.00Single7WC6LSD7WC6-5-HT2A-LSD
50.00Single7X2DTavapadon7X2D-D1-Tavapadon-Gs/β1/γ2
50.00Single7XJISolabegron7XJI-β3-Solabegron-Gs/β1/γ2
50.00Single7XKAConstrained Epinephrine7XKA-β2-Constrained Epinephrine
50.00Single7YM8Oxymetazoline7YM8-Alpha1A-Oxymetazoline-chim(Gs-CtGq)
50.00Single7YMHNorepinephrine7YMH-Alpha1A-Norepinephrine-chim(Gs-CtGq)
50.00Single8E9X2-Deoxycytidine8E9X-M4-2-Deoxycytidine-chim(NtGi1-Go)/β1/γ2
50.00Single8E9YClozapine-N-oxide8E9Y-M3-Clozapine-N-oxide-chim(NtGi2L-Gs-CtGq)/β1/γ2
50.00Single8E9ZIperoxo8E9Z-M3-Iperoxo-chim(NtGi2L-Gs-CtGq)/β1/γ2
50.00Single8EFBOliceridine8EFB-μ-Oliceridine-Gi1/β1/γ2
50.00Single8FX5Xanomeline8FX5-M4-Xanomeline-Xanomeline-Gi1/β1/γ2
50.00Single8GDZConstrained Epinephrine8GDZ-β2-Constrained Epinephrine-Gs/β1/γ2
50.00Single8GEBConstrained Epinephrine8GEB-β2-Constrained Epinephrine-Gs/β1/γ2
50.00Single8GEGConstrained Epinephrine8GEG-β2-Constrained Epinephrine-Gs/β1/γ2
50.00Single8GGAConstrained Epinephrine8GGA-β2-Constrained Epinephrine-GTP-Gs/β1/γ2
50.00Single8GGBConstrained Epinephrine8GGB-β2-Constrained Epinephrine-GTP-Gs/β1/γ2
50.00Single8GGRConstrained Epinephrine8GGR-β2-Constrained Epinephrine
50.00Single8GGWConstrained Epinephrine8GGW-β2-Constrained Epinephrine
50.00Single8GH0Constrained Epinephrine8GH0-β2-Constrained Epinephrine
50.00Single8HOCImetit8HOC-H4-Imetit-Gi1/β1/γ2
50.00Single8J19LY2378J19-GPR84-LY237-Gi1/β1/γ2
50.00Single8UNNConstrained Epinephrine8UNN-β2-Constrained Epinephrine-GTP-Gs/β1/γ2
50.00Single8UNPConstrained Epinephrine8UNP-β2-Constrained Epinephrine-GTP-Gs/β1/γ2
50.00Single8XIOL7975918XIO-SST1-L797591-chim(NtGi1-Gs-CtGi1)/β1/γ2
50.00Single8YNAImmepip8YNA-H4-Immepip-Gi1/β1/γ2
50.00Single8ZRKGSK12922638ZRK-GPR119-GSK1292263-Gs/β1/γ2
50.00Single9ARYSerotonin9ARY-5-HT2A-Serotonin-chim(NtGi1-Gs-CtGq)/β1/γ2
50.00Single9AXFCa; Ca; Ca; Cyclomethyltryptophan; R-568; PO49AXF-CaS; CaS-Ca-Ca; Ca; Ca; Cyclomethyltryptophan; R-568; PO4-chim(NtGi1-Gs-CtGq)/β1/γ2
50.00Single9F33FOB02-04A9F33-D3-FOB02-04A-Go/β1/γ2
50.00Single9F34FOB02-04A9F34-D3-FOB02-04A-Go/β1/γ2
50.00Single9HYIDP819HYI-5-HT1A-DP81-Gi1/β1/γ2
50.00Single9K07DSO-5a9K07-BB3-DSO-5a-chim(NtGi2L-Gs-CtGq)/β1/γ2
50.00Single9KVHCinobufotenine9KVH-5-HT1A-Cinobufotenine-PtdIns4P-Gi1/β1/γ2
50.00Single9LL9DOI9LL9-5-HT2A-DOI-chim(NtGi1L-Gs-CtGq)/β1/γ2
50.00Single9MQJIsoquinuclidine9MQJ-μ-Isoquinuclidine
50.00Consensusalpha2_offOrthosteric Ligandalpha2c_off
50.00Consensusalpha_offOrthosteric Ligandalpha1_off alpha2_off
50.00Consensusbeta1_onOrthosteric Ligand8DCR-β1-Dobutamine-Gs/β1/γ2 7S0F-β1-Isoprenaline-Gi1/β1/γ2
50.00Consensusbeta1_on_gpOrthosteric Ligand8DCR-β1-Dobutamine-Gs/β1/γ2 7S0F-β1-Isoprenaline-Gi1/β1/γ2
50.00Consensusd1_onOrthosteric Ligand7F0T-D1-Dopamine-Gs/β1/γ2 7CKY-D1-PW0464-Gs/β1/γ2 8IRR-D1-Rotigotine-Gs/β1/γ2 7JV5-D1-SKF81297-Gs/β1/γ2 7JVP-D1-SKF83959-Gs/β1/γ2 7X2D-D1-Tavapadon-Gs/β1/γ2 7CKX-D1-A77636-Gs/β1/γ2 7JVQ-D1-Apomorphine-Gs/β1/γ2 7CKW-D1-Fenoldopam-Gs/β1/γ2
50.00Consensusd2_offOrthosteric Ligand6CM4-D2-Risperidone 6LUQ-D2-Haloperidol 7DFP-D2-Spiperone
50.00Consensusd4_onOrthosteric Ligand8IRU-D4-Rotigotine-chim(NtGi1-Gs-CtGi1)/β1/γ2
50.00Consensusgs_amineOrthosteric Ligandgs_5ht gs_adrenergic gs_dopamine gs_histamine gs_trace-amine
50.00Consensusrhodopsin_offOrthosteric Ligand1U19-Rhodopsin-11-cis-Retinal 2PED-Rhodopsin-9-cis-Retinal 5TE5-Rhodopsin-20-Methanoretinal
47.83Single5WF5UK-4320975WF5-A2A-UK-432097
47.62Single8X5YAstemizole8X5Y-H1-Astemizole
47.62Single8Y72Peptide8Y72-μ-Peptide-BMS-986122-Gi1/β1/γ2
47.37Single2YDVNECA2YDV-A2A-NECA
47.37Single3P0GBI1671073P0G-β2-BI167107
47.37Single3UON3-quinuclidinyl-benzilate3UON-M2-3-quinuclidinyl-benzilate
47.37Single4UHRCGS216804UHR-A2A-CGS21680
47.37Single5A8E7-Methylcyanopindolol5A8E-β1-7-Methylcyanopindolol-Na
47.37Single5G53NECA5G53-A2A-NECA-Gs
47.37Single6J20Aprepitant6J20-NK1-Aprepitant
47.37Single6NI3BI1671076NI3-β2-BI167107-Gs/β1/γ2
47.37Single6OIJIperoxo6OIJ-M1-Iperoxo-chim(NtGi1L-G11)/β1/γ2
47.37Single7CKYPW04647CKY-D1-PW0464-Gs/β1/γ2
47.37Single7E2ZAripiprazole7E2Z-5-HT1A-Aripiprazole-PtdIns4P-Gi1/β1/γ2
47.37Single7JV5SKF812977JV5-D1-SKF81297-Gs/β1/γ2
47.37Single7JVPSKF839597JVP-D1-SKF83959-Gs/β1/γ2
47.37Single7T2HLofentanil7T2H-μ-Lofentanil-Gi1/β1/γ2
47.37Single7U2LC5-guano7U2L-μ-C5-guano-Gi1/β1/γ2
47.37Single8DCSCyanopindolol8DCS-β1-Cyanopindolol-Gs/β1/γ2
47.37Single8EA0Iperoxo8EA0-M3-Iperoxo
47.37Single8IRVRotigotine8IRV-D5-Rotigotine-chim(NtGi1-Gs)/β1/γ2
47.37Single9I54PubChem 1764520919I54-D1-PubChem 176452091-Gs/β1/γ2
47.37Single9PY4Loperamide9PY4-μ-Loperamide-GDPβS-Gi1/β1/γ2
47.37Single9UCPIperoxo9UCP-M1-Iperoxo-G11(CT)
47.37Consensusd5_on_gpOrthosteric Ligand8IRV-D5-Rotigotine-chim(NtGi1-Gs)/β1/γ2
47.37Consensush4_on_gpOrthosteric Ligand8HN8-H4-Histamine-Gi1/β1/γ2 8HOC-H4-Imetit-Gi1/β1/γ2 8JXV-H4-Clozapine-Gi1/β1/γ2 8JXW-H4-VUF6884-Gi1/β1/γ2 8JXX-H4-Clobenpropit-Gi1/β1/γ2
47.37Consensusm1_on_gpOrthosteric Ligand6OIJ-M1-Iperoxo-chim(NtGi1L-G11)/β1/γ2
47.06Single3RZECidoxepin3RZE-H1-Cidoxepin
47.06Single4LDOEpinephrine4LDO-β2-Epinephrine
47.06Single6A94Zotepine6A94-5-HT2A-Zotepine
47.06Single6PS0Carazolol6PS0-β2-Carazolol
47.06Single6PS4ICI118-5516PS4-β2-ICI118-551
47.06Single6PS5Propranolol6PS5-β2-Propranolol
47.06Single7CMUPramipexole7CMU-D3-Pramipexole-Gi1/β1/γ2
47.06Single7E33BRL-544437E33-5-HT1E-BRL-54443-Gi1/β1/γ2
47.06Single7EJ8Brimonidine7EJ8-α2a-Brimonidine-Go/β1/γ2
47.06Single7EJADexmedetomidine7EJA-α2a-Dexmedetomidine-Go/β1/γ2
47.06Single7F24Dopamine7F24-D1-Dopamine-GDP-Gs/β1/γ2
47.06Single7RANPubChem 1645758477RAN-5-HT2A-PubChem 164575847-chim(NtGi2L-Gs-CtGq)/β1/γ2
47.06Single7T94Acetylcholine7T94-M2-Acetylcholine-LY2119620-chim(NtGi1-Go)/β1/γ2
47.06Single7TRSAcetylcholine7TRS-M4-Acetylcholine-Gi1/β1/γ2
47.06Single8DPGPsilocin8DPG-5-HT2C-Psilocin-chim(NtGi2L-Gs-CtGq)/β1/γ2
47.06Single8FCZ11-cis-Retinal8FCZ-Rhodopsin-11-cis-Retinal
47.06Single8GEAConstrained Epinephrine8GEA-β2-Constrained Epinephrine-Gs/β1/γ2
47.06Single8GEDConstrained Epinephrine8GED-β2-Constrained Epinephrine-Gs/β1/γ2
47.06Single8GG5Constrained Epinephrine8GG5-β2-Constrained Epinephrine-GTP-Gs/β1/γ2
47.06Single8GG7Constrained Epinephrine8GG7-β2-Constrained Epinephrine-GTP-Gs/β1/γ2
47.06Single8GG8Constrained Epinephrine8GG8-β2-Constrained Epinephrine-GTP-Gs/β1/γ2
47.06Single8GGLConstrained Epinephrine8GGL-β2-Constrained Epinephrine
47.06Single8GGMConstrained Epinephrine8GGM-β2-Constrained Epinephrine
47.06Single8GGPConstrained Epinephrine8GGP-β2-Constrained Epinephrine
47.06Single8GGQConstrained Epinephrine8GGQ-β2-Constrained Epinephrine
47.06Single8GGSConstrained Epinephrine8GGS-β2-Constrained Epinephrine
47.06Single8GGTConstrained Epinephrine8GGT-β2-Constrained Epinephrine
47.06Single8GGXConstrained Epinephrine8GGX-β2-Constrained Epinephrine
47.06Single8JLQFenoldopam8JLQ-TA1-Fenoldopam-Gs/β1/γ2
47.06Single8THLEpinephrine8THL-Alpha1A-Epinephrine-chim(NtGi2L-Gs-CtGq)/β1/γ2
47.06Single8U02Dopamine8U02-D2-Dopamine-Go/β1/γ2
47.06Single8UNLConstrained Epinephrine8UNL-β2-Constrained Epinephrine-GTP-Gs/β1/γ2
47.06Single8UNMConstrained Epinephrine8UNM-β2-Constrained Epinephrine-GTP-Gs/β1/γ2
47.06Single8UNOConstrained Epinephrine8UNO-β2-Constrained Epinephrine-GTP-Gs/β1/γ2
47.06Single8UNWConstrained Epinephrine8UNW-β2-Constrained Epinephrine-GTP-Gs/β1/γ2
47.06Single8WC8ZH86518WC8-TA1-ZH8651-chim(NtGi1-Gs)/β1/γ2
47.06Single8YN3Histamine8YN3-H2-Histamine-Gs/β1/γ2
47.06Single9L84Epinephrine9L84-β1-Epinephrine-Atazanavir-Gs/β1/γ2
47.06Single9LL8Psilocin9LL8-5-HT2A-Psilocin-Gi1/β1/γ2
47.06Single9LRDHistamine9LRD-H1-Histamine-Gi1/β1/γ2
47.06Single9MQIIsoquinuclidine9MQI-μ-Isoquinuclidine
47.06Single9W6W5-CT9W6W-5-HT5A-5-CT-Gi1/β1/γ2
47.06Consensus5ht2a_offOrthosteric Ligand6A94-5-HT2A-Zotepine 6A93-5-HT2A-Risperidone 7VOD-5-HT2A-Cariprazine 7WC8-5-HT2A-Lumateperone 8JT8-5-HT2A-(R)-IHCH-7179
47.06Consensus5ht_on_gpOrthosteric Ligand5ht1_on_gp 5ht2_on_gp 5ht4_on_gp 5ht5_on_gp 5ht6_on_gp 5ht7_on_gp
47.06Consensusalpha1_onOrthosteric Ligandalpha1a_on
47.06Consensusalpha1_on_gpOrthosteric Ligandalpha1a_on_gp
47.06Consensusalpha1a_onOrthosteric Ligand7EJ0-α2a-Norepinephrine-Go/β1/γ2 7EJ8-α2a-Brimonidine-Go/β1/γ2 7EJA-α2a-Dexmedetomidine-Go/β1/γ2 7EJK-α2a-Oxymetazoline-Go/β1/γ2 7W6P-α2a-N-pyridin-4-ylisoquinolin-4-amine-Go/β1/γ2 7W7E-α2a-PubChem 164946676-Go/β1/γ2
47.06Consensusalpha1a_on_gpOrthosteric Ligand7EJ0-α2a-Norepinephrine-Go/β1/γ2 7EJ8-α2a-Brimonidine-Go/β1/γ2 7EJA-α2a-Dexmedetomidine-Go/β1/γ2 7EJK-α2a-Oxymetazoline-Go/β1/γ2 7W6P-α2a-N-pyridin-4-ylisoquinolin-4-amine-Go/β1/γ2 7W7E-α2a-PubChem 164946676-Go/β1/γ2
47.06Consensusd3_onOrthosteric Ligand7CMV-D3-PD128907-Gi1/β1/γ2 8IRT-D3-Rotigotine-Gi1/β1/γ2 7CMU-D3-Pramipexole-Gi1/β1/γ2
47.06Consensusd3_on_gpOrthosteric Ligand7CMV-D3-PD128907-Gi1/β1/γ2 8IRT-D3-Rotigotine-Gi1/β1/γ2 7CMU-D3-Pramipexole-Gi1/β1/γ2
47.06Consensusopsins_offOrthosteric Ligandrhodopsin_off
47.06Consensussensory_offOrthosteric Ligandopsins_off
46.67Single8DPILorcaserin8DPI-5-HT2C-Lorcaserin-chim(NtGi2L-Gs-CtGq)/β1/γ2
46.67Single8WC9ZH86518WC9-TA1-ZH8651-chim(NtGi1-Gs-CtGq)/β1/γ2
45.45Single4IB4Ergotamine4IB4-5-HT2B-Ergotamine
45.45Single7WVWfMYFINILTL7WVW-FPR2-ALX-fMYFINILTL-Gi2/β1/γ2
45.45Single8DCRDobutamine8DCR-β1-Dobutamine-Gs/β1/γ2
45.45Single8WDTphotoNECA8WDT-A2A-photoNECA
45.45Single9BUYLM1899BUY-β2-LM189-Gi1/β1/γ2
45.00Single2YCXCyanopindolol2YCX-β1-Cyanopindolol
45.00Single4RWADIPP-NH24RWA-δ-DIPP-NH2
45.00Single6A93Risperidone6A93-5-HT2A-Risperidone
45.00Single6CM4Risperidone6CM4-D2-Risperidone
45.00Single6MXTSalmeterol6MXT-β2-Salmeterol
45.00Single7EXDLasmiditan7EXD-5-HT1F-Lasmiditan-Gi1/β1/γ2
45.00Single7JNIOlodanrigan7JNI-AT2-Olodanrigan
45.00Single7WCMMBX-29827WCM-GPR119-MBX-2982-Gs/β1/γ2
45.00Single7WCNAR2314537WCN-GPR119-AR231453-Gs/β1/γ2
45.00Single7XMTJ-21567XMT-SST4-J-2156-Gi1/β1/γ2
45.00Single7YITNalfurafine7YIT-κ-Nalfurafine
45.00Single7YMJTamsulosin7YMJ-Alpha1A-Tamsulosin
45.00Single8JJLOlodaterol8JJL-β2-Olodaterol
45.00Single9EBIPiclidenoson9EBI-A3A-Piclidenoson-chim(NtGi1L-Gs-CtGi1)/β1/γ2
45.00Single9M4QDoxazosin9M4Q-Alpha1A-Doxazosin
45.00Single9WSVDAMGO9WSV-μ-DAMGO-Arrestin2
45.00Consensus5ht1f_onOrthosteric Ligand7EXD-5-HT1F-Lasmiditan-Gi1/β1/γ2
45.00Consensus5ht1f_on_gpOrthosteric Ligand7EXD-5-HT1F-Lasmiditan-Gi1/β1/γ2
45.00Consensusalpha1_offOrthosteric Ligandalpha1a_off
45.00Consensusalpha1a_offOrthosteric Ligand7YMJ-Alpha1A-Tamsulosin
45.00Consensusgi_amineOrthosteric Ligandgi_5ht gi_muscarinic gi_adrenergic gi_dopamine gi_histamine
45.00Consensusm4_onOrthosteric Ligand7TRS-M4-Acetylcholine-Gi1/β1/γ2 7V6A-M4-PubChem 9864275-Gi1/β1/γ2 8E9X-M4-2-Deoxycytidine-chim(NtGi1-Go)/β1/γ2 7TRK-M4-Iperoxo-Gi1/β1/γ2
45.00Consensusm4_on_gpOrthosteric Ligand7TRS-M4-Acetylcholine-Gi1/β1/γ2 7V6A-M4-PubChem 9864275-Gi1/β1/γ2 8E9X-M4-2-Deoxycytidine-chim(NtGi1-Go)/β1/γ2 7TRK-M4-Iperoxo-Gi1/β1/γ2
45.00Consensusmop_onOrthosteric Ligand8F7R-μ-Endomorphin-Gi1/β1/γ2 8EF5-μ-Fentanyl-Gi1/β1/γ2 7SCG-μ-FH210-Gi1/β1/γ2 7T2H-μ-Lofentanil-Gi1/β1/γ2 7T2G-μ-Mitragynine Pseudoindoxyl-Gi1/β1/γ2 8EF6-μ-Morphine-Gi1/β1/γ2 8EFB-μ-Oliceridine-Gi1/β1/γ2 7U2L-μ-C5-guano-Gi1/β1/γ2 8EFO-μ-PZM21-Gi1/β1/γ2 8EFL-μ-SR17018-Gi1/β1/γ2 8F7Q-μ-β-Endorphin-Gi1/β1/γ2 7U2K-μ-C6-guano-Gi1/β1/γ2 8EFQ-μ-DAMGO-Gi1/β1/γ2
45.00Consensusmop_on_gpOrthosteric Ligand8F7R-μ-Endomorphin-Gi1/β1/γ2 8EF5-μ-Fentanyl-Gi1/β1/γ2 7SCG-μ-FH210-Gi1/β1/γ2 7T2H-μ-Lofentanil-Gi1/β1/γ2 7T2G-μ-Mitragynine Pseudoindoxyl-Gi1/β1/γ2 8EF6-μ-Morphine-Gi1/β1/γ2 8EFB-μ-Oliceridine-Gi1/β1/γ2 7U2L-μ-C5-guano-Gi1/β1/γ2 8EFO-μ-PZM21-Gi1/β1/γ2 8EFL-μ-SR17018-Gi1/β1/γ2 8F7Q-μ-β-Endorphin-Gi1/β1/γ2 7U2K-μ-C6-guano-Gi1/β1/γ2 8EFQ-μ-DAMGO-Gi1/β1/γ2
45.00Consensusnk1_offOrthosteric Ligand6HLP-NK1-Netupitant 6HLO-NK1-Aprepitant 6HLL-NK1-CP99994 6E59-NK1-L-760735
45.00Consensusopioid_offOrthosteric Ligandmop_off nop_off dop_off kop_off
44.44Single1HZX11-cis-Retinal1HZX-Rhodopsin-11-cis-Retinal
44.44Single2VT4Cyanopindolol2VT4-β1-Cyanopindolol
44.44Single2Y01Dobutamine2Y01-β1-Dobutamine
44.44Single3ZPRPubChem 5987543ZPR-β1-PubChem 598754-Na
44.44Single4EA3PubChem 102965614EA3-NOP-PubChem 10296561
44.44Single7BU7BI1671077BU7-β1-BI167107
44.44Single7JOZPubChem 752020227JOZ-D1-PubChem 75202022-Gs/β1/γ2
44.44Single7JVQApomorphine7JVQ-D1-Apomorphine-Gs/β1/γ2
44.44Single7M3JNPS-2143; PO47M3J-CaS; CaS-NPS-2143; PO4
44.44Single7VGZRamelteon7VGZ-MT1-Ramelteon-Gi1/β1/γ2
44.44Single7VH0Ramelteon7VH0-MT2-Ramelteon-Gi1/β1/γ1
44.44Single7XTC5-CT7XTC-5-HT7-5-CT-Gs/β1/γ2
44.44Single8IRTRotigotine8IRT-D3-Rotigotine-Gi1/β1/γ2
44.44Single8PJKST1718PJK-5-HT1A-ST171-Gi1/β1/γ1
44.44Single8T1WCVN4248T1W-GPR6-CVN424
44.44Single8UNRConstrained Epinephrine8UNR-β2-Constrained Epinephrine-GTP-Gs/β1/γ2
44.44Single8UNUConstrained Epinephrine8UNU-β2-Constrained Epinephrine-GTP-Gs/β1/γ2
44.44Single8UNVConstrained Epinephrine8UNV-β2-Constrained Epinephrine-GTP-Gs/β1/γ2
44.44Single8UNZConstrained Epinephrine8UNZ-β2-Constrained Epinephrine-GTP-Gs/β1/γ2
44.44Single8UO2Constrained Epinephrine8UO2-β2-Constrained Epinephrine-GTP-Gs/β1/γ2
44.44Single8X63Mepyramine8X63-H1-Mepyramine
44.44Single8X64Desloratadine8X64-H1-Desloratadine
44.44Single8Y71A1D6F8Y71-δ-A1D6F-BMS986187-Gi1/β1/γ2
44.44Single9BQJRO769BQJ-μ-RO76-Gi1/β1/γ2
44.44Single9CHXCarazolol9CHX-β2-Carazolol
44.44Single9EPP11,20-Ethanoretinal9EPP-Rhodopsin-11,20-Ethanoretinal-chim(Gi1-CtGq)/β1/γ2
44.44Single9LLAAriadne9LLA-5-HT2A-Ariadne-chim(NtGi1L-Gs-CtGq)/β1/γ2
44.44Single9UAZAtropine9UAZ-M1-Atropine
44.44Consensus5ht7_onOrthosteric Ligand7XTC-5-HT7-5-CT-Gs/β1/γ2
44.44Consensus5ht7_on_gpOrthosteric Ligand7XTC-5-HT7-5-CT-Gs/β1/γ2
44.44Consensusgi_histamineOrthosteric Ligand8JXX-H4-Clobenpropit-Gi1/β1/γ2 8JXV-H4-Clozapine-Gi1/β1/γ2 8YUU-H3-Histamine-Gi1/β1/γ1 8HN8-H4-Histamine-Gi1/β1/γ2 8HOC-H4-Imetit-Gi1/β1/γ2 8JXW-H4-VUF6884-Gi1/β1/γ2
44.44Consensushistamine_offOrthosteric Ligandh1_off
43.75Single1L9H11-cis-Retinal1L9H-Rhodopsin-11-cis-Retinal
43.75Single1U1911-cis-Retinal1U19-Rhodopsin-11-cis-Retinal
43.75Single2G87All-trans-Retinal2G87-Rhodopsin-All-trans-Retinal
43.75Single2I3511-cis-Retinal2I35-Rhodopsin-11-cis-Retinal
43.75Single3AYMAll-trans-Retinal3AYM-Rhodopsin-All-trans-Retinal
43.75Single5TE520-Methanoretinal5TE5-Rhodopsin-20-Methanoretinal
43.75Single6I9K9-cis-Retinal6I9K-Rhodopsin-9-cis-Retinal
43.75Single7DD7Ca; Ca; Tryptophan; Evocalcet7DD7-CaS; CaS-Ca-Ca; Ca; Tryptophan; Evocalcet
43.75Single7SRQLSD7SRQ-5-HT2B-LSD
43.75Single7YFCHistamine7YFC-H4-Histamine-chim(NtGi1-Gs-CtGq)/β1/γ2
43.75Single7YFDImetit7YFD-H4-Imetit-chim(NtGi1-Gs-CtGq)/β1/γ2
43.75Single7YS6Serotonin7YS6-5-HT6-Serotonin-chim(NtGi1-Gs)/β1/γ2
43.75Single8GGYConstrained Epinephrine8GGY-β2-Constrained Epinephrine
43.75Single8HN8Histamine8HN8-H4-Histamine-Gi1/β1/γ2
43.75Single8UO4Constrained Epinephrine8UO4-β2-Constrained Epinephrine-GTP; Mg-Gs/β1/γ2
43.75Single8W892-Phenylethylamine8W89-TA1-2-Phenylethylamine-chim(NtGi1L-Gs)/β1/γ2
43.75Single8YN2Histamine8YN2-H1-Histamine-chim(NtGi1L-Gs-CtGq)/β1/γ2
43.75Single8YN5Histamine8YN5-H3-Histamine-Gi1/β1/γ2
43.75Single8YN6Imetit8YN6-H3-Imetit-Gi1/β1/γ2
43.75Single8YN7Immethridine8YN7-H3-Immethridine-Go/β1/γ2
43.75Single8ZSVRO52633978ZSV-TA1-RO5263397-chim(NtGi1-Gs)/β1/γ2
43.75Single9AS7Psilocin9AS7-5-HT2A-Psilocin
43.75Single9IJEEpinephrine9IJE-β3-Epinephrine-chim(NtGi1-Gs)/β1/γ2
43.75Single9L42Histamine9L42-H4-Histamine-Gi1/β1/γ2
43.75Single9U9VMETH9U9V-β2-METH-Gs/β1/γ2
43.48Single3QAKUK-4320973QAK-A2A-UK-432097
43.48Single6HLOAprepitant6HLO-NK1-Aprepitant
43.48Consensusgq_class-aOrthosteric Ligandgq_peptide gq_amine gq_nucleotide
43.48Consensuss1p3_on_gpOrthosteric Ligand7EW3-S1P3-S1P-Gi1/β1/γ2 7EW4-S1P3-CYM-5541-Gi1/β1/γ2 7EW2-S1P3-FTY720-P-Gi1/β1/γ2
42.86Single4NC3Ergotamine4NC3-5-HT2B-Ergotamine
42.86Single5TUDErgotamine5TUD-5-HT2B-Ergotamine
42.86Single6BQGErgotamine6BQG-5-HT2C-Ergotamine
42.86Single7EZCUK-4320977EZC-A2A-UK-432097
42.86Single7WVVfMLFII7WVV-FPR2-ALX-fMLFII-Gi2/β1/γ2
42.86Single7XZ6APD6687XZ6-GPR119-APD668-Gs/β1/γ2
42.86Single8E0GBU728E0G-μ-BU72
42.86Single9WP9S1P9WP9-S1P3-S1P-chim(NtGi2L-Gs-CtGq)/β1/γ2
42.86Consensusclass-a_onOrthosteric Ligandsensory_on alicarboxylic_on amine_on lipid_on nucleotide_on peptide_on protein_on
42.86Consensusendothelin_offOrthosteric Ligandetb_off
42.86Consensusetb_offOrthosteric Ligand5X93-ETB-K-8794 5XPR-ETB-Bosentan 6K1Q-ETB-IRL2500
42.86Consensuskop_on_gpOrthosteric Ligand8F7W-κ-Dynorphin-Gi1/β1/γ2 8DZS-κ-GR89,696-chim(NtGi2-Gz)/β1/γ2 8DZP-κ-momSalB-Gi1/β1/γ2
42.11Single2Y00Dobutamine2Y00-β1-Dobutamine
42.11Single4RWDDIPP-NH24RWD-δ-DIPP-NH2-Na
42.11Single6LUQHaloperidol6LUQ-D2-Haloperidol
42.11Single6ME62-Phenylmelatonin6ME6-MT2-2-Phenylmelatonin
42.11Single6ME82-Phenylmelatonin6ME8-MT2-2-Phenylmelatonin
42.11Single7CKXA776367CKX-D1-A77636-Gs/β1/γ2
42.11Single7M3JNPS-2143; PO47M3J-CaS; CaS-NPS-2143; PO4
42.11Single7SBFPZM217SBF-μ-PZM21-Gi1/β1/γ2
42.11Single7SINNPS-21437SIN-CaS; CaS-NPS-2143
42.11Single7SINNPS-21437SIN-CaS; CaS-NPS-2143
42.11Single7VOEAripiprazole7VOE-5-HT2A-Aripiprazole
42.11Single8C9WEtrumadenant8C9W-A2A-Etrumadenant
42.11Single8DZQmomSalB8DZQ-κ-momSalB-Go/β1/γ2
42.11Single8DZRGR89,6968DZR-κ-GR89,696-chim(NtGi2-Gt3)/β1/γ2
42.11Single8J18(3R)-3-Hydroxydodecanoic acid8J18-GPR84-(3R)-3-Hydroxydodecanoic acid-Gi1/β1/γ2
42.11Single8JXSPF-61428JXS-D1-PF-6142
42.11Single8YH0NECA8YH0-A3A-NECA-Gi1/β1/γ2
42.11Single8ZMFPubChem 1719206738ZMF-5-HT2C-PubChem 171920673
42.11Single9AVLCa; Ca; Cyclomethyltryptophan; R-568; PO49AVL-CaS; CaS-Ca-Ca; Ca; Cyclomethyltryptophan; R-568; PO4-Gi3/β2/γ2
42.11Single9EE8Adenosine9EE8-A2A-Adenosine-Gs/β1/γ2
42.11Single9I52A1IZU9I52-D1-A1IZU-Gs/β1/γ2
42.11Single9L74S1P d16:19L74-S1P3-S1P d16:1-chim(NtGi2L-Gs-CtGq)/β1/γ2
42.11Single9MQKIsoquinuclidine9MQK-κ-Isoquinuclidine
42.11Single9PXYNaloxone9PXY-μ-Naloxone-GDPβS-Gi1/β1/γ2
42.11Single9VJFBuspirone9VJF-5-HT1A-Buspirone-Gi3/β1/γ2
42.11Consensusgq_muscarinicOrthosteric Ligand6OIJ-M1-Iperoxo-chim(NtGi1L-G11)/β1/γ2
42.11Consensush1_offOrthosteric Ligand8X63-H1-Mepyramine 3RZE-H1-Cidoxepin 8X5Y-H1-Astemizole
42.11Consensusm1_onOrthosteric Ligand6OIJ-M1-Iperoxo-chim(NtGi1L-G11)/β1/γ2
41.67Single7T6TfMLFII7T6T-FPR1-ALX-fMLFII-Gi1/β1/γ2
41.67Single8XIQL7967788XIQ-SST3-L796778-chim(NtGi1-Gs-CtGi1)/β1/γ2
41.18Single1GZM11-cis-Retinal1GZM-Rhodopsin-11-cis-Retinal
41.18Single2PED9-cis-Retinal2PED-Rhodopsin-9-cis-Retinal
41.18Single3C9L11-cis-Retinal3C9L-Rhodopsin-11-cis-Retinal
41.18Single7DHRIsoprenaline7DHR-β2-Isoprenaline-Gs/β1/γ2
41.18Single7EJ0Norepinephrine7EJ0-α2a-Norepinephrine-Go/β1/γ2
41.18Single7LD4Adenosine7LD4-A1-Adenosine-Gi2/β1/γ2
41.18Single7LJDDopamine7LJD-D1-Dopamine-Mevidalen-Gs/β1/γ1
41.18Single7M3ECa; Ca; Tryptophan; NPS-21437M3E-CaS; CaS-Ca; Ca; Tryptophan; NPS-2143
41.18Single7M3ECa; Ca; Tryptophan; NPS-21437M3E-CaS; CaS-Ca; Ca; Tryptophan; NPS-2143
41.18Single7M3FCa; Ca; Tryptophan; Cinacalcet7M3F-CaS; CaS-Ca; Ca; Tryptophan; Cinacalcet
41.18Single7SRRLSD7SRR-5-HT2B-LSD-chim(NtGi2L-Gs-CtGq)/β1/γ2
41.18Single7SRSLSD7SRS-5-HT2B-LSD-Arrestin2
41.18Single7T8XAcetylcholine7T8X-M2-Acetylcholine-chim(NtGi1-Go)/β1/γ2
41.18Single7T90Acetylcholine7T90-M2-Acetylcholine-chim(NtGi1-Go)/β1/γ2
41.18Single7T96Acetylcholine7T96-M2-Acetylcholine-LY2119620-Go/β1/γ2
41.18Single7X2FDopamine7X2F-D1-Dopamine-Mevidalen-Gs/β1/γ2
41.18Single7X5H5-CT7X5H-5-HT5A-5-CT-Gi1/β1/γ2
41.18Single7XT8Serotonin7XT8-5-HT4-Serotonin-Gs/β1/γ2
41.18Single8A6CAll-trans-Retinal8A6C-Rhodopsin-All-trans-Retinal
41.18Single8A6DAll-trans-Retinal8A6D-Rhodopsin-All-trans-Retinal
41.18Single8A6EAll-trans-Retinal8A6E-Rhodopsin-All-trans-Retinal
41.18Single8FYXBuspirone8FYX-5-HT1A-Buspirone-PtdIns4P-Gi1/β1/γ1
41.18Single8GGCConstrained Epinephrine8GGC-β2-Constrained Epinephrine-GTP-Gs/β1/γ2
41.18Single8GGZConstrained Epinephrine8GGZ-β2-Constrained Epinephrine
41.18Single8IW4Spermidine8IW4-TAA9-Spermidine-chim(NtGi1-Gs)/β1/γ2
41.18Single8IWESpermidine8IWE-TAA9-Spermidine
41.18Single8JSOAMPH8JSO-TA1-AMPH-chim(NtGi1-Gs)/β1/γ2
41.18Single8TZQDopamine8TZQ-D2-Dopamine-Go/β1/γ2
41.18Single8UNSConstrained Epinephrine8UNS-β2-Constrained Epinephrine-GTP-Gs/β1/γ2
41.18Single8UNTConstrained Epinephrine8UNT-β2-Constrained Epinephrine-GTP-Gs/β1/γ2
41.18Single8UNXConstrained Epinephrine8UNX-β2-Constrained Epinephrine-GTP-Gs/β1/γ2
41.18Single8WC4ZH86518WC4-TA1-ZH8651-chim(NtGi1-Gs)/β1/γ2
41.18Single8WCA2-Phenylethylamine8WCA-TA1-2-Phenylethylamine-chim(NtGi1-Gs)/β1/γ2
41.18Single8Y0HVUF114188Y0H-CXCR3-VUF11418
41.18Single8Y0NVUF114188Y0N-CXCR3-VUF11418-Go/β1/γ2
41.18Single8YUTAmthamine8YUT-H2-Amthamine-Gs/β1/γ2
41.18Single8YUVImmepip8YUV-H3-Immepip-Gi1/β1/γ2
41.18Single9LRBHistamine9LRB-H1-Histamine-Gs/β1/γ2
41.18Single9VJ5Gepirone9VJ5-5-HT1A-Gepirone-Go/β1/γ2
41.18Single9VJEBuspirone9VJE-5-HT1A-Buspirone-Go/β1/γ2
41.18Consensus5ht1e_onOrthosteric Ligand7E33-5-HT1E-BRL-54443-Gi1/β1/γ2 8UGY-5-HT1E-Mianserin-Gi1/β1/γ1 8UH3-5-HT1E-Setiptiline-Gi1/β1/γ1
41.18Consensus5ht2_on_gpOrthosteric Ligand5ht2b_on_gp
41.18Consensus5ht2b_on_gpOrthosteric Ligand7SRR-5-HT2B-LSD-chim(NtGi2L-Gs-CtGq)/β1/γ2
41.18Consensus5ht_onOrthosteric Ligand5ht1_on 5ht2_on 5ht4_on 5ht5_on 5ht6_on 5ht7_on
41.18Consensusa1_onOrthosteric Ligand7LD4-A1-Adenosine-Gi2/β1/γ2
41.18Consensusa1_on_gpOrthosteric Ligand7LD4-A1-Adenosine-Gi2/β1/γ2
41.18Consensusgs_5htOrthosteric Ligand7XTC-5-HT7-5-CT-Gs/β1/γ2 7XTB-5-HT6-Serotonin-Gs/β1/γ2 8JLZ-5-HT6-ST1936-Gs/β1/γ2 7XT8-5-HT4-Serotonin-Gs/β1/γ2
41.18Consensushistamine_onOrthosteric Ligandh1_on h2_on h3_on h4_on
41.18Consensushistamine_on_gpOrthosteric Ligandh1_on_gp h2_on_gp h3_on_gp h4_on_gp
41.18Consensusm2_onOrthosteric Ligand7T8X-M2-Acetylcholine-chim(NtGi1-Go)/β1/γ2
41.18Consensusm2_on_gpOrthosteric Ligand7T8X-M2-Acetylcholine-chim(NtGi1-Go)/β1/γ2
41.18Consensussensory_offonOrthosteric Ligandsensory_off sensory_on
41.18Consensussensory_offon_gpOrthosteric Ligandsensory_on_gp sensory_on
40.91Single4UG2CGS216804UG2-A2A-CGS21680
40.91Single6G79Donitriptan6G79-5-HT1B-Donitriptan-Go/β1/γ2
40.91Single7SK9CCX6627SK9-ACKR3-CCX662
40.74Single7WVYAmyloid-Beta427WVY-FPR2-ALX-Amyloid-β42-Gi2/β1/γ2
40.00Single3PDSFAUC503PDS-β2-FAUC50
40.00Single4DJHJDTic4DJH-κ-JDTic
40.00Single4IAQDihydroergotamine4IAQ-5-HT1B-Dihydroergotamine
40.00Single5ZHPPubChem 1348285895ZHP-M3-PubChem 134828589
40.00Single6E59L-7607356E59-NK1-L-760735
40.00Single6GT3Imaradenant6GT3-A2A-Imaradenant-Na
40.00Single6J21Aprepitant6J21-NK1-Aprepitant
40.00Single7EW7SEW28717EW7-S1P1-SEW2871-Gi1/β1/γ2
40.00Single7M8W15r-Methyl-PGD27M8W-DP2-15r-Methyl-PGD2-Na
40.00Single7VIGCBP-3077VIG-S1P1-CBP-307-Gi1/β1/γ2
40.00Single7XY7NECA7XY7-A2B-NECA-chim(NtGi1-Gs)/β1/γ2
40.00Single8DPHLorcaserin8DPH-5-HT2C-Lorcaserin-chim(NtGi2L-Gs-CtGq)/β1/γ2
40.00Single8EF5Fentanyl8EF5-μ-Fentanyl-Gi1/β1/γ2
40.00Single8EFLSR170188EFL-μ-SR17018-Gi1/β1/γ2
40.00Single8GEIConstrained Epinephrine8GEI-β2-Constrained Epinephrine-Gs/β1/γ2
40.00Single8IHBGSK2560738IHB-HCA2-GSK256073-Gi1/β1/γ2
40.00Single8IHFMK68928IHF-HCA2-MK6892-Gi1/β1/γ2
40.00Single8J6IMK68928J6I-HCA2-MK6892-Gi1/β1/γ2
40.00Single8JLPRalmitaront8JLP-TA1-Ralmitaront-Gs/β1/γ2
40.00Single8JXVClozapine8JXV-H4-Clozapine-Gi1/β1/γ2
40.00Single8JXWVUF68848JXW-H4-VUF6884-Gi1/β1/γ2
40.00Single8T1VPubChem 1183102098T1V-GPR6-PubChem 118310209-Na
40.00Single8UGWCGS216808UGW-A2A-CGS21680
40.00Single8VVEnorBNI8VVE-κ-norBNI-Gi1/β1/γ2
40.00Single8VVFJDTic8VVF-κ-JDTic-Gi1/β1/γ2
40.00Single8WC5Tetramethylammonium Ion8WC5-TA1-Tetramethylammonium Ion-chim(NtGi1-Gs)/β1/γ2
40.00Single8XVLZibotentan8XVL-ETA-Zibotentan
40.00Single8ZR5Firuglipel8ZR5-GPR119-Firuglipel-Gs/β1/γ2
40.00Single9AYFCa; Ca; Ca; Cyclomethyltryptophan; R-568; PO49AYF-CaS; CaS-Ca-Ca; Ca; Ca; Cyclomethyltryptophan; R-568; PO4-Gi1/β1/γ2
40.00Single9BJKNaloxone9BJK-μ-Naloxone-PubChem 171642066
40.00Single9CHUNorepinephrine9CHU-β2-Norepinephrine
40.00Single9PY3Loperamide9PY3-μ-Loperamide-GDPβS-Gi1/β1/γ2
40.00Single9WSTDAMGO9WST-μ-DAMGO-chim(NtGi1-Gz)/β1/γ2
40.00Consensusclass-a_offOrthosteric Ligandsensory_off alicarboxylic_off amine_off lipid_off nucleotide_off peptide_off protein_off
40.00Consensuskop_offOrthosteric Ligand4DJH-κ-JDTic
40.00Consensustachykinin_offOrthosteric Ligandnk1_off
39.13Single5UNFPubChem 157800525UNF-AT2-PubChem 15780052
39.13Single7WKDTRH7WKD-TRH-TRH-chim(NtGi1-Gs-CtGq)/β1/γ2
39.13Single8J6RMK68928J6R-HCA2-MK6892-Gi1/β1/γ2
39.13Consensusclass-a_on_gpOrthosteric Ligandsensory_on_gp alicarboxylic_on_gp amine_on_gp lipid_on_gp nucleotide_on_gp peptide_on_gp protein_on_gp
39.13Consensusgi_opioidOrthosteric Ligand8F7R-μ-Endomorphin-Gi1/β1/γ2 8EF5-μ-Fentanyl-Gi1/β1/γ2 7SCG-μ-FH210-Gi1/β1/γ2 7T2H-μ-Lofentanil-Gi1/β1/γ2 7T2G-μ-Mitragynine Pseudoindoxyl-Gi1/β1/γ2 8DZP-κ-momSalB-Gi1/β1/γ2 8EF6-μ-Morphine-Gi1/β1/γ2 8F7X-NOP-Nociceptin-Gi1/β1/γ2 8EFB-μ-Oliceridine-Gi1/β1/γ2 7U2L-μ-C5-guano-Gi1/β1/γ2 8EFO-μ-PZM21-Gi1/β1/γ2 8EFL-μ-SR17018-Gi1/β1/γ2 8F7Q-μ-β-Endorphin-Gi1/β1/γ2 7U2K-μ-C6-guano-Gi1/β1/γ2 8EFQ-μ-DAMGO-Gi1/β1/γ2 8F7S-δ-Deltorphin-Gi1/β1/γ2 8F7W-κ-Dynorphin-Gi1/β1/γ2
39.13Consensusmop_offOrthosteric Ligand4DKL-μ-β-Funaltrexamine 8QOT-μ-Nanobody-E 7UL4-μ-Alvimopan
38.89Single1F8811-cis-Retinal1F88-Rhodopsin-11-cis-Retinal
38.89Single2YDOAdenosine2YDO-A2A-Adenosine
38.89Single3OAX11-cis-Retinal3OAX-Rhodopsin-11-cis-Retinal
38.89Single3UZCPubChem 1355666093UZC-A2A-PubChem 135566609
38.89Single6ME32-Phenylmelatonin6ME3-MT1-2-Phenylmelatonin
38.89Single6TPGEMPA6TPG-OX2-EMPA
38.89Single6TPNHTL66416TPN-OX2-HTL6641
38.89Single7CKWFenoldopam7CKW-D1-Fenoldopam-Gs/β1/γ2
38.89Single7CKZDopamine7CKZ-D1-Dopamine-Mevidalen-Gs/β1/γ2
38.89Single7CMVPD1289077CMV-D3-PD128907-Gi1/β1/γ2
38.89Single7F0TDopamine7F0T-D1-Dopamine-Gs/β1/γ2
38.89Single7F1ZDopamine7F1Z-D1-Dopamine-GDP-Gs/β1/γ2
38.89Single7VODCariprazine7VOD-5-HT2A-Cariprazine
38.89Single7WC9PubChem 1624213647WC9-5-HT2A-PubChem 162421364
38.89Single7ZBC11-cis-Retinal7ZBC-Rhodopsin-11-cis-Retinal
38.89Single7ZBE11-cis-Retinal7ZBE-Rhodopsin-11-cis-Retinal
38.89Single8IHKAcifran8IHK-HCA3-Acifran
38.89Single8IY9Niacin8IY9-HCA2-Niacin-Go/β1/γ2
38.89Single8JERAcipimox8JER-HCA2-Acipimox-Go/β1/γ2
38.89Single8JIMMonomethyl fumarate8JIM-HCA2-Monomethyl fumarate-Gi1/β1/γ2
38.89Single8UO0Constrained Epinephrine8UO0-β2-Constrained Epinephrine-GTP-Gs/β1/γ2
38.89Single8UO1Constrained Epinephrine8UO1-β2-Constrained Epinephrine-GTP; Mg-Gs/β1/γ2
38.89Single8WPGTryptophan; Cinacalcet; PO4; Ca8WPG-CaS; CaS-Tryptophan; Cinacalcet; PO4; Ca
38.89Single8YH2Adenosine8YH2-A3A-Adenosine-Gi1/β1/γ2
38.89Single8ZMGPimavanserin8ZMG-5-HT2A-Pimavanserin
38.89Single9ARXSerotonin9ARX-5-HT2A-Serotonin
38.89Single9ASBCa; Ca; Cyclomethyltryptophan; R-568; PO49ASB-CaS; CaS-Ca-Ca; Ca; Cyclomethyltryptophan; R-568; PO4-chim(NtGi1-Gs-CtGq)/β1/γ2
38.89Single9AXFCa; Ca; Ca; Cyclomethyltryptophan; R-568; PO49AXF-CaS; CaS-Ca-Ca; Ca; Ca; Cyclomethyltryptophan; R-568; PO4-chim(NtGi1-Gs-CtGq)/β1/γ2
38.89Single9L8LBI1671079L8L-β2-BI167107-Atazanavir-Gs/β1/γ2 ; Arrestin2
38.89Single9ODJMitragynine Pseudoindoxyl9ODJ-μ-Mitragynine Pseudoindoxyl-GTP; Mg-Gi1/β1/γ2
38.89Single9PXVNaloxone9PXV-μ-Naloxone-Gi1/β1/γ2
38.89Single9PY2Loperamide9PY2-μ-Loperamide-GDPβS-Gi1/β1/γ2
38.89Consensushca_onOrthosteric Ligandhca2_on
38.89Consensusnop_offOrthosteric Ligand4EA3-NOP-PubChem 10296561 5DHG-NOP-C-35 5DHH-NOP-SB-612111
38.10Single5UNHPubChem 1264564065UNH-AT2-PubChem 126456406
38.10Single7EVYSiponimod7EVY-S1P1-Siponimod-Gi1/β1/γ2
38.10Single7EW2FTY720-P7EW2-S1P3-FTY720-P-Gi1/β1/γ2
38.10Single7K15MKD0467K15-BLT1-MKD046-Na
38.10Single7XZ5Lysophosphatidylcholine7XZ5-GPR119-Lysophosphatidylcholine-Gs/β1/γ2
38.10Single8IA8E7 peptide8IA8-C3aB-E7 peptide-Gi1/β1/γ2
38.10Single8IYWGSK2560738IYW-HCA2-GSK256073-Go/β1/γ2
38.10Single8JZ7MK68928JZ7-HCA2-MK6892-Gi1/β1/γ2
38.10Single8VHFMBX-29828VHF-GPR119-MBX-2982-Gs/β1/γ2
38.10Single8W1VPubChem 1717162658W1V-β2-PubChem 171716265
38.10Single9MQLIsoquinuclidine9MQL-κ-Isoquinuclidine
38.10Consensuskop_onOrthosteric Ligand8F7W-κ-Dynorphin-Gi1/β1/γ2 8DZS-κ-GR89,696-chim(NtGi2-Gz)/β1/γ2 8DZP-κ-momSalB-Gi1/β1/γ2
38.10Consensuss1p1_onOrthosteric Ligand7VIE-S1P1-S1P-Gi1/β1/γ2 7VIF-S1P1-FTY720-P-Gi1/β1/γ2 7VIG-S1P1-CBP-307-Gi1/β1/γ2 7EVY-S1P1-Siponimod-Gi1/β1/γ2 7EVZ-S1P1-Cenerimod-Gi1/β1/γ2 7EW0-S1P1-Ozanimod-Gi1/β1/γ2 7EW7-S1P1-SEW2871-Gi1/β1/γ2
38.10Consensuss1p1_on_gpOrthosteric Ligand7VIE-S1P1-S1P-Gi1/β1/γ2 7VIF-S1P1-FTY720-P-Gi1/β1/γ2 7VIG-S1P1-CBP-307-Gi1/β1/γ2 7EVY-S1P1-Siponimod-Gi1/β1/γ2 7EVZ-S1P1-Cenerimod-Gi1/β1/γ2 7EW0-S1P1-Ozanimod-Gi1/β1/γ2 7EW7-S1P1-SEW2871-Gi1/β1/γ2
38.10Consensuss1p3_onOrthosteric Ligand7EW3-S1P3-S1P-Gi1/β1/γ2 7EW4-S1P3-CYM-5541-Gi1/β1/γ2 7EW2-S1P3-FTY720-P-Gi1/β1/γ2
37.50Single2J4Y11-cis-Retinal2J4Y-Rhodopsin-11-cis-Retinal
37.50Single2ZIY11-cis-Retinal2ZIY-Rhodopsin-11-cis-Retinal
37.50Single3C9M11-cis-Retinal3C9M-Rhodopsin-11-cis-Retinal
37.50Single6FUFAll-trans-Retinal6FUF-Rhodopsin-All-trans-Retinal-Go
37.50Single7DD7Ca; Ca; Tryptophan; Evocalcet7DD7-CaS; CaS-Ca-Ca; Ca; Tryptophan; Evocalcet
37.50Single7EJKOxymetazoline7EJK-α2a-Oxymetazoline-Go/β1/γ2
37.50Single7F23Dopamine7F23-D1-Dopamine-GDP-Gs/β1/γ2
37.50Single8GGFConstrained Epinephrine8GGF-β2-Constrained Epinephrine-GTP-Gs/β1/γ2
37.50Single8ITFDMCHA8ITF-TAA9-DMCHA-chim(NtGi1-Gs)/β1/γ2
37.50Single8J6QBeta-Hydroxybutyrate8J6Q-HCA2-β-Hydroxybutyrate-PubChem 25101223-Gi1/β1/γ2
37.50Single8POKHistamine8POK-H2-Histamine-Gs/β1/γ2
37.50Single8WC62-Phenylethylamine8WC6-TA1-2-Phenylethylamine-chim(NtGi1-Gs)/β1/γ2
37.50Single8YN9Histamine8YN9-H4-Histamine-Gi1/β1/γ2
37.50Single8YUUHistamine8YUU-H3-Histamine-Gi1/β1/γ1
37.50Single9KT7MK68929KT7-HCA2-MK6892-Gi1/β1/γ2
37.50Single9LL7DOI9LL7-5-HT2A-DOI-Gi1/β1/γ2
37.50Single9LRCHistamine9LRC-H4-Histamine
37.50Single9LREHistamine9LRE-H4-Histamine-Gi1/β1/γ2
37.50Consensush2_on_gpOrthosteric Ligand8POK-H2-Histamine-Gs/β1/γ2
37.50Consensush3_onOrthosteric Ligand8YUU-H3-Histamine-Gi1/β1/γ1
37.50Consensush3_on_gpOrthosteric Ligand8YUU-H3-Histamine-Gi1/β1/γ1
37.50Consensusopsins_on_gpOrthosteric Ligandrhodopsin_on_gp opsin1lw_on_gp
37.50Consensusrhodopsin_onOrthosteric Ligand6OYA-Rhodopsin-All-trans-Retinal-Gt/β1/γ1
37.50Consensussensory_on_gpOrthosteric Ligandopsins_on_gp
36.84Single4EJ4Naltrindole4EJ4-δ-Naltrindole
36.84Single4X1HNonyl-Beta-D-Glucopyranoside4X1H-Rhodopsin-Nonyl-β-D-Glucopyranoside-Gt(CT)
36.84Single5DHGC-355DHG-NOP-C-35
36.84Single5OLZPubChem 1355666095OLZ-A2A-PubChem 135566609-Na
36.84Single5OM1PubChem 1355666095OM1-A2A-PubChem 135566609-Na
36.84Single7CRHSKF839597CRH-D1-SKF83959-Gs/β1/γ2
36.84Single7LJCSKF812977LJC-D1-SKF81297-Mevidalen-Gs/β1/γ2
36.84Single7SQOTAK-9257SQO-OX2-TAK-925-Gi1/β1/γ2
36.84Single7T2GMitragynine Pseudoindoxyl7T2G-μ-Mitragynine Pseudoindoxyl-Gi1/β1/γ2
36.84Single7T6VfMLFII7T6V-FPR2-ALX-fMLFII-Gi1/β1/γ2
36.84Single7UL4Alvimopan7UL4-μ-Alvimopan
36.84Single7VIES1P7VIE-S1P1-S1P-Gi1/β1/γ2
36.84Single7VIFFTY720-P7VIF-S1P1-FTY720-P-Gi1/β1/γ2
36.84Single7WC8Lumateperone7WC8-5-HT2A-Lumateperone
36.84Single7X2CFenoldopam7X2C-D1-Fenoldopam-Fenoldopam-Gs/β1/γ2
36.84Single7YACPaltusotine7YAC-SST2-Paltusotine-Gi1/β1/γ2
36.84Single8CICEtrumadenant8CIC-A2A-Etrumadenant-Na
36.84Single8CU7LJ-45178CU7-A2A-LJ-4517-Na
36.84Single8DZSGR89,6968DZS-κ-GR89,696-chim(NtGi2-Gz)/β1/γ2
36.84Single8IHJAcifran8IHJ-HCA3-Acifran-Gi1/β1/γ2
36.84Single8J6PNiacin8J6P-HCA2-Niacin-PubChem 25101223-Gi1/β1/γ2
36.84Single8JD0NAM5638JD0-mGlu2; mGlu3-Glutamate-NAM563
36.84Single8JIINiacin8JII-HCA2-Niacin-PubChem 25101223-Gi1/β1/γ2
36.84Single8JLZST19368JLZ-5-HT6-ST1936-Gs/β1/γ2
36.84Single8K5DGSK2560738K5D-HCA2-GSK256073
36.84Single8X17Namodenoson8X17-A3A-Namodenoson-Gi1/β1/γ2
36.84Single9D61JDTic9D61-κ-JDTic-Gi1/β1/γ2
36.84Single9JGKBalovaptan9JGK-5-HT2B-Balovaptan
36.84Single9PXWNaloxone9PXW-μ-Naloxone-GDPβS-Gi1/β1/γ2
36.84Consensus5ht6_onOrthosteric Ligand7XTB-5-HT6-Serotonin-Gs/β1/γ2 8JLZ-5-HT6-ST1936-Gs/β1/γ2
36.84Consensus5ht6_on_gpOrthosteric Ligand7XTB-5-HT6-Serotonin-Gs/β1/γ2 8JLZ-5-HT6-ST1936-Gs/β1/γ2
36.84Consensusadenosine_on_gpOrthosteric Liganda1_on_gp a2_on_gp a3_on_gp
36.84Consensusalicarboxylic_on_gpOrthosteric Ligandsuccinate_on_gp hca_on_gp
36.84Consensusdop_offOrthosteric Ligand4EJ4-δ-Naltrindole
36.84Consensusgi_alicarboxylicOrthosteric Ligandgi_hca gi_succinate
36.84Consensusgi_hcaOrthosteric Ligand8J6R-HCA2-MK6892-Gi1/β1/γ2 8JIM-HCA2-Monomethyl fumarate-Gi1/β1/γ2 8IHI-HCA2-Acifran-Gi1/β1/γ2 8IHH-HCA2-LUF6283-Gi1/β1/γ2 8I7V-HCA2-Acipimox-Gi1/β1/γ2 8I7W-HCA2-GSK256073-Gi1/β1/γ2
36.84Consensusgi_orexinOrthosteric Ligand7SQO-OX2-TAK-925-Gi1/β1/γ2
36.84Consensushca2_onOrthosteric Ligand8J6R-HCA2-MK6892-Gi1/β1/γ2 8JIM-HCA2-Monomethyl fumarate-Gi1/β1/γ2 8I7V-HCA2-Acipimox-Gi1/β1/γ2 8I7W-HCA2-GSK256073-Gi1/β1/γ2 8IHH-HCA2-LUF6283-Gi1/β1/γ2 8IHI-HCA2-Acifran-Gi1/β1/γ2
36.84Consensushca2_on_gpOrthosteric Ligand8J6R-HCA2-MK6892-Gi1/β1/γ2 8IHI-HCA2-Acifran-Gi1/β1/γ2 8IHH-HCA2-LUF6283-Gi1/β1/γ2 8I7V-HCA2-Acipimox-Gi1/β1/γ2 8JIM-HCA2-Monomethyl fumarate-Gi1/β1/γ2 8I7W-HCA2-GSK256073-Gi1/β1/γ2
36.84Consensushca_on_gpOrthosteric Ligandhca2_on_gp
36.36Single5UNGPubChem 157800525UNG-AT2-PubChem 15780052
36.36Single6DDFDAMGO6DDF-μ-DAMGO-Gi1/β1/γ2
36.36Single7EVZCenerimod7EVZ-S1P1-Cenerimod-Gi1/β1/γ2
36.36Single7EW0Ozanimod7EW0-S1P1-Ozanimod-Gi1/β1/γ2
36.36Single7XK2MK68927XK2-HCA2-MK6892-Gi1/β1/γ2
36.36Single8I95EP548I95-C3aB-EP54-Go/β1/γ2
36.36Single8IJDMK68928IJD-HCA2-MK6892-Gi1/β1/γ2
36.36Single8T3OTUG-8918T3O-FFA4-TUG-891-chim(NtGi2L-Gs-CtGq)/β1/γ2
36.36Single9CGJC6-Quino9CGJ-δ-C6-Quino-Gi1/β1/γ2
36.36Single9KT8Acifran9KT8-HCA2-Acifran-Gi1/β1/γ2
36.36Consensusgi_s1pOrthosteric Ligand7VIE-S1P1-S1P-Gi1/β1/γ2 7EW3-S1P3-S1P-Gi1/β1/γ2 7EVY-S1P1-Siponimod-Gi1/β1/γ2 7EW1-S1P5-Siponimod-Gi1/β1/γ2 7VIF-S1P1-FTY720-P-Gi1/β1/γ2 7VIG-S1P1-CBP-307-Gi1/β1/γ2 7EVZ-S1P1-Cenerimod-Gi1/β1/γ2 7EW4-S1P3-CYM-5541-Gi1/β1/γ2 7EW2-S1P3-FTY720-P-Gi1/β1/γ2 7EW0-S1P1-Ozanimod-Gi1/β1/γ2 7EW7-S1P1-SEW2871-Gi1/β1/γ2
36.36Consensusnucleotide_on_gpOrthosteric Ligandadenosine_on_gp p2y_on_gp
36.00Single9B54VIP369B54-CB1-VIP36-Gi1/β1/γ2
36.00Consensusgs_class-aOrthosteric Ligandgs_peptide gs_nucleotide gs_amine
35.71Single9KDFRES-701-39KDF-ETB-RES-701-3
35.29Single3PBLEticlopride3PBL-D3-Eticlopride
35.29Single7DD5Ca; Ca; Tryptophan; NPS-21437DD5-CaS; CaS-Ca-Ca; Ca; Tryptophan; NPS-2143
35.29Single7E2YSerotonin7E2Y-5-HT1A-Serotonin-PtdIns4P-Gi1/β1/γ2
35.29Single7V68Iperoxo7V68-M4-Iperoxo-LY2119620-Gi1/β1/γ2
35.29Single7XT9Serotonin7XT9-5-HT4-Serotonin-Gs/β1/γ2
35.29Single7XTBSerotonin7XTB-5-HT6-Serotonin-Gs/β1/γ2
35.29Single8JLOUlotaront8JLO-TA1-Ulotaront-Gs/β1/γ2
35.29Single8UO3Constrained Epinephrine8UO3-β2-Constrained Epinephrine-GTP; Mg-Gs/β1/γ2
35.29Single8YN4Histamine8YN4-H2-Histamine-chim(NtGi1L-Gs-CtGq)/β1/γ2
35.29Single9IQTNiacin9IQT-HCA2-Niacin-Gi1/β1/γ2
35.29Single9IXJHistamine9IXJ-H2-Histamine-Gs/β1/γ2
35.29Single9JEDHistamine9JED-H4-Histamine-PO4-Gi1/β1/γ2
35.29Single9JEQHistamine9JEQ-H3-Histamine-Gi1/β1/γ2
35.29Consensusd3_offOrthosteric Ligand3PBL-D3-Eticlopride
35.29Consensush4_onOrthosteric Ligand8HN8-H4-Histamine-Gi1/β1/γ2 8HOC-H4-Imetit-Gi1/β1/γ2 8JXV-H4-Clozapine-Gi1/β1/γ2 8JXW-H4-VUF6884-Gi1/β1/γ2 8JXX-H4-Clobenpropit-Gi1/β1/γ2
35.00Single5C1MBU725C1M-μ-BU72
35.00Single5CGCHTL142425CGC-mGlu5-HTL14242
35.00Single5OM4PubChem 1355666095OM4-A2A-PubChem 135566609-Na
35.00Single5WQCEMPA5WQC-OX2-EMPA
35.00Single5XPRBosentan5XPR-ETB-Bosentan
35.00Single6GDGNECA6GDG-A2A-NECA-Gs/β1/γ1
35.00Single6TP6Filorexant6TP6-OX1-Filorexant
35.00Single7C4SS1P7C4S-S1P3-S1P
35.00Single7EUOfMLF7EUO-FPR1-ALX-fMLF-Gi1/β1/γ2
35.00Single7LD3Adenosine7LD3-A1-Adenosine-MIPS521-Gi2/β1/γ2
35.00Single7TD3S1P7TD3-S1P1-S1P-Gi1/β1/γ2
35.00Single7VFXfMIFL7VFX-FPR1-ALX-fMIFL-Gi1/β1/γ2
35.00Single7W41PD1762527W41-BB2-PD176252
35.00Single7X1TTaltirelin7X1T-TRH-Taltirelin-chim(NtGi2L-Gs-CtGq)/β1/γ2
35.00Single8I7WGSK2560738I7W-HCA2-GSK256073-Gi1/β1/γ2
35.00Single8J6JGSK2560738J6J-HCA2-GSK256073-Gi1/β1/γ2
35.00Single8SZGCa; Ca; Tryptophan; Cinacalcet; PO4; Spermine8SZG-CaS; CaS-Ca; Ca; Tryptophan; Cinacalcet; PO4; Spermine-chim(NtGi1-Gq)/β1/γ2
35.00Single8UUJFCH-22964138UUJ-HCA2-FCH-2296413-Gi1/β1/γ2
35.00Single8YICSAR2477998YIC-S1P1-SAR247799-Gi1/β1/γ2
35.00Single9AYFCa; Ca; Ca; Cyclomethyltryptophan; R-568; PO49AYF-CaS; CaS-Ca-Ca; Ca; Ca; Cyclomethyltryptophan; R-568; PO4-Gi1/β1/γ2
35.00Single9CIBFCH-22964139CIB-HCA2-FCH-2296413
35.00Single9M8POleic monoethanolamide9M8P-GPR3 ; GPR3-Oleic monoethanolamide-AF64394
35.00Consensusa3_on_gpOrthosteric Liganda3a_on_gp
35.00Consensusa3a_onOrthosteric Ligand8X17-A3A-Namodenoson-Gi1/β1/γ2 8X16-A3A-Piclidenoson-Gi1/β1/γ2
35.00Consensusa3a_on_gpOrthosteric Ligand8X17-A3A-Namodenoson-Gi1/β1/γ2 8X16-A3A-Piclidenoson-Gi1/β1/γ2
35.00Consensusbb2_offOrthosteric Ligand7W41-BB2-PD176252
35.00Consensusbombesin_offOrthosteric Ligandbb2_off
35.00Consensusfpr1-alx_onOrthosteric Ligand7VFX-FPR1-ALX-fMIFL-Gi1/β1/γ2
35.00Consensusfpr1-alx_on_gpOrthosteric Ligand7VFX-FPR1-ALX-fMIFL-Gi1/β1/γ2
35.00Consensuss1p_offOrthosteric Ligands1p1_off s1p5_off
34.78Single5WF6UK-4320975WF6-A2A-UK-432097
34.78Single6PT3DPI-2876PT3-δ-DPI-287
34.78Single9CGKC5-Quino9CGK-δ-C5-Quino-Gi1/β1/γ2
34.78Single9M0RNeuropeptide-VF9M0R-NPFF1-Neuropeptide-VF-Gi1/β1/γ2
34.78Consensusformylpeptide_onOrthosteric Ligandfpr2-alx_on fpr1-alx_on
34.78Consensuss1p_onOrthosteric Ligands1p1_on s1p3_on s1p5_on
34.78Consensuss1p_on_gpOrthosteric Ligands1p1_on_gp s1p3_on_gp s1p5_on_gp
34.62Single7W40Bombesin7W40-BB2-Bombesin-chim(NtGi1L-Gq)/β1/γ2
34.62Consensusfpr2-alx_on_gpOrthosteric Ligand7WVX-FPR2-ALX-Humanin-Gi2/β1/γ2 7T6U-FPR2-ALX-CGEN-855A-Gi1/β1/γ2 7T6V-FPR2-ALX-fMLFII-Gi1/β1/γ2 7WVY-FPR2-ALX-Amyloid-β42-Gi2/β1/γ2 7T6S-FPR2-ALX-TC-FPR 43-Gi1/β1/γ2 6OMM-FPR2-ALX-WKYMVX-Gi1/β1/γ2
34.62Consensusgi_class-aOrthosteric Ligandgi_peptide gi_sensory gi_alicarboxylic gi_amine gi_lipid gi_nucleotide gi_protein
33.33Single2X72All-trans-Retinal2X72-Rhodopsin-All-trans-Retinal-Gt(CT)
33.33Single3V2WPubChem 518926453V2W-S1P1-PubChem 51892645
33.33Single4Z34ONO-97803074Z34-LPA1-ONO-9780307
33.33Single6B73MP11046B73-κ-MP1104
33.33Single6DS0LY2660976DS0-5-HT2B-LY266097
33.33Single6KO5PubChem 574000026KO5-Ghrelin-PubChem 57400002
33.33Single6NWEOctyl-Beta-D-Glucopyranoside6NWE-Rhodopsin-Octyl-β-D-Glucopyranoside-Gt(CT)
33.33Single6OYAAll-trans-Retinal6OYA-Rhodopsin-All-trans-Retinal-Gt/β1/γ1
33.33Single6TODEMPA6TOD-OX1-EMPA-Na
33.33Single6WIVPubChem 52923113; PubChem 529246456WIV-GABAB1, GABAB2-PubChem 52923113; PubChem 52924645
33.33Single7EW1Siponimod7EW1-S1P5-Siponimod-Gi1/β1/γ2
33.33Single7EW3S1P7EW3-S1P3-S1P-Gi1/β1/γ2
33.33Single7EW4CYM-55417EW4-S1P3-CYM-5541-Gi1/β1/γ2
33.33Single7F1ODopamine7F1O-D1-Dopamine-GDP; Mg-Gs/β1/γ2
33.33Single7T6STC-FPR 437T6S-FPR2-ALX-TC-FPR 43-Gi1/β1/γ2
33.33Single7VIHCBP-3077VIH-S1P1-CBP-307-Gi1/β1/γ2
33.33Single7W0PElabela7W0P-Apelin-Elabela-Gi1/β1/γ2
33.33Single7WC4Serotonin7WC4-5-HT2A-Serotonin
33.33Single8EFOPZM218EFO-μ-PZM21-Gi1/β1/γ2
33.33Single8HDPAdenosine8HDP-A2B-Adenosine-Gs/β1/γ2
33.33Single8IHHLUF62838IHH-HCA2-LUF6283-Gi1/β1/γ2
33.33Single8IJBAcipimox8IJB-HCA2-Acipimox-Gi1/β1/γ2
33.33Single8IYHMK68928IYH-HCA2-MK6892-Go/β1/γ2
33.33Single8WOGSuccinic acid8WOG-Succinate-Succinic acid-Gi1/β1/γ2
33.33Single8WPGTryptophan; Cinacalcet; PO4; Ca8WPG-CaS; CaS-Tryptophan; Cinacalcet; PO4; Ca
33.33Single8X16Piclidenoson8X16-A3A-Piclidenoson-Gi1/β1/γ2
33.33Single8XXVIndomethacin8XXV-DP2-Indomethacin-A1D5Q-Gi1/β1/γ2
33.33Single8Y73Peptide8Y73-μ-Peptide-MPAM-15-Gi1/β1/γ2
33.33Single8YH6Namodenoson8YH6-A3A-Namodenoson-Gi1/β1/γ2
33.33Single8YKXMaleic acid8YKX-Succinate-Maleic acid-Gi1/β1/γ1
33.33Single8YYWAlpha-ketoglutarate8YYW-Oxoglutarate-α-ketoglutarate-α-ketoglutarate-chim(Gi1-CtGq)/β1/γ2
33.33Single9AVLCa; Ca; Cyclomethyltryptophan; R-568; PO49AVL-CaS; CaS-Ca-Ca; Ca; Cyclomethyltryptophan; R-568; PO4-Gi3/β2/γ2
33.33Single9C1PCa; Tryptophan; '6218; PO49C1P-CaS; CaS-Ca-Ca; Tryptophan; '6218; PO4
33.33Single9C2FCa; Ca; Tryptophan; '54149; PO49C2F-CaS; CaS-Ca-Ca; Ca; Tryptophan; '54149; PO4
33.33Single9EBHAdenosine9EBH-A3A-Adenosine-Gi1/β1/γ2
33.33Single9EEAAdenosine9EEA-A2A-Adenosine-Gs/β1/γ2
33.33Single9JKXAcifran9JKX-HCA3-Acifran-Gi1/β1/γ2
33.33Single9KVPSB2901579KVP-C3aB-SB290157-Go/β1/γ2
33.33Single9LLBDOI-NBOMe9LLB-5-HT2A-DOI-NBOMe-chim(NtGi1L-Gs-CtGq)/β1/γ2
33.33Single9PEEPF-07054894; OXM29PEE-CCR6-PF-07054894; OXM2
33.33Single9PXUNaloxone9PXU-μ-Naloxone-Na
33.33Single9UYJChemerin-99UYJ-CML2-Chemerin-9-Arrestin2
33.33Single9W49U-50488H9W49-κ-U-50488H-Gi1/β1/γ2
33.33Consensusa2_onOrthosteric Liganda2b_on
33.33Consensusa2_on_gpOrthosteric Liganda2b_on_gp
33.33Consensusa2b_onOrthosteric Ligand8HDP-A2B-Adenosine-Gs/β1/γ2 7XY6-A2B-BAY 60-6583-chim(NtGi1-Gs)/β1/γ2 7XY7-A2B-NECA-chim(NtGi1-Gs)/β1/γ2 8HDO-A2B-BAY 60-6583-Gs/β1/γ2
33.33Consensusa2b_on_gpOrthosteric Ligand8HDP-A2B-Adenosine-Gs/β1/γ2 7XY6-A2B-BAY 60-6583-chim(NtGi1-Gs)/β1/γ2 7XY7-A2B-NECA-chim(NtGi1-Gs)/β1/γ2 8HDO-A2B-BAY 60-6583-Gs/β1/γ2
33.33Consensusbb2_onOrthosteric Ligand7W40-BB2-Bombesin-chim(NtGi1L-Gq)/β1/γ2 7W3Z-BB2-Gastrin Releasing Peptide-chim(NtGi1L-Gq)/β1/γ2
33.33Consensusbb2_on_gpOrthosteric Ligand7W40-BB2-Bombesin-chim(NtGi1L-Gq)/β1/γ2 7W3Z-BB2-Gastrin Releasing Peptide-chim(NtGi1L-Gq)/β1/γ2
33.33Consensusbombesin_onOrthosteric Ligandbb2_on
33.33Consensusbombesin_on_gpOrthosteric Ligandbb2_on_gp
33.33Consensusgi_nucleotideOrthosteric Ligandgi_adenosine gi_p2y
33.33Consensusgi_succinateOrthosteric Ligand8YKW-Succinate-Succinic acid-Gi1/β1/γ1 8YKX-Succinate-Maleic acid-Gi1/β1/γ1
33.33Consensusgq_bombesinOrthosteric Ligand7W40-BB2-Bombesin-chim(NtGi1L-Gq)/β1/γ2 7W3Z-BB2-Gastrin Releasing Peptide-chim(NtGi1L-Gq)/β1/γ2
33.33Consensusgs_adenosineOrthosteric Ligand8HDP-A2B-Adenosine-Gs/β1/γ2 8HDO-A2B-BAY 60-6583-Gs/β1/γ2 7XY7-A2B-NECA-chim(NtGi1-Gs)/β1/γ2 7XY6-A2B-BAY 60-6583-chim(NtGi1-Gs)/β1/γ2
33.33Consensusgs_nucleotideOrthosteric Ligandgs_adenosine
33.33Consensusopioid_onOrthosteric Ligandmop_on nop_on dop_on kop_on
33.33Consensusrhodopsin_on_gpOrthosteric Ligand6OYA-Rhodopsin-All-trans-Retinal-Gt/β1/γ1
33.33Consensuss1p1_offOrthosteric Ligand3V2W-S1P1-PubChem 51892645
33.33Consensuss1p5_onOrthosteric Ligand7EW1-S1P5-Siponimod-Gi1/β1/γ2
33.33Consensuss1p5_on_gpOrthosteric Ligand7EW1-S1P5-Siponimod-Gi1/β1/γ2
33.33Consensussuccinate_onOrthosteric Ligand8YKW-Succinate-Succinic acid-Gi1/β1/γ1 8YKX-Succinate-Maleic acid-Gi1/β1/γ1
33.33Consensussuccinate_on_gpOrthosteric Ligand8YKW-Succinate-Succinic acid-Gi1/β1/γ1 8YKX-Succinate-Maleic acid-Gi1/β1/γ1
32.14Consensusopioid_on_gpOrthosteric Ligandmop_on_gp nop_on_gp dop_on_gp kop_on_gp
32.00Single9JFK(Pen5)-Urotensin II9JFK-UT-(Pen5)-Urotensin II-chim(NtGi2L-Gs-CtGq)/β1/γ2
32.00Consensusformylpeptide_on_gpOrthosteric Ligandfpr2-alx_on_gp fpr1-alx_on_gp
32.00Consensussst4_onOrthosteric Ligand7XMS-SST4-Somatostatin-14-Gi1/β1/γ2 7XMT-SST4-J-2156-Gi1/β1/γ2
32.00Consensussst4_on_gpOrthosteric Ligand7XMS-SST4-Somatostatin-14-Gi1/β1/γ2 7XMT-SST4-J-2156-Gi1/β1/γ2
31.82Single4OR2FITM4OR2-mGlu1; mGlu1-FITM
31.82Single7EPENAM5637EPE-mGlu2-NAM563
31.82Single7W0LPubChem 1227019087W0L-Apelin; Apelin-PubChem 122701908-Gi1/β1/γ2
31.82Single7W0LPubChem 1227019087W0L-Apelin; Apelin-PubChem 122701908-Gi1/β1/γ2
31.82Single7XW9TRH7XW9-TRH-TRH-chim(NtGi1L-Gs-CtGq)/β1/γ2
31.82Single8I9AEP548I9A-C3aB-EP54-chim(NtGi1-Gs-CtGq)/β1/γ2
31.82Single8JJPChemerin-98JJP-CML2-Chemerin-9-Gi1/β1/γ2
31.82Single8JWY2-1188JWY-A2A-2-118
31.82Single8JWZEtrumadenant8JWZ-A2A-Etrumadenant-Na
31.82Single8XYIVUF106618XYI-CXCR3-VUF10661
31.82Single9M8POleic monoethanolamide9M8P-GPR3 ; GPR3-Oleic monoethanolamide-AF64394
31.82Single9YDQDADLE9YDQ-δ-DADLE-MIPS3614-chim(NtGi1L-Gs-CtGi1)/β1/γ2
31.82Consensuscannabinoid_offOrthosteric Ligandcb2_off cb1_off
31.82Consensusleukotriene_offOrthosteric Ligandblt_off cyslt_off
31.82Consensustrh_onOrthosteric Ligand7XW9-TRH-TRH-chim(NtGi1L-Gs-CtGq)/β1/γ2
31.82Consensustrh_on_gpOrthosteric Ligand7XW9-TRH-TRH-chim(NtGi1L-Gs-CtGq)/β1/γ2
31.58Single3V2YPubChem 518926453V2Y-S1P1-PubChem 51892645
31.58Single4DKLBeta-Funaltrexamine4DKL-μ-β-Funaltrexamine
31.58Single4N6HNaltrindole4N6H-δ-Naltrindole-Na
31.58Single4ZJCSB-6740424ZJC-OX1-SB-674042
31.58Single5TE3Octyl-Beta-D-Glucopyranoside5TE3-Rhodopsin-Octyl-β-D-Glucopyranoside
31.58Single6IQLL7458706IQL-D4-L745870
31.58Single6ME42-Iodomelatonin6ME4-MT1-2-Iodomelatonin
31.58Single6PS82-Phenylmelatonin6PS8-MT1-2-Phenylmelatonin
31.58Single6TP3Nemorexant6TP3-OX1-Nemorexant
31.58Single6V9SGTPL114036V9S-OX1-GTPL11403
31.58Single6ZFZ77-LH-28-16ZFZ-M1-77-LH-28-1
31.58Single6ZG9GSK10347026ZG9-M1-GSK1034702
31.58Single7F61PF-036547467F61-H3-PF-03654746
31.58Single7SR8TAK-9257SR8-OX2-TAK-925-chim(NtGi1L-Gs-CtGq)/β1/γ2
31.58Single7T32ZM-2413857T32-A2A-ZM-241385
31.58Single7VUGJNJ-635330547VUG-GPR139-JNJ-63533054-Gi1/β1/γ2
31.58Single7WVUfMLF7WVU-FPR1-ALX-fMLF-Gi1/β1/γ2
31.58Single8HNMVUF112228HNM-CXCR3-VUF11222-Gi1/β1/γ2
31.58Single8JEIPubChem 117155568JEI-HCAR3-PubChem 11715556-Gi1/β1/γ2
31.58Single8K5CAcipimox8K5C-HCA2-Acipimox
31.58Single8K9KDAMGO8K9K-μ-DAMGO-Gi3/β1/γ1
31.58Single8RLNLUF58348RLN-A2A-LUF5834
31.58Single8WPUTryptophan; Cinacalcet; PO4; Ca8WPU-CaS; CaS-Tryptophan; Cinacalcet; PO4; Ca-chim(NtGi2L-Gs-CtGq)/β1/γ2
31.58Single8Y01All-trans-Retinal8Y01-Opsin1MW-All-trans-Retinal-Gi1/β1/γ2
31.58Single8Y45ADL58598Y45-δ-ADL5859-Gi2/β1/γ2
31.58Single8YKVPubChem 1375531688YKV-Succinate-PubChem 137553168-Gi1/β1/γ2
31.58Single8ZBWQuin-C18ZBW-FPR2-ALX-Quin-C1-Gi2/β1/γ2
31.58Single9ASBCa; Ca; Cyclomethyltryptophan; R-568; PO49ASB-CaS; CaS-Ca-Ca; Ca; Cyclomethyltryptophan; R-568; PO4-chim(NtGi1-Gs-CtGq)/β1/γ2
31.58Single9AVGCa; Ca; Cyclomethyltryptophan; R-568; PO49AVG-CaS; CaS-Ca-Ca; Ca; Cyclomethyltryptophan; R-568; PO4-chim(NtGi1-Gs)/β1/γ2
31.58Single9EPQ11,20-Ethanoretinal9EPQ-Rhodopsin-11,20-Ethanoretinal-chim(Gi1-CtGq)/β1/γ2
31.58Single9JKYAcifran9JKY-HCA2-Acifran-Gi1/β1/γ2
31.58Single9ODLMitragynine Pseudoindoxyl9ODL-μ-Mitragynine Pseudoindoxyl-GTP; Mg-Gi1/β1/γ2
31.58Single9PXXNaloxone9PXX-μ-Naloxone-GDPβS-Gi1/β1/γ2
31.58Consensusadenosine_onOrthosteric Liganda1_on a2_on a3_on
31.58Consensusat1_offOrthosteric Ligand4YAY-AT1-ZD-7155 4ZUD-AT1-Olmesartan
31.58Consensusgi_adenosineOrthosteric Ligand7LD4-A1-Adenosine-Gi2/β1/γ2 8X17-A3A-Namodenoson-Gi1/β1/γ2 8X16-A3A-Piclidenoson-Gi1/β1/γ2
31.25Single2HPYAll-trans-Retinal2HPY-Rhodopsin-All-trans-Retinal
31.25Single7DD5Ca; Ca; Tryptophan; NPS-21437DD5-CaS; CaS-Ca-Ca; Ca; Tryptophan; NPS-2143
31.25Single8IWM2-Phenylethylamine8IWM-TAA9-2-Phenylethylamine
31.25Single8Z8ALactate8Z8A-HCA1-Lactate-Gi1/β1/γ2
31.25Single9EE9Adenosine9EE9-A2A-Adenosine-Gs/β1/γ2
31.25Consensusgs_histamineOrthosteric Ligand8POK-H2-Histamine-Gs/β1/γ2
31.25Consensush2_onOrthosteric Ligand8POK-H2-Histamine-Gs/β1/γ2
31.25Consensusopsins_onOrthosteric Ligandrhodopsin_on opsin1lw_on
31.25Consensussensory_onOrthosteric Ligandopsins_on
31.03Single8ZH8QRFP268ZH8-QRFP-QRFP26-Gq/β1/γ1
31.03Consensusgq_peptideOrthosteric Ligandgq_cck gq_kisspeptin gq_bradykinin gq_bombesin gq_angiotensin
30.77Single6LW5WKYMVm6LW5-FPR2-ALX-WKYMVm
30.77Single6PT2KGCHM076PT2-δ-KGCHM07
30.77Single8XGUTAK4488XGU-Kiss1-TAK448-Gi1/β1/γ2
30.77Single8XIRPasireotide8XIR-SST3-Pasireotide-chim(NtGi1-Gs-CtGi1)/β1/γ2
30.77Single9MEUCXCL129MEU-CXCR4-CXCL12
30.77Consensusangiotensin_onOrthosteric Ligandat1_on
30.77Consensusat1_onOrthosteric Ligand7F6G-AT1-(Sar1)-Angiotensin II-Gq/β1/γ2
30.77Consensusfpr2-alx_onOrthosteric Ligand7WVX-FPR2-ALX-Humanin-Gi2/β1/γ2 7T6U-FPR2-ALX-CGEN-855A-Gi1/β1/γ2 7T6V-FPR2-ALX-fMLFII-Gi1/β1/γ2 7WVY-FPR2-ALX-Amyloid-β42-Gi2/β1/γ2 7T6S-FPR2-ALX-TC-FPR 43-Gi1/β1/γ2 6OMM-FPR2-ALX-WKYMVX-Gi1/β1/γ2
30.43Single4OR2FITM4OR2-mGlu1; mGlu1-FITM
30.43Single4Z35ONO-99105394Z35-LPA1-ONO-9910539
30.43Single5CGDHTL142425CGD-mGlu5-HTL14242
30.43Single7MTSADX551647MTS-mGlu2; mGlu2-Glutamate-ADX55164-Gi1/β1/γ2
30.43Single7X1UTRH7X1U-TRH-TRH-chim(NtGi2L-Gs-CtGq)/β1/γ2
30.43Single7Y65C5a (C-terminal peptide)7Y65-C5a1-C5a (C-terminal peptide)-Gi1/β1/γ2
30.43Single8IULLatanoprost8IUL-FP-alpha-Latanoprost-chim(NtGi1-Gs-CtGq)/β1/γ2
30.43Single8XGSKisspeptin-18XGS-Kiss1-Kisspeptin-1-chim(NtGi1-Gq)/β1/γ2
30.43Single9KUGEP679KUG-C5a1-EP67-Go/β1/γ2
30.43Single9M54Neuropeptide-VF9M54-NPFF2-Neuropeptide-VF-Gi1/β1/γ2
30.43Single9YDPDADLE9YDP-δ-DADLE-chim(NtGi1L-Gs-CtGi1)/β1/γ2
30.43Single9YDRDADLE9YDR-δ-DADLE-MIPS3983-chim(NtGi1L-Gs-CtGi1)/β1/γ2
30.43Consensusorexin_on_gpOrthosteric Ligandox2_on_gp
30.43Consensuspeptide_offOrthosteric Ligandcck_off angiotensin_off bombesin_off endothelin_off ghrelin_off npy_off opioid_off orexin_off somatostatin_off tachykinin_off vasop-oxy_off neurotensin_off
30.43Consensusprostanoid_offOrthosteric Ligandep_off dp_off
30.00Single4J4QOctyl Beta-D-Glucopyranoside4J4Q-Rhodopsin-Octyl β-D-Glucopyranoside-Gt(CT)
30.00Single4YAYZD-71554YAY-AT1-ZD-7155
30.00Single5DHHSB-6121115DHH-NOP-SB-612111
30.00Single5TGZAM65385TGZ-CB1-AM6538
30.00Single6TOTLemborexant6TOT-OX1-Lemborexant
30.00Single7DB6Ramelteon7DB6-MT1-Ramelteon-Gi1/β1/γ2
30.00Single7SCGFH2107SCG-μ-FH210-Gi1/β1/γ2
30.00Single7VKTLTB47VKT-BLT1-LTB4-Gi1/β1/γ2
30.00Single8CU6LJ-45178CU6-A2A-LJ-4517
30.00Single8EFQDAMGO8EFQ-μ-DAMGO-Gi1/β1/γ2
30.00Single8I7VAcipimox8I7V-HCA2-Acipimox-Gi1/β1/γ2
30.00Single8JHNMonomethyl fumarate8JHN-HCA2-Monomethyl fumarate-Go/β1/γ2
30.00Single8JT8(R)-IHCH-71798JT8-5-HT2A-(R)-IHCH-7179
30.00Single9AVGCa; Ca; Cyclomethyltryptophan; R-568; PO49AVG-CaS; CaS-Ca-Ca; Ca; Cyclomethyltryptophan; R-568; PO4-chim(NtGi1-Gs)/β1/γ2
30.00Single9IZCMK19039IZC-HCA2-MK1903-Gi1/β1/γ2
30.00Single9KFJPubChem 1383196749KFJ-RXFP3-PubChem 138319674-Gi2/β1/γ2
30.00Single9KFTfMLFC9KFT-FPR1-ALX-fMLFC-Gi1/β1/γ2
30.00Single9KUXCMPD6449KUX-Apelin; Apelin-CMPD644-Arrestin2
30.00Consensusa3_onOrthosteric Liganda3a_on
30.00Consensusblt1_onOrthosteric Ligand7VKT-BLT1-LTB4-Gi1/β1/γ2
30.00Consensusblt1_on_gpOrthosteric Ligand7VKT-BLT1-LTB4-Gi1/β1/γ2
30.00Consensusblt_onOrthosteric Ligandblt1_on
30.00Consensusblt_on_gpOrthosteric Ligandblt1_on_gp
30.00Consensusgi_leukotrieneOrthosteric Ligand7VKT-BLT1-LTB4-Gi1/β1/γ2
30.00Consensusleukotriene_onOrthosteric Ligandblt_on
30.00Consensusleukotriene_on_gpOrthosteric Ligandblt_on_gp
29.63Single6WIVPubChem 52923113; PubChem 529246456WIV-GABAB1, GABAB2-PubChem 52923113; PubChem 52924645
29.63Single7F6G(Sar1)-Angiotensin II7F6G-AT1-(Sar1)-Angiotensin II-Gq/β1/γ2
29.63Single8H4KGW95088H4K-FFA4-GW9508-chim(NtGi1-Gs-CtGq)/β1/γ2
29.63Single8IEDPubChem 1347468948IED-GPR156; GPR156-PubChem 134746894-Go/β1/γ2
29.63Single8ZBISomatostatin-148ZBI-SST3-Somatostatin-14-Gi1/β1/γ2
29.63Single9BKKCholecystokinin-89BKK-CCKA-Cholecystokinin-8-chim(NtGi1-Gs-CtGq)/β1/γ2
29.63Consensusangiotensin_on_gpOrthosteric Ligandat1_on_gp
29.63Consensusat1_on_gpOrthosteric Ligand7F6G-AT1-(Sar1)-Angiotensin II-Gq/β1/γ2
29.63Consensuscxcr3_on_gpOrthosteric Ligand8HNK-CXCR3-CXCL11-Gi1/β1/γ2 8HNL-CXCR3-PS372424-Gi1/β1/γ2
29.63Consensusgi_formylpeptideOrthosteric Ligand7WVY-FPR2-ALX-Amyloid-β42-Gi2/β1/γ2 7T6U-FPR2-ALX-CGEN-855A-Gi1/β1/γ2 7VFX-FPR1-ALX-fMIFL-Gi1/β1/γ2 7T6V-FPR2-ALX-fMLFII-Gi1/β1/γ2 7WVX-FPR2-ALX-Humanin-Gi2/β1/γ2 7T6S-FPR2-ALX-TC-FPR 43-Gi1/β1/γ2 6OMM-FPR2-ALX-WKYMVX-Gi1/β1/γ2
29.63Consensusgq_angiotensinOrthosteric Ligand7F6G-AT1-(Sar1)-Angiotensin II-Gq/β1/γ2
29.63Consensuspeptide_offon_gpOrthosteric Ligandpeptide_on_gp peptide_off
29.41Single3PQRAll-trans-Retinal3PQR-Rhodopsin-All-trans-Retinal-Gt(CT)
29.41Single3UZAGTPL92363UZA-A2A-GTPL9236
29.41Single5WKTOctyl-Beta-D-Glucopyranoside5WKT-Rhodopsin-Octyl-β-D-Glucopyranoside-Gt(CT)
29.41Single7WC5Psilocin7WC5-5-HT2A-Psilocin
29.41Single8GGEConstrained Epinephrine8GGE-β2-Constrained Epinephrine-GTP-Gs/β1/γ2
29.41Single8GH1Constrained Epinephrine8GH1-β2-Constrained Epinephrine
29.41Single8IU2All-trans-Retinal8IU2-Opsin1LW-All-trans-Retinal-Gi1/β1/γ2
29.41Single8IW72-Phenylethylamine8IW7-TAA9-2-Phenylethylamine-chim(NtGi1-Gs)/β1/γ2
29.41Single8JXTHistamine8JXT-H4-Histamine-PO4-Gi1/β1/γ2
29.41Single8SZFCa; Ca; Tryptophan; Cinacalcet; PO4; Spermine8SZF-CaS; CaS-Ca; Ca; Tryptophan; Cinacalcet; PO4; Spermine
29.41Single8Y63C20:0 Ceramide8Y63-FPR2-ALX-C20:0 Ceramide-Gi1/β1/γ2
29.41Single9JG1Adriforant9JG1-H4-Adriforant
29.41Consensus5ht2_onOrthosteric Ligand5ht2b_on
29.41Consensus5ht2b_onOrthosteric Ligand7SRR-5-HT2B-LSD-chim(NtGi2L-Gs-CtGq)/β1/γ2
29.41Consensusgi_opsinsOrthosteric Ligand8IU2-Opsin1LW-All-trans-Retinal-Gi1/β1/γ2
29.41Consensusgi_sensoryOrthosteric Ligandgi_opsins
29.41Consensusopsin1lw_onOrthosteric Ligand8IU2-Opsin1LW-All-trans-Retinal-Gi1/β1/γ2
29.41Consensusopsin1lw_on_gpOrthosteric Ligand8IU2-Opsin1LW-All-trans-Retinal-Gi1/β1/γ2
29.17Single5ZTYAM102575ZTY-CB2-AM10257
29.17Single6OMMWKYMVX6OMM-FPR2-ALX-WKYMVX-Gi1/β1/γ2
29.17Single7XN9L-0545227XN9-SST2-L-054522
29.17Single7XY6BAY 60-65837XY6-A2B-BAY 60-6583-chim(NtGi1-Gs)/β1/γ2
29.17Single8IA7Cholecystokinin-88IA7-CCKB-Cholecystokinin-8-chim(NtGi1L-Gq)/β1/γ2
29.17Single9IPVJR14a9IPV-C3aB-JR14a-Gi1/β1/γ2
29.17Single9IZASCH9002719IZA-HCA2-SCH900271-Gi1/β1/γ2
29.17Single9JF4PD1683689JF4-BB1-PD168368
29.17Single9KZ2EP679KZ2-C3aB-EP67-Go/β1/γ2
29.17Single9UMJEP549UMJ-C3aB-EP54-Go/β1/γ2
29.17Consensuscb2_offOrthosteric Ligand5ZTY-CB2-AM10257
29.17Consensuscxcr3_onOrthosteric Ligand8HNK-CXCR3-CXCL11-Gi1/β1/γ2 8HNL-CXCR3-PS372424-Gi1/β1/γ2
29.17Consensusox2_onOrthosteric Ligand7L1V-OX2-PubChem 155491009-chim(NtGi1-Gs-CtGq)/β1/γ2 7SQO-OX2-TAK-925-Gi1/β1/γ2 7L1U-OX2-Orexin-chim(NtGi1-Gs-CtGq)/β1/γ2
29.17Consensusox2_on_gpOrthosteric Ligand7L1V-OX2-PubChem 155491009-chim(NtGi1-Gs-CtGq)/β1/γ2 7SQO-OX2-TAK-925-Gi1/β1/γ2 7L1U-OX2-Orexin-chim(NtGi1-Gs-CtGq)/β1/γ2
28.57Single4ZJ8Suvorexant4ZJ8-OX1-Suvorexant
28.57Single5NM2ZM-2413855NM2-A2A-ZM-241385-Na
28.57Single6D26Fevipiprant6D26-DP2-Fevipiprant
28.57Single6HLPNetupitant6HLP-NK1-Netupitant
28.57Single6TO7Suvorexant6TO7-OX1-Suvorexant-Na
28.57Single7BB7AVP7BB7-V2-AVP-Gs/β1/γ2
28.57Single7EO2FTY720-P7EO2-S1P1-FTY720-P-Gi1/β1/γ2
28.57Single7EPFNAM5977EPF-mGlu2-NAM597
28.57Single7VUHJNJ-635330547VUH-GPR139-JNJ-63533054-chim(Gs-CtGq)/β1/γ2
28.57Single7WIGL-0542647WIG-SST2-L-054264-Gi1/β1/γ2
28.57Single8HNLPS3724248HNL-CXCR3-PS372424-Gi1/β1/γ2
28.57Single8WWKMCH8WWK-MCH1-MCH-Gi1/β1/γ2
28.57Single8X0CVU04244658X0C-mGlu5; mGlu5-Quisqualate-VU0424465
28.57Single8X0CVU04244658X0C-mGlu5; mGlu5-Quisqualate-VU0424465
28.57Single8X0DVU04244658X0D-mGlu5; mGlu5-Quisqualate-VU0424465
28.57Single8X0DVU04244658X0D-mGlu5; mGlu5-Quisqualate-VU0424465
28.57Single8XGOTAK4488XGO-Kiss1-TAK448-chim(NtGi1-Gq)/β1/γ2
28.57Single8XYKVUF106618XYK-CXCR3-VUF10661-Go/β1/γ2
28.57Single8YNSSNAP-948478YNS-MCH1-SNAP-94847
28.57Single8ZPSPrRP208ZPS-PrRP-PrRP20-chim(NtGi1-Gs-CtGi1)/β1/γ2
28.57Single8ZPTPrRP208ZPT-PrRP-PrRP20-chim(NtGi1-Gs-CtGq)/β1/γ2
28.57Single9HAPTolvaptan9HAP-V2-Tolvaptan
28.57Single9IYBPGD29IYB-DP2-PGD2-A1D5Q-Gi1/β1/γ2
28.57Single9KT6Acifran9KT6-HCA3-Acifran-Gi1/β1/γ2
28.57Single9KUVCMPD6449KUV-Apelin-CMPD644-Arrestin2
28.57Single9U81Tolvaptan9U81-V2-Tolvaptan
28.57Consensusadenosine_offOrthosteric Liganda1_off a2_off
28.57Consensusblt1_offOrthosteric Ligand5X33-BLT1-BIIL260 7K15-BLT1-MKD046-Na
28.57Consensusblt_offOrthosteric Ligandblt1_off
28.57Consensuscml1_on_gpOrthosteric Ligand7YKD-CML1-Chemerin-9-Gi1/β1/γ2
28.57Consensusdp2_offOrthosteric Ligand6D26-DP2-Fevipiprant
28.57Consensusdp_offOrthosteric Liganddp2_off
28.57Consensusnucleotide_onOrthosteric Ligandadenosine_on p2y_on
28.00Single7F8XNN90567F8X-CCKA-NN9056
28.00Single7T6UCGEN-855A7T6U-FPR2-ALX-CGEN-855A-Gi1/β1/γ2
28.00Single7TD4Siponimod7TD4-S1P1-Siponimod-Gi1/β1/γ2
28.00Single8G59TUG-8918G59-FFA4-TUG-891-chim(Gi1-CtGq)/β1/γ2
28.00Single8IEBPubChem 1347468948IEB-GPR156; GPR156-PubChem 134746894
28.00Single8WZ2Orexigenic Neuropeptide QRFP8WZ2-QRFP-Orexigenic Neuropeptide QRFP-chim(NtGi1L-Gs-CtGq)/β1/γ2
28.00Single9L3YChemerin9L3Y-CML2-Chemerin-Gi1/β1/γ2
28.00Consensuschemerin_on_gpOrthosteric Ligandcml1_on_gp
28.00Consensuscml1_onOrthosteric Ligand7YKD-CML1-Chemerin-9-Gi1/β1/γ2
28.00Consensusgi_chemerinOrthosteric Ligand7YKD-CML1-Chemerin-9-Gi1/β1/γ2
28.00Consensuslpl_onOrthosteric Ligands1p_on lpa_on
28.00Consensuslpl_on_gpOrthosteric Ligands1p_on_gp lpa_on_gp
28.00Consensusnop_onOrthosteric Ligand8F7X-NOP-Nociceptin-Gi1/β1/γ2
28.00Consensusnop_on_gpOrthosteric Ligand8F7X-NOP-Nociceptin-Gi1/β1/γ2
27.78Single3OE9IT1t3OE9-CXCR4-IT1t
27.78Single6TP4ACT-4622066TP4-OX1-ACT-462206
27.78Single7XTASerotonin7XTA-5-HT4-Serotonin-Gi1/β1/γ2
27.78Single8A2PLUAA470708A2P-A2A-LUAA47070-Na
27.78Single8EF6Morphine8EF6-μ-Morphine-Gi1/β1/γ2
27.78Single8H2GNiacin8H2G-HCA2-Niacin-Gi1/β1/γ2
27.78Single8JPNCis-Epoxysuccinic acid8JPN-Succinate-Cis-Epoxysuccinic acid-Gi1/β1/γ1
27.78Single8K5BNiacin8K5B-HCA2-Niacin
27.78Single8WP1Cis-Epoxysuccinic acid8WP1-Succinate-Cis-Epoxysuccinic acid-Gi1/β1/γ2
27.78Single8WPUTryptophan; Cinacalcet; PO4; Ca8WPU-CaS; CaS-Tryptophan; Cinacalcet; PO4; Ca-chim(NtGi2L-Gs-CtGq)/β1/γ2
27.78Single8YH3N-methyladenosine8YH3-A3A-N-methyladenosine-Gi1/β1/γ2
27.78Single8YKWSuccinic acid8YKW-Succinate-Succinic acid-Gi1/β1/γ1
27.78Single9C1PCa; Tryptophan; '6218; PO49C1P-CaS; CaS-Ca-Ca; Tryptophan; '6218; PO4
27.78Single9EPRAll-trans-Retinal9EPR-Rhodopsin-All-trans-Retinal-Gi1/β1/γ2
27.78Single9IZDCHBA9IZD-HCA1-CHBA-Gi1/β1/γ2
27.78Consensus5ht4_onOrthosteric Ligand7XTA-5-HT4-Serotonin-Gi1/β1/γ2
27.78Consensus5ht4_on_gpOrthosteric Ligand7XTA-5-HT4-Serotonin-Gi1/β1/γ2
27.59Single7YKDChemerin-97YKD-CML1-Chemerin-9-Gi1/β1/γ2
27.59Single8H0PNMB308H0P-BB1-NMB30-chim(NtGi1-Gs-CtGq)/β1/γ2
27.59Consensusgi_peptideOrthosteric Ligandgi_cck gi_apelin gi_compl-pept gi_endothelin gi_formylpeptide gi_galanin gi_ghrelin gi_npy gi_neurotensin gi_opioid gi_orexin gi_relaxin gi_somatostatin
27.27Single6DDEDAMGO6DDE-μ-DAMGO-Gi1/β1/γ2
27.27Single6LRYSarafotoxin-B6LRY-ETB-Sarafotoxin-B
27.27Single7PX4PSB-21137PX4-A2A-PSB-2113
27.27Single7WVXHumanin7WVX-FPR2-ALX-Humanin-Gi2/β1/γ2
27.27Single7XAVLanreotide7XAV-SST2-Lanreotide-Gi1/β1/γ2
27.27Single8HDOBAY 60-65838HDO-A2B-BAY 60-6583-Gs/β1/γ2
27.27Single8ID39-Hydroxystearic acid8ID3-FFA4-9-Hydroxystearic acid-Gi1/β1/γ2
27.27Single8WU1MDMB-Fubinaca8WU1-CB1-MDMB-Fubinaca-Arrestin2
27.27Single8X0BVU04244658X0B-mGlu5; mGlu5-Quisqualate-VU0424465
27.27Single8X0FVU298X0F-mGlu5; mGlu5-Quisqualate-VU29
27.27Single8XIPPasireotide8XIP-SST1-Pasireotide-chim(NtGi1-Gs-CtGi1)/β1/γ2
27.27Single8XJMLatanoprost8XJM-FP-alpha-Latanoprost-chim(NtGi2-Gs-CtGq)/β1/γ2
27.27Single8XZICMF-0198XZI-Apelin; Apelin-CMF-019-Gi1/β1/γ2
27.27Single8ZWFJR14a8ZWF-C3aB-JR14a
27.27Single9IK9Lanreotide9IK9-SST1-Lanreotide-Gi1/β1/γ2
27.27Single9JMCDS-3801b9JMC-Motilin-DS-3801b-chim(Gs-CtGq)/β1/γ2
26.92Single6DO1(Sar1,Ile8)-Angiotensin II6DO1-AT1-(Sar1,Ile8)-Angiotensin II
26.92Single7DDZJNJ-310200287DDZ-Y2-JNJ-31020028
26.92Single7RKMCX3CL17RKM-US28-CX3CL1-Gi1/β1/γ2
26.92Single7WJ5Somatostatin-147WJ5-SST2-Somatostatin-14-Gi1/β1/γ2
26.92Single7XMSSomatostatin-147XMS-SST4-Somatostatin-14-Gi1/β1/γ2
26.92Single8F7SDeltorphin8F7S-δ-Deltorphin-Gi1/β1/γ2
26.92Single8JZZC5a-des-Arg8JZZ-C5a1-C5a-des-Arg-Go/β1/γ2
26.92Single8SG1Chemerin-98SG1-CML1-Chemerin-9-Gi1/β1/γ2
26.92Single9E82CXCL12 (fragment)9E82-ACKR3-CXCL12 (fragment)-Arrestin2
26.92Single9IK8Pasireotide9IK8-SST1-Pasireotide-Gi1/β1/γ2
26.92Single9ME1CXCL129ME1-CXCR4-CXCL12
26.92Single9UMXEP549UMX-C5a1-EP54-Go/β1/γ2
26.92Consensusdop_on_gpOrthosteric Ligand8F7S-δ-Deltorphin-Gi1/β1/γ2
26.92Consensusnpy2_offOrthosteric Ligand7DDZ-Y2-JNJ-31020028
26.67Single6P9XCorticoliberin-16P9X-CRF1-Corticoliberin-1-Gs/β1/γ2
26.67Single7EIBKallidin-des-Arg107EIB-BK1-Kallidin-des-Arg10-chim(NtGi1-Gs-CtGq)/β1/γ2
26.67Single7XATSomatostatin-147XAT-SST2-Somatostatin-14-Gi1/β1/γ2
26.67Single8FEG(DNCP)-Beta-Naloxamine8FEG-κ-(DNCP)-β-Naloxamine-Gi1/β1/γ2
26.67Single8GEJConstrained Epinephrine8GEJ-β2-Constrained Epinephrine-Gs/β1/γ2
26.67Single8WWLMCH8WWL-MCH1-MCH-Gi1/β1/γ2
26.67Single9BUCCagrilintide9BUC-CT-Cagrilintide-Gs/β1/γ2
26.67Single9K26PrRP319K26-PrRP-PrRP31-Gi1/β1/γ2
26.67Consensuspeptide_onOrthosteric Ligandcck_on angiotensin_on apelin_on bombesin_on bradykinin_on compl-peptide_on endothelin_on formylpeptide_on galanin_on ghrelin_on kisspeptin_on melanocortin_on motilin_on neuromedin-u_on npy_on neurotensin_on opioid_on orexin_on relaxin_on somatostatin_on tachykinin_on trh_on vasop-oxy_on
26.67Consensuspeptide_on_gpOrthosteric Ligandcck_on_gp angiotensin_on_gp apelin_on_gp bombesin_on_gp bradykinin_on_gp compl-peptide_on_gp endothelin_on_gp formylpeptide_on_gp galanin_on_gp ghrelin_on_gp kisspeptin_on_gp melanocortin_on_gp motilin_on_gp neuromedin-u_on_gp npy_on_gp neurotensin_on_gp opioid_on_gp orexin_on_gp relaxin_on_gp somatostatin_on_gp tachykinin_on_gp trh_on_gp vasop-oxy_on_gp
26.32Single3VGAZM-2413853VGA-A2A-ZM-241385-Antibody
26.32Single4S0VSuvorexant4S0V-OX2-Suvorexant
26.32Single5OLVLUAA470705OLV-A2A-LUAA47070-Na
26.32Single5WS3EMPA5WS3-OX2-EMPA
26.32Single6AKXA4R6AKX-CCR5-A4R
26.32Single6AKYMaraviroc6AKY-CCR5-Maraviroc
26.32Single6D9HAdenosine6D9H-A1-Adenosine-Gi2/β1/γ2
26.32Single6ME2Ramelteon6ME2-MT1-Ramelteon
26.32Single6ME9Ramelteon6ME9-MT2-Ramelteon
26.32Single6TPJSuvorexant6TPJ-OX2-Suvorexant
26.32Single6TQ6PubChem 1457142836TQ6-OX1-PubChem 145714283
26.32Single7M3FCa; Ca; Tryptophan; Cinacalcet7M3F-CaS; CaS-Ca; Ca; Tryptophan; Cinacalcet
26.32Single7SILCa; Ca; Ca; Cyclomethyltryptophan; R-568; PO47SIL-CaS; CaS-Ca-Ca; Ca; Ca; Cyclomethyltryptophan; R-568; PO4
26.32Single7SILCa; Ca; Ca; Cyclomethyltryptophan; R-568; PO47SIL-CaS; CaS-Ca-Ca; Ca; Ca; Cyclomethyltryptophan; R-568; PO4
26.32Single7VUJJNJ-635330547VUJ-GPR139-JNJ-63533054-GDP-chim(Gs-CtGq)/β1/γ2
26.32Single7WF7S1P7WF7-S1P1-S1P-Gi1/β1/γ2
26.32Single8DU3PubChem 1055260648DU3-A2A-PubChem 105526064
26.32Single8GNGIstradefylline8GNG-A2A-Istradefylline
26.32Single8IJANiacin8IJA-HCA2-Niacin-Gi1/β1/γ2
26.32Single8J6LNiacin8J6L-HCA2-Niacin-Gi1/β1/γ2
26.32Single8JPPSuccinic acid8JPP-Succinate-Succinic acid-chim(Gs-CtGq)/β1/γ1
26.32Single8UTDMK19038UTD-HCA2-MK1903-Gi1/β1/γ2
26.32Single8Z87CHBA8Z87-HCA1-CHBA-Gi1/β1/γ2
26.32Single9H2XPubChem 1756706449H2X-A2A-PubChem 175670644-Na
26.32Single9J5VCpY9J5V-LPA1-CpY-Gi1/β1/γ2
26.32Single9KPESalicin9KPE-TAS2R16-Salicin-Gi1/β1/γ2
26.32Single9M88Oleic monoethanolamide9M88-GPR3 ; GPR3-Oleic monoethanolamide-AF64394
26.32Consensusangiotensin_offOrthosteric Ligandat1_off
26.32Consensusorexin_offOrthosteric Ligandox2_off ox1_off
26.32Consensusox1_offOrthosteric Ligand6TP6-OX1-Filorexant 6TP4-OX1-ACT-462206 6V9S-OX1-GTPL11403 6TOT-OX1-Lemborexant 6TP3-OX1-Nemorexant 6TQ6-OX1-PubChem 145714283 6TQ9-OX1-SB-408124 4ZJC-OX1-SB-674042 4ZJ8-OX1-Suvorexant 6TOD-OX1-EMPA-Na 6TOS-OX1-GSK1059865-Na 6TQ4-OX1-PubChem 16046844-Na
26.32Consensusox2_offOrthosteric Ligand5WQC-OX2-EMPA 6TPN-OX2-HTL6641 7XRR-OX2-Lemborexant 6TPJ-OX2-Suvorexant
26.09Single4PXFOctyl-Beta-D-Glucopyranoside4PXF-Rhodopsin-Octyl-β-D-Glucopyranoside-Arrestin1 Finger Loop
26.09Single4Z36ONO-30805734Z36-LPA1-ONO-3080573
26.09Single6OS0Angiotensin II6OS0-AT1-Angiotensin II
26.09Single6XBLCholesterol6XBL-SMO-SAG-Cholesterol-Gi1/β1/γ2
26.09Single7EO4Siponimod7EO4-S1P1-Siponimod-Gi1/β1/γ2
26.09Single7L1VPubChem 1554910097L1V-OX2-PubChem 155491009-chim(NtGi1-Gs-CtGq)/β1/γ2
26.09Single7MTRADX551647MTR-mGlu2; mGlu2-Glutamate-ADX55164
26.09Single7SUSPubChem 1227019087SUS-Apelin-PubChem 122701908
26.09Single7T6BS1P7T6B-S1P2-S1P-chim(NtGi1L-G13)/β1/γ2
26.09Single8ID9Icosapent8ID9-FFA4-Icosapent-Gi1/β1/γ2
26.09Single8JD3JNJ-404118138JD3-mGlu2; mGlu3-Glutamate-JNJ-40411813-Gi1/β1/γ2
26.09Single8T3QDoconexent8T3Q-FFA4-Doconexent-chim(NtGi2L-Gs-CtGq)/β1/γ2
26.09Single9DGIZ85267113509DGI-CB1-Z8526711350
26.09Single9GGGI-BOP9GGG-TXA2-I-BOP-chim(NtGi2L-Gs-CtGq)/β1/γ2
26.09Single9GYOP3959GYO-GPBA-P395-chim(NtGi1-Gs)/β1/γ2
26.09Single9WSWEndomorphin9WSW-μ-Endomorphin-chim(NtGi1-Gz)/β1/γ2
26.09Consensusc3a_onOrthosteric Ligand8HK2-C3aB-C3a-Gi1/β1/γ2 8IA8-C3aB-E7 peptide-Gi1/β1/γ2
26.09Consensuslpa1_offOrthosteric Ligand4Z36-LPA1-ONO-3080573 4Z35-LPA1-ONO-9910539 4Z34-LPA1-ONO-9780307
26.09Consensuslpa_offOrthosteric Ligandlpa1_off
26.09Consensuslpl_offOrthosteric Ligands1p_off lpa_off
26.09Consensusorexin_onOrthosteric Ligandox2_on
25.93Single7TD0LPA7TD0-LPA1-LPA-Gi1/β1/γ2
25.93Single7TD2LPA7TD2-LPA1-LPA-Gi1/β1/γ2
25.93Single7XOUCholecystokinin-87XOU-CCKA-Cholecystokinin-8-Gs/β1/γ2
25.93Single8XZHMM078XZH-Apelin; Apelin-MM07-Gi1/β1/γ2
25.93Single9U4WGonadoliberin-19U4W-GnRH1-Gonadoliberin-1-chim(NtGi1L-Gs-CtGq)/β1/γ2
25.93Single9UYIChemerin-99UYI-CML2-Chemerin-9-Arrestin2
25.93Consensusgi_somatostatinOrthosteric Ligand7WIC-SST2-Somatostatin-14-Gi1/β1/γ2 7XMS-SST4-Somatostatin-14-Gi1/β1/γ2 8X8L-SST5-Cortistatin-14-chim(NtGi1-Gs-CtGi1)/β1/γ2 7XMT-SST4-J-2156-Gi1/β1/γ2 7WIG-SST2-L-054264-Gi1/β1/γ2 8X8N-SST5-Octreotide-chim(NtGi1-Gs-CtGi1)/β1/γ2 7YAE-SST2-Octreotide-Gi1/β1/γ2 7YAC-SST2-Paltusotine-Gi1/β1/γ2
25.93Consensusgs_cckOrthosteric Ligand7MBX-CCKA-Cholecystokinin-8-Gs/β1/γ1
25.93Consensuspeptide_offonOrthosteric Ligandpeptide_off peptide_on
25.93Consensussomatostatin_onOrthosteric Ligandsst2_on sst4_on sst5_on
25.93Consensussomatostatin_on_gpOrthosteric Ligandsst2_on_gp sst4_on_gp sst5_on_gp
25.81Single6IGLIRL16206IGL-ETB-IRL1620
25.81Single7VGXNeuropeptide-Y7VGX-Y1-Neuropeptide-Y-Gi1/β1/γ2
25.81Single8WWNMCH8WWN-MCH1-MCH-Gi1/β1/γ2
25.81Single8Y52BA18Y52-BB3-BA1-chim(NtGi1-Gs-CtGq)/β1/γ2
25.00Single3PXOAll-trans-Retinal3PXO-Rhodopsin-All-trans-Retinal
25.00Single4MBSMaraviroc4MBS-CCR5-Maraviroc
25.00Single4ZUDOlmesartan4ZUD-AT1-Olmesartan
25.00Single5DYSAll-trans-Retinal5DYS-Rhodopsin-All-trans-Retinal
25.00Single5GLHEndothelin-15GLH-ETB-Endothelin-1
25.00Single5IU7Q274563465IU7-A2A-Q27456346-Na
25.00Single5JTBZM-2413855JTB-A2A-ZM-241385
25.00Single5K2BZM-2413855K2B-A2A-ZM-241385-Na
25.00Single6AQFZM-2413856AQF-A2A-ZM-241385
25.00Single6IGKEndothelin-36IGK-ETB-Endothelin-3
25.00Single6JODAngiotensin II6JOD-AT2-Angiotensin II
25.00Single6K1QIRL25006K1Q-ETB-IRL2500
25.00Single6MH8ZM-2413856MH8-A2A-ZM-241385
25.00Single6PB0Urocortin6PB0-CRF1-Urocortin-chim(NtGi1-Gs)/β1/γ2
25.00Single6PELCitronellol6PEL-Rhodopsin-Citronellol-Gt(CT)
25.00Single6TOSGSK10598656TOS-OX1-GSK1059865-Na
25.00Single6TPKRetosiban6TPK-OT-Retosiban
25.00Single6VI4JDTic6VI4-κ-JDTic
25.00Single6ZDRHMS1413f126ZDR-A2A-HMS1413f12-Na
25.00Single6ZDVPubChem 9840736ZDV-A2A-PubChem 984073-Na
25.00Single7BB6AVP7BB6-V2-AVP-Gs/β1/γ2
25.00Single7DW9AVP7DW9-V2-AVP-chim(NtGi1-Gs)/β1/γ2
25.00Single7M3GCa; Ca; Tryptophan; Evocalcet; Etelcalcetide; PO47M3G-CaS; CaS-Ca; Ca; Tryptophan; Evocalcet; Etelcalcetide; PO4
25.00Single7MBYCholecystokinin-87MBY-CCKA-Cholecystokinin-8-chim(NtGi1L-Gs-CtGq)/β1/γ2
25.00Single7WUIIP157WUI-ADGRG2-IP15-chim(NtGi1-Gs)/β1/γ2
25.00Single7Y27Somatostatin-147Y27-SST2-Somatostatin-14-chim(NtGi2L-Gs-CtGq)/β1/γ2
25.00Single7YK6PubChem 1383196747YK6-RXFP4-PubChem 138319674-Gi2/β1/γ2
25.00Single8GAGZ85267113508GAG-CB1-Z8526711350-Gi1/β1/γ2
25.00Single8GURCP559408GUR-CB2-CP55940-Gi1/β1/γ2
25.00Single8GUTLEI-1028GUT-CB2-LEI-102-Gi1/β1/γ2
25.00Single8K2XCXCL108K2X-CXCR3-CXCL10-Gi1/β1/γ2
25.00Single8K9LDAMGO8K9L-μ-DAMGO-BMS-986122-Gi3/β1/γ1
25.00Single8RQQZM-2413858RQQ-A2A-ZM-241385-Na
25.00Single8X8LCortistatin-148X8L-SST5-Cortistatin-14-chim(NtGi1-Gs-CtGi1)/β1/γ2
25.00Single8XJKCloprosetnol8XJK-FP-alpha-Cloprosetnol-chim(NtGi1-Gs-CtGq)/β1/γ2
25.00Single8XVJMacitentan8XVJ-ETA-Macitentan
25.00Single8XWQEndothelin-18XWQ-ETB-Endothelin-1-Gi1/β1/γ2
25.00Single8Y53MK50468Y53-BB3-MK5046-chim(NtGi1-Gs-CtGq)/β1/γ2
25.00Single8ZJETAK4488ZJE-Kiss1-TAK448-chim(NtGi1-Gq)/β1/γ1
25.00Single8ZWGJR14a8ZWG-C3aB-JR14a-Gi1/β1/γ2
25.00Single9EAILosartan9EAI-AT1-Losartan-Nanobody AT209
25.00Single9IZFLPA9IZF-LPA1-LPA-Gi1/β1/γ2
25.00Single9JH3CMF-0199JH3-Apelin; Apelin-CMF-019-Gi1/β1/γ2
25.00Single9JIDNiacin9JID-HCA3-Niacin-Gi1/β1/γ2
25.00Single9KPDSalicin9KPD-TAS2R16-Salicin-chim(Gs-CtGt3)/β1/γ2
25.00Single9KUWCMPD6449KUW-Apelin; Apelin-CMPD644-Arrestin2 ; Arrestin2
25.00Single9P1TZM-2413859P1T-A2A-ZM-241385
25.00Consensusa2_offOrthosteric Liganda2a_off
25.00Consensusa2a_offOrthosteric Ligand3RFM-A2A-Caffeine 8C9W-A2A-Etrumadenant 3UZA-A2A-GTPL9236 8GNG-A2A-Istradefylline 8CU6-A2A-LJ-4517 7PX4-A2A-PSB-2113 7PYR-A2A-PSB-2115 8DU3-A2A-PubChem 105526064 8JWY-A2A-2-118 8PWN-A2A-Theophylline 5IU4-A2A-ZM-241385-Na 5OLZ-A2A-PubChem 135566609-Na 6GT3-A2A-Imaradenant-Na 5OLV-A2A-LUAA47070-Na 5N2R-A2A-PSB36-Na 5IU7-A2A-Q27456346-Na 5OLH-A2A-Vipadenant-Na 5OLO-A2A-Tozadenant-Na 6ZDR-A2A-HMS1413f12-Na 8GNE-A2A-KW-6356-Na 8JWZ-A2A-Etrumadenant-Na 5IU8-A2A-Q27456347-Na 5IUB-A2A-Q27456344-Na 6ZDV-A2A-PubChem 984073-Na 5IUA-A2A-Q27456348-Na 8A2P-A2A-LUAA47070-Na
25.00Consensusapelin_onOrthosteric Ligand8XZH-Apelin; Apelin-MM07-Gi1/β1/γ2 7W0M-Apelin-PubChem 122701908-Gi1/β1/γ2 8XZJ-Apelin; Apelin-WN353-Gi1/β1/γ2 8XZF-Apelin; Apelin-WN561-Gi1/β1/γ2 8XZG-Apelin; Apelin-Apelin-13-Gi1/β1/γ2
25.00Consensusapelin_on_gpOrthosteric Ligand8XZH-Apelin; Apelin-MM07-Gi1/β1/γ2 7W0M-Apelin-PubChem 122701908-Gi1/β1/γ2 8XZJ-Apelin; Apelin-WN353-Gi1/β1/γ2 8XZF-Apelin; Apelin-WN561-Gi1/β1/γ2 8XZG-Apelin; Apelin-Apelin-13-Gi1/β1/γ2
25.00Consensusc3a_on_gpOrthosteric Ligand8HK2-C3aB-C3a-Gi1/β1/γ2 8IA8-C3aB-E7 peptide-Gi1/β1/γ2
25.00Consensuscck_onOrthosteric Ligandccka_on cckb_on
25.00Consensuscck_on_gpOrthosteric Ligandccka_on_gp cckb_on_gp
25.00Consensuschemerin_onOrthosteric Ligandcml1_on
25.00Consensusghrelin_offOrthosteric Ligand6KO5-Ghrelin-PubChem 57400002 7F83-Ghrelin-PF-05190457
25.00Consensusgs_vasop-oxyOrthosteric Ligand7DW9-V2-AVP-chim(NtGi1-Gs)/β1/γ2
25.00Consensusot_offOrthosteric Ligand6TPK-OT-Retosiban
25.00Consensusprotein_onOrthosteric Ligandchemokine_on chemerin_on
25.00Consensusv2_onOrthosteric Ligand7DW9-V2-AVP-chim(NtGi1-Gs)/β1/γ2
25.00Consensusv2_on_gpOrthosteric Ligand7DW9-V2-AVP-chim(NtGi1-Gs)/β1/γ2
25.00Consensusvasop-oxy_offOrthosteric Ligandot_off
25.00Consensusvasop-oxy_onOrthosteric Ligandv2_on
25.00Consensusvasop-oxy_on_gpOrthosteric Ligandv2_on_gp
24.24Single8HBDIRL16208HBD-ETB-IRL1620-Gi1/β1/γ2
24.14Single7QBIAlpha-factor mating pheromone7QBI-STE2; STE2-α-factor mating pheromone
24.14Single7Y64C5a7Y64-C5a1-C5a-Gi1/β1/γ2
24.14Single8WWMMCH8WWM-MCH1-MCH-Gi1/β1/γ2
24.14Single8XQEApelin-138XQE-Apelin; Apelin-Apelin-13-Gi1/β1/γ2
24.14Consensusgi_apelinOrthosteric Ligand8XZH-Apelin; Apelin-MM07-Gi1/β1/γ2 7W0M-Apelin-PubChem 122701908-Gi1/β1/γ2 8XZJ-Apelin; Apelin-WN353-Gi1/β1/γ2 8XZF-Apelin; Apelin-WN561-Gi1/β1/γ2 8XZG-Apelin; Apelin-Apelin-13-Gi1/β1/γ2
24.14Consensussst5_on_gpOrthosteric Ligand8X8L-SST5-Cortistatin-14-chim(NtGi1-Gs-CtGi1)/β1/γ2 8X8N-SST5-Octreotide-chim(NtGi1-Gs-CtGi1)/β1/γ2
24.00Single6XBJCholesterol6XBJ-SMO-Cholesterol-Gi1/β1/γ2
24.00Single7F2OBradykinin7F2O-BK2-Bradykinin-chim(NtGi1-Gs-CtGq)/β1/γ2
24.00Single7F8WGastrin-177F8W-CCKB-Gastrin-17-chim(NtGsL-Gq)/β1/γ2
24.00Single7RKFCX3CL17RKF-US28-CX3CL1-GDP-chim(NtGi1-G11)/β1/γ2
24.00Single7T11Octreotide7T11-SST2-Octreotide-Gi3/β1/γ2
24.00Single7YAEOctreotide7YAE-SST2-Octreotide-Gi1/β1/γ2
24.00Single8F7REndomorphin8F7R-μ-Endomorphin-Gi1/β1/γ2
24.00Single8H4IDoconexent8H4I-FFA4-Doconexent-chim(NtGi1-Gs)/β1/γ2
24.00Single9IPYJR14a9IPY-C3aB-JR14a
24.00Single9V2NMacimorelin9V2N-Ghrelin-Macimorelin-chim(NtGi1-Gs-CtGq)/β1/γ2
24.00Consensusdop_onOrthosteric Ligand8F7S-δ-Deltorphin-Gi1/β1/γ2
24.00Consensussst2_onOrthosteric Ligand7WIC-SST2-Somatostatin-14-Gi1/β1/γ2 7WIG-SST2-L-054264-Gi1/β1/γ2 7YAE-SST2-Octreotide-Gi1/β1/γ2 7YAC-SST2-Paltusotine-Gi1/β1/γ2
24.00Consensussst2_on_gpOrthosteric Ligand7WIC-SST2-Somatostatin-14-Gi1/β1/γ2 7WIG-SST2-L-054264-Gi1/β1/γ2 7YAE-SST2-Octreotide-Gi1/β1/γ2 7YAC-SST2-Paltusotine-Gi1/β1/γ2
23.81Single3EMLZM-2413853EML-A2A-ZM-241385
23.81Single4EIYZM-2413854EIY-A2A-ZM-241385-Na
23.81Single5IU8Q274563475IU8-A2A-Q27456347-Na
23.81Single5K2AZM-2413855K2A-A2A-ZM-241385-Na
23.81Single5NDDAZ8838; Na5NDD-PAR2-AZ8838; Na
23.81Single5OLGZM-2413855OLG-A2A-ZM-241385-Na
23.81Single5UIGPubChem 1240811965UIG-A2A-PubChem 124081196
23.81Single5VRAZM-2413855VRA-A2A-ZM-241385-Na
23.81Single5ZKPSR274175ZKP-PAF-SR27417
23.81Single6D27CAY104716D27-DP2-CAY10471
23.81Single6GPSMK08126GPS-CCR2-MK0812
23.81Single6S0LZM-2413856S0L-A2A-ZM-241385
23.81Single6XBM25(S)-Epoxycholesterol6XBM-SMO-25(S)-Epoxycholesterol-Gi1/β1/γ2
23.81Single6Z10PubChem 1545855546Z10-Succinate-PubChem 154585554
23.81Single7F83PF-051904577F83-Ghrelin-PF-05190457
23.81Single7PYRPSB-21157PYR-A2A-PSB-2115
23.81Single7YXAONO-54306087YXA-S1P5-ONO-5430608
23.81Single8RW7StilSwitch18RW7-A2A-StilSwitch1-Na
23.81Single8YH5Riboprine8YH5-A3A-Riboprine-Gi1/β1/γ2
23.81Single8ZBEOctreotide8ZBE-SST5-Octreotide-Gi1/β1/γ1
23.81Single9H37PubChem 1756706469H37-A2A-PubChem 175670646-Na
23.81Single9P1SZM-2413859P1S-A2A-ZM-241385
23.81Consensusccr2_offOrthosteric Ligand6GPS-CCR2-MK0812
23.81Consensuslipid_offOrthosteric Ligandcannabinoid_off paf_off lpl_off prostanoid_off leukotriene_off
23.53Single6OY9All-trans-Retinal6OY9-Rhodopsin-All-trans-Retinal-Gt/β1/γ1
23.53Single7MTBAll-trans-Retinal7MTB-Rhodopsin-All-trans-Retinal-GRK1
23.53Single8XOFLys058XOF-GPR30-Lys05-chim(NtGi1-Gs-CtGq)/β1/γ2
23.53Single8Y02All-trans-Retinal8Y02-OPN1SW-All-trans-Retinal-Gi1/β1/γ2
23.53Single9C2FCa; Ca; Tryptophan; '54149; PO49C2F-CaS; CaS-Ca-Ca; Ca; Tryptophan; '54149; PO4
23.53Consensuscrf_on_gpOrthosteric Ligandcrf2_on_gp crf1_on_gp
23.53Consensusgs_peptideOrthosteric Ligandgs_cck gs_melanocortin gs_vasop-oxy
23.33Single7F8VGastrin-177F8V-CCKB-Gastrin-17-Gi2/β1/γ2
23.33Single7QBIAlpha-factor mating pheromone7QBI-STE2; STE2-α-factor mating pheromone
23.33Single8XVEBQ30208XVE-ETB-BQ3020-chim(Gs-CtGq)/β1/γ2
23.33Single9BLWCagrilintide (non-acylated)9BLW-CT (AMY1)-Cagrilintide (non-acylated)-Gs/β1/γ2; RAMP1
23.33Single9KFKRelaxin-39KFK-RXFP4-Relaxin-3-Gi2/β1/γ2
23.33Consensusgi_compl-peptOrthosteric Ligand8HK5-C5a1-C5a-Gi1/β1/γ2 8IA8-C3aB-E7 peptide-Gi1/β1/γ2 7Y66-C5a1-BM213-Gi1/β1/γ2 7Y67-C5a1-C089 peptide-Gi1/β1/γ2 8HK2-C3aB-C3a-Gi1/β1/γ2 7Y64-C5a1-C5a-Gi1/β1/γ2
23.33Consensusgi_proteinOrthosteric Ligandgi_chemokine gi_chemerin
23.33Consensusprotein_on_gpOrthosteric Ligandchemokine_on_gp chemerin_on_gp
23.08Single4XT1CX3CL14XT1-US28-CX3CL1
23.08Single7QA8Antagonist Peptide7QA8-STE2; STE2-Antagonist Peptide
23.08Single7QA8Antagonist Peptide7QA8-STE2; STE2-Antagonist Peptide
23.08Single7WICSomatostatin-147WIC-SST2-Somatostatin-14-Gi1/β1/γ2
23.08Single8F7XNociceptin8F7X-NOP-Nociceptin-Gi1/β1/γ2
23.08Single8K3ZCXCL128K3Z-CXCR4-CXCL12-Gi1/β1/γ1
23.08Single8ZBJSomatostatin-148ZBJ-SST5-Somatostatin-14-Gi1/β1/γ2
23.08Single9KWGC5a9KWG-C5a1-C5a-Go/β1/γ2
23.08Consensuscxcr4_onOrthosteric Ligand8K3Z-CXCR4-CXCL12-Gi1/β1/γ1
23.08Consensusp2y_onOrthosteric Ligandp2y1_on p2y10_on p2y12_on
23.08Consensussst5_onOrthosteric Ligand8X8L-SST5-Cortistatin-14-chim(NtGi1-Gs-CtGi1)/β1/γ2 8X8N-SST5-Octreotide-chim(NtGi1-Gs-CtGi1)/β1/γ2
22.86Consensusclass-a_class-b1_cons_on_gpOrthosteric Ligandclass-a_on_gp class-b1_on_gp
22.73Single5IUAQ274563485IUA-A2A-Q27456348-Na
22.73Single5N2RPSB365N2R-A2A-PSB36-Na
22.73Single5N2SPSB365N2S-A1-PSB36
22.73Single6GPXMK08126GPX-CCR2-MK0812
22.73Single6LPLZM-2413856LPL-A2A-ZM-241385-Na
22.73Single6S0QZM-2413856S0Q-A2A-ZM-241385
22.73Single6WQAZM-2413856WQA-A2A-ZM-241385-Na
22.73Single7CFNINT-7777CFN-GPBA-INT-777-Gs/β1/γ2
22.73Single7E9GJNJ-404118137E9G-mGlu2; mGlu2-Eglumetad-JNJ-40411813-Gi1/β1/γ2
22.73Single7M3GCa; Ca; Tryptophan; Evocalcet; Etelcalcetide; PO47M3G-CaS; CaS-Ca; Ca; Tryptophan; Evocalcet; Etelcalcetide; PO4
22.73Single7RM5ZM-2413857RM5-A2A-ZM-241385-Na
22.73Single8EJCTAK-8758EJC-FFA1-TAK-875-chim(NtGi1L-Gs-CtGq)/β1/γ2
22.73Single8FYNZM-2413858FYN-A2A-ZM-241385-Na
22.73Single8GDCPGE28GDC-EP3-PGE2-Gi1/β1/γ2
22.73Single8GNEKW-63568GNE-A2A-KW-6356-Na
22.73Single8ID4Linoleic acid8ID4-FFA4-Linoleic acid-Gi1/β1/γ2
22.73Single8KFXLMD-0098KFX-CCR8-LMD-009-Gi1/β1/γ2
22.73Single8QOTNanobody-E8QOT-μ-Nanobody-E
22.73Single8S4DCMF-0198S4D-Apelin-CMF-019
22.73Single8TF5Oleic acid8TF5-GPR6-Oleic acid
22.73Single8TH4Losartan8TH4-AT1-Losartan-AT118-L Nanobody
22.73Single8WGBVU01550418WGB-mGlu4; mGlu2-Glutamate-VU0155041-Gi3/β1/γ2
22.73Single8X0BVU04244658X0B-mGlu5; mGlu5-Quisqualate-VU0424465
22.73Single9EAHOlmesartan9EAH-AT1-Olmesartan-Nanobody AT209
22.73Single9EHSLUF76029EHS-A3A-LUF7602
22.73Single9GE2ML1849GE2-GPR55-ML184-chim(NtGi1-G13)/β1/γ2
22.73Single9HC04YI9HC0-mGlu5-4YI
22.73Single9JKSPubChem 442501769JKS-HCA3-PubChem 44250176-Gi1/β1/γ2
22.73Single9KPFSalicin9KPF-TAS2R16-Salicin-Gi1/β1/γ2
22.73Single9KUTJR14a9KUT-C3aB-JR14a-Go/β1/γ2
22.73Consensusa1_offOrthosteric Ligand5UEN-A1-DU172 5N2S-A1-PSB36
22.73Consensuscb2_onOrthosteric Ligand8GUR-CB2-CP55940-Gi1/β1/γ2 8GUS-CB2-HU-308-Gi1/β1/γ2 8GUT-CB2-LEI-102-Gi1/β1/γ2 6KPF-CB2-AM12033-Gi1/β1/γ2 6PT0-CB2-WIN 55212-2-Gi1/β1/γ2 8GUQ-CB2-Olorinab-Gi1/β1/γ2
22.73Consensuscb2_on_gpOrthosteric Ligand8GUR-CB2-CP55940-Gi1/β1/γ2 8GUS-CB2-HU-308-Gi1/β1/γ2 8GUT-CB2-LEI-102-Gi1/β1/γ2 6KPF-CB2-AM12033-Gi1/β1/γ2 6PT0-CB2-WIN 55212-2-Gi1/β1/γ2 8GUQ-CB2-Olorinab-Gi1/β1/γ2
22.73Consensusrxfp4_onOrthosteric Ligand7YK7-RXFP4-DC591053-Gi2/β1/γ2 7YJ4-RXFP4-INSL5-Gi2/β1/γ2 7YK6-RXFP4-PubChem 138319674-Gi2/β1/γ2
22.73Consensusrxfp4_on_gpOrthosteric Ligand7YK7-RXFP4-DC591053-Gi2/β1/γ2 7YJ4-RXFP4-INSL5-Gi2/β1/γ2 7YK6-RXFP4-PubChem 138319674-Gi2/β1/γ2
22.73Consensuss1p5_offOrthosteric Ligand7YXA-S1P5-ONO-5430608
22.58Single6B3JExendin-P56B3J-GLP-1-Exendin-P5-Gs/β1/γ2
22.58Single7QBCAlpha-factor mating pheromone7QBC-STE2; STE2-α-factor mating pheromone
22.58Single7TYFAmylin7TYF-CT (AMY1)-Amylin-Gs/β1/γ2; RAMP1
22.58Single8XWPEndothelin-18XWP-ETB-Endothelin-1-Gi1/β1/γ2
22.58Single8ZJGChemerin8ZJG-CML1-Chemerin-Gi1/β1/γ2
22.58Consensuscrf_onOrthosteric Ligandcrf2_on crf1_on
22.22Single3OE6IT1t3OE6-CXCR4-IT1t
22.22Single5XJM(Sar1,Ile8)-Angiotensin II5XJM-AT2-(Sar1,Ile8)-Angiotensin II
22.22Single6ME5Agomelatine6ME5-MT1-Agomelatine
22.22Single7EZKCholecystokinin-87EZK-CCKA-Cholecystokinin-8-chim(NtGi1-Gs)/β1/γ2
22.22Single7MT8All-trans-Retinal7MT8-Rhodopsin-All-trans-Retinal-GRK1
22.22Single7MT9All-trans-Retinal7MT9-Rhodopsin-All-trans-Retinal-GRK1
22.22Single7MTAAll-trans-Retinal7MTA-Rhodopsin-All-trans-Retinal-GRK1
22.22Single7W0NElabela7W0N-Apelin; Apelin-Elabela-Gi1/β1/γ2
22.22Single8F7WDynorphin8F7W-κ-Dynorphin-Gi1/β1/γ2
22.22Single9IQSMuscarinic toxin 39IQS-M4-Muscarinic toxin 3
22.22Single9IQVMuscarinic toxin 39IQV-Alpha1A-Muscarinic toxin 3
22.22Single9IV15alpha-DHT9IV1-ADGRD1-5α-DHT-chim(NtGi1-Gs)/β1/γ2
22.22Single9JKT(2R)-2-hydroxy-3-phenylpropanoic acid9JKT-HCA3-(2R)-2-hydroxy-3-phenylpropanoic acid-Gi1/β1/γ2
22.22Single9KT93,5-DHBA9KT9-HCA1-3,5-DHBA-Gi1/β1/γ2
22.22Single9L60Dynorphin9L60-κ-Dynorphin-MPAM-15-Gi1/β1/γ2
22.22Consensusccr8_on_gpOrthosteric Ligand8KFX-CCR8-LMD-009-Gi1/β1/γ2 8KFY-CCR8-ZK-756326-Gi1/β1/γ2 8U1U-CCR8-CCL1-Gi1/β1/γ2
22.22Consensuscompl-peptide_onOrthosteric Ligandc5a1_on c3a_on
22.22Consensusgi_cckOrthosteric Ligand7EZH-CCKA-Cholecystokinin-8-Gi1/β1/γ2 7F8V-CCKB-Gastrin-17-Gi2/β1/γ2
21.88Single6PB1Urocortin6PB1-CRF2-Urocortin-chim(NtGi1-Gs)/β1/γ2
21.88Single6UUSAdrenomedullin6UUS-CT Like (AM2)-Adrenomedullin-Gs/β1/γ2; RAMP3
21.88Single7QBCAlpha-factor mating pheromone7QBC-STE2; STE2-α-factor mating pheromone
21.88Single7TS0Urocortin7TS0-CRF2-Urocortin-chim(NtGi1L-Go)/β1/γ2
21.88Single8F0KPramlintide Analogue San3858F0K-CT (AMY3)-Pramlintide Analogue San385-Gs/β1/γ2; RAMP3
21.88Consensusbk2_onOrthosteric Ligand7F6H-BK2-Bradykinin-Gq/β1/γ2 7F6I-BK2-Kallidin-Gq/β1/γ2
21.88Consensusbk2_on_gpOrthosteric Ligand7F6H-BK2-Bradykinin-Gq/β1/γ2 7F6I-BK2-Kallidin-Gq/β1/γ2
21.88Consensusbradykinin_onOrthosteric Ligandbk2_on
21.88Consensusbradykinin_on_gpOrthosteric Ligandbk2_on_gp
21.88Consensusgq_bradykininOrthosteric Ligand7F6H-BK2-Bradykinin-Gq/β1/γ2 7F6I-BK2-Kallidin-Gq/β1/γ2
21.74Single4OO9Mavoglurant4OO9-mGlu5-Mavoglurant
21.74Single5TZRMK86665TZR-FFA1-MK8666
21.74Single5XR8AM120335XR8-CB1-AM12033
21.74Single6O3CCholesterol6O3C-SMO-SAG21k-Cholesterol
21.74Single7P2L4YI7P2L-mGlu5-4YI
21.74Single7TD1LPA7TD1-LPA1-LPA-Gi1/β1/γ2
21.74Single7TUYGSK682753A7TUY-GPR183-GSK682753A
21.74Single7XTQR3997XTQ-GPBA-R399-Gs/β1/γ2
21.74Single8I2GPubChem 675302408I2G-FSH-FSH-PubChem 67530240-Gs/β1/γ2
21.74Single8I9LC3a8I9L-C3aB-C3a-Go/β1/γ2
21.74Single8JD5JNJ-40411813; ADX881788JD5-mGlu2; mGlu4-Glutamate-JNJ-40411813; ADX88178-Gi1/β1/γ2
21.74Single8TAOCDPPB8TAO-mGlu5; mGlu5-Quisqualate-CDPPB
21.74Single8YNTSNAP-948478YNT-MCH1-SNAP-94847
21.74Single9ASTLymphotactin9AST-XCR1-Lymphotactin-Gi1/β1/γ2
21.74Single9B65MDMB-Fubinaca9B65-CB1-MDMB-Fubinaca-Gi1/β1/γ2
21.74Single9EGOZ85267113509EGO-CB1-Z8526711350-Gi1/β1/γ2
21.74Single9KUXCMPD6449KUX-Apelin; Apelin-CMPD644-Arrestin2
21.74Single9RHGC4079RHG-FZD7-C407
21.74Consensusgi_cannabinoidOrthosteric Ligand8GUR-CB2-CP55940-Gi1/β1/γ2 8GUS-CB2-HU-308-Gi1/β1/γ2 8GUT-CB2-LEI-102-Gi1/β1/γ2 8GUQ-CB2-Olorinab-Gi1/β1/γ2 6KPF-CB2-AM12033-Gi1/β1/γ2 6PT0-CB2-WIN 55212-2-Gi1/β1/γ2 6KPG-CB1-AM841-Gi1/β1/γ2
21.74Consensusgi_relaxinOrthosteric Ligand7YK7-RXFP4-DC591053-Gi2/β1/γ2 7YJ4-RXFP4-INSL5-Gi2/β1/γ2 7YK6-RXFP4-PubChem 138319674-Gi2/β1/γ2
21.74Consensusprotein_offOrthosteric Ligandchemokine_off grh_off
21.74Consensusrelaxin_onOrthosteric Ligandrxfp4_on
21.74Consensusrelaxin_on_gpOrthosteric Ligandrxfp4_on_gp
21.43Single3OE0CVX153OE0-CXCR4-CVX15
21.43Single6UUNAdrenomedullin6UUN-CT Like (AM1)-Adrenomedullin-Gs/β1/γ2; RAMP2
21.43Single7MBXCholecystokinin-87MBX-CCKA-Cholecystokinin-8-Gs/β1/γ1
21.43Single9K27PrRP319K27-PrRP-PrRP31-chim(NtGi1-Gq)/β1/γ2
21.43Single9LXRLA-PTH Analog9LXR-PTH1-LA-PTH Analog-Arrestin2
21.43Single9M1ONeuropeptide-FF9M1O-NPFF2-Neuropeptide-FF-Gi1/β1/γ2
21.43Consensuscompl-peptide_on_gpOrthosteric Ligandc5a1_on_gp c3a_on_gp
21.43Consensuscxcr4_on_gpOrthosteric Ligand8K3Z-CXCR4-CXCL12-Gi1/β1/γ1
21.21Consensusccr5_on_gpOrthosteric Ligand7O7F-CCR5-6P4-CCL5-Gi1/β1/γ1 7F1Q-CCR5-CCL3-Gi1/β1/γ2
21.21Consensusclass-a_class-b1_cons_onOrthosteric Ligandclass-a_on class-b1_on
21.21Consensusgi_endothelinOrthosteric Ligand8IY5-ETB-Endothelin-1-Gi1/β1/γ2 8HBD-ETB-IRL1620-Gi1/β1/γ2
21.05Single6HLLCP999946HLL-NK1-CP99994
21.05Single6PGSGeraniol6PGS-Rhodopsin-Geraniol-Gt(CT)
21.05Single6QNOAll-trans-Retinal6QNO-Rhodopsin-All-trans-Retinal-Gi1/β1/γ1
21.05Single6TQ4PubChem 160468446TQ4-OX1-PubChem 16046844-Na
21.05Single7D76Beclomethasone7D76-ADGRG3-Beclomethasone-Go/β1/γ2
21.05Single7XP6Strychnine7XP6-TAS2R46-Strychnine-chim(Gs-CtGt3)/β1/γ2
21.05Single8IHIAcifran8IHI-HCA2-Acifran-Gi1/β1/γ2
21.05Single8JILNiacin8JIL-HCA2-Niacin-Gi1/β1/γ2
21.05Single8SZFCa; Ca; Tryptophan; Cinacalcet; PO4; Spermine8SZF-CaS; CaS-Ca; Ca; Tryptophan; Cinacalcet; PO4; Spermine
21.05Single8X2KOleic monoethanolamide8X2K-GPR3-Oleic monoethanolamide-chim(NtGi1-Gs)/β1/γ2
21.05Single9KUWCMPD6449KUW-Apelin; Apelin-CMPD644-Arrestin2 ; Arrestin2
21.05Single9M88Oleic monoethanolamide9M88-GPR3 ; GPR3-Oleic monoethanolamide-AF64394
21.05Single9YDAAll-trans-Retinal9YDA-Opsin1MW-All-trans-Retinal-chim(NtGi1L-Gs-CtGt)/β1/γ2
20.83Single4N4WSANT-14N4W-SMO-SANT-1
20.83Single5TZYMK8666; AP85TZY-FFA1-MK8666; AP8
20.83Single5X33BIIL2605X33-BLT1-BIIL260
20.83Single6C1RPMX536C1R-C5a1-PMX53-Avacopan; Na
20.83Single8IQ6Latanoprost8IQ6-FP-alpha-Latanoprost-chim(NtGi1-Gs-CtGq)/β1/γ2
20.83Single8X8NOctreotide8X8N-SST5-Octreotide-chim(NtGi1-Gs-CtGi1)/β1/γ2
20.83Single8XJNCloprosetnol8XJN-TXA2-Cloprosetnol-chim(NtGi1-Gs-CtGq)/β1/γ2
20.83Single9BJKPubChem 1716420669BJK-μ-Naloxone-PubChem 171642066
20.83Single9IZHLPA9IZH-LPA1-LPA-chim(NtGi2-G13)/β1/γ2
20.83Single9KZKC3a (fragment)9KZK-C3aB-C3a (fragment)-Go/β1/γ2
20.83Single9L3WChemerin9L3W-CML1-Chemerin-Gi1/β1/γ2
20.83Single9W32SSTR5 antagonist 19W32-SST5-SSTR5 antagonist 1
20.83Single9WXMGPR15L(CT)9WXM-GPR15-GPR15L(CT)-Gi3/β1/γ2
20.83Consensuscannabinoid_onOrthosteric Ligandcb2_on cb1_on
20.83Consensuscannabinoid_on_gpOrthosteric Ligandcb2_on_gp cb1_on_gp
20.83Consensusccr8_onOrthosteric Ligand8KFX-CCR8-LMD-009-Gi1/β1/γ2 8KFY-CCR8-ZK-756326-Gi1/β1/γ2 8U1U-CCR8-CCL1-Gi1/β1/γ2
20.83Consensusgi_lipidOrthosteric Ligandgi_cannabinoid gi_ffa gi_leukotriene gi_lpa gi_s1p
20.69Single7AD3Alpha-factor mating pheromone7AD3-STE2; STE2-α-factor mating pheromone-Gi1/STE4/γ2
20.69Single7KH0AVP7KH0-V2-AVP-chim(NtGi1-Gs)/β1/γ2
20.69Single7T10Somatostatin-147T10-SST2-Somatostatin-14-Gi3/β1/γ2
20.69Single8IEDPubChem 1347468948IED-GPR156; GPR156-PubChem 134746894-Go/β1/γ2
20.69Single9BLCCagrilintide (non-acylated)9BLC-CT-Cagrilintide (non-acylated)-Gs/β1/γ2
20.69Single9BUDCagrilintide9BUD-CT-Cagrilintide-Gs/β1/γ2
20.69Consensusc5a1_on_gpOrthosteric Ligand8HK5-C5a1-C5a-Gi1/β1/γ2 7Y66-C5a1-BM213-Gi1/β1/γ2 7Y67-C5a1-C089 peptide-Gi1/β1/γ2 7Y64-C5a1-C5a-Gi1/β1/γ2
20.69Consensusp2y_on_gpOrthosteric Ligandp2y1_on_gp p2y10_on_gp p2y12_on_gp
20.59Single7TZFAmylin7TZF-CT (AMY3)-Amylin-Gs/β1/γ2; RAMP3
20.59Single8FLULA-PTH Analog8FLU-PTH1-LA-PTH Analog-Gs/β1/γ2
20.59Consensusetb_on_gpOrthosteric Ligand8IY5-ETB-Endothelin-1-Gi1/β1/γ2 8HBD-ETB-IRL1620-Gi1/β1/γ2
20.00Single3ODUIT1t3ODU-CXCR4-IT1t
20.00Single3VG9ZM-2413853VG9-A2A-ZM-241385-Antibody
20.00Single5K2DZM-2413855K2D-A2A-ZM-241385-Na
20.00Single5OLHVipadenant5OLH-A2A-Vipadenant-Na
20.00Single5OLOTozadenant5OLO-A2A-Tozadenant-Na
20.00Single6JZHZM-2413856JZH-A2A-ZM-241385-Na
20.00Single6PS7ZM-2413856PS7-A2A-ZM-241385-Na
20.00Single7EZHCholecystokinin-87EZH-CCKA-Cholecystokinin-8-Gi1/β1/γ2
20.00Single7EZMCholecystokinin-87EZM-CCKA-Cholecystokinin-8-chim(NtGsL-Gq)/β1/γ2
20.00Single7F6HBradykinin7F6H-BK2-Bradykinin-Gq/β1/γ2
20.00Single7F6IKallidin7F6I-BK2-Kallidin-Gq/β1/γ2
20.00Single7F8ULintitript7F8U-CCKA-Lintitript
20.00Single7F9YGhrelin7F9Y-Ghrelin-Ghrelin-chim(NtGi1-Gs-CtGq)/β1/γ2
20.00Single7P00Substance-P7P00-NK1-Substance-P-chim(NtGi1-Gs-CtGq)/β1/γ2
20.00Single7TUZ7-alpha,25-dihydroxycholesterol7TUZ-GPR183-7-α,25-dihydroxycholesterol-Gi1/β1/γ2
20.00Single7X8RBOC57X8R-GLP-1-BOC5-Gs/β1/γ2
20.00Single7X9CPancreatic Hormone7X9C-Y4-Pancreatic Hormone-Gi1/β1/γ2
20.00Single7XRRLemborexant7XRR-OX2-Lemborexant
20.00Single7XV3Lysophosphatidylserine (WJS)7XV3-GPR174-Lysophosphatidylserine (WJS)-chim(NtGi1-Gs)/β1/γ2
20.00Single7YU8ONO-07405567YU8-LPA1-ONO-0740556-Gi1/β1/γ2
20.00Single8E3ZVIP8E3Z-VPAC1-VIP-Gs/β1/γ2
20.00Single8HCXEndothelin-18HCX-ETB-Endothelin-1-chim(NtGi2L-Gs-CtGq)/β1/γ2
20.00Single8HK5C5a8HK5-C5a1-C5a-Gi1/β1/γ2
20.00Single8HN1Toxin AdTx18HN1-Alpha1A-Toxin AdTx1
20.00Single8HNKCXCL118HNK-CXCR3-CXCL11-Gi1/β1/γ2
20.00Single8IA2C5a8IA2-C5a1-C5a-Go/β1/γ2
20.00Single8IYSTUG-8918IYS-FFA4-TUG-891-GDP-chim(NtGi1L-Gq)/β1/γ2
20.00Single8RW0Istradefylline8RW0-A2A-Istradefylline-Na
20.00Single8RW4AzoSwitch28RW4-A2A-AzoSwitch2-Na
20.00Single8RWEStilSwitch48RWE-A2A-StilSwitch4-Na
20.00Single8XJOU466198XJO-TXA2-U46619-chim(NtGi1-Gs-CtGq)/β1/γ2
20.00Single8ZRTEndothelin-18ZRT-ETB-Endothelin-1
20.00Single9E2AGLP-19E2A-GLP-1-GLP-1-Gs/β1/γ2
20.00Single9FUPIstradefylline9FUP-A2A-Istradefylline-Na
20.00Single9GG5U466199GG5-TXA2-U46619-chim(NtGi2L-Gs-CtGq)/β1/γ2
20.00Single9K6LSalicin9K6L-TAS2R16-Salicin-Gi2/β1/γ2
20.00Single9LKDPL459LKD-OR5V1-PL45
20.00Single9UYMChemerin-99UYM-CML2-Chemerin-9-chim(Arrestin3-CtArrestin2)
20.00Consensuscb1_on_gpOrthosteric Ligand6KPG-CB1-AM841-Gi1/β1/γ2 8K8J-CB1-Fenofibrate-chim(Gs-CtGq)/β1/γ2
20.00Consensusccka_onOrthosteric Ligand7EZH-CCKA-Cholecystokinin-8-Gi1/β1/γ2
20.00Consensusccka_on_gpOrthosteric Ligand7EZH-CCKA-Cholecystokinin-8-Gi1/β1/γ2
20.00Consensuschemokine_offOrthosteric Ligandccr_off cxcr_off
20.00Consensuschemokine_on_gpOrthosteric Ligandccr_on_gp cxcr_on_gp
20.00Consensuscxcr_offOrthosteric Ligandcxcr3_off cxcr4_off
20.00Consensusfp-alpha_onOrthosteric Ligand8IUK-FP-alpha-PGF2-α-chim(NtGi1-Gs-CtGq)/β1/γ2 8IUL-FP-alpha-Latanoprost-chim(NtGi1-Gs-CtGq)/β1/γ2 8IUM-FP-alpha-Tafluprost acid-chim(NtGi1-Gs-CtGq)/β1/γ2
20.00Consensusfp-alpha_on_gpOrthosteric Ligand8IUK-FP-alpha-PGF2-α-chim(NtGi1-Gs-CtGq)/β1/γ2 8IUL-FP-alpha-Latanoprost-chim(NtGi1-Gs-CtGq)/β1/γ2 8IUM-FP-alpha-Tafluprost acid-chim(NtGi1-Gs-CtGq)/β1/γ2
20.00Consensusgi_chemokineOrthosteric Ligand6WWZ-CCR6-CCL20-Go/β1/γ2 8HNK-CXCR3-CXCL11-Gi1/β1/γ2 8K3Z-CXCR4-CXCL12-Gi1/β1/γ1 8IC0-CXCR1-CXCL8-Gi1/β1/γ2 6LFM-CXCR2-CXCL8-Gi1/β1/γ2 8KFX-CCR8-LMD-009-Gi1/β1/γ2 7F1Q-CCR5-CCL3-Gi1/β1/γ2 8HNL-CXCR3-PS372424-Gi1/β1/γ2 8KFY-CCR8-ZK-756326-Gi1/β1/γ2 7O7F-CCR5-6P4-CCL5-Gi1/β1/γ1 8U1U-CCR8-CCL1-Gi1/β1/γ2 7VLA-CCR1-CCL15(27-92)-Gi1/β1/γ2 7XA3-CCR2-CCL2-Gi1/β1/γ2
20.00Consensusmc1_onOrthosteric Ligand7F4H-MC1-Afamelanotide-chim(NtGi1-Gs)/β1/γ2 7F4D-MC1-α-MSH-chim(NtGi1-Gs)/β1/γ2 7F4I-MC1-SHU9119-chim(NtGi1-Gs)/β1/γ2
20.00Consensusmc1_on_gpOrthosteric Ligand7F4H-MC1-Afamelanotide-chim(NtGi1-Gs)/β1/γ2 7F4D-MC1-α-MSH-chim(NtGi1-Gs)/β1/γ2 7F4I-MC1-SHU9119-chim(NtGi1-Gs)/β1/γ2
20.00Consensusnk1_onOrthosteric Ligand7P00-NK1-Substance-P-chim(NtGi1-Gs-CtGq)/β1/γ2
20.00Consensusnk1_on_gpOrthosteric Ligand7P00-NK1-Substance-P-chim(NtGi1-Gs-CtGq)/β1/γ2
20.00Consensusprostanoid_onOrthosteric Ligandtp_on fp-alpha_on
20.00Consensusprostanoid_on_gpOrthosteric Ligandtp_on_gp fp-alpha_on_gp
20.00Consensustp_onOrthosteric Ligand8XJO-TXA2-U46619-chim(NtGi1-Gs-CtGq)/β1/γ2
20.00Consensustp_on_gpOrthosteric Ligand8XJO-TXA2-U46619-chim(NtGi1-Gs-CtGq)/β1/γ2
20.00Consensusvpac1_onOrthosteric Ligand8E3Z-VPAC1-VIP-Gs/β1/γ2
19.44Single7X9ANeuropeptide-Y7X9A-Y1-Neuropeptide-Y-Gi1/β1/γ2
19.44Single7Y36PTH7Y36-PTH1-PTH-Gs/β1/γ2
19.44Single8FLQPTH8FLQ-PTH1-PTH-Gs/β1/γ2
19.35Single4XT3CX3CL14XT3-US28-CX3CL1
19.35Single6FJ3PTH6FJ3-PTH1-PTH
19.35Single6NBFLA-PTH Analog6NBF-PTH1-LA-PTH Analog-Gs/β1/γ2
19.35Single7W3ZGastrin Releasing Peptide7W3Z-BB2-Gastrin Releasing Peptide-chim(NtGi1L-Gq)/β1/γ2
19.35Single8XQFApelin-138XQF-Apelin-Apelin-13-Gi1/β1/γ2
19.35Single9BLBCagrilintide (non-acylated)9BLB-CT-Cagrilintide (non-acylated)-Gs/β1/γ2
19.35Single9BP3Cagrilintide9BP3-CT (AMY1)-Cagrilintide-Gs/β1/γ2; RAMP1
19.35Consensusccr_offOrthosteric Ligandccr2_off ccr5_off
19.35Consensusnpy4_onOrthosteric Ligand7X9C-Y4-Pancreatic Hormone-Gi1/β1/γ2
19.35Consensusnpy4_on_gpOrthosteric Ligand7X9C-Y4-Pancreatic Hormone-Gi1/β1/γ2
19.35Consensusvpac1_on_gpOrthosteric Ligand8E3Z-VPAC1-VIP-Gs/β1/γ2
19.23Single6C1QPMX536C1Q-C5a1-PMX53-NDT9513727
19.23Single7F9ZGHRP-67F9Z-Ghrelin-GHRP-6-chim(NtGi1-Gs-CtGq)/β1/γ2
19.23Single7RMGSubstance-P7RMG-NK1-Substance-P-chim(Gs-CtGq)/β1/γ2
19.23Single7RMHSubstance-P7RMH-NK1-Substance-P-Gs/β1/γ2
19.23Single7XBXCX3CL17XBX-CX3CR1-CX3CL1-Gi1/β1/γ2
19.23Single7Y1FDynorphin7Y1F-κ-Dynorphin-Gi1/β1/γ2
19.23Single7YJ4INSL57YJ4-RXFP4-INSL5-Gi2/β1/γ2
19.23Single8IUMTafluprost acid8IUM-FP-alpha-Tafluprost acid-chim(NtGi1-Gs-CtGq)/β1/γ2
19.23Single8JBFSenktide8JBF-NK3-Senktide-chim(NtGi1-Gs-CtGq)/β1/γ2
19.23Single8QJ2pN1628QJ2-MC4-pN162-Gs/β1/γ2
19.23Single8X3LXWD8X3L-CB2-XWD-Gi1/β1/γ2
19.23Single8XZFWN5618XZF-Apelin; Apelin-WN561-Gi1/β1/γ2
19.23Single9KX6C5a-des-Arg9KX6-C5a1-C5a-des-Arg-Go/β1/γ2
19.23Single9KZ8EP679KZ8-C3aB-EP67-Go/β1/γ2
19.23Single9WSXEndomorphin9WSX-μ-Endomorphin-Arrestin2
19.23Consensuscxcr4_offOrthosteric Ligand4RWS-CXCR4-vMIP-II 3OE0-CXCR4-CVX15 3OE6-CXCR4-IT1t
19.23Consensuscxcr_on_gpOrthosteric Ligandcxcr3_on_gp cxcr4_on_gp cxcr1_on_gp cxcr2_on_gp
19.23Consensusgq_cckOrthosteric Ligand8IA7-CCKB-Cholecystokinin-8-chim(NtGi1L-Gq)/β1/γ2 7XOW-CCKB-Sulfated Gastrin-(10-17)-chim(NtGi1-Gq)/β1/γ2 7EZM-CCKA-Cholecystokinin-8-chim(NtGsL-Gq)/β1/γ2 7F8W-CCKB-Gastrin-17-chim(NtGsL-Gq)/β1/γ2
19.23Consensuskiss1_onOrthosteric Ligand8ZJD-Kiss1-Kisspeptin-1-chim(NtGi1-Gq)/β1/γ1
19.23Consensuskisspeptin_onOrthosteric Ligandkiss1_on
19.05Single3REYPubChem 56973REY-A2A-PubChem 5697
19.05Single5IU4ZM-2413855IU4-A2A-ZM-241385-Na
19.05Single5IUBQ274563445IUB-A2A-Q27456344-Na
19.05Single5K2CZM-2413855K2C-A2A-ZM-241385-Na
19.05Single5NLXZM-2413855NLX-A2A-ZM-241385-Na
19.05Single5NM4ZM-2413855NM4-A2A-ZM-241385-Na
19.05Single5UVIZM-2413855UVI-A2A-ZM-241385
19.05Single6FFIMPEP6FFI-mGlu5-MPEP
19.05Single6FKAPubChem 1324730376FKA-Rhodopsin-PubChem 132473037
19.05Single7AROLUF58337ARO-A2A-LUF5833-Na
19.05Single7XXH2MeSADP7XXH-P2Y1-2MeSADP-chim(NtGi1-G11)/β1/γ2
19.05Single8GUQOlorinab8GUQ-CB2-Olorinab-Gi1/β1/γ2
19.05Single8RWCStilSwitch28RWC-A2A-StilSwitch2-Na
19.05Single8RWDStilSwitch38RWD-A2A-StilSwitch3-Na
19.05Single8RWIStilSwitch28RWI-A2A-StilSwitch2-Na
19.05Single8Y62C16:0 Ceramide8Y62-FPR2-ALX-C16:0 Ceramide-Gi1/β1/γ2
19.05Single8Y6YGLPG09748Y6Y-FFA2-GLPG0974
19.05Single8ZPMAMD0708ZPM-CXCR4-AMD070
19.05Single9JMDAzithromycin9JMD-Motilin-Azithromycin-chim(Gs-CtGq)/β1/γ2
19.05Single9LKBPL459LKB-OR5V1-PL45-chim(NtGi1-Gs)/β1
19.05Single9M2FNeuropeptide-FF9M2F-NPFF1-Neuropeptide-FF-Gi1/β1/γ2
19.05Consensusp2y1_on_gpOrthosteric Ligand7XXH-P2Y1-2MeSADP-chim(NtGi1-G11)/β1/γ2
18.92Consensuspth_onOrthosteric Ligandpth1_on pth2_on
18.75Single4A4MAll-trans-Retinal4A4M-Rhodopsin-All-trans-Retinal-Gt(CT)
18.75Single5EN0All-trans-Retinal5EN0-Rhodopsin-All-trans-Retinal-Gt(CT)
18.75Single5MZPCaffeine5MZP-A2A-Caffeine-Na
18.75Single6UVAAdrenomedullin-26UVA-CT Like (AM2)-Adrenomedullin-2-Gs/β1/γ2; RAMP3
18.75Single7AD3Alpha-factor mating pheromone7AD3-STE2; STE2-α-factor mating pheromone-Gi1/STE4/γ2
18.75Single7F4FAfamelanotide7F4F-MC1-Afamelanotide-chim(NtGi1-Gs)/β1/γ2
18.75Single7TYNCalcitonin-17TYN-CT-Calcitonin-1-Gs/β1/γ2
18.75Single7YOONeuropeptide-Y7YOO-Y2-Neuropeptide-Y-Gi1/β1/γ2
18.75Single8WCBCyclohexylammonium Ion8WCB-TA1-Cyclohexylammonium Ion-chim(NtGi1-Gs-CtGq)/β1/γ2
18.75Single8WCCCyclohexylammonium Ion8WCC-TA1-Cyclohexylammonium Ion
18.75Consensusnpy2_onOrthosteric Ligand7YOO-Y2-Neuropeptide-Y-Gi1/β1/γ2
18.75Consensusnpy2_on_gpOrthosteric Ligand7YOO-Y2-Neuropeptide-Y-Gi1/β1/γ2
18.75Consensusp2y10_on_gpOrthosteric Ligand8KGG-P2Y10-Lysophosphatidylserine (WJS)-chim(NtGi2-G13)/β1/γ2
18.52Single7F4ISHU91197F4I-MC1-SHU9119-chim(NtGi1-Gs)/β1/γ2
18.52Single7XAUOctreotide7XAU-SST2-Octreotide-Gi1/β1/γ2
18.52Single8GHVAMG3158GHV-CB1-AMG315-Gi1/β1/γ2
18.52Single8IEIPubChem 1347468948IEI-GPR156; GPR156-PubChem 134746894
18.52Single8IEIPubChem 1347468948IEI-GPR156; GPR156-PubChem 134746894
18.52Single8IEPPubChem 1347468948IEP-GPR156; GPR156-PubChem 134746894
18.52Single8IEPPubChem 1347468948IEP-GPR156; GPR156-PubChem 134746894
18.52Single8U4OCXCL128U4O-CXCR4-CXCL12-Gi1/β1/γ2
18.52Single8WKYPG-9348WKY-MC4-PG-934
18.52Single8XGMChemerin8XGM-CML2-Chemerin-Gi1/β1/γ2
18.52Single8ZJDKisspeptin-18ZJD-Kiss1-Kisspeptin-1-chim(NtGi1-Gq)/β1/γ1
18.52Single9BKJCholecystokinin-89BKJ-CCKA-Cholecystokinin-8-chim(NtGi1-Gs-CtGq)/β1/γ2
18.52Single9HB3Mambaquaretin-19HB3-V2-Mambaquaretin-1
18.52Single9UMRC5a-pep9UMR-C5a1-C5a-pep-Go/β1/γ2
18.52Consensusgq_kisspeptinOrthosteric Ligand8ZJD-Kiss1-Kisspeptin-1-chim(NtGi1-Gq)/β1/γ1
18.52Consensuskiss1_on_gpOrthosteric Ligand8ZJD-Kiss1-Kisspeptin-1-chim(NtGi1-Gq)/β1/γ1
18.52Consensuskisspeptin_on_gpOrthosteric Ligandkiss1_on_gp
18.52Consensusnk3_onOrthosteric Ligand8JBF-NK3-Senktide-chim(NtGi1-Gs-CtGq)/β1/γ2
18.52Consensusnk3_on_gpOrthosteric Ligand8JBF-NK3-Senktide-chim(NtGi1-Gs-CtGq)/β1/γ2
18.52Consensussomatostatin_offOrthosteric Ligandsst2_off
18.18Single5UENDU1725UEN-A1-DU172
18.18Single6FFHFenobam6FFH-mGlu5-Fenobam
18.18Single6IIVDaltroban6IIV-TXA2-Daltroban
18.18Single6LMLGlucagon6LML-Glucagon-Glucagon-Gi1/β1/γ1
18.18Single6LPJZM-2413856LPJ-A2A-ZM-241385-Na
18.18Single6LPKZM-2413856LPK-A2A-ZM-241385-Na
18.18Single6NBHLA-PTH Analog6NBH-PTH1-LA-PTH Analog-Gs/β1/γ2
18.18Single7TYLAmylin7TYL-CT-Amylin-Gs/β1/γ2
18.18Single7V3ZCP559407V3Z-CB1-CP55940
18.18Single7YK7DC5910537YK7-RXFP4-DC591053-Gi2/β1/γ2
18.18Single7YU4ONO-07405567YU4-LPA1-ONO-0740556
18.18Single8EJKTAK-8758EJK-FFA1-TAK-875-chim(NtGi1L-Gs-CtGq)/β1/γ2
18.18Single8FLTM-PTH(1-14)8FLT-PTH1-M-PTH(1-14)-Gs/β1/γ2
18.18Single8HAFPTHrP(1-36)8HAF-PTH1-PTHrP(1-36)-chim(NtGi1-Gs)/β1/γ2
18.18Single8IY5Endothelin-18IY5-ETB-Endothelin-1-Gi1/β1/γ2
18.18Single8KEXDCA-3P8KEX-MRGPRX4-DCA-3P
18.18Single8KGGLysophosphatidylserine (WJS)8KGG-P2Y10-Lysophosphatidylserine (WJS)-chim(NtGi2-G13)/β1/γ2
18.18Single8RWXStilSwitch38RWX-A2A-StilSwitch3-Na
18.18Single8X9TAP5038X9T-ADGRD1-AP503-chim(NtGi1-Gs)/β1/γ2
18.18Single8ZQEGPR15L(CT)8ZQE-GPR15-GPR15L(CT)-Gi1/β1/γ1
18.18Single9IYAONO-97105319IYA-GPR55-ONO-9710531
18.18Consensusalicarboxylic_offOrthosteric Ligandsuccinate_off
18.18Consensuscck_offOrthosteric Ligandccka_off
18.18Consensusccka_offOrthosteric Ligand7F8Y-CCKA-Devazepide 7F8U-CCKA-Lintitript
18.18Consensusendothelin_onOrthosteric Ligandetb_on eta_on
18.18Consensusetb_onOrthosteric Ligand8IY5-ETB-Endothelin-1-Gi1/β1/γ2 8HBD-ETB-IRL1620-Gi1/β1/γ2
18.18Consensusnucleotide_offonOrthosteric Ligandnucleotide_off nucleotide_on
18.18Consensusnucleotide_offon_gpOrthosteric Ligandnucleotide_on_gp nucleotide_off
18.18Consensussuccinate_offOrthosteric Ligand6RNK-Succinate-NF-56-EJ40 6Z10-Succinate-PubChem 154585554
17.95Single7F16TIP397F16-PTH2-TIP39-Gs/β1/γ2
17.95Consensusclass-b1_onOrthosteric Ligandglucagon_on vip-pacap_on pth_on crf_on calcitonin_on
17.95Consensuspth2_on_gpOrthosteric Ligand7F16-PTH2-TIP39-Gs/β1/γ2
17.86Single7XNACYN1548067XNA-SST2-CYN154806
17.86Single8IEBPubChem 1347468948IEB-GPR156; GPR156-PubChem 134746894
17.86Single8JBHSubstance-P8JBH-NK3-Substance-P-chim(NtGi1-Gs-CtGq)/β1/γ2
17.86Single8KH5Lysophosphatidylserine8KH5-GPR174-Lysophosphatidylserine-Gs/β1/γ2
17.86Single8WSSMCH8WSS-MCH1-MCH-Gi1/β1/γ1
17.86Single8XYDPlatelet Activating Factor8XYD-PAF-Platelet Activating Factor-Gi1/β1/γ2
17.86Single8Z7JJN241-98Z7J-Apelin-JN241-9-Gi1/β1/γ2
17.86Single9IQRMuscarinic toxin 39IQR-α2a-Muscarinic toxin 3
17.86Single9KFIRelaxin-39KFI-RXFP3-Relaxin-3-Gi2/β1/γ2
17.86Single9KV6TLQP219KV6-C3aB-TLQP21-Go/β1/γ2
17.86Consensuscckb_onOrthosteric Ligand8IA7-CCKB-Cholecystokinin-8-chim(NtGi1L-Gq)/β1/γ2 7XOW-CCKB-Sulfated Gastrin-(10-17)-chim(NtGi1-Gq)/β1/γ2 7F8V-CCKB-Gastrin-17-Gi2/β1/γ2
17.86Consensusghrelin_onOrthosteric Ligand7NA7-Ghrelin-Ghrelin-Gi1/β1/γ2 7F9Z-Ghrelin-GHRP-6-chim(NtGi1-Gs-CtGq)/β1/γ2 7NA8-Ghrelin-Ibutamoren-Gi1/β1/γ2
17.86Consensusghrelin_on_gpOrthosteric Ligand7NA7-Ghrelin-Ghrelin-Gi1/β1/γ2 7F9Z-Ghrelin-GHRP-6-chim(NtGi1-Gs-CtGq)/β1/γ2 7NA8-Ghrelin-Ibutamoren-Gi1/β1/γ2
17.86Consensusgi_ghrelinOrthosteric Ligand7NA7-Ghrelin-Ghrelin-Gi1/β1/γ2 7NA8-Ghrelin-Ibutamoren-Gi1/β1/γ2
17.86Consensussst2_offOrthosteric Ligand7XNA-SST2-CYN154806
17.86Consensustachykinin_on_gpOrthosteric Ligandnk1_on_gp nk2_on_gp nk3_on_gp
17.65Single5MZJTheophylline5MZJ-A2A-Theophylline-Na
17.65Single7TYXAmylin7TYX-CT (AMY2)-Amylin-Gs/β1/γ2; RAMP2
17.65Single8PWNTheophylline8PWN-A2A-Theophylline
17.65Single9IV25alpha-DHT9IV2-ADGRD1-5α-DHT-chim(NtGi1-Gs)/β1/γ2
17.65Single9JKVPubChem 27366909JKV-HCA3-PubChem 2736690-Gi1/β1/γ2
17.65Consensuscrf1_onOrthosteric Ligand6PB0-CRF1-Urocortin-chim(NtGi1-Gs)/β1/γ2 6P9X-CRF1-Corticoliberin-1-Gs/β1/γ2
17.65Consensusgi_npyOrthosteric Ligand8K6M-Y1-Neuropeptide-Y-Gi2/β1/γ1 7X9C-Y4-Pancreatic Hormone-Gi1/β1/γ2 7YOO-Y2-Neuropeptide-Y-Gi1/β1/γ2
17.65Consensusnpy_onOrthosteric Ligandnpy1_on npy2_on npy4_on
17.65Consensusnpy_on_gpOrthosteric Ligandnpy1_on_gp npy2_on_gp npy4_on_gp
17.50Single8F0JPramlintide Analogue San458F0J-CT-Pramlintide Analogue San45-Gs/β1/γ2
17.39Single4PHUFasiglifam4PHU-FFA1-Fasiglifam
17.39Single5T1ABMS-6815T1A-CCR2-BMS-681-PubChem 12093170
17.39Single5ZBQUR-MK-2995ZBQ-Y1-UR-MK-299
17.39Single6XBKCholesterol6XBK-SMO-Cholesterol-Gi1/β1/γ2
17.39Single7Y26Octreotide7Y26-SST2-Octreotide-chim(NtGi2L-Gs-CtGq)/β1/γ2
17.39Single7YU3ONO-07405567YU3-LPA1-ONO-0740556-Gi1/β1/γ2
17.39Single7YU6ONO-07405567YU6-LPA1-ONO-0740556-Gi1/β1/γ2
17.39Single8GD9Rivenprost8GD9-EP4-Rivenprost-Gs/β1/γ2
17.39Single8K8JFenofibrate8K8J-CB1-Fenofibrate-chim(Gs-CtGq)/β1/γ2
17.39Single9ERXD9-THC analog9ERX-CB1-D9-THC analog-Gi1/β1/γ2
17.39Single9KO4CCL219KO4-CCR7-CCL21-Gi1/β1/γ2
17.39Consensuslipid_onOrthosteric Ligandcannabinoid_on ffa_on lpl_on prostanoid_on leukotriene_on
17.39Consensuslipid_on_gpOrthosteric Ligandcannabinoid_on_gp ffa_on_gp lpl_on_gp prostanoid_on_gp leukotriene_on_gp
17.39Consensuslpa1_onOrthosteric Ligand7TD1-LPA1-LPA-Gi1/β1/γ2 7YU3-LPA1-ONO-0740556-Gi1/β1/γ2
17.39Consensuslpa1_on_gpOrthosteric Ligand7TD1-LPA1-LPA-Gi1/β1/γ2 7YU3-LPA1-ONO-0740556-Gi1/β1/γ2
17.24Single6VN7PACAP276VN7-VPAC1-PACAP27-Gs/β1/γ2
17.24Single6W25SHU91196W25-MC4-SHU9119-Ca
17.24Single7O7F6P4-CCL57O7F-CCR5-6P4-CCL5-Gi1/β1/γ1
17.24Single7XA3CCL27XA3-CCR2-CCL2-Gi1/β1/γ2
17.24Single8WKZSBL-MC-318WKZ-MC4-SBL-MC-31
17.24Single8XZGApelin-138XZG-Apelin; Apelin-Apelin-13-Gi1/β1/γ2
17.24Consensusc5a1_onOrthosteric Ligand8HK5-C5a1-C5a-Gi1/β1/γ2 7Y66-C5a1-BM213-Gi1/β1/γ2 7Y67-C5a1-C089 peptide-Gi1/β1/γ2 7Y64-C5a1-C5a-Gi1/β1/γ2
17.24Consensuscckb_on_gpOrthosteric Ligand8IA7-CCKB-Cholecystokinin-8-chim(NtGi1L-Gq)/β1/γ2 7XOW-CCKB-Sulfated Gastrin-(10-17)-chim(NtGi1-Gq)/β1/γ2 7F8V-CCKB-Gastrin-17-Gi2/β1/γ2
17.24Consensusccr2_onOrthosteric Ligand7XA3-CCR2-CCL2-Gi1/β1/γ2
17.24Consensusccr2_on_gpOrthosteric Ligand7XA3-CCR2-CCL2-Gi1/β1/γ2
17.24Consensusccr_onOrthosteric Ligandccr6_on ccr8_on ccr2_on ccr1_on ccr5_on
17.24Consensusclass-b1_class-b2_cons_onOrthosteric Ligandclass-b1_on class-b2_on
17.24Consensusclass-b1_class-b2_cons_on_gpOrthosteric Ligandclass-b1_on_gp class-b2_on_gp
17.14Single6LPBPACAP276LPB-PAC1-PACAP27-Gs/β1/γ1
17.14Single8FLSAbaloparatide8FLS-PTH1-Abaloparatide-Gs/β1/γ2
17.14Single9AUCCalcitonin gene-related peptide-19AUC-CT (AMY1)-Calcitonin gene-related peptide-1-Gs/β1/γ2; RAMP1
17.14Consensusendothelin_on_gpOrthosteric Ligandetb_on_gp eta_on_gp
17.07Single8F2BPramlintide Analogue San458F2B-CT (AMY3)-Pramlintide Analogue San45-Gs/β1/γ2; RAMP3
17.07Consensuspth_on_gpOrthosteric Ligandpth1_on_gp pth2_on_gp
16.67Single3OE8IT1t3OE8-CXCR4-IT1t
16.67Single3RFMCaffeine3RFM-A2A-Caffeine
16.67Single5WB2CX3CL1.355WB2-US28-CX3CL1.35
16.67Single5XRAAM115425XRA-CB1-AM11542
16.67Single6N4BMDMB-Fubinaca6N4B-CB1-MDMB-Fubinaca-Gi1/β1/γ2
16.67Single6OT025(S)-Epoxycholesterol6OT0-SMO-25(S)-Epoxycholesterol-Gi1/β1/γ2
16.67Single6WI9Secretin6WI9-Secretin-Secretin-Gs/β1/γ2
16.67Single7F4HAfamelanotide7F4H-MC1-Afamelanotide-chim(NtGi1-Gs)/β1/γ2
16.67Single7F58THIQ7F58-MC4-THIQ-Gs/β1/γ2
16.67Single7FEECP559407FEE-CB1-CP55940-ZCZ011
16.67Single7FIMTirzepatide7FIM-GLP-1-Tirzepatide-Gs/β1/γ2
16.67Single7R0CAVP7R0C-V2-AVP-Arrestin2
16.67Single7T9NDPPC7T9N-TSH-M22 Fab-DPPC-Gs/β1/γ2
16.67Single7TYIAmylin7TYI-CT-Amylin-Gs/β1/γ2
16.67Single7V9MSomatoliberin7V9M-GHRH (SV1)-Somatoliberin-Gs/β1/γ2
16.67Single7VVMPTH7VVM-PTH1-PTH-Gs/β1/γ2
16.67Single7WV9CP559407WV9-CB1-CP55940-ZCZ011-Gi2/β1/γ2
16.67Single7XK8Neuromedin-U-257XK8-NMUR2-Neuromedin-U-25-Gi1/β1/γ2
16.67Single7Y24Octreotide7Y24-SST2-Octreotide-Go/β1/γ2
16.67Single7YU5ONO-07405567YU5-LPA1-ONO-0740556-Gi1/β1/γ2
16.67Single7YU7ONO-07405567YU7-LPA1-ONO-0740556-Gi1/β1/γ2
16.67Single8A2OTheophylline8A2O-A2A-Theophylline-Na
16.67Single8GUSHU-3088GUS-CB2-HU-308-Gi1/β1/γ2
16.67Single8HA0PTH8HA0-PTH1-PTH-chim(NtGi1-Gs)/β1/γ2
16.67Single8HPTC5a (C-terminal peptide)8HPT-C5a1-C5a (C-terminal peptide)-Go/β1/γ2
16.67Single8ID6Oleic acid8ID6-FFA4-Oleic acid-Gi1/β1/γ2
16.67Single8IUKPGF2-alpha8IUK-FP-alpha-PGF2-α-chim(NtGi1-Gs-CtGq)/β1/γ2
16.67Single8JSRAnamorelin8JSR-Ghrelin-Anamorelin-chim(NtGi1-Gs-CtGq)/β1/γ2
16.67Single8WSTMCH8WST-MCH2-MCH-chim(NtGi1L-Gs-CtGq)/β1/γ2
16.67Single8X79MRE-2698X79-I2-MRE-269-Gs/β1/γ2
16.67Single8XQTCholesterol8XQT-TAS2R14-Cholesterol-Gi1/β1/γ1
16.67Single8XZJWN3538XZJ-Apelin; Apelin-WN353-Gi1/β1/γ2
16.67Single9IZGLPA9IZG-LPA1-LPA-chim(NtGi1-Gs-CtGq)/β1/γ2
16.67Single9L16CCL219L16-CCR7-CCL21
16.67Single9M42A1L8O9M42-GPR139-A1L8O-chim(Gs-CtGq)/β1/γ2
16.67Single9UY3Anamorelin9UY3-Ghrelin-Anamorelin-chim(NtGi1-Gs-CtGq)/β1/γ2
16.67Consensuscrf1_on_gpOrthosteric Ligand6PB0-CRF1-Urocortin-chim(NtGi1-Gs)/β1/γ2 6P9X-CRF1-Corticoliberin-1-Gs/β1/γ2
16.67Consensuscrf2_onOrthosteric Ligand7TS0-CRF2-Urocortin-chim(NtGi1L-Go)/β1/γ2
16.67Consensuscyslt1_offOrthosteric Ligand6RZ5-CysLT1-Zafirlukast-Na 6RZ4-CysLT1-Pranlukast-Na
16.67Consensusgi_lpaOrthosteric Ligand7TD1-LPA1-LPA-Gi1/β1/γ2 7YU3-LPA1-ONO-0740556-Gi1/β1/γ2
16.67Consensusglp1_on_gpOrthosteric Ligand7S1M-GLP-1-Exendin-4-D-Ala-Gs/β1/γ2 7X8R-GLP-1-BOC5-Gs/β1/γ2 6X19-GLP-1-CHU-128-Gs/β1/γ2 6X1A-GLP-1-Danuglipron-Gs/β1/γ2 6X18-GLP-1-GLP-1-Gs/β1/γ2 8JIP-GLP-1-MEDI0382-chim(NtGi1-Gs)/β1/γ2 7C2E-GLP-1-PubChem 149050799-Gs/β1/γ2 7KI0-GLP-1-Semaglutide-Gs/β1/γ2 7KI1-GLP-1-Taspoglutide-Gs/β1/γ2 7X8S-GLP-1-WB4-24-Gs/β1/γ2 8JIS-GLP-1-Peptide-15-chim(NtGi1-Gs)/β1/γ2 7VBI-GLP-1-Tirzepatide (non-acylated)-Gs/β1/γ2
16.67Consensuslpa_onOrthosteric Ligandlpa1_on
16.67Consensuslpa_on_gpOrthosteric Ligandlpa1_on_gp
16.67Consensusnpy1_offOrthosteric Ligand5ZBH-Y1-BMS-193885 5ZBQ-Y1-UR-MK-299
16.67Consensusnpy_offOrthosteric Ligandnpy1_off npy2_off
16.67Consensusprotein_offonOrthosteric Ligandprotein_off protein_on
16.67Consensusprotein_offon_gpOrthosteric Ligandprotein_on_gp protein_off
16.67Consensustachykinin_onOrthosteric Ligandnk1_on nk2_on nk3_on
16.28Consensusclass-b1_on_gpOrthosteric Ligandglucagon_on_gp vip-pacap_on_gp pth_on_gp crf_on_gp calcitonin_on_gp
16.22Single7TYYCalcitonin-17TYY-CT (AMY2)-Calcitonin-1-Gs/β1/γ2; RAMP2
16.22Single9JR3PTH9JR3-PTH1-PTH-chim(NtGi1L-Gs-CtGq)/β1/γ2
16.22Consensuspth2_onOrthosteric Ligand7F16-PTH2-TIP39-Gs/β1/γ2
16.13Single7P02Substance-P7P02-NK1-Substance-P-chim(NtGi1-Gs)/β1/γ2
16.13Single7TYWCalcitonin-17TYW-CT (AMY1)-Calcitonin-1-Gs/β1/γ2; RAMP1
16.13Single7WBJPACAP277WBJ-VPAC1-PACAP27-Gs/β1/γ2
16.13Single7X9BNeuropeptide-Y7X9B-Y2-Neuropeptide-Y-Gi1/β1/γ2
16.13Single8E3YPACAP278E3Y-VPAC1-PACAP27-Gs/β1/γ2
16.13Single8HCQEndothelin-18HCQ-ETA-Endothelin-1-chim(NtGi1-Gs-CtGq)/β1/γ2
16.13Single8IODPG-9018IOD-MC5-PG-901-Ca-chim(NtGi1-Gs)/β1/γ2
16.13Single8XVHEndothelin-18XVH-ETB-Endothelin-1-chim(Gs-CtGq)/β1/γ2
16.13Single8XVIEndothelin-18XVI-ETA-Endothelin-1-chim(Gs-CtGq)/β1/γ2
16.13Single8YG4LA-PTH Analog8YG4-PTH1-LA-PTH Analog-chim(NtGi1-Gs)/β1/γ2
16.13Single9JFYNeuropeptide-SF9JFY-NPFF2-Neuropeptide-SF-Gi1/β1/γ2
16.13Consensuscalcitonin_onOrthosteric Ligandctlike_on
16.13Consensusccr_on_gpOrthosteric Ligandccr6_on_gp ccr8_on_gp ccr2_on_gp ccr1_on_gp ccr5_on_gp
16.13Consensuseta_onOrthosteric Ligand8HCQ-ETA-Endothelin-1-chim(NtGi1-Gs-CtGq)/β1/γ2
16.13Consensuseta_on_gpOrthosteric Ligand8HCQ-ETA-Endothelin-1-chim(NtGi1-Gs-CtGq)/β1/γ2
16.13Consensusp2y10_onOrthosteric Ligand8KGG-P2Y10-Lysophosphatidylserine (WJS)-chim(NtGi2-G13)/β1/γ2
16.00Single6AK3PGE26AK3-EP3-PGE2
16.00Single6IIURamatroban6IIU-TXA2-Ramatroban
16.00Single6KQICP559406KQI-CB1-CP55940-Org27569
16.00Single7L1UOrexin7L1U-OX2-Orexin-chim(NtGi1-Gs-CtGq)/β1/γ2
16.00Single7W0NElabela7W0N-Apelin; Apelin-Elabela-Gi1/β1/γ2
16.00Single7XW5ML1097XW5-TSH-TSH-ML109-Gs/β1/γ2
16.00Single7Y66BM2137Y66-C5a1-BM213-Gi1/β1/γ2
16.00Single8GCPPGE28GCP-EP4-PGE2-Gi1/β1/γ2
16.00Single8H0QGastrin Releasing Peptide8H0Q-BB2-Gastrin Releasing Peptide-chim(NtGi1-Gs-CtGq)/β1/γ2
16.00Single8HK2C3a8HK2-C3aB-C3a-Gi1/β1/γ2
16.00Single8J6DEP1418J6D-C3aB-EP141-Go/β1/γ2
16.00Single8U26Substance-P8U26-NK1-Substance-P-Gs/β1/γ2
16.00Single9VIFNeuropeptide-VF9VIF-NPFF1-Neuropeptide-VF-Gi1/β1/γ2
16.00Consensuscb1_onOrthosteric Ligand6KPG-CB1-AM841-Gi1/β1/γ2 8K8J-CB1-Fenofibrate-chim(Gs-CtGq)/β1/γ2
16.00Consensuscxcr_onOrthosteric Ligandcxcr3_on cxcr4_on cxcr1_on cxcr2_on
16.00Consensuslipid_offonOrthosteric Ligandlipid_off lipid_on
16.00Consensuslipid_offon_gpOrthosteric Ligandlipid_on_gp lipid_off
15.79Single6E3YCalcitonin gene-related peptide-16E3Y-CT Like-Calcitonin gene-related peptide-1-Gs/β1/γ2; RAMP1
15.79Single6FK9PubChem 1324730366FK9-Rhodopsin-PubChem 132473036
15.79Single7D77Hydrocortisone7D77-ADGRG3-Hydrocortisone-Go/β1/γ2
15.79Single8EITDoconexent8EIT-FFA1-Doconexent-chim(NtGi1L-Gs-CtGq)/β1/γ2
15.79Single8F76Propanoic acid8F76-OR51E2-Propanoic acid-Gs/β1/γ2
15.79Single8J24Acetic acid8J24-FFA2-Acetic acid-Gi1/β1/γ2
15.79Single8JEFPubChem 113671668JEF-HCA3-PubChem 11367166-Gi1/β1/γ2
15.79Single8X9UMetenolone8X9U-ADGRD1-Metenolone-chim(NtGi1-Gs)/β1/γ2
15.79Single9JHJC18:0 Ceramide9JHJ-FPR2-ALX-C18:0 Ceramide-Gi1/β1/γ2
15.62Single5UIW5P7-CCL55UIW-CCR5-5P7-CCL5
15.62Single6P9YPACAP276P9Y-PAC1-PACAP27-Gs/β1/γ2
15.62Single7RA3GIP7RA3-GIP-GIP-chim(NtGi1-Gs)/β1/γ2
15.62Single7RGPTirzepatide7RGP-GLP-1-Tirzepatide-chim(NtGi1-Gs)/β1/γ2
15.62Single7SK4CXCL12_LRHQ7SK4-ACKR3-CXCL12_LRHQ
15.62Single8E3XPACAP278E3X-PAC1-PACAP27-Gs/β1/γ2
15.62Single9BUBCagrilintide9BUB-CT-Cagrilintide-Gs/β1/γ2
15.62Single9P92VIP9P92-PAC1-VIP-Gs/β1/γ2
15.62Consensuscalcitonin_on_gpOrthosteric Ligandctlike_on_gp
15.62Consensusccr5_offOrthosteric Ligand5UIW-CCR5-5P7-CCL5
15.62Consensuscrf2_on_gpOrthosteric Ligand7TS0-CRF2-Urocortin-chim(NtGi1L-Go)/β1/γ2
15.62Consensuspac1_onOrthosteric Ligand8E3X-PAC1-PACAP27-Gs/β1/γ2 6M1H-PAC1-Maxadilan-Gs/β1/γ2
15.62Consensuspac1_on_gpOrthosteric Ligand8E3X-PAC1-PACAP27-Gs/β1/γ2 6M1H-PAC1-Maxadilan-Gs/β1/γ2
15.62Consensuspac_on_gpOrthosteric Ligandpac1_on_gp
15.62Consensussecretin_onOrthosteric Ligand7D3S-Secretin-Secretin-Gs/β1/γ2
15.38Single4RWSvMIP-II4RWS-CXCR4-vMIP-II
15.38Single6KPGAM8416KPG-CB1-AM841-Gi1/β1/γ2
15.38Single7LLLExendin-47LLL-GLP-1-Exendin-4-Gs/β1/γ2
15.38Single7VVNPTH7VVN-PTH1-PTH-Gs/β1/γ2
15.38Single8ID8TUG-8918ID8-FFA4-TUG-891-Gi1/β1/γ2
15.38Single8K4OCXCL18K4O-KSHV-CXCL1-Gi1/β1/γ1
15.38Single8WRZAM8418WRZ-CB1-AM841-Arrestin2
15.38Single8ZX4Lysophosphatidylinositol 8ZX4-GPR55-Lysophosphatidylinositol-chim(NtGi1-G13)/β1/γ2
15.38Single9C0KExendin-49C0K-GLP-1-Exendin-4-Gs/β1/γ2
15.38Single9GE3Lysophosphatidylinositol9GE3-GPR55-Lysophosphatidylinositol-chim(NtGi1-G13)/β1/γ2
15.38Single9KWXC5a-des-Arg9KWX-C5a1-C5a-des-Arg-Go/β1/γ2
15.38Single9M1HPGE29M1H-EP1-PGE2-chim(NtGi1-Gs-CtGq)/β1/γ2
15.38Single9UYHChemerin-99UYH-CML2-Chemerin-9-Arrestin2
15.38Single9VI9RFRP-39VI9-NPFF1-RFRP-3-Gi1/β1/γ2
15.38Consensusnk2_onOrthosteric Ligand7XWO-NK2-Neurokinin-A-chim(NtGi1-Gs-CtGq)/β1/γ2
15.15Single6VCBGLP-16VCB-GLP-1-GLP-1-LSN3160440-Gs/β1/γ2
15.15Single7F53Alpha-MSH7F53-MC4-α-MSH-Gs/β1/γ2
15.15Single7FIYTirzepatide7FIY-GIP-Tirzepatide-Gs/β1/γ2
15.15Single8HAOPTH8HAO-PTH1-PTH-chim(NtGi1-Gs)/β1/γ2
15.15Consensusglp_onOrthosteric Ligandglp1_on glp2_on
15.15Consensusglp_on_gpOrthosteric Ligandglp1_on_gp glp2_on_gp
15.15Consensussecretin_on_gpOrthosteric Ligand7D3S-Secretin-Secretin-Gs/β1/γ2
15.00Single6FK6PubChem 1324730336FK6-Rhodopsin-PubChem 132473033
15.00Single6PH7Nerol6PH7-Rhodopsin-Nerol-Gt(CT)
15.00Single7VUIJNJ-635330547VUI-GPR139-JNJ-63533054-GTP-chim(Gs-CtGq)/β1/γ2
15.00Single8RWHStilSwitch28RWH-A2A-StilSwitch2-Na
15.00Single8U4RREGN7663-Fab8U4R-CXCR4-REGN7663-Fab
15.00Single8ZX5AM2518ZX5-GPR55-AM251-chim(NtGi1-G13)/β1/γ2
15.00Single9B9YTaranabant9B9Y-CB1-Taranabant
15.00Single9L3ZLRH7-C29L3Z-CML1-LRH7-C2
15.00Consensusgq_nucleotideOrthosteric Ligandgq_p2y
15.00Consensusgq_p2yOrthosteric Ligand7XXH-P2Y1-2MeSADP-chim(NtGi1-G11)/β1/γ2
14.81Single8GDAL9026888GDA-EP4-L902688-Gs/β1/γ2
14.81Single8IQ4Carboprost8IQ4-FP-alpha-Carboprost-chim(NtGi1-Gs-CtGq)/β1/γ2
14.81Single8XQLCholesterol8XQL-TAS2R14-Cholesterol-Aristolochic acid A-Gt3/β1/γ1
14.81Single8Z74JN241-98Z74-Apelin; Apelin-JN241-9
14.81Single8Z74JN241-98Z74-Apelin; Apelin-JN241-9
14.81Single9NS9TUG-13759NS9-FFA2-TUG-1375-PubChem 118615810-Gi1/β1/γ2
14.71Single5VAIGLP-15VAI-GLP-1-GLP-1-Gs/β1/γ2
14.71Single6WZGSecretin6WZG-Secretin-Secretin-Gs/β1/γ2
14.71Single7D68GLP-27D68-GLP-2-GLP-2-Gs/β1/γ2
14.71Single7KI1Taspoglutide7KI1-GLP-1-Taspoglutide-Gs/β1/γ2
14.71Single7VVJPTHrP(1-36)7VVJ-PTH1-PTHrP(1-36)-Gs/β1/γ2
14.71Single8IY6Endothelin-18IY6-ETB-Endothelin-1
14.71Single9BTWCagrilintide9BTW-CT (AMY3)-Cagrilintide-Gs/β1/γ2; RAMP3
14.71Single9BYOExendin-39BYO-GLP-1-Exendin-3-Gs/β1/γ2
14.71Single9P93VIP9P93-PAC1-VIP-Gs/β1/γ2
14.71Consensusctlike_on_gpOrthosteric Ligand6E3Y-CT Like-Calcitonin gene-related peptide-1-Gs/β1/γ2; RAMP1
14.71Consensusvip-pacap_onOrthosteric Ligandvpac_on pac_on
14.71Consensusvip-pacap_on_gpOrthosteric Ligandvpac_on_gp pac_on_gp
14.29Single3PWHZM-2413853PWH-A2A-ZM-241385
14.29Single5ZKQABT-4915ZKQ-PAF-ABT-491
14.29Single6RNKNF-56-EJ406RNK-Succinate-NF-56-EJ40
14.29Single6X19CHU-1286X19-GLP-1-CHU-128-Gs/β1/γ2
14.29Single7BR3Elagolix7BR3-GnRH1-Elagolix
14.29Single7DUQGLP-17DUQ-GLP-1-GLP-1-PubChem 156022738-Gs/β1/γ2
14.29Single7NA7Ghrelin7NA7-Ghrelin-Ghrelin-Gi1/β1/γ2
14.29Single7S8PMS471347S8P-MRGPRX4-MS47134-chim(NtGi2L-Gs-CtGq)/β1/γ2
14.29Single7VVOPTH7VVO-PTH1-PTH-Gs/β1/γ2
14.29Single7W0MPubChem 1227019087W0M-Apelin-PubChem 122701908-Gi1/β1/γ2
14.29Single7W0OElabela7W0O-Apelin-Elabela-Gi1/β1/γ2
14.29Single7W53Neuromedin-U-257W53-NMUR1-Neuromedin-U-25-chim(NtGi1-Gs-CtGq)/β1/γ2
14.29Single7W56Neuromedin-S7W56-NMUR1-Neuromedin-S-chim(NtGi1-Gs-CtGq)/β1/γ2
14.29Single7X2CFenoldopam7X2C-D1-Fenoldopam-Fenoldopam-Gs/β1/γ2
14.29Single7XMRSomatostatin-147XMR-SST2-Somatostatin-14-Gi1/β1/γ2
14.29Single8DWGML3828DWG-MRGPRX1-BAM8-22-ML382-chim(NtGi2L-Gs-CtGq)/β1/γ2
14.29Single8H8JLodoxamide8H8J-GPR35-Lodoxamide-Ca-chim(NtGi1L-G13)/β1/γ2
14.29Single8HMPC178HMP-GPR52-C17-Gs/β1/γ2
14.29Single8IZBLysophosphatidylserine (UBL)8IZB-GPR174-Lysophosphatidylserine (UBL)-Gs/β1/γ2
14.29Single8J20Valeric acid8J20-FFA3-Valeric acid-AR420626-Gi1/β1/γ2
14.29Single8KIGSHU91198KIG-MC3-SHU9119-Ca
14.29Single8RVWStilSwitch38RVW-A2A-StilSwitch3-Na
14.29Single8U1UCCL18U1U-CCR8-CCL1-Gi1/β1/γ2
14.29Single8XBHPubChem 1626566368XBH-GPR34-PubChem 162656636-Gi1/β1/γ2
14.29Single8YWFRetatrutide8YWF-GLP-1-Retatrutide-chim(NtGi1-Gs)/β1/γ2
14.29Single8YYWAlpha-ketoglutarate8YYW-Oxoglutarate-α-ketoglutarate-α-ketoglutarate-chim(Gi1-CtGq)/β1/γ2
14.29Single8ZCJPasireotide8ZCJ-SST5-Pasireotide-Gi1/β1/γ1
14.29Single9BUECagrilintide9BUE-CT-Cagrilintide-Gs/β1/γ2
14.29Single9MEJGp1209MEJ-CXCR4-Gp120
14.29Single9UYLChemerin-99UYL-CML2-Chemerin-9-Arrestin2
14.29Consensusgnrh1_offOrthosteric Ligand7BR3-GnRH1-Elagolix
14.29Consensusmc4_onOrthosteric Ligand7AUE-MC4-Setmelanotide-chim(NtGi1L-Gs)/β1/γ2 7F58-MC4-THIQ-Gs/β1/γ2 7F54-MC4-Afamelanotide-Gs/β1/γ2 7F53-MC4-α-MSH-Gs/β1/γ2 7F55-MC4-Bremelanotide-Gs/β1/γ2
14.29Consensusnmur1_on_gpOrthosteric Ligand7W53-NMUR1-Neuromedin-U-25-chim(NtGi1-Gs-CtGq)/β1/γ2
14.29Consensusp2y1_onOrthosteric Ligand7XXH-P2Y1-2MeSADP-chim(NtGi1-G11)/β1/γ2
14.29Consensuspaf_offOrthosteric Ligand5ZKQ-PAF-ABT-491
13.89Single8F2APramlintide Analogue San3858F2A-CT (AMY3)-Pramlintide Analogue San385-Gs/β1/γ2; RAMP3
13.89Consensusglp1_onOrthosteric Ligand7S1M-GLP-1-Exendin-4-D-Ala-Gs/β1/γ2 7X8R-GLP-1-BOC5-Gs/β1/γ2 6X19-GLP-1-CHU-128-Gs/β1/γ2 6X1A-GLP-1-Danuglipron-Gs/β1/γ2 6X18-GLP-1-GLP-1-Gs/β1/γ2 8JIP-GLP-1-MEDI0382-chim(NtGi1-Gs)/β1/γ2 7C2E-GLP-1-PubChem 149050799-Gs/β1/γ2 7KI0-GLP-1-Semaglutide-Gs/β1/γ2 7KI1-GLP-1-Taspoglutide-Gs/β1/γ2 7X8S-GLP-1-WB4-24-Gs/β1/γ2 8JIS-GLP-1-Peptide-15-chim(NtGi1-Gs)/β1/γ2 7VBI-GLP-1-Tirzepatide (non-acylated)-Gs/β1/γ2
13.89Consensusmelanocortin_onOrthosteric Ligandmc1_on mc4_on mc2_on mc3_on mc5_on
13.89Consensusmelanocortin_on_gpOrthosteric Ligandmc1_on_gp mc4_on_gp mc2_on_gp mc3_on_gp mc5_on_gp
13.79Single6WHCGlu16 analog of GCG6WHC-Glucagon-Glu16 analog of GCG-Gs/β1/γ2
13.79Single7C6A(Sar1,Ile8)-Angiotensin II7C6A-AT2-(Sar1,Ile8)-Angiotensin II
13.79Single7E14Orforglipron7E14-GLP-1-Orforglipron-PubChem 156022738-Gs/β1/γ2
13.79Single7F1QCCL37F1Q-CCR5-CCL3-Gi1/β1/γ2
13.79Single7RMISubstance-P7RMI-NK1-Substance-P-chim(Gs-CtGq)/β1/γ2
13.79Single7SK5CXCL127SK5-ACKR3-CXCL12
13.79Single7TRYUrocortin7TRY-CRF2-Urocortin-chim(NtGi1-G11)/β1/γ2
13.79Single7VBITirzepatide (non-acylated)7VBI-GLP-1-Tirzepatide (non-acylated)-Gs/β1/γ2
13.79Single8F7QBeta-Endorphin8F7Q-μ-β-Endorphin-Gi1/β1/γ2
13.79Single8IBVMotilin8IBV-Motilin-Motilin-chim(NtGi1-Gs-CtGq)/β1/γ2
13.79Single9EAINanobody AT2099EAI-AT1-Losartan-Nanobody AT209
13.79Consensusmc4_on_gpOrthosteric Ligand7AUE-MC4-Setmelanotide-chim(NtGi1L-Gs)/β1/γ2 7F58-MC4-THIQ-Gs/β1/γ2 7F54-MC4-Afamelanotide-Gs/β1/γ2 7F53-MC4-α-MSH-Gs/β1/γ2 7F55-MC4-Bremelanotide-Gs/β1/γ2
13.79Consensusmc5_onOrthosteric Ligand8INR-MC5-α-MSH-Ca-chim(NtGi1-Gs)/β1/γ2 8IOD-MC5-PG-901-Ca-chim(NtGi1-Gs)/β1/γ2
13.64Single6PT0WIN 55212-26PT0-CB2-WIN 55212-2-Gi1/β1/γ2
13.64Single7XOVSR1461317XOV-CCKA-SR146131-Gs/β1/γ2
13.64Single8H4LDoconexent8H4L-FFA4-Doconexent-chim(NtGi1-Gs-CtGq)/β1/γ2
13.64Single8HQN9-S-HODE8HQN-GPR132-9-S-HODE-Gi1/β1/γ2
13.64Single8K2WAMG4878K2W-CXCR3-AMG487
13.64Single8K4SDCA-3P8K4S-MRGPRX4-DCA-3P-chim(NtGi1L-Gs-CtGq)/β1/γ2
13.64Single8X7ATreprostinil8X7A-I2-Treprostinil-Gs/β1/γ2
13.64Single8ZPNAMD31008ZPN-CXCR4-AMD3100
13.64Single9BA0MRI-18919BA0-CB1-MRI-1891
13.64Single9K0XATP9K0X-P2Y2-ATP-chim(NtGi1-Gs-CtGq)/β1/γ2
13.64Single9K1DButyric acid9K1D-FFA2-Butyric acid-Gi1/β1/γ2
13.64Single9K20ATP9K20-P2Y2-ATP-chim(NtGi1-Go)/β1/γ2
13.64Single9KXSEP679KXS-C5a1-EP67-Go/β1/γ2
13.64Single9W33S5A19W33-SST5-S5A1
13.64Consensuscb1_offOrthosteric Ligand5U09-CB1-Taranabant 5TGZ-CB1-AM6538
13.64Consensuscxcr3_offOrthosteric Ligand8K2W-CXCR3-AMG487
13.64Consensusgrh_offOrthosteric Ligandgnrh1_off
13.64Consensusnucleotide_offOrthosteric Ligandadenosine_off p2y_off
13.51Single6WPWZP37806WPW-Glucagon-ZP3780-Gs/β1/γ2
13.51Single9JR2PTH9JR2-PTH1-PTH-chim(NtGi1L-Gs-CtGq)/β1/γ2
13.51Consensuspth1_on_gpOrthosteric Ligand6NBF-PTH1-LA-PTH Analog-Gs/β1/γ2 8HA0-PTH1-PTH-chim(NtGi1-Gs)/β1/γ2 8HAF-PTH1-PTHrP(1-36)-chim(NtGi1-Gs)/β1/γ2 7Y36-PTH1-PTH-Gs/β1/γ2 7Y35-PTH1-Abaloparatide-Gs/β1/γ2
13.33Single6MEOGp160; CD46MEO-CCR5-Gp160; CD4
13.33Single7F4DAlpha-MSH7F4D-MC1-α-MSH-chim(NtGi1-Gs)/β1/γ2
13.33Single7RYCOxytocin7RYC-OT-Oxytocin-chim(NtGi2L-Gs-CtGq)/β1/γ2
13.33Single8K6MNeuropeptide-Y8K6M-Y1-Neuropeptide-Y-Gi2/β1/γ1
13.33Single8K6NNeuropeptide-Y8K6N-Y2-Neuropeptide-Y-Gi2/β1/γ1
13.33Single8W8YGamma-MSH8W8Y-MC3-γ-MSH-Ca-Gs/β1/γ2
13.33Single8YFOAc-LA-PTH Analog8YFO-PTH1-Ac-LA-PTH Analog-chim(NtGi1-Gs)/β1/γ2
13.33Single9B5YLA-PTH Analog9B5Y-PTH1-LA-PTH Analog-chim(NtGi1-Gq)/β1/γ2
13.33Consensusmc3_onOrthosteric Ligand8IOC-MC3-γ-MSH-Ca-chim(NtGi1-Gs)/β1/γ2
13.33Consensusmc3_on_gpOrthosteric Ligand8IOC-MC3-γ-MSH-Ca-chim(NtGi1-Gs)/β1/γ2
13.33Consensusnpy1_onOrthosteric Ligand8K6M-Y1-Neuropeptide-Y-Gi2/β1/γ1
13.33Consensusnpy1_on_gpOrthosteric Ligand8K6M-Y1-Neuropeptide-Y-Gi2/β1/γ1
13.16Consensusglucagon_onOrthosteric Ligandglp_on gluc_on secretin_on gip_on
13.04Single6FK7PubChem 1324730346FK7-Rhodopsin-PubChem 132473034
13.04Single6FKCPubChem 1324730396FKC-Rhodopsin-PubChem 132473039
13.04Single6FKDPubChem 1373491836FKD-Rhodopsin-PubChem 137349183
13.04Single6KPFAM120336KPF-CB2-AM12033-Gi1/β1/γ2
13.04Single7CFMP3957CFM-GPBA-P395-Gs/β1/γ2
13.04Single7NA8Ibutamoren7NA8-Ghrelin-Ibutamoren-Gi1/β1/γ2
13.04Single8GCML-9026888GCM-EP4-L-902688-Gi1/β1/γ2
13.04Single8KFYZK-7563268KFY-CCR8-ZK-756326-Gi1/β1/γ2
13.04Single8XJLPGF2-alpha8XJL-FP-alpha-PGF2-α-chim(NtGi2-Gs-CtGq)/β1/γ2
13.04Single9JQZGrapiprant 9JQZ-EP4-Grapiprant
12.90Single6M1IPACAP276M1I-PAC1-PACAP27-Gs/β1/γ2
12.90Single6METGp160; CD46MET-CCR5-Gp160; CD4
12.90Single7YONPeptide-YY(3-36)7YON-Y2-Peptide-YY(3-36)-Gi1/β1/γ2
12.90Single8YW3Retatrutide8YW3-GLP-1-Retatrutide-Gs/β1/γ2
12.90Single8YW4Retatrutide8YW4-GIP-Retatrutide-chim(NtGi1-Gs)/β1/γ2
12.90Single8YW5Retatrutide8YW5-Glucagon-Retatrutide-Gs/β1/γ2
12.90Single9EBOGLP-1 (ACPC18)9EBO-GLP-1-GLP-1 (ACPC18)-Gs/β1/γ2
12.90Consensusmc5_on_gpOrthosteric Ligand8INR-MC5-α-MSH-Ca-chim(NtGi1-Gs)/β1/γ2 8IOD-MC5-PG-901-Ca-chim(NtGi1-Gs)/β1/γ2
12.82Consensusglucagon_on_gpOrthosteric Ligandglp_on_gp gluc_on_gp secretin_on_gp gip_on_gp
12.50Single4NTJAZD12834NTJ-P2Y12-AZD1283
12.50Single5YHLPubChem 1351213525YHL-EP4-PubChem 135121352
12.50Single5YWYONO-AE3-2085YWY-EP4-ONO-AE3-208
12.50Single6KPCAM120336KPC-CB2-AM12033
12.50Single6LFMCXCL86LFM-CXCR2-CXCL8-Gi1/β1/γ2
12.50Single6M9TMisoprostol-FA6M9T-EP3-Misoprostol-FA
12.50Single6RZ4Pranlukast6RZ4-CysLT1-Pranlukast-Na
12.50Single6X18GLP-16X18-GLP-1-GLP-1-Gs/β1/γ2
12.50Single7LLYOxyntomodulin7LLY-GLP-1-Oxyntomodulin-Gs/β1/γ2
12.50Single7TYHCalcitonin7TYH-CT (AMY2)-Calcitonin-Gs/β1/γ2; RAMP2
12.50Single7VL9CCL15(26-92)7VL9-CCR1-CCL15(26-92)-Gi1/β1/γ2
12.50Single7Y35Abaloparatide7Y35-PTH1-Abaloparatide-Gs/β1/γ2
12.50Single8T6JCDPPB8T6J-mGlu5; mGlu5-CDPPB
12.50Single8T6JCDPPB8T6J-mGlu5; mGlu5-CDPPB
12.50Single8XQPCholesterol8XQP-TAS2R14-Cholesterol-Aristolochic acid A-Gt3/β1/γ1
12.50Single8ZVZBW245C8ZVZ-DP1-BW245C-Gs/β1/γ2
12.50Single9B9ZMRI-18679B9Z-CB1-MRI-1867
12.50Single9EE5ONO-25502899EE5-DP1-ONO-2550289
12.50Single9EKHONO-30302979EKH-DP1-ONO-3030297
12.50Consensuscxcr2_on_gpOrthosteric Ligand6LFM-CXCR2-CXCL8-Gi1/β1/γ2
12.50Consensusep4_offOrthosteric Ligand5YWY-EP4-ONO-AE3-208 5YHL-EP4-PubChem 135121352
12.50Consensusep_offOrthosteric Ligandep4_off
12.50Consensusmc2_onOrthosteric Ligand8GY7-MC2-Corticotropin-Ca-chim(NtGi1-Gs)/β1/γ2; MRAP1
12.50Consensusmc2_on_gpOrthosteric Ligand8GY7-MC2-Corticotropin-Ca-chim(NtGi1-Gs)/β1/γ2; MRAP1
12.50Consensuspac_onOrthosteric Ligandpac1_on
12.50Consensusvpac_onOrthosteric Ligandvpac1_on vpac2_on
12.12Single6NBILA-PTH Analog6NBI-PTH1-LA-PTH Analog-Gs/β1/γ2
12.12Single7CZ5Somatoliberin7CZ5-GHRH-Somatoliberin-Gs/β1/γ2
12.12Single7D3SSecretin7D3S-Secretin-Secretin-Gs/β1/γ2
12.12Single7KI0Semaglutide7KI0-GLP-1-Semaglutide-Gs/β1/γ2
12.12Single7SK3CXCL127SK3-ACKR3-CXCL12
12.12Single7VABTirzepatide (non-acylated)7VAB-GIP-Tirzepatide (non-acylated)-chim(NtGi1-Gs)/β1/γ2
12.12Single8FLRPTHrP(1-36)8FLR-PTH1-PTHrP(1-36)-Gs/β1/γ2
12.12Single8JISPeptide-158JIS-GLP-1-Peptide-15-chim(NtGi1-Gs)/β1/γ2
12.12Single9J1Pg1:Ox9J1P-GLP-1-g1:Ox-chim(NtGi1-Gs)/β1/γ2
12.12Consensusccr5_onOrthosteric Ligand7O7F-CCR5-6P4-CCL5-Gi1/β1/γ1 7F1Q-CCR5-CCL3-Gi1/β1/γ2
12.12Consensusctlike_onOrthosteric Ligand6E3Y-CT Like-Calcitonin gene-related peptide-1-Gs/β1/γ2; RAMP1
12.12Consensusvpac_on_gpOrthosteric Ligandvpac1_on_gp vpac2_on_gp
12.00Single5ZBHBMS-1938855ZBH-Y1-BMS-193885
12.00Single6RZ5Zafirlukast6RZ5-CysLT1-Zafirlukast-Na
12.00Single7F1TCCL37F1T-CCR5-CCL3
12.00Single7XBDGalanin7XBD-GAL2-Galanin-chim(NtGi2L-Gs-CtGq)/β1/γ2
12.00Single7XOWSulfated Gastrin-(10-17)7XOW-CCKB-Sulfated Gastrin-(10-17)-chim(NtGi1-Gq)/β1/γ2
12.00Single7Y67C089 peptide7Y67-C5a1-C089 peptide-Gi1/β1/γ2
12.00Single8FN1Neurotensin-(8-13)8FN1-NTS1-Neurotensin-(8-13)-chim(NtGi1-Go)/β1/γ2
12.00Single8GDBPGE28GDB-EP4-PGE2-Gs/β1/γ2
12.00Single8HQCC5a8HQC-C5a1-C5a-Go/β1/γ2
12.00Single8JBGNeurokinin-B8JBG-NK3-Neurokinin-B-chim(NtGi1-Gs-CtGq)/β1/γ2
12.00Single8JZPC5a8JZP-C5a1-C5a-Go/β1/γ2
12.00Single8WJXADP8WJX-P2Y1-ADP-chim(Gs-CtGq)/β1/γ2
12.00Single8ZW0PGD28ZW0-DP1-PGD2-Gs/β1/γ2
12.00Single9CLWTUG-13759CLW-FFA2-TUG-1375-4-CMTB-chim(NtGi1L-Gs-CtGq)/β1/γ2
12.00Single9E9SPGD29E9S-DP1-PGD2-Gs/β1/γ1
12.00Single9JCLADP9JCL-P2Y1-ADP-chim(Gs-CtGq)/β1/γ2
12.00Single9MENGp120 (V3 loop)9MEN-CXCR4-Gp120 (V3 loop)
12.00Consensusffa2_onOrthosteric Ligand8J22-FFA2-TUG-1375-Gi1/β1/γ2
12.00Consensusmotilin_onOrthosteric Ligand8IBU-Motilin-Erythromycin-A-chim(NtGi1-Gs-CtGq)/β1/γ2
12.00Consensusp2y12_onOrthosteric Ligand7XXI-P2Y12-2MeSADP-Gi2/β1/γ2
11.76Single7DTYGIP7DTY-GIP-GIP-Gs/β1/γ2
11.76Single7S1MExendin-4-D-Ala7S1M-GLP-1-Exendin-4-D-Ala-Gs/β1/γ2
11.76Single7VQXPACAP277VQX-VPAC1-PACAP27-Gs/β1/γ2
11.76Single7VVKPTH7VVK-PTH1-PTH-Gs/β1/γ2
11.76Single8FU6ZP37808FU6-Glucagon-ZP3780-Gs/β1/γ2
11.76Single8W8WAlpha-MSH8W8W-MC3-α-MSH-Ca-Gs/β1/γ2
11.76Single9P94PACAP279P94-PAC1-PACAP27-Gs/β1/γ2
11.76Consensusglp2_onOrthosteric Ligand7D68-GLP-2-GLP-2-Gs/β1/γ2
11.76Consensusglp2_on_gpOrthosteric Ligand7D68-GLP-2-GLP-2-Gs/β1/γ2
11.54Single6OS2TRV0266OS2-AT1-TRV026
11.54Single6XOXOrforglipron6XOX-GLP-1-Orforglipron-chim(NtGi1-Gs)/β1/γ2
11.54Single7F55Bremelanotide7F55-MC4-Bremelanotide-Gs/β1/γ2
11.54Single7XW6ML1097XW6-TSH-M22 Fab-ML109-Gs/β1/γ2
11.54Single7XXI2MeSADP7XXI-P2Y12-2MeSADP-Gi2/β1/γ2
11.54Single8IBUErythromycin-A8IBU-Motilin-Erythromycin-A-chim(NtGi1-Gs-CtGq)/β1/γ2
11.54Single8JPCNeurotensin-(8-13)8JPC-NTS1-Neurotensin-(8-13)-SBI-553; GDP; Mg-Gq; GRK2
11.54Single8XQNCholesterol8XQN-TAS2R14-Cholesterol-Aristolochic acid A-Gi1/β1/γ1
11.54Single8XQSCholesterol8XQS-TAS2R14-Cholesterol-Flufenamic acid-Gi1/β1/γ1
11.54Single8Y6WTUG-13758Y6W-FFA2-TUG-1375-4-CMTB-Gi1/β1/γ2
11.54Single9AU0BW245C9AU0-DP1-BW245C-Gs/β1/γ2
11.54Single9CM3TUG-13759CM3-FFA2-TUG-1375-PubChem 118615810-chim(NtGi1L-Gs-CtGq)/β1/γ2
11.54Single9ECJS-geranylgeranyl-L-glutathione9ECJ-P2Y8-S-geranylgeranyl-L-glutathione-G13/β1/γ2
11.54Consensusffa2_on_gpOrthosteric Ligand8J22-FFA2-TUG-1375-Gi1/β1/γ2
11.54Consensusgalanin_onOrthosteric Ligandgal2_on gal1_on
11.54Consensusgalanin_on_gpOrthosteric Ligandgal2_on_gp gal1_on_gp
11.54Consensusgi_p2yOrthosteric Ligand7XXI-P2Y12-2MeSADP-Gi2/β1/γ2
11.54Consensusmotilin_on_gpOrthosteric Ligand8IBU-Motilin-Erythromycin-A-chim(NtGi1-Gs-CtGq)/β1/γ2
11.54Consensusp2y12_on_gpOrthosteric Ligand7XXI-P2Y12-2MeSADP-Gi2/β1/γ2
11.43Single6LMKGlucagon6LMK-Glucagon-Glucagon-Gs/β1/γ2
11.43Single7VVLPTH7VVL-PTH1-PTH-Gs/β1/γ2
11.43Single9BQ3Cagrilintide9BQ3-CT (AMY2)-Cagrilintide-Gs/β1/γ2; RAMP2
11.43Consensusgs_melanocortinOrthosteric Ligand7F4H-MC1-Afamelanotide-chim(NtGi1-Gs)/β1/γ2 7F54-MC4-Afamelanotide-Gs/β1/γ2 7F4D-MC1-α-MSH-chim(NtGi1-Gs)/β1/γ2 8INR-MC5-α-MSH-Ca-chim(NtGi1-Gs)/β1/γ2 7F53-MC4-α-MSH-Gs/β1/γ2 7F55-MC4-Bremelanotide-Gs/β1/γ2 8GY7-MC2-Corticotropin-Ca-chim(NtGi1-Gs)/β1/γ2; MRAP1 8IOC-MC3-γ-MSH-Ca-chim(NtGi1-Gs)/β1/γ2 8IOD-MC5-PG-901-Ca-chim(NtGi1-Gs)/β1/γ2 7AUE-MC4-Setmelanotide-chim(NtGi1L-Gs)/β1/γ2 7F4I-MC1-SHU9119-chim(NtGi1-Gs)/β1/γ2 7F58-MC4-THIQ-Gs/β1/γ2
11.43Consensuspth1_onOrthosteric Ligand6NBF-PTH1-LA-PTH Analog-Gs/β1/γ2 8HA0-PTH1-PTH-chim(NtGi1-Gs)/β1/γ2 8HAF-PTH1-PTHrP(1-36)-chim(NtGi1-Gs)/β1/γ2 7Y36-PTH1-PTH-Gs/β1/γ2 7Y35-PTH1-Abaloparatide-Gs/β1/γ2
11.43Consensusvpac2_onOrthosteric Ligand7VQX-VPAC1-PACAP27-Gs/β1/γ2
11.43Consensusvpac2_on_gpOrthosteric Ligand7VQX-VPAC1-PACAP27-Gs/β1/γ2
11.11Single7D7MPGE27D7M-EP4-PGE2-Gs/β1/γ1
11.11Single7PIUSetmelanotide7PIU-MC4-Setmelanotide-Gs/β1/γ2
11.11Single7QVMOxytocin7QVM-OT-Oxytocin-chim(NtGi1-Go-CtGq)/β1/γ2
11.11Single7V68LY21196207V68-M4-Iperoxo-LY2119620-Gi1/β1/γ2
11.11Single8ZPLHF511168ZPL-CXCR4-HF51116
11.11Single9KV8TLQP219KV8-C3aB-TLQP21-Go/β1/γ2
11.11Consensusgal2_onOrthosteric Ligand7WQ4-GAL2-Galanin-chim(NtGi1-Gs-CtGq)/β1/γ2 7XJL-GAL2-Spexin-chim(NtGi2L-Gs-CtGq)/β1/γ2
11.11Consensusgal2_on_gpOrthosteric Ligand7WQ4-GAL2-Galanin-chim(NtGi1-Gs-CtGq)/β1/γ2 7XJL-GAL2-Spexin-chim(NtGi2L-Gs-CtGq)/β1/γ2
11.11Consensusgip_onOrthosteric Ligand7FIN-GIP-Peptide-20; GGL-Gs/β1/γ2 7FIY-GIP-Tirzepatide-Gs/β1/γ2 7DTY-GIP-GIP-Gs/β1/γ2
11.11Consensusgip_on_gpOrthosteric Ligand7FIN-GIP-Peptide-20; GGL-Gs/β1/γ2 7FIY-GIP-Tirzepatide-Gs/β1/γ2 7DTY-GIP-GIP-Gs/β1/γ2
10.87Single8GY7Corticotropin8GY7-MC2-Corticotropin-Ca-chim(NtGi1-Gs)/β1/γ2; MRAP1
10.81Single7SK6CXCL12_LRHQ7SK6-ACKR3-CXCL12_LRHQ
10.71Single5VBLAMG3054 5VBL-Apelin-AMG3054
10.71Single7AUESetmelanotide7AUE-MC4-Setmelanotide-chim(NtGi1L-Gs)/β1/γ2
10.71Single7RKNCX3CL17RKN-US28-CX3CL1-Gi1/β1/γ2
10.71Single7S8LCortistatin-147S8L-MRGPRX2-Cortistatin-14-chim(NtGi2L-Gs-CtGq)/β1/γ2
10.71Single7X8SWB4-247X8S-GLP-1-WB4-24-Gs/β1/γ2
10.71Single8J22TUG-13758J22-FFA2-TUG-1375-Gi1/β1/γ2
10.71Single8XQOCholesterol8XQO-TAS2R14-Cholesterol-Aristolochic acid A-Gi1/β1/γ1
10.71Single9CM7TUG-13759CM7-FFA2-TUG-1375-AZ-1729-Gi1/β1/γ2
10.71Single9EAJNanobody AT2099EAJ-AT1-Nanobody AT209
10.71Single9JH6C20:0 Ceramide9JH6-CysLT2-C20:0 Ceramide-chim(NtGi1-Gs-CtGq)/β1/γ2
10.71Consensusnmur1_onOrthosteric Ligand7W53-NMUR1-Neuromedin-U-25-chim(NtGi1-Gs-CtGq)/β1/γ2
10.53Single6TQ9SB-4081246TQ9-OX1-SB-408124
10.53Single7V35Peptide-207V35-Glucagon-Peptide-20-Gs/β1/γ2
10.53Single8JIPMEDI03828JIP-GLP-1-MEDI0382-chim(NtGi1-Gs)/β1/γ2
10.53Single8JIRSAR4258998JIR-GLP-1-SAR425899-chim(NtGi1-Gs)/β1/γ2
10.53Single9L0HJR14a9L0H-C3aB-JR14a-Go/β1/γ2
10.34Single6RZ8ONO-20803656RZ8-CysLT2-ONO-2080365
10.34Single7F54Afamelanotide7F54-MC4-Afamelanotide-Gs/β1/γ2
10.34Single7L0RNeurotensin-(8-13)7L0R-NTS1-Neurotensin-(8-13)-Gi1/β1/γ1
10.34Single8JIQPeptide-158JIQ-Glucagon-Peptide-15-Gs/β1/γ2
10.34Consensuschemokine_onOrthosteric Ligandccr_on cxcr_on
10.26Single7TYOCalcitonin7TYO-CT-Calcitonin-Gs/β1/γ2
10.26Single8JIUSAR4258998JIU-Glucagon-SAR425899-Gs/β1/γ2
10.00Single7PIVAfamelanotide7PIV-MC4-Afamelanotide-Gs/β1/γ2
10.00Single7V6APubChem 98642757V6A-M4-PubChem 9864275-Gi1/β1/γ2
10.00Single8IOCGamma-MSH8IOC-MC3-γ-MSH-Ca-chim(NtGi1-Gs)/β1/γ2
10.00Single8J21Butyric acid8J21-FFA3-Butyric acid-Gi1/β1/γ2
10.00Single8K6ONeuropeptide-Y8K6O-Y1-Neuropeptide-Y-Gi2/β1/γ1
10.00Single9IJRC179IJR-GPR52-C17-Arrestin2
10.00Consensusffa3_onOrthosteric Ligand8J21-FFA3-Butyric acid-Gi1/β1/γ2
10.00Consensusffa3_on_gpOrthosteric Ligand8J21-FFA3-Butyric acid-Gi1/β1/γ2
10.00Consensusgluc_onOrthosteric Ligand6LMK-Glucagon-Glucagon-Gs/β1/γ2 8JIT-Glucagon-MEDI0382-Gs/β1/γ2 7V35-Glucagon-Peptide-20-Gs/β1/γ2
9.76Consensusgluc_on_gpOrthosteric Ligand6LMK-Glucagon-Glucagon-Gs/β1/γ2 8JIT-Glucagon-MEDI0382-Gs/β1/γ2 7V35-Glucagon-Peptide-20-Gs/β1/γ2
9.68Single9IVMGLP-1 (Truncated)9IVM-GLP-1-GLP-1 (Truncated)-LSN3318839-chim(NtGi1-Gs)/β2/γ2
9.52Single5L7IVismodegib5L7I-SMO-Vismodegib
9.52Single6LI0C176LI0-GPR52-C17
9.52Single7T96LY21196207T96-M2-Acetylcholine-LY2119620-Go/β1/γ2
9.52Single7TRPLY20332987TRP-M4-Iperoxo-LY2033298-Gi1/β1/γ2
9.52Single7XKFDehydroepiandrosterone7XKF-ADGRG2-Dehydroepiandrosterone-Gs/β1/γ2
9.52Single8YKDDehydroepiandrosterone8YKD-ADGRG2-Dehydroepiandrosterone-chim(NtGi1-Gs)/β1/γ2
9.52Single9JLCAVE 09919JLC-MAS1-AVE 0991-Gi1/β1/γ2
9.52Single9LMPNE52-QQ579LMP-GPR4-NE52-QQ57
9.38Single6NIYCalcitonin-16NIY-CT-Calcitonin-1-Gs/β1/γ2
9.38Single7FINPeptide-20; GGL7FIN-GIP-Peptide-20; GGL-Gs/β1/γ2
9.38Single7W57Neuromedin-S7W57-NMUR2-Neuromedin-S-chim(NtGi1-Gs-CtGq)/β1/γ2
9.38Consensusneuromedin-u_onOrthosteric Ligandnmur1_on nmur2_on
9.09Single4MQTLY21196204MQT-M2-Iperoxo-LY2119620
9.09Single5U09Taranabant5U09-CB1-Taranabant
9.09Single6FKBPubChem 1324730386FKB-Rhodopsin-PubChem 132473038
9.09Single7F8YDevazepide7F8Y-CCKA-Devazepide
9.09Single7LCJDanuglipron7LCJ-GLP-1-Danuglipron
9.09Single7VDLCortistatin-147VDL-MRGPRX2-Cortistatin-14-Gi1/β1/γ2
9.09Single7XJJGalanin7XJJ-GAL1-Galanin-Go/β1/γ2
9.09Single8T3SButyric acid8T3S-FFA2-Butyric acid-chim(NtGi2L-Gs-CtGq)/β1/γ2
9.09Single8T3VDoconexent8T3V-FFA1-Doconexent-chim(NtGi2L-Gs-CtGq)/β1/γ2
9.09Single8U4PAMD31008U4P-CXCR4-AMD3100-Gi1/β1/γ2
9.09Single8U8FPalmitic Acid8U8F-GPR3-Palmitic Acid-Gs/β1/γ2
9.09Single9KO2CCL199KO2-CCR7-CCL19-Gi1/β1
9.09Single9KO6CCL199KO6-CCR7-CCL19
9.09Consensuscxcr1_onOrthosteric Ligand8IC0-CXCR1-CXCL8-Gi1/β1/γ2
9.09Consensusneuromedin-u_on_gpOrthosteric Ligandnmur1_on_gp nmur2_on_gp
8.70Single6FK8PubChem 1324730356FK8-Rhodopsin-PubChem 132473035
8.70Single6U1NLY21196206U1N-M2-LY2119620-Arrestin2
8.70Single6WJCMuscarinic toxin 76WJC-M1-Atropine-Muscarinic toxin 7
8.70Single7C2EPubChem 1490507997C2E-GLP-1-PubChem 149050799-Gs/β1/γ2
8.70Single7T94LY21196207T94-M2-Acetylcholine-LY2119620-chim(NtGi1-Go)/β1/γ2
8.70Single7UTZDPPC7UTZ-TSH-TSH-DPPC-Gs/β1/γ2
8.70Single8IYXYL-3658IYX-GPR34-YL-365
8.70Single8K4NPubChem 1687197658K4N-GPR34-PubChem 168719765-Gi1/β1/γ2
8.70Single9DQJEP-39459DQJ-MRGPRD-EP-3945-chim(NtGi1-Gs-CtGq)/β1/γ2
8.70Single9IXXLTD49IXX-CysLT2-LTD4-chim(NtGi1-Gs-CtGq)/β1/γ2
8.70Single9JFUNE52-QQ579JFU-GPR4-NE52-QQ57
8.70Single9K0KUTP9K0K-P2Y4-UTP-chim(NtGi1-Gs-CtGq)/β1/γ2
8.70Single9U80Conivaptan9U80-V2-Conivaptan
8.70Consensuscxcr2_onOrthosteric Ligand6LFM-CXCR2-CXCL8-Gi1/β1/γ2
8.57Single8W8XBeta-MSH8W8X-MC3-β-MSH-Ca-Gs/β1/γ2
8.33Single4QIMANTA XV4QIM-SMO-ANTA XV
8.33Single6ORVTT-OAD26ORV-GLP-1-TT-OAD2-Gs/β1/γ2
8.33Single6X1ADanuglipron6X1A-GLP-1-Danuglipron-Gs/β1/γ2
8.33Single7FIHOrg435537FIH-LH-hCG-Org43553-chim(NtGi1-Gs)/β1/γ2
8.33Single7LCIDanuglipron7LCI-GLP-1-Danuglipron-Gs/β1/γ2
8.33Single7LCKDanuglipron7LCK-GLP-1-Danuglipron
8.33Single7PP1Selatogrel7PP1-P2Y12-Selatogrel
8.33Single7TRQVU04671547TRQ-M4-Iperoxo-VU0467154-Gi1/β1/γ2
8.33Single7WQ3Galanin7WQ3-GAL1-Galanin-Gi1/β1/γ2
8.33Single8IC0CXCL88IC0-CXCR1-CXCL8-Gi1/β1/γ2
8.33Single8XBGS3E-Lysophosphatidylserine 8XBG-GPR34-S3E-Lysophosphatidylserine
8.33Single8ZYYNeurotensin-(8-13)8ZYY-NTS1-Neurotensin-(8-13)-SBI-553-Arrestin2
8.33Single9METGp120; CD49MET-CXCR4-Gp120; CD4
8.33Consensuscxcr1_on_gpOrthosteric Ligand8IC0-CXCR1-CXCL8-Gi1/β1/γ2
8.33Consensusgal1_onOrthosteric Ligand7WQ3-GAL1-Galanin-Gi1/β1/γ2
8.33Consensusgal1_on_gpOrthosteric Ligand7WQ3-GAL1-Galanin-Gi1/β1/γ2
8.33Consensusgi_galaninOrthosteric Ligand7WQ3-GAL1-Galanin-Gi1/β1/γ2
8.11Single7RBTTirzepatide7RBT-GIP-Tirzepatide-LSN3556672-chim(NtGi1-Gs)/β1/γ2
8.00Single4JKVTaladegib4JKV-SMO-Taladegib
8.00Single6Z4QSR142948A6Z4Q-NTS1-SR142948A
8.00Single7VV0PAMP-127VV0-MRGPRX2-PAMP-12
8.00Single7VV4Cortistatin-147VV4-MRGPRX2-Cortistatin-14
8.00Single8IZ4Lysophosphatidylserine (TJR)8IZ4-GPR34-Lysophosphatidylserine (TJR)-Gi1/β1/γ2
8.00Single8ZYTNeurotensin-(8-13)8ZYT-NTS1-Neurotensin-(8-13)-SBI-553-Arrestin2
8.00Single9DQHEP-28259DQH-MRGPRD-EP-2825-chim(NtGi1-Gs-CtGq)/β1/γ2
8.00Single9EAHNanobody AT2099EAH-AT1-Olmesartan-Nanobody AT209
8.00Consensuscyslt_offOrthosteric Ligandcyslt2_off cyslt1_off
7.89Single7VBHPeptide-207VBH-GLP-1-Peptide-20-Gs/β1/γ2
7.69Single5V56TC1145V56-SMO-TC114
7.69Single5V57TC1145V57-SMO-TC114
7.69Single6OS1TRV0266OS1-AT1-TRV026
7.69Single7S8MCortistatin-147S8M-MRGPRX2-Cortistatin-14-Gi1/β1/γ2
7.69Single7XJLSpexin7XJL-GAL2-Spexin-chim(NtGi2L-Gs-CtGq)/β1/γ2
7.69Single7XWONeurokinin-A7XWO-NK2-Neurokinin-A-chim(NtGi1-Gs-CtGq)/β1/γ2
7.69Single8XBIPubChem 1626566368XBI-GPR34-PubChem 162656636
7.69Single9ITELPA9ITE-LPA6-LPA-chim(NtGi2-G13)/β1/γ2
7.69Single9YDVMRS29059YDV-P2Y14-MRS2905-Gi1/β1/γ2
7.69Consensusffa_onOrthosteric Ligandffa2_on ffa3_on
7.69Consensusffa_on_gpOrthosteric Ligandffa2_on_gp ffa3_on_gp
7.69Consensusgi_ffaOrthosteric Ligand8J21-FFA3-Butyric acid-Gi1/β1/γ2 8J22-FFA2-TUG-1375-Gi1/β1/γ2
7.69Consensusnk2_on_gpOrthosteric Ligand7XWO-NK2-Neurokinin-A-chim(NtGi1-Gs-CtGq)/β1/γ2
7.50Single8JITMEDI03828JIT-Glucagon-MEDI0382-Gs/β1/γ2
7.41Single3VW7Vorapaxar; Na3VW7-PAR1-Vorapaxar; Na
7.41Single4PXZ2MeSADP4PXZ-P2Y12-2MeSADP
7.41Single4PY02MeSATP4PY0-P2Y12-2MeSATP
7.41Single4XEENeurotensin-(8-13)4XEE-NTS1-Neurotensin-(8-13)
7.41Single4XESNeurotensin-(8-13)4XES-NTS1-Neurotensin-(8-13)
7.41Single6OSAJMV4496OSA-NTS1-JMV449-Gi1/β1/γ2
7.41Single6RZ7ONO-25703666RZ7-CysLT2-ONO-2570366
7.41Single6YVRNeurotensin-(6-13)6YVR-NTS1-Neurotensin-(6-13)
7.41Single7L0SNeurotensin-(8-13)7L0S-NTS1-Neurotensin-(8-13)-Gi1/β1/γ1
7.41Single7WQ4Galanin7WQ4-GAL2-Galanin-chim(NtGi1-Gs-CtGq)/β1/γ2
7.41Single7XJKGalanin7XJK-GAL2-Galanin-chim(NtGi2L-Gs-CtGq)/β1/γ2
7.41Single8WRBLysophosphatidylserine (UBL)8WRB-GPR34-Lysophosphatidylserine (UBL)-Gi1/β1/γ2
7.41Single9YDUUDP-Glucose9YDU-P2Y14-UDP-Glucose-Gi1/β1/γ2
7.41Consensusgi_neurotensinOrthosteric Ligand6OSA-NTS1-JMV449-Gi1/β1/γ2 7L0S-NTS1-Neurotensin-(8-13)-Gi1/β1/γ1
7.41Consensusneurotensin_on_gpOrthosteric Ligandnts1_on_gp
7.41Consensusnts1_on_gpOrthosteric Ligand6OSA-NTS1-JMV449-Gi1/β1/γ2 7L0S-NTS1-Neurotensin-(8-13)-Gi1/β1/γ1
7.14Single4BUONeurotensin-(8-13)4BUO-NTS1-Neurotensin-(8-13)
7.14Single6RZ9ONO-27703726RZ9-CysLT2-ONO-2770372
7.14Single7CX4Evatanepag7CX4-EP2-Evatanepag-Gs/β1/γ2
7.14Single8FN0Neurotensin-(8-13)8FN0-NTS1-Neurotensin-(8-13)-SBI-553-chim(NtGi1-Go)/β1/γ2
7.14Single8XBES3E-Lysophosphatidylserine 8XBE-GPR34-S3E-Lysophosphatidylserine-Gi1/β1/γ1
7.14Single8XVUCXCL28XVU-CXCR2-CXCL2
7.14Single8XXHCXCL28XXH-CXCR2-CXCL2-Go/β1/γ2
7.14Single9J0BUDP-Glucose9J0B-P2Y14-UDP-Glucose-Gi1/β1/γ2
7.14Consensuscyslt2_offOrthosteric Ligand6RZ7-CysLT2-ONO-2570366 6RZ8-CysLT2-ONO-2080365 6RZ9-CysLT2-ONO-2770372
6.90Single6KNMJN241-96KNM-Apelin-JN241-9
6.90Single6RZ6ONO-25703666RZ6-CysLT2-ONO-2570366
6.90Single7CX2PGE27CX2-EP2-PGE2-Gs/β1/γ2
6.90Single8XQJJN2418XQJ-Apelin; Apelin-JN241
6.90Single8XX6CXCL88XX6-CXCR2-CXCL8-Go/β1/γ2
6.90Single9ITBLPA9ITB-LPA6-LPA-chim(NtGi1-Gs-CtGq)/β1/γ2
6.67Single7CX3Taprenepag7CX3-EP2-Taprenepag-Gs/β1/γ2
6.67Single7RTBPeptide-197RTB-GLP-1-Peptide-19-Gs/β1/γ2
6.67Single7W2ZGhrelin7W2Z-Ghrelin-Ghrelin-Go/β1/γ2
6.67Single8INRAlpha-MSH8INR-MC5-α-MSH-Ca-chim(NtGi1-Gs)/β1/γ2
6.67Single8XWNCXCL88XWN-CXCR2-CXCL8
6.67Single9J0IUDP-Glucuronic acid9J0I-P2Y14-UDP-Glucuronic acid-Gi1/β1/γ2
6.45Single9J0FNADH9J0F-P2Y14-NADH-Gi1/β1/γ2
6.25Single7W55Neuromedin-U-257W55-NMUR2-Neuromedin-U-25-chim(NtGi1-Gs-CtGq)/β1/γ2
6.25Consensusnmur2_onOrthosteric Ligand7W55-NMUR2-Neuromedin-U-25-chim(NtGi1-Gs-CtGq)/β1/γ2
6.25Consensusnmur2_on_gpOrthosteric Ligand7W55-NMUR2-Neuromedin-U-25-chim(NtGi1-Gs-CtGq)/β1/γ2
5.88Single5YQZNNC17025YQZ-Glucagon-NNC1702
5.56Single5NX2GLP-1 (Truncated)5NX2-GLP-1-GLP-1 (Truncated)
5.26Single7XKEDehydroepiandrosterone7XKE-ADGRG2-Dehydroepiandrosterone-chim(NtGi1-Gs)/β1/γ2
5.26Single8HQMNPGLY8HQM-GPR132-NPGLY-Gi1/β1/γ2
5.26Single8HVINOX-6-78HVI-GPR132-NOX-6-7-Gi1/β1/γ2
5.26Single8X9S5alpha-DHT8X9S-ADGRD1-5α-DHT-chim(NtGi1-Gs)/β1/γ2
5.00Single8U4QREGN7663-Fab8U4Q-CXCR4-REGN7663-Fab-Gi1/β1/γ2
4.76Single6OIKLY21196206OIK-M2-Iperoxo-LY2119620-chim(NtGi1-Go)/β1/γ2
4.76Single6PWCNeurotensin-(9-13)6PWC-NTS1-Neurotensin-(9-13)-Arrestin2
4.76Single8RQLFlufenamic acid8RQL-TAS2R14-Flufenamic acid-Flufenamic acid-chim(NtGi1-Gt3)/β1/γ2
4.55Single8FX5Xanomeline8FX5-M4-Xanomeline-Xanomeline-Gi1/β1/γ2
4.55Single9E7RGB889E7R-PAR2-GB88-chim(NtGi1L-Gs-CtGq)/β1/γ2
4.55Single9JCPLPC9JCP-GPR4-LPC-chim(NtGi1-Gs-CtGq)/β1/γ2
4.55Consensusadgrg_onOrthosteric Ligandadgrg2_on adgrg4_on
4.55Consensusadgrg_on_gpOrthosteric Ligandadgrg2_on_gp adgrg4_on_gp
4.35Single4K5YCP-3763954K5Y-CRF1-CP-376395
4.35Single4XNVBPTU4XNV-P2Y1-BPTU
4.35Single6LFOCXCL86LFO-CXCR2-CXCL8-Gi1/β1/γ2
4.35Single6ZA8RTI-3a6ZA8-NTS1-RTI-3a
4.35Single7WV9ZCZ0117WV9-CB1-CP55940-ZCZ011-Gi2/β1/γ2
4.35Single8DWHPubChem 1390305318DWH-MRGPRX1-PubChem 139030531-chim(NtGi2L-Gs-CtGq)/β1/γ2
4.35Single8U4SREGN7663-Fab8U4S-CXCR4-REGN7663-Fab
4.35Single8U4TREGN7663-Fab8U4T-CXCR4-REGN7663-Fab
4.35Single8XXXCXCL68XXX-CXCR2-CXCL6-Go/β1/γ2
4.35Single8YNFCXCL88YNF-ACKR1-CXCL8
4.17Single6ZINSR486926ZIN-NTS1-SR48692
4.17Single8HJ5PubChem 1390305318HJ5-MRGPRX1-PubChem 139030531-chim(NtGi1-Gs-CtGq)/β1/γ2
4.17Single8JD6VU03647708JD6-mGlu4; mGlu4-Phosphoserine-VU0364770-Gi3/β1/γ2
4.17Single8YRGFospropofol8YRG-MRGPRX4-Fospropofol-chim(NtGi1-Gs-CtGq)/β1/γ2
4.17Single9JQYTG6-1299JQY-EP4-TG6-129
4.00Single4Z9GCP-3763954Z9G-CRF1-CP-376395
4.00Single5T04Neurotensin-(8-13)5T04-NTS1-Neurotensin-(8-13)
4.00Single6Z4VNeurotensin-(9-13)6Z4V-NTS1-Neurotensin-(9-13)
4.00Single7S15PubChem 1346112237S15-GLP-1-PubChem 134611223
4.00Single7SK8CXCL127SK8-ACKR3-CXCL12-CCX662
4.00Single8GTIBMK-C2058GTI-CRF1-BMK-C205
4.00Single9JROPF-044189489JRO-EP2-PF-04418948
3.85Single6Z4SSR486926Z4S-NTS1-SR48692
3.85Single8GTGBMK-I1528GTG-CRF1-BMK-I152
3.85Single8JGGBAM8-228JGG-MRGPRX1-BAM8-22-Gi1/β1/γ2
3.85Single9JRTTG6-1299JRT-EP2-TG6-129
3.85Consensusadgrg2_onOrthosteric Ligand7WUI-ADGRG2-IP15-chim(NtGi1-Gs)/β1/γ2 7WUQ-ADGRG2-Gs/β1/γ2 7XKF-ADGRG2-Dehydroepiandrosterone-Gs/β1/γ2
3.85Consensusadgrg2_on_gpOrthosteric Ligand7WUI-ADGRG2-IP15-chim(NtGi1-Gs)/β1/γ2 7WUQ-ADGRG2-Gs/β1/γ2 7XKF-ADGRG2-Dehydroepiandrosterone-Gs/β1/γ2
3.70Single3ZEVNeurotensin-(7-13)3ZEV-NTS1-Neurotensin-(7-13)
3.70Single4BV0Neurotensin-(7-13)4BV0-NTS1-Neurotensin-(7-13)
3.70Single6Z8NSRI-98296Z8N-NTS1-SRI-9829
3.70Single7L0PNeurotensin-(8-13)7L0P-NTS1-Neurotensin-(8-13)-Gi1/β1/γ1
3.70Single7L0QNeurotensin-(8-13)7L0Q-NTS1-Neurotensin-(8-13)-Gi1/β1/γ1
3.70Single7SK7CXCL127SK7-ACKR3-CXCL12-CCX662
3.70Single8FMZNeurotensin-(8-13)8FMZ-NTS1-Neurotensin-(8-13)-chim(NtGi2L-Gs-CtGq)/β1/γ2
3.70Single8JD5JNJ-40411813; ADX881788JD5-mGlu2; mGlu4-Glutamate-JNJ-40411813; ADX88178-Gi1/β1/γ2
3.70Single8JGFBAM8-228JGF-MRGPRX1-BAM8-22-chim(NtGi1-Gs-CtGq)/β1/γ2
3.70Single8XX7CXCL58XX7-CXCR2-CXCL5-Go/β1/γ2
3.70Consensusneurotensin_onOrthosteric Ligandnts1_on
3.70Consensusnts1_onOrthosteric Ligand6OSA-NTS1-JMV449-Gi1/β1/γ2 7L0S-NTS1-Neurotensin-(8-13)-Gi1/β1/γ1
3.57Single4GRVNeurotensin-(8-13)4GRV-NTS1-Neurotensin-(8-13)
3.57Single8DWCBAM8-228DWC-MRGPRX1-BAM8-22-chim(NtGi2L-Gs-CtGq)/β1/γ2
3.57Single8GTMBMK-C2038GTM-CRF1-BMK-C203
3.57Single8JPBNeurotensin-(8-13)8JPB-NTS1-Neurotensin-(8-13)-SBI-553; GDP; Mg-Gq; GRK2
3.57Single8XQJJN2418XQJ-Apelin; Apelin-JN241
3.57Single8XWACXCL18XWA-CXCR2-CXCL1
3.57Single8XWMCXCL68XWM-CXCR2-CXCL6
3.57Single8XWSCXCL58XWS-CXCR2-CXCL5
3.57Single8XX3CXCL38XX3-CXCR2-CXCL3-Go/β1/γ2
3.45Single6M1HMaxadilan6M1H-PAC1-Maxadilan-Gs/β1/γ2
3.45Single6UP7Neurotensin-(8-13)6UP7-NTS1-Neurotensin-(8-13)-Arrestin2
3.45Single8JPFNeurotensin-(8-13)8JPF-NTS1-Neurotensin-(8-13)-SBI-553
3.45Single8XWFCXCL38XWF-CXCR2-CXCL3
3.45Single8XWVCXCL18XWV-CXCR2-CXCL1-Go/β1/γ2
3.45Single9JH5C16:0 Ceramide9JH5-CysLT2-C16:0 Ceramide-chim(NtGi1-Gs-CtGq)/β1/γ2
3.33Single5TZYMK8666; AP85TZY-FFA1-MK8666; AP8
3.33Single6OS9JMV4496OS9-NTS1-JMV449-Gi1/β1/γ2
3.33Single8SAILysophosphatidylserine (S12)8SAI-GPR34-Lysophosphatidylserine (S12)-Gi1/β1/γ2
3.23Single7VLACCL15(27-92)7VLA-CCR1-CCL15(27-92)-Gi1/β1/γ2
3.23Single8DWGBAM8-228DWG-MRGPRX1-BAM8-22-ML382-chim(NtGi2L-Gs-CtGq)/β1/γ2
3.23Consensusccr1_onOrthosteric Ligand7VLA-CCR1-CCL15(27-92)-Gi1/β1/γ2
3.23Consensusccr1_on_gpOrthosteric Ligand7VLA-CCR1-CCL15(27-92)-Gi1/β1/γ2

PDB Summary
PDB 9AS0
Class A
SubFamily Amine
Type 5-Hydroxytryptamine
SubType 5-HT2A
Species Homo Sapiens
Ligand 2-bromo-LSD
Other Ligand(s) -
Protein Partners chim(NtGi1-Gs-CtGq)/Beta1/Gamma2
PDB Resolution 3.38
Date 2025-04-02
D.O.I. doi.org/10.1038/s41467-025-57956-7
Net Summary
Imin 1.86
Number of Linked Nodes 816
Number of Links 1133
Number of Hubs 230
Number of Links mediated by Hubs 806
Number of Communities 13
Number of Nodes involved in Communities 351
Number of Links involved in Communities 595
Path Summary
Number Of Nodes in MetaPath 104
Number Of Links MetaPath 103
Number of Shortest Paths 22569161
Length Of Smallest Path 3
Average Path Length 64.0718
Length of Longest Path 67
Minimum Path Strength 1.355
Average Path Strength 7.63007
Maximum Path Strength 20.28
Minimum Path Correlation 0.7
Average Path Correlation 1
Maximum Path Correlation 1
Minimum % Of Corr. Nodes 2.04082
Average % Of Corr. Nodes 34.9307
Maximum % Of Corr. Nodes 100
Minimum Path Hubs % 0
Average Path Hubs % 109.559
Maximum Path Hubs % 100
AnnotationTypeLinks
Gene OntologyMolecular Function
Gene OntologyBiological Process
Gene OntologyCellular Component
SCOP2Domain Identifier• G protein-coupled receptor-like
SCOP2Family Identifier• G protein-coupled receptor-like
Membrane Protein Annotations-• Orientations of Proteins in Membranes database (OPM)   • Protein Data Bank of Transmembrane Proteins (PDBTM)   • MemProtMD


Details about the values in these tables can be found in the corresponding documentation page .
Code_L_
PDB ResiduesL:L:?1
Environment DetailsOpen EMBL-EBI Page
Code_L_
Name
Synonyms
Identifier
Formula
Molecular Weight
SMILES
PubChem
Formal Charge
Total Atoms
Total Chiral Atoms
Total Bonds
Total Aromatic Bonds

PDBsumOpen PDBsum Page
ChainA
ProteinG Protein α Sub unit
UniProtP63092
Sequence
>9AS0_Chain_A
EKAEKIKLD RTRLLLLGA SGKSTIVKQ MRTSGIFET KFQVDKVNF 
HMFDVGGQR DERRKWIQC FNDVTAIIF VVSSYNRLQ EALNFKSIW 
NNRWLRTIS VILFLNKQD LLAEKVLAG KSKIEDYFP EFARYTTPE 
DATPEPGED PRVTRAKYF IREFISTAS GDGRHCYPH FTCAVDTEN 
RRFNDCDII MLRYLTVSA DAARSMDNR EGEKARLDN DDDKVDIAI 
KLQNENV


Click on each residue to open a popup with some information about it.

ConSurf Conservation Grade (See documentation): 

 n/a   1    2    3    4    5    6    7    8    9  

ChainB
ProteinG Protein β Sub unit
UniProtP62873
Sequence
>9AS0_Chain_B
QLKNQIRDA RKACADATL SQITNNIDP VGRIQMRTR RTLRGHLAK 
IYAMHWGTD SRLLVSASQ DGKLIIWDS YTTNKVHAI PLRSSWVMT 
CAYAPSGNY VACGGLDNI CSIYNLKTR EGNVRVSRE LAGHTGYLS 
CCRFLDDNQ IVTSSGDTT CALWDIETG QQTTTFTGH TGDVMSLSL 
APDTRLFVS GACDASAKL WDVREGMCR QTFTGHESD INAICFFPN 
GNAFATGSD DATCRLFDL RADQELMTY SHDNIICGI TSVSFSKSG 
RLLLAGYDD FNCNVWDAL KADRAGVLA GHDNRVSCL GVTDDGMAV 
ATGSWDSFL KIWN


Click on each residue to open a popup with some information about it.

ConSurf Conservation Grade (See documentation): 

 n/a   1    2    3    4    5    6    7    8    9  

ChainG
ProteinG Protein γ Sub unit
UniProtP59768
Sequence
>9AS0_Chain_G
LKMEANIDR IKVSKAAAD LMAYCEAHA KEDPLLTPV PASENPF


Click on each residue to open a popup with some information about it.

ConSurf Conservation Grade (See documentation): 

 n/a   1    2    3    4    5    6    7    8    9  

ChainR
ProteinReceptor
UniProtP28223
Sequence
>9AS0_Chain_R
LTAVVIILT IAGNILVIM AVSLEKKLQ NATNYFLMS LAIADMLLG 
FLVMPVSML TILYGYRWP LPSKLCAVW IYLDVLFST ASIMHLCAI 
SLDRYVAIQ NPIHHSRFN SRTKAFLKI IAVWTISVG ISMPIPVFG 
LQDDSKVFK EGSCLLADD NFVLIGSFV SFFIPLTIM VITYFLTIK 
SLQQSISNE QKACKVLGI VFFLFVVMW CPFFITNIM AVICNEDVI 
GALLNVFVW IGYLSSAVN PLVYTLFNK TYRSAFSRY IQ


Click on each residue to open a popup with some information about it.

ConSurf Conservation Grade (See documentation): 

 n/a   1    2    3    4    5    6    7    8    9  




This receptor, from the same or other species and bound to the same or other ligands, is also present in the following networks:
Show PDB Class SubFamily Type SubType Species Orthosteric Ligand Other Ligand(s) Protein Partners Resolution Date DOI
6A93AAmine5-Hydroxytryptamine5-HT2AHomo sapiensRisperidone--32019-02-13doi.org/10.1038/s41594-018-0180-z
6A94AAmine5-Hydroxytryptamine5-HT2AHomo sapiensZotepine--2.92019-02-13doi.org/10.1038/s41594-018-0180-z
6WGTAAmine5-Hydroxytryptamine5-HT2AHomo sapiensLSD--3.42020-09-23doi.org/10.1016/j.cell.2020.08.024
6WH4AAmine5-Hydroxytryptamine5-HT2AHomo sapiensMethiothepin--3.42020-09-23doi.org/10.1016/j.cell.2020.08.024
6WHAAAmine5-Hydroxytryptamine5-HT2AHomo sapiensDB13948-chim(NtGi2L-Gs-CtGq)/β1/γ23.362020-09-23doi.org/10.1016/j.cell.2020.08.024
6WHA (No Gprot) AAmine5-Hydroxytryptamine5-HT2AHomo sapiensDB13948-3.362020-09-23doi.org/10.1016/j.cell.2020.08.024
7VODAAmine5-Hydroxytryptamine5-HT2AHomo sapiensCariprazine--3.32021-12-22doi.org/10.1038/s41593-021-00971-w
7VOEAAmine5-Hydroxytryptamine5-HT2AHomo sapiensAripiprazole--2.92021-12-22doi.org/10.1038/s41593-021-00971-w
7WC4AAmine5-Hydroxytryptamine5-HT2AHomo sapiensSerotonin--3.22022-01-26doi.org/10.1126/science.abl8615
7WC5AAmine5-Hydroxytryptamine5-HT2AHomo sapiensPsilocin--3.22022-01-26doi.org/10.1126/science.abl8615
7WC6AAmine5-Hydroxytryptamine5-HT2AHomo sapiensLSD--2.62022-01-26doi.org/10.1126/science.abl8615
7WC7AAmine5-Hydroxytryptamine5-HT2AHomo sapiensLisuride--2.62022-01-26doi.org/10.1126/science.abl8615
7WC8AAmine5-Hydroxytryptamine5-HT2AHomo sapiensLumateperone--2.452022-01-26doi.org/10.1126/science.abl8615
7WC9AAmine5-Hydroxytryptamine5-HT2AHomo sapiensPubChem 162421364--2.52022-01-26doi.org/10.1126/science.abl8615
7RANAAmine5-Hydroxytryptamine5-HT2AHomo sapiensPubChem 164575847-chim(NtGi2L-Gs-CtGq)/β1/γ23.452022-07-06doi.org/10.1038/s41586-022-05258-z
7RAN (No Gprot) AAmine5-Hydroxytryptamine5-HT2AHomo sapiensPubChem 164575847-3.452022-07-06doi.org/10.1038/s41586-022-05258-z
8UWLAAmine5-Hydroxytryptamine5-HT2AHomo sapiensLisuride-chim(NtGi2-Gs-CtGq)/β1/γ22.82024-05-29doi.org/10.1126/science.adn6354
8UWL (No Gprot) AAmine5-Hydroxytryptamine5-HT2AHomo sapiensLisuride-2.82024-05-29doi.org/10.1126/science.adn6354
8V6UAAmine5-Hydroxytryptamine5-HT2AHomo sapiensPubChem 171392456-chim(NtGi2-Gs-CtGq)/β1/γ232024-05-29doi.org/10.1126/science.adn6354
8V6U (No Gprot) AAmine5-Hydroxytryptamine5-HT2AHomo sapiensPubChem 171392456-32024-05-29doi.org/10.1126/science.adn6354
8ZMGAAmine5-Hydroxytryptamine5-HT2AHomo sapiensPimavanserin--3.42024-08-28doi.org/10.1021/acs.jmedchem.4c01244
8JT8AAmine5-Hydroxytryptamine5-HT2AHomo sapiens(R)-IHCH-7179--2.72024-02-28doi.org/10.1016/j.cell.2024.02.034
9ARXAAmine5-Hydroxytryptamine5-HT2AHomo sapiensSerotonin--3.242025-04-02doi.org/10.1038/s41467-025-57956-7
9ARYAAmine5-Hydroxytryptamine5-HT2AHomo sapiensSerotonin-chim(NtGi1-Gs-CtGq)/β1/γ23.272025-04-02doi.org/10.1038/s41467-025-57956-7
9ARY (No Gprot) AAmine5-Hydroxytryptamine5-HT2AHomo sapiensSerotonin-3.272025-04-02doi.org/10.1038/s41467-025-57956-7
9ARZAAmine5-Hydroxytryptamine5-HT2AHomo sapiens2-bromo-LSD--3.372025-04-02doi.org/10.1038/s41467-025-57956-7
9AS0 (No Gprot) AAmine5-Hydroxytryptamine5-HT2AHomo sapiens2-bromo-LSD-3.382025-04-02doi.org/10.1038/s41467-025-57956-7
9AS1AAmine5-Hydroxytryptamine5-HT2AHomo sapiensDMT--3.382025-04-02doi.org/10.1038/s41467-025-57956-7
9AS2AAmine5-Hydroxytryptamine5-HT2AHomo sapiensDMT-chim(NtGi1-Gs-CtGq)/β1/γ23.212025-04-02doi.org/10.1038/s41467-025-57956-7
9AS2 (No Gprot) AAmine5-Hydroxytryptamine5-HT2AHomo sapiensDMT-3.212025-04-02doi.org/10.1038/s41467-025-57956-7
9AS3AAmine5-Hydroxytryptamine5-HT2AHomo sapiensLSD--3.182025-04-02doi.org/10.1038/s41467-025-57956-7
9AS4AAmine5-Hydroxytryptamine5-HT2AHomo sapiensLSD-chim(NtGi1-Gs-CtGq)/β1/γ23.062025-04-02doi.org/10.1038/s41467-025-57956-7
9AS4 (No Gprot) AAmine5-Hydroxytryptamine5-HT2AHomo sapiensLSD-3.062025-04-02doi.org/10.1038/s41467-025-57956-7
9AS5AAmine5-Hydroxytryptamine5-HT2AHomo sapiensMescaline--3.342025-04-02doi.org/10.1038/s41467-025-57956-7
9AS6AAmine5-Hydroxytryptamine5-HT2AHomo sapiensMescaline-chim(NtGi1-Gs-CtGq)/β1/γ23.072025-04-02doi.org/10.1038/s41467-025-57956-7
9AS6 (No Gprot) AAmine5-Hydroxytryptamine5-HT2AHomo sapiensMescaline-3.072025-04-02doi.org/10.1038/s41467-025-57956-7
9AS7AAmine5-Hydroxytryptamine5-HT2AHomo sapiensPsilocin--2.722025-04-02doi.org/10.1038/s41467-025-57956-7
9AS9AAmine5-Hydroxytryptamine5-HT2AHomo sapiensRS130-180--3.472025-04-02doi.org/10.1038/s41467-025-57956-7
9ASAAAmine5-Hydroxytryptamine5-HT2AHomo sapiensRS130-180-chim(NtGi1-Gs-CtGq)/β1/γ23.122025-04-02doi.org/10.1038/s41467-025-57956-7
9ASA (No Gprot) AAmine5-Hydroxytryptamine5-HT2AHomo sapiensRS130-180-3.122025-04-02doi.org/10.1038/s41467-025-57956-7
9AS8AAmine5-Hydroxytryptamine5-HT2AHomo sapiensPsilocin-chim(NtGi2L-Gs-CtGq)/β1/γ22.542025-04-0210.1038/s41467-025-57956-7
9AS8 (No Gprot) AAmine5-Hydroxytryptamine5-HT2AHomo sapiensPsilocin-2.542025-04-0210.1038/s41467-025-57956-7
9LL9AAmine5-Hydroxytryptamine5-HT2AHomo sapiensDOI-chim(NtGi1L-Gs-CtGq)/β1/γ22.762026-01-14To be published
9LL9 (No Gprot) AAmine5-Hydroxytryptamine5-HT2AHomo sapiensDOI-2.762026-01-14To be published
9LLAAAmine5-Hydroxytryptamine5-HT2AHomo sapiensAriadne-chim(NtGi1L-Gs-CtGq)/β1/γ23.272026-01-14To be published
9LLA (No Gprot) AAmine5-Hydroxytryptamine5-HT2AHomo sapiensAriadne-3.272026-01-14To be published
9LLBAAmine5-Hydroxytryptamine5-HT2AHomo sapiensDOI-NBOMe-chim(NtGi1L-Gs-CtGq)/β1/γ22.982026-01-14To be published
9LLB (No Gprot) AAmine5-Hydroxytryptamine5-HT2AHomo sapiensDOI-NBOMe-2.982026-01-14To be published
9LL7AAmine5-Hydroxytryptamine5-HT2AHomo sapiensDOI-Gi1/β1/γ22.842026-01-14To be published
9LL7 (No Gprot) AAmine5-Hydroxytryptamine5-HT2AHomo sapiensDOI-2.842026-01-14To be published
9LL8AAmine5-Hydroxytryptamine5-HT2AHomo sapiensPsilocin-Gi1/β1/γ22.622026-01-14To be published
9LL8 (No Gprot) AAmine5-Hydroxytryptamine5-HT2AHomo sapiensPsilocin-2.622026-01-14To be published




You can download a compressed (zip) file with structure(s), 3D outputs (as PyMol and VMD scripts) and numerical data files (as csv and plain text files).

Download 9AS0.zip



You can click to copy the link of this page to easily come back here later

or use this QR code to link and share this page.



You can also  read or  download a guide explaining the meaning of all files and numerical data.