Color ConSurf Grade
      No Conservation data available
      1
      2
      3
      4
      5
      6
      7
      8
      9

Index: hub id, click on each number to highlight the corresponding hub in the 3D visualization.

Hub: the hub being considered.

Avg Int. Strength: the average interaction strength of all the links of the corresponding hub.

Num Of Links: the number of links of the corresponding hub.

Community: the id of the community the link belong to, otherwise 0.

ConSurf: this column reports the ConSurf conservation grades of each hub.

Index Hub Avg Int. Strength Num Of Links Community ConSurf
1A:A:D33 3.45405
2A:A:L44 5.515419
3A:A:K53 7.5975449
4A:A:F212 5.75509
5A:A:F219 6.721676168
6A:A:F222 4.44417
7A:A:Q227 5.1175419
8A:A:K233 6.2975419
9A:A:W234 5.33571719
10A:A:F238 6.664519
11A:A:F246 6.7475409
12A:A:V248 7.19754217
13A:A:D249 4.784128
14A:A:Y253 8.018508
15A:A:F273 5.51167659
16A:A:W277 7.968556
17A:A:W281 6.8575405
18A:A:F290 5.846549
19A:A:F315 16.2765226
20A:A:Y318 11.50254226
21A:A:R342 9.948554
22A:A:E344 4.395405
23A:A:F345 6.3445218
24A:A:V346 3.9675454
25A:A:S349 5.395457
26A:A:D354 3.45453
27A:A:Y360 10.466548
28A:A:F363 9.345455
29A:A:N371 8.424549
30A:A:R374 6.62444
31A:A:F376 6.863336168
32A:A:D378 11.48447
33A:A:N387 4.5575488
34A:A:E390 6.876584
35A:A:Y391 9.57484
36A:A:L393 5.61754238
37B:B:L14 7.1625408
38B:B:R22 5.7825436
39B:B:V40 4.3945243
40B:B:M45 5.345404
41B:B:T50 8.6425473
42B:B:H54 9.683336109
43B:B:M61 5.234136
44B:B:W63 7.31754137
45B:B:V71 4.1225408
46B:B:S72 4.544109
47B:B:Q75 8.716519
48B:B:D76 5.48754109
49B:B:W82 7.688336109
50B:B:N88 3.765407
51B:B:I93 6.0125157
52B:B:W99 7.346519
53B:B:Y105 4.322506
54B:B:Y111 6.096514
55B:B:L117 4.1575419
56B:B:I123 5.228516
57B:B:Y124 5.93254156
58B:B:H142 7.32333619
59B:B:Y145 4.4125818
60B:B:F151 4.39833619
61B:B:L152 5.31503
62B:B:T159 5.4425419
63B:B:D163 7.712519
64B:B:C166 4.0475468
65B:B:W169 8.00429718
66B:B:F180 7.796567
67B:B:H183 7.935469
68B:B:V187 5.854569
69B:B:M188 5.76418
70B:B:F199 8.475469
71B:B:V200 4.9075436
72B:B:S201 4.2575469
73B:B:S207 3.4375465
74B:B:K209 7.47833666
75B:B:W211 10.102568
76B:B:D212 6.8245259
77B:B:Q220 8.0925407
78B:B:H225 11.162539
79B:B:D228 8.535419
80B:B:I232 4.696538
81B:B:F234 5.355635
82B:B:F235 6.6865176
83B:B:P236 6.034177
84B:B:F241 6.512536
85B:B:T243 7.475438
86B:B:D247 8.77439
87B:B:T249 8.452536
88B:B:R251 12.0467638
89B:B:F253 7.45167636
90B:B:D254 4.1375409
91B:B:R256 8.3975409
92B:B:D258 7.0525437
93B:B:Q259 5.09436
94B:B:L261 5.2225405
95B:B:Y264 3.515405
96B:B:F278 7.06254177
97B:B:R283 6.764249
98B:B:Y289 7.538597
99B:B:N295 10.69596
100B:B:V296 4.1475405
101B:B:R304 8.468595
102B:B:V307 5.015493
103B:B:H311 9.4025479
104B:B:R314 13.3375418
105B:B:L318 4.9885266
106B:B:D323 7.68254137
107B:B:M325 6.9775405
108B:B:T329 5.77408
109B:B:W332 12.03619
110B:B:D333 7.695479
111B:B:F335 7.382574
112B:B:K337 7.85833676
113B:B:W339 9.6675479
114G:G:R27 4.602538
115G:G:K29 5.83754274
116G:G:P60 9.384149
117G:G:F61 6.316148
118L:L:?1 10.7675820
119R:R:I85 4.1875406
120R:R:N92 7.26254289
121R:R:I96 3.7054286
122R:R:L105 5.62754188
123R:R:F112 9.098336118
124R:R:M128 6.43408
125R:R:W141 6.94333627
126R:R:L143 5.56405
127R:R:C148 3.925429
128R:R:W151 6.92667625
129R:R:I152 4.5875425
130R:R:D155 7.49428
131R:R:L157 3.985406
132R:R:H165 7.185118
133R:R:Y174 5.595408
134R:R:I177 4.6885239
135R:R:H183 5.495487
136R:R:K195 13.6354116
137R:R:W200 4.045119
138R:R:I206 4.2175426
139R:R:I210 4.36406
140R:R:F222 3.0375402
141R:R:C227 6.2275429
142R:R:F243 9.752528
143R:R:F329 6.842508
144R:R:F332 4.91529
145R:R:W336 5.554528
146R:R:F339 7.674527
147R:R:F340 13.3625427
148R:R:I358 2.62404
149R:R:W367 8.66426
150R:R:Y370 6.98667627
151R:R:T381 7.2875407
152R:R:Y387 7.7056188
   

Color ConSurf Grade
      No Conservation data available
      1
      2
      3
      4
      5
      6
      7
      8
      9

Index: link id, click on each number to highlight the corresponding link in the 3D visualization.

Node1 Node2: the two nodes of the corresponding link.

Recurrence: the relative Recurrence in the pool of shortest paths.

Int. Strength: the interaction strength between the two nodes.

Hub1?, Hub2?: "Yes" if the corresponding node has more than 3 links, otherwise "No".

Community: the id of the community the link belong to, otherwise 0.

ConSurf1, ConSurf2: these columns report the ConSurf conservation grades of the two nodes involved in a link.

Index Node1 Node2 Recurrence Int. Strength Hub1? Hub2? Community ConSurf1 ConSurf2
1B:B:H54 B:B:W82 89.90073.17YesYes1099
2B:B:D76 B:B:H54 90.28448.82YesYes1099
3B:B:A56 B:B:D76 90.97753.09NoYes079
4B:B:A56 B:B:Q75 91.01723.03NoYes079
5B:B:Q75 B:B:W99 92.58095.48YesYes199
6A:A:F238 B:B:W99 43.906615.03YesYes199
7A:A:F238 A:A:W234 43.90556.01YesYes199
8A:A:R231 A:A:W234 1005NoYes099
9A:A:D272 A:A:R231 99.92828.34NoNo089
10A:A:D272 A:A:F246 99.857710.75NoYes089
11A:A:F246 A:A:G47 93.04793.01YesNo099
12A:A:G47 A:A:S51 92.16493.71NoNo499
13A:A:S51 A:A:V247 92.32813.23NoNo497
14A:A:I56 A:A:V247 91.90226.14NoNo477
15A:A:I56 A:A:N371 91.92534.25NoYes479
16A:A:F290 A:A:N371 89.916613.29YesYes499
17A:A:F290 A:A:I245 90.41353.77YesNo097
18A:A:I245 A:A:I375 90.33024.42NoNo079
19A:A:F212 A:A:I375 90.24693.77YesNo099
20A:A:F212 A:A:F219 89.744711.79YesYes098
21B:B:L117 B:B:W99 48.34484.56YesYes199
22A:A:W234 B:B:L117 49.90214.56YesYes199
23B:B:L117 B:B:Y145 11.20033.52YesYes198
24B:B:G162 B:B:Y145 10.36815.79NoYes198
25B:B:G162 B:B:S161 10.50383.71NoNo199
26A:A:F219 A:A:F376 44.95545.36YesYes1688
27A:A:F219 A:A:V217 44.36855.24YesNo1685
28A:A:V217 R:R:I181 44.26753.07NoNo1657
29A:A:F376 R:R:I181 44.34923.77YesNo1687
30A:A:K380 R:R:I181 88.39795.82NoNo077
31A:A:K380 R:R:P180 88.17916.69NoNo078
32A:A:L384 R:R:P180 83.73849.85NoNo068
33A:A:L384 A:A:L388 83.51824.15NoNo068
34A:A:L388 A:A:L393 79.28865.54NoYes2388
35A:A:L393 R:R:R173 79.102610.93YesNo089
36R:R:I169 R:R:R173 78.66015.01NoNo099
37R:R:F112 R:R:I169 78.43895.02YesNo089
38R:R:F112 R:R:H165 77.04347.92YesYes1188
39R:R:H165 R:R:L116 32.513511.57YesNo089
40R:R:L116 R:R:N376 32.05184.12NoNo099
41R:R:N376 R:R:S372 31.13415.96NoNo099
42R:R:S372 R:R:W336 28.84038.65NoYes098
43L:L:?1 R:R:W336 24.17664.3YesYes208
44L:L:?1 R:R:D155 36.37068.97YesYes208
45R:R:D155 R:R:Y370 34.017210.34YesYes287
46R:R:M128 R:R:Y370 29.08118.38YesYes087
47R:R:M128 R:R:T88 25.23554.52YesNo087
48R:R:S373 R:R:T88 23.78593.2NoNo097
49R:R:D120 R:R:S373 20.40078.83NoNo099
50R:R:D120 R:R:P377 19.91674.83NoNo099
51R:R:N92 R:R:P377 18.46443.26YesNo099
52R:R:I96 R:R:N92 14.10137.08YesYes2869
53R:R:I118 R:R:I96 13.13232.94NoYes066
54R:R:I118 R:R:M114 12.6474.37NoNo065
55R:R:M114 R:R:V99 12.16177.61NoNo057
56R:R:H165 R:R:W200 44.13325.29YesYes1189
57R:R:L157 R:R:W200 42.74223.42YesYes069
58R:R:L157 R:R:S207 33.25844.5YesNo067
59R:R:S207 R:R:V156 30.89886.46NoNo076
60L:L:?1 R:R:V156 24.073715.48YesNo006
61B:B:L70 B:B:W82 89.70127.97NoYes059
62B:B:L70 B:B:M61 22.43614.24NoYes056
63B:B:M61 B:B:W63 22.1946.98YesYes1367
64B:B:T321 B:B:W63 44.201710.92NoYes1377
65B:B:D323 B:B:T321 43.86718.67YesNo1377
66B:B:D323 B:B:M325 43.41216.93YesYes075
67B:B:M325 B:B:N340 66.23674.21YesNo059
68B:B:M45 B:B:N340 89.12284.21YesNo049
69B:B:M45 G:G:L50 71.28385.65YesNo049
70B:B:S279 G:G:L50 70.92476.01NoNo099
71B:B:S279 G:G:D48 70.56565.89NoNo099
72G:G:D48 G:G:L51 69.48765.43NoNo096
73B:B:V40 G:G:L51 68.40882.98YesNo036
74B:B:R283 B:B:V40 65.14475.23YesYes2493
75B:B:L300 B:B:R283 64.46173.64NoYes069
76B:B:L300 B:B:T34 63.74015.9NoNo065
77B:B:I33 B:B:T34 63.0183.04NoNo035
78B:B:I33 G:G:A34 62.65684.87NoNo036
79B:B:L30 G:G:A34 62.29563.15NoNo056
80B:B:L261 B:B:L30 61.93439.69YesNo055
81B:B:L261 G:G:V30 33.11532.98YesNo058
82B:B:A26 G:G:V30 32.7473.39NoNo038
83B:B:A26 B:B:Q259 32.37873.03NoYes036
84B:B:Q259 B:B:R22 21.21954.67YesYes366
85B:B:L70 B:B:S84 67.24714.5NoNo055
86B:B:S84 B:B:W63 22.19496.18NoYes057
87B:B:I338 B:B:S84 45.04994.64NoNo055
88B:B:I338 G:G:F61 44.81397.54NoYes1458
89G:G:F61 G:G:P60 43.79317.22YesYes1489
90B:B:M325 G:G:P60 23.415711.74YesYes059
91G:G:N59 G:G:P60 23.6673.26NoYes099
92B:B:N340 G:G:N59 23.24554.09NoNo099
93B:B:F222 B:B:R22 11.92884.28NoYes386
94B:B:Q259 G:G:R27 10.42353.5YesYes368
95B:B:L252 B:B:L261 12.35884.15NoYes075
96B:B:L252 B:B:Y264 11.98574.69NoYes075
97B:B:L308 B:B:M45 14.19928.48NoYes074
98B:B:L308 B:B:W339 13.827215.94NoYes079
99B:B:F222 B:B:F253 11.572315NoYes386
100B:B:D254 B:B:L261 16.82954.07YesYes095
101B:B:D254 B:B:R256 15.7134.76YesYes099
102B:B:N237 G:G:Y40 11.98226.98NoNo056
103L:L:?1 R:R:F339 10.065317.25YesYes207
104R:R:I152 R:R:I210 10.58914.42YesYes056
Download PSN data

2D representation of the global metapath, ligand(s) interactions and
histograms of path distribution according to several parameters
(click on the image to enlarge it 🔍):

A 2D representation of the global communication in the network.

ConSurf Conservation Grade (See documentation): 

 n/a   1    2    3    4    5    6    7    8    9  

Number of shortest communication paths as a function of the average residue correlation.

Number of shortest communication paths as a function of the average interaction strength of their links.

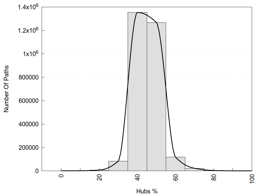
Number of shortest communication paths as a function of the % of hub nodes in each path.

Number of shortest communication paths as a function of the number of nodes in each path.

Number of shortest communication paths as a function of the % of correlated nodes in each path.


2D representation of the interactions of this orthosteric/allosteric ligand.


Links and nodes colored according to ConSurf Conservation Grade (See documentation): 

 n/a   1    2    3    4    5    6    7    8    9  

Node1 Node2 LinkStrength Comm IsNode1Hub? IsNode2Hub? Node1Cons Node2Cons Node1Shell Node2Shell
L:L:?1 R:R:D155 8.97 2 Yes Yes 0 8 0 1
L:L:?1 R:R:V156 15.48 2 Yes No 0 6 0 1
L:L:?1 R:R:S159 15.6 2 Yes No 0 7 0 1
L:L:?1 R:R:L229 3.92 2 Yes No 0 4 0 1
L:L:?1 R:R:S242 5.67 2 Yes No 0 6 0 1
L:L:?1 R:R:W336 4.3 2 Yes Yes 0 8 0 1
L:L:?1 R:R:F339 17.25 2 Yes Yes 0 7 0 1
L:L:?1 R:R:F340 14.95 2 Yes Yes 0 7 0 1
R:R:V127 R:R:W151 9.81 2 No Yes 8 5 2 2
R:R:D155 R:R:V127 7.3 2 Yes No 8 8 1 2
R:R:V127 R:R:Y370 5.05 2 No Yes 8 7 2 2
R:R:I152 R:R:W151 3.52 2 Yes Yes 5 5 2 2
R:R:D155 R:R:W151 3.35 2 Yes Yes 8 5 1 2
R:R:I152 R:R:I210 4.42 2 Yes Yes 5 6 2 2
R:R:I152 R:R:L229 7.14 2 Yes No 5 4 2 1
R:R:D155 R:R:Y370 10.34 2 Yes Yes 8 7 1 2
R:R:S207 R:R:V156 6.46 0 No No 7 6 2 1
R:R:I210 R:R:V156 4.61 0 Yes No 6 6 2 1
R:R:S159 R:R:W336 6.18 2 No Yes 7 8 1 1
R:R:I206 R:R:T160 7.6 2 Yes No 6 7 2 2
R:R:S242 R:R:T160 6.4 2 No No 6 7 1 2
R:R:I206 R:R:S207 3.1 2 Yes No 6 7 2 2
R:R:I206 R:R:S242 3.1 2 Yes No 6 6 2 1
R:R:F340 R:R:S239 5.28 2 Yes No 7 6 1 2
R:R:F243 R:R:F332 5.36 2 Yes Yes 8 9 2 2
R:R:F243 R:R:F340 25.72 2 Yes Yes 8 7 2 1
R:R:F332 R:R:W336 3.01 2 Yes Yes 9 8 2 1
R:R:G369 R:R:W336 5.63 0 No Yes 7 8 2 1
R:R:S372 R:R:W336 8.65 0 No Yes 9 8 2 1
R:R:F339 R:R:F340 7.5 2 Yes Yes 7 7 1 1
R:R:F339 R:R:N343 7.25 2 Yes No 7 7 1 2
R:R:F339 R:R:V366 3.93 2 Yes No 7 6 1 2
R:R:V366 R:R:Y370 6.31 0 No Yes 6 7 2 2
R:R:F339 R:R:L362 2.44 2 Yes No 7 3 1 2

Location and physicochemical properties of the interaction partners of this ligand

Interactions of this ligand

Similarities between the interactions of this ligand and those of other networks

ShowSimilarityNetwork TypeNameLigandDescription
80.00Single6A94Zotepine6A94-5-HT2A-Zotepine
80.00Single6WH4Methiothepin6WH4-5-HT2A-Methiothepin
80.00Single8JLNT1AM8JLN-TA1-T1AM-Gs/β1/γ2
80.00Single8JSPUlotaront8JSP-5-HT1A-Ulotaront-Gi1/β1/γ2
80.00Single8UHBRO52563908UHB-TA1-RO5256390-Gs/β1/γ2
80.00Single8W8BSEP-3638568W8B-5-HT1A-SEP-363856-Gi1/β1/γ2
77.78Single7YS6Serotonin7YS6-5-HT6-Serotonin-chim(NtGi1-Gs)/β1/γ2
72.73Single3NYAAlprenolol3NYA-β2-Alprenolol
72.73Single3ZPQPubChem 5945903ZPQ-β1-PubChem 594590-Na
72.73Single6PS2Alprenolol6PS2-β2-Alprenolol
72.73Single7E32Serotonin7E32-5-HT1D-Serotonin-Gi1/β1/γ2
72.73Single7WC7Lisuride7WC7-5-HT2A-Lisuride
72.73Single7XTC5-CT7XTC-5-HT7-5-CT-Gs/β1/γ2
72.73Single8FY85-MeO-DMT8FY8-5-HT1A-5-MeO-DMT-PtdIns4P-Gi1/β1/γ1
72.73Single8JJOAlprenolol8JJO-β2-Alprenolol
72.73Single8W8ARO52563908W8A-TA1-RO5256390-chim(NtGi1L-Gs)/β1/γ2
72.73Single9AS1DMT9AS1-5-HT2A-DMT
72.73Consensus5ht1d_onOrthosteric Ligand7E32-5-HT1D-Serotonin-Gi1/β1/γ2
72.73Consensus5ht1d_on_gpOrthosteric Ligand7E32-5-HT1D-Serotonin-Gi1/β1/γ2
72.73Consensus5ht7_onOrthosteric Ligand7XTC-5-HT7-5-CT-Gs/β1/γ2
72.73Consensus5ht7_on_gpOrthosteric Ligand7XTC-5-HT7-5-CT-Gs/β1/γ2
70.00Single6KUYPubChem 1457046436KUY-α2a-PubChem 145704643
70.00Single7X5H5-CT7X5H-5-HT5A-5-CT-Gi1/β1/γ2
70.00Single7XT8Serotonin7XT8-5-HT4-Serotonin-Gs/β1/γ2
70.00Single8WC3SEP-3638568WC3-TA1-SEP-363856-chim(NtGi1-Gs)/β1/γ2
70.00Single9KVHCinobufotenine9KVH-5-HT1A-Cinobufotenine-PtdIns4P-Gi1/β1/γ2
70.00Single9LL9DOI9LL9-5-HT2A-DOI-chim(NtGi1L-Gs-CtGq)/β1/γ2
70.00Single9LRBHistamine9LRB-H1-Histamine-Gs/β1/γ2
70.00Consensus5ht_onOrthosteric Ligand5ht1_on 5ht2_on 5ht4_on 5ht5_on 5ht6_on 5ht7_on
70.00Consensusgs_5htOrthosteric Ligand7XTC-5-HT7-5-CT-Gs/β1/γ2 7XTB-5-HT6-Serotonin-Gs/β1/γ2 8JLZ-5-HT6-ST1936-Gs/β1/γ2 7XT8-5-HT4-Serotonin-Gs/β1/γ2
66.67Single2RH1Carazolol2RH1-β2-Carazolol
66.67Single8DPILorcaserin8DPI-5-HT2C-Lorcaserin-chim(NtGi2L-Gs-CtGq)/β1/γ2
66.67Single8POKHistamine8POK-H2-Histamine-Gs/β1/γ2
66.67Single9DYDAsenapine9DYD-5-HT1A-Asenapine-PtdIns4P-Go/β1/γ2
66.67Single9K07DSO-5a9K07-BB3-DSO-5a-chim(NtGi2L-Gs-CtGq)/β1/γ2
66.67Consensus5ht1_onOrthosteric Ligand5ht1a_on 5ht1d_on 5ht1e_on 5ht1f_on
66.67Consensus5ht1_on_gpOrthosteric Ligand5ht1a_on_gp 5ht1d_on_gp 5ht1e_on_gp 5ht1f_on_gp
66.67Consensus5ht1e_on_gpOrthosteric Ligand7E33-5-HT1E-BRL-54443-Gi1/β1/γ2 8UGY-5-HT1E-Mianserin-Gi1/β1/γ1 8UH3-5-HT1E-Setiptiline-Gi1/β1/γ1
66.67Consensusamine_offOrthosteric Ligand5ht_off adrenergic_off dopamine_off histamine_off muscarinic_off
66.67Consensusamine_offonOrthosteric Ligandamine_off amine_on
66.67Consensusamine_offon_gpOrthosteric Ligandamine_on_gp amine_off
66.67Consensusamine_onOrthosteric Ligand5ht_on adrenergic_on dopamine_on histamine_on muscarinic_on trace-amine_on
66.67Consensusbeta2_offOrthosteric Ligand2RH1-β2-Carazolol 6PS3-β2-Carvedilol 6PS5-β2-Propranolol 3D4S-β2-Timolol 3NY8-β2-ICI118-551 3NY9-β2-PubChem 913103 6PRZ-β2-Alprenolol
66.67Consensusbeta_offOrthosteric Ligandbeta1_off beta2_off
66.67Consensusgi_adrenergicOrthosteric Ligand7EJ0-α2a-Norepinephrine-Go/β1/γ2 7EJK-α2a-Oxymetazoline-Go/β1/γ2 7W7E-α2a-PubChem 164946676-Go/β1/γ2 7W6P-α2a-N-pyridin-4-ylisoquinolin-4-amine-Go/β1/γ2 7EJ8-α2a-Brimonidine-Go/β1/γ2 6K42-α2b-Dexmedetomidine-Gi1/β1/γ2 7EJA-α2a-Dexmedetomidine-Go/β1/γ2 7S0F-β1-Isoprenaline-Gi1/β1/γ2
66.67Consensush2_on_gpOrthosteric Ligand8POK-H2-Histamine-Gs/β1/γ2
66.67Consensusta1_onOrthosteric Ligand8W87-TA1-METH-chim(NtGi1L-Gs)/β1/γ2 8W89-TA1-2-Phenylethylamine-chim(NtGi1L-Gs)/β1/γ2 8JLP-TA1-Ralmitaront-Gs/β1/γ2 8W8A-TA1-RO5256390-chim(NtGi1L-Gs)/β1/γ2 8W88-TA1-SEP-363856-Gs/β1/γ2 8JLO-TA1-Ulotaront-Gs/β1/γ2 8JLR-TA1-A77636-chim(NtGi1-Gs)/β1/γ2 8JSO-TA1-AMPH-chim(NtGi1-Gs)/β1/γ2 8ZSP-TA1-LSD-chim(NtGi1L-Gs)/β1/γ2
66.67Consensustrace-amine_onOrthosteric Ligandta1_on
63.64Single3RZECidoxepin3RZE-H1-Cidoxepin
63.64Single4MQTIperoxo4MQT-M2-Iperoxo-LY2119620
63.64Single6K41Dexmedetomidine6K41-α2b-Dexmedetomidine-Go/β1/γ2
63.64Single6PS5Propranolol6PS5-β2-Propranolol
63.64Single6WJCAtropine6WJC-M1-Atropine-Muscarinic toxin 7
63.64Single7DHISalbutamol7DHI-β2-Salbutamol-Gs/β1/γ2
63.64Single7E33BRL-544437E33-5-HT1E-BRL-54443-Gi1/β1/γ2
63.64Single8GE1Constrained Epinephrine8GE1-β2-Constrained Epinephrine-Gs/β1/γ2
63.64Single8GE4Constrained Epinephrine8GE4-β2-Constrained Epinephrine-Gs/β1/γ2
63.64Single8GE5Constrained Epinephrine8GE5-β2-Constrained Epinephrine-Gs/β1/γ1
63.64Single8GE6Constrained Epinephrine8GE6-β2-Constrained Epinephrine-Gs/β1/γ2
63.64Single8GE7Constrained Epinephrine8GE7-β2-Constrained Epinephrine-Gs/β1/γ2
63.64Single8GE8Constrained Epinephrine8GE8-β2-Constrained Epinephrine-Gs/β1/γ2
63.64Single8GEFConstrained Epinephrine8GEF-β2-Constrained Epinephrine-Gs/β1/γ2
63.64Single8GG7Constrained Epinephrine8GG7-β2-Constrained Epinephrine-GTP-Gs/β1/γ2
63.64Single8GGLConstrained Epinephrine8GGL-β2-Constrained Epinephrine
63.64Single8GGMConstrained Epinephrine8GGM-β2-Constrained Epinephrine
63.64Single8GGPConstrained Epinephrine8GGP-β2-Constrained Epinephrine
63.64Single8GGVConstrained Epinephrine8GGV-β2-Constrained Epinephrine
63.64Single8JLKUlotaront8JLK-TA1-Ulotaront-chim(NtGi1-Gs)/β1/γ2
63.64Single8THKA-616038THK-Alpha1A-A-61603-chim(NtGi2L-Gs-CtGq)/β1/γ2
63.64Single8U02Dopamine8U02-D2-Dopamine-Go/β1/γ2
63.64Single8UNLConstrained Epinephrine8UNL-β2-Constrained Epinephrine-GTP-Gs/β1/γ2
63.64Single8UNOConstrained Epinephrine8UNO-β2-Constrained Epinephrine-GTP-Gs/β1/γ2
63.64Single8W88SEP-3638568W88-TA1-SEP-363856-Gs/β1/γ2
63.64Single8ZMGPimavanserin8ZMG-5-HT2A-Pimavanserin
63.64Single9AS3LSD9AS3-5-HT2A-LSD
63.64Single9AS4LSD9AS4-5-HT2A-LSD-chim(NtGi1-Gs-CtGq)/β1/γ2
63.64Single9AS5Mescaline9AS5-5-HT2A-Mescaline
63.64Single9AS6Mescaline9AS6-5-HT2A-Mescaline-chim(NtGi1-Gs-CtGq)/β1/γ2
63.64Single9JKQMETH9JKQ-TA1-METH-Gs/β1/γ2
63.64Single9KVIBufotenin9KVI-5-HT1A-Bufotenin-PtdIns4P-Gi1/β1/γ2
63.64Single9L84Epinephrine9L84-β1-Epinephrine-Atazanavir-Gs/β1/γ2
63.64Single9LL8Psilocin9LL8-5-HT2A-Psilocin-Gi1/β1/γ2
63.64Single9VJG8-OH-DPAT9VJG-5-HT1A-8-OH-DPAT-chim(NtGi2-Gz)/β1/γ2
63.64Single9VNFPindolol9VNF-5-HT1A-Pindolol-Go/β1/γ2
63.64Consensus5ht_on_gpOrthosteric Ligand5ht1_on_gp 5ht2_on_gp 5ht4_on_gp 5ht5_on_gp 5ht6_on_gp 5ht7_on_gp
61.54Single5D5ACarazolol5D5A-β2-Carazolol
61.54Single5D5BCarazolol5D5B-β2-Carazolol
61.54Single6J20Aprepitant6J20-NK1-Aprepitant
61.54Single7W6PN-pyridin-4-ylisoquinolin-4-amine7W6P-α2a-N-pyridin-4-ylisoquinolin-4-amine-Go/β1/γ2
61.54Single7W7EPubChem 1649466767W7E-α2a-PubChem 164946676-Go/β1/γ2
61.54Single8IRRRotigotine8IRR-D1-Rotigotine-Gs/β1/γ2
61.54Single9BS9LSD9BS9-D2-LSD
61.54Single9BSBLSD9BSB-D2-LSD-chim(NtGi1-Go)/β1/γ2
61.54Consensusamine_on_gpOrthosteric Ligand5ht_on_gp adrenergic_on_gp dopamine_on_gp histamine_on_gp muscarinic_on_gp trace-amine_on_gp
61.54Consensusbeta1_offOrthosteric Ligand2VT4-β1-Cyanopindolol 2YCW-β1-Carazolol 2YCZ-β1-Iodocyanopindolol 5A8E-β1-7-Methylcyanopindolol-Na 3ZPQ-β1-PubChem 594590-Na 3ZPR-β1-PubChem 598754-Na
61.54Consensusta1_on_gpOrthosteric Ligand8W87-TA1-METH-chim(NtGi1L-Gs)/β1/γ2 8W89-TA1-2-Phenylethylamine-chim(NtGi1L-Gs)/β1/γ2 8JLP-TA1-Ralmitaront-Gs/β1/γ2 8W8A-TA1-RO5256390-chim(NtGi1L-Gs)/β1/γ2 8W88-TA1-SEP-363856-Gs/β1/γ2 8JLO-TA1-Ulotaront-Gs/β1/γ2 8JLR-TA1-A77636-chim(NtGi1-Gs)/β1/γ2 8JSO-TA1-AMPH-chim(NtGi1-Gs)/β1/γ2 8ZSP-TA1-LSD-chim(NtGi1L-Gs)/β1/γ2
61.54Consensustrace-amine_on_gpOrthosteric Ligandta1_on_gp
60.00Single7DFLHistamine7DFL-H1-Histamine-chim(NtGi1L-Gq)/β1/γ2
60.00Single7XT9Serotonin7XT9-5-HT4-Serotonin-Gs/β1/γ2
60.00Single7XTBSerotonin7XTB-5-HT6-Serotonin-Gs/β1/γ2
60.00Single7YFCHistamine7YFC-H4-Histamine-chim(NtGi1-Gs-CtGq)/β1/γ2
60.00Single8DPFLorcaserin8DPF-5-HT2C-Lorcaserin-chim(NtGi2L-Gs-CtGq)/β1/γ2
60.00Single8UO4Constrained Epinephrine8UO4-β2-Constrained Epinephrine-GTP; Mg-Gs/β1/γ2
60.00Single8W892-Phenylethylamine8W89-TA1-2-Phenylethylamine-chim(NtGi1L-Gs)/β1/γ2
60.00Single8YN2Histamine8YN2-H1-Histamine-chim(NtGi1L-Gs-CtGq)/β1/γ2
60.00Single8ZSVRO52633978ZSV-TA1-RO5263397-chim(NtGi1-Gs)/β1/γ2
60.00Single9AS7Psilocin9AS7-5-HT2A-Psilocin
60.00Single9IJEEpinephrine9IJE-β3-Epinephrine-chim(NtGi1-Gs)/β1/γ2
60.00Consensush1_onOrthosteric Ligand7DFL-H1-Histamine-chim(NtGi1L-Gq)/β1/γ2
58.33Single3NY8ICI118-5513NY8-β2-ICI118-551
58.33Single4DAJTiotropium4DAJ-M3-Tiotropium
58.33Single4GBRCarazolol4GBR-β2-Carazolol
58.33Single4MQSIperoxo4MQS-M2-Iperoxo
58.33Single4U14Tiotropium4U14-M3-Tiotropium
58.33Single4U16N-methyl-Scopolamine4U16-M3-N-methyl-Scopolamine
58.33Single5YC8N-methyl-Scopolamine5YC8-M2-N-methyl-Scopolamine
58.33Single5ZK8N-methyl-Scopolamine5ZK8-M2-N-methyl-Scopolamine
58.33Single5ZKCN-methyl-Scopolamine5ZKC-M2-N-methyl-Scopolamine
58.33Single6H7MSalbutamol6H7M-β1-Salbutamol
58.33Single6K42Dexmedetomidine6K42-α2b-Dexmedetomidine-Gi1/β1/γ2
58.33Single6PS1Timolol6PS1-β2-Timolol
58.33Single7BTSEpinephrine7BTS-β1-Epinephrine
58.33Single7BU6Norepinephrine7BU6-β1-Norepinephrine
58.33Single7TRPIperoxo7TRP-M4-Iperoxo-LY2033298-Gi1/β1/γ2
58.33Single7XJHIsoprenaline7XJH-β3-Isoprenaline-Gs/β1/γ2
58.33Single8GE2Constrained Epinephrine8GE2-β2-Constrained Epinephrine-Gs/β1/γ1
58.33Single8GE3Constrained Epinephrine8GE3-β2-Constrained Epinephrine-Gs/β1/γ2
58.33Single8GE9Constrained Epinephrine8GE9-β2-Constrained Epinephrine-Gs/β1/γ2
58.33Single8GECConstrained Epinephrine8GEC-β2-Constrained Epinephrine-Gs/β1/γ2
58.33Single8GEEConstrained Epinephrine8GEE-β2-Constrained Epinephrine-Gs/β1/γ2
58.33Single8GEHConstrained Epinephrine8GEH-β2-Constrained Epinephrine-Gs/β1/γ2
58.33Single8GFVConstrained Epinephrine8GFV-β2-Constrained Epinephrine-GTP-Gs/β1/γ2
58.33Single8GFWConstrained Epinephrine8GFW-β2-Constrained Epinephrine-GTP-Gs/β1/γ2
58.33Single8GFXConstrained Epinephrine8GFX-β2-Constrained Epinephrine-GTP-Gs/β1/γ2
58.33Single8GFZConstrained Epinephrine8GFZ-β2-Constrained Epinephrine-GTP-Gs/β1/γ2
58.33Single8GG0Constrained Epinephrine8GG0-β2-Constrained Epinephrine-GTP-Gs/β1/γ2
58.33Single8GG1Constrained Epinephrine8GG1-β2-Constrained Epinephrine-GTP-Gs/β1/γ2
58.33Single8GG3Constrained Epinephrine8GG3-β2-Constrained Epinephrine-GTP-Gs/β1/γ2
58.33Single8GG4Constrained Epinephrine8GG4-β2-Constrained Epinephrine-GTP-Gs/β1/γ2
58.33Single8GG6Constrained Epinephrine8GG6-β2-Constrained Epinephrine-GTP-Gs/β1/γ2
58.33Single8GG9Constrained Epinephrine8GG9-β2-Constrained Epinephrine-GTP-Gs/β1/γ2
58.33Single8GGIConstrained Epinephrine8GGI-β2-Constrained Epinephrine
58.33Single8GGJConstrained Epinephrine8GGJ-β2-Constrained Epinephrine
58.33Single8GGKConstrained Epinephrine8GGK-β2-Constrained Epinephrine
58.33Single8GGNConstrained Epinephrine8GGN-β2-Constrained Epinephrine
58.33Single8GGOConstrained Epinephrine8GGO-β2-Constrained Epinephrine
58.33Single8GGUConstrained Epinephrine8GGU-β2-Constrained Epinephrine
58.33Single8JLJT1AM8JLJ-TA1-T1AM-chim(NtGi1-Gs)/β1/γ2
58.33Single8UH3Setiptiline8UH3-5-HT1E-Setiptiline-Gi1/β1/γ1
58.33Single8UNQConstrained Epinephrine8UNQ-β2-Constrained Epinephrine-GTP-Gs/β1/γ2
58.33Single8UNYConstrained Epinephrine8UNY-β2-Constrained Epinephrine-GTP-Gs/β1/γ2
58.33Single8W87METH8W87-TA1-METH-chim(NtGi1L-Gs)/β1/γ2
58.33Single8X63Mepyramine8X63-H1-Mepyramine
58.33Single8X64Desloratadine8X64-H1-Desloratadine
58.33Single8ZSSRO52633978ZSS-TA1-RO5263397-chim(NtGi1-Gs)/β1/γ2
58.33Single9CBMDexmedetomidine9CBM-α2a-Dexmedetomidine-Gi1/β1/γ2
58.33Single9CHXCarazolol9CHX-β2-Carazolol
58.33Single9DYFAsenapine9DYF-5-HT1A-Asenapine-PtdIns4P-Gi1/β1/γ2
58.33Single9JEAAtropine9JEA-M1-Atropine
58.33Single9LLAAriadne9LLA-5-HT2A-Ariadne-chim(NtGi1L-Gs-CtGq)/β1/γ2
58.33Single9PLNPubChem 1682595949PLN-α2a-PubChem 168259594
58.33Single9PLOPubChem 1682595949PLO-α2a-PubChem 168259594-Go/β1/γ2
58.33Single9VMYTMU41429VMY-5-HT1A-TMU4142-Go/β1/γ2
58.33Consensusadrenergic_onOrthosteric Ligandalpha_on beta_on
58.33Consensusalpha2_onOrthosteric Ligandalpha2b_on
58.33Consensusalpha2_on_gpOrthosteric Ligandalpha2b_on_gp
58.33Consensusalpha2b_onOrthosteric Ligand6K42-α2b-Dexmedetomidine-Gi1/β1/γ2
58.33Consensusalpha2b_on_gpOrthosteric Ligand6K42-α2b-Dexmedetomidine-Gi1/β1/γ2
58.33Consensusalpha_onOrthosteric Ligandalpha1_on alpha2_on
58.33Consensusd5_onOrthosteric Ligand8IRV-D5-Rotigotine-chim(NtGi1-Gs)/β1/γ2
58.33Consensusdopamine_offOrthosteric Ligandd2_off d3_off
58.33Consensusdopamine_onOrthosteric Ligandd2_on d1_on d3_on d4_on d5_on
58.33Consensusdopamine_on_gpOrthosteric Ligandd2_on_gp d1_on_gp d3_on_gp d4_on_gp d5_on_gp
58.33Consensusgq_amineOrthosteric Ligandgq_muscarinic gq_histamine
58.33Consensusgs_trace-amineOrthosteric Ligand8W88-TA1-SEP-363856-Gs/β1/γ2 8JLJ-TA1-T1AM-chim(NtGi1-Gs)/β1/γ2 8JLO-TA1-Ulotaront-Gs/β1/γ2 8WC4-TA1-ZH8651-chim(NtGi1-Gs)/β1/γ2 8WC7-TA1-ZH8667-chim(NtGi1-Gs)/β1/γ2 8JLR-TA1-A77636-chim(NtGi1-Gs)/β1/γ2 8JSO-TA1-AMPH-chim(NtGi1-Gs)/β1/γ2 8W87-TA1-METH-chim(NtGi1L-Gs)/β1/γ2 8W89-TA1-2-Phenylethylamine-chim(NtGi1L-Gs)/β1/γ2 8JLP-TA1-Ralmitaront-Gs/β1/γ2 8W8A-TA1-RO5256390-chim(NtGi1L-Gs)/β1/γ2
58.33Consensushistamine_offOrthosteric Ligandh1_off
57.14Single3D4STimolol3D4S-β2-Timolol
57.14Single4AMIBucindolol4AMI-β1-Bucindolol
57.14Single5F8UCyanopindolol5F8U-β1-Cyanopindolol
57.14Single6H7NXamoterol6H7N-β1-Xamoterol
57.14Single6H7OCyanopindolol6H7O-β1-Cyanopindolol
57.14Single8FYE4-F,5-MeO-PyrT8FYE-5-HT1A-4-F,5-MeO-PyrT-PtdIns4P-Gi1/β1/γ1
57.14Single8FYTLSD8FYT-5-HT1A-LSD-PtdIns4P-Gi1/β1/γ1
57.14Single9KVG5-MeO-DMT9KVG-5-HT1A-5-MeO-DMT-PtdIns4P-Gi1/β1/γ2
57.14Consensusnk1_offOrthosteric Ligand6HLP-NK1-Netupitant 6HLO-NK1-Aprepitant 6HLL-NK1-CP99994 6E59-NK1-L-760735
55.56Single9CHUNorepinephrine9CHU-β2-Norepinephrine
55.56Consensusgs_histamineOrthosteric Ligand8POK-H2-Histamine-Gs/β1/γ2
55.56Consensush2_onOrthosteric Ligand8POK-H2-Histamine-Gs/β1/γ2
54.55Single6OBAAlprenolol6OBA-β2-Alprenolol-GTPL11074
54.55Single7X2FDopamine7X2F-D1-Dopamine-Mevidalen-Gs/β1/γ2
54.55Single7YM8Oxymetazoline7YM8-Alpha1A-Oxymetazoline-chim(Gs-CtGq)
54.55Single7YMHNorepinephrine7YMH-Alpha1A-Norepinephrine-chim(Gs-CtGq)
54.55Single8GGAConstrained Epinephrine8GGA-β2-Constrained Epinephrine-GTP-Gs/β1/γ2
54.55Single8GGRConstrained Epinephrine8GGR-β2-Constrained Epinephrine
54.55Single8GGWConstrained Epinephrine8GGW-β2-Constrained Epinephrine
54.55Single8GH0Constrained Epinephrine8GH0-β2-Constrained Epinephrine
54.55Single8HOCImetit8HOC-H4-Imetit-Gi1/β1/γ2
54.55Single8TZQDopamine8TZQ-D2-Dopamine-Go/β1/γ2
54.55Single8UNSConstrained Epinephrine8UNS-β2-Constrained Epinephrine-GTP-Gs/β1/γ2
54.55Single8UNTConstrained Epinephrine8UNT-β2-Constrained Epinephrine-GTP-Gs/β1/γ2
54.55Single8YNAImmepip8YNA-H4-Immepip-Gi1/β1/γ2
54.55Single8YUTAmthamine8YUT-H2-Amthamine-Gs/β1/γ2
54.55Single9LLBDOI-NBOMe9LLB-5-HT2A-DOI-NBOMe-chim(NtGi1L-Gs-CtGq)/β1/γ2
54.55Single9MQJIsoquinuclidine9MQJ-μ-Isoquinuclidine
54.55Consensus5ht1e_onOrthosteric Ligand7E33-5-HT1E-BRL-54443-Gi1/β1/γ2 8UGY-5-HT1E-Mianserin-Gi1/β1/γ1 8UH3-5-HT1E-Setiptiline-Gi1/β1/γ1
54.55Consensusalpha2_offOrthosteric Ligandalpha2c_off
54.55Consensusgq_histamineOrthosteric Ligand7DFL-H1-Histamine-chim(NtGi1L-Gq)/β1/γ2
54.55Consensush1_on_gpOrthosteric Ligand7DFL-H1-Histamine-chim(NtGi1L-Gq)/β1/γ2
53.85Single2Y03Isoprenaline2Y03-β1-Isoprenaline
53.85Single2YCWCarazolol2YCW-β1-Carazolol
53.85Single5D6LCarazolol5D6L-β2-Carazolol
53.85Single5WIUNemonapride5WIU-D4-Nemonapride
53.85Single5WIVNemonapride5WIV-D4-Nemonapride-Na
53.85Single5X7DCarazolol5X7D-β2-Carazolol-PubChem 129318963
53.85Single5ZK33-quinuclidinyl-benzilate5ZK3-M2-3-quinuclidinyl-benzilate
53.85Single6E67BI1671076E67-β2-BI167107-Gs(CT)
53.85Single6KUWPubChem 572132346KUW-α2c-PubChem 57213234
53.85Single6PS3Carvedilol6PS3-β2-Carvedilol
53.85Single6PS6Timolol6PS6-β2-Timolol
53.85Single7BVQCarazolol7BVQ-β1-Carazolol
53.85Single7CKXA776367CKX-D1-A77636-Gs/β1/γ2
53.85Single7S0FIsoprenaline7S0F-β1-Isoprenaline-Gi1/β1/γ2
53.85Single7TRKIperoxo7TRK-M4-Iperoxo-Gi1/β1/γ2
53.85Single7XK9Constrained Isoproterenol7XK9-β2-Constrained Isoproterenol-Na
53.85Single7XKAConstrained Epinephrine7XKA-β2-Constrained Epinephrine
53.85Single8C9WEtrumadenant8C9W-A2A-Etrumadenant
53.85Single8E9ZIperoxo8E9Z-M3-Iperoxo-chim(NtGi2L-Gs-CtGq)/β1/γ2
53.85Single8GDZConstrained Epinephrine8GDZ-β2-Constrained Epinephrine-Gs/β1/γ2
53.85Single8GEBConstrained Epinephrine8GEB-β2-Constrained Epinephrine-Gs/β1/γ2
53.85Single8GEGConstrained Epinephrine8GEG-β2-Constrained Epinephrine-Gs/β1/γ2
53.85Single8GFYConstrained Epinephrine8GFY-β2-Constrained Epinephrine-GTP-Gs/β1/γ2
53.85Single8GG2Constrained Epinephrine8GG2-β2-Constrained Epinephrine-GTP-Gs/β1/γ2
53.85Single8GGBConstrained Epinephrine8GGB-β2-Constrained Epinephrine-GTP-Gs/β1/γ2
53.85Single8J18(3R)-3-Hydroxydodecanoic acid8J18-GPR84-(3R)-3-Hydroxydodecanoic acid-Gi1/β1/γ2
53.85Single8UNNConstrained Epinephrine8UNN-β2-Constrained Epinephrine-GTP-Gs/β1/γ2
53.85Single8UNPConstrained Epinephrine8UNP-β2-Constrained Epinephrine-GTP-Gs/β1/γ2
53.85Single8ZMFPubChem 1719206738ZMF-5-HT2C-PubChem 171920673
53.85Single9ARYSerotonin9ARY-5-HT2A-Serotonin-chim(NtGi1-Gs-CtGq)/β1/γ2
53.85Single9F34FOB02-04A9F34-D3-FOB02-04A-Go/β1/γ2
53.85Consensusadrenergic_offOrthosteric Ligandalpha_off beta_off
53.85Consensusadrenergic_on_gpOrthosteric Ligandalpha_on_gp beta_on_gp
53.85Consensusalpha2c_offOrthosteric Ligand6KUW-α2c-PubChem 57213234
53.85Consensusalpha_on_gpOrthosteric Ligandalpha1_on_gp alpha2_on_gp
53.85Consensusd1_onOrthosteric Ligand7F0T-D1-Dopamine-Gs/β1/γ2 7CKY-D1-PW0464-Gs/β1/γ2 8IRR-D1-Rotigotine-Gs/β1/γ2 7JV5-D1-SKF81297-Gs/β1/γ2 7JVP-D1-SKF83959-Gs/β1/γ2 7X2D-D1-Tavapadon-Gs/β1/γ2 7CKX-D1-A77636-Gs/β1/γ2 7JVQ-D1-Apomorphine-Gs/β1/γ2 7CKW-D1-Fenoldopam-Gs/β1/γ2
53.85Consensusd2_onOrthosteric Ligand7JVR-D2-Bromoergocryptine-Gi1/β1/γ2 8IRS-D2-Rotigotine-Gi1/β1/γ2
53.85Consensusgs_amineOrthosteric Ligandgs_5ht gs_adrenergic gs_dopamine gs_histamine gs_trace-amine
53.85Consensush1_offOrthosteric Ligand8X63-H1-Mepyramine 3RZE-H1-Cidoxepin 8X5Y-H1-Astemizole
53.85Consensusm2_offOrthosteric Ligand5ZKC-M2-N-methyl-Scopolamine 5ZK3-M2-3-quinuclidinyl-benzilate 5ZKB-M2-AF-DX 384
53.85Consensusm3_onOrthosteric Ligand8E9Z-M3-Iperoxo-chim(NtGi2L-Gs-CtGq)/β1/γ2 8E9W-M3-2-Deoxycytidine-chim(NtGi2L-Gs-CtGq)/β1/γ2 8E9Y-M3-Clozapine-N-oxide-chim(NtGi2L-Gs-CtGq)/β1/γ2
53.85Consensusm3_on_gpOrthosteric Ligand8E9Z-M3-Iperoxo-chim(NtGi2L-Gs-CtGq)/β1/γ2 8E9W-M3-2-Deoxycytidine-chim(NtGi2L-Gs-CtGq)/β1/γ2 8E9Y-M3-Clozapine-N-oxide-chim(NtGi2L-Gs-CtGq)/β1/γ2
53.33Single2YCZIodocyanopindolol2YCZ-β1-Iodocyanopindolol
53.33Single4BVNCyanopindolol4BVN-β1-Cyanopindolol-Na
53.33Single7VGY2-Iodomelatonin7VGY-MT1-2-Iodomelatonin-Gi1/β1/γ2
53.33Single8S2TIsoprenaline8S2T-β1-Isoprenaline-chim(NtGi1-Gs)/β1/γ2
53.33Single9AS02-bromo-LSD9AS0-5-HT2A-2-bromo-LSD-chim(NtGi1-Gs-CtGq)/β1/γ2
53.33Single9DYEBuspirone9DYE-5-HT1A-Buspirone-PtdIns4P-Go/β1/γ2
53.33Consensusd2_offOrthosteric Ligand6CM4-D2-Risperidone 6LUQ-D2-Haloperidol 7DFP-D2-Spiperone
50.00Single2YDVNECA2YDV-A2A-NECA
50.00Single3NY9PubChem 9131033NY9-β2-PubChem 913103
50.00Single3P0GBI1671073P0G-β2-BI167107
50.00Single3SN6BI1671073SN6-β2-BI167107-Gs/β1/γ2
50.00Single3UON3-quinuclidinyl-benzilate3UON-M2-3-quinuclidinyl-benzilate
50.00Single4LDLHydroxybenzyl Isoproterenol4LDL-β2-Hydroxybenzyl Isoproterenol
50.00Single4LDOEpinephrine4LDO-β2-Epinephrine
50.00Single4U15Tiotropium4U15-M3-Tiotropium
50.00Single4UHRCGS216804UHR-A2A-CGS21680
50.00Single5A8E7-Methylcyanopindolol5A8E-β1-7-Methylcyanopindolol-Na
50.00Single5G53NECA5G53-A2A-NECA-Gs
50.00Single5V54Methiothepin5V54-5-HT1B-Methiothepin
50.00Single5ZKBAF-DX 3845ZKB-M2-AF-DX 384
50.00Single6E59L-7607356E59-NK1-L-760735
50.00Single6G79Donitriptan6G79-5-HT1B-Donitriptan-Go/β1/γ2
50.00Single6H7JIsoprenaline6H7J-β1-Isoprenaline
50.00Single6J21Aprepitant6J21-NK1-Aprepitant
50.00Single6N48BI1671076N48-β2-BI167107-PubChem 138454256
50.00Single6OL9Tiotropium6OL9-M5-Tiotropium
50.00Single6PS0Carazolol6PS0-β2-Carazolol
50.00Single6PS4ICI118-5516PS4-β2-ICI118-551
50.00Single6TPNHTL66416TPN-OX2-HTL6641
50.00Single6TQ7SB-3348676TQ7-OX1-SB-334867
50.00Single6WGTLSD6WGT-5-HT2A-LSD
50.00Single7CKWFenoldopam7CKW-D1-Fenoldopam-Gs/β1/γ2
50.00Single7CKZDopamine7CKZ-D1-Dopamine-Mevidalen-Gs/β1/γ2
50.00Single7CMUPramipexole7CMU-D3-Pramipexole-Gi1/β1/γ2
50.00Single7CMVPD1289077CMV-D3-PD128907-Gi1/β1/γ2
50.00Single7EJ8Brimonidine7EJ8-α2a-Brimonidine-Go/β1/γ2
50.00Single7EJADexmedetomidine7EJA-α2a-Dexmedetomidine-Go/β1/γ2
50.00Single7F24Dopamine7F24-D1-Dopamine-GDP-Gs/β1/γ2
50.00Single7JJOIsoprenaline7JJO-β1-Isoprenaline-Gs/β1/γ2
50.00Single7JV5SKF812977JV5-D1-SKF81297-Gs/β1/γ2
50.00Single7JVPSKF839597JVP-D1-SKF83959-Gs/β1/γ2
50.00Single7RANPubChem 1645758477RAN-5-HT2A-PubChem 164575847-chim(NtGi2L-Gs-CtGq)/β1/γ2
50.00Single7T94Acetylcholine7T94-M2-Acetylcholine-LY2119620-chim(NtGi1-Go)/β1/γ2
50.00Single7TRQIperoxo7TRQ-M4-Iperoxo-VU0467154-Gi1/β1/γ2
50.00Single7TRSAcetylcholine7TRS-M4-Acetylcholine-Gi1/β1/γ2
50.00Single7UL3Famotidine7UL3-H2-Famotidine
50.00Single8EA0Iperoxo8EA0-M3-Iperoxo
50.00Single8GEAConstrained Epinephrine8GEA-β2-Constrained Epinephrine-Gs/β1/γ2
50.00Single8GEDConstrained Epinephrine8GED-β2-Constrained Epinephrine-Gs/β1/γ2
50.00Single8GG5Constrained Epinephrine8GG5-β2-Constrained Epinephrine-GTP-Gs/β1/γ2
50.00Single8GG8Constrained Epinephrine8GG8-β2-Constrained Epinephrine-GTP-Gs/β1/γ2
50.00Single8GGQConstrained Epinephrine8GGQ-β2-Constrained Epinephrine
50.00Single8GGSConstrained Epinephrine8GGS-β2-Constrained Epinephrine
50.00Single8GGTConstrained Epinephrine8GGT-β2-Constrained Epinephrine
50.00Single8GGXConstrained Epinephrine8GGX-β2-Constrained Epinephrine
50.00Single8IRVRotigotine8IRV-D5-Rotigotine-chim(NtGi1-Gs)/β1/γ2
50.00Single8JLQFenoldopam8JLQ-TA1-Fenoldopam-Gs/β1/γ2
50.00Single8JLRA776368JLR-TA1-A77636-chim(NtGi1-Gs)/β1/γ2
50.00Single8THLEpinephrine8THL-Alpha1A-Epinephrine-chim(NtGi2L-Gs-CtGq)/β1/γ2
50.00Single8UNMConstrained Epinephrine8UNM-β2-Constrained Epinephrine-GTP-Gs/β1/γ2
50.00Single8UNWConstrained Epinephrine8UNW-β2-Constrained Epinephrine-GTP-Gs/β1/γ2
50.00Single8UO1Constrained Epinephrine8UO1-β2-Constrained Epinephrine-GTP; Mg-Gs/β1/γ2
50.00Single8V6UPubChem 1713924568V6U-5-HT2A-PubChem 171392456-chim(NtGi2-Gs-CtGq)/β1/γ2
50.00Single8WC62-Phenylethylamine8WC6-TA1-2-Phenylethylamine-chim(NtGi1-Gs)/β1/γ2
50.00Single8WC8ZH86518WC8-TA1-ZH8651-chim(NtGi1-Gs)/β1/γ2
50.00Single8WC9ZH86518WC9-TA1-ZH8651-chim(NtGi1-Gs-CtGq)/β1/γ2
50.00Single8YN3Histamine8YN3-H2-Histamine-Gs/β1/γ2
50.00Single9ARXSerotonin9ARX-5-HT2A-Serotonin
50.00Single9AS8Psilocin9AS8-5-HT2A-Psilocin-chim(NtGi2L-Gs-CtGq)/β1/γ2
50.00Single9AS9RS130-1809AS9-5-HT2A-RS130-180
50.00Single9ASARS130-1809ASA-5-HT2A-RS130-180-chim(NtGi1-Gs-CtGq)/β1/γ2
50.00Single9CBLEpinephrine9CBL-α2a-Epinephrine-Gi1/β1/γ2
50.00Single9I54PubChem 1764520919I54-D1-PubChem 176452091-Gs/β1/γ2
50.00Single9L8LBI1671079L8L-β2-BI167107-Atazanavir-Gs/β1/γ2 ; Arrestin2
50.00Single9LL7DOI9LL7-5-HT2A-DOI-Gi1/β1/γ2
50.00Single9LRDHistamine9LRD-H1-Histamine-Gi1/β1/γ2
50.00Single9MQIIsoquinuclidine9MQI-μ-Isoquinuclidine
50.00Single9W6W5-CT9W6W-5-HT5A-5-CT-Gi1/β1/γ2
50.00Consensus5ht1_offOrthosteric Ligand5ht1b_off
50.00Consensus5ht1b_offOrthosteric Ligand5V54-5-HT1B-Methiothepin
50.00Consensus5ht2a_offOrthosteric Ligand6A94-5-HT2A-Zotepine 6A93-5-HT2A-Risperidone 7VOD-5-HT2A-Cariprazine 7WC8-5-HT2A-Lumateperone 8JT8-5-HT2A-(R)-IHCH-7179
50.00Consensus5ht_offOrthosteric Ligand5ht2_off 5ht1_off
50.00Consensusalpha1_onOrthosteric Ligandalpha1a_on
50.00Consensusalpha1_on_gpOrthosteric Ligandalpha1a_on_gp
50.00Consensusalpha1a_onOrthosteric Ligand7EJ0-α2a-Norepinephrine-Go/β1/γ2 7EJ8-α2a-Brimonidine-Go/β1/γ2 7EJA-α2a-Dexmedetomidine-Go/β1/γ2 7EJK-α2a-Oxymetazoline-Go/β1/γ2 7W6P-α2a-N-pyridin-4-ylisoquinolin-4-amine-Go/β1/γ2 7W7E-α2a-PubChem 164946676-Go/β1/γ2
50.00Consensusalpha1a_on_gpOrthosteric Ligand7EJ0-α2a-Norepinephrine-Go/β1/γ2 7EJ8-α2a-Brimonidine-Go/β1/γ2 7EJA-α2a-Dexmedetomidine-Go/β1/γ2 7EJK-α2a-Oxymetazoline-Go/β1/γ2 7W6P-α2a-N-pyridin-4-ylisoquinolin-4-amine-Go/β1/γ2 7W7E-α2a-PubChem 164946676-Go/β1/γ2
50.00Consensusbeta2_onOrthosteric Ligand7DHI-β2-Salbutamol-Gs/β1/γ2 6NI3-β2-BI167107-Gs/β1/γ2
50.00Consensusbeta2_on_gpOrthosteric Ligand7DHI-β2-Salbutamol-Gs/β1/γ2 6NI3-β2-BI167107-Gs/β1/γ2
50.00Consensusd1_on_gpOrthosteric Ligand7F0T-D1-Dopamine-Gs/β1/γ2 7CKY-D1-PW0464-Gs/β1/γ2 8IRR-D1-Rotigotine-Gs/β1/γ2 7JV5-D1-SKF81297-Gs/β1/γ2 7JVP-D1-SKF83959-Gs/β1/γ2 7X2D-D1-Tavapadon-Gs/β1/γ2 7CKX-D1-A77636-Gs/β1/γ2 7JVQ-D1-Apomorphine-Gs/β1/γ2 7CKW-D1-Fenoldopam-Gs/β1/γ2
50.00Consensusd3_onOrthosteric Ligand7CMV-D3-PD128907-Gi1/β1/γ2 8IRT-D3-Rotigotine-Gi1/β1/γ2 7CMU-D3-Pramipexole-Gi1/β1/γ2
50.00Consensusd3_on_gpOrthosteric Ligand7CMV-D3-PD128907-Gi1/β1/γ2 8IRT-D3-Rotigotine-Gi1/β1/γ2 7CMU-D3-Pramipexole-Gi1/β1/γ2
50.00Consensusd5_on_gpOrthosteric Ligand8IRV-D5-Rotigotine-chim(NtGi1-Gs)/β1/γ2
50.00Consensusgi_5htOrthosteric Ligand8FYT-5-HT1A-LSD-PtdIns4P-Gi1/β1/γ1 7UM7-5-HT5A-Methylergometrine-chim(NtGi1-Go)/β1/γ2 8UGY-5-HT1E-Mianserin-Gi1/β1/γ1 8W8B-5-HT1A-SEP-363856-Gi1/β1/γ2 7E2Y-5-HT1A-Serotonin-PtdIns4P-Gi1/β1/γ2 7E32-5-HT1D-Serotonin-Gi1/β1/γ2 7XTA-5-HT4-Serotonin-Gi1/β1/γ2 8UH3-5-HT1E-Setiptiline-Gi1/β1/γ1 8JSP-5-HT1A-Ulotaront-Gi1/β1/γ2 8FYL-5-HT1A-Vilazodone-PtdIns4P-Gi1/β1/γ1 8JT6-5-HT1A-(R)-IHCH-7179-PtdIns4P-Gi1/β1/γ2 8FYE-5-HT1A-4-F,5-MeO-PyrT-PtdIns4P-Gi1/β1/γ1 7X5H-5-HT5A-5-CT-Gi1/β1/γ2 8FY8-5-HT1A-5-MeO-DMT-PtdIns4P-Gi1/β1/γ1 7E2Z-5-HT1A-Aripiprazole-PtdIns4P-Gi1/β1/γ2 7E33-5-HT1E-BRL-54443-Gi1/β1/γ2 8FYX-5-HT1A-Buspirone-PtdIns4P-Gi1/β1/γ1 7EXD-5-HT1F-Lasmiditan-Gi1/β1/γ2 7UM6-5-HT5A-Lisuride-chim(NtGi1-Go)/β1/γ2
50.00Consensusgi_dopamineOrthosteric Ligand7JVR-D2-Bromoergocryptine-Gi1/β1/γ2 7CMV-D3-PD128907-Gi1/β1/γ2 7CMU-D3-Pramipexole-Gi1/β1/γ2 8IRS-D2-Rotigotine-Gi1/β1/γ2 8IRT-D3-Rotigotine-Gi1/β1/γ2
50.00Consensusgs_adrenergicOrthosteric Ligand7DHI-β2-Salbutamol-Gs/β1/γ2 7XJI-β3-Solabegron-Gs/β1/γ2 7JJO-β1-Isoprenaline-Gs/β1/γ2 6NI3-β2-BI167107-Gs/β1/γ2 8DCR-β1-Dobutamine-Gs/β1/γ2 7XJH-β3-Isoprenaline-Gs/β1/γ2 7DH5-β3-Mirabegron-Gs/β1/γ2
50.00Consensusgs_dopamineOrthosteric Ligand7F0T-D1-Dopamine-Gs/β1/γ2 7CKW-D1-Fenoldopam-Gs/β1/γ2 7CKY-D1-PW0464-Gs/β1/γ2 8IRV-D5-Rotigotine-chim(NtGi1-Gs)/β1/γ2 8IRR-D1-Rotigotine-Gs/β1/γ2 7JV5-D1-SKF81297-Gs/β1/γ2 7JVP-D1-SKF83959-Gs/β1/γ2 7X2D-D1-Tavapadon-Gs/β1/γ2 7CKX-D1-A77636-Gs/β1/γ2 7JVQ-D1-Apomorphine-Gs/β1/γ2
50.00Consensusm3_offOrthosteric Ligand4U15-M3-Tiotropium 4U16-M3-N-methyl-Scopolamine 5ZHP-M3-PubChem 134828589
50.00Consensusm5_offOrthosteric Ligand6OL9-M5-Tiotropium
50.00Consensusmuscarinic_offOrthosteric Ligandm2_off m3_off m4_off m5_off m1_off
50.00Consensustachykinin_offOrthosteric Ligandnk1_off
47.06Single4AMJCarvedilol4AMJ-β1-Carvedilol
47.06Single8FYLVilazodone8FYL-5-HT1A-Vilazodone-PtdIns4P-Gi1/β1/γ1
47.06Single8PKMBefiradol8PKM-5-HT1A-Befiradol-Gi1/β1/γ1
47.06Single8ZSPLSD8ZSP-TA1-LSD-chim(NtGi1L-Gs)/β1/γ2
47.06Single9M4TSilodosin9M4T-Alpha1A-Silodosin
46.67Single4LDEBI1671074LDE-β2-BI167107
46.67Single5CXVTiotropium5CXV-M1-Tiotropium
46.67Single6CM4Risperidone6CM4-D2-Risperidone
46.67Single6DRYMethylergometrine6DRY-5-HT2B-Methylergometrine
46.67Single6MXTSalmeterol6MXT-β2-Salmeterol
46.67Single6VMSBromoergocryptine6VMS-D2-Bromoergocryptine-Gi1/β1/γ2
46.67Single7DH5Mirabegron7DH5-β3-Mirabegron-Gs/β1/γ2
46.67Single7EXDLasmiditan7EXD-5-HT1F-Lasmiditan-Gi1/β1/γ2
46.67Single8E9W2-Deoxycytidine8E9W-M3-2-Deoxycytidine-chim(NtGi2L-Gs-CtGq)/β1/γ2
46.67Single8G056-OAU8G05-GPR84-6-OAU-Gi1/β1/γ2
46.67Single8IRSRotigotine8IRS-D2-Rotigotine-Gi1/β1/γ2
46.67Single8JJ8Arformoterol8JJ8-β2-Arformoterol
46.67Single9EK0Iperoxo9EK0-M5-Iperoxo-chim(NtGi1-Gs-CtGq)/β1/γ2
46.67Single9GL2Befiradol9GL2-5-HT1A-Befiradol-Gs/β1/γ2
46.67Consensus5ht1a_onOrthosteric Ligand8FYT-5-HT1A-LSD-PtdIns4P-Gi1/β1/γ1 7E2Y-5-HT1A-Serotonin-PtdIns4P-Gi1/β1/γ2 7E2Z-5-HT1A-Aripiprazole-PtdIns4P-Gi1/β1/γ2 8FYX-5-HT1A-Buspirone-PtdIns4P-Gi1/β1/γ1 8JSP-5-HT1A-Ulotaront-Gi1/β1/γ2 8JT6-5-HT1A-(R)-IHCH-7179-PtdIns4P-Gi1/β1/γ2 8FY8-5-HT1A-5-MeO-DMT-PtdIns4P-Gi1/β1/γ1 8FYE-5-HT1A-4-F,5-MeO-PyrT-PtdIns4P-Gi1/β1/γ1 8FYL-5-HT1A-Vilazodone-PtdIns4P-Gi1/β1/γ1
46.67Consensus5ht1a_on_gpOrthosteric Ligand8FYT-5-HT1A-LSD-PtdIns4P-Gi1/β1/γ1 8FYX-5-HT1A-Buspirone-PtdIns4P-Gi1/β1/γ1 8JSP-5-HT1A-Ulotaront-Gi1/β1/γ2 8JT6-5-HT1A-(R)-IHCH-7179-PtdIns4P-Gi1/β1/γ2 7E2Y-5-HT1A-Serotonin-PtdIns4P-Gi1/β1/γ2 7E2Z-5-HT1A-Aripiprazole-PtdIns4P-Gi1/β1/γ2 8FY8-5-HT1A-5-MeO-DMT-PtdIns4P-Gi1/β1/γ1 8FYE-5-HT1A-4-F,5-MeO-PyrT-PtdIns4P-Gi1/β1/γ1 8FYL-5-HT1A-Vilazodone-PtdIns4P-Gi1/β1/γ1
46.67Consensus5ht1f_onOrthosteric Ligand7EXD-5-HT1F-Lasmiditan-Gi1/β1/γ2
46.67Consensus5ht1f_on_gpOrthosteric Ligand7EXD-5-HT1F-Lasmiditan-Gi1/β1/γ2
46.67Consensusbeta3_onOrthosteric Ligand7DH5-β3-Mirabegron-Gs/β1/γ2 7XJH-β3-Isoprenaline-Gs/β1/γ2 7XJI-β3-Solabegron-Gs/β1/γ2
46.67Consensusbeta3_on_gpOrthosteric Ligand7DH5-β3-Mirabegron-Gs/β1/γ2 7XJH-β3-Isoprenaline-Gs/β1/γ2 7XJI-β3-Solabegron-Gs/β1/γ2
46.67Consensusbeta_onOrthosteric Ligandbeta1_on beta2_on beta3_on
46.67Consensusbeta_on_gpOrthosteric Ligandbeta1_on_gp beta2_on_gp beta3_on_gp
46.67Consensusd2_on_gpOrthosteric Ligand7JVR-D2-Bromoergocryptine-Gi1/β1/γ2 8IRS-D2-Rotigotine-Gi1/β1/γ2
46.67Consensusm1_offOrthosteric Ligand5CXV-M1-Tiotropium
46.15Single2VT4Cyanopindolol2VT4-β1-Cyanopindolol
46.15Single2Y02Carmoterol2Y02-β1-Carmoterol
46.15Single2Y04Salbutamol2Y04-β1-Salbutamol
46.15Single2YCYCyanopindolol2YCY-β1-Cyanopindolol
46.15Single3ZPRPubChem 5987543ZPR-β1-PubChem 598754-Na
46.15Single4QKXPubChem 762106284QKX-β2-PubChem 76210628
46.15Single5DSGTiotropium5DSG-M4-Tiotropium
46.15Single6DRZMethysergide6DRZ-5-HT2B-Methysergide
46.15Single6PRZAlprenolol6PRZ-β2-Alprenolol
46.15Single6WHADB139486WHA-5-HT2A-DB13948-chim(NtGi2L-Gs-CtGq)/β1/γ2
46.15Single7JOZPubChem 752020227JOZ-D1-PubChem 75202022-Gs/β1/γ2
46.15Single7JVQApomorphine7JVQ-D1-Apomorphine-Gs/β1/γ2
46.15Single7LJCSKF812977LJC-D1-SKF81297-Mevidalen-Gs/β1/γ2
46.15Single7S0GIsoprenaline7S0G-β1-Isoprenaline-chim(Gi1-CtGs)/β1/γ2
46.15Single7UM55-CT7UM5-5-HT5A-5-CT-chim(NtGi1-Go)/β1/γ2
46.15Single7UM6Lisuride7UM6-5-HT5A-Lisuride-chim(NtGi1-Go)/β1/γ2
46.15Single7X2CFenoldopam7X2C-D1-Fenoldopam-Fenoldopam-Gs/β1/γ2
46.15Single8CICEtrumadenant8CIC-A2A-Etrumadenant-Na
46.15Single8IRTRotigotine8IRT-D3-Rotigotine-Gi1/β1/γ2
46.15Single8JD0NAM5638JD0-mGlu2; mGlu3-Glutamate-NAM563
46.15Single8JXRLSD8JXR-D1-LSD
46.15Single8PJKST1718PJK-5-HT1A-ST171-Gi1/β1/γ1
46.15Single8UGYMianserin8UGY-5-HT1E-Mianserin-Gi1/β1/γ1
46.15Single8UNRConstrained Epinephrine8UNR-β2-Constrained Epinephrine-GTP-Gs/β1/γ2
46.15Single8UNUConstrained Epinephrine8UNU-β2-Constrained Epinephrine-GTP-Gs/β1/γ2
46.15Single8UNVConstrained Epinephrine8UNV-β2-Constrained Epinephrine-GTP-Gs/β1/γ2
46.15Single8UNZConstrained Epinephrine8UNZ-β2-Constrained Epinephrine-GTP-Gs/β1/γ2
46.15Single8UO2Constrained Epinephrine8UO2-β2-Constrained Epinephrine-GTP-Gs/β1/γ2
46.15Single8UWLLisuride8UWL-5-HT2A-Lisuride-chim(NtGi2-Gs-CtGq)/β1/γ2
46.15Single8VVGGB188VVG-κ-GB18-Gi1/β1/γ2
46.15Single8WC7ZH86678WC7-TA1-ZH8667-chim(NtGi1-Gs)/β1/γ2
46.15Single8XVKAmbrisentan8XVK-ETA-Ambrisentan
46.15Single8Y71A1D6F8Y71-δ-A1D6F-BMS986187-Gi1/β1/γ2
46.15Single8YN8Proxyfan8YN8-H3-Proxyfan-Go/β1/γ2
46.15Single9PQDPubChem 1764919279PQD-α2a-PubChem 176491927
46.15Single9UAZAtropine9UAZ-M1-Atropine
46.15Consensus5ht2b_offOrthosteric Ligand6DRZ-5-HT2B-Methysergide
46.15Consensus5ht5_onOrthosteric Ligand5ht5a_on
46.15Consensus5ht5a_onOrthosteric Ligand7X5H-5-HT5A-5-CT-Gi1/β1/γ2 7UM6-5-HT5A-Lisuride-chim(NtGi1-Go)/β1/γ2 7UM7-5-HT5A-Methylergometrine-chim(NtGi1-Go)/β1/γ2
46.15Consensus5ht6_onOrthosteric Ligand7XTB-5-HT6-Serotonin-Gs/β1/γ2 8JLZ-5-HT6-ST1936-Gs/β1/γ2
46.15Consensus5ht6_on_gpOrthosteric Ligand7XTB-5-HT6-Serotonin-Gs/β1/γ2 8JLZ-5-HT6-ST1936-Gs/β1/γ2
46.15Consensusm4_offOrthosteric Ligand5DSG-M4-Tiotropium
46.15Consensusmuscarinic_onOrthosteric Ligandm2_on m3_on m4_on m1_on
46.15Consensusmuscarinic_on_gpOrthosteric Ligandm2_on_gp m3_on_gp m4_on_gp m1_on_gp
45.45Single1U1911-cis-Retinal1U19-Rhodopsin-11-cis-Retinal
45.45Single2G87All-trans-Retinal2G87-Rhodopsin-All-trans-Retinal
45.45Single2I3511-cis-Retinal2I35-Rhodopsin-11-cis-Retinal
45.45Single3PBLEticlopride3PBL-D3-Eticlopride
45.45Single7E2YSerotonin7E2Y-5-HT1A-Serotonin-PtdIns4P-Gi1/β1/γ2
45.45Single7SRQLSD7SRQ-5-HT2B-LSD
45.45Single7V68Iperoxo7V68-M4-Iperoxo-LY2119620-Gi1/β1/γ2
45.45Single7XTASerotonin7XTA-5-HT4-Serotonin-Gi1/β1/γ2
45.45Single7YFDImetit7YFD-H4-Imetit-chim(NtGi1-Gs-CtGq)/β1/γ2
45.45Single8EF6Morphine8EF6-μ-Morphine-Gi1/β1/γ2
45.45Single8GGYConstrained Epinephrine8GGY-β2-Constrained Epinephrine
45.45Single8HN8Histamine8HN8-H4-Histamine-Gi1/β1/γ2
45.45Single8JLOUlotaront8JLO-TA1-Ulotaront-Gs/β1/γ2
45.45Single8YN4Histamine8YN4-H2-Histamine-chim(NtGi1L-Gs-CtGq)/β1/γ2
45.45Single8YN5Histamine8YN5-H3-Histamine-Gi1/β1/γ2
45.45Single8YN6Imetit8YN6-H3-Imetit-Gi1/β1/γ2
45.45Single8YN7Immethridine8YN7-H3-Immethridine-Go/β1/γ2
45.45Single9IXJHistamine9IXJ-H2-Histamine-Gs/β1/γ2
45.45Single9L42Histamine9L42-H4-Histamine-Gi1/β1/γ2
45.45Single9U9VMETH9U9V-β2-METH-Gs/β1/γ2
45.45Consensus5ht4_onOrthosteric Ligand7XTA-5-HT4-Serotonin-Gi1/β1/γ2
45.45Consensus5ht4_on_gpOrthosteric Ligand7XTA-5-HT4-Serotonin-Gi1/β1/γ2
45.45Consensusd3_offOrthosteric Ligand3PBL-D3-Eticlopride
43.75Single6H7LDobutamine6H7L-β1-Dobutamine
43.75Single6IBLArformoterol6IBL-β1-Arformoterol
43.75Single6TKOArformoterol6TKO-β1-Arformoterol-Arrestin2
43.75Single7JVRBromoergocryptine7JVR-D2-Bromoergocryptine-Gi1/β1/γ2
43.75Single7SK8CCX6627SK8-ACKR3-CXCL12-CCX662
43.75Single7UM4AS26747237UM4-5-HT5A-AS2674723
43.75Single7X2DTavapadon7X2D-D1-Tavapadon-Gs/β1/γ2
43.75Single7XJISolabegron7XJI-β3-Solabegron-Gs/β1/γ2
43.75Single8E9X2-Deoxycytidine8E9X-M4-2-Deoxycytidine-chim(NtGi1-Go)/β1/γ2
43.75Single8E9YClozapine-N-oxide8E9Y-M3-Clozapine-N-oxide-chim(NtGi2L-Gs-CtGq)/β1/γ2
43.75Single8FX5Xanomeline8FX5-M4-Xanomeline-Xanomeline-Gi1/β1/γ2
43.75Single8T3OTUG-8918T3O-FFA4-TUG-891-chim(NtGi2L-Gs-CtGq)/β1/γ2
43.75Single9HYIDP819HYI-5-HT1A-DP81-Gi1/β1/γ2
43.75Consensusbeta1_onOrthosteric Ligand8DCR-β1-Dobutamine-Gs/β1/γ2 7S0F-β1-Isoprenaline-Gi1/β1/γ2
43.75Consensusbeta1_on_gpOrthosteric Ligand8DCR-β1-Dobutamine-Gs/β1/γ2 7S0F-β1-Isoprenaline-Gi1/β1/γ2
42.86Single5JQHCarazolol5JQH-β2-Carazolol
42.86Single5TVNLSD5TVN-5-HT2B-LSD
42.86Single6LUQHaloperidol6LUQ-D2-Haloperidol
42.86Single6ME72-Phenylmelatonin6ME7-MT2-2-Phenylmelatonin
42.86Single6ME82-Phenylmelatonin6ME8-MT2-2-Phenylmelatonin
42.86Single6OIKIperoxo6OIK-M2-Iperoxo-LY2119620-chim(NtGi1-Go)/β1/γ2
42.86Single7C61Ergotamine7C61-5-HT1B-Ergotamine
42.86Single7EUOfMLF7EUO-FPR1-ALX-fMLF-Gi1/β1/γ2
42.86Single7VOEAripiprazole7VOE-5-HT2A-Aripiprazole
42.86Single7WC6LSD7WC6-5-HT2A-LSD
42.86Single8EFBOliceridine8EFB-μ-Oliceridine-Gi1/β1/γ2
42.86Single8JXSPF-61428JXS-D1-PF-6142
42.86Single8ZRKGSK12922638ZRK-GPR119-GSK1292263-Gs/β1/γ2
42.86Single9ARZ2-bromo-LSD9ARZ-5-HT2A-2-bromo-LSD
42.86Single9EE8Adenosine9EE8-A2A-Adenosine-Gs/β1/γ2
42.86Single9F33FOB02-04A9F33-D3-FOB02-04A-Go/β1/γ2
42.86Single9MQKIsoquinuclidine9MQK-κ-Isoquinuclidine
42.86Single9PXYNaloxone9PXY-μ-Naloxone-GDPβS-Gi1/β1/γ2
42.86Consensus5ht2_offOrthosteric Ligand5ht2a_off 5ht2b_off 5ht2c_off
42.86Consensus5ht5_on_gpOrthosteric Ligand5ht5a_on_gp
42.86Consensus5ht5a_on_gpOrthosteric Ligand7X5H-5-HT5A-5-CT-Gi1/β1/γ2 7UM6-5-HT5A-Lisuride-chim(NtGi1-Go)/β1/γ2 7UM7-5-HT5A-Methylergometrine-chim(NtGi1-Go)/β1/γ2
42.86Consensusalpha_offOrthosteric Ligandalpha1_off alpha2_off
42.86Consensusd4_onOrthosteric Ligand8IRU-D4-Rotigotine-chim(NtGi1-Gs-CtGi1)/β1/γ2
41.67Single2PED9-cis-Retinal2PED-Rhodopsin-9-cis-Retinal
41.67Single6ME2Ramelteon6ME2-MT1-Ramelteon
41.67Single6NWEOctyl-Beta-D-Glucopyranoside6NWE-Rhodopsin-Octyl-β-D-Glucopyranoside-Gt(CT)
41.67Single7DHRIsoprenaline7DHR-β2-Isoprenaline-Gs/β1/γ2
41.67Single7F1ODopamine7F1O-D1-Dopamine-GDP; Mg-Gs/β1/γ2
41.67Single7LD4Adenosine7LD4-A1-Adenosine-Gi2/β1/γ2
41.67Single7LJDDopamine7LJD-D1-Dopamine-Mevidalen-Gs/β1/γ1
41.67Single7SRRLSD7SRR-5-HT2B-LSD-chim(NtGi2L-Gs-CtGq)/β1/γ2
41.67Single7SRSLSD7SRS-5-HT2B-LSD-Arrestin2
41.67Single7T6STC-FPR 437T6S-FPR2-ALX-TC-FPR 43-Gi1/β1/γ2
41.67Single7T8XAcetylcholine7T8X-M2-Acetylcholine-chim(NtGi1-Go)/β1/γ2
41.67Single7T90Acetylcholine7T90-M2-Acetylcholine-chim(NtGi1-Go)/β1/γ2
41.67Single7T96Acetylcholine7T96-M2-Acetylcholine-LY2119620-Go/β1/γ2
41.67Single8FYXBuspirone8FYX-5-HT1A-Buspirone-PtdIns4P-Gi1/β1/γ1
41.67Single8GGCConstrained Epinephrine8GGC-β2-Constrained Epinephrine-GTP-Gs/β1/γ2
41.67Single8GGZConstrained Epinephrine8GGZ-β2-Constrained Epinephrine
41.67Single8IW4Spermidine8IW4-TAA9-Spermidine-chim(NtGi1-Gs)/β1/γ2
41.67Single8IWESpermidine8IWE-TAA9-Spermidine
41.67Single8JSOAMPH8JSO-TA1-AMPH-chim(NtGi1-Gs)/β1/γ2
41.67Single8UNXConstrained Epinephrine8UNX-β2-Constrained Epinephrine-GTP-Gs/β1/γ2
41.67Single8WC4ZH86518WC4-TA1-ZH8651-chim(NtGi1-Gs)/β1/γ2
41.67Single8WCA2-Phenylethylamine8WCA-TA1-2-Phenylethylamine-chim(NtGi1-Gs)/β1/γ2
41.67Single8YUVImmepip8YUV-H3-Immepip-Gi1/β1/γ2
41.67Single9EEAAdenosine9EEA-A2A-Adenosine-Gs/β1/γ2
41.67Single9VJ5Gepirone9VJ5-5-HT1A-Gepirone-Go/β1/γ2
41.67Single9VJEBuspirone9VJE-5-HT1A-Buspirone-Go/β1/γ2
41.67Consensus5ht2_on_gpOrthosteric Ligand5ht2b_on_gp
41.67Consensus5ht2b_on_gpOrthosteric Ligand7SRR-5-HT2B-LSD-chim(NtGi2L-Gs-CtGq)/β1/γ2
41.67Consensusa1_onOrthosteric Ligand7LD4-A1-Adenosine-Gi2/β1/γ2
41.67Consensusa1_on_gpOrthosteric Ligand7LD4-A1-Adenosine-Gi2/β1/γ2
41.67Consensushistamine_onOrthosteric Ligandh1_on h2_on h3_on h4_on
41.67Consensushistamine_on_gpOrthosteric Ligandh1_on_gp h2_on_gp h3_on_gp h4_on_gp
41.67Consensusm2_onOrthosteric Ligand7T8X-M2-Acetylcholine-chim(NtGi1-Go)/β1/γ2
41.67Consensusm2_on_gpOrthosteric Ligand7T8X-M2-Acetylcholine-chim(NtGi1-Go)/β1/γ2
41.67Consensusrhodopsin_offOrthosteric Ligand1U19-Rhodopsin-11-cis-Retinal 2PED-Rhodopsin-9-cis-Retinal 5TE5-Rhodopsin-20-Methanoretinal
41.67Consensussensory_offonOrthosteric Ligandsensory_off sensory_on
41.67Consensussensory_offon_gpOrthosteric Ligandsensory_on_gp sensory_on
41.18Single4UG2CGS216804UG2-A2A-CGS21680
41.18Single8X5YAstemizole8X5Y-H1-Astemizole
41.18Single9MD1Buspirone9MD1-5-HT1A-Buspirone-PtdIns4P-Gz/β1/γ2
40.00Single3PDSFAUC503PDS-β2-FAUC50
40.00Single5ZHPPubChem 1348285895ZHP-M3-PubChem 134828589
40.00Single6GT3Imaradenant6GT3-A2A-Imaradenant-Na
40.00Single6NI3BI1671076NI3-β2-BI167107-Gs/β1/γ2
40.00Single6OIJIperoxo6OIJ-M1-Iperoxo-chim(NtGi1L-G11)/β1/γ2
40.00Single7B6WCyclazosin7B6W-α1b-Cyclazosin
40.00Single7CKYPW04647CKY-D1-PW0464-Gs/β1/γ2
40.00Single7E2ZAripiprazole7E2Z-5-HT1A-Aripiprazole-PtdIns4P-Gi1/β1/γ2
40.00Single7T2HLofentanil7T2H-μ-Lofentanil-Gi1/β1/γ2
40.00Single7U2LC5-guano7U2L-μ-C5-guano-Gi1/β1/γ2
40.00Single8DCSCyanopindolol8DCS-β1-Cyanopindolol-Gs/β1/γ2
40.00Single8DPHLorcaserin8DPH-5-HT2C-Lorcaserin-chim(NtGi2L-Gs-CtGq)/β1/γ2
40.00Single8DZPmomSalB8DZP-κ-momSalB-Gi1/β1/γ2
40.00Single8GEIConstrained Epinephrine8GEI-β2-Constrained Epinephrine-Gs/β1/γ2
40.00Single8ID39-Hydroxystearic acid8ID3-FFA4-9-Hydroxystearic acid-Gi1/β1/γ2
40.00Single8IRURotigotine8IRU-D4-Rotigotine-chim(NtGi1-Gs-CtGi1)/β1/γ2
40.00Single8IWM2-Phenylethylamine8IWM-TAA9-2-Phenylethylamine
40.00Single8JLPRalmitaront8JLP-TA1-Ralmitaront-Gs/β1/γ2
40.00Single8JT6(R)-IHCH-71798JT6-5-HT1A-(R)-IHCH-7179-PtdIns4P-Gi1/β1/γ2
40.00Single8JXXClobenpropit8JXX-H4-Clobenpropit-Gi1/β1/γ2
40.00Single8VVEnorBNI8VVE-κ-norBNI-Gi1/β1/γ2
40.00Single8WC5Tetramethylammonium Ion8WC5-TA1-Tetramethylammonium Ion-chim(NtGi1-Gs)/β1/γ2
40.00Single9BJKNaloxone9BJK-μ-Naloxone-PubChem 171642066
40.00Single9IJDCarazolol9IJD-β3-Carazolol-chim(NtGi1-Gs)/β1/γ2
40.00Single9PY3Loperamide9PY3-μ-Loperamide-GDPβS-Gi1/β1/γ2
40.00Single9PY4Loperamide9PY4-μ-Loperamide-GDPβS-Gi1/β1/γ2
40.00Single9UCPIperoxo9UCP-M1-Iperoxo-G11(CT)
40.00Consensusd4_on_gpOrthosteric Ligand8IRU-D4-Rotigotine-chim(NtGi1-Gs-CtGi1)/β1/γ2
40.00Consensusm1_on_gpOrthosteric Ligand6OIJ-M1-Iperoxo-chim(NtGi1L-G11)/β1/γ2
40.00Consensusopsins_onOrthosteric Ligandrhodopsin_on opsin1lw_on
40.00Consensussensory_onOrthosteric Ligandopsins_on
38.89Single4IARErgotamine4IAR-5-HT1B-Ergotamine
38.89Single4IB4Ergotamine4IB4-5-HT2B-Ergotamine
38.89Single7WVWfMYFINILTL7WVW-FPR2-ALX-fMYFINILTL-Gi2/β1/γ2
38.89Single8DCRDobutamine8DCR-β1-Dobutamine-Gs/β1/γ2
38.89Single8WDTphotoNECA8WDT-A2A-photoNECA
38.89Consensusmop_offOrthosteric Ligand4DKL-μ-β-Funaltrexamine 8QOT-μ-Nanobody-E 7UL4-μ-Alvimopan
38.46Single2YDOAdenosine2YDO-A2A-Adenosine
38.46Single3UZCPubChem 1355666093UZC-A2A-PubChem 135566609
38.46Single4DKLBeta-Funaltrexamine4DKL-μ-β-Funaltrexamine
38.46Single4N6HNaltrindole4N6H-δ-Naltrindole-Na
38.46Single5TE3Octyl-Beta-D-Glucopyranoside5TE3-Rhodopsin-Octyl-β-D-Glucopyranoside
38.46Single6KUXRS799486KUX-α2a-RS79948
38.46Single6ME42-Iodomelatonin6ME4-MT1-2-Iodomelatonin
38.46Single7F0TDopamine7F0T-D1-Dopamine-Gs/β1/γ2
38.46Single7F1ZDopamine7F1Z-D1-Dopamine-GDP-Gs/β1/γ2
38.46Single7T32ZM-2413857T32-A2A-ZM-241385
38.46Single7UM7Methylergometrine7UM7-5-HT5A-Methylergometrine-chim(NtGi1-Go)/β1/γ2
38.46Single7VODCariprazine7VOD-5-HT2A-Cariprazine
38.46Single7WC9PubChem 1624213647WC9-5-HT2A-PubChem 162421364
38.46Single8DPGPsilocin8DPG-5-HT2C-Psilocin-chim(NtGi2L-Gs-CtGq)/β1/γ2
38.46Single8FCZ11-cis-Retinal8FCZ-Rhodopsin-11-cis-Retinal
38.46Single8PM2DMCHA8PM2-TA7-DMCHA-Gs/β1/γ2
38.46Single8RLNLUF58348RLN-A2A-LUF5834
38.46Single8UO0Constrained Epinephrine8UO0-β2-Constrained Epinephrine-GTP-Gs/β1/γ2
38.46Single8Y53MK50468Y53-BB3-MK5046-chim(NtGi1-Gs-CtGq)/β1/γ2
38.46Single8YH2Adenosine8YH2-A3A-Adenosine-Gi1/β1/γ2
38.46Single9ODJMitragynine Pseudoindoxyl9ODJ-μ-Mitragynine Pseudoindoxyl-GTP; Mg-Gi1/β1/γ2
38.46Single9ODLMitragynine Pseudoindoxyl9ODL-μ-Mitragynine Pseudoindoxyl-GTP; Mg-Gi1/β1/γ2
38.46Single9PXVNaloxone9PXV-μ-Naloxone-Gi1/β1/γ2
38.46Consensusnop_offOrthosteric Ligand4EA3-NOP-PubChem 10296561 5DHG-NOP-C-35 5DHH-NOP-SB-612111
38.46Consensusopsins_offOrthosteric Ligandrhodopsin_off
38.46Consensussensory_offOrthosteric Ligandopsins_off
37.50Single2YCXCyanopindolol2YCX-β1-Cyanopindolol
37.50Single5UNHPubChem 1264564065UNH-AT2-PubChem 126456406
37.50Single6A93Risperidone6A93-5-HT2A-Risperidone
37.50Single6ZG4HTL00099366ZG4-M1-HTL0009936
37.50Single7BZ2Arformoterol7BZ2-β2-Arformoterol-Gs/β1/γ2
37.50Single7DFPSpiperone7DFP-D2-Spiperone
37.50Single7WCNAR2314537WCN-GPR119-AR231453-Gs/β1/γ2
37.50Single7YITNalfurafine7YIT-κ-Nalfurafine
37.50Single7YMJTamsulosin7YMJ-Alpha1A-Tamsulosin
37.50Single8JJLOlodaterol8JJL-β2-Olodaterol
37.50Single8JWY2-1188JWY-A2A-2-118
37.50Single8JWZEtrumadenant8JWZ-A2A-Etrumadenant-Na
37.50Single8T3QDoconexent8T3Q-FFA4-Doconexent-chim(NtGi2L-Gs-CtGq)/β1/γ2
37.50Single9EBIPiclidenoson9EBI-A3A-Piclidenoson-chim(NtGi1L-Gs-CtGi1)/β1/γ2
37.50Single9M4QDoxazosin9M4Q-Alpha1A-Doxazosin
37.50Single9MQLIsoquinuclidine9MQL-κ-Isoquinuclidine
37.50Single9V6ONalfurafine9V6O-κ-Nalfurafine-Gi1/β1/γ2
37.50Single9VJ6F-155999VJ6-5-HT1A-F-15599-Gi3/β1/γ2
37.50Consensusalpha1_offOrthosteric Ligandalpha1a_off
37.50Consensusalpha1a_offOrthosteric Ligand7YMJ-Alpha1A-Tamsulosin
37.50Consensusgi_amineOrthosteric Ligandgi_5ht gi_muscarinic gi_adrenergic gi_dopamine gi_histamine
37.50Consensusgi_muscarinicOrthosteric Ligand8E9X-M4-2-Deoxycytidine-chim(NtGi1-Go)/β1/γ2 7T8X-M2-Acetylcholine-chim(NtGi1-Go)/β1/γ2 7TRS-M4-Acetylcholine-Gi1/β1/γ2 7TRK-M4-Iperoxo-Gi1/β1/γ2 7V6A-M4-PubChem 9864275-Gi1/β1/γ2
37.50Consensusm4_onOrthosteric Ligand7TRS-M4-Acetylcholine-Gi1/β1/γ2 7V6A-M4-PubChem 9864275-Gi1/β1/γ2 8E9X-M4-2-Deoxycytidine-chim(NtGi1-Go)/β1/γ2 7TRK-M4-Iperoxo-Gi1/β1/γ2
37.50Consensusm4_on_gpOrthosteric Ligand7TRS-M4-Acetylcholine-Gi1/β1/γ2 7V6A-M4-PubChem 9864275-Gi1/β1/γ2 8E9X-M4-2-Deoxycytidine-chim(NtGi1-Go)/β1/γ2 7TRK-M4-Iperoxo-Gi1/β1/γ2
37.50Consensusmop_onOrthosteric Ligand8F7R-μ-Endomorphin-Gi1/β1/γ2 8EF5-μ-Fentanyl-Gi1/β1/γ2 7SCG-μ-FH210-Gi1/β1/γ2 7T2H-μ-Lofentanil-Gi1/β1/γ2 7T2G-μ-Mitragynine Pseudoindoxyl-Gi1/β1/γ2 8EF6-μ-Morphine-Gi1/β1/γ2 8EFB-μ-Oliceridine-Gi1/β1/γ2 7U2L-μ-C5-guano-Gi1/β1/γ2 8EFO-μ-PZM21-Gi1/β1/γ2 8EFL-μ-SR17018-Gi1/β1/γ2 8F7Q-μ-β-Endorphin-Gi1/β1/γ2 7U2K-μ-C6-guano-Gi1/β1/γ2 8EFQ-μ-DAMGO-Gi1/β1/γ2
37.50Consensusmop_on_gpOrthosteric Ligand8F7R-μ-Endomorphin-Gi1/β1/γ2 8EF5-μ-Fentanyl-Gi1/β1/γ2 7SCG-μ-FH210-Gi1/β1/γ2 7T2H-μ-Lofentanil-Gi1/β1/γ2 7T2G-μ-Mitragynine Pseudoindoxyl-Gi1/β1/γ2 8EF6-μ-Morphine-Gi1/β1/γ2 8EFB-μ-Oliceridine-Gi1/β1/γ2 7U2L-μ-C5-guano-Gi1/β1/γ2 8EFO-μ-PZM21-Gi1/β1/γ2 8EFL-μ-SR17018-Gi1/β1/γ2 8F7Q-μ-β-Endorphin-Gi1/β1/γ2 7U2K-μ-C6-guano-Gi1/β1/γ2 8EFQ-μ-DAMGO-Gi1/β1/γ2
37.50Consensusopioid_offOrthosteric Ligandmop_off nop_off dop_off kop_off
36.84Single3QAKUK-4320973QAK-A2A-UK-432097
36.84Single6HLOAprepitant6HLO-NK1-Aprepitant
36.36Single2J4Y11-cis-Retinal2J4Y-Rhodopsin-11-cis-Retinal
36.36Single3C9M11-cis-Retinal3C9M-Rhodopsin-11-cis-Retinal
36.36Single5WKTOctyl-Beta-D-Glucopyranoside5WKT-Rhodopsin-Octyl-β-D-Glucopyranoside-Gt(CT)
36.36Single6FUFAll-trans-Retinal6FUF-Rhodopsin-All-trans-Retinal-Go
36.36Single7EJKOxymetazoline7EJK-α2a-Oxymetazoline-Go/β1/γ2
36.36Single7F23Dopamine7F23-D1-Dopamine-GDP-Gs/β1/γ2
36.36Single8GGEConstrained Epinephrine8GGE-β2-Constrained Epinephrine-GTP-Gs/β1/γ2
36.36Single8GGFConstrained Epinephrine8GGF-β2-Constrained Epinephrine-GTP-Gs/β1/γ2
36.36Single8GH1Constrained Epinephrine8GH1-β2-Constrained Epinephrine
36.36Single8IU2All-trans-Retinal8IU2-Opsin1LW-All-trans-Retinal-Gi1/β1/γ2
36.36Single8IW72-Phenylethylamine8IW7-TAA9-2-Phenylethylamine-chim(NtGi1-Gs)/β1/γ2
36.36Single8YN9Histamine8YN9-H4-Histamine-Gi1/β1/γ2
36.36Single8YUUHistamine8YUU-H3-Histamine-Gi1/β1/γ1
36.36Single9LRCHistamine9LRC-H4-Histamine
36.36Single9LREHistamine9LRE-H4-Histamine-Gi1/β1/γ2
36.36Consensus5ht2_onOrthosteric Ligand5ht2b_on
36.36Consensus5ht2b_onOrthosteric Ligand7SRR-5-HT2B-LSD-chim(NtGi2L-Gs-CtGq)/β1/γ2
36.36Consensusgi_opsinsOrthosteric Ligand8IU2-Opsin1LW-All-trans-Retinal-Gi1/β1/γ2
36.36Consensusgi_sensoryOrthosteric Ligandgi_opsins
36.36Consensush3_onOrthosteric Ligand8YUU-H3-Histamine-Gi1/β1/γ1
36.36Consensush3_on_gpOrthosteric Ligand8YUU-H3-Histamine-Gi1/β1/γ1
36.36Consensusopsin1lw_onOrthosteric Ligand8IU2-Opsin1LW-All-trans-Retinal-Gi1/β1/γ2
36.36Consensusopsin1lw_on_gpOrthosteric Ligand8IU2-Opsin1LW-All-trans-Retinal-Gi1/β1/γ2
36.36Consensusopsins_on_gpOrthosteric Ligandrhodopsin_on_gp opsin1lw_on_gp
36.36Consensusrhodopsin_onOrthosteric Ligand6OYA-Rhodopsin-All-trans-Retinal-Gt/β1/γ1
36.36Consensussensory_on_gpOrthosteric Ligandopsins_on_gp
35.71Single1HZX11-cis-Retinal1HZX-Rhodopsin-11-cis-Retinal
35.71Single2Y01Dobutamine2Y01-β1-Dobutamine
35.71Single4EA3PubChem 102965614EA3-NOP-PubChem 10296561
35.71Single4EJ4Naltrindole4EJ4-δ-Naltrindole
35.71Single4X1HNonyl-Beta-D-Glucopyranoside4X1H-Rhodopsin-Nonyl-β-D-Glucopyranoside-Gt(CT)
35.71Single5DHGC-355DHG-NOP-C-35
35.71Single5OLZPubChem 1355666095OLZ-A2A-PubChem 135566609-Na
35.71Single5OM1PubChem 1355666095OM1-A2A-PubChem 135566609-Na
35.71Single6DRXLisuride6DRX-5-HT2B-Lisuride
35.71Single7BU7BI1671077BU7-β1-BI167107
35.71Single7CRHSKF839597CRH-D1-SKF83959-Gs/β1/γ2
35.71Single7DB6Ramelteon7DB6-MT1-Ramelteon-Gi1/β1/γ2
35.71Single7SQOTAK-9257SQO-OX2-TAK-925-Gi1/β1/γ2
35.71Single7T2GMitragynine Pseudoindoxyl7T2G-μ-Mitragynine Pseudoindoxyl-Gi1/β1/γ2
35.71Single7T6VfMLFII7T6V-FPR2-ALX-fMLFII-Gi1/β1/γ2
35.71Single7VGZRamelteon7VGZ-MT1-Ramelteon-Gi1/β1/γ2
35.71Single7VH0Ramelteon7VH0-MT2-Ramelteon-Gi1/β1/γ1
35.71Single7VIES1P7VIE-S1P1-S1P-Gi1/β1/γ2
35.71Single7WC8Lumateperone7WC8-5-HT2A-Lumateperone
35.71Single8CU6LJ-45178CU6-A2A-LJ-4517
35.71Single8CU7LJ-45178CU7-A2A-LJ-4517-Na
35.71Single8DZSGR89,6968DZS-κ-GR89,696-chim(NtGi2-Gz)/β1/γ2
35.71Single8JLZST19368JLZ-5-HT6-ST1936-Gs/β1/γ2
35.71Single8JT8(R)-IHCH-71798JT8-5-HT2A-(R)-IHCH-7179
35.71Single8T1WCVN4248T1W-GPR6-CVN424
35.71Single9BQJRO769BQJ-μ-RO76-Gi1/β1/γ2
35.71Single9PXWNaloxone9PXW-μ-Naloxone-GDPβS-Gi1/β1/γ2
35.71Consensusadenosine_on_gpOrthosteric Liganda1_on_gp a2_on_gp a3_on_gp
35.71Consensusdop_offOrthosteric Ligand4EJ4-δ-Naltrindole
35.71Consensusgi_histamineOrthosteric Ligand8JXX-H4-Clobenpropit-Gi1/β1/γ2 8JXV-H4-Clozapine-Gi1/β1/γ2 8YUU-H3-Histamine-Gi1/β1/γ1 8HN8-H4-Histamine-Gi1/β1/γ2 8HOC-H4-Imetit-Gi1/β1/γ2 8JXW-H4-VUF6884-Gi1/β1/γ2
35.71Consensusgi_orexinOrthosteric Ligand7SQO-OX2-TAK-925-Gi1/β1/γ2
35.29Single4NC3Ergotamine4NC3-5-HT2B-Ergotamine
35.29Single5TUDErgotamine5TUD-5-HT2B-Ergotamine
35.29Single5X93K-87945X93-ETB-K-8794
35.29Single6BQGErgotamine6BQG-5-HT2C-Ergotamine
35.29Single6BQHRitanserin6BQH-5-HT2C-Ritanserin
35.29Single7EZCUK-4320977EZC-A2A-UK-432097
35.29Single7SK7CCX6627SK7-ACKR3-CXCL12-CCX662
35.29Single7U2KC6-guano7U2K-μ-C6-guano-Gi1/β1/γ2
35.29Single7WVVfMLFII7WVV-FPR2-ALX-fMLFII-Gi2/β1/γ2
35.29Single7XZ6APD6687XZ6-GPR119-APD668-Gs/β1/γ2
35.29Single8J19LY2378J19-GPR84-LY237-Gi1/β1/γ2
35.29Single8XIOL7975918XIO-SST1-L797591-chim(NtGi1-Gs-CtGi1)/β1/γ2
35.29Single9CGJC6-Quino9CGJ-δ-C6-Quino-Gi1/β1/γ2
35.29Single9L79AR2314539L79-GPR119-AR231453-chim(NtGi1-Gs)/β1/γ2
35.29Single9WP9S1P9WP9-S1P3-S1P-chim(NtGi2L-Gs-CtGq)/β1/γ2
35.29Consensus5ht2c_offOrthosteric Ligand6BQH-5-HT2C-Ritanserin
35.29Consensusendothelin_offOrthosteric Ligandetb_off
35.29Consensusetb_offOrthosteric Ligand5X93-ETB-K-8794 5XPR-ETB-Bosentan 6K1Q-ETB-IRL2500
35.00Single5WF5UK-4320975WF5-A2A-UK-432097
33.33Single1L9H11-cis-Retinal1L9H-Rhodopsin-11-cis-Retinal
33.33Single2Y00Dobutamine2Y00-β1-Dobutamine
33.33Single3AYMAll-trans-Retinal3AYM-Rhodopsin-All-trans-Retinal
33.33Single4RWDDIPP-NH24RWD-δ-DIPP-NH2-Na
33.33Single4WW3All-trans-Retinal4WW3-Rhodopsin-All-trans-Retinal
33.33Single5C1MBU725C1M-μ-BU72
33.33Single5NM2ZM-2413855NM2-A2A-ZM-241385-Na
33.33Single5OM4PubChem 1355666095OM4-A2A-PubChem 135566609-Na
33.33Single5TE520-Methanoretinal5TE5-Rhodopsin-20-Methanoretinal
33.33Single5XPRBosentan5XPR-ETB-Bosentan
33.33Single6GDGNECA6GDG-A2A-NECA-Gs/β1/γ1
33.33Single6HLLCP999946HLL-NK1-CP99994
33.33Single6HLPNetupitant6HLP-NK1-Netupitant
33.33Single6I9K9-cis-Retinal6I9K-Rhodopsin-9-cis-Retinal
33.33Single6ME62-Phenylmelatonin6ME6-MT2-2-Phenylmelatonin
33.33Single6PT3DPI-2876PT3-δ-DPI-287
33.33Single7DD7Ca; Ca; Tryptophan; Evocalcet7DD7-CaS; CaS-Ca-Ca; Ca; Tryptophan; Evocalcet
33.33Single7LD3Adenosine7LD3-A1-Adenosine-MIPS521-Gi2/β1/γ2
33.33Single7SK9CCX6627SK9-ACKR3-CCX662
33.33Single7W40Bombesin7W40-BB2-Bombesin-chim(NtGi1L-Gq)/β1/γ2
33.33Single7W41PD1762527W41-BB2-PD176252
33.33Single7X1TTaltirelin7X1T-TRH-Taltirelin-chim(NtGi2L-Gs-CtGq)/β1/γ2
33.33Single7XY6BAY 60-65837XY6-A2B-BAY 60-6583-chim(NtGi1-Gs)/β1/γ2
33.33Single8DZRGR89,6968DZR-κ-GR89,696-chim(NtGi2-Gt3)/β1/γ2
33.33Single8GEJConstrained Epinephrine8GEJ-β2-Constrained Epinephrine-Gs/β1/γ2
33.33Single8QOTNanobody-E8QOT-μ-Nanobody-E
33.33Single8UO3Constrained Epinephrine8UO3-β2-Constrained Epinephrine-GTP; Mg-Gs/β1/γ2
33.33Single8WCBCyclohexylammonium Ion8WCB-TA1-Cyclohexylammonium Ion-chim(NtGi1-Gs-CtGq)/β1/γ2
33.33Single8WCCCyclohexylammonium Ion8WCC-TA1-Cyclohexylammonium Ion
33.33Single8Y72Peptide8Y72-μ-Peptide-BMS-986122-Gi1/β1/γ2
33.33Single8YH0NECA8YH0-A3A-NECA-Gi1/β1/γ2
33.33Single9AXFCa; Ca; Ca; Cyclomethyltryptophan; R-568; PO49AXF-CaS; CaS-Ca-Ca; Ca; Ca; Cyclomethyltryptophan; R-568; PO4-chim(NtGi1-Gs-CtGq)/β1/γ2
33.33Single9CGKC5-Quino9CGK-δ-C5-Quino-Gi1/β1/γ2
33.33Single9I52A1IZU9I52-D1-A1IZU-Gs/β1/γ2
33.33Single9JEDHistamine9JED-H4-Histamine-PO4-Gi1/β1/γ2
33.33Single9JEQHistamine9JEQ-H3-Histamine-Gi1/β1/γ2
33.33Single9L74S1P d16:19L74-S1P3-S1P d16:1-chim(NtGi2L-Gs-CtGq)/β1/γ2
33.33Single9VJFBuspirone9VJF-5-HT1A-Buspirone-Gi3/β1/γ2
33.33Consensusadenosine_offOrthosteric Liganda1_off a2_off
33.33Consensusbb2_offOrthosteric Ligand7W41-BB2-PD176252
33.33Consensusbombesin_offOrthosteric Ligandbb2_off
33.33Consensusgq_muscarinicOrthosteric Ligand6OIJ-M1-Iperoxo-chim(NtGi1L-G11)/β1/γ2
33.33Consensush4_onOrthosteric Ligand8HN8-H4-Histamine-Gi1/β1/γ2 8HOC-H4-Imetit-Gi1/β1/γ2 8JXV-H4-Clozapine-Gi1/β1/γ2 8JXW-H4-VUF6884-Gi1/β1/γ2 8JXX-H4-Clobenpropit-Gi1/β1/γ2
33.33Consensusm1_onOrthosteric Ligand6OIJ-M1-Iperoxo-chim(NtGi1L-G11)/β1/γ2
31.58Single9BUYLM1899BUY-β2-LM189-Gi1/β1/γ2
31.58Consensusgi_opioidOrthosteric Ligand8F7R-μ-Endomorphin-Gi1/β1/γ2 8EF5-μ-Fentanyl-Gi1/β1/γ2 7SCG-μ-FH210-Gi1/β1/γ2 7T2H-μ-Lofentanil-Gi1/β1/γ2 7T2G-μ-Mitragynine Pseudoindoxyl-Gi1/β1/γ2 8DZP-κ-momSalB-Gi1/β1/γ2 8EF6-μ-Morphine-Gi1/β1/γ2 8F7X-NOP-Nociceptin-Gi1/β1/γ2 8EFB-μ-Oliceridine-Gi1/β1/γ2 7U2L-μ-C5-guano-Gi1/β1/γ2 8EFO-μ-PZM21-Gi1/β1/γ2 8EFL-μ-SR17018-Gi1/β1/γ2 8F7Q-μ-β-Endorphin-Gi1/β1/γ2 7U2K-μ-C6-guano-Gi1/β1/γ2 8EFQ-μ-DAMGO-Gi1/β1/γ2 8F7S-δ-Deltorphin-Gi1/β1/γ2 8F7W-κ-Dynorphin-Gi1/β1/γ2
31.25Single4IAQDihydroergotamine4IAQ-5-HT1B-Dihydroergotamine
31.25Single7EW4CYM-55417EW4-S1P3-CYM-5541-Gi1/β1/γ2
31.25Single7EW7SEW28717EW7-S1P1-SEW2871-Gi1/β1/γ2
31.25Single7WVXHumanin7WVX-FPR2-ALX-Humanin-Gi2/β1/γ2
31.25Single7XY7NECA7XY7-A2B-NECA-chim(NtGi1-Gs)/β1/γ2
31.25Single8EF5Fentanyl8EF5-μ-Fentanyl-Gi1/β1/γ2
31.25Single8EFLSR170188EFL-μ-SR17018-Gi1/β1/γ2
31.25Single8HDOBAY 60-65838HDO-A2B-BAY 60-6583-Gs/β1/γ2
31.25Single8IYHMK68928IYH-HCA2-MK6892-Go/β1/γ2
31.25Single8JXVClozapine8JXV-H4-Clozapine-Gi1/β1/γ2
31.25Single8JXWVUF68848JXW-H4-VUF6884-Gi1/β1/γ2
31.25Single8T1VPubChem 1183102098T1V-GPR6-PubChem 118310209-Na
31.25Single8UGWCGS216808UGW-A2A-CGS21680
31.25Single8VVFJDTic8VVF-κ-JDTic-Gi1/β1/γ2
31.25Single8XVLZibotentan8XVL-ETA-Zibotentan
31.25Single8YH6Namodenoson8YH6-A3A-Namodenoson-Gi1/β1/γ2
31.25Single8ZR5Firuglipel8ZR5-GPR119-Firuglipel-Gs/β1/γ2
31.25Single9KVPSB2901579KVP-C3aB-SB290157-Go/β1/γ2
31.25Consensusa2_onOrthosteric Liganda2b_on
31.25Consensusa2_on_gpOrthosteric Liganda2b_on_gp
31.25Consensusa2b_onOrthosteric Ligand8HDP-A2B-Adenosine-Gs/β1/γ2 7XY6-A2B-BAY 60-6583-chim(NtGi1-Gs)/β1/γ2 7XY7-A2B-NECA-chim(NtGi1-Gs)/β1/γ2 8HDO-A2B-BAY 60-6583-Gs/β1/γ2
31.25Consensusa2b_on_gpOrthosteric Ligand8HDP-A2B-Adenosine-Gs/β1/γ2 7XY6-A2B-BAY 60-6583-chim(NtGi1-Gs)/β1/γ2 7XY7-A2B-NECA-chim(NtGi1-Gs)/β1/γ2 8HDO-A2B-BAY 60-6583-Gs/β1/γ2
31.25Consensusclass-a_offOrthosteric Ligandsensory_off alicarboxylic_off amine_off lipid_off nucleotide_off peptide_off protein_off
31.25Consensusgs_adenosineOrthosteric Ligand8HDP-A2B-Adenosine-Gs/β1/γ2 8HDO-A2B-BAY 60-6583-Gs/β1/γ2 7XY7-A2B-NECA-chim(NtGi1-Gs)/β1/γ2 7XY6-A2B-BAY 60-6583-chim(NtGi1-Gs)/β1/γ2
31.25Consensusgs_nucleotideOrthosteric Ligandgs_adenosine
31.25Consensush4_on_gpOrthosteric Ligand8HN8-H4-Histamine-Gi1/β1/γ2 8HOC-H4-Imetit-Gi1/β1/γ2 8JXV-H4-Clozapine-Gi1/β1/γ2 8JXW-H4-VUF6884-Gi1/β1/γ2 8JXX-H4-Clobenpropit-Gi1/β1/γ2
30.77Single1GZM11-cis-Retinal1GZM-Rhodopsin-11-cis-Retinal
30.77Single2X72All-trans-Retinal2X72-Rhodopsin-All-trans-Retinal-Gt(CT)
30.77Single2Z7311-cis-Retinal2Z73-Rhodopsin-11-cis-Retinal
30.77Single3AYN9-cis-Retinal3AYN-Rhodopsin-9-cis-Retinal
30.77Single3C9L11-cis-Retinal3C9L-Rhodopsin-11-cis-Retinal
30.77Single3V2WPubChem 518926453V2W-S1P1-PubChem 51892645
30.77Single3VG9ZM-2413853VG9-A2A-ZM-241385-Antibody
30.77Single3VGAZM-2413853VGA-A2A-ZM-241385-Antibody
30.77Single6AKXA4R6AKX-CCR5-A4R
30.77Single6AKYMaraviroc6AKY-CCR5-Maraviroc
30.77Single6B73MP11046B73-κ-MP1104
30.77Single6D9HAdenosine6D9H-A1-Adenosine-Gi2/β1/γ2
30.77Single6OYAAll-trans-Retinal6OYA-Rhodopsin-All-trans-Retinal-Gt/β1/γ1
30.77Single7EJ0Norepinephrine7EJ0-α2a-Norepinephrine-Go/β1/γ2
30.77Single7M3ECa; Ca; Tryptophan; NPS-21437M3E-CaS; CaS-Ca; Ca; Tryptophan; NPS-2143
30.77Single7M3ECa; Ca; Tryptophan; NPS-21437M3E-CaS; CaS-Ca; Ca; Tryptophan; NPS-2143
30.77Single7M3FCa; Ca; Tryptophan; Cinacalcet7M3F-CaS; CaS-Ca; Ca; Tryptophan; Cinacalcet
30.77Single8A6CAll-trans-Retinal8A6C-Rhodopsin-All-trans-Retinal
30.77Single8A6DAll-trans-Retinal8A6D-Rhodopsin-All-trans-Retinal
30.77Single8A6EAll-trans-Retinal8A6E-Rhodopsin-All-trans-Retinal
30.77Single8DU3PubChem 1055260648DU3-A2A-PubChem 105526064
30.77Single8HDPAdenosine8HDP-A2B-Adenosine-Gs/β1/γ2
30.77Single8Y0HVUF114188Y0H-CXCR3-VUF11418
30.77Single8Y0NVUF114188Y0N-CXCR3-VUF11418-Go/β1/γ2
30.77Single8YYWAlpha-ketoglutarate8YYW-Oxoglutarate-α-ketoglutarate-α-ketoglutarate-chim(Gi1-CtGq)/β1/γ2
30.77Single9C1PCa; Tryptophan; '6218; PO49C1P-CaS; CaS-Ca-Ca; Tryptophan; '6218; PO4
30.77Single9EBHAdenosine9EBH-A3A-Adenosine-Gi1/β1/γ2
30.77Single9H2XPubChem 1756706449H2X-A2A-PubChem 175670644-Na
30.77Single9PEEPF-07054894; OXM29PEE-CCR6-PF-07054894; OXM2
30.77Single9PXUNaloxone9PXU-μ-Naloxone-Na
30.77Single9W49U-50488H9W49-κ-U-50488H-Gi1/β1/γ2
30.77Consensusrhodopsin_on_gpOrthosteric Ligand6OYA-Rhodopsin-All-trans-Retinal-Gt/β1/γ1
30.77Consensuss1p1_offOrthosteric Ligand3V2W-S1P1-PubChem 51892645
30.00Single3PXOAll-trans-Retinal3PXO-Rhodopsin-All-trans-Retinal
30.00Single5DYSAll-trans-Retinal5DYS-Rhodopsin-All-trans-Retinal
30.00Single7WC4Serotonin7WC4-5-HT2A-Serotonin
30.00Consensusgq_class-aOrthosteric Ligandgq_peptide gq_amine gq_nucleotide
30.00Consensuss1p3_on_gpOrthosteric Ligand7EW3-S1P3-S1P-Gi1/β1/γ2 7EW4-S1P3-CYM-5541-Gi1/β1/γ2 7EW2-S1P3-FTY720-P-Gi1/β1/γ2
29.41Single4PXFOctyl-Beta-D-Glucopyranoside4PXF-Rhodopsin-Octyl-β-D-Glucopyranoside-Arrestin1 Finger Loop
29.41Single4RWADIPP-NH24RWA-δ-DIPP-NH2
29.41Single7EPENAM5637EPE-mGlu2-NAM563
29.41Single7EVYSiponimod7EVY-S1P1-Siponimod-Gi1/β1/γ2
29.41Single7JNIOlodanrigan7JNI-AT2-Olodanrigan
29.41Single7W0LPubChem 1227019087W0L-Apelin; Apelin-PubChem 122701908-Gi1/β1/γ2
29.41Single7WCMMBX-29827WCM-GPR119-MBX-2982-Gs/β1/γ2
29.41Single7XMTJ-21567XMT-SST4-J-2156-Gi1/β1/γ2
29.41Single7XW9TRH7XW9-TRH-TRH-chim(NtGi1L-Gs-CtGq)/β1/γ2
29.41Single8ID9Icosapent8ID9-FFA4-Icosapent-Gi1/β1/γ2
29.41Single8JD3JNJ-404118138JD3-mGlu2; mGlu3-Glutamate-JNJ-40411813-Gi1/β1/γ2
29.41Single8VHFMBX-29828VHF-GPR119-MBX-2982-Gs/β1/γ2
29.41Single8W1VPubChem 1717162658W1V-β2-PubChem 171716265
29.41Single9GYOP3959GYO-GPBA-P395-chim(NtGi1-Gs)/β1/γ2
29.41Single9WSVDAMGO9WSV-μ-DAMGO-Arrestin2
29.41Single9YDQDADLE9YDQ-δ-DADLE-MIPS3614-chim(NtGi1L-Gs-CtGi1)/β1/γ2
29.41Consensuscannabinoid_offOrthosteric Ligandcb2_off cb1_off
29.41Consensuss1p1_onOrthosteric Ligand7VIE-S1P1-S1P-Gi1/β1/γ2 7VIF-S1P1-FTY720-P-Gi1/β1/γ2 7VIG-S1P1-CBP-307-Gi1/β1/γ2 7EVY-S1P1-Siponimod-Gi1/β1/γ2 7EVZ-S1P1-Cenerimod-Gi1/β1/γ2 7EW0-S1P1-Ozanimod-Gi1/β1/γ2 7EW7-S1P1-SEW2871-Gi1/β1/γ2
29.41Consensuss1p1_on_gpOrthosteric Ligand7VIE-S1P1-S1P-Gi1/β1/γ2 7VIF-S1P1-FTY720-P-Gi1/β1/γ2 7VIG-S1P1-CBP-307-Gi1/β1/γ2 7EVY-S1P1-Siponimod-Gi1/β1/γ2 7EVZ-S1P1-Cenerimod-Gi1/β1/γ2 7EW0-S1P1-Ozanimod-Gi1/β1/γ2 7EW7-S1P1-SEW2871-Gi1/β1/γ2
29.41Consensustrh_onOrthosteric Ligand7XW9-TRH-TRH-chim(NtGi1L-Gs-CtGq)/β1/γ2
29.41Consensustrh_on_gpOrthosteric Ligand7XW9-TRH-TRH-chim(NtGi1L-Gs-CtGq)/β1/γ2
29.17Single7WVYAmyloid-Beta427WVY-FPR2-ALX-Amyloid-β42-Gi2/β1/γ2
29.17Single9KDFRES-701-39KDF-ETB-RES-701-3
28.57Single1F8811-cis-Retinal1F88-Rhodopsin-11-cis-Retinal
28.57Single3OAX11-cis-Retinal3OAX-Rhodopsin-11-cis-Retinal
28.57Single4MBSMaraviroc4MBS-CCR5-Maraviroc
28.57Single5IU7Q274563465IU7-A2A-Q27456346-Na
28.57Single5JTBZM-2413855JTB-A2A-ZM-241385
28.57Single5K2BZM-2413855K2B-A2A-ZM-241385-Na
28.57Single5UVIZM-2413855UVI-A2A-ZM-241385
28.57Single6AQFZM-2413856AQF-A2A-ZM-241385
28.57Single6IQLL7458706IQL-D4-L745870
28.57Single6ME32-Phenylmelatonin6ME3-MT1-2-Phenylmelatonin
28.57Single6PS82-Phenylmelatonin6PS8-MT1-2-Phenylmelatonin
28.57Single6PT2KGCHM076PT2-δ-KGCHM07
28.57Single6TPGEMPA6TPG-OX2-EMPA
28.57Single6TPKRetosiban6TPK-OT-Retosiban
28.57Single6ZDRHMS1413f126ZDR-A2A-HMS1413f12-Na
28.57Single6ZFZ77-LH-28-16ZFZ-M1-77-LH-28-1
28.57Single7F61PF-036547467F61-H3-PF-03654746
28.57Single7SR8TAK-9257SR8-OX2-TAK-925-chim(NtGi1L-Gs-CtGq)/β1/γ2
28.57Single7T6TfMLFII7T6T-FPR1-ALX-fMLFII-Gi1/β1/γ2
28.57Single7VUGJNJ-635330547VUG-GPR139-JNJ-63533054-Gi1/β1/γ2
28.57Single7WVUfMLF7WVU-FPR1-ALX-fMLF-Gi1/β1/γ2
28.57Single7ZBC11-cis-Retinal7ZBC-Rhodopsin-11-cis-Retinal
28.57Single7ZBE11-cis-Retinal7ZBE-Rhodopsin-11-cis-Retinal
28.57Single8HNMVUF112228HNM-CXCR3-VUF11222-Gi1/β1/γ2
28.57Single8RQQZM-2413858RQQ-A2A-ZM-241385-Na
28.57Single8WPGTryptophan; Cinacalcet; PO4; Ca8WPG-CaS; CaS-Tryptophan; Cinacalcet; PO4; Ca
28.57Single8Y01All-trans-Retinal8Y01-Opsin1MW-All-trans-Retinal-Gi1/β1/γ2
28.57Single8Y45ADL58598Y45-δ-ADL5859-Gi2/β1/γ2
28.57Single8ZBWQuin-C18ZBW-FPR2-ALX-Quin-C1-Gi2/β1/γ2
28.57Single9ASBCa; Ca; Cyclomethyltryptophan; R-568; PO49ASB-CaS; CaS-Ca-Ca; Ca; Cyclomethyltryptophan; R-568; PO4-chim(NtGi1-Gs-CtGq)/β1/γ2
28.57Single9B54VIP369B54-CB1-VIP36-Gi1/β1/γ2
28.57Single9EPQ11,20-Ethanoretinal9EPQ-Rhodopsin-11,20-Ethanoretinal-chim(Gi1-CtGq)/β1/γ2
28.57Single9KUWCMPD6449KUW-Apelin; Apelin-CMPD644-Arrestin2 ; Arrestin2
28.57Single9P1TZM-2413859P1T-A2A-ZM-241385
28.57Single9PXXNaloxone9PXX-μ-Naloxone-GDPβS-Gi1/β1/γ2
28.57Single9PY2Loperamide9PY2-μ-Loperamide-GDPβS-Gi1/β1/γ2
28.57Consensusa2_offOrthosteric Liganda2a_off
28.57Consensusa2a_offOrthosteric Ligand3RFM-A2A-Caffeine 8C9W-A2A-Etrumadenant 3UZA-A2A-GTPL9236 8GNG-A2A-Istradefylline 8CU6-A2A-LJ-4517 7PX4-A2A-PSB-2113 7PYR-A2A-PSB-2115 8DU3-A2A-PubChem 105526064 8JWY-A2A-2-118 8PWN-A2A-Theophylline 5IU4-A2A-ZM-241385-Na 5OLZ-A2A-PubChem 135566609-Na 6GT3-A2A-Imaradenant-Na 5OLV-A2A-LUAA47070-Na 5N2R-A2A-PSB36-Na 5IU7-A2A-Q27456346-Na 5OLH-A2A-Vipadenant-Na 5OLO-A2A-Tozadenant-Na 6ZDR-A2A-HMS1413f12-Na 8GNE-A2A-KW-6356-Na 8JWZ-A2A-Etrumadenant-Na 5IU8-A2A-Q27456347-Na 5IUB-A2A-Q27456344-Na 6ZDV-A2A-PubChem 984073-Na 5IUA-A2A-Q27456348-Na 8A2P-A2A-LUAA47070-Na
28.57Consensusadenosine_onOrthosteric Liganda1_on a2_on a3_on
28.57Consensusgi_adenosineOrthosteric Ligand7LD4-A1-Adenosine-Gi2/β1/γ2 8X17-A3A-Namodenoson-Gi1/β1/γ2 8X16-A3A-Piclidenoson-Gi1/β1/γ2
28.57Consensusgs_class-aOrthosteric Ligandgs_peptide gs_nucleotide gs_amine
28.57Consensusot_offOrthosteric Ligand6TPK-OT-Retosiban
28.57Consensusvasop-oxy_offOrthosteric Ligandot_off
27.78Single5UNGPubChem 157800525UNG-AT2-PubChem 15780052
27.78Single6DDFDAMGO6DDF-μ-DAMGO-Gi1/β1/γ2
27.78Single7EVZCenerimod7EVZ-S1P1-Cenerimod-Gi1/β1/γ2
27.78Single7EW0Ozanimod7EW0-S1P1-Ozanimod-Gi1/β1/γ2
27.78Single7MBYCholecystokinin-87MBY-CCKA-Cholecystokinin-8-chim(NtGi1L-Gs-CtGq)/β1/γ2
27.78Single7MTSADX551647MTS-mGlu2; mGlu2-Glutamate-ADX55164-Gi1/β1/γ2
27.78Single8E0GBU728E0G-μ-BU72
27.78Single9YDPDADLE9YDP-δ-DADLE-chim(NtGi1L-Gs-CtGi1)/β1/γ2
27.78Single9YDRDADLE9YDR-δ-DADLE-MIPS3983-chim(NtGi1L-Gs-CtGi1)/β1/γ2
27.78Consensuschemerin_onOrthosteric Ligandcml1_on
27.78Consensusclass-a_onOrthosteric Ligandsensory_on alicarboxylic_on amine_on lipid_on nucleotide_on peptide_on protein_on
27.78Consensusgi_s1pOrthosteric Ligand7VIE-S1P1-S1P-Gi1/β1/γ2 7EW3-S1P3-S1P-Gi1/β1/γ2 7EVY-S1P1-Siponimod-Gi1/β1/γ2 7EW1-S1P5-Siponimod-Gi1/β1/γ2 7VIF-S1P1-FTY720-P-Gi1/β1/γ2 7VIG-S1P1-CBP-307-Gi1/β1/γ2 7EVZ-S1P1-Cenerimod-Gi1/β1/γ2 7EW4-S1P3-CYM-5541-Gi1/β1/γ2 7EW2-S1P3-FTY720-P-Gi1/β1/γ2 7EW0-S1P1-Ozanimod-Gi1/β1/γ2 7EW7-S1P1-SEW2871-Gi1/β1/γ2
27.78Consensuskop_on_gpOrthosteric Ligand8F7W-κ-Dynorphin-Gi1/β1/γ2 8DZS-κ-GR89,696-chim(NtGi2-Gz)/β1/γ2 8DZP-κ-momSalB-Gi1/β1/γ2
27.78Consensusorexin_on_gpOrthosteric Ligandox2_on_gp
27.78Consensuspeptide_offOrthosteric Ligandcck_off angiotensin_off bombesin_off endothelin_off ghrelin_off npy_off opioid_off orexin_off somatostatin_off tachykinin_off vasop-oxy_off neurotensin_off
27.27Single2HPYAll-trans-Retinal2HPY-Rhodopsin-All-trans-Retinal
27.27Single6OY9All-trans-Retinal6OY9-Rhodopsin-All-trans-Retinal-Gt/β1/γ1
27.27Single7DD5Ca; Ca; Tryptophan; NPS-21437DD5-CaS; CaS-Ca-Ca; Ca; Tryptophan; NPS-2143
27.27Single7MTBAll-trans-Retinal7MTB-Rhodopsin-All-trans-Retinal-GRK1
27.27Single8H4KGW95088H4K-FFA4-GW9508-chim(NtGi1-Gs-CtGq)/β1/γ2
27.27Single8XOFLys058XOF-GPR30-Lys05-chim(NtGi1-Gs-CtGq)/β1/γ2
27.27Single8Z8ALactate8Z8A-HCA1-Lactate-Gi1/β1/γ2
27.27Single9EE9Adenosine9EE9-A2A-Adenosine-Gs/β1/γ2
27.27Consensusfpr2-alx_on_gpOrthosteric Ligand7WVX-FPR2-ALX-Humanin-Gi2/β1/γ2 7T6U-FPR2-ALX-CGEN-855A-Gi1/β1/γ2 7T6V-FPR2-ALX-fMLFII-Gi1/β1/γ2 7WVY-FPR2-ALX-Amyloid-β42-Gi2/β1/γ2 7T6S-FPR2-ALX-TC-FPR 43-Gi1/β1/γ2 6OMM-FPR2-ALX-WKYMVX-Gi1/β1/γ2
26.92Consensusbb2_onOrthosteric Ligand7W40-BB2-Bombesin-chim(NtGi1L-Gq)/β1/γ2 7W3Z-BB2-Gastrin Releasing Peptide-chim(NtGi1L-Gq)/β1/γ2
26.92Consensusbb2_on_gpOrthosteric Ligand7W40-BB2-Bombesin-chim(NtGi1L-Gq)/β1/γ2 7W3Z-BB2-Gastrin Releasing Peptide-chim(NtGi1L-Gq)/β1/γ2
26.92Consensusbombesin_onOrthosteric Ligandbb2_on
26.92Consensusbombesin_on_gpOrthosteric Ligandbb2_on_gp
26.92Consensusgq_bombesinOrthosteric Ligand7W40-BB2-Bombesin-chim(NtGi1L-Gq)/β1/γ2 7W3Z-BB2-Gastrin Releasing Peptide-chim(NtGi1L-Gq)/β1/γ2
26.67Single3EMLZM-2413853EML-A2A-ZM-241385
26.67Single4EIYZM-2413854EIY-A2A-ZM-241385-Na
26.67Single4J4QOctyl Beta-D-Glucopyranoside4J4Q-Rhodopsin-Octyl β-D-Glucopyranoside-Gt(CT)
26.67Single5DHHSB-6121115DHH-NOP-SB-612111
26.67Single5IU8Q274563475IU8-A2A-Q27456347-Na
26.67Single5K2AZM-2413855K2A-A2A-ZM-241385-Na
26.67Single5OLGZM-2413855OLG-A2A-ZM-241385-Na
26.67Single5UIGPubChem 1240811965UIG-A2A-PubChem 124081196
26.67Single5VRAZM-2413855VRA-A2A-ZM-241385-Na
26.67Single6S0LZM-2413856S0L-A2A-ZM-241385
26.67Single7M3JNPS-2143; PO47M3J-CaS; CaS-NPS-2143; PO4
26.67Single7PYRPSB-21157PYR-A2A-PSB-2115
26.67Single7SCGFH2107SCG-μ-FH210-Gi1/β1/γ2
26.67Single7UL4Alvimopan7UL4-μ-Alvimopan
26.67Single7VIFFTY720-P7VIF-S1P1-FTY720-P-Gi1/β1/γ2
26.67Single7YACPaltusotine7YAC-SST2-Paltusotine-Gi1/β1/γ2
26.67Single8X17Namodenoson8X17-A3A-Namodenoson-Gi1/β1/γ2
26.67Single8ZQEGPR15L(CT)8ZQE-GPR15-GPR15L(CT)-Gi1/β1/γ1
26.67Single9D61JDTic9D61-κ-JDTic-Gi1/β1/γ2
26.67Single9EPP11,20-Ethanoretinal9EPP-Rhodopsin-11,20-Ethanoretinal-chim(Gi1-CtGq)/β1/γ2
26.67Single9H37PubChem 1756706469H37-A2A-PubChem 175670646-Na
26.67Single9JGKBalovaptan9JGK-5-HT2B-Balovaptan
26.67Single9KFJPubChem 1383196749KFJ-RXFP3-PubChem 138319674-Gi2/β1/γ2
26.67Single9KUXCMPD6449KUX-Apelin; Apelin-CMPD644-Arrestin2
26.67Single9P1SZM-2413859P1S-A2A-ZM-241385
26.67Consensusa3_onOrthosteric Liganda3a_on
26.67Consensusalicarboxylic_on_gpOrthosteric Ligandsuccinate_on_gp hca_on_gp
26.67Consensusgi_alicarboxylicOrthosteric Ligandgi_hca gi_succinate
26.32Single5WF6UK-4320975WF6-A2A-UK-432097
26.32Single5ZTYAM102575ZTY-CB2-AM10257
26.32Single9JF4PD1683689JF4-BB1-PD168368
26.32Single9M0RNeuropeptide-VF9M0R-NPFF1-Neuropeptide-VF-Gi1/β1/γ2
26.32Single9UMJEP549UMJ-C3aB-EP54-Go/β1/γ2
26.32Consensuscb2_offOrthosteric Ligand5ZTY-CB2-AM10257
26.32Consensusformylpeptide_onOrthosteric Ligandfpr2-alx_on fpr1-alx_on
26.32Consensusox2_onOrthosteric Ligand7L1V-OX2-PubChem 155491009-chim(NtGi1-Gs-CtGq)/β1/γ2 7SQO-OX2-TAK-925-Gi1/β1/γ2 7L1U-OX2-Orexin-chim(NtGi1-Gs-CtGq)/β1/γ2
26.32Consensusox2_on_gpOrthosteric Ligand7L1V-OX2-PubChem 155491009-chim(NtGi1-Gs-CtGq)/β1/γ2 7SQO-OX2-TAK-925-Gi1/β1/γ2 7L1U-OX2-Orexin-chim(NtGi1-Gs-CtGq)/β1/γ2
26.32Consensuss1p_onOrthosteric Ligands1p1_on s1p3_on s1p5_on
26.32Consensuss1p_on_gpOrthosteric Ligands1p1_on_gp s1p3_on_gp s1p5_on_gp
25.00Single3PQRAll-trans-Retinal3PQR-Rhodopsin-All-trans-Retinal-Gt(CT)
25.00Single3UZAGTPL92363UZA-A2A-GTPL9236
25.00Single5CGCHTL142425CGC-mGlu5-HTL14242
25.00Single5IUAQ274563485IUA-A2A-Q27456348-Na
25.00Single5N2RPSB365N2R-A2A-PSB36-Na
25.00Single5N2SPSB365N2S-A1-PSB36
25.00Single5UNFPubChem 157800525UNF-AT2-PubChem 15780052
25.00Single5WQCEMPA5WQC-OX2-EMPA
25.00Single5ZBQUR-MK-2995ZBQ-Y1-UR-MK-299
25.00Single6D26Fevipiprant6D26-DP2-Fevipiprant
25.00Single6LPLZM-2413856LPL-A2A-ZM-241385-Na
25.00Single6ME5Agomelatine6ME5-MT1-Agomelatine
25.00Single6S0QZM-2413856S0Q-A2A-ZM-241385
25.00Single6WQAZM-2413856WQA-A2A-ZM-241385-Na
25.00Single7BB7AVP7BB7-V2-AVP-Gs/β1/γ2
25.00Single7C4SS1P7C4S-S1P3-S1P
25.00Single7CFNINT-7777CFN-GPBA-INT-777-Gs/β1/γ2
25.00Single7DD7Ca; Ca; Tryptophan; Evocalcet7DD7-CaS; CaS-Ca-Ca; Ca; Tryptophan; Evocalcet
25.00Single7E9GJNJ-404118137E9G-mGlu2; mGlu2-Eglumetad-JNJ-40411813-Gi1/β1/γ2
25.00Single7EO2FTY720-P7EO2-S1P1-FTY720-P-Gi1/β1/γ2
25.00Single7EPFNAM5977EPF-mGlu2-NAM597
25.00Single7M3JNPS-2143; PO47M3J-CaS; CaS-NPS-2143; PO4
25.00Single7MT8All-trans-Retinal7MT8-Rhodopsin-All-trans-Retinal-GRK1
25.00Single7MT9All-trans-Retinal7MT9-Rhodopsin-All-trans-Retinal-GRK1
25.00Single7MTAAll-trans-Retinal7MTA-Rhodopsin-All-trans-Retinal-GRK1
25.00Single7RM5ZM-2413857RM5-A2A-ZM-241385-Na
25.00Single7SBFPZM217SBF-μ-PZM21-Gi1/β1/γ2
25.00Single7SINNPS-21437SIN-CaS; CaS-NPS-2143
25.00Single7SINNPS-21437SIN-CaS; CaS-NPS-2143
25.00Single7VFXfMIFL7VFX-FPR1-ALX-fMIFL-Gi1/β1/γ2
25.00Single7VUHJNJ-635330547VUH-GPR139-JNJ-63533054-chim(Gs-CtGq)/β1/γ2
25.00Single7W0PElabela7W0P-Apelin-Elabela-Gi1/β1/γ2
25.00Single7WC5Psilocin7WC5-5-HT2A-Psilocin
25.00Single7WKDTRH7WKD-TRH-TRH-chim(NtGi1-Gs-CtGq)/β1/γ2
25.00Single8DZQmomSalB8DZQ-κ-momSalB-Go/β1/γ2
25.00Single8FYNZM-2413858FYN-A2A-ZM-241385-Na
25.00Single8G59TUG-8918G59-FFA4-TUG-891-chim(Gi1-CtGq)/β1/γ2
25.00Single8GNEKW-63568GNE-A2A-KW-6356-Na
25.00Single8HNLPS3724248HNL-CXCR3-PS372424-Gi1/β1/γ2
25.00Single8ID4Linoleic acid8ID4-FFA4-Linoleic acid-Gi1/β1/γ2
25.00Single8ITFDMCHA8ITF-TAA9-DMCHA-chim(NtGi1-Gs)/β1/γ2
25.00Single8J6JGSK2560738J6J-HCA2-GSK256073-Gi1/β1/γ2
25.00Single8J6QBeta-Hydroxybutyrate8J6Q-HCA2-β-Hydroxybutyrate-PubChem 25101223-Gi1/β1/γ2
25.00Single8JXTHistamine8JXT-H4-Histamine-PO4-Gi1/β1/γ2
25.00Single8SZFCa; Ca; Tryptophan; Cinacalcet; PO4; Spermine8SZF-CaS; CaS-Ca; Ca; Tryptophan; Cinacalcet; PO4; Spermine
25.00Single8SZGCa; Ca; Tryptophan; Cinacalcet; PO4; Spermine8SZG-CaS; CaS-Ca; Ca; Tryptophan; Cinacalcet; PO4; Spermine-chim(NtGi1-Gq)/β1/γ2
25.00Single8WZ2Orexigenic Neuropeptide QRFP8WZ2-QRFP-Orexigenic Neuropeptide QRFP-chim(NtGi1L-Gs-CtGq)/β1/γ2
25.00Single8XYKVUF106618XYK-CXCR3-VUF10661-Go/β1/γ2
25.00Single8Y63C20:0 Ceramide8Y63-FPR2-ALX-C20:0 Ceramide-Gi1/β1/γ2
25.00Single8YICSAR2477998YIC-S1P1-SAR247799-Gi1/β1/γ2
25.00Single8YNSSNAP-948478YNS-MCH1-SNAP-94847
25.00Single8ZPTPrRP208ZPT-PrRP-PrRP20-chim(NtGi1-Gs-CtGq)/β1/γ2
25.00Single9AVLCa; Ca; Cyclomethyltryptophan; R-568; PO49AVL-CaS; CaS-Ca-Ca; Ca; Cyclomethyltryptophan; R-568; PO4-Gi3/β2/γ2
25.00Single9EHSLUF76029EHS-A3A-LUF7602
25.00Single9IV15alpha-DHT9IV1-ADGRD1-5α-DHT-chim(NtGi1-Gs)/β1/γ2
25.00Single9IYBPGD29IYB-DP2-PGD2-A1D5Q-Gi1/β1/γ2
25.00Single9JG1Adriforant9JG1-H4-Adriforant
25.00Single9KUVCMPD6449KUV-Apelin-CMPD644-Arrestin2
25.00Single9M8POleic monoethanolamide9M8P-GPR3 ; GPR3-Oleic monoethanolamide-AF64394
25.00Single9U81Tolvaptan9U81-V2-Tolvaptan
25.00Single9UYJChemerin-99UYJ-CML2-Chemerin-9-Arrestin2
25.00Consensusa1_offOrthosteric Ligand5UEN-A1-DU172 5N2S-A1-PSB36
25.00Consensusa3_on_gpOrthosteric Liganda3a_on_gp
25.00Consensusa3a_onOrthosteric Ligand8X17-A3A-Namodenoson-Gi1/β1/γ2 8X16-A3A-Piclidenoson-Gi1/β1/γ2
25.00Consensusa3a_on_gpOrthosteric Ligand8X17-A3A-Namodenoson-Gi1/β1/γ2 8X16-A3A-Piclidenoson-Gi1/β1/γ2
25.00Consensuschemerin_on_gpOrthosteric Ligandcml1_on_gp
25.00Consensusclass-a_on_gpOrthosteric Ligandsensory_on_gp alicarboxylic_on_gp amine_on_gp lipid_on_gp nucleotide_on_gp peptide_on_gp protein_on_gp
25.00Consensuscml1_onOrthosteric Ligand7YKD-CML1-Chemerin-9-Gi1/β1/γ2
25.00Consensusdp2_offOrthosteric Ligand6D26-DP2-Fevipiprant
25.00Consensusdp_offOrthosteric Liganddp2_off
25.00Consensusfpr1-alx_onOrthosteric Ligand7VFX-FPR1-ALX-fMIFL-Gi1/β1/γ2
25.00Consensusfpr1-alx_on_gpOrthosteric Ligand7VFX-FPR1-ALX-fMIFL-Gi1/β1/γ2
25.00Consensusgi_chemerinOrthosteric Ligand7YKD-CML1-Chemerin-9-Gi1/β1/γ2
25.00Consensusnucleotide_onOrthosteric Ligandadenosine_on p2y_on
23.81Single7EZKCholecystokinin-87EZK-CCKA-Cholecystokinin-8-chim(NtGi1-Gs)/β1/γ2
23.81Single9ME1CXCL129ME1-CXCR4-CXCL12
23.81Consensusformylpeptide_on_gpOrthosteric Ligandfpr2-alx_on_gp fpr1-alx_on_gp
23.53Single4DJHJDTic4DJH-κ-JDTic
23.53Single4Z34ONO-97803074Z34-LPA1-ONO-9780307
23.53Single6DDEDAMGO6DDE-μ-DAMGO-Gi1/β1/γ2
23.53Single6KO5PubChem 574000026KO5-Ghrelin-PubChem 57400002
23.53Single7EW1Siponimod7EW1-S1P5-Siponimod-Gi1/β1/γ2
23.53Single7EW3S1P7EW3-S1P3-S1P-Gi1/β1/γ2
23.53Single7M8W15r-Methyl-PGD27M8W-DP2-15r-Methyl-PGD2-Na
23.53Single7PX4PSB-21137PX4-A2A-PSB-2113
23.53Single7TUYGSK682753A7TUY-GPR183-GSK682753A
23.53Single7VIGCBP-3077VIG-S1P1-CBP-307-Gi1/β1/γ2
23.53Single7Y24Octreotide7Y24-SST2-Octreotide-Go/β1/γ2
23.53Single8ID6Oleic acid8ID6-FFA4-Oleic acid-Gi1/β1/γ2
23.53Single8JD5JNJ-40411813; ADX881788JD5-mGlu2; mGlu4-Glutamate-JNJ-40411813; ADX88178-Gi1/β1/γ2
23.53Single8WU1MDMB-Fubinaca8WU1-CB1-MDMB-Fubinaca-Arrestin2
23.53Single8X16Piclidenoson8X16-A3A-Piclidenoson-Gi1/β1/γ2
23.53Single8XJMLatanoprost8XJM-FP-alpha-Latanoprost-chim(NtGi2-Gs-CtGq)/β1/γ2
23.53Single8XZICMF-0198XZI-Apelin; Apelin-CMF-019-Gi1/β1/γ2
23.53Single8YNTSNAP-948478YNT-MCH1-SNAP-94847
23.53Single8ZWFJR14a8ZWF-C3aB-JR14a
23.53Single9AYFCa; Ca; Ca; Cyclomethyltryptophan; R-568; PO49AYF-CaS; CaS-Ca-Ca; Ca; Ca; Cyclomethyltryptophan; R-568; PO4-Gi1/β1/γ2
23.53Single9JMCDS-3801b9JMC-Motilin-DS-3801b-chim(Gs-CtGq)/β1/γ2
23.53Single9WSTDAMGO9WST-μ-DAMGO-chim(NtGi1-Gz)/β1/γ2
23.53Consensuskop_offOrthosteric Ligand4DJH-κ-JDTic
23.53Consensusnpy1_offOrthosteric Ligand5ZBH-Y1-BMS-193885 5ZBQ-Y1-UR-MK-299
23.53Consensuss1p5_onOrthosteric Ligand7EW1-S1P5-Siponimod-Gi1/β1/γ2
23.53Consensuss1p5_on_gpOrthosteric Ligand7EW1-S1P5-Siponimod-Gi1/β1/γ2
23.08Single6TP4ACT-4622066TP4-OX1-ACT-462206
23.08Single6TQ4PubChem 160468446TQ4-OX1-PubChem 16046844-Na
23.08Single7D76Beclomethasone7D76-ADGRG3-Beclomethasone-Go/β1/γ2
23.08Single7DD5Ca; Ca; Tryptophan; NPS-21437DD5-CaS; CaS-Ca-Ca; Ca; Tryptophan; NPS-2143
23.08Single8A2PLUAA470708A2P-A2A-LUAA47070-Na
23.08Single8H2GNiacin8H2G-HCA2-Niacin-Gi1/β1/γ2
23.08Single8JPNCis-Epoxysuccinic acid8JPN-Succinate-Cis-Epoxysuccinic acid-Gi1/β1/γ1
23.08Single8K5BNiacin8K5B-HCA2-Niacin
23.08Single8WP1Cis-Epoxysuccinic acid8WP1-Succinate-Cis-Epoxysuccinic acid-Gi1/β1/γ2
23.08Single8Y52BA18Y52-BB3-BA1-chim(NtGi1-Gs-CtGq)/β1/γ2
23.08Single8YH3N-methyladenosine8YH3-A3A-N-methyladenosine-Gi1/β1/γ2
23.08Single9IQTNiacin9IQT-HCA2-Niacin-Gi1/β1/γ2
23.08Single9KUWCMPD6449KUW-Apelin; Apelin-CMPD644-Arrestin2 ; Arrestin2
23.08Single9L3ZLRH7-C29L3Z-CML1-LRH7-C2
22.73Single8XIQL7967788XIQ-SST3-L796778-chim(NtGi1-Gs-CtGi1)/β1/γ2
22.73Single9MEUCXCL129MEU-CXCR4-CXCL12
22.73Single9U4WGonadoliberin-19U4W-GnRH1-Gonadoliberin-1-chim(NtGi1L-Gs-CtGq)/β1/γ2
22.73Consensusangiotensin_onOrthosteric Ligandat1_on
22.73Consensusat1_onOrthosteric Ligand7F6G-AT1-(Sar1)-Angiotensin II-Gq/β1/γ2
22.73Consensusfpr2-alx_onOrthosteric Ligand7WVX-FPR2-ALX-Humanin-Gi2/β1/γ2 7T6U-FPR2-ALX-CGEN-855A-Gi1/β1/γ2 7T6V-FPR2-ALX-fMLFII-Gi1/β1/γ2 7WVY-FPR2-ALX-Amyloid-β42-Gi2/β1/γ2 7T6S-FPR2-ALX-TC-FPR 43-Gi1/β1/γ2 6OMM-FPR2-ALX-WKYMVX-Gi1/β1/γ2
22.73Consensusgs_cckOrthosteric Ligand7MBX-CCKA-Cholecystokinin-8-Gs/β1/γ1
22.73Consensuspeptide_offonOrthosteric Ligandpeptide_off peptide_on
22.22Single4OR2FITM4OR2-mGlu1; mGlu1-FITM
22.22Single4Z36ONO-30805734Z36-LPA1-ONO-3080573
22.22Single7EW2FTY720-P7EW2-S1P3-FTY720-P-Gi1/β1/γ2
22.22Single7K15MKD0467K15-BLT1-MKD046-Na
22.22Single7L1VPubChem 1554910097L1V-OX2-PubChem 155491009-chim(NtGi1-Gs-CtGq)/β1/γ2
22.22Single7MTRADX551647MTR-mGlu2; mGlu2-Glutamate-ADX55164
22.22Single7W0LPubChem 1227019087W0L-Apelin; Apelin-PubChem 122701908-Gi1/β1/γ2
22.22Single7XZ5Lysophosphatidylcholine7XZ5-GPR119-Lysophosphatidylcholine-Gs/β1/γ2
22.22Single8I9AEP548I9A-C3aB-EP54-chim(NtGi1-Gs-CtGq)/β1/γ2
22.22Single8IA8E7 peptide8IA8-C3aB-E7 peptide-Gi1/β1/γ2
22.22Single8JJPChemerin-98JJP-CML2-Chemerin-9-Gi1/β1/γ2
22.22Single8JZ7MK68928JZ7-HCA2-MK6892-Gi1/β1/γ2
22.22Single8XYIVUF106618XYI-CXCR3-VUF10661
22.22Single9M8POleic monoethanolamide9M8P-GPR3 ; GPR3-Oleic monoethanolamide-AF64394
22.22Single9VIFNeuropeptide-VF9VIF-NPFF1-Neuropeptide-VF-Gi1/β1/γ2
22.22Single9WSWEndomorphin9WSW-μ-Endomorphin-chim(NtGi1-Gz)/β1/γ2
22.22Consensuskop_onOrthosteric Ligand8F7W-κ-Dynorphin-Gi1/β1/γ2 8DZS-κ-GR89,696-chim(NtGi2-Gz)/β1/γ2 8DZP-κ-momSalB-Gi1/β1/γ2
22.22Consensuslpa1_offOrthosteric Ligand4Z36-LPA1-ONO-3080573 4Z35-LPA1-ONO-9910539 4Z34-LPA1-ONO-9780307
22.22Consensuslpa_offOrthosteric Ligandlpa1_off
22.22Consensuslpl_offOrthosteric Ligands1p_off lpa_off
22.22Consensusorexin_onOrthosteric Ligandox2_on
22.22Consensuss1p3_onOrthosteric Ligand7EW3-S1P3-S1P-Gi1/β1/γ2 7EW4-S1P3-CYM-5541-Gi1/β1/γ2 7EW2-S1P3-FTY720-P-Gi1/β1/γ2
21.74Single6JODAngiotensin II6JOD-AT2-Angiotensin II
21.74Single7DW9AVP7DW9-V2-AVP-chim(NtGi1-Gs)/β1/γ2
21.74Single7F6G(Sar1)-Angiotensin II7F6G-AT1-(Sar1)-Angiotensin II-Gq/β1/γ2
21.74Single8IEDPubChem 1347468948IED-GPR156; GPR156-PubChem 134746894-Go/β1/γ2
21.74Single8IHFMK68928IHF-HCA2-MK6892-Gi1/β1/γ2
21.74Single8J6IMK68928J6I-HCA2-MK6892-Gi1/β1/γ2
21.74Single9BKKCholecystokinin-89BKK-CCKA-Cholecystokinin-8-chim(NtGi1-Gs-CtGq)/β1/γ2
21.74Consensusangiotensin_on_gpOrthosteric Ligandat1_on_gp
21.74Consensusat1_on_gpOrthosteric Ligand7F6G-AT1-(Sar1)-Angiotensin II-Gq/β1/γ2
21.74Consensuscxcr3_on_gpOrthosteric Ligand8HNK-CXCR3-CXCL11-Gi1/β1/γ2 8HNL-CXCR3-PS372424-Gi1/β1/γ2
21.74Consensusgi_class-aOrthosteric Ligandgi_peptide gi_sensory gi_alicarboxylic gi_amine gi_lipid gi_nucleotide gi_protein
21.74Consensusgi_formylpeptideOrthosteric Ligand7WVY-FPR2-ALX-Amyloid-β42-Gi2/β1/γ2 7T6U-FPR2-ALX-CGEN-855A-Gi1/β1/γ2 7VFX-FPR1-ALX-fMIFL-Gi1/β1/γ2 7T6V-FPR2-ALX-fMLFII-Gi1/β1/γ2 7WVX-FPR2-ALX-Humanin-Gi2/β1/γ2 7T6S-FPR2-ALX-TC-FPR 43-Gi1/β1/γ2 6OMM-FPR2-ALX-WKYMVX-Gi1/β1/γ2
21.74Consensusgq_angiotensinOrthosteric Ligand7F6G-AT1-(Sar1)-Angiotensin II-Gq/β1/γ2
21.74Consensusgs_vasop-oxyOrthosteric Ligand7DW9-V2-AVP-chim(NtGi1-Gs)/β1/γ2
21.74Consensuspeptide_offon_gpOrthosteric Ligandpeptide_on_gp peptide_off
21.74Consensusprotein_onOrthosteric Ligandchemokine_on chemerin_on
21.74Consensusv2_onOrthosteric Ligand7DW9-V2-AVP-chim(NtGi1-Gs)/β1/γ2
21.74Consensusv2_on_gpOrthosteric Ligand7DW9-V2-AVP-chim(NtGi1-Gs)/β1/γ2
21.74Consensusvasop-oxy_onOrthosteric Ligandv2_on
21.74Consensusvasop-oxy_on_gpOrthosteric Ligandv2_on_gp
21.43Single5K2DZM-2413855K2D-A2A-ZM-241385-Na
21.43Single5OLHVipadenant5OLH-A2A-Vipadenant-Na
21.43Single5OLOTozadenant5OLO-A2A-Tozadenant-Na
21.43Single5OLVLUAA470705OLV-A2A-LUAA47070-Na
21.43Single6DS0LY2660976DS0-5-HT2B-LY266097
21.43Single6JZHZM-2413856JZH-A2A-ZM-241385-Na
21.43Single6ME9Ramelteon6ME9-MT2-Ramelteon
21.43Single6PS7ZM-2413856PS7-A2A-ZM-241385-Na
21.43Single6TODEMPA6TOD-OX1-EMPA-Na
21.43Single6TQ6PubChem 1457142836TQ6-OX1-PubChem 145714283
21.43Single7F8ULintitript7F8U-CCKA-Lintitript
21.43Single7M3FCa; Ca; Tryptophan; Cinacalcet7M3F-CaS; CaS-Ca; Ca; Tryptophan; Cinacalcet
21.43Single7VIHCBP-3077VIH-S1P1-CBP-307-Gi1/β1/γ2
21.43Single7VUJJNJ-635330547VUJ-GPR139-JNJ-63533054-GDP-chim(Gs-CtGq)/β1/γ2
21.43Single7W0MPubChem 1227019087W0M-Apelin-PubChem 122701908-Gi1/β1/γ2
21.43Single7W0OElabela7W0O-Apelin-Elabela-Gi1/β1/γ2
21.43Single8EFOPZM218EFO-μ-PZM21-Gi1/β1/γ2
21.43Single8GNGIstradefylline8GNG-A2A-Istradefylline
21.43Single8IJANiacin8IJA-HCA2-Niacin-Gi1/β1/γ2
21.43Single8IJBAcipimox8IJB-HCA2-Acipimox-Gi1/β1/γ2
21.43Single8RW0Istradefylline8RW0-A2A-Istradefylline-Na
21.43Single8WOGSuccinic acid8WOG-Succinate-Succinic acid-Gi1/β1/γ2
21.43Single8WPGTryptophan; Cinacalcet; PO4; Ca8WPG-CaS; CaS-Tryptophan; Cinacalcet; PO4; Ca
21.43Single8XXVIndomethacin8XXV-DP2-Indomethacin-A1D5Q-Gi1/β1/γ2
21.43Single8YKXMaleic acid8YKX-Succinate-Maleic acid-Gi1/β1/γ1
21.43Single8Z87CHBA8Z87-HCA1-CHBA-Gi1/β1/γ2
21.43Single9AVLCa; Ca; Cyclomethyltryptophan; R-568; PO49AVL-CaS; CaS-Ca-Ca; Ca; Cyclomethyltryptophan; R-568; PO4-Gi3/β2/γ2
21.43Single9C2FCa; Ca; Tryptophan; '54149; PO49C2F-CaS; CaS-Ca-Ca; Ca; Tryptophan; '54149; PO4
21.43Single9J5VCpY9J5V-LPA1-CpY-Gi1/β1/γ2
21.43Single9LKDPL459LKD-OR5V1-PL45
21.43Single9M88Oleic monoethanolamide9M88-GPR3 ; GPR3-Oleic monoethanolamide-AF64394
21.43Consensusangiotensin_offOrthosteric Ligandat1_off
21.43Consensusgi_succinateOrthosteric Ligand8YKW-Succinate-Succinic acid-Gi1/β1/γ1 8YKX-Succinate-Maleic acid-Gi1/β1/γ1
21.43Consensusorexin_offOrthosteric Ligandox2_off ox1_off
21.43Consensusox2_offOrthosteric Ligand5WQC-OX2-EMPA 6TPN-OX2-HTL6641 7XRR-OX2-Lemborexant 6TPJ-OX2-Suvorexant
21.43Consensussuccinate_onOrthosteric Ligand8YKW-Succinate-Succinic acid-Gi1/β1/γ1 8YKX-Succinate-Maleic acid-Gi1/β1/γ1
21.43Consensussuccinate_on_gpOrthosteric Ligand8YKW-Succinate-Succinic acid-Gi1/β1/γ1 8YKX-Succinate-Maleic acid-Gi1/β1/γ1
21.05Single4OR2FITM4OR2-mGlu1; mGlu1-FITM
21.05Single4Z35ONO-99105394Z35-LPA1-ONO-9910539
21.05Single5CGDHTL142425CGD-mGlu5-HTL14242
21.05Single6K1QIRL25006K1Q-ETB-IRL2500
21.05Single7EZHCholecystokinin-87EZH-CCKA-Cholecystokinin-8-Gi1/β1/γ2
21.05Single7EZMCholecystokinin-87EZM-CCKA-Cholecystokinin-8-chim(NtGsL-Gq)/β1/γ2
21.05Single7X1UTRH7X1U-TRH-TRH-chim(NtGi2L-Gs-CtGq)/β1/γ2
21.05Single7XK2MK68927XK2-HCA2-MK6892-Gi1/β1/γ2
21.05Single7Y65C5a (C-terminal peptide)7Y65-C5a1-C5a (C-terminal peptide)-Gi1/β1/γ2
21.05Single8I95EP548I95-C3aB-EP54-Go/β1/γ2
21.05Single8IJDMK68928IJD-HCA2-MK6892-Gi1/β1/γ2
21.05Single8IULLatanoprost8IUL-FP-alpha-Latanoprost-chim(NtGi1-Gs-CtGq)/β1/γ2
21.05Single8IYSTUG-8918IYS-FFA4-TUG-891-GDP-chim(NtGi1L-Gq)/β1/γ2
21.05Single8XJKCloprosetnol8XJK-FP-alpha-Cloprosetnol-chim(NtGi1-Gs-CtGq)/β1/γ2
21.05Single8XVJMacitentan8XVJ-ETA-Macitentan
21.05Single8ZWGJR14a8ZWG-C3aB-JR14a-Gi1/β1/γ2
21.05Single9KUGEP679KUG-C5a1-EP67-Go/β1/γ2
21.05Single9M54Neuropeptide-VF9M54-NPFF2-Neuropeptide-VF-Gi1/β1/γ2
21.05Consensuscck_onOrthosteric Ligandccka_on cckb_on
21.05Consensuscck_on_gpOrthosteric Ligandccka_on_gp cckb_on_gp
21.05Consensusccka_onOrthosteric Ligand7EZH-CCKA-Cholecystokinin-8-Gi1/β1/γ2
21.05Consensusccka_on_gpOrthosteric Ligand7EZH-CCKA-Cholecystokinin-8-Gi1/β1/γ2
21.05Consensusnucleotide_on_gpOrthosteric Ligandadenosine_on_gp p2y_on_gp
21.05Consensusprostanoid_offOrthosteric Ligandep_off dp_off
20.83Single8XGOTAK4488XGO-Kiss1-TAK448-chim(NtGi1-Gq)/β1/γ2
20.83Single8ZPSPrRP208ZPS-PrRP-PrRP20-chim(NtGi1-Gs-CtGi1)/β1/γ2
20.83Consensuscml1_on_gpOrthosteric Ligand7YKD-CML1-Chemerin-9-Gi1/β1/γ2
20.83Consensusopioid_onOrthosteric Ligandmop_on nop_on dop_on kop_on
20.00Single3REYPubChem 56973REY-A2A-PubChem 5697
20.00Single3V2YPubChem 518926453V2Y-S1P1-PubChem 51892645
20.00Single4A4MAll-trans-Retinal4A4M-Rhodopsin-All-trans-Retinal-Gt(CT)
20.00Single4ZJCSB-6740424ZJC-OX1-SB-674042
20.00Single4ZUDOlmesartan4ZUD-AT1-Olmesartan
20.00Single5EN0All-trans-Retinal5EN0-Rhodopsin-All-trans-Retinal-Gt(CT)
20.00Single5IU4ZM-2413855IU4-A2A-ZM-241385-Na
20.00Single5IUBQ274563445IUB-A2A-Q27456344-Na
20.00Single5K2CZM-2413855K2C-A2A-ZM-241385-Na
20.00Single5MZPCaffeine5MZP-A2A-Caffeine-Na
20.00Single5NLXZM-2413855NLX-A2A-ZM-241385-Na
20.00Single5NM4ZM-2413855NM4-A2A-ZM-241385-Na
20.00Single6FFIMPEP6FFI-mGlu5-MPEP
20.00Single6MH8ZM-2413856MH8-A2A-ZM-241385
20.00Single6OMMWKYMVX6OMM-FPR2-ALX-WKYMVX-Gi1/β1/γ2
20.00Single6PELCitronellol6PEL-Rhodopsin-Citronellol-Gt(CT)
20.00Single6V9SGTPL114036V9S-OX1-GTPL11403
20.00Single6VI4JDTic6VI4-κ-JDTic
20.00Single6ZDVPubChem 9840736ZDV-A2A-PubChem 984073-Na
20.00Single6ZG9GSK10347026ZG9-M1-GSK1034702
20.00Single7AROLUF58337ARO-A2A-LUF5833-Na
20.00Single7M3GCa; Ca; Tryptophan; Evocalcet; Etelcalcetide; PO47M3G-CaS; CaS-Ca; Ca; Tryptophan; Evocalcet; Etelcalcetide; PO4
20.00Single7T11Octreotide7T11-SST2-Octreotide-Gi3/β1/γ2
20.00Single7XN9L-0545227XN9-SST2-L-054522
20.00Single7YAEOctreotide7YAE-SST2-Octreotide-Gi1/β1/γ2
20.00Single7YKDChemerin-97YKD-CML1-Chemerin-9-Gi1/β1/γ2
20.00Single8GURCP559408GUR-CB2-CP55940-Gi1/β1/γ2
20.00Single8H0PNMB308H0P-BB1-NMB30-chim(NtGi1-Gs-CtGq)/β1/γ2
20.00Single8H4IDoconexent8H4I-FFA4-Doconexent-chim(NtGi1-Gs)/β1/γ2
20.00Single8H4LDoconexent8H4L-FFA4-Doconexent-chim(NtGi1-Gs-CtGq)/β1/γ2
20.00Single8IA7Cholecystokinin-88IA7-CCKB-Cholecystokinin-8-chim(NtGi1L-Gq)/β1/γ2
20.00Single8IY9Niacin8IY9-HCA2-Niacin-Go/β1/γ2
20.00Single8JEIPubChem 117155568JEI-HCAR3-PubChem 11715556-Gi1/β1/γ2
20.00Single8JERAcipimox8JER-HCA2-Acipimox-Go/β1/γ2
20.00Single8JIMMonomethyl fumarate8JIM-HCA2-Monomethyl fumarate-Gi1/β1/γ2
20.00Single8K5CAcipimox8K5C-HCA2-Acipimox
20.00Single8K9KDAMGO8K9K-μ-DAMGO-Gi3/β1/γ1
20.00Single8RWCStilSwitch28RWC-A2A-StilSwitch2-Na
20.00Single8RWDStilSwitch38RWD-A2A-StilSwitch3-Na
20.00Single8RWIStilSwitch28RWI-A2A-StilSwitch2-Na
20.00Single8WPUTryptophan; Cinacalcet; PO4; Ca8WPU-CaS; CaS-Tryptophan; Cinacalcet; PO4; Ca-chim(NtGi2L-Gs-CtGq)/β1/γ2
20.00Single8Y62C16:0 Ceramide8Y62-FPR2-ALX-C16:0 Ceramide-Gi1/β1/γ2
20.00Single8YKVPubChem 1375531688YKV-Succinate-PubChem 137553168-Gi1/β1/γ2
20.00Single9ASBCa; Ca; Cyclomethyltryptophan; R-568; PO49ASB-CaS; CaS-Ca-Ca; Ca; Cyclomethyltryptophan; R-568; PO4-chim(NtGi1-Gs-CtGq)/β1/γ2
20.00Single9AVGCa; Ca; Cyclomethyltryptophan; R-568; PO49AVG-CaS; CaS-Ca-Ca; Ca; Cyclomethyltryptophan; R-568; PO4-chim(NtGi1-Gs)/β1/γ2
20.00Single9AXFCa; Ca; Ca; Cyclomethyltryptophan; R-568; PO49AXF-CaS; CaS-Ca-Ca; Ca; Ca; Cyclomethyltryptophan; R-568; PO4-chim(NtGi1-Gs-CtGq)/β1/γ2
20.00Single9IPVJR14a9IPV-C3aB-JR14a-Gi1/β1/γ2
20.00Single9JH3CMF-0199JH3-Apelin; Apelin-CMF-019-Gi1/β1/γ2
20.00Single9JKYAcifran9JKY-HCA2-Acifran-Gi1/β1/γ2
20.00Single9KZ2EP679KZ2-C3aB-EP67-Go/β1/γ2
20.00Single9LKBPL459LKB-OR5V1-PL45-chim(NtGi1-Gs)/β1
20.00Single9V2NMacimorelin9V2N-Ghrelin-Macimorelin-chim(NtGi1-Gs-CtGq)/β1/γ2
20.00Consensusat1_offOrthosteric Ligand4YAY-AT1-ZD-7155 4ZUD-AT1-Olmesartan
20.00Consensuscxcr3_onOrthosteric Ligand8HNK-CXCR3-CXCL11-Gi1/β1/γ2 8HNL-CXCR3-PS372424-Gi1/β1/γ2
20.00Consensusdop_onOrthosteric Ligand8F7S-δ-Deltorphin-Gi1/β1/γ2
20.00Consensusghrelin_offOrthosteric Ligand6KO5-Ghrelin-PubChem 57400002 7F83-Ghrelin-PF-05190457
20.00Consensusgi_peptideOrthosteric Ligandgi_cck gi_apelin gi_compl-pept gi_endothelin gi_formylpeptide gi_galanin gi_ghrelin gi_npy gi_neurotensin gi_opioid gi_orexin gi_relaxin gi_somatostatin
20.00Consensusgi_proteinOrthosteric Ligandgi_chemokine gi_chemerin
20.00Consensushca_onOrthosteric Ligandhca2_on
20.00Consensusopioid_on_gpOrthosteric Ligandmop_on_gp nop_on_gp dop_on_gp kop_on_gp
20.00Consensusprotein_on_gpOrthosteric Ligandchemokine_on_gp chemerin_on_gp
20.00Consensussst2_onOrthosteric Ligand7WIC-SST2-Somatostatin-14-Gi1/β1/γ2 7WIG-SST2-L-054264-Gi1/β1/γ2 7YAE-SST2-Octreotide-Gi1/β1/γ2 7YAC-SST2-Paltusotine-Gi1/β1/γ2
20.00Consensussst2_on_gpOrthosteric Ligand7WIC-SST2-Somatostatin-14-Gi1/β1/γ2 7WIG-SST2-L-054264-Gi1/β1/γ2 7YAE-SST2-Octreotide-Gi1/β1/γ2 7YAC-SST2-Paltusotine-Gi1/β1/γ2
19.23Single6B3JExendin-P56B3J-GLP-1-Exendin-P5-Gs/β1/γ2
19.23Single6P9XCorticoliberin-16P9X-CRF1-Corticoliberin-1-Gs/β1/γ2
19.23Single7EIBKallidin-des-Arg107EIB-BK1-Kallidin-des-Arg10-chim(NtGi1-Gs-CtGq)/β1/γ2
19.23Single8ZH8QRFP268ZH8-QRFP-QRFP26-Gq/β1/γ1
19.23Single9BUCCagrilintide9BUC-CT-Cagrilintide-Gs/β1/γ2
19.23Single9K26PrRP319K26-PrRP-PrRP31-Gi1/β1/γ2
19.23Consensuscrf_onOrthosteric Ligandcrf2_on crf1_on
19.23Consensusgq_peptideOrthosteric Ligandgq_cck gq_kisspeptin gq_bradykinin gq_bombesin gq_angiotensin
19.23Consensuspeptide_onOrthosteric Ligandcck_on angiotensin_on apelin_on bombesin_on bradykinin_on compl-peptide_on endothelin_on formylpeptide_on galanin_on ghrelin_on kisspeptin_on melanocortin_on motilin_on neuromedin-u_on npy_on neurotensin_on opioid_on orexin_on relaxin_on somatostatin_on tachykinin_on trh_on vasop-oxy_on
19.23Consensuspeptide_on_gpOrthosteric Ligandcck_on_gp angiotensin_on_gp apelin_on_gp bombesin_on_gp bradykinin_on_gp compl-peptide_on_gp endothelin_on_gp formylpeptide_on_gp galanin_on_gp ghrelin_on_gp kisspeptin_on_gp melanocortin_on_gp motilin_on_gp neuromedin-u_on_gp npy_on_gp neurotensin_on_gp opioid_on_gp orexin_on_gp relaxin_on_gp somatostatin_on_gp tachykinin_on_gp trh_on_gp vasop-oxy_on_gp
19.05Single7F8XNN90567F8X-CCKA-NN9056
19.05Single7T6UCGEN-855A7T6U-FPR2-ALX-CGEN-855A-Gi1/β1/γ2
19.05Single7WICSomatostatin-147WIC-SST2-Somatostatin-14-Gi1/β1/γ2
19.05Single8F7XNociceptin8F7X-NOP-Nociceptin-Gi1/β1/γ2
19.05Single8IEBPubChem 1347468948IEB-GPR156; GPR156-PubChem 134746894
19.05Single8J6RMK68928J6R-HCA2-MK6892-Gi1/β1/γ2
19.05Single8ZBJSomatostatin-148ZBJ-SST5-Somatostatin-14-Gi1/β1/γ2
19.05Single9L3YChemerin9L3Y-CML2-Chemerin-Gi1/β1/γ2
19.05Single9UMRC5a-pep9UMR-C5a1-C5a-pep-Go/β1/γ2
19.05Consensusgi_nucleotideOrthosteric Ligandgi_adenosine gi_p2y
19.05Consensusnop_onOrthosteric Ligand8F7X-NOP-Nociceptin-Gi1/β1/γ2
19.05Consensusnop_on_gpOrthosteric Ligand8F7X-NOP-Nociceptin-Gi1/β1/γ2
18.75Single4YAYZD-71554YAY-AT1-ZD-7155
18.75Single5TGZAM65385TGZ-CB1-AM6538
18.75Single5UENDU1725UEN-A1-DU172
18.75Single6D27CAY104716D27-DP2-CAY10471
18.75Single6FFHFenobam6FFH-mGlu5-Fenobam
18.75Single6LPJZM-2413856LPJ-A2A-ZM-241385-Na
18.75Single6LPKZM-2413856LPK-A2A-ZM-241385-Na
18.75Single6TOTLemborexant6TOT-OX1-Lemborexant
18.75Single7CFMP3957CFM-GPBA-P395-Gs/β1/γ2
18.75Single7F83PF-051904577F83-Ghrelin-PF-05190457
18.75Single7VKTLTB47VKT-BLT1-LTB4-Gi1/β1/γ2
18.75Single8EFQDAMGO8EFQ-μ-DAMGO-Gi1/β1/γ2
18.75Single8I7VAcipimox8I7V-HCA2-Acipimox-Gi1/β1/γ2
18.75Single8J6PNiacin8J6P-HCA2-Niacin-PubChem 25101223-Gi1/β1/γ2
18.75Single8JHNMonomethyl fumarate8JHN-HCA2-Monomethyl fumarate-Go/β1/γ2
18.75Single8JIINiacin8JII-HCA2-Niacin-PubChem 25101223-Gi1/β1/γ2
18.75Single8K5DGSK2560738K5D-HCA2-GSK256073
18.75Single8RW7StilSwitch18RW7-A2A-StilSwitch1-Na
18.75Single8RWXStilSwitch38RWX-A2A-StilSwitch3-Na
18.75Single8YH5Riboprine8YH5-A3A-Riboprine-Gi1/β1/γ2
18.75Single9AVGCa; Ca; Cyclomethyltryptophan; R-568; PO49AVG-CaS; CaS-Ca-Ca; Ca; Cyclomethyltryptophan; R-568; PO4-chim(NtGi1-Gs)/β1/γ2
18.75Single9IZCMK19039IZC-HCA2-MK1903-Gi1/β1/γ2
18.75Single9KFTfMLFC9KFT-FPR1-ALX-fMLFC-Gi1/β1/γ2
18.75Consensusblt1_onOrthosteric Ligand7VKT-BLT1-LTB4-Gi1/β1/γ2
18.75Consensusblt1_on_gpOrthosteric Ligand7VKT-BLT1-LTB4-Gi1/β1/γ2
18.75Consensusblt_onOrthosteric Ligandblt1_on
18.75Consensusblt_on_gpOrthosteric Ligandblt1_on_gp
18.75Consensuscck_offOrthosteric Ligandccka_off
18.75Consensusccka_offOrthosteric Ligand7F8Y-CCKA-Devazepide 7F8U-CCKA-Lintitript
18.75Consensusgi_hcaOrthosteric Ligand8J6R-HCA2-MK6892-Gi1/β1/γ2 8JIM-HCA2-Monomethyl fumarate-Gi1/β1/γ2 8IHI-HCA2-Acifran-Gi1/β1/γ2 8IHH-HCA2-LUF6283-Gi1/β1/γ2 8I7V-HCA2-Acipimox-Gi1/β1/γ2 8I7W-HCA2-GSK256073-Gi1/β1/γ2
18.75Consensusgi_leukotrieneOrthosteric Ligand7VKT-BLT1-LTB4-Gi1/β1/γ2
18.75Consensushca2_onOrthosteric Ligand8J6R-HCA2-MK6892-Gi1/β1/γ2 8JIM-HCA2-Monomethyl fumarate-Gi1/β1/γ2 8I7V-HCA2-Acipimox-Gi1/β1/γ2 8I7W-HCA2-GSK256073-Gi1/β1/γ2 8IHH-HCA2-LUF6283-Gi1/β1/γ2 8IHI-HCA2-Acifran-Gi1/β1/γ2
18.75Consensushca2_on_gpOrthosteric Ligand8J6R-HCA2-MK6892-Gi1/β1/γ2 8IHI-HCA2-Acifran-Gi1/β1/γ2 8IHH-HCA2-LUF6283-Gi1/β1/γ2 8I7V-HCA2-Acipimox-Gi1/β1/γ2 8JIM-HCA2-Monomethyl fumarate-Gi1/β1/γ2 8I7W-HCA2-GSK256073-Gi1/β1/γ2
18.75Consensushca_on_gpOrthosteric Ligandhca2_on_gp
18.75Consensusleukotriene_onOrthosteric Ligandblt_on
18.75Consensusleukotriene_on_gpOrthosteric Ligandblt_on_gp
18.75Consensusnucleotide_offonOrthosteric Ligandnucleotide_off nucleotide_on
18.75Consensusnucleotide_offon_gpOrthosteric Ligandnucleotide_on_gp nucleotide_off
18.52Single6IGLIRL16206IGL-ETB-IRL1620
18.52Single6PB1Urocortin6PB1-CRF2-Urocortin-chim(NtGi1-Gs)/β1/γ2
18.52Single7TS0Urocortin7TS0-CRF2-Urocortin-chim(NtGi1L-Go)/β1/γ2
18.52Single7VGXNeuropeptide-Y7VGX-Y1-Neuropeptide-Y-Gi1/β1/γ2
18.52Consensusetb_onOrthosteric Ligand8IY5-ETB-Endothelin-1-Gi1/β1/γ2 8HBD-ETB-IRL1620-Gi1/β1/γ2
18.18Single5MZJTheophylline5MZJ-A2A-Theophylline-Na
18.18Single6DO1(Sar1,Ile8)-Angiotensin II6DO1-AT1-(Sar1,Ile8)-Angiotensin II
18.18Single7DDZJNJ-310200287DDZ-Y2-JNJ-31020028
18.18Single8F7SDeltorphin8F7S-δ-Deltorphin-Gi1/β1/γ2
18.18Single8JZZC5a-des-Arg8JZZ-C5a1-C5a-des-Arg-Go/β1/γ2
18.18Single8PWNTheophylline8PWN-A2A-Theophylline
18.18Single8SG1Chemerin-98SG1-CML1-Chemerin-9-Gi1/β1/γ2
18.18Single9IV25alpha-DHT9IV2-ADGRD1-5α-DHT-chim(NtGi1-Gs)/β1/γ2
18.18Single9JIDNiacin9JID-HCA3-Niacin-Gi1/β1/γ2
18.18Single9KT7MK68929KT7-HCA2-MK6892-Gi1/β1/γ2
18.18Single9L60Dynorphin9L60-κ-Dynorphin-MPAM-15-Gi1/β1/γ2
18.18Single9UMXEP549UMX-C5a1-EP54-Go/β1/γ2
18.18Consensuscckb_onOrthosteric Ligand8IA7-CCKB-Cholecystokinin-8-chim(NtGi1L-Gq)/β1/γ2 7XOW-CCKB-Sulfated Gastrin-(10-17)-chim(NtGi1-Gq)/β1/γ2 7F8V-CCKB-Gastrin-17-Gi2/β1/γ2
18.18Consensusdop_on_gpOrthosteric Ligand8F7S-δ-Deltorphin-Gi1/β1/γ2
18.18Consensusgi_cckOrthosteric Ligand7EZH-CCKA-Cholecystokinin-8-Gi1/β1/γ2 7F8V-CCKB-Gastrin-17-Gi2/β1/γ2
18.18Consensusnpy2_offOrthosteric Ligand7DDZ-Y2-JNJ-31020028
18.18Consensussst4_onOrthosteric Ligand7XMS-SST4-Somatostatin-14-Gi1/β1/γ2 7XMT-SST4-J-2156-Gi1/β1/γ2
18.18Consensussst4_on_gpOrthosteric Ligand7XMS-SST4-Somatostatin-14-Gi1/β1/γ2 7XMT-SST4-J-2156-Gi1/β1/γ2
17.86Single5GLHEndothelin-15GLH-ETB-Endothelin-1
17.86Single6IGKEndothelin-36IGK-ETB-Endothelin-3
17.86Single6PB0Urocortin6PB0-CRF1-Urocortin-chim(NtGi1-Gs)/β1/γ2
17.86Single8ZJETAK4488ZJE-Kiss1-TAK448-chim(NtGi1-Gq)/β1/γ1
17.86Consensusgi_endothelinOrthosteric Ligand8IY5-ETB-Endothelin-1-Gi1/β1/γ2 8HBD-ETB-IRL1620-Gi1/β1/γ2
17.65Single4ZJ8Suvorexant4ZJ8-OX1-Suvorexant
17.65Single6TO7Suvorexant6TO7-OX1-Suvorexant-Na
17.65Single6TP6Filorexant6TP6-OX1-Filorexant
17.65Single7M3GCa; Ca; Tryptophan; Evocalcet; Etelcalcetide; PO47M3G-CaS; CaS-Ca; Ca; Tryptophan; Evocalcet; Etelcalcetide; PO4
17.65Single7TD3S1P7TD3-S1P1-S1P-Gi1/β1/γ2
17.65Single7WIGL-0542647WIG-SST2-L-054264-Gi1/β1/γ2
17.65Single7Y26Octreotide7Y26-SST2-Octreotide-chim(NtGi2L-Gs-CtGq)/β1/γ2
17.65Single8GDCPGE28GDC-EP3-PGE2-Gi1/β1/γ2
17.65Single8I7WGSK2560738I7W-HCA2-GSK256073-Gi1/β1/γ2
17.65Single8K8JFenofibrate8K8J-CB1-Fenofibrate-chim(Gs-CtGq)/β1/γ2
17.65Single8KFXLMD-0098KFX-CCR8-LMD-009-Gi1/β1/γ2
17.65Single8S4DCMF-0198S4D-Apelin-CMF-019
17.65Single8TF5Oleic acid8TF5-GPR6-Oleic acid
17.65Single8TH4Losartan8TH4-AT1-Losartan-AT118-L Nanobody
17.65Single8UUJFCH-22964138UUJ-HCA2-FCH-2296413-Gi1/β1/γ2
17.65Single8X0CVU04244658X0C-mGlu5; mGlu5-Quisqualate-VU0424465
17.65Single8X0CVU04244658X0C-mGlu5; mGlu5-Quisqualate-VU0424465
17.65Single8X0DVU04244658X0D-mGlu5; mGlu5-Quisqualate-VU0424465
17.65Single8X0DVU04244658X0D-mGlu5; mGlu5-Quisqualate-VU0424465
17.65Single9AYFCa; Ca; Ca; Cyclomethyltryptophan; R-568; PO49AYF-CaS; CaS-Ca-Ca; Ca; Ca; Cyclomethyltryptophan; R-568; PO4-Gi1/β1/γ2
17.65Single9CIBFCH-22964139CIB-HCA2-FCH-2296413
17.65Single9EAHOlmesartan9EAH-AT1-Olmesartan-Nanobody AT209
17.65Single9HAPTolvaptan9HAP-V2-Tolvaptan
17.65Single9KUTJR14a9KUT-C3aB-JR14a-Go/β1/γ2
17.65Consensusblt1_offOrthosteric Ligand5X33-BLT1-BIIL260 7K15-BLT1-MKD046-Na
17.65Consensusblt_offOrthosteric Ligandblt1_off
17.65Consensuscb2_onOrthosteric Ligand8GUR-CB2-CP55940-Gi1/β1/γ2 8GUS-CB2-HU-308-Gi1/β1/γ2 8GUT-CB2-LEI-102-Gi1/β1/γ2 6KPF-CB2-AM12033-Gi1/β1/γ2 6PT0-CB2-WIN 55212-2-Gi1/β1/γ2 8GUQ-CB2-Olorinab-Gi1/β1/γ2
17.65Consensuscb2_on_gpOrthosteric Ligand8GUR-CB2-CP55940-Gi1/β1/γ2 8GUS-CB2-HU-308-Gi1/β1/γ2 8GUT-CB2-LEI-102-Gi1/β1/γ2 6KPF-CB2-AM12033-Gi1/β1/γ2 6PT0-CB2-WIN 55212-2-Gi1/β1/γ2 8GUQ-CB2-Olorinab-Gi1/β1/γ2
17.65Consensuss1p_offOrthosteric Ligands1p1_off s1p5_off
17.39Single6LW5WKYMVm6LW5-FPR2-ALX-WKYMVm
17.39Single6UUNAdrenomedullin6UUN-CT Like (AM1)-Adrenomedullin-Gs/β1/γ2; RAMP2
17.39Single6VN7PACAP276VN7-VPAC1-PACAP27-Gs/β1/γ2
17.39Single7MBXCholecystokinin-87MBX-CCKA-Cholecystokinin-8-Gs/β1/γ1
17.39Single7TD0LPA7TD0-LPA1-LPA-Gi1/β1/γ2
17.39Single7TD2LPA7TD2-LPA1-LPA-Gi1/β1/γ2
17.39Single8XGUTAK4488XGU-Kiss1-TAK448-Gi1/β1/γ2
17.39Single8XIRPasireotide8XIR-SST3-Pasireotide-chim(NtGi1-Gs-CtGi1)/β1/γ2
17.39Single8XZGApelin-138XZG-Apelin; Apelin-Apelin-13-Gi1/β1/γ2
17.39Single8XZHMM078XZH-Apelin; Apelin-MM07-Gi1/β1/γ2
17.39Single9M1ONeuropeptide-FF9M1O-NPFF2-Neuropeptide-FF-Gi1/β1/γ2
17.39Single9UYIChemerin-99UYI-CML2-Chemerin-9-Arrestin2
17.39Consensuscckb_on_gpOrthosteric Ligand8IA7-CCKB-Cholecystokinin-8-chim(NtGi1L-Gq)/β1/γ2 7XOW-CCKB-Sulfated Gastrin-(10-17)-chim(NtGi1-Gq)/β1/γ2 7F8V-CCKB-Gastrin-17-Gi2/β1/γ2
17.39Consensusgi_somatostatinOrthosteric Ligand7WIC-SST2-Somatostatin-14-Gi1/β1/γ2 7XMS-SST4-Somatostatin-14-Gi1/β1/γ2 8X8L-SST5-Cortistatin-14-chim(NtGi1-Gs-CtGi1)/β1/γ2 7XMT-SST4-J-2156-Gi1/β1/γ2 7WIG-SST2-L-054264-Gi1/β1/γ2 8X8N-SST5-Octreotide-chim(NtGi1-Gs-CtGi1)/β1/γ2 7YAE-SST2-Octreotide-Gi1/β1/γ2 7YAC-SST2-Paltusotine-Gi1/β1/γ2
17.39Consensussomatostatin_onOrthosteric Ligandsst2_on sst4_on sst5_on
17.39Consensussomatostatin_on_gpOrthosteric Ligandsst2_on_gp sst4_on_gp sst5_on_gp
17.24Single8HBDIRL16208HBD-ETB-IRL1620-Gi1/β1/γ2
17.24Consensusetb_on_gpOrthosteric Ligand8IY5-ETB-Endothelin-1-Gi1/β1/γ2 8HBD-ETB-IRL1620-Gi1/β1/γ2
16.67Single3RFMCaffeine3RFM-A2A-Caffeine
16.67Single4OO9Mavoglurant4OO9-mGlu5-Mavoglurant
16.67Single5XR8AM120335XR8-CB1-AM12033
16.67Single5ZBHBMS-1938855ZBH-Y1-BMS-193885
16.67Single6LRYSarafotoxin-B6LRY-ETB-Sarafotoxin-B
16.67Single6N4BMDMB-Fubinaca6N4B-CB1-MDMB-Fubinaca-Gi1/β1/γ2
16.67Single6TQ9SB-4081246TQ9-OX1-SB-408124
16.67Single6WI9Secretin6WI9-Secretin-Secretin-Gs/β1/γ2
16.67Single6WIVPubChem 52923113; PubChem 529246456WIV-GABAB1, GABAB2-PubChem 52923113; PubChem 52924645
16.67Single7F4HAfamelanotide7F4H-MC1-Afamelanotide-chim(NtGi1-Gs)/β1/γ2
16.67Single7FIMTirzepatide7FIM-GLP-1-Tirzepatide-Gs/β1/γ2
16.67Single7KH0AVP7KH0-V2-AVP-chim(NtGi1-Gs)/β1/γ2
16.67Single7T9NDPPC7T9N-TSH-M22 Fab-DPPC-Gs/β1/γ2
16.67Single7V9MSomatoliberin7V9M-GHRH (SV1)-Somatoliberin-Gs/β1/γ2
16.67Single7WUIIP157WUI-ADGRG2-IP15-chim(NtGi1-Gs)/β1/γ2
16.67Single7WV9CP559407WV9-CB1-CP55940-ZCZ011-Gi2/β1/γ2
16.67Single7XTQR3997XTQ-GPBA-R399-Gs/β1/γ2
16.67Single8A2OTheophylline8A2O-A2A-Theophylline-Na
16.67Single8HPTC5a (C-terminal peptide)8HPT-C5a1-C5a (C-terminal peptide)-Go/β1/γ2
16.67Single8I2GPubChem 675302408I2G-FSH-FSH-PubChem 67530240-Gs/β1/γ2
16.67Single8IHBGSK2560738IHB-HCA2-GSK256073-Gi1/β1/γ2
16.67Single8IHHLUF62838IHH-HCA2-LUF6283-Gi1/β1/γ2
16.67Single8JZPC5a8JZP-C5a1-C5a-Go/β1/γ2
16.67Single8TAOCDPPB8TAO-mGlu5; mGlu5-Quisqualate-CDPPB
16.67Single8X0BVU04244658X0B-mGlu5; mGlu5-Quisqualate-VU0424465
16.67Single8X0FVU298X0F-mGlu5; mGlu5-Quisqualate-VU29
16.67Single8X8LCortistatin-148X8L-SST5-Cortistatin-14-chim(NtGi1-Gs-CtGi1)/β1/γ2
16.67Single8XIPPasireotide8XIP-SST1-Pasireotide-chim(NtGi1-Gs-CtGi1)/β1/γ2
16.67Single8XWQEndothelin-18XWQ-ETB-Endothelin-1-Gi1/β1/γ2
16.67Single8Y73Peptide8Y73-μ-Peptide-MPAM-15-Gi1/β1/γ2
16.67Single8ZBISomatostatin-148ZBI-SST3-Somatostatin-14-Gi1/β1/γ2
16.67Single9B65MDMB-Fubinaca9B65-CB1-MDMB-Fubinaca-Gi1/β1/γ2
16.67Single9IK9Lanreotide9IK9-SST1-Lanreotide-Gi1/β1/γ2
16.67Single9KUXCMPD6449KUX-Apelin; Apelin-CMPD644-Arrestin2
16.67Single9M42A1L8O9M42-GPR139-A1L8O-chim(Gs-CtGq)/β1/γ2
16.67Single9UY3Anamorelin9UY3-Ghrelin-Anamorelin-chim(NtGi1-Gs-CtGq)/β1/γ2
16.67Consensusapelin_onOrthosteric Ligand8XZH-Apelin; Apelin-MM07-Gi1/β1/γ2 7W0M-Apelin-PubChem 122701908-Gi1/β1/γ2 8XZJ-Apelin; Apelin-WN353-Gi1/β1/γ2 8XZF-Apelin; Apelin-WN561-Gi1/β1/γ2 8XZG-Apelin; Apelin-Apelin-13-Gi1/β1/γ2
16.67Consensusapelin_on_gpOrthosteric Ligand8XZH-Apelin; Apelin-MM07-Gi1/β1/γ2 7W0M-Apelin-PubChem 122701908-Gi1/β1/γ2 8XZJ-Apelin; Apelin-WN353-Gi1/β1/γ2 8XZF-Apelin; Apelin-WN561-Gi1/β1/γ2 8XZG-Apelin; Apelin-Apelin-13-Gi1/β1/γ2
16.67Consensuscrf_on_gpOrthosteric Ligandcrf2_on_gp crf1_on_gp
16.67Consensusffa2_onOrthosteric Ligand8J22-FFA2-TUG-1375-Gi1/β1/γ2
16.67Consensusgi_cannabinoidOrthosteric Ligand8GUR-CB2-CP55940-Gi1/β1/γ2 8GUS-CB2-HU-308-Gi1/β1/γ2 8GUT-CB2-LEI-102-Gi1/β1/γ2 8GUQ-CB2-Olorinab-Gi1/β1/γ2 6KPF-CB2-AM12033-Gi1/β1/γ2 6PT0-CB2-WIN 55212-2-Gi1/β1/γ2 6KPG-CB1-AM841-Gi1/β1/γ2
16.67Consensusgs_peptideOrthosteric Ligandgs_cck gs_melanocortin gs_vasop-oxy
16.67Consensusnpy_offOrthosteric Ligandnpy1_off npy2_off
16.13Consensusclass-a_class-b1_cons_on_gpOrthosteric Ligandclass-a_on_gp class-b1_on_gp
16.00Single7QBIAlpha-factor mating pheromone7QBI-STE2; STE2-α-factor mating pheromone
16.00Single7WBJPACAP277WBJ-VPAC1-PACAP27-Gs/β1/γ2
16.00Single7X9CPancreatic Hormone7X9C-Y4-Pancreatic Hormone-Gi1/β1/γ2
16.00Single7XV3Lysophosphatidylserine (WJS)7XV3-GPR174-Lysophosphatidylserine (WJS)-chim(NtGi1-Gs)/β1/γ2
16.00Single7Y64C5a7Y64-C5a1-C5a-Gi1/β1/γ2
16.00Single8E3YPACAP278E3Y-VPAC1-PACAP27-Gs/β1/γ2
16.00Single8E3ZVIP8E3Z-VPAC1-VIP-Gs/β1/γ2
16.00Single8HCXEndothelin-18HCX-ETB-Endothelin-1-chim(NtGi2L-Gs-CtGq)/β1/γ2
16.00Single8HK5C5a8HK5-C5a1-C5a-Gi1/β1/γ2
16.00Single8HNKCXCL118HNK-CXCR3-CXCL11-Gi1/β1/γ2
16.00Single8WWKMCH8WWK-MCH1-MCH-Gi1/β1/γ2
16.00Single8WWMMCH8WWM-MCH1-MCH-Gi1/β1/γ2
16.00Single8XQEApelin-138XQE-Apelin; Apelin-Apelin-13-Gi1/β1/γ2
16.00Single8XVHEndothelin-18XVH-ETB-Endothelin-1-chim(Gs-CtGq)/β1/γ2
16.00Single8ZRTEndothelin-18ZRT-ETB-Endothelin-1
16.00Single9E2AGLP-19E2A-GLP-1-GLP-1-Gs/β1/γ2
16.00Single9JFYNeuropeptide-SF9JFY-NPFF2-Neuropeptide-SF-Gi1/β1/γ2
16.00Consensusgi_apelinOrthosteric Ligand8XZH-Apelin; Apelin-MM07-Gi1/β1/γ2 7W0M-Apelin-PubChem 122701908-Gi1/β1/γ2 8XZJ-Apelin; Apelin-WN353-Gi1/β1/γ2 8XZF-Apelin; Apelin-WN561-Gi1/β1/γ2 8XZG-Apelin; Apelin-Apelin-13-Gi1/β1/γ2
16.00Consensusmc1_onOrthosteric Ligand7F4H-MC1-Afamelanotide-chim(NtGi1-Gs)/β1/γ2 7F4D-MC1-α-MSH-chim(NtGi1-Gs)/β1/γ2 7F4I-MC1-SHU9119-chim(NtGi1-Gs)/β1/γ2
16.00Consensusmc1_on_gpOrthosteric Ligand7F4H-MC1-Afamelanotide-chim(NtGi1-Gs)/β1/γ2 7F4D-MC1-α-MSH-chim(NtGi1-Gs)/β1/γ2 7F4I-MC1-SHU9119-chim(NtGi1-Gs)/β1/γ2
16.00Consensussst5_on_gpOrthosteric Ligand8X8L-SST5-Cortistatin-14-chim(NtGi1-Gs-CtGi1)/β1/γ2 8X8N-SST5-Octreotide-chim(NtGi1-Gs-CtGi1)/β1/γ2
15.79Single6OS0Angiotensin II6OS0-AT1-Angiotensin II
15.79Single6XBLCholesterol6XBL-SMO-SAG-Cholesterol-Gi1/β1/γ2
15.79Single7EO4Siponimod7EO4-S1P1-Siponimod-Gi1/β1/γ2
15.79Single7L1UOrexin7L1U-OX2-Orexin-chim(NtGi1-Gs-CtGq)/β1/γ2
15.79Single7SUSPubChem 1227019087SUS-Apelin-PubChem 122701908
15.79Single7Y66BM2137Y66-C5a1-BM213-Gi1/β1/γ2
15.79Single8H0QGastrin Releasing Peptide8H0Q-BB2-Gastrin Releasing Peptide-chim(NtGi1-Gs-CtGq)/β1/γ2
15.79Single8IQ6Latanoprost8IQ6-FP-alpha-Latanoprost-chim(NtGi1-Gs-CtGq)/β1/γ2
15.79Single8IYWGSK2560738IYW-HCA2-GSK256073-Go/β1/γ2
15.79Single8J6DEP1418J6D-C3aB-EP141-Go/β1/γ2
15.79Single8X8NOctreotide8X8N-SST5-Octreotide-chim(NtGi1-Gs-CtGi1)/β1/γ2
15.79Single8XJNCloprosetnol8XJN-TXA2-Cloprosetnol-chim(NtGi1-Gs-CtGq)/β1/γ2
15.79Single9DGIZ85267113509DGI-CB1-Z8526711350
15.79Single9GGGI-BOP9GGG-TXA2-I-BOP-chim(NtGi2L-Gs-CtGq)/β1/γ2
15.79Single9KZKC3a (fragment)9KZK-C3aB-C3a (fragment)-Go/β1/γ2
15.79Single9L3WChemerin9L3W-CML1-Chemerin-Gi1/β1/γ2
15.79Single9W32SSTR5 antagonist 19W32-SST5-SSTR5 antagonist 1
15.79Single9WXMGPR15L(CT)9WXM-GPR15-GPR15L(CT)-Gi3/β1/γ2
15.79Consensusc3a_onOrthosteric Ligand8HK2-C3aB-C3a-Gi1/β1/γ2 8IA8-C3aB-E7 peptide-Gi1/β1/γ2
15.79Consensuscannabinoid_onOrthosteric Ligandcb2_on cb1_on
15.79Consensuscannabinoid_on_gpOrthosteric Ligandcb2_on_gp cb1_on_gp
15.79Consensuscb1_onOrthosteric Ligand6KPG-CB1-AM841-Gi1/β1/γ2 8K8J-CB1-Fenofibrate-chim(Gs-CtGq)/β1/γ2
15.79Consensusccr8_onOrthosteric Ligand8KFX-CCR8-LMD-009-Gi1/β1/γ2 8KFY-CCR8-ZK-756326-Gi1/β1/γ2 8U1U-CCR8-CCL1-Gi1/β1/γ2
15.79Consensusffa2_on_gpOrthosteric Ligand8J22-FFA2-TUG-1375-Gi1/β1/γ2
15.79Consensusgi_lipidOrthosteric Ligandgi_cannabinoid gi_ffa gi_leukotriene gi_lpa gi_s1p
15.79Consensusleukotriene_offOrthosteric Ligandblt_off cyslt_off
15.38Single2ZIY11-cis-Retinal2ZIY-Rhodopsin-11-cis-Retinal
15.38Single6P9YPACAP276P9Y-PAC1-PACAP27-Gs/β1/γ2
15.38Single7D77Hydrocortisone7D77-ADGRG3-Hydrocortisone-Go/β1/γ2
15.38Single7F8VGastrin-177F8V-CCKB-Gastrin-17-Gi2/β1/γ2
15.38Single7QBIAlpha-factor mating pheromone7QBI-STE2; STE2-α-factor mating pheromone
15.38Single7RGPTirzepatide7RGP-GLP-1-Tirzepatide-chim(NtGi1-Gs)/β1/γ2
15.38Single8E3XPACAP278E3X-PAC1-PACAP27-Gs/β1/γ2
15.38Single8EITDoconexent8EIT-FFA1-Doconexent-chim(NtGi1L-Gs-CtGq)/β1/γ2
15.38Single8F76Propanoic acid8F76-OR51E2-Propanoic acid-Gs/β1/γ2
15.38Single8J21Butyric acid8J21-FFA3-Butyric acid-Gi1/β1/γ2
15.38Single8J24Acetic acid8J24-FFA2-Acetic acid-Gi1/β1/γ2
15.38Single8X9UMetenolone8X9U-ADGRD1-Metenolone-chim(NtGi1-Gs)/β1/γ2
15.38Single8XVEBQ30208XVE-ETB-BQ3020-chim(Gs-CtGq)/β1/γ2
15.38Single9BLWCagrilintide (non-acylated)9BLW-CT (AMY1)-Cagrilintide (non-acylated)-Gs/β1/γ2; RAMP1
15.38Single9JKT(2R)-2-hydroxy-3-phenylpropanoic acid9JKT-HCA3-(2R)-2-hydroxy-3-phenylpropanoic acid-Gi1/β1/γ2
15.38Single9KFKRelaxin-39KFK-RXFP4-Relaxin-3-Gi2/β1/γ2
15.38Single9KT93,5-DHBA9KT9-HCA1-3,5-DHBA-Gi1/β1/γ2
15.38Single9P92VIP9P92-PAC1-VIP-Gs/β1/γ2
15.38Consensusffa3_onOrthosteric Ligand8J21-FFA3-Butyric acid-Gi1/β1/γ2
15.38Consensusffa3_on_gpOrthosteric Ligand8J21-FFA3-Butyric acid-Gi1/β1/γ2
15.38Consensusgi_compl-peptOrthosteric Ligand8HK5-C5a1-C5a-Gi1/β1/γ2 8IA8-C3aB-E7 peptide-Gi1/β1/γ2 7Y66-C5a1-BM213-Gi1/β1/γ2 7Y67-C5a1-C089 peptide-Gi1/β1/γ2 8HK2-C3aB-C3a-Gi1/β1/γ2 7Y64-C5a1-C5a-Gi1/β1/γ2
15.38Consensusnpy4_onOrthosteric Ligand7X9C-Y4-Pancreatic Hormone-Gi1/β1/γ2
15.38Consensusnpy4_on_gpOrthosteric Ligand7X9C-Y4-Pancreatic Hormone-Gi1/β1/γ2
15.38Consensuspac_on_gpOrthosteric Ligandpac1_on_gp
15.00Single7LLLExendin-47LLL-GLP-1-Exendin-4-Gs/β1/γ2
15.00Single7Y27Somatostatin-147Y27-SST2-Somatostatin-14-chim(NtGi2L-Gs-CtGq)/β1/γ2
15.00Single8GAGZ85267113508GAG-CB1-Z8526711350-Gi1/β1/γ2
15.00Single8GUTLEI-1028GUT-CB2-LEI-102-Gi1/β1/γ2
15.00Single8ID8TUG-8918ID8-FFA4-TUG-891-Gi1/β1/γ2
15.00Single8K2XCXCL108K2X-CXCR3-CXCL10-Gi1/β1/γ2
15.00Single8XGSKisspeptin-18XGS-Kiss1-Kisspeptin-1-chim(NtGi1-Gq)/β1/γ2
15.00Single8XJOU466198XJO-TXA2-U46619-chim(NtGi1-Gs-CtGq)/β1/γ2
15.00Single9C0KExendin-49C0K-GLP-1-Exendin-4-Gs/β1/γ2
15.00Single9EAILosartan9EAI-AT1-Losartan-Nanobody AT209
15.00Single9GG5U466199GG5-TXA2-U46619-chim(NtGi2L-Gs-CtGq)/β1/γ2
15.00Single9IZFLPA9IZF-LPA1-LPA-Gi1/β1/γ2
15.00Single9KT8Acifran9KT8-HCA2-Acifran-Gi1/β1/γ2
15.00Single9VI9RFRP-39VI9-NPFF1-RFRP-3-Gi1/β1/γ2
15.00Consensusc3a_on_gpOrthosteric Ligand8HK2-C3aB-C3a-Gi1/β1/γ2 8IA8-C3aB-E7 peptide-Gi1/β1/γ2
15.00Consensuscb1_on_gpOrthosteric Ligand6KPG-CB1-AM841-Gi1/β1/γ2 8K8J-CB1-Fenofibrate-chim(Gs-CtGq)/β1/γ2
15.00Consensusfp-alpha_onOrthosteric Ligand8IUK-FP-alpha-PGF2-α-chim(NtGi1-Gs-CtGq)/β1/γ2 8IUL-FP-alpha-Latanoprost-chim(NtGi1-Gs-CtGq)/β1/γ2 8IUM-FP-alpha-Tafluprost acid-chim(NtGi1-Gs-CtGq)/β1/γ2
15.00Consensusfp-alpha_on_gpOrthosteric Ligand8IUK-FP-alpha-PGF2-α-chim(NtGi1-Gs-CtGq)/β1/γ2 8IUL-FP-alpha-Latanoprost-chim(NtGi1-Gs-CtGq)/β1/γ2 8IUM-FP-alpha-Tafluprost acid-chim(NtGi1-Gs-CtGq)/β1/γ2
15.00Consensusnk2_onOrthosteric Ligand7XWO-NK2-Neurokinin-A-chim(NtGi1-Gs-CtGq)/β1/γ2
15.00Consensusprostanoid_onOrthosteric Ligandtp_on fp-alpha_on
15.00Consensusprostanoid_on_gpOrthosteric Ligandtp_on_gp fp-alpha_on_gp
15.00Consensustp_onOrthosteric Ligand8XJO-TXA2-U46619-chim(NtGi1-Gs-CtGq)/β1/γ2
15.00Consensustp_on_gpOrthosteric Ligand8XJO-TXA2-U46619-chim(NtGi1-Gs-CtGq)/β1/γ2
14.81Single6VCBGLP-16VCB-GLP-1-GLP-1-LSN3160440-Gs/β1/γ2
14.81Single7AD3Alpha-factor mating pheromone7AD3-STE2; STE2-α-factor mating pheromone-Gi1/STE4/γ2
14.81Single7F4FAfamelanotide7F4F-MC1-Afamelanotide-chim(NtGi1-Gs)/β1/γ2
14.81Single7QBCAlpha-factor mating pheromone7QBC-STE2; STE2-α-factor mating pheromone
14.81Single7TYFAmylin7TYF-CT (AMY1)-Amylin-Gs/β1/γ2; RAMP1
14.81Single7YOONeuropeptide-Y7YOO-Y2-Neuropeptide-Y-Gi1/β1/γ2
14.81Single8FEG(DNCP)-Beta-Naloxamine8FEG-κ-(DNCP)-β-Naloxamine-Gi1/β1/γ2
14.81Single8WWLMCH8WWL-MCH1-MCH-Gi1/β1/γ2
14.81Single8XWPEndothelin-18XWP-ETB-Endothelin-1-Gi1/β1/γ2
14.81Single8ZJGChemerin8ZJG-CML1-Chemerin-Gi1/β1/γ2
14.81Consensusglp_onOrthosteric Ligandglp1_on glp2_on
14.81Consensusglp_on_gpOrthosteric Ligandglp1_on_gp glp2_on_gp
14.81Consensusnpy2_onOrthosteric Ligand7YOO-Y2-Neuropeptide-Y-Gi1/β1/γ2
14.81Consensusnpy2_on_gpOrthosteric Ligand7YOO-Y2-Neuropeptide-Y-Gi1/β1/γ2
14.71Consensusclass-b1_onOrthosteric Ligandglucagon_on vip-pacap_on pth_on crf_on calcitonin_on
14.29Single3OE9IT1t3OE9-CXCR4-IT1t
14.29Single6LMLGlucagon6LML-Glucagon-Glucagon-Gi1/β1/γ1
14.29Single6PGSGeraniol6PGS-Rhodopsin-Geraniol-Gt(CT)
14.29Single6PH7Nerol6PH7-Rhodopsin-Nerol-Gt(CT)
14.29Single6QNOAll-trans-Retinal6QNO-Rhodopsin-All-trans-Retinal-Gi1/β1/γ1
14.29Single6UUSAdrenomedullin6UUS-CT Like (AM2)-Adrenomedullin-Gs/β1/γ2; RAMP3
14.29Single6WZGSecretin6WZG-Secretin-Secretin-Gs/β1/γ2
14.29Single6XBJCholesterol6XBJ-SMO-Cholesterol-Gi1/β1/γ2
14.29Single7D68GLP-27D68-GLP-2-GLP-2-Gs/β1/γ2
14.29Single7F2OBradykinin7F2O-BK2-Bradykinin-chim(NtGi1-Gs-CtGq)/β1/γ2
14.29Single7F8WGastrin-177F8W-CCKB-Gastrin-17-chim(NtGsL-Gq)/β1/γ2
14.29Single7KI1Taspoglutide7KI1-GLP-1-Taspoglutide-Gs/β1/γ2
14.29Single7QBCAlpha-factor mating pheromone7QBC-STE2; STE2-α-factor mating pheromone
14.29Single7RKFCX3CL17RKF-US28-CX3CL1-GDP-chim(NtGi1-G11)/β1/γ2
14.29Single7VUIJNJ-635330547VUI-GPR139-JNJ-63533054-GTP-chim(Gs-CtGq)/β1/γ2
14.29Single7YJ4INSL57YJ4-RXFP4-INSL5-Gi2/β1/γ2
14.29Single8F0KPramlintide Analogue San3858F0K-CT (AMY3)-Pramlintide Analogue San385-Gs/β1/γ2; RAMP3
14.29Single8F7REndomorphin8F7R-μ-Endomorphin-Gi1/β1/γ2
14.29Single8IHIAcifran8IHI-HCA2-Acifran-Gi1/β1/γ2
14.29Single8IUMTafluprost acid8IUM-FP-alpha-Tafluprost acid-chim(NtGi1-Gs-CtGq)/β1/γ2
14.29Single8IY5Endothelin-18IY5-ETB-Endothelin-1-Gi1/β1/γ2
14.29Single8IY6Endothelin-18IY6-ETB-Endothelin-1
14.29Single8J22TUG-13758J22-FFA2-TUG-1375-Gi1/β1/γ2
14.29Single8JBFSenktide8JBF-NK3-Senktide-chim(NtGi1-Gs-CtGq)/β1/γ2
14.29Single8JILNiacin8JIL-HCA2-Niacin-Gi1/β1/γ2
14.29Single8QJ2pN1628QJ2-MC4-pN162-Gs/β1/γ2
14.29Single8RWHStilSwitch28RWH-A2A-StilSwitch2-Na
14.29Single8SZFCa; Ca; Tryptophan; Cinacalcet; PO4; Spermine8SZF-CaS; CaS-Ca; Ca; Tryptophan; Cinacalcet; PO4; Spermine
14.29Single8WPUTryptophan; Cinacalcet; PO4; Ca8WPU-CaS; CaS-Tryptophan; Cinacalcet; PO4; Ca-chim(NtGi2L-Gs-CtGq)/β1/γ2
14.29Single8WWNMCH8WWN-MCH1-MCH-Gi1/β1/γ2
14.29Single8X2KOleic monoethanolamide8X2K-GPR3-Oleic monoethanolamide-chim(NtGi1-Gs)/β1/γ2
14.29Single8X3LXWD8X3L-CB2-XWD-Gi1/β1/γ2
14.29Single8XZFWN5618XZF-Apelin; Apelin-WN561-Gi1/β1/γ2
14.29Single8YKWSuccinic acid8YKW-Succinate-Succinic acid-Gi1/β1/γ1
14.29Single8Z74JN241-98Z74-Apelin; Apelin-JN241-9
14.29Single8Z74JN241-98Z74-Apelin; Apelin-JN241-9
14.29Single9B9YTaranabant9B9Y-CB1-Taranabant
14.29Single9BYOExendin-39BYO-GLP-1-Exendin-3-Gs/β1/γ2
14.29Single9C1PCa; Tryptophan; '6218; PO49C1P-CaS; CaS-Ca-Ca; Tryptophan; '6218; PO4
14.29Single9EPRAll-trans-Retinal9EPR-Rhodopsin-All-trans-Retinal-Gi1/β1/γ2
14.29Single9IPYJR14a9IPY-C3aB-JR14a
14.29Single9IZASCH9002719IZA-HCA2-SCH900271-Gi1/β1/γ2
14.29Single9IZDCHBA9IZD-HCA1-CHBA-Gi1/β1/γ2
14.29Single9KX6C5a-des-Arg9KX6-C5a1-C5a-des-Arg-Go/β1/γ2
14.29Single9KZ8EP679KZ8-C3aB-EP67-Go/β1/γ2
14.29Single9M88Oleic monoethanolamide9M88-GPR3 ; GPR3-Oleic monoethanolamide-AF64394
14.29Single9P93VIP9P93-PAC1-VIP-Gs/β1/γ2
14.29Single9YDAAll-trans-Retinal9YDA-Opsin1MW-All-trans-Retinal-chim(NtGi1L-Gs-CtGt)/β1/γ2
14.29Consensusbk2_onOrthosteric Ligand7F6H-BK2-Bradykinin-Gq/β1/γ2 7F6I-BK2-Kallidin-Gq/β1/γ2
14.29Consensusbk2_on_gpOrthosteric Ligand7F6H-BK2-Bradykinin-Gq/β1/γ2 7F6I-BK2-Kallidin-Gq/β1/γ2
14.29Consensusbradykinin_onOrthosteric Ligandbk2_on
14.29Consensusbradykinin_on_gpOrthosteric Ligandbk2_on_gp
14.29Consensusendothelin_onOrthosteric Ligandetb_on eta_on
14.29Consensusgq_bradykininOrthosteric Ligand7F6H-BK2-Bradykinin-Gq/β1/γ2 7F6I-BK2-Kallidin-Gq/β1/γ2
14.29Consensusgq_cckOrthosteric Ligand8IA7-CCKB-Cholecystokinin-8-chim(NtGi1L-Gq)/β1/γ2 7XOW-CCKB-Sulfated Gastrin-(10-17)-chim(NtGi1-Gq)/β1/γ2 7EZM-CCKA-Cholecystokinin-8-chim(NtGsL-Gq)/β1/γ2 7F8W-CCKB-Gastrin-17-chim(NtGsL-Gq)/β1/γ2
14.29Consensuskiss1_onOrthosteric Ligand8ZJD-Kiss1-Kisspeptin-1-chim(NtGi1-Gq)/β1/γ1
14.29Consensuskisspeptin_onOrthosteric Ligandkiss1_on
14.29Consensusvip-pacap_onOrthosteric Ligandvpac_on pac_on
14.29Consensusvip-pacap_on_gpOrthosteric Ligandvpac_on_gp pac_on_gp
13.79Single7DUQGLP-17DUQ-GLP-1-GLP-1-PubChem 156022738-Gs/β1/γ2
13.79Single7TYXAmylin7TYX-CT (AMY2)-Amylin-Gs/β1/γ2; RAMP2
13.79Consensusccr5_on_gpOrthosteric Ligand7O7F-CCR5-6P4-CCL5-Gi1/β1/γ1 7F1Q-CCR5-CCL3-Gi1/β1/γ2
13.79Consensusclass-a_class-b1_cons_onOrthosteric Ligandclass-a_on class-b1_on
13.79Consensusgi_npyOrthosteric Ligand8K6M-Y1-Neuropeptide-Y-Gi2/β1/γ1 7X9C-Y4-Pancreatic Hormone-Gi1/β1/γ2 7YOO-Y2-Neuropeptide-Y-Gi1/β1/γ2
13.79Consensusnpy_onOrthosteric Ligandnpy1_on npy2_on npy4_on
13.79Consensusnpy_on_gpOrthosteric Ligandnpy1_on_gp npy2_on_gp npy4_on_gp
13.64Single4XT1CX3CL14XT1-US28-CX3CL1
13.64Single6WIVPubChem 52923113; PubChem 529246456WIV-GABAB1, GABAB2-PubChem 52923113; PubChem 52924645
13.64Single7F4ISHU91197F4I-MC1-SHU9119-chim(NtGi1-Gs)/β1/γ2
13.64Single7QA8Antagonist Peptide7QA8-STE2; STE2-Antagonist Peptide
13.64Single7QA8Antagonist Peptide7QA8-STE2; STE2-Antagonist Peptide
13.64Single7TD4Siponimod7TD4-S1P1-Siponimod-Gi1/β1/γ2
13.64Single7XAUOctreotide7XAU-SST2-Octreotide-Gi1/β1/γ2
13.64Single8GHVAMG3158GHV-CB1-AMG315-Gi1/β1/γ2
13.64Single8WKYPG-9348WKY-MC4-PG-934
13.64Single8XGMChemerin8XGM-CML2-Chemerin-Gi1/β1/γ2
13.64Single8YWFRetatrutide8YWF-GLP-1-Retatrutide-chim(NtGi1-Gs)/β1/γ2
13.64Single8ZCJPasireotide8ZCJ-SST5-Pasireotide-Gi1/β1/γ1
13.64Single8ZJDKisspeptin-18ZJD-Kiss1-Kisspeptin-1-chim(NtGi1-Gq)/β1/γ1
13.64Single9BKJCholecystokinin-89BKJ-CCKA-Cholecystokinin-8-chim(NtGi1-Gs-CtGq)/β1/γ2
13.64Single9KWGC5a9KWG-C5a1-C5a-Go/β1/γ2
13.64Consensusgq_kisspeptinOrthosteric Ligand8ZJD-Kiss1-Kisspeptin-1-chim(NtGi1-Gq)/β1/γ1
13.64Consensuskiss1_on_gpOrthosteric Ligand8ZJD-Kiss1-Kisspeptin-1-chim(NtGi1-Gq)/β1/γ1
13.64Consensuskisspeptin_on_gpOrthosteric Ligandkiss1_on_gp
13.64Consensuslpl_onOrthosteric Ligands1p_on lpa_on
13.64Consensuslpl_on_gpOrthosteric Ligands1p_on_gp lpa_on_gp
13.64Consensusnk3_onOrthosteric Ligand8JBF-NK3-Senktide-chim(NtGi1-Gs-CtGq)/β1/γ2
13.64Consensusnk3_on_gpOrthosteric Ligand8JBF-NK3-Senktide-chim(NtGi1-Gs-CtGq)/β1/γ2
13.64Consensussomatostatin_offOrthosteric Ligandsst2_off
13.64Consensussst5_onOrthosteric Ligand8X8L-SST5-Cortistatin-14-chim(NtGi1-Gs-CtGi1)/β1/γ2 8X8N-SST5-Octreotide-chim(NtGi1-Gs-CtGi1)/β1/γ2
13.33Single3PWHZM-2413853PWH-A2A-ZM-241385
13.33Single4S0VSuvorexant4S0V-OX2-Suvorexant
13.33Single5WS3EMPA5WS3-OX2-EMPA
13.33Single6LPBPACAP276LPB-PAC1-PACAP27-Gs/β1/γ1
13.33Single6TPJSuvorexant6TPJ-OX2-Suvorexant
13.33Single7BR3Elagolix7BR3-GnRH1-Elagolix
13.33Single7SILCa; Ca; Ca; Cyclomethyltryptophan; R-568; PO47SIL-CaS; CaS-Ca-Ca; Ca; Ca; Cyclomethyltryptophan; R-568; PO4
13.33Single7SILCa; Ca; Ca; Cyclomethyltryptophan; R-568; PO47SIL-CaS; CaS-Ca-Ca; Ca; Ca; Cyclomethyltryptophan; R-568; PO4
13.33Single7TUZ7-alpha,25-dihydroxycholesterol7TUZ-GPR183-7-α,25-dihydroxycholesterol-Gi1/β1/γ2
13.33Single7TZFAmylin7TZF-CT (AMY3)-Amylin-Gs/β1/γ2; RAMP3
13.33Single7VVOPTH7VVO-PTH1-PTH-Gs/β1/γ2
13.33Single7WF7S1P7WF7-S1P1-S1P-Gi1/β1/γ2
13.33Single7XRRLemborexant7XRR-OX2-Lemborexant
13.33Single8DWGML3828DWG-MRGPRX1-BAM8-22-ML382-chim(NtGi2L-Gs-CtGq)/β1/γ2
13.33Single8FLSAbaloparatide8FLS-PTH1-Abaloparatide-Gs/β1/γ2
13.33Single8FLULA-PTH Analog8FLU-PTH1-LA-PTH Analog-Gs/β1/γ2
13.33Single8J20Valeric acid8J20-FFA3-Valeric acid-AR420626-Gi1/β1/γ2
13.33Single8J6LNiacin8J6L-HCA2-Niacin-Gi1/β1/γ2
13.33Single8JPPSuccinic acid8JPP-Succinate-Succinic acid-chim(Gs-CtGq)/β1/γ1
13.33Single8RVWStilSwitch38RVW-A2A-StilSwitch3-Na
13.33Single8RW4AzoSwitch28RW4-A2A-AzoSwitch2-Na
13.33Single8RWEStilSwitch48RWE-A2A-StilSwitch4-Na
13.33Single8T3SButyric acid8T3S-FFA2-Butyric acid-chim(NtGi2L-Gs-CtGq)/β1/γ2
13.33Single8UTDMK19038UTD-HCA2-MK1903-Gi1/β1/γ2
13.33Single9AUCCalcitonin gene-related peptide-19AUC-CT (AMY1)-Calcitonin gene-related peptide-1-Gs/β1/γ2; RAMP1
13.33Single9FUPIstradefylline9FUP-A2A-Istradefylline-Na
13.33Single9JKXAcifran9JKX-HCA3-Acifran-Gi1/β1/γ2
13.33Single9K6LSalicin9K6L-TAS2R16-Salicin-Gi2/β1/γ2
13.33Single9KPESalicin9KPE-TAS2R16-Salicin-Gi1/β1/γ2
13.33Consensusendothelin_on_gpOrthosteric Ligandetb_on_gp eta_on_gp
13.33Consensusgnrh1_offOrthosteric Ligand7BR3-GnRH1-Elagolix
13.33Consensusox1_offOrthosteric Ligand6TP6-OX1-Filorexant 6TP4-OX1-ACT-462206 6V9S-OX1-GTPL11403 6TOT-OX1-Lemborexant 6TP3-OX1-Nemorexant 6TQ6-OX1-PubChem 145714283 6TQ9-OX1-SB-408124 4ZJC-OX1-SB-674042 4ZJ8-OX1-Suvorexant 6TOD-OX1-EMPA-Na 6TOS-OX1-GSK1059865-Na 6TQ4-OX1-PubChem 16046844-Na
13.16Consensusclass-b1_on_gpOrthosteric Ligandglucagon_on_gp vip-pacap_on_gp pth_on_gp crf_on_gp calcitonin_on_gp
13.04Single5XJM(Sar1,Ile8)-Angiotensin II5XJM-AT2-(Sar1,Ile8)-Angiotensin II
13.04Single7RKMCX3CL17RKM-US28-CX3CL1-Gi1/β1/γ2
13.04Single7TRYUrocortin7TRY-CRF2-Urocortin-chim(NtGi1-G11)/β1/γ2
13.04Single7VBITirzepatide (non-acylated)7VBI-GLP-1-Tirzepatide (non-acylated)-Gs/β1/γ2
13.04Single7W0NElabela7W0N-Apelin; Apelin-Elabela-Gi1/β1/γ2
13.04Single7WJ5Somatostatin-147WJ5-SST2-Somatostatin-14-Gi1/β1/γ2
13.04Single7XMSSomatostatin-147XMS-SST4-Somatostatin-14-Gi1/β1/γ2
13.04Single7XNACYN1548067XNA-SST2-CYN154806
13.04Single8F7WDynorphin8F7W-κ-Dynorphin-Gi1/β1/γ2
13.04Single8WSSMCH8WSS-MCH1-MCH-Gi1/β1/γ1
13.04Single8Z7JJN241-98Z7J-Apelin-JN241-9-Gi1/β1/γ2
13.04Single9E82CXCL12 (fragment)9E82-ACKR3-CXCL12 (fragment)-Arrestin2
13.04Single9IK8Pasireotide9IK8-SST1-Pasireotide-Gi1/β1/γ2
13.04Single9IQSMuscarinic toxin 39IQS-M4-Muscarinic toxin 3
13.04Single9IQVMuscarinic toxin 39IQV-Alpha1A-Muscarinic toxin 3
13.04Single9JFK(Pen5)-Urotensin II9JFK-UT-(Pen5)-Urotensin II-chim(NtGi2L-Gs-CtGq)/β1/γ2
13.04Consensusccr8_on_gpOrthosteric Ligand8KFX-CCR8-LMD-009-Gi1/β1/γ2 8KFY-CCR8-ZK-756326-Gi1/β1/γ2 8U1U-CCR8-CCL1-Gi1/β1/γ2
13.04Consensuscompl-peptide_onOrthosteric Ligandc5a1_on c3a_on
13.04Consensusghrelin_onOrthosteric Ligand7NA7-Ghrelin-Ghrelin-Gi1/β1/γ2 7F9Z-Ghrelin-GHRP-6-chim(NtGi1-Gs-CtGq)/β1/γ2 7NA8-Ghrelin-Ibutamoren-Gi1/β1/γ2
13.04Consensusghrelin_on_gpOrthosteric Ligand7NA7-Ghrelin-Ghrelin-Gi1/β1/γ2 7F9Z-Ghrelin-GHRP-6-chim(NtGi1-Gs-CtGq)/β1/γ2 7NA8-Ghrelin-Ibutamoren-Gi1/β1/γ2
13.04Consensusgi_ghrelinOrthosteric Ligand7NA7-Ghrelin-Ghrelin-Gi1/β1/γ2 7NA8-Ghrelin-Ibutamoren-Gi1/β1/γ2
13.04Consensussst2_offOrthosteric Ligand7XNA-SST2-CYN154806
12.90Single6WPWZP37806WPW-Glucagon-ZP3780-Gs/β1/γ2
12.90Single7VVMPTH7VVM-PTH1-PTH-Gs/β1/γ2
12.50Single3OE0CVX153OE0-CXCR4-CVX15
12.50Single6FKAPubChem 1324730376FKA-Rhodopsin-PubChem 132473037
12.50Single6TOSGSK10598656TOS-OX1-GSK1059865-Na
12.50Single6TP3Nemorexant6TP3-OX1-Nemorexant
12.50Single6W25SHU91196W25-MC4-SHU9119-Ca
12.50Single7BB6AVP7BB6-V2-AVP-Gs/β1/γ2
12.50Single7F4DAlpha-MSH7F4D-MC1-α-MSH-chim(NtGi1-Gs)/β1/γ2
12.50Single7X9ANeuropeptide-Y7X9A-Y1-Neuropeptide-Y-Gi1/β1/γ2
12.50Single7XOUCholecystokinin-87XOU-CCKA-Cholecystokinin-8-Gs/β1/γ2
12.50Single7Y36PTH7Y36-PTH1-PTH-Gs/β1/γ2
12.50Single8FLQPTH8FLQ-PTH1-PTH-Gs/β1/γ2
12.50Single8GUQOlorinab8GUQ-CB2-Olorinab-Gi1/β1/γ2
12.50Single8HQN9-S-HODE8HQN-GPR132-9-S-HODE-Gi1/β1/γ2
12.50Single8IHKAcifran8IHK-HCA3-Acifran
12.50Single8K6NNeuropeptide-Y8K6N-Y2-Neuropeptide-Y-Gi2/β1/γ1
12.50Single8K9LDAMGO8K9L-μ-DAMGO-BMS-986122-Gi3/β1/γ1
12.50Single8WKZSBL-MC-318WKZ-MC4-SBL-MC-31
12.50Single8Y6YGLPG09748Y6Y-FFA2-GLPG0974
12.50Single9BA0MRI-18919BA0-CB1-MRI-1891
12.50Single9DQJEP-39459DQJ-MRGPRD-EP-3945-chim(NtGi1-Gs-CtGq)/β1/γ2
12.50Single9JMDAzithromycin9JMD-Motilin-Azithromycin-chim(Gs-CtGq)/β1/γ2
12.50Single9K1DButyric acid9K1D-FFA2-Butyric acid-Gi1/β1/γ2
12.50Single9K27PrRP319K27-PrRP-PrRP31-chim(NtGi1-Gq)/β1/γ2
12.50Single9KPDSalicin9KPD-TAS2R16-Salicin-chim(Gs-CtGt3)/β1/γ2
12.50Single9KXSEP679KXS-C5a1-EP67-Go/β1/γ2
12.50Single9LXRLA-PTH Analog9LXR-PTH1-LA-PTH Analog-Arrestin2
12.50Single9M2FNeuropeptide-FF9M2F-NPFF1-Neuropeptide-FF-Gi1/β1/γ2
12.50Single9W33S5A19W33-SST5-S5A1
12.50Consensusc5a1_onOrthosteric Ligand8HK5-C5a1-C5a-Gi1/β1/γ2 7Y66-C5a1-BM213-Gi1/β1/γ2 7Y67-C5a1-C089 peptide-Gi1/β1/γ2 7Y64-C5a1-C5a-Gi1/β1/γ2
12.50Consensuscb1_offOrthosteric Ligand5U09-CB1-Taranabant 5TGZ-CB1-AM6538
12.50Consensusclass-b1_class-b2_cons_onOrthosteric Ligandclass-b1_on class-b2_on
12.50Consensusclass-b1_class-b2_cons_on_gpOrthosteric Ligandclass-b1_on_gp class-b2_on_gp
12.50Consensuscompl-peptide_on_gpOrthosteric Ligandc5a1_on_gp c3a_on_gp
12.50Consensusglucagon_onOrthosteric Ligandglp_on gluc_on secretin_on gip_on
12.50Consensusgrh_offOrthosteric Ligandgnrh1_off
12.50Consensusmc3_onOrthosteric Ligand8IOC-MC3-γ-MSH-Ca-chim(NtGi1-Gs)/β1/γ2
12.50Consensusmc3_on_gpOrthosteric Ligand8IOC-MC3-γ-MSH-Ca-chim(NtGi1-Gs)/β1/γ2
12.50Consensusnucleotide_offOrthosteric Ligandadenosine_off p2y_off
12.12Single6E3YCalcitonin gene-related peptide-16E3Y-CT Like-Calcitonin gene-related peptide-1-Gs/β1/γ2; RAMP1
12.12Consensusglucagon_on_gpOrthosteric Ligandglp_on_gp gluc_on_gp secretin_on_gp gip_on_gp
12.12Consensuspth_onOrthosteric Ligandpth1_on pth2_on
12.00Single6M1IPACAP276M1I-PAC1-PACAP27-Gs/β1/γ2
12.00Single7AD3Alpha-factor mating pheromone7AD3-STE2; STE2-α-factor mating pheromone-Gi1/STE4/γ2
12.00Single7XK8Neuromedin-U-257XK8-NMUR2-Neuromedin-U-25-Gi1/β1/γ2
12.00Single7YONPeptide-YY(3-36)7YON-Y2-Peptide-YY(3-36)-Gi1/β1/γ2
12.00Single8HA0PTH8HA0-PTH1-PTH-chim(NtGi1-Gs)/β1/γ2
12.00Single8IEDPubChem 1347468948IED-GPR156; GPR156-PubChem 134746894-Go/β1/γ2
12.00Single8WSTMCH8WST-MCH2-MCH-chim(NtGi1L-Gs-CtGq)/β1/γ2
12.00Single8YW3Retatrutide8YW3-GLP-1-Retatrutide-Gs/β1/γ2
12.00Single8YW4Retatrutide8YW4-GIP-Retatrutide-chim(NtGi1-Gs)/β1/γ2
12.00Single8YW5Retatrutide8YW5-Glucagon-Retatrutide-Gs/β1/γ2
12.00Single9BLCCagrilintide (non-acylated)9BLC-CT-Cagrilintide (non-acylated)-Gs/β1/γ2
12.00Single9BUDCagrilintide9BUD-CT-Cagrilintide-Gs/β1/γ2
12.00Single9EBOGLP-1 (ACPC18)9EBO-GLP-1-GLP-1 (ACPC18)-Gs/β1/γ2
12.00Consensusc5a1_on_gpOrthosteric Ligand8HK5-C5a1-C5a-Gi1/β1/γ2 7Y66-C5a1-BM213-Gi1/β1/γ2 7Y67-C5a1-C089 peptide-Gi1/β1/γ2 7Y64-C5a1-C5a-Gi1/β1/γ2
12.00Consensusprotein_offonOrthosteric Ligandprotein_off protein_on
12.00Consensusprotein_offon_gpOrthosteric Ligandprotein_on_gp protein_off
11.76Single5NDDAZ8838; Na5NDD-PAR2-AZ8838; Na
11.76Single5ZKPSR274175ZKP-PAF-SR27417
11.76Single6FKDPubChem 1373491836FKD-Rhodopsin-PubChem 137349183
11.76Single6GPSMK08126GPS-CCR2-MK0812
11.76Single6IIVDaltroban6IIV-TXA2-Daltroban
11.76Single6KPFAM120336KPF-CB2-AM12033-Gi1/β1/γ2
11.76Single6XBM25(S)-Epoxycholesterol6XBM-SMO-25(S)-Epoxycholesterol-Gi1/β1/γ2
11.76Single6Z10PubChem 1545855546Z10-Succinate-PubChem 154585554
11.76Single7NA8Ibutamoren7NA8-Ghrelin-Ibutamoren-Gi1/β1/γ2
11.76Single7PP1Selatogrel7PP1-P2Y12-Selatogrel
11.76Single7V3ZCP559407V3Z-CB1-CP55940
11.76Single8IHJAcifran8IHJ-HCA3-Acifran-Gi1/β1/γ2
11.76Single8KEXDCA-3P8KEX-MRGPRX4-DCA-3P
11.76Single8KFYZK-7563268KFY-CCR8-ZK-756326-Gi1/β1/γ2
11.76Single8X9TAP5038X9T-ADGRD1-AP503-chim(NtGi1-Gs)/β1/γ2
11.76Single8ZBEOctreotide8ZBE-SST5-Octreotide-Gi1/β1/γ1
11.76Single9IYAONO-97105319IYA-GPR55-ONO-9710531
11.76Consensusccr2_offOrthosteric Ligand6GPS-CCR2-MK0812
11.76Consensuslipid_offOrthosteric Ligandcannabinoid_off paf_off lpl_off prostanoid_off leukotriene_off
11.54Single6X18GLP-16X18-GLP-1-GLP-1-Gs/β1/γ2
11.54Single7F6HBradykinin7F6H-BK2-Bradykinin-Gq/β1/γ2
11.54Single7F6IKallidin7F6I-BK2-Kallidin-Gq/β1/γ2
11.54Single7LLYOxyntomodulin7LLY-GLP-1-Oxyntomodulin-Gs/β1/γ2
11.54Single7TYWCalcitonin-17TYW-CT (AMY1)-Calcitonin-1-Gs/β1/γ2; RAMP1
11.54Single7X9BNeuropeptide-Y7X9B-Y2-Neuropeptide-Y-Gi1/β1/γ2
11.54Single8HCQEndothelin-18HCQ-ETA-Endothelin-1-chim(NtGi1-Gs-CtGq)/β1/γ2
11.54Single8IA2C5a8IA2-C5a1-C5a-Go/β1/γ2
11.54Single8IODPG-9018IOD-MC5-PG-901-Ca-chim(NtGi1-Gs)/β1/γ2
11.54Single8XVIEndothelin-18XVI-ETA-Endothelin-1-chim(Gs-CtGq)/β1/γ2
11.54Consensuscalcitonin_onOrthosteric Ligandctlike_on
11.54Consensuschemokine_on_gpOrthosteric Ligandccr_on_gp cxcr_on_gp
11.54Consensuseta_onOrthosteric Ligand8HCQ-ETA-Endothelin-1-chim(NtGi1-Gs-CtGq)/β1/γ2
11.54Consensuseta_on_gpOrthosteric Ligand8HCQ-ETA-Endothelin-1-chim(NtGi1-Gs-CtGq)/β1/γ2
11.54Consensusgi_chemokineOrthosteric Ligand6WWZ-CCR6-CCL20-Go/β1/γ2 8HNK-CXCR3-CXCL11-Gi1/β1/γ2 8K3Z-CXCR4-CXCL12-Gi1/β1/γ1 8IC0-CXCR1-CXCL8-Gi1/β1/γ2 6LFM-CXCR2-CXCL8-Gi1/β1/γ2 8KFX-CCR8-LMD-009-Gi1/β1/γ2 7F1Q-CCR5-CCL3-Gi1/β1/γ2 8HNL-CXCR3-PS372424-Gi1/β1/γ2 8KFY-CCR8-ZK-756326-Gi1/β1/γ2 7O7F-CCR5-6P4-CCL5-Gi1/β1/γ1 8U1U-CCR8-CCL1-Gi1/β1/γ2 7VLA-CCR1-CCL15(27-92)-Gi1/β1/γ2 7XA3-CCR2-CCL2-Gi1/β1/γ2
11.54Consensuspac_onOrthosteric Ligandpac1_on
11.54Consensusvpac1_onOrthosteric Ligand8E3Z-VPAC1-VIP-Gs/β1/γ2
11.54Consensusvpac_onOrthosteric Ligandvpac1_on vpac2_on
11.43Single7F16TIP397F16-PTH2-TIP39-Gs/β1/γ2
11.11Single4NTJAZD12834NTJ-P2Y12-AZD1283
11.11Single4PHUFasiglifam4PHU-FFA1-Fasiglifam
11.11Single4XT3CX3CL14XT3-US28-CX3CL1
11.11Single6FJ3PTH6FJ3-PTH1-PTH
11.11Single6GPXMK08126GPX-CCR2-MK0812
11.11Single6KPCAM120336KPC-CB2-AM12033
11.11Single6M9TMisoprostol-FA6M9T-EP3-Misoprostol-FA
11.11Single6NBFLA-PTH Analog6NBF-PTH1-LA-PTH Analog-Gs/β1/γ2
11.11Single6NBILA-PTH Analog6NBI-PTH1-LA-PTH Analog-Gs/β1/γ2
11.11Single7CZ5Somatoliberin7CZ5-GHRH-Somatoliberin-Gs/β1/γ2
11.11Single7D3SSecretin7D3S-Secretin-Secretin-Gs/β1/γ2
11.11Single7KI0Semaglutide7KI0-GLP-1-Semaglutide-Gs/β1/γ2
11.11Single7RA3GIP7RA3-GIP-GIP-chim(NtGi1-Gs)/β1/γ2
11.11Single7VABTirzepatide (non-acylated)7VAB-GIP-Tirzepatide (non-acylated)-chim(NtGi1-Gs)/β1/γ2
11.11Single7W3ZGastrin Releasing Peptide7W3Z-BB2-Gastrin Releasing Peptide-chim(NtGi1L-Gq)/β1/γ2
11.11Single8EJCTAK-8758EJC-FFA1-TAK-875-chim(NtGi1L-Gs-CtGq)/β1/γ2
11.11Single8F0JPramlintide Analogue San458F0J-CT-Pramlintide Analogue San45-Gs/β1/γ2
11.11Single8GD9Rivenprost8GD9-EP4-Rivenprost-Gs/β1/γ2
11.11Single8JISPeptide-158JIS-GLP-1-Peptide-15-chim(NtGi1-Gs)/β1/γ2
11.11Single8WGBVU01550418WGB-mGlu4; mGlu2-Glutamate-VU0155041-Gi3/β1/γ2
11.11Single8X0BVU04244658X0B-mGlu5; mGlu5-Quisqualate-VU0424465
11.11Single8XQFApelin-138XQF-Apelin-Apelin-13-Gi1/β1/γ2
11.11Single8ZVZBW245C8ZVZ-DP1-BW245C-Gs/β1/γ2
11.11Single9B9ZMRI-18679B9Z-CB1-MRI-1867
11.11Single9BLBCagrilintide (non-acylated)9BLB-CT-Cagrilintide (non-acylated)-Gs/β1/γ2
11.11Single9BP3Cagrilintide9BP3-CT (AMY1)-Cagrilintide-Gs/β1/γ2; RAMP1
11.11Single9DQHEP-28259DQH-MRGPRD-EP-2825-chim(NtGi1-Gs-CtGq)/β1/γ2
11.11Single9EE5ONO-25502899EE5-DP1-ONO-2550289
11.11Single9EKHONO-30302979EKH-DP1-ONO-3030297
11.11Single9ERXD9-THC analog9ERX-CB1-D9-THC analog-Gi1/β1/γ2
11.11Single9HC04YI9HC0-mGlu5-4YI
11.11Single9J1Pg1:Ox9J1P-GLP-1-g1:Ox-chim(NtGi1-Gs)/β1/γ2
11.11Single9JKSPubChem 442501769JKS-HCA3-PubChem 44250176-Gi1/β1/γ2
11.11Single9KO4CCL219KO4-CCR7-CCL21-Gi1/β1/γ2
11.11Single9KPFSalicin9KPF-TAS2R16-Salicin-Gi1/β1/γ2
11.11Single9KT6Acifran9KT6-HCA3-Acifran-Gi1/β1/γ2
11.11Consensuscalcitonin_on_gpOrthosteric Ligandctlike_on_gp
11.11Consensuslipid_onOrthosteric Ligandcannabinoid_on ffa_on lpl_on prostanoid_on leukotriene_on
11.11Consensuslipid_on_gpOrthosteric Ligandcannabinoid_on_gp ffa_on_gp lpl_on_gp prostanoid_on_gp leukotriene_on_gp
11.11Consensusvpac1_on_gpOrthosteric Ligand8E3Z-VPAC1-VIP-Gs/β1/γ2
11.11Consensusvpac_on_gpOrthosteric Ligandvpac1_on_gp vpac2_on_gp
10.81Single8F2BPramlintide Analogue San458F2B-CT (AMY3)-Pramlintide Analogue San45-Gs/β1/γ2; RAMP3
10.81Consensuspth_on_gpOrthosteric Ligandpth1_on_gp pth2_on_gp
10.71Single6UVAAdrenomedullin-26UVA-CT Like (AM2)-Adrenomedullin-2-Gs/β1/γ2; RAMP3
10.71Single7DTYGIP7DTY-GIP-GIP-Gs/β1/γ2
10.71Single7F53Alpha-MSH7F53-MC4-α-MSH-Gs/β1/γ2
10.71Single7FIYTirzepatide7FIY-GIP-Tirzepatide-Gs/β1/γ2
10.71Single7S1MExendin-4-D-Ala7S1M-GLP-1-Exendin-4-D-Ala-Gs/β1/γ2
10.71Single7TYNCalcitonin-17TYN-CT-Calcitonin-1-Gs/β1/γ2
10.71Single7VQXPACAP277VQX-VPAC1-PACAP27-Gs/β1/γ2
10.71Single7XATSomatostatin-147XAT-SST2-Somatostatin-14-Gi1/β1/γ2
10.71Single8FU6ZP37808FU6-Glucagon-ZP3780-Gs/β1/γ2
10.71Single9P94PACAP279P94-PAC1-PACAP27-Gs/β1/γ2
10.53Single5TZRMK86665TZR-FFA1-MK8666
10.53Single5XRAAM115425XRA-CB1-AM11542
10.53Single6O3CCholesterol6O3C-SMO-SAG21k-Cholesterol
10.53Single6RZ5Zafirlukast6RZ5-CysLT1-Zafirlukast-Na
10.53Single7F1TCCL37F1T-CCR5-CCL3
10.53Single7F58THIQ7F58-MC4-THIQ-Gs/β1/γ2
10.53Single7FEECP559407FEE-CB1-CP55940-ZCZ011
10.53Single7P2L4YI7P2L-mGlu5-4YI
10.53Single7R0CAVP7R0C-V2-AVP-Arrestin2
10.53Single7TD1LPA7TD1-LPA1-LPA-Gi1/β1/γ2
10.53Single7XAVLanreotide7XAV-SST2-Lanreotide-Gi1/β1/γ2
10.53Single7XOWSulfated Gastrin-(10-17)7XOW-CCKB-Sulfated Gastrin-(10-17)-chim(NtGi1-Gq)/β1/γ2
10.53Single7XWONeurokinin-A7XWO-NK2-Neurokinin-A-chim(NtGi1-Gs-CtGq)/β1/γ2
10.53Single8GUSHU-3088GUS-CB2-HU-308-Gi1/β1/γ2
10.53Single8I9LC3a8I9L-C3aB-C3a-Go/β1/γ2
10.53Single8IUKPGF2-alpha8IUK-FP-alpha-PGF2-α-chim(NtGi1-Gs-CtGq)/β1/γ2
10.53Single8JSRAnamorelin8JSR-Ghrelin-Anamorelin-chim(NtGi1-Gs-CtGq)/β1/γ2
10.53Single8X79MRE-2698X79-I2-MRE-269-Gs/β1/γ2
10.53Single9ASTLymphotactin9AST-XCR1-Lymphotactin-Gi1/β1/γ2
10.53Single9CLWTUG-13759CLW-FFA2-TUG-1375-4-CMTB-chim(NtGi1L-Gs-CtGq)/β1/γ2
10.53Single9E9SPGD29E9S-DP1-PGD2-Gs/β1/γ1
10.53Single9EGOZ85267113509EGO-CB1-Z8526711350-Gi1/β1/γ2
10.53Single9L16CCL219L16-CCR7-CCL21
10.53Single9RHGC4079RHG-FZD7-C407
10.53Consensuscyslt1_offOrthosteric Ligand6RZ5-CysLT1-Zafirlukast-Na 6RZ4-CysLT1-Pranlukast-Na
10.53Consensusffa_onOrthosteric Ligandffa2_on ffa3_on
10.53Consensusffa_on_gpOrthosteric Ligandffa2_on_gp ffa3_on_gp
10.53Consensusgi_ffaOrthosteric Ligand8J21-FFA3-Butyric acid-Gi1/β1/γ2 8J22-FFA2-TUG-1375-Gi1/β1/γ2
10.53Consensusnk2_on_gpOrthosteric Ligand7XWO-NK2-Neurokinin-A-chim(NtGi1-Gs-CtGq)/β1/γ2
10.53Consensusprotein_offOrthosteric Ligandchemokine_off grh_off
10.34Single5VAIGLP-15VAI-GLP-1-GLP-1-Gs/β1/γ2
10.34Single6LMKGlucagon6LMK-Glucagon-Glucagon-Gs/β1/γ2
10.34Single6NBHLA-PTH Analog6NBH-PTH1-LA-PTH Analog-Gs/β1/γ2
10.34Single7TYLAmylin7TYL-CT-Amylin-Gs/β1/γ2
10.34Single7VVJPTHrP(1-36)7VVJ-PTH1-PTHrP(1-36)-Gs/β1/γ2
10.34Single8FLTM-PTH(1-14)8FLT-PTH1-M-PTH(1-14)-Gs/β1/γ2
10.34Single8HAFPTHrP(1-36)8HAF-PTH1-PTHrP(1-36)-chim(NtGi1-Gs)/β1/γ2
10.00Single4N4WSANT-14N4W-SMO-SANT-1
10.00Single5TZYMK8666; AP85TZY-FFA1-MK8666; AP8
10.00Single5X33BIIL2605X33-BLT1-BIIL260
10.00Single6AK3PGE26AK3-EP3-PGE2
10.00Single6C1RPMX536C1R-C5a1-PMX53-Avacopan; Na
10.00Single6IIURamatroban6IIU-TXA2-Ramatroban
10.00Single6KQICP559406KQI-CB1-CP55940-Org27569
10.00Single7F55Bremelanotide7F55-MC4-Bremelanotide-Gs/β1/γ2
10.00Single7T6BS1P7T6B-S1P2-S1P-chim(NtGi1L-G13)/β1/γ2
10.00Single7W0NElabela7W0N-Apelin; Apelin-Elabela-Gi1/β1/γ2
10.00Single7XW5ML1097XW5-TSH-TSH-ML109-Gs/β1/γ2
10.00Single7XW6ML1097XW6-TSH-M22 Fab-ML109-Gs/β1/γ2
10.00Single8GCPPGE28GCP-EP4-PGE2-Gi1/β1/γ2
10.00Single8HK2C3a8HK2-C3aB-C3a-Gi1/β1/γ2
10.00Single8U26Substance-P8U26-NK1-Substance-P-Gs/β1/γ2
10.00Single8Y6WTUG-13758Y6W-FFA2-TUG-1375-4-CMTB-Gi1/β1/γ2
10.00Single9AU0BW245C9AU0-DP1-BW245C-Gs/β1/γ2
10.00Single9CM3TUG-13759CM3-FFA2-TUG-1375-PubChem 118615810-chim(NtGi1L-Gs-CtGq)/β1/γ2
10.00Single9IZHLPA9IZH-LPA1-LPA-chim(NtGi2-G13)/β1/γ2
10.00Consensuscrf1_onOrthosteric Ligand6PB0-CRF1-Urocortin-chim(NtGi1-Gs)/β1/γ2 6P9X-CRF1-Corticoliberin-1-Gs/β1/γ2
10.00Consensuscxcr_onOrthosteric Ligandcxcr3_on cxcr4_on cxcr1_on cxcr2_on
10.00Consensuslipid_offonOrthosteric Ligandlipid_off lipid_on
10.00Consensuslipid_offon_gpOrthosteric Ligandlipid_on_gp lipid_off
9.68Single8F2APramlintide Analogue San3858F2A-CT (AMY3)-Pramlintide Analogue San385-Gs/β1/γ2; RAMP3
9.68Consensusmelanocortin_onOrthosteric Ligandmc1_on mc4_on mc2_on mc3_on mc5_on
9.68Consensusmelanocortin_on_gpOrthosteric Ligandmc1_on_gp mc4_on_gp mc2_on_gp mc3_on_gp mc5_on_gp
9.52Single6KPGAM8416KPG-CB1-AM841-Gi1/β1/γ2
9.52Single7P00Substance-P7P00-NK1-Substance-P-chim(NtGi1-Gs-CtGq)/β1/γ2
9.52Single7PIUSetmelanotide7PIU-MC4-Setmelanotide-Gs/β1/γ2
9.52Single7QVMOxytocin7QVM-OT-Oxytocin-chim(NtGi1-Go-CtGq)/β1/γ2
9.52Single7VVNPTH7VVN-PTH1-PTH-Gs/β1/γ2
9.52Single7X8RBOC57X8R-GLP-1-BOC5-Gs/β1/γ2
9.52Single7YU8ONO-07405567YU8-LPA1-ONO-0740556-Gi1/β1/γ2
9.52Single8HN1Toxin AdTx18HN1-Alpha1A-Toxin AdTx1
9.52Single8WRZAM8418WRZ-CB1-AM841-Arrestin2
9.52Single8ZX4Lysophosphatidylinositol 8ZX4-GPR55-Lysophosphatidylinositol-chim(NtGi1-G13)/β1/γ2
9.52Single9GE3Lysophosphatidylinositol9GE3-GPR55-Lysophosphatidylinositol-chim(NtGi1-G13)/β1/γ2
9.52Single9KV8TLQP219KV8-C3aB-TLQP21-Go/β1/γ2
9.52Single9M1HPGE29M1H-EP1-PGE2-chim(NtGi1-Gs-CtGq)/β1/γ2
9.52Single9UYMChemerin-99UYM-CML2-Chemerin-9-chim(Arrestin3-CtArrestin2)
9.52Consensusnk1_onOrthosteric Ligand7P00-NK1-Substance-P-chim(NtGi1-Gs-CtGq)/β1/γ2
9.52Consensusnk1_on_gpOrthosteric Ligand7P00-NK1-Substance-P-chim(NtGi1-Gs-CtGq)/β1/γ2
9.38Single7V35Peptide-207V35-Glucagon-Peptide-20-Gs/β1/γ2
9.38Single8JIPMEDI03828JIP-GLP-1-MEDI0382-chim(NtGi1-Gs)/β1/γ2
9.38Single8JIRSAR4258998JIR-GLP-1-SAR425899-chim(NtGi1-Gs)/β1/γ2
9.38Single9JR2PTH9JR2-PTH1-PTH-chim(NtGi1L-Gs-CtGq)/β1/γ2
9.38Consensuscrf1_on_gpOrthosteric Ligand6PB0-CRF1-Urocortin-chim(NtGi1-Gs)/β1/γ2 6P9X-CRF1-Corticoliberin-1-Gs/β1/γ2
9.38Consensusglp1_on_gpOrthosteric Ligand7S1M-GLP-1-Exendin-4-D-Ala-Gs/β1/γ2 7X8R-GLP-1-BOC5-Gs/β1/γ2 6X19-GLP-1-CHU-128-Gs/β1/γ2 6X1A-GLP-1-Danuglipron-Gs/β1/γ2 6X18-GLP-1-GLP-1-Gs/β1/γ2 8JIP-GLP-1-MEDI0382-chim(NtGi1-Gs)/β1/γ2 7C2E-GLP-1-PubChem 149050799-Gs/β1/γ2 7KI0-GLP-1-Semaglutide-Gs/β1/γ2 7KI1-GLP-1-Taspoglutide-Gs/β1/γ2 7X8S-GLP-1-WB4-24-Gs/β1/γ2 8JIS-GLP-1-Peptide-15-chim(NtGi1-Gs)/β1/γ2 7VBI-GLP-1-Tirzepatide (non-acylated)-Gs/β1/γ2
9.09Single6C1QPMX536C1Q-C5a1-PMX53-NDT9513727
9.09Single7F9ZGHRP-67F9Z-Ghrelin-GHRP-6-chim(NtGi1-Gs-CtGq)/β1/γ2
9.09Single7RMGSubstance-P7RMG-NK1-Substance-P-chim(Gs-CtGq)/β1/γ2
9.09Single7RMHSubstance-P7RMH-NK1-Substance-P-Gs/β1/γ2
9.09Single7TYYCalcitonin-17TYY-CT (AMY2)-Calcitonin-1-Gs/β1/γ2; RAMP2
9.09Single7XBXCX3CL17XBX-CX3CR1-CX3CL1-Gi1/β1/γ2
9.09Single7Y1FDynorphin7Y1F-κ-Dynorphin-Gi1/β1/γ2
9.09Single8GDAL9026888GDA-EP4-L902688-Gs/β1/γ2
9.09Single8IQ4Carboprost8IQ4-FP-alpha-Carboprost-chim(NtGi1-Gs-CtGq)/β1/γ2
9.09Single8JIUSAR4258998JIU-Glucagon-SAR425899-Gs/β1/γ2
9.09Single9CM7TUG-13759CM7-FFA2-TUG-1375-AZ-1729-Gi1/β1/γ2
9.09Single9JR3PTH9JR3-PTH1-PTH-chim(NtGi1L-Gs-CtGq)/β1/γ2
9.09Single9NS9TUG-13759NS9-FFA2-TUG-1375-PubChem 118615810-Gi1/β1/γ2
9.09Single9WSXEndomorphin9WSX-μ-Endomorphin-Arrestin2
9.09Consensuscxcr4_offOrthosteric Ligand4RWS-CXCR4-vMIP-II 3OE0-CXCR4-CVX15 3OE6-CXCR4-IT1t
9.09Consensuscxcr_on_gpOrthosteric Ligandcxcr3_on_gp cxcr4_on_gp cxcr1_on_gp cxcr2_on_gp
9.09Consensuspth2_onOrthosteric Ligand7F16-PTH2-TIP39-Gs/β1/γ2
8.70Single6X19CHU-1286X19-GLP-1-CHU-128-Gs/β1/γ2
8.70Single7F54Afamelanotide7F54-MC4-Afamelanotide-Gs/β1/γ2
8.70Single7NA7Ghrelin7NA7-Ghrelin-Ghrelin-Gi1/β1/γ2
8.70Single7W2ZGhrelin7W2Z-Ghrelin-Ghrelin-Go/β1/γ2
8.70Single7XMRSomatostatin-147XMR-SST2-Somatostatin-14-Gi1/β1/γ2
8.70Single8IEIPubChem 1347468948IEI-GPR156; GPR156-PubChem 134746894
8.70Single8IEIPubChem 1347468948IEI-GPR156; GPR156-PubChem 134746894
8.70Single8IEPPubChem 1347468948IEP-GPR156; GPR156-PubChem 134746894
8.70Single8IEPPubChem 1347468948IEP-GPR156; GPR156-PubChem 134746894
8.70Single8IZBLysophosphatidylserine (UBL)8IZB-GPR174-Lysophosphatidylserine (UBL)-Gs/β1/γ2
8.70Single8K3ZCXCL128K3Z-CXCR4-CXCL12-Gi1/β1/γ1
8.70Single8KIGSHU91198KIG-MC3-SHU9119-Ca
8.70Single9HB3Mambaquaretin-19HB3-V2-Mambaquaretin-1
8.70Single9MEJGp1209MEJ-CXCR4-Gp120
8.70Single9UYLChemerin-99UYL-CML2-Chemerin-9-Arrestin2
8.70Consensuscxcr4_onOrthosteric Ligand8K3Z-CXCR4-CXCL12-Gi1/β1/γ1
8.70Consensusmc4_onOrthosteric Ligand7AUE-MC4-Setmelanotide-chim(NtGi1L-Gs)/β1/γ2 7F58-MC4-THIQ-Gs/β1/γ2 7F54-MC4-Afamelanotide-Gs/β1/γ2 7F53-MC4-α-MSH-Gs/β1/γ2 7F55-MC4-Bremelanotide-Gs/β1/γ2
8.70Consensusp2y_onOrthosteric Ligandp2y1_on p2y10_on p2y12_on
8.57Consensusmc2_onOrthosteric Ligand8GY7-MC2-Corticotropin-Ca-chim(NtGi1-Gs)/β1/γ2; MRAP1
8.57Consensusmc2_on_gpOrthosteric Ligand8GY7-MC2-Corticotropin-Ca-chim(NtGi1-Gs)/β1/γ2; MRAP1
8.33Single6WHCGlu16 analog of GCG6WHC-Glucagon-Glu16 analog of GCG-Gs/β1/γ2
8.33Single7E14Orforglipron7E14-GLP-1-Orforglipron-PubChem 156022738-Gs/β1/γ2
8.33Single7F1QCCL37F1Q-CCR5-CCL3-Gi1/β1/γ2
8.33Single7PIVAfamelanotide7PIV-MC4-Afamelanotide-Gs/β1/γ2
8.33Single7RMISubstance-P7RMI-NK1-Substance-P-chim(Gs-CtGq)/β1/γ2
8.33Single7SK5CXCL127SK5-ACKR3-CXCL12
8.33Single8F7QBeta-Endorphin8F7Q-μ-β-Endorphin-Gi1/β1/γ2
8.33Single8HQMNPGLY8HQM-GPR132-NPGLY-Gi1/β1/γ2
8.33Single8HVINOX-6-78HVI-GPR132-NOX-6-7-Gi1/β1/γ2
8.33Single8IEBPubChem 1347468948IEB-GPR156; GPR156-PubChem 134746894
8.33Single8IOCGamma-MSH8IOC-MC3-γ-MSH-Ca-chim(NtGi1-Gs)/β1/γ2
8.33Single8JBHSubstance-P8JBH-NK3-Substance-P-chim(NtGi1-Gs-CtGq)/β1/γ2
8.33Single8K6ONeuropeptide-Y8K6O-Y1-Neuropeptide-Y-Gi2/β1/γ1
8.33Single8KH5Lysophosphatidylserine8KH5-GPR174-Lysophosphatidylserine-Gs/β1/γ2
8.33Single8XYDPlatelet Activating Factor8XYD-PAF-Platelet Activating Factor-Gi1/β1/γ2
8.33Single9EAINanobody AT2099EAI-AT1-Losartan-Nanobody AT209
8.33Single9IQRMuscarinic toxin 39IQR-α2a-Muscarinic toxin 3
8.33Single9JKVPubChem 27366909JKV-HCA3-PubChem 2736690-Gi1/β1/γ2
8.33Single9KFIRelaxin-39KFI-RXFP3-Relaxin-3-Gi2/β1/γ2
8.33Single9KV6TLQP219KV6-C3aB-TLQP21-Go/β1/γ2
8.33Consensusmc4_on_gpOrthosteric Ligand7AUE-MC4-Setmelanotide-chim(NtGi1L-Gs)/β1/γ2 7F58-MC4-THIQ-Gs/β1/γ2 7F54-MC4-Afamelanotide-Gs/β1/γ2 7F53-MC4-α-MSH-Gs/β1/γ2 7F55-MC4-Bremelanotide-Gs/β1/γ2
8.33Consensusmc5_onOrthosteric Ligand8INR-MC5-α-MSH-Ca-chim(NtGi1-Gs)/β1/γ2 8IOD-MC5-PG-901-Ca-chim(NtGi1-Gs)/β1/γ2
8.33Consensuspth2_on_gpOrthosteric Ligand7F16-PTH2-TIP39-Gs/β1/γ2
8.33Consensustachykinin_on_gpOrthosteric Ligandnk1_on_gp nk2_on_gp nk3_on_gp
8.00Single6MEOGp160; CD46MEO-CCR5-Gp160; CD4
8.00Single7O7F6P4-CCL57O7F-CCR5-6P4-CCL5-Gi1/β1/γ1
8.00Single7RYCOxytocin7RYC-OT-Oxytocin-chim(NtGi2L-Gs-CtGq)/β1/γ2
8.00Single7XA3CCL27XA3-CCR2-CCL2-Gi1/β1/γ2
8.00Single8K6MNeuropeptide-Y8K6M-Y1-Neuropeptide-Y-Gi2/β1/γ1
8.00Single8W8YGamma-MSH8W8Y-MC3-γ-MSH-Ca-Gs/β1/γ2
8.00Single8YFOAc-LA-PTH Analog8YFO-PTH1-Ac-LA-PTH Analog-chim(NtGi1-Gs)/β1/γ2
8.00Consensusccr2_onOrthosteric Ligand7XA3-CCR2-CCL2-Gi1/β1/γ2
8.00Consensusccr2_on_gpOrthosteric Ligand7XA3-CCR2-CCL2-Gi1/β1/γ2
8.00Consensusccr_onOrthosteric Ligandccr6_on ccr8_on ccr2_on ccr1_on ccr5_on
8.00Consensuscxcr4_on_gpOrthosteric Ligand8K3Z-CXCR4-CXCL12-Gi1/β1/γ1
8.00Consensusnpy1_onOrthosteric Ligand8K6M-Y1-Neuropeptide-Y-Gi2/β1/γ1
8.00Consensusnpy1_on_gpOrthosteric Ligand8K6M-Y1-Neuropeptide-Y-Gi2/β1/γ1
7.69Single3OE8IT1t3OE8-CXCR4-IT1t
7.69Single5WB2CX3CL1.355WB2-US28-CX3CL1.35
7.69Single6METGp160; CD46MET-CCR5-Gp160; CD4
7.69Single7FINPeptide-20; GGL7FIN-GIP-Peptide-20; GGL-Gs/β1/γ2
7.69Single7T10Somatostatin-147T10-SST2-Somatostatin-14-Gi3/β1/γ2
7.69Single7TYIAmylin7TYI-CT-Amylin-Gs/β1/γ2
7.69Single8XZJWN3538XZJ-Apelin; Apelin-WN353-Gi1/β1/γ2
7.69Single8Y02All-trans-Retinal8Y02-OPN1SW-All-trans-Retinal-Gi1/β1/γ2
7.69Single9C2FCa; Ca; Tryptophan; '54149; PO49C2F-CaS; CaS-Ca-Ca; Ca; Tryptophan; '54149; PO4
7.69Single9L0HJR14a9L0H-C3aB-JR14a-Go/β1/γ2
7.69Consensuscrf2_onOrthosteric Ligand7TS0-CRF2-Urocortin-chim(NtGi1L-Go)/β1/γ2
7.69Consensusmc5_on_gpOrthosteric Ligand8INR-MC5-α-MSH-Ca-chim(NtGi1-Gs)/β1/γ2 8IOD-MC5-PG-901-Ca-chim(NtGi1-Gs)/β1/γ2
7.69Consensusp2y_on_gpOrthosteric Ligandp2y1_on_gp p2y10_on_gp p2y12_on_gp
7.69Consensustachykinin_onOrthosteric Ligandnk1_on nk2_on nk3_on
7.41Single7F9YGhrelin7F9Y-Ghrelin-Ghrelin-chim(NtGi1-Gs-CtGq)/β1/γ2
7.41Single7P02Substance-P7P02-NK1-Substance-P-chim(NtGi1-Gs)/β1/γ2
7.41Single7TYHCalcitonin7TYH-CT (AMY2)-Calcitonin-Gs/β1/γ2; RAMP2
7.41Single7Y35Abaloparatide7Y35-PTH1-Abaloparatide-Gs/β1/γ2
7.41Single8YG4LA-PTH Analog8YG4-PTH1-LA-PTH Analog-chim(NtGi1-Gs)/β1/γ2
7.41Consensusccr_on_gpOrthosteric Ligandccr6_on_gp ccr8_on_gp ccr2_on_gp ccr1_on_gp ccr5_on_gp
7.41Consensuschemokine_offOrthosteric Ligandccr_off cxcr_off
7.41Consensuscxcr_offOrthosteric Ligandcxcr3_off cxcr4_off
7.32Single8GY7Corticotropin8GY7-MC2-Corticotropin-Ca-chim(NtGi1-Gs)/β1/γ2; MRAP1
7.14Single3OE6IT1t3OE6-CXCR4-IT1t
7.14Single5UIW5P7-CCL55UIW-CCR5-5P7-CCL5
7.14Single6FK9PubChem 1324730366FK9-Rhodopsin-PubChem 132473036
7.14Single6PWCNeurotensin-(9-13)6PWC-NTS1-Neurotensin-(9-13)-Arrestin2
7.14Single7V6APubChem 98642757V6A-M4-PubChem 9864275-Gi1/β1/γ2
7.14Single8FLRPTHrP(1-36)8FLR-PTH1-PTHrP(1-36)-Gs/β1/γ2
7.14Single8JEFPubChem 113671668JEF-HCA3-PubChem 11367166-Gi1/β1/γ2
7.14Single8RQLFlufenamic acid8RQL-TAS2R14-Flufenamic acid-Flufenamic acid-chim(NtGi1-Gt3)/β1/γ2
7.14Single9BUBCagrilintide9BUB-CT-Cagrilintide-Gs/β1/γ2
7.14Single9JHJC18:0 Ceramide9JHJ-FPR2-ALX-C18:0 Ceramide-Gi1/β1/γ2
7.14Consensusccr5_offOrthosteric Ligand5UIW-CCR5-5P7-CCL5
7.14Consensusccr5_onOrthosteric Ligand7O7F-CCR5-6P4-CCL5-Gi1/β1/γ1 7F1Q-CCR5-CCL3-Gi1/β1/γ2
7.14Consensusccr_offOrthosteric Ligandccr2_off ccr5_off
7.14Consensuscrf2_on_gpOrthosteric Ligand7TS0-CRF2-Urocortin-chim(NtGi1L-Go)/β1/γ2
7.14Consensusctlike_onOrthosteric Ligand6E3Y-CT Like-Calcitonin gene-related peptide-1-Gs/β1/γ2; RAMP1
7.14Consensuspac1_onOrthosteric Ligand8E3X-PAC1-PACAP27-Gs/β1/γ2 6M1H-PAC1-Maxadilan-Gs/β1/γ2
7.14Consensuspac1_on_gpOrthosteric Ligand8E3X-PAC1-PACAP27-Gs/β1/γ2 6M1H-PAC1-Maxadilan-Gs/β1/γ2
7.14Consensussecretin_onOrthosteric Ligand7D3S-Secretin-Secretin-Gs/β1/γ2
6.90Single8HAOPTH8HAO-PTH1-PTH-chim(NtGi1-Gs)/β1/γ2
6.90Single8W8WAlpha-MSH8W8W-MC3-α-MSH-Ca-Gs/β1/γ2
6.90Consensusglp2_onOrthosteric Ligand7D68-GLP-2-GLP-2-Gs/β1/γ2
6.90Consensusglp2_on_gpOrthosteric Ligand7D68-GLP-2-GLP-2-Gs/β1/γ2
6.90Consensusp2y10_on_gpOrthosteric Ligand8KGG-P2Y10-Lysophosphatidylserine (WJS)-chim(NtGi2-G13)/β1/γ2
6.90Consensussecretin_on_gpOrthosteric Ligand7D3S-Secretin-Secretin-Gs/β1/γ2
6.67Single6FK6PubChem 1324730336FK6-Rhodopsin-PubChem 132473033
6.67Single7VVLPTH7VVL-PTH1-PTH-Gs/β1/γ2
6.67Single7XKFDehydroepiandrosterone7XKF-ADGRG2-Dehydroepiandrosterone-Gs/β1/γ2
6.67Single7XP6Strychnine7XP6-TAS2R46-Strychnine-chim(Gs-CtGt3)/β1/γ2
6.67Single8KGGLysophosphatidylserine (WJS)8KGG-P2Y10-Lysophosphatidylserine (WJS)-chim(NtGi2-G13)/β1/γ2
6.67Single8U4RREGN7663-Fab8U4R-CXCR4-REGN7663-Fab
6.67Single8YKDDehydroepiandrosterone8YKD-ADGRG2-Dehydroepiandrosterone-chim(NtGi1-Gs)/β1/γ2
6.67Single8ZX5AM2518ZX5-GPR55-AM251-chim(NtGi1-G13)/β1/γ2
6.67Single9BTWCagrilintide9BTW-CT (AMY3)-Cagrilintide-Gs/β1/γ2; RAMP3
6.67Single9JCPLPC9JCP-GPR4-LPC-chim(NtGi1-Gs-CtGq)/β1/γ2
6.67Consensusctlike_on_gpOrthosteric Ligand6E3Y-CT Like-Calcitonin gene-related peptide-1-Gs/β1/γ2; RAMP1
6.67Consensusgq_nucleotideOrthosteric Ligandgq_p2y
6.67Consensusgq_p2yOrthosteric Ligand7XXH-P2Y1-2MeSADP-chim(NtGi1-G11)/β1/γ2
6.67Consensusgs_melanocortinOrthosteric Ligand7F4H-MC1-Afamelanotide-chim(NtGi1-Gs)/β1/γ2 7F54-MC4-Afamelanotide-Gs/β1/γ2 7F4D-MC1-α-MSH-chim(NtGi1-Gs)/β1/γ2 8INR-MC5-α-MSH-Ca-chim(NtGi1-Gs)/β1/γ2 7F53-MC4-α-MSH-Gs/β1/γ2 7F55-MC4-Bremelanotide-Gs/β1/γ2 8GY7-MC2-Corticotropin-Ca-chim(NtGi1-Gs)/β1/γ2; MRAP1 8IOC-MC3-γ-MSH-Ca-chim(NtGi1-Gs)/β1/γ2 8IOD-MC5-PG-901-Ca-chim(NtGi1-Gs)/β1/γ2 7AUE-MC4-Setmelanotide-chim(NtGi1L-Gs)/β1/γ2 7F4I-MC1-SHU9119-chim(NtGi1-Gs)/β1/γ2 7F58-MC4-THIQ-Gs/β1/γ2
6.67Consensuspth1_onOrthosteric Ligand6NBF-PTH1-LA-PTH Analog-Gs/β1/γ2 8HA0-PTH1-PTH-chim(NtGi1-Gs)/β1/γ2 8HAF-PTH1-PTHrP(1-36)-chim(NtGi1-Gs)/β1/γ2 7Y36-PTH1-PTH-Gs/β1/γ2 7Y35-PTH1-Abaloparatide-Gs/β1/γ2
6.45Single7RBTTirzepatide7RBT-GIP-Tirzepatide-LSN3556672-chim(NtGi1-Gs)/β1/γ2
6.45Single8U1UCCL18U1U-CCR8-CCL1-Gi1/β1/γ2
6.25Single3ODUIT1t3ODU-CXCR4-IT1t
6.25Single4K5YCP-3763954K5Y-CRF1-CP-376395
6.25Single5U09Taranabant5U09-CB1-Taranabant
6.25Single5ZKQABT-4915ZKQ-PAF-ABT-491
6.25Single6FKBPubChem 1324730386FKB-Rhodopsin-PubChem 132473038
6.25Single6RNKNF-56-EJ406RNK-Succinate-NF-56-EJ40
6.25Single7F8YDevazepide7F8Y-CCKA-Devazepide
6.25Single7LCJDanuglipron7LCJ-GLP-1-Danuglipron
6.25Single7S8PMS471347S8P-MRGPRX4-MS47134-chim(NtGi2L-Gs-CtGq)/β1/γ2
6.25Single7VBHPeptide-207VBH-GLP-1-Peptide-20-Gs/β1/γ2
6.25Single7VDLCortistatin-147VDL-MRGPRX2-Cortistatin-14-Gi1/β1/γ2
6.25Single7X2CFenoldopam7X2C-D1-Fenoldopam-Fenoldopam-Gs/β1/γ2
6.25Single8H8JLodoxamide8H8J-GPR35-Lodoxamide-Ca-chim(NtGi1L-G13)/β1/γ2
6.25Single8T3VDoconexent8T3V-FFA1-Doconexent-chim(NtGi2L-Gs-CtGq)/β1/γ2
6.25Single8U4PAMD31008U4P-CXCR4-AMD3100-Gi1/β1/γ2
6.25Single8U8FPalmitic Acid8U8F-GPR3-Palmitic Acid-Gs/β1/γ2
6.25Single8YYWAlpha-ketoglutarate8YYW-Oxoglutarate-α-ketoglutarate-α-ketoglutarate-chim(Gi1-CtGq)/β1/γ2
6.25Single9KO2CCL199KO2-CCR7-CCL19-Gi1/β1
6.25Single9KO6CCL199KO6-CCR7-CCL19
6.25Consensusglp1_onOrthosteric Ligand7S1M-GLP-1-Exendin-4-D-Ala-Gs/β1/γ2 7X8R-GLP-1-BOC5-Gs/β1/γ2 6X19-GLP-1-CHU-128-Gs/β1/γ2 6X1A-GLP-1-Danuglipron-Gs/β1/γ2 6X18-GLP-1-GLP-1-Gs/β1/γ2 8JIP-GLP-1-MEDI0382-chim(NtGi1-Gs)/β1/γ2 7C2E-GLP-1-PubChem 149050799-Gs/β1/γ2 7KI0-GLP-1-Semaglutide-Gs/β1/γ2 7KI1-GLP-1-Taspoglutide-Gs/β1/γ2 7X8S-GLP-1-WB4-24-Gs/β1/γ2 8JIS-GLP-1-Peptide-15-chim(NtGi1-Gs)/β1/γ2 7VBI-GLP-1-Tirzepatide (non-acylated)-Gs/β1/γ2
6.25Consensusp2y1_onOrthosteric Ligand7XXH-P2Y1-2MeSADP-chim(NtGi1-G11)/β1/γ2
6.25Consensuspaf_offOrthosteric Ligand5ZKQ-PAF-ABT-491
6.06Consensuspth1_on_gpOrthosteric Ligand6NBF-PTH1-LA-PTH Analog-Gs/β1/γ2 8HA0-PTH1-PTH-chim(NtGi1-Gs)/β1/γ2 8HAF-PTH1-PTHrP(1-36)-chim(NtGi1-Gs)/β1/γ2 7Y36-PTH1-PTH-Gs/β1/γ2 7Y35-PTH1-Abaloparatide-Gs/β1/γ2
5.88Single6FK8PubChem 1324730356FK8-Rhodopsin-PubChem 132473035
5.88Single6PT0WIN 55212-26PT0-CB2-WIN 55212-2-Gi1/β1/γ2
5.88Single6U1NLY21196206U1N-M2-LY2119620-Arrestin2
5.88Single7C2EPubChem 1490507997C2E-GLP-1-PubChem 149050799-Gs/β1/γ2
5.88Single7TYOCalcitonin7TYO-CT-Calcitonin-Gs/β1/γ2
5.88Single7UTZDPPC7UTZ-TSH-TSH-DPPC-Gs/β1/γ2
5.88Single7XOVSR1461317XOV-CCKA-SR146131-Gs/β1/γ2
5.88Single7XXH2MeSADP7XXH-P2Y1-2MeSADP-chim(NtGi1-G11)/β1/γ2
5.88Single7YK6PubChem 1383196747YK6-RXFP4-PubChem 138319674-Gi2/β1/γ2
5.88Single8IYXYL-3658IYX-GPR34-YL-365
5.88Single8JD6VU03647708JD6-mGlu4; mGlu4-Phosphoserine-VU0364770-Gi3/β1/γ2
5.88Single8JITMEDI03828JIT-Glucagon-MEDI0382-Gs/β1/γ2
5.88Single8K4NPubChem 1687197658K4N-GPR34-PubChem 168719765-Gi1/β1/γ2
5.88Single8K4SDCA-3P8K4S-MRGPRX4-DCA-3P-chim(NtGi1L-Gs-CtGq)/β1/γ2
5.88Single8ZPMAMD0708ZPM-CXCR4-AMD070
5.88Single8ZPNAMD31008ZPN-CXCR4-AMD3100
5.88Single9IXXLTD49IXX-CysLT2-LTD4-chim(NtGi1-Gs-CtGq)/β1/γ2
5.88Single9K0KUTP9K0K-P2Y4-UTP-chim(NtGi1-Gs-CtGq)/β1/γ2
5.88Single9K0XATP9K0X-P2Y2-ATP-chim(NtGi1-Gs-CtGq)/β1/γ2
5.88Single9K20ATP9K20-P2Y2-ATP-chim(NtGi1-Go)/β1/γ2
5.88Single9U80Conivaptan9U80-V2-Conivaptan
5.88Consensusp2y1_on_gpOrthosteric Ligand7XXH-P2Y1-2MeSADP-chim(NtGi1-G11)/β1/γ2
5.56Single4Z9GCP-3763954Z9G-CRF1-CP-376395
5.56Single6FK7PubChem 1324730346FK7-Rhodopsin-PubChem 132473034
5.56Single6FKCPubChem 1324730396FKC-Rhodopsin-PubChem 132473039
5.56Single6X1ADanuglipron6X1A-GLP-1-Danuglipron-Gs/β1/γ2
5.56Single7FIHOrg435537FIH-LH-hCG-Org43553-chim(NtGi1-Gs)/β1/γ2
5.56Single7LCIDanuglipron7LCI-GLP-1-Danuglipron-Gs/β1/γ2
5.56Single7LCKDanuglipron7LCK-GLP-1-Danuglipron
5.56Single7YK7DC5910537YK7-RXFP4-DC591053-Gi2/β1/γ2
5.56Single7YU4ONO-07405567YU4-LPA1-ONO-0740556
5.56Single7YXAONO-54306087YXA-S1P5-ONO-5430608
5.56Single8EJKTAK-8758EJK-FFA1-TAK-875-chim(NtGi1L-Gs-CtGq)/β1/γ2
5.56Single8GCML-9026888GCM-EP4-L-902688-Gi1/β1/γ2
5.56Single8GTIBMK-C2058GTI-CRF1-BMK-C205
5.56Single8XBGS3E-Lysophosphatidylserine 8XBG-GPR34-S3E-Lysophosphatidylserine
5.56Single8XJLPGF2-alpha8XJL-FP-alpha-PGF2-α-chim(NtGi2-Gs-CtGq)/β1/γ2
5.56Single8ZYYNeurotensin-(8-13)8ZYY-NTS1-Neurotensin-(8-13)-SBI-553-Arrestin2
5.56Single9JQZGrapiprant 9JQZ-EP4-Grapiprant
5.56Single9METGp120; CD49MET-CXCR4-Gp120; CD4
5.56Consensusalicarboxylic_offOrthosteric Ligandsuccinate_off
5.56Consensussuccinate_offOrthosteric Ligand6RNK-Succinate-NF-56-EJ40 6Z10-Succinate-PubChem 154585554
5.26Single5T1ABMS-6815T1A-CCR2-BMS-681-PubChem 12093170
5.26Single5YHLPubChem 1351213525YHL-EP4-PubChem 135121352
5.26Single5YWYONO-AE3-2085YWY-EP4-ONO-AE3-208
5.26Single6LFMCXCL86LFM-CXCR2-CXCL8-Gi1/β1/γ2
5.26Single6RZ4Pranlukast6RZ4-CysLT1-Pranlukast-Na
5.26Single6XBKCholesterol6XBK-SMO-Cholesterol-Gi1/β1/γ2
5.26Single6Z4QSR142948A6Z4Q-NTS1-SR142948A
5.26Single7VV0PAMP-127VV0-MRGPRX2-PAMP-12
5.26Single7VV4Cortistatin-147VV4-MRGPRX2-Cortistatin-14
5.26Single7YU3ONO-07405567YU3-LPA1-ONO-0740556-Gi1/β1/γ2
5.26Single7YU6ONO-07405567YU6-LPA1-ONO-0740556-Gi1/β1/γ2
5.26Single8GTGBMK-I1528GTG-CRF1-BMK-I152
5.26Single8IZ4Lysophosphatidylserine (TJR)8IZ4-GPR34-Lysophosphatidylserine (TJR)-Gi1/β1/γ2
5.26Single8T6JCDPPB8T6J-mGlu5; mGlu5-CDPPB
5.26Single8T6JCDPPB8T6J-mGlu5; mGlu5-CDPPB
5.26Single8XQPCholesterol8XQP-TAS2R14-Cholesterol-Aristolochic acid A-Gt3/β1/γ1
5.26Single8ZYTNeurotensin-(8-13)8ZYT-NTS1-Neurotensin-(8-13)-SBI-553-Arrestin2
5.26Single9EAHNanobody AT2099EAH-AT1-Olmesartan-Nanobody AT209
5.26Single9GE2ML1849GE2-GPR55-ML184-chim(NtGi1-G13)/β1/γ2
5.26Consensuscxcr2_on_gpOrthosteric Ligand6LFM-CXCR2-CXCL8-Gi1/β1/γ2
5.26Consensuscyslt_offOrthosteric Ligandcyslt2_off cyslt1_off
5.26Consensusep4_offOrthosteric Ligand5YWY-EP4-ONO-AE3-208 5YHL-EP4-PubChem 135121352
5.26Consensusep_offOrthosteric Ligandep4_off
5.26Consensuslpa1_onOrthosteric Ligand7TD1-LPA1-LPA-Gi1/β1/γ2 7YU3-LPA1-ONO-0740556-Gi1/β1/γ2
5.26Consensuslpa1_on_gpOrthosteric Ligand7TD1-LPA1-LPA-Gi1/β1/γ2 7YU3-LPA1-ONO-0740556-Gi1/β1/γ2
5.26Consensusrxfp4_onOrthosteric Ligand7YK7-RXFP4-DC591053-Gi2/β1/γ2 7YJ4-RXFP4-INSL5-Gi2/β1/γ2 7YK6-RXFP4-PubChem 138319674-Gi2/β1/γ2
5.26Consensusrxfp4_on_gpOrthosteric Ligand7YK7-RXFP4-DC591053-Gi2/β1/γ2 7YJ4-RXFP4-INSL5-Gi2/β1/γ2 7YK6-RXFP4-PubChem 138319674-Gi2/β1/γ2
5.26Consensuss1p5_offOrthosteric Ligand7YXA-S1P5-ONO-5430608
5.00Single6OS1TRV0266OS1-AT1-TRV026
5.00Single7S8MCortistatin-147S8M-MRGPRX2-Cortistatin-14-Gi1/β1/γ2
5.00Single7XBDGalanin7XBD-GAL2-Galanin-chim(NtGi2L-Gs-CtGq)/β1/γ2
5.00Single7XJLSpexin7XJL-GAL2-Spexin-chim(NtGi2L-Gs-CtGq)/β1/γ2
5.00Single7Y67C089 peptide7Y67-C5a1-C089 peptide-Gi1/β1/γ2
5.00Single7YU5ONO-07405567YU5-LPA1-ONO-0740556-Gi1/β1/γ2
5.00Single7YU7ONO-07405567YU7-LPA1-ONO-0740556-Gi1/β1/γ2
5.00Single8FN1Neurotensin-(8-13)8FN1-NTS1-Neurotensin-(8-13)-chim(NtGi1-Go)/β1/γ2
5.00Single8GDBPGE28GDB-EP4-PGE2-Gs/β1/γ2
5.00Single8HQCC5a8HQC-C5a1-C5a-Go/β1/γ2
5.00Single8JBGNeurokinin-B8JBG-NK3-Neurokinin-B-chim(NtGi1-Gs-CtGq)/β1/γ2
5.00Single8JD5JNJ-40411813; ADX881788JD5-mGlu2; mGlu4-Glutamate-JNJ-40411813; ADX88178-Gi1/β1/γ2
5.00Single8WJXADP8WJX-P2Y1-ADP-chim(Gs-CtGq)/β1/γ2
5.00Single8XBIPubChem 1626566368XBI-GPR34-PubChem 162656636
5.00Single8XQTCholesterol8XQT-TAS2R14-Cholesterol-Gi1/β1/γ1
5.00Single8ZW0PGD28ZW0-DP1-PGD2-Gs/β1/γ2
5.00Single9ITELPA9ITE-LPA6-LPA-chim(NtGi2-G13)/β1/γ2
5.00Single9IZGLPA9IZG-LPA1-LPA-chim(NtGi1-Gs-CtGq)/β1/γ2
5.00Single9MENGp120 (V3 loop)9MEN-CXCR4-Gp120 (V3 loop)
5.00Single9YDVMRS29059YDV-P2Y14-MRS2905-Gi1/β1/γ2
5.00Consensusgi_lpaOrthosteric Ligand7TD1-LPA1-LPA-Gi1/β1/γ2 7YU3-LPA1-ONO-0740556-Gi1/β1/γ2
5.00Consensusgi_relaxinOrthosteric Ligand7YK7-RXFP4-DC591053-Gi2/β1/γ2 7YJ4-RXFP4-INSL5-Gi2/β1/γ2 7YK6-RXFP4-PubChem 138319674-Gi2/β1/γ2
5.00Consensuslpa_onOrthosteric Ligandlpa1_on
5.00Consensuslpa_on_gpOrthosteric Ligandlpa1_on_gp
5.00Consensusp2y12_onOrthosteric Ligand7XXI-P2Y12-2MeSADP-Gi2/β1/γ2
5.00Consensusrelaxin_onOrthosteric Ligandrxfp4_on
5.00Consensusrelaxin_on_gpOrthosteric Ligandrxfp4_on_gp
4.76Single3VW7Vorapaxar; Na3VW7-PAR1-Vorapaxar; Na
4.76Single4PXZ2MeSADP4PXZ-P2Y12-2MeSADP
4.76Single4PY02MeSATP4PY0-P2Y12-2MeSATP
4.76Single4XEENeurotensin-(8-13)4XEE-NTS1-Neurotensin-(8-13)
4.76Single4XESNeurotensin-(8-13)4XES-NTS1-Neurotensin-(8-13)
4.76Single6OS2TRV0266OS2-AT1-TRV026
4.76Single6RZ7ONO-25703666RZ7-CysLT2-ONO-2570366
4.76Single6XOXOrforglipron6XOX-GLP-1-Orforglipron-chim(NtGi1-Gs)/β1/γ2
4.76Single6YVRNeurotensin-(6-13)6YVR-NTS1-Neurotensin-(6-13)
4.76Single7L0SNeurotensin-(8-13)7L0S-NTS1-Neurotensin-(8-13)-Gi1/β1/γ1
4.76Single7XXI2MeSADP7XXI-P2Y12-2MeSADP-Gi2/β1/γ2
4.76Single8GTMBMK-C2038GTM-CRF1-BMK-C203
4.76Single8JPCNeurotensin-(8-13)8JPC-NTS1-Neurotensin-(8-13)-SBI-553; GDP; Mg-Gq; GRK2
4.76Single8WRBLysophosphatidylserine (UBL)8WRB-GPR34-Lysophosphatidylserine (UBL)-Gi1/β1/γ2
4.76Single8XQNCholesterol8XQN-TAS2R14-Cholesterol-Aristolochic acid A-Gi1/β1/γ1
4.76Single8XQSCholesterol8XQS-TAS2R14-Cholesterol-Flufenamic acid-Gi1/β1/γ1
4.76Single9BJKPubChem 1716420669BJK-μ-Naloxone-PubChem 171642066
4.76Single9ECJS-geranylgeranyl-L-glutathione9ECJ-P2Y8-S-geranylgeranyl-L-glutathione-G13/β1/γ2
4.76Single9YDUUDP-Glucose9YDU-P2Y14-UDP-Glucose-Gi1/β1/γ2
4.76Consensusgalanin_onOrthosteric Ligandgal2_on gal1_on
4.76Consensusgalanin_on_gpOrthosteric Ligandgal2_on_gp gal1_on_gp
4.76Consensusgi_p2yOrthosteric Ligand7XXI-P2Y12-2MeSADP-Gi2/β1/γ2
4.76Consensusp2y12_on_gpOrthosteric Ligand7XXI-P2Y12-2MeSADP-Gi2/β1/γ2
4.55Single4BUONeurotensin-(8-13)4BUO-NTS1-Neurotensin-(8-13)
4.55Single6M1HMaxadilan6M1H-PAC1-Maxadilan-Gs/β1/γ2
4.55Single6RZ9ONO-27703726RZ9-CysLT2-ONO-2770372
4.55Single7CX4Evatanepag7CX4-EP2-Evatanepag-Gs/β1/γ2
4.55Single7D7MPGE27D7M-EP4-PGE2-Gs/β1/γ1
4.55Single8FN0Neurotensin-(8-13)8FN0-NTS1-Neurotensin-(8-13)-SBI-553-chim(NtGi1-Go)/β1/γ2
4.55Single8K4OCXCL18K4O-KSHV-CXCL1-Gi1/β1/γ1
4.55Single8XBES3E-Lysophosphatidylserine 8XBE-GPR34-S3E-Lysophosphatidylserine-Gi1/β1/γ1
4.55Single9J0BUDP-Glucose9J0B-P2Y14-UDP-Glucose-Gi1/β1/γ2
4.55Single9KWXC5a-des-Arg9KWX-C5a1-C5a-des-Arg-Go/β1/γ2
4.55Single9UYHChemerin-99UYH-CML2-Chemerin-9-Arrestin2
4.55Consensuscyslt2_offOrthosteric Ligand6RZ7-CysLT2-ONO-2570366 6RZ8-CysLT2-ONO-2080365 6RZ9-CysLT2-ONO-2770372
4.55Consensusgal2_onOrthosteric Ligand7WQ4-GAL2-Galanin-chim(NtGi1-Gs-CtGq)/β1/γ2 7XJL-GAL2-Spexin-chim(NtGi2L-Gs-CtGq)/β1/γ2
4.55Consensusgal2_on_gpOrthosteric Ligand7WQ4-GAL2-Galanin-chim(NtGi1-Gs-CtGq)/β1/γ2 7XJL-GAL2-Spexin-chim(NtGi2L-Gs-CtGq)/β1/γ2
4.35Single5TZYMK8666; AP85TZY-FFA1-MK8666; AP8
4.35Single5VBLAMG3054 5VBL-Apelin-AMG3054
4.35Single6KNMJN241-96KNM-Apelin-JN241-9
4.35Single6RZ6ONO-25703666RZ6-CysLT2-ONO-2570366
4.35Single7AUESetmelanotide7AUE-MC4-Setmelanotide-chim(NtGi1L-Gs)/β1/γ2
4.35Single7CX2PGE27CX2-EP2-PGE2-Gs/β1/γ2
4.35Single7RKNCX3CL17RKN-US28-CX3CL1-Gi1/β1/γ2
4.35Single7S8LCortistatin-147S8L-MRGPRX2-Cortistatin-14-chim(NtGi2L-Gs-CtGq)/β1/γ2
4.35Single7X8SWB4-247X8S-GLP-1-WB4-24-Gs/β1/γ2
4.35Single8SAILysophosphatidylserine (S12)8SAI-GPR34-Lysophosphatidylserine (S12)-Gi1/β1/γ2
4.35Single8XQJJN2418XQJ-Apelin; Apelin-JN241
4.35Single8XQLCholesterol8XQL-TAS2R14-Cholesterol-Aristolochic acid A-Gt3/β1/γ1
4.35Single8XQOCholesterol8XQO-TAS2R14-Cholesterol-Aristolochic acid A-Gi1/β1/γ1
4.35Single9EAJNanobody AT2099EAJ-AT1-Nanobody AT209
4.35Single9ITBLPA9ITB-LPA6-LPA-chim(NtGi1-Gs-CtGq)/β1/γ2
4.35Single9JH6C20:0 Ceramide9JH6-CysLT2-C20:0 Ceramide-chim(NtGi1-Gs-CtGq)/β1/γ2
4.17Single6RZ8ONO-20803656RZ8-CysLT2-ONO-2080365
4.17Single7CX3Taprenepag7CX3-EP2-Taprenepag-Gs/β1/γ2
4.17Single7L0RNeurotensin-(8-13)7L0R-NTS1-Neurotensin-(8-13)-Gi1/β1/γ1
4.17Single7W53Neuromedin-U-257W53-NMUR1-Neuromedin-U-25-chim(NtGi1-Gs-CtGq)/β1/γ2
4.17Single7W56Neuromedin-S7W56-NMUR1-Neuromedin-S-chim(NtGi1-Gs-CtGq)/β1/γ2
4.17Single8INRAlpha-MSH8INR-MC5-α-MSH-Ca-chim(NtGi1-Gs)/β1/γ2
4.17Single8JIQPeptide-158JIQ-Glucagon-Peptide-15-Gs/β1/γ2
4.17Single8U4OCXCL128U4O-CXCR4-CXCL12-Gi1/β1/γ2
4.17Single8XBHPubChem 1626566368XBH-GPR34-PubChem 162656636-Gi1/β1/γ2
4.17Single9BUECagrilintide9BUE-CT-Cagrilintide-Gs/β1/γ2
4.17Single9J0IUDP-Glucuronic acid9J0I-P2Y14-UDP-Glucuronic acid-Gi1/β1/γ2
4.17Consensuschemokine_onOrthosteric Ligandccr_on cxcr_on
4.17Consensusnmur1_on_gpOrthosteric Ligand7W53-NMUR1-Neuromedin-U-25-chim(NtGi1-Gs-CtGq)/β1/γ2
4.00Single7C6A(Sar1,Ile8)-Angiotensin II7C6A-AT2-(Sar1,Ile8)-Angiotensin II
4.00Single8IBVMotilin8IBV-Motilin-Motilin-chim(NtGi1-Gs-CtGq)/β1/γ2
4.00Single9J0FNADH9J0F-P2Y14-NADH-Gi1/β1/γ2
3.85Single9B5YLA-PTH Analog9B5Y-PTH1-LA-PTH Analog-chim(NtGi1-Gq)/β1/γ2
3.85Single9IVMGLP-1 (Truncated)9IVM-GLP-1-GLP-1 (Truncated)-LSN3318839-chim(NtGi1-Gs)/β2/γ2
3.70Single6NIYCalcitonin-16NIY-CT-Calcitonin-1-Gs/β1/γ2
3.70Single7W57Neuromedin-S7W57-NMUR2-Neuromedin-S-chim(NtGi1-Gs-CtGq)/β1/γ2
3.57Single5YQZNNC17025YQZ-Glucagon-NNC1702
3.57Single7VL9CCL15(26-92)7VL9-CCR1-CCL15(26-92)-Gi1/β1/γ2
3.57Consensusp2y10_onOrthosteric Ligand8KGG-P2Y10-Lysophosphatidylserine (WJS)-chim(NtGi2-G13)/β1/γ2
3.45Single7SK3CXCL127SK3-ACKR3-CXCL12
3.45Single7SK4CXCL12_LRHQ7SK4-ACKR3-CXCL12_LRHQ
3.33Single5NX2GLP-1 (Truncated)5NX2-GLP-1-GLP-1 (Truncated)
3.33Single7VVKPTH7VVK-PTH1-PTH-Gs/β1/γ2
3.33Single8W8XBeta-MSH8W8X-MC3-β-MSH-Ca-Gs/β1/γ2
3.23Single9BQ3Cagrilintide9BQ3-CT (AMY2)-Cagrilintide-Gs/β1/γ2; RAMP2
3.23Consensusvpac2_onOrthosteric Ligand7VQX-VPAC1-PACAP27-Gs/β1/γ2
3.23Consensusvpac2_on_gpOrthosteric Ligand7VQX-VPAC1-PACAP27-Gs/β1/γ2
3.12Consensusgip_onOrthosteric Ligand7FIN-GIP-Peptide-20; GGL-Gs/β1/γ2 7FIY-GIP-Tirzepatide-Gs/β1/γ2 7DTY-GIP-GIP-Gs/β1/γ2
3.12Consensusgip_on_gpOrthosteric Ligand7FIN-GIP-Peptide-20; GGL-Gs/β1/γ2 7FIY-GIP-Tirzepatide-Gs/β1/γ2 7DTY-GIP-GIP-Gs/β1/γ2
3.03Single7SK6CXCL12_LRHQ7SK6-ACKR3-CXCL12_LRHQ
2.78Consensusgluc_onOrthosteric Ligand6LMK-Glucagon-Glucagon-Gs/β1/γ2 8JIT-Glucagon-MEDI0382-Gs/β1/γ2 7V35-Glucagon-Peptide-20-Gs/β1/γ2
2.70Consensusgluc_on_gpOrthosteric Ligand6LMK-Glucagon-Glucagon-Gs/β1/γ2 8JIT-Glucagon-MEDI0382-Gs/β1/γ2 7V35-Glucagon-Peptide-20-Gs/β1/γ2

PDB Summary
PDB 9AS2
Class A
SubFamily Amine
Type 5-Hydroxytryptamine
SubType 5-HT2A
Species Homo Sapiens
Ligand DMT
Other Ligand(s) -
Protein Partners chim(NtGi1-Gs-CtGq)/Beta1/Gamma2
PDB Resolution 3.21
Date 2025-04-02
D.O.I. doi.org/10.1038/s41467-025-57956-7
Net Summary
Imin 3.01
Number of Linked Nodes 802
Number of Links 951
Number of Hubs 152
Number of Links mediated by Hubs 565
Number of Communities 28
Number of Nodes involved in Communities 226
Number of Links involved in Communities 320
Path Summary
Number Of Nodes in MetaPath 105
Number Of Links MetaPath 104
Number of Shortest Paths 2854739
Length Of Smallest Path 3
Average Path Length 49.8343
Length of Longest Path 84
Minimum Path Strength 1.34
Average Path Strength 6.18478
Maximum Path Strength 29.015
Minimum Path Correlation 0.7
Average Path Correlation 0.990651
Maximum Path Correlation 1
Minimum % Of Corr. Nodes 2.22222
Average % Of Corr. Nodes 33.2135
Maximum % Of Corr. Nodes 100
Minimum Path Hubs % 0
Average Path Hubs % 45.2795
Maximum Path Hubs % 100
AnnotationTypeLinks
Gene OntologyMolecular Function• protein binding   • binding   • enzyme binding   • GTPase binding   • protein-containing complex binding   • pyrophosphatase activity   • GTPase activity   • ribonucleoside triphosphate phosphatase activity   • hydrolase activity, acting on acid anhydrides, in phosphorus-containing anhydrides   • hydrolase activity   • hydrolase activity, acting on acid anhydrides   • catalytic activity   • signaling receptor complex adaptor activity   • protein-macromolecule adaptor activity   • molecular adaptor activity   • signaling adaptor activity   • multicellular organismal process   • system process   • sensory perception of chemical stimulus   • sensory perception   • nervous system process   • sensory perception of taste   • developmental process   • sensory organ development   • eye development   • animal organ development   • retina development in camera-type eye   • visual system development   • multicellular organism development   • camera-type eye development
Gene OntologyBiological Process• multicellular organismal process   • system process   • sensory perception of chemical stimulus   • sensory perception   • nervous system process   • sensory perception of taste   • developmental process   • sensory organ development   • eye development   • animal organ development   • retina development in camera-type eye   • visual system development   • multicellular organism development   • camera-type eye development   • anatomical structure development   • sensory system development   • system development   • cell population proliferation   • cellular process   • cellular response to stimulus   • regulation of biological process   • regulation of cellular process   • response to stimulus   • signaling   • biological regulation   • signal transduction   • cell communication   • response to ketone   • response to prostaglandin   • response to lipid   • response to endogenous stimulus   • response to alcohol   • cellular response to prostaglandin stimulus   • response to oxygen-containing compound   • cellular response to oxygen-containing compound   • cellular response to endogenous stimulus   • cellular response to prostaglandin E stimulus   • cellular response to chemical stimulus   • cellular response to alcohol   • response to hormone   • response to chemical   • cellular response to lipid   • response to prostaglandin E   • cellular response to ketone   • cellular response to hormone stimulus   • small GTPase-mediated signal transduction   • Ras protein signal transduction   • intracellular signal transduction   • intracellular signaling cassette   • phospholipase C-activating G protein-coupled receptor signaling pathway   • G protein-coupled receptor signaling pathway   • cellular response to nitrogen compound   • response to dopamine   • cellular response to dopamine   • response to monoamine   • response to catecholamine   • adenylate cyclase-activating dopamine receptor signaling pathway   • cellular response to catecholamine stimulus   • G protein-coupled dopamine receptor signaling pathway   • response to nitrogen compound   • adenylate cyclase-activating G protein-coupled receptor signaling pathway   • cellular response to monoamine stimulus   • adenylate cyclase-modulating G protein-coupled receptor signaling pathway   • synaptic signaling   • cellular response to acetylcholine   • cell-cell signaling   • acetylcholine receptor signaling pathway   • postsynaptic signal transduction   • G protein-coupled acetylcholine receptor signaling pathway   • response to acetylcholine   • cellular anatomical structure   • membrane   • protein-containing complex   • extrinsic component of plasma membrane   • catalytic complex   • plasma membrane protein complex   • cytoplasmic side of membrane   • plasma membrane   • membrane protein complex   • heterotrimeric G-protein complex   • side of membrane   • cell periphery   • cytoplasmic side of plasma membrane   • GTPase complex
Gene OntologyCellular Component• cellular anatomical structure   • membrane   • protein-containing complex   • extrinsic component of plasma membrane   • catalytic complex   • plasma membrane protein complex   • cytoplasmic side of membrane   • plasma membrane   • membrane protein complex   • heterotrimeric G-protein complex   • side of membrane   • cell periphery   • cytoplasmic side of plasma membrane   • GTPase complex   • extrinsic component of membrane   • extrinsic component of cytoplasmic side of plasma membrane   • extracellular exosome   • membrane-bounded organelle   • extracellular vesicle   • extracellular organelle   • extracellular region   • organelle   • extracellular space   • vesicle   • extracellular membrane-bounded organelle   • non-motile cilium   • 9+0 non-motile cilium   • cilium   • neuron projection   • photoreceptor disc membrane   • photoreceptor outer segment   • plasma membrane bounded cell projection   • cell projection   • photoreceptor cell cilium   • organelle membrane   • intracellular anatomical structure   • cytoplasm   • cytosol   • vacuolar membrane   • lytic vacuole   • vacuole   • intracellular membrane-bounded organelle   • intracellular organelle   • lytic vacuole membrane   • bounding membrane of organelle   • lysosomal membrane   • lysosome   • synapse   • cell junction   • protein binding   • binding   • G-protein beta-subunit binding   • fibroblast proliferation   • cell population proliferation   • cellular process   • cellular response to nitrogen compound   • cellular response to stimulus   • response to dopamine   • regulation of cellular process   • response to stimulus   • signaling   • cellular response to dopamine   • response to monoamine   • cell communication   • response to catecholamine   • adenylate cyclase-activating dopamine receptor signaling pathway   • cellular response to catecholamine stimulus   • signal transduction   • regulation of biological process   • G protein-coupled dopamine receptor signaling pathway   • biological regulation   • response to oxygen-containing compound   • response to nitrogen compound   • adenylate cyclase-activating G protein-coupled receptor signaling pathway   • cellular response to oxygen-containing compound   • cellular response to chemical stimulus   • cellular response to monoamine stimulus   • response to chemical   • adenylate cyclase-modulating G protein-coupled receptor signaling pathway   • G protein-coupled receptor signaling pathway   • response to ketone   • response to prostaglandin   • response to lipid   • response to endogenous stimulus   • response to alcohol   • cellular response to prostaglandin stimulus   • cellular response to endogenous stimulus   • cellular response to prostaglandin E stimulus   • cellular response to alcohol   • response to hormone   • cellular response to lipid   • response to prostaglandin E   • cellular response to ketone   • cellular response to hormone stimulus   • protein tyrosine kinase activator activity   • enzyme regulator activity   • kinase activator activity   • enzyme activator activity   • molecular function activator activity   • molecular function regulator activity   • protein kinase activator activity   • protein kinase regulator activity   • kinase regulator activity   • neurotransmitter receptor activity   • molecular transducer activity   • signaling receptor activity   • serotonin receptor activity   • transmembrane signaling receptor activity   • G protein-coupled amine receptor activity   • G protein-coupled serotonin receptor activity   • G protein-coupled receptor activity   • Gq/11-coupled serotonin receptor activity   • protein-containing complex binding   • identical protein binding   • cation binding   • ion binding   • serotonin binding   • amine binding   • heterocyclic compound binding   • small molecule binding   • virus receptor activity   • exogenous protein binding   • 1-(4-iodo-2,5-dimethoxyphenyl)propan-2-amine binding   • response to xenobiotic stimulus   • phospholipase C-activating serotonin receptor signaling pathway   • G protein-coupled serotonin receptor signaling pathway   • phospholipase C-activating G protein-coupled receptor signaling pathway   • trans-synaptic signaling   • regulation of signaling   • modulation of chemical synaptic transmission   • cell-cell signaling   • presynaptic modulation of chemical synaptic transmission   • chemical synaptic transmission   • synaptic signaling   • regulation of trans-synaptic signaling   • anterograde trans-synaptic signaling   • regulation of cell communication   • regulation of defense response   • regulation of response to external stimulus   • defense response   • positive regulation of biological process   • response to external stimulus   • regulation of inflammatory response   • positive regulation of response to stimulus   • positive regulation of response to external stimulus   • positive regulation of inflammatory response   • regulation of response to stimulus   • regulation of response to stress   • response to stress   • positive regulation of defense response   • inflammatory response   • regulation of tube diameter   • multicellular organismal process   • system process   • regulation of tube size   • regulation of system process   • positive regulation of vasoconstriction   • circulatory system process   • regulation of blood circulation   • vascular process in circulatory system   • regulation of vasoconstriction   • positive regulation of multicellular organismal process   • regulation of multicellular organismal process   • blood vessel diameter maintenance   • regulation of biological quality   • vasoconstriction   • blood circulation   • regulation of anatomical structure size   • localization   • protein localization to cytoskeleton   • protein localization to organelle   • macromolecule localization   • intracellular protein localization   • regulation of lipid metabolic process   • glycerophospholipid metabolic process   • lipid biosynthetic process   • positive regulation of phosphate metabolic process   • regulation of primary metabolic process   • phospholipid metabolic process   • positive regulation of metabolic process   • positive regulation of biosynthetic process   • phosphate-containing compound metabolic process   • positive regulation of lipid metabolic process   • positive regulation of phosphatidylinositol biosynthetic process   • phosphorus metabolic process   • positive regulation of cellular process   • regulation of phosphatidylinositol biosynthetic process   • regulation of biosynthetic process   • phosphatidylinositol metabolic process   • positive regulation of phosphorus metabolic process   • glycerophospholipid biosynthetic process   • positive regulation of phospholipid biosynthetic process   • regulation of phospholipid metabolic process   • primary metabolic process   • phospholipid biosynthetic process   • regulation of phospholipid biosynthetic process   • phosphatidylinositol biosynthetic process   • positive regulation of phospholipid metabolic process   • biosynthetic process   • positive regulation of lipid biosynthetic process   • glycerolipid biosynthetic process   • organophosphate metabolic process   • organophosphate biosynthetic process   • metabolic process   • regulation of phosphorus metabolic process   • glycerolipid metabolic process   • regulation of lipid biosynthetic process   • regulation of metabolic process   • lipid metabolic process   • neuron apoptotic process   • positive regulation of programmed cell death   • regulation of apoptotic process   • regulation of programmed cell death   • cell death   • positive regulation of apoptotic process   • apoptotic process   • positive regulation of neuron apoptotic process   • programmed cell death   • regulation of neuron apoptotic process   • behavior   • learning or memory   • nervous system process   • cognition   • memory   • inorganic ion homeostasis   • intracellular calcium ion homeostasis   • homeostatic process   • calcium ion homeostasis   • cellular homeostasis   • chemical homeostasis   • intracellular monoatomic cation homeostasis   • monoatomic ion homeostasis   • intracellular chemical homeostasis   • monoatomic cation homeostasis   • intracellular monoatomic ion homeostasis   • regulation of execution phase of apoptosis   • positive regulation of execution phase of apoptosis   • execution phase of apoptosis   • regulation of body fluid levels   • homotypic cell-cell adhesion   • regulation of cell activation   • positive regulation of cell-cell adhesion   • cell adhesion   • cell-cell adhesion   • coagulation   • regulation of cell-cell adhesion   • response to wounding   • wound healing   • regulation of homotypic cell-cell adhesion   • positive regulation of cell adhesion   • regulation of cell adhesion   • cell activation   • hemostasis   • platelet aggregation   • blood coagulation   • regulation of platelet activation   • regulation of platelet aggregation   • positive regulation of homotypic cell-cell adhesion   • positive regulation of platelet aggregation   • platelet activation   • ribonucleotide catabolic process   • pyridine nucleotide catabolic process   • aerobic respiration   • oxoacid metabolic process   • carbohydrate catabolic process   • carbohydrate derivative metabolic process   • organophosphate catabolic process   • nucleoside phosphate catabolic process   • organic acid metabolic process   • nucleobase-containing compound metabolic process   • glycolytic process   • pyridine-containing compound metabolic process   • small molecule metabolic process   • purine ribonucleotide catabolic process   • nucleoside phosphate metabolic process   • nicotinamide nucleotide metabolic process   • pyruvate metabolic process   • purine nucleoside diphosphate metabolic process   • purine-containing compound catabolic process   • nucleotide metabolic process   • nucleobase-containing compound catabolic process   • nucleoside diphosphate metabolic process   • purine nucleoside diphosphate catabolic process   • nucleoside diphosphate catabolic process   • nucleoside triphosphate metabolic process   • monocarboxylic acid metabolic process   • purine ribonucleotide metabolic process   • pyridine-containing compound catabolic process   • ribose phosphate metabolic process   • cellular respiration   • catabolic process   • ATP metabolic process   • energy derivation by oxidation of organic compounds   • purine nucleotide metabolic process   • ribonucleotide metabolic process   • nucleobase-containing small molecule metabolic process   • purine ribonucleoside triphosphate metabolic process   • ribonucleoside diphosphate metabolic process   • ribonucleoside diphosphate catabolic process   • nucleotide catabolic process   • purine nucleoside triphosphate metabolic process   • purine nucleotide catabolic process   • carbohydrate metabolic process   • carbohydrate derivative catabolic process   • ADP catabolic process   • carboxylic acid metabolic process   • generation of precursor metabolites and energy   • purine-containing compound metabolic process   • ADP metabolic process   • purine ribonucleoside diphosphate metabolic process   • purine ribonucleoside diphosphate catabolic process   • detection of external stimulus   • sensory perception of temperature stimulus   • sensory perception of pain   • detection of temperature stimulus involved in sensory perception   • response to temperature stimulus   • detection of abiotic stimulus   • detection of stimulus   • sensory perception   • detection of temperature stimulus   • response to abiotic stimulus   • detection of stimulus involved in sensory perception   • detection of temperature stimulus involved in sensory perception of pain   • negative regulation of signaling   • synaptic transmission, glutamatergic   • negative regulation of biological process   • regulation of synaptic transmission, glutamatergic   • negative regulation of synaptic transmission   • negative regulation of cell communication   • negative regulation of cellular process   • negative regulation of synaptic transmission, glutamatergic   • smooth muscle contraction   • urinary bladder smooth muscle contraction   • urinary tract smooth muscle contraction   • muscle contraction   • muscle system process   • developmental process   • fat cell differentiation   • positive regulation of fat cell differentiation   • regulation of developmental process   • cellular developmental process   • regulation of cell differentiation   • positive regulation of developmental process   • positive regulation of cell differentiation   • cell differentiation   • regulation of fat cell differentiation   • G protein-coupled receptor signaling pathway, coupled to cyclic nucleotide second messenger   • negative regulation of potassium ion transport   • regulation of localization   • regulation of potassium ion transport   • transport   • regulation of transport   • negative regulation of monoatomic ion transport   • regulation of monoatomic ion transport   • negative regulation of transport   • establishment of localization   • metal ion transport   • monoatomic ion transport   • potassium ion transport   • monoatomic cation transport   • regulation of metal ion transport   • positive regulation of cytosolic calcium ion concentration   • regulation of heat generation   • positive regulation of heat generation   • heat generation   • multicellular organismal-level homeostasis   • temperature homeostasis   • regulation of generation of precursor metabolites and energy   • regulation of ATP metabolic process   • regulation of purine nucleotide catabolic process   • positive regulation of nucleotide catabolic process   • regulation of small molecule metabolic process   • regulation of nucleotide metabolic process   • regulation of nucleobase-containing compound metabolic process   • regulation of carbohydrate catabolic process   • regulation of purine nucleotide metabolic process   • positive regulation of ATP metabolic process   • regulation of nucleotide catabolic process   • positive regulation of carbohydrate metabolic process   • positive regulation of nucleotide metabolic process   • positive regulation of purine nucleotide catabolic process   • regulation of carbohydrate metabolic process   • positive regulation of glycolytic process   • regulation of catabolic process   • regulation of glycolytic process   • positive regulation of purine nucleotide metabolic process   • positive regulation of catabolic process   • positive regulation of small molecule metabolic process   • adult behavior   • behavioral response to cocaine   • response to cocaine   • response to alkaloid   • detection of mechanical stimulus involved in sensory perception of pain   • response to mechanical stimulus   • detection of mechanical stimulus involved in sensory perception   • sensory perception of mechanical stimulus   • detection of mechanical stimulus   • positive regulation of cell communication   • positive regulation of signal transduction   • regulation of signal transduction   • intracellular signal transduction   • positive regulation of ERK1 and ERK2 cascade   • regulation of intracellular signal transduction   • intracellular signaling cassette   • positive regulation of MAPK cascade   • positive regulation of intracellular signal transduction   • regulation of MAPK cascade   • MAPK cascade   • ERK1 and ERK2 cascade   • regulation of ERK1 and ERK2 cascade   • positive regulation of signaling   • learning   • nonassociative learning   • sensitization   • monoamine transport   • nitrogen compound transport   • regulation of catecholamine secretion   • organic hydroxy compound transport   • dopamine transport   • secretion by cell   • regulation of secretion by cell   • catecholamine transport   • signal release   • secretion   • export from cell   • dopamine secretion   • regulation of secretion   • catecholamine secretion   • amine transport   • regulation of amine transport   • regulation of dopamine secretion   • serotonin receptor signaling pathway   • positive regulation of cell population proliferation   • regulation of cell population proliferation   • calcium ion transmembrane import into cytosol   • monoatomic ion transmembrane transport   • calcium ion transport   • monoatomic cation transmembrane transport   • transmembrane transport   • release of sequestered calcium ion into cytosol   • calcium ion transmembrane transport   • vascular associated smooth muscle contraction   • artery smooth muscle contraction   • tonic smooth muscle contraction   • regulation of DNA biosynthetic process   • positive regulation of macromolecule biosynthetic process   • nucleic acid biosynthetic process   • positive regulation of macromolecule metabolic process   • positive regulation of DNA biosynthetic process   • regulation of macromolecule metabolic process   • DNA metabolic process   • nucleobase-containing compound biosynthetic process   • macromolecule biosynthetic process   • nucleic acid metabolic process   • positive regulation of DNA metabolic process   • regulation of macromolecule biosynthetic process   • macromolecule metabolic process   • DNA biosynthetic process   • regulation of DNA metabolic process   • regulation of immune effector process   • cytokine production   • regulation of cytokine production   • positive regulation of immune effector process   • regulation of immune system process   • cytokine production involved in immune response   • positive regulation of immune system process   • production of molecular mediator of immune response   • regulation of cytokine production involved in immune response   • immune response   • gene expression   • immune effector process   • regulation of gene expression   • positive regulation of gene expression   • immune system process   • positive regulation of cytokine production involved in immune response   • positive regulation of production of molecular mediator of immune response   • regulation of production of molecular mediator of immune response   • positive regulation of cytokine production   • postsynapse   • postsynaptic membrane   • plasma membrane region   • synaptic membrane   • G protein-coupled serotonin receptor complex   • receptor complex   • presynapse   • presynaptic membrane   • somatodendritic compartment   • dendrite   • dendritic tree   • glutamatergic synapse   • dendritic shaft   • cell body   • neuronal cell body   • axon   • membrane microdomain   • membrane raft   • plasma membrane raft   • caveola   • cell body fiber   • cytoplasmic vesicle   • intracellular vesicle   • polymeric cytoskeletal fiber   • neurofilament   • intracellular membraneless organelle   • intermediate filament cytoskeleton   • cytoskeleton   • membraneless organelle   • intermediate filament   • supramolecular fiber   • supramolecular polymer   • supramolecular complex
SCOP2Domain Identifier• G protein-coupled receptor-like
SCOP2Family Identifier• G protein-coupled receptor-like
Membrane Protein Annotations-• Orientations of Proteins in Membranes database (OPM)   • Protein Data Bank of Transmembrane Proteins (PDBTM)   • MemProtMD


Details about the values in these tables can be found in the corresponding documentation page .
Code_L_
PDB ResiduesL:L:?1
Environment DetailsOpen EMBL-EBI Page
Code_L_
Name
Synonyms
Identifier
Formula
Molecular Weight
SMILES
PubChem
Formal Charge
Total Atoms
Total Chiral Atoms
Total Bonds
Total Aromatic Bonds

PDBsumOpen PDBsum Page
ChainA
ProteinG Protein α Sub unit
UniProtP63092
Sequence
>9AS2_Chain_A
EKAEKIKLD RTRLLLLGA SGKSTIVKQ MRTSGIFET KFQVDKVNF 
HMFDVGGQR DERRKWIQC FNDVTAIIF VVSSYNRLQ EALNFKSIW 
NNRWLRTIS VILFLNKQD LLAEKVLAG KSKIEDYFP EFARYTTED 
PRVTRAKYF IREFISTAS GDGRHCYPH FTCAVDTEN RRFNDCDII 
MLRYLTVSA DAARSMDNR EGEKARLDN DDDKVDIAI KLQNENV


Click on each residue to open a popup with some information about it.

ConSurf Conservation Grade (See documentation): 

 n/a   1    2    3    4    5    6    7    8    9  

ChainB
ProteinG Protein β Sub unit
UniProtP62873
Sequence
>9AS2_Chain_B
EQLKNQIRD ARKACADAT LSQITNNID PVGRIQMRT RRTLRGHLA 
KIYAMHWGT DSRLLVSAS QDGKLIIWD SYTTNKVHA IPLRSSWVM 
TCAYAPSGN YVACGGLDN ICSIYNLKT REGNVRVSR ELAGHTGYL 
SCCRFLDDN QIVTSSGDT TCALWDIET GQQTTTFTG HTGDVMSLS 
LAPDTRLFV SGACDASAK LWDVREGMC RQTFTGHES DINAICFFP 
NGNAFATGS DDATCRLFD LRADQELMT YSHDNIICG ITSVSFSKS 
GRLLLAGYD DFNCNVWDA LKADRAGVL AGHDNRVSC LGVTDDGMA 
VATGSWDSF LKIWN


Click on each residue to open a popup with some information about it.

ConSurf Conservation Grade (See documentation): 

 n/a   1    2    3    4    5    6    7    8    9  

ChainG
ProteinG Protein γ Sub unit
UniProtP59768
Sequence
>9AS2_Chain_G
QLKMEANID RIKVSKAAA DLMAYCEAH AKEDPLLTP VPASENPF


Click on each residue to open a popup with some information about it.

ConSurf Conservation Grade (See documentation): 

 n/a   1    2    3    4    5    6    7    8    9  

ChainR
ProteinReceptor
UniProtP28223
Sequence
>9AS2_Chain_R
LLTAVVIIL TIAGNILVI MAVSLEKKL QNATNYFLM SLAIADMLL 
GFLVMPVSM LTILYGYRW PLPSKLCAV WIYLDVLFS TASIMHLCA 
ISLDRYVAI QNPIHHSRF NSRTKAFLK IIAVWTISV GISMPIPVF 
GLDSKVFKE GSCLLADDN FVLIGSFVS FFIPLTIMV ITYFLTIKS 
LQKISNEQK ACKVLGIVF FLFVVMWCP FFITNIMAV ICNEDVIGA 
LLNVFVWIG YLSSAVNPL VYTLFNKTY RSAFSRY


Click on each residue to open a popup with some information about it.

ConSurf Conservation Grade (See documentation): 

 n/a   1    2    3    4    5    6    7    8    9  




This receptor, from the same or other species and bound to the same or other ligands, is also present in the following networks:
Show PDB Class SubFamily Type SubType Species Orthosteric Ligand Other Ligand(s) Protein Partners Resolution Date DOI
6A93AAmine5-Hydroxytryptamine5-HT2AHomo sapiensRisperidone--32019-02-13doi.org/10.1038/s41594-018-0180-z
6A94AAmine5-Hydroxytryptamine5-HT2AHomo sapiensZotepine--2.92019-02-13doi.org/10.1038/s41594-018-0180-z
6WGTAAmine5-Hydroxytryptamine5-HT2AHomo sapiensLSD--3.42020-09-23doi.org/10.1016/j.cell.2020.08.024
6WH4AAmine5-Hydroxytryptamine5-HT2AHomo sapiensMethiothepin--3.42020-09-23doi.org/10.1016/j.cell.2020.08.024
6WHAAAmine5-Hydroxytryptamine5-HT2AHomo sapiensDB13948-chim(NtGi2L-Gs-CtGq)/β1/γ23.362020-09-23doi.org/10.1016/j.cell.2020.08.024
6WHA (No Gprot) AAmine5-Hydroxytryptamine5-HT2AHomo sapiensDB13948-3.362020-09-23doi.org/10.1016/j.cell.2020.08.024
7VODAAmine5-Hydroxytryptamine5-HT2AHomo sapiensCariprazine--3.32021-12-22doi.org/10.1038/s41593-021-00971-w
7VOEAAmine5-Hydroxytryptamine5-HT2AHomo sapiensAripiprazole--2.92021-12-22doi.org/10.1038/s41593-021-00971-w
7WC4AAmine5-Hydroxytryptamine5-HT2AHomo sapiensSerotonin--3.22022-01-26doi.org/10.1126/science.abl8615
7WC5AAmine5-Hydroxytryptamine5-HT2AHomo sapiensPsilocin--3.22022-01-26doi.org/10.1126/science.abl8615
7WC6AAmine5-Hydroxytryptamine5-HT2AHomo sapiensLSD--2.62022-01-26doi.org/10.1126/science.abl8615
7WC7AAmine5-Hydroxytryptamine5-HT2AHomo sapiensLisuride--2.62022-01-26doi.org/10.1126/science.abl8615
7WC8AAmine5-Hydroxytryptamine5-HT2AHomo sapiensLumateperone--2.452022-01-26doi.org/10.1126/science.abl8615
7WC9AAmine5-Hydroxytryptamine5-HT2AHomo sapiensPubChem 162421364--2.52022-01-26doi.org/10.1126/science.abl8615
7RANAAmine5-Hydroxytryptamine5-HT2AHomo sapiensPubChem 164575847-chim(NtGi2L-Gs-CtGq)/β1/γ23.452022-07-06doi.org/10.1038/s41586-022-05258-z
7RAN (No Gprot) AAmine5-Hydroxytryptamine5-HT2AHomo sapiensPubChem 164575847-3.452022-07-06doi.org/10.1038/s41586-022-05258-z
8UWLAAmine5-Hydroxytryptamine5-HT2AHomo sapiensLisuride-chim(NtGi2-Gs-CtGq)/β1/γ22.82024-05-29doi.org/10.1126/science.adn6354
8UWL (No Gprot) AAmine5-Hydroxytryptamine5-HT2AHomo sapiensLisuride-2.82024-05-29doi.org/10.1126/science.adn6354
8V6UAAmine5-Hydroxytryptamine5-HT2AHomo sapiensPubChem 171392456-chim(NtGi2-Gs-CtGq)/β1/γ232024-05-29doi.org/10.1126/science.adn6354
8V6U (No Gprot) AAmine5-Hydroxytryptamine5-HT2AHomo sapiensPubChem 171392456-32024-05-29doi.org/10.1126/science.adn6354
8ZMGAAmine5-Hydroxytryptamine5-HT2AHomo sapiensPimavanserin--3.42024-08-28doi.org/10.1021/acs.jmedchem.4c01244
8JT8AAmine5-Hydroxytryptamine5-HT2AHomo sapiens(R)-IHCH-7179--2.72024-02-28doi.org/10.1016/j.cell.2024.02.034
9ARXAAmine5-Hydroxytryptamine5-HT2AHomo sapiensSerotonin--3.242025-04-02doi.org/10.1038/s41467-025-57956-7
9ARYAAmine5-Hydroxytryptamine5-HT2AHomo sapiensSerotonin-chim(NtGi1-Gs-CtGq)/β1/γ23.272025-04-02doi.org/10.1038/s41467-025-57956-7
9ARY (No Gprot) AAmine5-Hydroxytryptamine5-HT2AHomo sapiensSerotonin-3.272025-04-02doi.org/10.1038/s41467-025-57956-7
9ARZAAmine5-Hydroxytryptamine5-HT2AHomo sapiens2-bromo-LSD--3.372025-04-02doi.org/10.1038/s41467-025-57956-7
9AS0AAmine5-Hydroxytryptamine5-HT2AHomo sapiens2-bromo-LSD-chim(NtGi1-Gs-CtGq)/β1/γ23.382025-04-02doi.org/10.1038/s41467-025-57956-7
9AS0 (No Gprot) AAmine5-Hydroxytryptamine5-HT2AHomo sapiens2-bromo-LSD-3.382025-04-02doi.org/10.1038/s41467-025-57956-7
9AS1AAmine5-Hydroxytryptamine5-HT2AHomo sapiensDMT--3.382025-04-02doi.org/10.1038/s41467-025-57956-7
9AS2 (No Gprot) AAmine5-Hydroxytryptamine5-HT2AHomo sapiensDMT-3.212025-04-02doi.org/10.1038/s41467-025-57956-7
9AS3AAmine5-Hydroxytryptamine5-HT2AHomo sapiensLSD--3.182025-04-02doi.org/10.1038/s41467-025-57956-7
9AS4AAmine5-Hydroxytryptamine5-HT2AHomo sapiensLSD-chim(NtGi1-Gs-CtGq)/β1/γ23.062025-04-02doi.org/10.1038/s41467-025-57956-7
9AS4 (No Gprot) AAmine5-Hydroxytryptamine5-HT2AHomo sapiensLSD-3.062025-04-02doi.org/10.1038/s41467-025-57956-7
9AS5AAmine5-Hydroxytryptamine5-HT2AHomo sapiensMescaline--3.342025-04-02doi.org/10.1038/s41467-025-57956-7
9AS6AAmine5-Hydroxytryptamine5-HT2AHomo sapiensMescaline-chim(NtGi1-Gs-CtGq)/β1/γ23.072025-04-02doi.org/10.1038/s41467-025-57956-7
9AS6 (No Gprot) AAmine5-Hydroxytryptamine5-HT2AHomo sapiensMescaline-3.072025-04-02doi.org/10.1038/s41467-025-57956-7
9AS7AAmine5-Hydroxytryptamine5-HT2AHomo sapiensPsilocin--2.722025-04-02doi.org/10.1038/s41467-025-57956-7
9AS9AAmine5-Hydroxytryptamine5-HT2AHomo sapiensRS130-180--3.472025-04-02doi.org/10.1038/s41467-025-57956-7
9ASAAAmine5-Hydroxytryptamine5-HT2AHomo sapiensRS130-180-chim(NtGi1-Gs-CtGq)/β1/γ23.122025-04-02doi.org/10.1038/s41467-025-57956-7
9ASA (No Gprot) AAmine5-Hydroxytryptamine5-HT2AHomo sapiensRS130-180-3.122025-04-02doi.org/10.1038/s41467-025-57956-7
9AS8AAmine5-Hydroxytryptamine5-HT2AHomo sapiensPsilocin-chim(NtGi2L-Gs-CtGq)/β1/γ22.542025-04-0210.1038/s41467-025-57956-7
9AS8 (No Gprot) AAmine5-Hydroxytryptamine5-HT2AHomo sapiensPsilocin-2.542025-04-0210.1038/s41467-025-57956-7
9LL9AAmine5-Hydroxytryptamine5-HT2AHomo sapiensDOI-chim(NtGi1L-Gs-CtGq)/β1/γ22.762026-01-14To be published
9LL9 (No Gprot) AAmine5-Hydroxytryptamine5-HT2AHomo sapiensDOI-2.762026-01-14To be published
9LLAAAmine5-Hydroxytryptamine5-HT2AHomo sapiensAriadne-chim(NtGi1L-Gs-CtGq)/β1/γ23.272026-01-14To be published
9LLA (No Gprot) AAmine5-Hydroxytryptamine5-HT2AHomo sapiensAriadne-3.272026-01-14To be published
9LLBAAmine5-Hydroxytryptamine5-HT2AHomo sapiensDOI-NBOMe-chim(NtGi1L-Gs-CtGq)/β1/γ22.982026-01-14To be published
9LLB (No Gprot) AAmine5-Hydroxytryptamine5-HT2AHomo sapiensDOI-NBOMe-2.982026-01-14To be published
9LL7AAmine5-Hydroxytryptamine5-HT2AHomo sapiensDOI-Gi1/β1/γ22.842026-01-14To be published
9LL7 (No Gprot) AAmine5-Hydroxytryptamine5-HT2AHomo sapiensDOI-2.842026-01-14To be published
9LL8AAmine5-Hydroxytryptamine5-HT2AHomo sapiensPsilocin-Gi1/β1/γ22.622026-01-14To be published
9LL8 (No Gprot) AAmine5-Hydroxytryptamine5-HT2AHomo sapiensPsilocin-2.622026-01-14To be published




You can download a compressed (zip) file with structure(s), 3D outputs (as PyMol and VMD scripts) and numerical data files (as csv and plain text files).

Download 9AS2.zip



You can click to copy the link of this page to easily come back here later

or use this QR code to link and share this page.



You can also  read or  download a guide explaining the meaning of all files and numerical data.