Color ConSurf Grade
      No Conservation data available
      1
      2
      3
      4
      5
      6
      7
      8
      9

Index: hub id, click on each number to highlight the corresponding hub in the 3D visualization.

Hub: the hub being considered.

Avg Int. Strength: the average interaction strength of all the links of the corresponding hub.

Num Of Links: the number of links of the corresponding hub.

Community: the id of the community the link belong to, otherwise 0.

ConSurf: this column reports the ConSurf conservation grades of each hub.

Index Hub Avg Int. Strength Num Of Links Community ConSurf
1A:A:V34 5.08425
2A:A:L39 2.545409
3A:A:I184 4.815429
4A:A:E186 10.12429
5A:A:H188 13.685423
6A:A:F191 5.675425
7A:A:F196 7.15167627
8A:A:K197 15.1875426
9A:A:M198 2.80667627
10A:A:F199 8.308525
11A:A:V201 4.64429
12A:A:K210 5.376529
13A:A:W211 4.57667629
14A:A:H213 5.015448
15A:A:F215 4.00429729
16A:A:I221 4.405448
17A:A:F223 7.3225409
18A:A:F250 7.186549
19A:A:C254 2.486545
20A:A:W258 6.87745
21A:A:F259 4.97833649
22A:A:I264 3.166546
23A:A:I265 2.788598
24A:A:F267 3.382599
25A:A:L268 4.314128
26A:A:Q304 4.546125
27A:A:F307 5.066548
28A:A:L310 4.2575444
29A:A:Y320 5.65667697
30A:A:F334 5.86493
31A:A:F336 6.486528
32A:A:L353 3.87417
33B:B:D27 2.8925408
34B:B:I37 4.295402
35B:B:V40 4.2854133
36B:B:R48 4.01437
37B:B:L51 7.076539
38B:B:H54 8.346539
39B:B:Y59 7.31548
40B:B:M61 4.055436
41B:B:W63 5.685637
42B:B:V71 4.1125478
43B:B:D76 4.55439
44B:B:K78 4.55408
45B:B:I80 7.705438
46B:B:I81 3.52477
47B:B:W82 8.01143739
48B:B:N88 4.8125407
49B:B:K89 5.35714739
50B:B:H91 3.9825475
51B:B:I93 5.02407
52B:B:W99 7.09333629
53B:B:Y105 3.75875876
54B:B:Y111 3.9865204
55B:B:L117 3.224529
56B:B:I123 3.054206
57B:B:Y124 5.63167676
58B:B:H142 6.526589
59B:B:Y145 3.12556928
60B:B:L146 4.455487
61B:B:F151 3.656676209
62B:B:L152 2.798553
63B:B:T159 6.5225489
64B:B:S161 6.3525489
65B:B:D163 5.506589
66B:B:C166 3.81458
67B:B:L168 3.78167656
68B:B:W169 9.434588
69B:B:I171 4.2525406
70B:B:T173 4.0354155
71B:B:F180 5.854557
72B:B:H183 7.744559
73B:B:D186 4.945429
74B:B:V187 4.26459
75B:B:L190 6.8525405
76B:B:F199 5.795659
77B:B:S201 4.492559
78B:B:C204 3.876527
79B:B:D205 5.6425409
80B:B:K209 9.252556
81B:B:L210 5.355405
82B:B:W211 7.995658
83B:B:D212 7.17254169
84B:B:E215 6.024163
85B:B:R219 5.70254165
86B:B:Q220 5.795467
87B:B:F222 6.74568
88B:B:H225 7.50286769
89B:B:I232 6.6375468
90B:B:F234 4.288505
91B:B:F235 7.235717116
92B:B:P236 5.68254117
93B:B:N237 9.0054115
94B:B:F241 6.965666
95B:B:T243 5.77468
96B:B:D247 4.9825409
97B:B:F253 6.23833666
98B:B:D254 3.115409
99B:B:L255 3.8225466
100B:B:Q259 3.8525406
101B:B:Y264 5.075605
102B:B:I269 3.524104
103B:B:F278 5.1725117
104B:B:R283 7.475139
105B:B:Y289 6.3185107
106B:B:N295 6.64254106
107B:B:V296 3.44405
108B:B:W297 5.296108
109B:B:D298 5.594139
110B:B:L308 6.965407
111B:B:H311 8.57549
112B:B:N313 4.46447
113B:B:R314 10.482548
114B:B:V315 3.445447
115B:B:T321 5.7325437
116B:B:S331 6.9675449
117B:B:W332 10.3857749
118B:B:D333 6.128549
119B:B:L336 4.3925437
120B:B:K337 7.7025446
121B:B:W339 6.89549
122B:B:N340 5.7975439
123G:G:R27 7.01508
124G:G:Y40 6.7854116
125G:G:D48 5.486219
126G:G:N59 5.304539
127G:G:P60 6.9525439
128G:G:F61 3.79938
129L:L:F6 6.75254220
130L:L:W8 4.84714710
131L:L:T10 4.584510
132L:L:F11 6.6975400
133R:R:Y47 3.94717
134R:R:N58 7.0025409
135R:R:V64 3.905407
136R:R:V65 3.315407
137R:R:Y78 3.50333607
138R:R:Y89 7.546516
139R:R:L93 7.625417
140R:R:Q99 6.5925414
141R:R:W105 11.972518
142R:R:C112 5.445419
143R:R:V115 4.2175405
144R:R:D119 5.7875416
145R:R:Q123 4.27517
146R:R:F124 5.0125406
147R:R:F128 3.165415
148R:R:R137 3.8419
149R:R:V141 3.5254198
150R:R:V142 5.53254197
151R:R:R151 5.734236
152R:R:R152 4.515176
153R:R:S167 4.1325407
154R:R:M170 4.588514
155R:R:V180 3.345415
156R:R:W190 13.5985146
157R:R:W197 5.56254143
158R:R:F201 6.564515
159R:R:Y204 4.4513
160R:R:T205 4.09514
161R:R:F210 6.09618
162R:R:L214 2.71417
163R:R:Y221 7.768519
164R:R:K227 3.3854195
165R:R:R240 7.025413
166R:R:E243 8.32167616
167R:R:V246 4.495417
168R:R:F257 3.56519
169R:R:W261 6.61667618
170R:R:F264 4.6625407
171R:R:F265 4.45167617
172R:R:P277 5.224223
173R:R:F287 6.9625413
174R:R:Y294 7.532517
175R:R:N296 5.236509
176R:R:Y304 4.37833619
177R:R:F311 4.035408
   

Color ConSurf Grade
      No Conservation data available
      1
      2
      3
      4
      5
      6
      7
      8
      9

Index: link id, click on each number to highlight the corresponding link in the 3D visualization.

Node1 Node2: the two nodes of the corresponding link.

Recurrence: the relative Recurrence in the pool of shortest paths.

Int. Strength: the interaction strength between the two nodes.

Hub1?, Hub2?: "Yes" if the corresponding node has more than 3 links, otherwise "No".

Community: the id of the community the link belong to, otherwise 0.

ConSurf1, ConSurf2: these columns report the ConSurf conservation grades of the two nodes involved in a link.

Index Node1 Node2 Recurrence Int. Strength Hub1? Hub2? Community ConSurf1 ConSurf2
1A:A:F199 A:A:F215 45.51493.22YesYes259
2A:A:F215 A:A:W211 44.53032YesYes299
3A:A:W211 B:B:Y145 46.08941.93YesYes298
4A:A:F199 B:B:W99 54.679214.03YesYes259
5B:B:L117 B:B:W99 44.08864.56YesYes299
6B:B:L117 B:B:Y145 44.06452.34YesYes298
7B:B:Q75 B:B:W99 11.1644.38NoYes099
8B:B:Q75 B:B:Y59 11.12849.02NoYes098
9B:B:W332 B:B:Y59 10.8949.65YesYes498
10A:A:E186 A:A:F199 99.95858.16YesYes295
11A:A:F196 A:A:L194 97.86188.53YesNo274
12A:A:F196 A:A:L36 49.92843.65YesNo277
13A:A:L36 A:A:M198 49.88764.24NoYes277
14A:A:E186 A:A:M198 1001.35YesYes297
15A:A:F189 A:A:F196 49.85915NoYes097
16A:A:F189 A:A:M198 49.88712.49NoYes097
17A:A:F336 A:A:L194 97.83162.44YesNo284
18B:B:D186 B:B:Y145 11.79375.75YesYes298
19A:A:K210 B:B:Y145 66.54952.39YesYes298
20A:A:K210 B:B:D228 60.84358.3YesNo299
21A:A:F336 A:A:T340 97.33633.89YesNo086
22A:A:I344 A:A:T340 97.19461.52NoNo066
23A:A:I344 R:R:K227 97.12372.91NoYes065
24R:R:K227 R:R:V228 25.86673.04YesNo058
25R:R:K227 R:R:V142 70.85394.55YesYes1957
26R:R:E243 R:R:V246 24.97352.85YesYes167
27R:R:E243 R:R:V228 25.62399.98YesNo068
28A:A:L353 R:R:V246 24.81537.45YesYes177
29R:R:D86 R:R:N58 11.932510.77NoYes099
30R:R:D86 R:R:S297 12.270910.31NoNo199
31R:R:S297 R:R:Y89 14.31567.63NoYes196
32R:R:Q123 R:R:Y89 50.51195.64YesYes176
33R:R:Q123 R:R:W261 73.7147.67YesYes178
34R:R:V127 R:R:W261 20.78763.68NoYes088
35R:R:P213 R:R:V127 20.86613.53NoNo088
36R:R:P213 R:R:T131 21.02856.99NoNo087
37R:R:I217 R:R:T131 21.19144.56NoNo087
38R:R:I217 R:R:S134 21.2734.64NoNo089
39R:R:C220 R:R:S134 21.35295.16NoNo189
40R:R:C220 R:R:Y138 70.29454.03NoNo088
41R:R:V142 R:R:Y138 70.44418.83YesNo078
42R:R:N296 R:R:W261 62.35367.91YesYes098
43R:R:N296 R:R:N300 63.09138.17YesNo099
44R:R:N300 R:R:Y304 63.3393.49NoYes199
45R:R:R137 R:R:Y304 48.47532.06YesYes199
46R:R:R137 R:R:Y221 24.40058.23YesYes199
47R:R:C220 R:R:Y221 48.86694.03NoYes189
48R:R:V253 R:R:Y304 24.232710.09NoYes089
49R:R:V253 R:R:Y221 24.31395.05NoYes089
50A:A:L353 R:R:R137 24.41422.43YesYes179
51B:B:C204 B:B:G185 16.55021.96YesNo075
52B:B:D205 B:B:G185 16.18173.35YesNo095
53B:B:D228 B:B:S227 60.89514.42NoNo096
54B:B:D247 B:B:S227 60.74242.94YesNo096
55B:B:D247 B:B:S245 30.29284.42YesNo099
56B:B:H225 B:B:S245 30.176916.74YesNo699
57B:B:H225 B:B:T243 23.1376.85YesYes698
58B:B:D247 B:B:T249 30.35628.67YesNo096
59B:B:H225 B:B:T249 30.19774.11YesNo096
60B:B:F234 B:B:V200 20.94126.55YesNo056
61B:B:F234 B:B:G238 39.28053.01YesNo057
62B:B:L285 B:B:Y264 19.13524.69NoYes065
63B:B:F278 B:B:L285 19.8084.87YesNo076
64B:B:F235 B:B:F278 21.8589.65YesYes1167
65B:B:F235 B:B:N237 25.314210.87YesYes1165
66B:B:G238 B:B:N237 37.8883.39NoYes075
67B:B:F234 B:B:L255 21.08632.44YesYes056
68B:B:F241 B:B:T243 15.46222.59YesYes668
69B:B:F253 B:B:H225 36.78072.26YesYes669
70B:B:F241 B:B:F253 15.473910.72YesYes666
71B:B:F241 B:B:V200 14.18247.87YesNo666
72B:B:F241 B:B:L255 16.52564.87YesYes666
73B:B:F222 B:B:F253 21.09767.5YesYes686
74B:B:D258 B:B:F222 11.40058.36NoYes678
75B:B:D258 G:G:R27 11.291315.48NoYes078
76B:B:W297 B:B:Y264 21.9565.79YesYes085
77R:R:Y294 R:R:Y89 33.931412.91YesYes176
78R:R:L93 R:R:Y294 17.334915.24YesYes177
79R:R:L93 R:R:Y47 15.97742.34YesYes177
80R:R:F287 R:R:Y47 10.19853.09YesYes137
81R:R:V290 R:R:Y294 16.31522.52NoYes057
82R:R:V290 R:R:Y47 15.97585.05NoYes057
83R:R:N100 R:R:Y47 19.03722.33NoYes147
84L:L:T10 R:R:N100 18.35964.39YesNo104
85L:L:T10 R:R:Q99 14.96445.67YesYes104
86R:R:F124 R:R:Q123 13.95783.51YesYes067
87R:R:F124 R:R:S167 11.59372.64YesYes067
88R:R:Q99 R:R:W105 13.604710.95YesYes148
Download PSN data

2D representation of the global metapath, ligand(s) interactions and
histograms of path distribution according to several parameters
(click on the image to enlarge it 🔍):

A 2D representation of the global communication in the network.

ConSurf Conservation Grade (See documentation): 

 n/a   1    2    3    4    5    6    7    8    9  

Number of shortest communication paths as a function of the average residue correlation.

Number of shortest communication paths as a function of the average interaction strength of their links.

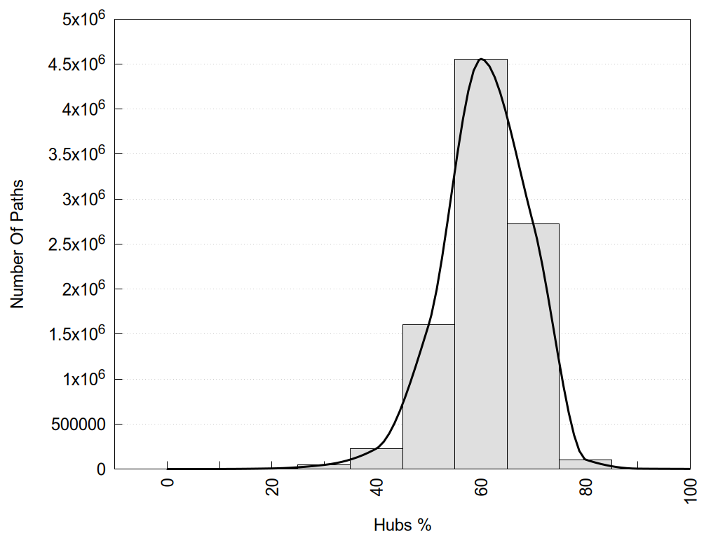
Number of shortest communication paths as a function of the % of hub nodes in each path.

Number of shortest communication paths as a function of the number of nodes in each path.

Number of shortest communication paths as a function of the % of correlated nodes in each path.


2D representation of the interactions of this orthosteric/allosteric ligand.


Links and nodes colored according to ConSurf Conservation Grade (See documentation): 

 n/a   1    2    3    4    5    6    7    8    9  

Node1 Node2 LinkStrength Comm IsNode1Hub? IsNode2Hub? Node1Cons Node2Cons Node1Shell Node2Shell
L:L:F6 R:R:N271 3.62 22 Yes No 0 4 0 1
L:L:F6 R:R:P277 7.22 22 Yes Yes 0 3 0 1
L:L:F7 R:R:A188 2.77 0 No No 0 3 0 1
L:L:W8 R:R:Q123 2.19 1 Yes Yes 0 7 0 1
L:L:W8 R:R:F201 6.01 1 Yes Yes 0 5 0 1
L:L:W8 R:R:T205 2.43 1 Yes Yes 0 4 0 1
L:L:W8 R:R:F264 3.01 1 Yes Yes 0 7 0 1
L:L:W8 R:R:N268 4.52 1 Yes No 0 5 0 1
L:L:K9 R:R:D119 8.3 1 No Yes 0 6 0 1
L:L:K9 R:R:Y294 2.39 1 No Yes 0 7 0 1
L:L:T10 R:R:L96 4.42 1 Yes No 0 6 0 1
L:L:T10 R:R:Q99 5.67 1 Yes Yes 0 4 0 1
L:L:T10 R:R:N100 4.39 1 Yes No 0 4 0 1
L:L:T10 R:R:N187 5.85 1 Yes No 0 5 0 1
L:L:F11 R:R:A283 2.77 0 Yes No 0 4 0 1
L:L:F11 R:R:F287 6.43 0 Yes Yes 0 3 0 1
L:L:T12 R:R:N187 8.77 0 No No 0 5 0 1
R:R:F287 R:R:V43 2.62 1 Yes No 3 6 1 2
R:R:L93 R:R:Y47 2.34 1 Yes Yes 7 7 2 2
R:R:N100 R:R:Y47 2.33 1 No Yes 4 7 1 2
R:R:F287 R:R:Y47 3.09 1 Yes Yes 3 7 1 2
R:R:V290 R:R:Y47 5.05 0 No Yes 5 7 2 2
R:R:D119 R:R:Y89 6.9 1 Yes Yes 6 6 1 2
R:R:Q123 R:R:Y89 5.64 1 Yes Yes 7 6 1 2
R:R:Y294 R:R:Y89 12.91 1 Yes Yes 7 6 1 2
R:R:L93 R:R:Y294 15.24 1 Yes Yes 7 7 2 1
R:R:L96 R:R:Q99 2.66 1 No Yes 6 4 1 1
R:R:Q99 R:R:W105 10.95 1 Yes Yes 4 8 1 2
R:R:Q99 R:R:T185 7.09 1 Yes No 4 4 1 2
R:R:F287 R:R:N100 15.71 1 Yes No 3 4 1 1
R:R:D119 R:R:G120 3.35 1 Yes No 6 5 1 2
R:R:D119 R:R:Y294 4.6 1 Yes Yes 6 7 1 1
R:R:F124 R:R:Q123 3.51 0 Yes Yes 6 7 2 1
R:R:Q123 R:R:W261 7.67 1 Yes Yes 7 8 1 2
R:R:F265 R:R:Q123 2.34 1 Yes Yes 7 7 2 1
R:R:F124 R:R:T205 5.19 0 Yes Yes 6 4 2 1
R:R:F201 R:R:L174 8.53 1 Yes No 5 3 1 2
R:R:A188 R:R:W197 3.89 0 No Yes 3 3 1 2
R:R:F201 R:R:I202 2.51 1 Yes No 5 5 1 2
R:R:F201 R:R:Y204 9.28 1 Yes Yes 5 3 1 2
R:R:F201 R:R:T205 6.49 1 Yes Yes 5 4 1 1
R:R:I202 R:R:N268 12.74 0 No No 5 5 2 1
R:R:T205 R:R:Y204 3.75 1 Yes Yes 4 3 1 2
R:R:F265 R:R:T205 2.59 1 Yes Yes 7 4 2 1
R:R:F265 R:R:W261 4.01 1 Yes Yes 7 8 2 2
R:R:S293 R:R:W261 7.41 0 No Yes 7 8 2 2
R:R:F264 R:R:F265 6.43 0 Yes Yes 7 7 1 2
R:R:F264 R:R:V289 3.93 0 Yes No 7 7 1 2
R:R:F264 R:R:S293 5.28 0 Yes No 7 7 1 2
R:R:N271 R:R:P277 4.89 22 No Yes 4 3 1 1
R:R:P277 R:R:S282 7.13 22 Yes No 3 5 1 2
R:R:A283 R:R:G284 1.95 0 No No 4 1 1 2
R:R:V290 R:R:Y294 2.52 0 No Yes 5 7 2 1
R:R:A178 R:R:A188 1.79 0 No No 5 3 2 1
R:R:G198 R:R:L272 1.71 0 No No 4 4 1 2
R:R:L276 R:R:P277 1.64 0 No Yes 1 3 2 1
L:L:F7 R:R:G198 1.51 0 No No 0 4 0 1
L:L:F6 R:R:Q278 1.17 22 Yes No 0 1 0 1

Location and physicochemical properties of the interaction partners of this ligand

Interactions of this ligand

Similarities between the interactions of this ligand and those of other networks

ShowSimilarityNetwork TypeNameLigandDescription
73.68Consensussst2_onOrthosteric Ligand7WIC-SST2-Somatostatin-14-Gi1/β1/γ2 7WIG-SST2-L-054264-Gi1/β1/γ2 7YAE-SST2-Octreotide-Gi1/β1/γ2 7YAC-SST2-Paltusotine-Gi1/β1/γ2
73.68Consensussst2_on_gpOrthosteric Ligand7WIC-SST2-Somatostatin-14-Gi1/β1/γ2 7WIG-SST2-L-054264-Gi1/β1/γ2 7YAE-SST2-Octreotide-Gi1/β1/γ2 7YAC-SST2-Paltusotine-Gi1/β1/γ2
65.00Single7XN9L-0545227XN9-SST2-L-054522
65.00Single7YAEOctreotide7YAE-SST2-Octreotide-Gi1/β1/γ2
63.64Consensusgi_somatostatinOrthosteric Ligand7WIC-SST2-Somatostatin-14-Gi1/β1/γ2 7XMS-SST4-Somatostatin-14-Gi1/β1/γ2 8X8L-SST5-Cortistatin-14-chim(NtGi1-Gs-CtGi1)/β1/γ2 7XMT-SST4-J-2156-Gi1/β1/γ2 7WIG-SST2-L-054264-Gi1/β1/γ2 8X8N-SST5-Octreotide-chim(NtGi1-Gs-CtGi1)/β1/γ2 7YAE-SST2-Octreotide-Gi1/β1/γ2 7YAC-SST2-Paltusotine-Gi1/β1/γ2
63.64Consensussomatostatin_onOrthosteric Ligandsst2_on sst4_on sst5_on
63.64Consensussomatostatin_on_gpOrthosteric Ligandsst2_on_gp sst4_on_gp sst5_on_gp
60.87Single8X8LCortistatin-148X8L-SST5-Cortistatin-14-chim(NtGi1-Gs-CtGi1)/β1/γ2
60.87Single8ZBISomatostatin-148ZBI-SST3-Somatostatin-14-Gi1/β1/γ2
59.09Single9IK8Pasireotide9IK8-SST1-Pasireotide-Gi1/β1/γ2
58.33Consensussst5_on_gpOrthosteric Ligand8X8L-SST5-Cortistatin-14-chim(NtGi1-Gs-CtGi1)/β1/γ2 8X8N-SST5-Octreotide-chim(NtGi1-Gs-CtGi1)/β1/γ2
57.89Single8XIPPasireotide8XIP-SST1-Pasireotide-chim(NtGi1-Gs-CtGi1)/β1/γ2
57.14Single7T11Octreotide7T11-SST2-Octreotide-Gi3/β1/γ2
56.52Single7T6TfMLFII7T6T-FPR1-ALX-fMLFII-Gi1/β1/γ2
54.55Single7WICSomatostatin-147WIC-SST2-Somatostatin-14-Gi1/β1/γ2
54.55Single7XAUOctreotide7XAU-SST2-Octreotide-Gi1/β1/γ2
53.85Single7XATSomatostatin-147XAT-SST2-Somatostatin-14-Gi1/β1/γ2
53.85Consensusgq_peptideOrthosteric Ligandgq_cck gq_kisspeptin gq_bradykinin gq_bombesin gq_angiotensin
52.38Single7Y27Somatostatin-147Y27-SST2-Somatostatin-14-chim(NtGi2L-Gs-CtGq)/β1/γ2
52.17Single6DO1(Sar1,Ile8)-Angiotensin II6DO1-AT1-(Sar1,Ile8)-Angiotensin II
52.17Single7XMSSomatostatin-147XMS-SST4-Somatostatin-14-Gi1/β1/γ2
52.00Single8XGOTAK4488XGO-Kiss1-TAK448-chim(NtGi1-Gq)/β1/γ2
50.00Single7F8VGastrin-177F8V-CCKB-Gastrin-17-Gi2/β1/γ2
50.00Single8XIRPasireotide8XIR-SST3-Pasireotide-chim(NtGi1-Gs-CtGi1)/β1/γ2
50.00Single9IK9Lanreotide9IK9-SST1-Lanreotide-Gi1/β1/γ2
50.00Consensusgi_npyOrthosteric Ligand8K6M-Y1-Neuropeptide-Y-Gi2/β1/γ1 7X9C-Y4-Pancreatic Hormone-Gi1/β1/γ2 7YOO-Y2-Neuropeptide-Y-Gi1/β1/γ2
50.00Consensusgi_peptideOrthosteric Ligandgi_cck gi_apelin gi_compl-pept gi_endothelin gi_formylpeptide gi_galanin gi_ghrelin gi_npy gi_neurotensin gi_opioid gi_orexin gi_relaxin gi_somatostatin
50.00Consensusnpy_onOrthosteric Ligandnpy1_on npy2_on npy4_on
50.00Consensusnpy_on_gpOrthosteric Ligandnpy1_on_gp npy2_on_gp npy4_on_gp
48.15Single8WWLMCH8WWL-MCH1-MCH-Gi1/β1/γ2
48.15Consensuspeptide_onOrthosteric Ligandcck_on angiotensin_on apelin_on bombesin_on bradykinin_on compl-peptide_on endothelin_on formylpeptide_on galanin_on ghrelin_on kisspeptin_on melanocortin_on motilin_on neuromedin-u_on npy_on neurotensin_on opioid_on orexin_on relaxin_on somatostatin_on tachykinin_on trh_on vasop-oxy_on
48.15Consensuspeptide_on_gpOrthosteric Ligandcck_on_gp angiotensin_on_gp apelin_on_gp bombesin_on_gp bradykinin_on_gp compl-peptide_on_gp endothelin_on_gp formylpeptide_on_gp galanin_on_gp ghrelin_on_gp kisspeptin_on_gp melanocortin_on_gp motilin_on_gp neuromedin-u_on_gp npy_on_gp neurotensin_on_gp opioid_on_gp orexin_on_gp relaxin_on_gp somatostatin_on_gp tachykinin_on_gp trh_on_gp vasop-oxy_on_gp
48.00Consensuspeptide_offon_gpOrthosteric Ligandpeptide_on_gp peptide_off
47.83Single4IARErgotamine4IAR-5-HT1B-Ergotamine
47.83Single7WVWfMYFINILTL7WVW-FPR2-ALX-fMYFINILTL-Gi2/β1/γ2
47.83Single7XMRSomatostatin-147XMR-SST2-Somatostatin-14-Gi1/β1/γ2
47.83Single8DCRDobutamine8DCR-β1-Dobutamine-Gs/β1/γ2
47.83Single9BUYLM1899BUY-β2-LM189-Gi1/β1/γ2
47.83Single9HB3Mambaquaretin-19HB3-V2-Mambaquaretin-1
47.83Single9UMRC5a-pep9UMR-C5a1-C5a-pep-Go/β1/γ2
47.83Consensusclass-a_on_gpOrthosteric Ligandsensory_on_gp alicarboxylic_on_gp amine_on_gp lipid_on_gp nucleotide_on_gp peptide_on_gp protein_on_gp
47.83Consensussst5_onOrthosteric Ligand8X8L-SST5-Cortistatin-14-chim(NtGi1-Gs-CtGi1)/β1/γ2 8X8N-SST5-Octreotide-chim(NtGi1-Gs-CtGi1)/β1/γ2
47.37Single7YACPaltusotine7YAC-SST2-Paltusotine-Gi1/β1/γ2
46.43Single8WWNMCH8WWN-MCH1-MCH-Gi1/β1/γ2
46.43Consensusbk2_onOrthosteric Ligand7F6H-BK2-Bradykinin-Gq/β1/γ2 7F6I-BK2-Kallidin-Gq/β1/γ2
46.43Consensusbk2_on_gpOrthosteric Ligand7F6H-BK2-Bradykinin-Gq/β1/γ2 7F6I-BK2-Kallidin-Gq/β1/γ2
46.43Consensusbradykinin_onOrthosteric Ligandbk2_on
46.43Consensusbradykinin_on_gpOrthosteric Ligandbk2_on_gp
46.43Consensusgq_bradykininOrthosteric Ligand7F6H-BK2-Bradykinin-Gq/β1/γ2 7F6I-BK2-Kallidin-Gq/β1/γ2
46.15Single7F6HBradykinin7F6H-BK2-Bradykinin-Gq/β1/γ2
46.15Single8WWKMCH8WWK-MCH1-MCH-Gi1/β1/γ2
46.15Single8ZPSPrRP208ZPS-PrRP-PrRP20-chim(NtGi1-Gs-CtGi1)/β1/γ2
45.83Single5XJM(Sar1,Ile8)-Angiotensin II5XJM-AT2-(Sar1,Ile8)-Angiotensin II
45.83Single7EZKCholecystokinin-87EZK-CCKA-Cholecystokinin-8-chim(NtGi1-Gs)/β1/γ2
45.83Single8SG1Chemerin-98SG1-CML1-Chemerin-9-Gi1/β1/γ2
45.83Single8WSSMCH8WSS-MCH1-MCH-Gi1/β1/γ1
45.83Single9IQVMuscarinic toxin 39IQV-Alpha1A-Muscarinic toxin 3
45.83Single9ME1CXCL129ME1-CXCR4-CXCL12
45.83Consensuscompl-peptide_onOrthosteric Ligandc5a1_on c3a_on
45.83Consensusgi_cckOrthosteric Ligand7EZH-CCKA-Cholecystokinin-8-Gi1/β1/γ2 7F8V-CCKB-Gastrin-17-Gi2/β1/γ2
45.83Consensussst4_onOrthosteric Ligand7XMS-SST4-Somatostatin-14-Gi1/β1/γ2 7XMT-SST4-J-2156-Gi1/β1/γ2
45.83Consensussst4_on_gpOrthosteric Ligand7XMS-SST4-Somatostatin-14-Gi1/β1/γ2 7XMT-SST4-J-2156-Gi1/β1/γ2
45.45Single6BQGErgotamine6BQG-5-HT2C-Ergotamine
45.45Single6IBLArformoterol6IBL-β1-Arformoterol
45.45Single6TKOArformoterol6TKO-β1-Arformoterol-Arrestin2
45.45Single7WVVfMLFII7WVV-FPR2-ALX-fMLFII-Gi2/β1/γ2
45.45Single8XIOL7975918XIO-SST1-L797591-chim(NtGi1-Gs-CtGi1)/β1/γ2
45.45Single9VI9RFRP-39VI9-NPFF1-RFRP-3-Gi1/β1/γ2
45.45Consensusprostanoid_offOrthosteric Ligandep_off dp_off
45.00Single7Y26Octreotide7Y26-SST2-Octreotide-chim(NtGi2L-Gs-CtGq)/β1/γ2
45.00Single8HNLPS3724248HNL-CXCR3-PS372424-Gi1/β1/γ2
44.44Single8H0PNMB308H0P-BB1-NMB30-chim(NtGi1-Gs-CtGq)/β1/γ2
44.44Single8XVEBQ30208XVE-ETB-BQ3020-chim(Gs-CtGq)/β1/γ2
44.44Consensusnpy4_onOrthosteric Ligand7X9C-Y4-Pancreatic Hormone-Gi1/β1/γ2
44.44Consensusnpy4_on_gpOrthosteric Ligand7X9C-Y4-Pancreatic Hormone-Gi1/β1/γ2
44.00Single8K6NNeuropeptide-Y8K6N-Y2-Neuropeptide-Y-Gi2/β1/γ1
44.00Single9K27PrRP319K27-PrRP-PrRP31-chim(NtGi1-Gq)/β1/γ2
44.00Single9U4WGonadoliberin-19U4W-GnRH1-Gonadoliberin-1-chim(NtGi1L-Gs-CtGq)/β1/γ2
44.00Consensusangiotensin_onOrthosteric Ligandat1_on
44.00Consensusat1_onOrthosteric Ligand7F6G-AT1-(Sar1)-Angiotensin II-Gq/β1/γ2
44.00Consensuscompl-peptide_on_gpOrthosteric Ligandc5a1_on_gp c3a_on_gp
44.00Consensusfpr2-alx_onOrthosteric Ligand7WVX-FPR2-ALX-Humanin-Gi2/β1/γ2 7T6U-FPR2-ALX-CGEN-855A-Gi1/β1/γ2 7T6V-FPR2-ALX-fMLFII-Gi1/β1/γ2 7WVY-FPR2-ALX-Amyloid-β42-Gi2/β1/γ2 7T6S-FPR2-ALX-TC-FPR 43-Gi1/β1/γ2 6OMM-FPR2-ALX-WKYMVX-Gi1/β1/γ2
44.00Consensuspeptide_offonOrthosteric Ligandpeptide_off peptide_on
43.48Single5WF6UK-4320975WF6-A2A-UK-432097
43.48Single7F2OBradykinin7F2O-BK2-Bradykinin-chim(NtGi1-Gs-CtGq)/β1/γ2
43.48Single7F8WGastrin-177F8W-CCKB-Gastrin-17-chim(NtGsL-Gq)/β1/γ2
43.48Single9KZ2EP679KZ2-C3aB-EP67-Go/β1/γ2
42.86Single7EIBKallidin-des-Arg107EIB-BK1-Kallidin-des-Arg10-chim(NtGi1-Gs-CtGq)/β1/γ2
42.86Single7XAVLanreotide7XAV-SST2-Lanreotide-Gi1/β1/γ2
42.86Single7Y24Octreotide7Y24-SST2-Octreotide-Go/β1/γ2
42.86Single7YOONeuropeptide-Y7YOO-Y2-Neuropeptide-Y-Gi1/β1/γ2
42.86Single8IHHLUF62838IHH-HCA2-LUF6283-Gi1/β1/γ2
42.86Single8XWPEndothelin-18XWP-ETB-Endothelin-1-Gi1/β1/γ2
42.86Single8ZH8QRFP268ZH8-QRFP-QRFP26-Gq/β1/γ1
42.86Single9K26PrRP319K26-PrRP-PrRP31-Gi1/β1/γ2
42.86Single9KVPSB2901579KVP-C3aB-SB290157-Go/β1/γ2
42.86Consensusnpy2_onOrthosteric Ligand7YOO-Y2-Neuropeptide-Y-Gi1/β1/γ2
42.86Consensusnpy2_on_gpOrthosteric Ligand7YOO-Y2-Neuropeptide-Y-Gi1/β1/γ2
42.31Single6JODAngiotensin II6JOD-AT2-Angiotensin II
42.31Single7DW9AVP7DW9-V2-AVP-chim(NtGi1-Gs)/β1/γ2
42.31Single7F6G(Sar1)-Angiotensin II7F6G-AT1-(Sar1)-Angiotensin II-Gq/β1/γ2
42.31Single7KH0AVP7KH0-V2-AVP-chim(NtGi1-Gs)/β1/γ2
42.31Single8WSTMCH8WST-MCH2-MCH-chim(NtGi1L-Gs-CtGq)/β1/γ2
42.31Single8XWQEndothelin-18XWQ-ETB-Endothelin-1-Gi1/β1/γ2
42.31Single9BKKCholecystokinin-89BKK-CCKA-Cholecystokinin-8-chim(NtGi1-Gs-CtGq)/β1/γ2
42.31Consensusangiotensin_on_gpOrthosteric Ligandat1_on_gp
42.31Consensusat1_on_gpOrthosteric Ligand7F6G-AT1-(Sar1)-Angiotensin II-Gq/β1/γ2
42.31Consensusfpr2-alx_on_gpOrthosteric Ligand7WVX-FPR2-ALX-Humanin-Gi2/β1/γ2 7T6U-FPR2-ALX-CGEN-855A-Gi1/β1/γ2 7T6V-FPR2-ALX-fMLFII-Gi1/β1/γ2 7WVY-FPR2-ALX-Amyloid-β42-Gi2/β1/γ2 7T6S-FPR2-ALX-TC-FPR 43-Gi1/β1/γ2 6OMM-FPR2-ALX-WKYMVX-Gi1/β1/γ2
42.31Consensusgi_class-aOrthosteric Ligandgi_peptide gi_sensory gi_alicarboxylic gi_amine gi_lipid gi_nucleotide gi_protein
42.31Consensusgi_formylpeptideOrthosteric Ligand7WVY-FPR2-ALX-Amyloid-β42-Gi2/β1/γ2 7T6U-FPR2-ALX-CGEN-855A-Gi1/β1/γ2 7VFX-FPR1-ALX-fMIFL-Gi1/β1/γ2 7T6V-FPR2-ALX-fMLFII-Gi1/β1/γ2 7WVX-FPR2-ALX-Humanin-Gi2/β1/γ2 7T6S-FPR2-ALX-TC-FPR 43-Gi1/β1/γ2 6OMM-FPR2-ALX-WKYMVX-Gi1/β1/γ2
42.31Consensusgq_angiotensinOrthosteric Ligand7F6G-AT1-(Sar1)-Angiotensin II-Gq/β1/γ2
42.31Consensusgs_vasop-oxyOrthosteric Ligand7DW9-V2-AVP-chim(NtGi1-Gs)/β1/γ2
42.31Consensusv2_onOrthosteric Ligand7DW9-V2-AVP-chim(NtGi1-Gs)/β1/γ2
42.31Consensusv2_on_gpOrthosteric Ligand7DW9-V2-AVP-chim(NtGi1-Gs)/β1/γ2
42.31Consensusvasop-oxy_onOrthosteric Ligandv2_on
42.31Consensusvasop-oxy_on_gpOrthosteric Ligandv2_on_gp
42.11Single6U1NLY21196206U1N-M2-LY2119620-Arrestin2
42.11Single8JEIPubChem 117155568JEI-HCAR3-PubChem 11715556-Gi1/β1/γ2
41.94Consensusgs_peptideOrthosteric Ligandgs_cck gs_melanocortin gs_vasop-oxy
41.67Single4AMJCarvedilol4AMJ-β1-Carvedilol
41.67Single4IB4Ergotamine4IB4-5-HT2B-Ergotamine
41.67Single7F8XNN90567F8X-CCKA-NN9056
41.67Single7W0PElabela7W0P-Apelin-Elabela-Gi1/β1/γ2
41.67Single8WDTphotoNECA8WDT-A2A-photoNECA
41.67Single9UYJChemerin-99UYJ-CML2-Chemerin-9-Arrestin2
41.67Consensusmop_offOrthosteric Ligand4DKL-μ-β-Funaltrexamine 8QOT-μ-Nanobody-E 7UL4-μ-Alvimopan
41.67Consensusnop_onOrthosteric Ligand8F7X-NOP-Nociceptin-Gi1/β1/γ2
41.67Consensusnop_on_gpOrthosteric Ligand8F7X-NOP-Nociceptin-Gi1/β1/γ2
41.38Single6IGLIRL16206IGL-ETB-IRL1620
41.38Single8IY6Endothelin-18IY6-ETB-Endothelin-1
40.91Single6DRYMethylergometrine6DRY-5-HT2B-Methylergometrine
40.91Single6MXTSalmeterol6MXT-β2-Salmeterol
40.91Single7L1UOrexin7L1U-OX2-Orexin-chim(NtGi1-Gs-CtGq)/β1/γ2
40.91Single7XMTJ-21567XMT-SST4-J-2156-Gi1/β1/γ2
40.91Single7YMJTamsulosin7YMJ-Alpha1A-Tamsulosin
40.91Single8H0QGastrin Releasing Peptide8H0Q-BB2-Gastrin Releasing Peptide-chim(NtGi1-Gs-CtGq)/β1/γ2
40.91Single8HK2C3a8HK2-C3aB-C3a-Gi1/β1/γ2
40.91Single8IYWGSK2560738IYW-HCA2-GSK256073-Go/β1/γ2
40.91Single8J6DEP1418J6D-C3aB-EP141-Go/β1/γ2
40.91Single8JJLOlodaterol8JJL-β2-Olodaterol
40.91Single8X8NOctreotide8X8N-SST5-Octreotide-chim(NtGi1-Gs-CtGi1)/β1/γ2
40.91Consensus5ht1a_onOrthosteric Ligand8FYT-5-HT1A-LSD-PtdIns4P-Gi1/β1/γ1 7E2Y-5-HT1A-Serotonin-PtdIns4P-Gi1/β1/γ2 7E2Z-5-HT1A-Aripiprazole-PtdIns4P-Gi1/β1/γ2 8FYX-5-HT1A-Buspirone-PtdIns4P-Gi1/β1/γ1 8JSP-5-HT1A-Ulotaront-Gi1/β1/γ2 8JT6-5-HT1A-(R)-IHCH-7179-PtdIns4P-Gi1/β1/γ2 8FY8-5-HT1A-5-MeO-DMT-PtdIns4P-Gi1/β1/γ1 8FYE-5-HT1A-4-F,5-MeO-PyrT-PtdIns4P-Gi1/β1/γ1 8FYL-5-HT1A-Vilazodone-PtdIns4P-Gi1/β1/γ1
40.91Consensus5ht1a_on_gpOrthosteric Ligand8FYT-5-HT1A-LSD-PtdIns4P-Gi1/β1/γ1 8FYX-5-HT1A-Buspirone-PtdIns4P-Gi1/β1/γ1 8JSP-5-HT1A-Ulotaront-Gi1/β1/γ2 8JT6-5-HT1A-(R)-IHCH-7179-PtdIns4P-Gi1/β1/γ2 7E2Y-5-HT1A-Serotonin-PtdIns4P-Gi1/β1/γ2 7E2Z-5-HT1A-Aripiprazole-PtdIns4P-Gi1/β1/γ2 8FY8-5-HT1A-5-MeO-DMT-PtdIns4P-Gi1/β1/γ1 8FYE-5-HT1A-4-F,5-MeO-PyrT-PtdIns4P-Gi1/β1/γ1 8FYL-5-HT1A-Vilazodone-PtdIns4P-Gi1/β1/γ1
40.91Consensusalpha1_offOrthosteric Ligandalpha1a_off
40.91Consensusalpha1a_offOrthosteric Ligand7YMJ-Alpha1A-Tamsulosin
40.91Consensusbeta_onOrthosteric Ligandbeta1_on beta2_on beta3_on
40.91Consensusbeta_on_gpOrthosteric Ligandbeta1_on_gp beta2_on_gp beta3_on_gp
40.91Consensusc3a_onOrthosteric Ligand8HK2-C3aB-C3a-Gi1/β1/γ2 8IA8-C3aB-E7 peptide-Gi1/β1/γ2
40.91Consensusorexin_onOrthosteric Ligandox2_on
40.74Single7X9BNeuropeptide-Y7X9B-Y2-Neuropeptide-Y-Gi1/β1/γ2
40.74Single7X9CPancreatic Hormone7X9C-Y4-Pancreatic Hormone-Gi1/β1/γ2
40.74Single7Y64C5a7Y64-C5a1-C5a-Gi1/β1/γ2
40.74Single8HNKCXCL118HNK-CXCR3-CXCL11-Gi1/β1/γ2
40.74Single8WWMMCH8WWM-MCH1-MCH-Gi1/β1/γ2
40.74Single8XQEApelin-138XQE-Apelin; Apelin-Apelin-13-Gi1/β1/γ2
40.74Single8XVIEndothelin-18XVI-ETA-Endothelin-1-chim(Gs-CtGq)/β1/γ2
40.74Single8ZRTEndothelin-18ZRT-ETB-Endothelin-1
40.74Consensuschemokine_on_gpOrthosteric Ligandccr_on_gp cxcr_on_gp
40.00Single3QAKUK-4320973QAK-A2A-UK-432097
40.00Single6TOTLemborexant6TOT-OX1-Lemborexant
40.00Single7C6A(Sar1,Ile8)-Angiotensin II7C6A-AT2-(Sar1,Ile8)-Angiotensin II
40.00Single7NA8Ibutamoren7NA8-Ghrelin-Ibutamoren-Gi1/β1/γ2
40.00Single7SCGFH2107SCG-μ-FH210-Gi1/β1/γ2
40.00Single7UL4Alvimopan7UL4-μ-Alvimopan
40.00Single7WJ5Somatostatin-147WJ5-SST2-Somatostatin-14-Gi1/β1/γ2
40.00Single8JHNMonomethyl fumarate8JHN-HCA2-Monomethyl fumarate-Go/β1/γ2
40.00Single8JIINiacin8JII-HCA2-Niacin-PubChem 25101223-Gi1/β1/γ2
40.00Single8K5DGSK2560738K5D-HCA2-GSK256073
40.00Single8PJKST1718PJK-5-HT1A-ST171-Gi1/β1/γ1
40.00Single9EAINanobody AT2099EAI-AT1-Losartan-Nanobody AT209
40.00Single9IZCMK19039IZC-HCA2-MK1903-Gi1/β1/γ2
40.00Single9JGKBalovaptan9JGK-5-HT2B-Balovaptan
40.00Single9KV6TLQP219KV6-C3aB-TLQP21-Go/β1/γ2
40.00Single9L60Dynorphin9L60-κ-Dynorphin-MPAM-15-Gi1/β1/γ2
40.00Single9UMXEP549UMX-C5a1-EP54-Go/β1/γ2
40.00Consensusccr5_on_gpOrthosteric Ligand7O7F-CCR5-6P4-CCL5-Gi1/β1/γ1 7F1Q-CCR5-CCL3-Gi1/β1/γ2
40.00Consensusformylpeptide_on_gpOrthosteric Ligandfpr2-alx_on_gp fpr1-alx_on_gp
40.00Consensusgi_ghrelinOrthosteric Ligand7NA7-Ghrelin-Ghrelin-Gi1/β1/γ2 7NA8-Ghrelin-Ibutamoren-Gi1/β1/γ2
40.00Consensusgq_class-aOrthosteric Ligandgq_peptide gq_amine gq_nucleotide
39.29Single7YKDChemerin-97YKD-CML1-Chemerin-9-Gi1/β1/γ2
39.29Consensusccr5_onOrthosteric Ligand7O7F-CCR5-6P4-CCL5-Gi1/β1/γ1 7F1Q-CCR5-CCL3-Gi1/β1/γ2
39.29Consensusgi_compl-peptOrthosteric Ligand8HK5-C5a1-C5a-Gi1/β1/γ2 8IA8-C3aB-E7 peptide-Gi1/β1/γ2 7Y66-C5a1-BM213-Gi1/β1/γ2 7Y67-C5a1-C089 peptide-Gi1/β1/γ2 8HK2-C3aB-C3a-Gi1/β1/γ2 7Y64-C5a1-C5a-Gi1/β1/γ2
39.13Single4NC3Ergotamine4NC3-5-HT2B-Ergotamine
39.13Single5TUDErgotamine5TUD-5-HT2B-Ergotamine
39.13Single5UNGPubChem 157800525UNG-AT2-PubChem 15780052
39.13Single6H7LDobutamine6H7L-β1-Dobutamine
39.13Single7EZCUK-4320977EZC-A2A-UK-432097
39.13Single7EZHCholecystokinin-87EZH-CCKA-Cholecystokinin-8-Gi1/β1/γ2
39.13Single7EZMCholecystokinin-87EZM-CCKA-Cholecystokinin-8-chim(NtGsL-Gq)/β1/γ2
39.13Single7QVMOxytocin7QVM-OT-Oxytocin-chim(NtGi1-Go-CtGq)/β1/γ2
39.13Single8I95EP548I95-C3aB-EP54-Go/β1/γ2
39.13Single9HYIDP819HYI-5-HT1A-DP81-Gi1/β1/γ2
39.13Single9KT8Acifran9KT8-HCA2-Acifran-Gi1/β1/γ2
39.13Single9KUGEP679KUG-C5a1-EP67-Go/β1/γ2
39.13Single9UYHChemerin-99UYH-CML2-Chemerin-9-Arrestin2
39.13Consensusbeta1_onOrthosteric Ligand8DCR-β1-Dobutamine-Gs/β1/γ2 7S0F-β1-Isoprenaline-Gi1/β1/γ2
39.13Consensusbeta1_on_gpOrthosteric Ligand8DCR-β1-Dobutamine-Gs/β1/γ2 7S0F-β1-Isoprenaline-Gi1/β1/γ2
39.13Consensusc3a_on_gpOrthosteric Ligand8HK2-C3aB-C3a-Gi1/β1/γ2 8IA8-C3aB-E7 peptide-Gi1/β1/γ2
39.13Consensuscck_onOrthosteric Ligandccka_on cckb_on
39.13Consensuscck_on_gpOrthosteric Ligandccka_on_gp cckb_on_gp
39.13Consensusccka_onOrthosteric Ligand7EZH-CCKA-Cholecystokinin-8-Gi1/β1/γ2
39.13Consensusccka_on_gpOrthosteric Ligand7EZH-CCKA-Cholecystokinin-8-Gi1/β1/γ2
39.13Consensusclass-a_onOrthosteric Ligandsensory_on alicarboxylic_on amine_on lipid_on nucleotide_on peptide_on protein_on
39.13Consensusorexin_on_gpOrthosteric Ligandox2_on_gp
38.89Single8JILNiacin8JIL-HCA2-Niacin-Gi1/β1/γ2
38.89Single9IZDCHBA9IZD-HCA1-CHBA-Gi1/β1/γ2
38.71Consensusendothelin_on_gpOrthosteric Ligandetb_on_gp eta_on_gp
38.46Single5WF5UK-4320975WF5-A2A-UK-432097
38.46Single6MEOGp160; CD46MEO-CCR5-Gp160; CD4
38.46Single6PT2KGCHM076PT2-δ-KGCHM07
38.46Single8XGUTAK4488XGU-Kiss1-TAK448-Gi1/β1/γ2
38.46Single9MEUCXCL129MEU-CXCR4-CXCL12
38.10Single2YCWCarazolol2YCW-β1-Carazolol
38.10Single5D6LCarazolol5D6L-β2-Carazolol
38.10Single5WIUNemonapride5WIU-D4-Nemonapride
38.10Single5WIVNemonapride5WIV-D4-Nemonapride-Na
38.10Single6D26Fevipiprant6D26-DP2-Fevipiprant
38.10Single7C61Ergotamine7C61-5-HT1B-Ergotamine
38.10Single7CFNINT-7777CFN-GPBA-INT-777-Gs/β1/γ2
38.10Single7X1TTaltirelin7X1T-TRH-Taltirelin-chim(NtGi2L-Gs-CtGq)/β1/γ2
38.10Single8I7WGSK2560738I7W-HCA2-GSK256073-Gi1/β1/γ2
38.10Single8UUJFCH-22964138UUJ-HCA2-FCH-2296413-Gi1/β1/γ2
38.10Single8XYKVUF106618XYK-CXCR3-VUF10661-Go/β1/γ2
38.10Single8ZPTPrRP208ZPT-PrRP-PrRP20-chim(NtGi1-Gs-CtGq)/β1/γ2
38.10Single9CIBFCH-22964139CIB-HCA2-FCH-2296413
38.10Single9MQKIsoquinuclidine9MQK-κ-Isoquinuclidine
38.10Consensusalpha_offOrthosteric Ligandalpha1_off alpha2_off
38.10Consensusdp2_offOrthosteric Ligand6D26-DP2-Fevipiprant
38.10Consensusdp_offOrthosteric Liganddp2_off
37.93Single7WVYAmyloid-Beta427WVY-FPR2-ALX-Amyloid-β42-Gi2/β1/γ2
37.93Single8FEG(DNCP)-Beta-Naloxamine8FEG-κ-(DNCP)-β-Naloxamine-Gi1/β1/γ2
37.50Single4UG2CGS216804UG2-A2A-CGS21680
37.50Single6OMMWKYMVX6OMM-FPR2-ALX-WKYMVX-Gi1/β1/γ2
37.50Single8IA7Cholecystokinin-88IA7-CCKB-Cholecystokinin-8-chim(NtGi1L-Gq)/β1/γ2
37.50Single8X5YAstemizole8X5Y-H1-Astemizole
37.50Single8XZFWN5618XZF-Apelin; Apelin-WN561-Gi1/β1/γ2
37.50Single9EAJNanobody AT2099EAJ-AT1-Nanobody AT209
37.50Single9KZ8EP679KZ8-C3aB-EP67-Go/β1/γ2
37.50Single9M0RNeuropeptide-VF9M0R-NPFF1-Neuropeptide-VF-Gi1/β1/γ2
37.50Single9UMJEP549UMJ-C3aB-EP54-Go/β1/γ2
37.50Single9V2NMacimorelin9V2N-Ghrelin-Macimorelin-chim(NtGi1-Gs-CtGq)/β1/γ2
37.50Consensuscxcr_on_gpOrthosteric Ligandcxcr3_on_gp cxcr4_on_gp cxcr1_on_gp cxcr2_on_gp
37.50Consensusformylpeptide_onOrthosteric Ligandfpr2-alx_on fpr1-alx_on
37.50Consensusgq_cckOrthosteric Ligand8IA7-CCKB-Cholecystokinin-8-chim(NtGi1L-Gq)/β1/γ2 7XOW-CCKB-Sulfated Gastrin-(10-17)-chim(NtGi1-Gq)/β1/γ2 7EZM-CCKA-Cholecystokinin-8-chim(NtGsL-Gq)/β1/γ2 7F8W-CCKB-Gastrin-17-chim(NtGsL-Gq)/β1/γ2
37.50Consensusox2_onOrthosteric Ligand7L1V-OX2-PubChem 155491009-chim(NtGi1-Gs-CtGq)/β1/γ2 7SQO-OX2-TAK-925-Gi1/β1/γ2 7L1U-OX2-Orexin-chim(NtGi1-Gs-CtGq)/β1/γ2
37.50Consensusox2_on_gpOrthosteric Ligand7L1V-OX2-PubChem 155491009-chim(NtGi1-Gs-CtGq)/β1/γ2 7SQO-OX2-TAK-925-Gi1/β1/γ2 7L1U-OX2-Orexin-chim(NtGi1-Gs-CtGq)/β1/γ2
37.04Single5WB2CX3CL1.355WB2-US28-CX3CL1.35
37.04Single6METGp160; CD46MET-CCR5-Gp160; CD4
37.04Single7T10Somatostatin-147T10-SST2-Somatostatin-14-Gi3/β1/γ2
37.04Single7YONPeptide-YY(3-36)7YON-Y2-Peptide-YY(3-36)-Gi1/β1/γ2
37.04Consensuscxcr3_on_gpOrthosteric Ligand8HNK-CXCR3-CXCL11-Gi1/β1/γ2 8HNL-CXCR3-PS372424-Gi1/β1/γ2
37.04Consensusp2y_on_gpOrthosteric Ligandp2y1_on_gp p2y10_on_gp p2y12_on_gp
36.84Single8GGZConstrained Epinephrine8GGZ-β2-Constrained Epinephrine
36.84Single8IJBAcipimox8IJB-HCA2-Acipimox-Gi1/β1/γ2
36.84Single8J6LNiacin8J6L-HCA2-Niacin-Gi1/β1/γ2
36.84Single8UNXConstrained Epinephrine8UNX-β2-Constrained Epinephrine-GTP-Gs/β1/γ2
36.84Single8UTDMK19038UTD-HCA2-MK1903-Gi1/β1/γ2
36.84Single8Z87CHBA8Z87-HCA1-CHBA-Gi1/β1/γ2
36.84Consensus5ht1e_onOrthosteric Ligand7E33-5-HT1E-BRL-54443-Gi1/β1/γ2 8UGY-5-HT1E-Mianserin-Gi1/β1/γ1 8UH3-5-HT1E-Setiptiline-Gi1/β1/γ1
36.67Consensusendothelin_onOrthosteric Ligandetb_on eta_on
36.67Consensusetb_onOrthosteric Ligand8IY5-ETB-Endothelin-1-Gi1/β1/γ2 8HBD-ETB-IRL1620-Gi1/β1/γ2
36.36Single4IAQDihydroergotamine4IAQ-5-HT1B-Dihydroergotamine
36.36Single5A8E7-Methylcyanopindolol5A8E-β1-7-Methylcyanopindolol-Na
36.36Single5D5ACarazolol5D5A-β2-Carazolol
36.36Single5D5BCarazolol5D5B-β2-Carazolol
36.36Single6J21Aprepitant6J21-NK1-Aprepitant
36.36Single6N48BI1671076N48-β2-BI167107-PubChem 138454256
36.36Single7E2ZAripiprazole7E2Z-5-HT1A-Aripiprazole-PtdIns4P-Gi1/β1/γ2
36.36Single7X9ANeuropeptide-Y7X9A-Y1-Neuropeptide-Y-Gi1/β1/γ2
36.36Single7XBDGalanin7XBD-GAL2-Galanin-chim(NtGi2L-Gs-CtGq)/β1/γ2
36.36Single8IHBGSK2560738IHB-HCA2-GSK256073-Gi1/β1/γ2
36.36Single8IRRRotigotine8IRR-D1-Rotigotine-Gs/β1/γ2
36.36Single8IRVRotigotine8IRV-D5-Rotigotine-chim(NtGi1-Gs)/β1/γ2
36.36Single8JT6(R)-IHCH-71798JT6-5-HT1A-(R)-IHCH-7179-PtdIns4P-Gi1/β1/γ2
36.36Single8UGWCGS216808UGW-A2A-CGS21680
36.36Single8VVEnorBNI8VVE-κ-norBNI-Gi1/β1/γ2
36.36Single9UY3Anamorelin9UY3-Ghrelin-Anamorelin-chim(NtGi1-Gs-CtGq)/β1/γ2
36.36Consensusbeta1_offOrthosteric Ligand2VT4-β1-Cyanopindolol 2YCW-β1-Carazolol 2YCZ-β1-Iodocyanopindolol 5A8E-β1-7-Methylcyanopindolol-Na 3ZPQ-β1-PubChem 594590-Na 3ZPR-β1-PubChem 598754-Na
36.36Consensusbeta2_onOrthosteric Ligand7DHI-β2-Salbutamol-Gs/β1/γ2 6NI3-β2-BI167107-Gs/β1/γ2
36.36Consensusbeta2_on_gpOrthosteric Ligand7DHI-β2-Salbutamol-Gs/β1/γ2 6NI3-β2-BI167107-Gs/β1/γ2
36.36Consensusd5_on_gpOrthosteric Ligand8IRV-D5-Rotigotine-chim(NtGi1-Gs)/β1/γ2
36.36Consensusgi_5htOrthosteric Ligand8FYT-5-HT1A-LSD-PtdIns4P-Gi1/β1/γ1 7UM7-5-HT5A-Methylergometrine-chim(NtGi1-Go)/β1/γ2 8UGY-5-HT1E-Mianserin-Gi1/β1/γ1 8W8B-5-HT1A-SEP-363856-Gi1/β1/γ2 7E2Y-5-HT1A-Serotonin-PtdIns4P-Gi1/β1/γ2 7E32-5-HT1D-Serotonin-Gi1/β1/γ2 7XTA-5-HT4-Serotonin-Gi1/β1/γ2 8UH3-5-HT1E-Setiptiline-Gi1/β1/γ1 8JSP-5-HT1A-Ulotaront-Gi1/β1/γ2 8FYL-5-HT1A-Vilazodone-PtdIns4P-Gi1/β1/γ1 8JT6-5-HT1A-(R)-IHCH-7179-PtdIns4P-Gi1/β1/γ2 8FYE-5-HT1A-4-F,5-MeO-PyrT-PtdIns4P-Gi1/β1/γ1 7X5H-5-HT5A-5-CT-Gi1/β1/γ2 8FY8-5-HT1A-5-MeO-DMT-PtdIns4P-Gi1/β1/γ1 7E2Z-5-HT1A-Aripiprazole-PtdIns4P-Gi1/β1/γ2 7E33-5-HT1E-BRL-54443-Gi1/β1/γ2 8FYX-5-HT1A-Buspirone-PtdIns4P-Gi1/β1/γ1 7EXD-5-HT1F-Lasmiditan-Gi1/β1/γ2 7UM6-5-HT5A-Lisuride-chim(NtGi1-Go)/β1/γ2
36.36Consensusgi_dopamineOrthosteric Ligand7JVR-D2-Bromoergocryptine-Gi1/β1/γ2 7CMV-D3-PD128907-Gi1/β1/γ2 7CMU-D3-Pramipexole-Gi1/β1/γ2 8IRS-D2-Rotigotine-Gi1/β1/γ2 8IRT-D3-Rotigotine-Gi1/β1/γ2
36.36Consensusgi_relaxinOrthosteric Ligand7YK7-RXFP4-DC591053-Gi2/β1/γ2 7YJ4-RXFP4-INSL5-Gi2/β1/γ2 7YK6-RXFP4-PubChem 138319674-Gi2/β1/γ2
36.36Consensusgs_adrenergicOrthosteric Ligand7DHI-β2-Salbutamol-Gs/β1/γ2 7XJI-β3-Solabegron-Gs/β1/γ2 7JJO-β1-Isoprenaline-Gs/β1/γ2 6NI3-β2-BI167107-Gs/β1/γ2 8DCR-β1-Dobutamine-Gs/β1/γ2 7XJH-β3-Isoprenaline-Gs/β1/γ2 7DH5-β3-Mirabegron-Gs/β1/γ2
36.36Consensusrelaxin_onOrthosteric Ligandrxfp4_on
36.36Consensusrelaxin_on_gpOrthosteric Ligandrxfp4_on_gp
36.00Single5UNFPubChem 157800525UNF-AT2-PubChem 15780052
36.00Single7F54Afamelanotide7F54-MC4-Afamelanotide-Gs/β1/γ2
36.00Single7WKDTRH7WKD-TRH-TRH-chim(NtGi1-Gs-CtGq)/β1/γ2
36.00Single8F7XNociceptin8F7X-NOP-Nociceptin-Gi1/β1/γ2
36.00Single8FYLVilazodone8FYL-5-HT1A-Vilazodone-PtdIns4P-Gi1/β1/γ1
36.00Single8GHVAMG3158GHV-CB1-AMG315-Gi1/β1/γ2
36.00Single8K3ZCXCL128K3Z-CXCR4-CXCL12-Gi1/β1/γ1
36.00Single8ZCJPasireotide8ZCJ-SST5-Pasireotide-Gi1/β1/γ1
36.00Single9M4TSilodosin9M4T-Alpha1A-Silodosin
36.00Consensuscxcr4_onOrthosteric Ligand8K3Z-CXCR4-CXCL12-Gi1/β1/γ1
36.00Consensussomatostatin_offOrthosteric Ligandsst2_off
35.71Single7F6IKallidin7F6I-BK2-Kallidin-Gq/β1/γ2
35.71Single8HCXEndothelin-18HCX-ETB-Endothelin-1-chim(NtGi2L-Gs-CtGq)/β1/γ2
35.71Single8HK5C5a8HK5-C5a1-C5a-Gi1/β1/γ2
35.71Single9JFYNeuropeptide-SF9JFY-NPFF2-Neuropeptide-SF-Gi1/β1/γ2
35.71Consensuscml1_on_gpOrthosteric Ligand7YKD-CML1-Chemerin-9-Gi1/β1/γ2
35.71Consensusgi_chemokineOrthosteric Ligand6WWZ-CCR6-CCL20-Go/β1/γ2 8HNK-CXCR3-CXCL11-Gi1/β1/γ2 8K3Z-CXCR4-CXCL12-Gi1/β1/γ1 8IC0-CXCR1-CXCL8-Gi1/β1/γ2 6LFM-CXCR2-CXCL8-Gi1/β1/γ2 8KFX-CCR8-LMD-009-Gi1/β1/γ2 7F1Q-CCR5-CCL3-Gi1/β1/γ2 8HNL-CXCR3-PS372424-Gi1/β1/γ2 8KFY-CCR8-ZK-756326-Gi1/β1/γ2 7O7F-CCR5-6P4-CCL5-Gi1/β1/γ1 8U1U-CCR8-CCL1-Gi1/β1/γ2 7VLA-CCR1-CCL15(27-92)-Gi1/β1/γ2 7XA3-CCR2-CCL2-Gi1/β1/γ2
35.71Consensusopioid_onOrthosteric Ligandmop_on nop_on dop_on kop_on
35.48Single5GLHEndothelin-15GLH-ETB-Endothelin-1
35.48Single6IGKEndothelin-36IGK-ETB-Endothelin-3
35.48Consensusbb2_onOrthosteric Ligand7W40-BB2-Bombesin-chim(NtGi1L-Gq)/β1/γ2 7W3Z-BB2-Gastrin Releasing Peptide-chim(NtGi1L-Gq)/β1/γ2
35.48Consensusbb2_on_gpOrthosteric Ligand7W40-BB2-Bombesin-chim(NtGi1L-Gq)/β1/γ2 7W3Z-BB2-Gastrin Releasing Peptide-chim(NtGi1L-Gq)/β1/γ2
35.48Consensusbombesin_onOrthosteric Ligandbb2_on
35.48Consensusbombesin_on_gpOrthosteric Ligandbb2_on_gp
35.48Consensusgi_endothelinOrthosteric Ligand8IY5-ETB-Endothelin-1-Gi1/β1/γ2 8HBD-ETB-IRL1620-Gi1/β1/γ2
35.48Consensusgq_bombesinOrthosteric Ligand7W40-BB2-Bombesin-chim(NtGi1L-Gq)/β1/γ2 7W3Z-BB2-Gastrin Releasing Peptide-chim(NtGi1L-Gq)/β1/γ2
35.00Single4LDOEpinephrine4LDO-β2-Epinephrine
35.00Single4MBSMaraviroc4MBS-CCR5-Maraviroc
35.00Single4N6HNaltrindole4N6H-δ-Naltrindole-Na
35.00Single4ZJCSB-6740424ZJC-OX1-SB-674042
35.00Single6PS0Carazolol6PS0-β2-Carazolol
35.00Single6PS4ICI118-5516PS4-β2-ICI118-551
35.00Single6TPGEMPA6TPG-OX2-EMPA
35.00Single7F61PF-036547467F61-H3-PF-03654746
35.00Single7T94LY21196207T94-M2-Acetylcholine-LY2119620-chim(NtGi1-Go)/β1/γ2
35.00Single8GEDConstrained Epinephrine8GED-β2-Constrained Epinephrine-Gs/β1/γ2
35.00Single8GGQConstrained Epinephrine8GGQ-β2-Constrained Epinephrine
35.00Single8GGXConstrained Epinephrine8GGX-β2-Constrained Epinephrine
35.00Single8IY9Niacin8IY9-HCA2-Niacin-Go/β1/γ2
35.00Single8JERAcipimox8JER-HCA2-Acipimox-Go/β1/γ2
35.00Single8JIMMonomethyl fumarate8JIM-HCA2-Monomethyl fumarate-Gi1/β1/γ2
35.00Single8K5CAcipimox8K5C-HCA2-Acipimox
35.00Single8RWIStilSwitch28RWI-A2A-StilSwitch2-Na
35.00Single8UNMConstrained Epinephrine8UNM-β2-Constrained Epinephrine-GTP-Gs/β1/γ2
35.00Single8UNWConstrained Epinephrine8UNW-β2-Constrained Epinephrine-GTP-Gs/β1/γ2
35.00Single8UO0Constrained Epinephrine8UO0-β2-Constrained Epinephrine-GTP-Gs/β1/γ2
35.00Single8ZPMAMD0708ZPM-CXCR4-AMD070
35.00Single9W33S5A19W33-SST5-S5A1
35.00Single9W6W5-CT9W6W-5-HT5A-5-CT-Gi1/β1/γ2
35.00Consensushca_onOrthosteric Ligandhca2_on
34.78Single3D4STimolol3D4S-β2-Timolol
34.78Single4AMIBucindolol4AMI-β1-Bucindolol
34.78Single4LDEBI1671074LDE-β2-BI167107
34.78Single4RWADIPP-NH24RWA-δ-DIPP-NH2
34.78Single6H7OCyanopindolol6H7O-β1-Cyanopindolol
34.78Single7DH5Mirabegron7DH5-β3-Mirabegron-Gs/β1/γ2
34.78Single7K15MKD0467K15-BLT1-MKD046-Na
34.78Single7L1VPubChem 1554910097L1V-OX2-PubChem 155491009-chim(NtGi1-Gs-CtGq)/β1/γ2
34.78Single7XW9TRH7XW9-TRH-TRH-chim(NtGi1L-Gs-CtGq)/β1/γ2
34.78Single7Y66BM2137Y66-C5a1-BM213-Gi1/β1/γ2
34.78Single8I9AEP548I9A-C3aB-EP54-chim(NtGi1-Gs-CtGq)/β1/γ2
34.78Single8JJ8Arformoterol8JJ8-β2-Arformoterol
34.78Single8JJPChemerin-98JJP-CML2-Chemerin-9-Gi1/β1/γ2
34.78Single8JWZEtrumadenant8JWZ-A2A-Etrumadenant-Na
34.78Single8T3QDoconexent8T3Q-FFA4-Doconexent-chim(NtGi2L-Gs-CtGq)/β1/γ2
34.78Single8W1VPubChem 1717162658W1V-β2-PubChem 171716265
34.78Single8XYIVUF106618XYI-CXCR3-VUF10661
34.78Single9GYOP3959GYO-GPBA-P395-chim(NtGi1-Gs)/β1/γ2
34.78Single9L3WChemerin9L3W-CML1-Chemerin-Gi1/β1/γ2
34.78Single9M4QDoxazosin9M4Q-Alpha1A-Doxazosin
34.78Single9MQLIsoquinuclidine9MQL-κ-Isoquinuclidine
34.78Single9V6ONalfurafine9V6O-κ-Nalfurafine-Gi1/β1/γ2
34.78Single9VIFNeuropeptide-VF9VIF-NPFF1-Neuropeptide-VF-Gi1/β1/γ2
34.78Single9WSVDAMGO9WSV-μ-DAMGO-Arrestin2
34.78Single9WXMGPR15L(CT)9WXM-GPR15-GPR15L(CT)-Gi3/β1/γ2
34.78Single9YDQDADLE9YDQ-δ-DADLE-MIPS3614-chim(NtGi1L-Gs-CtGi1)/β1/γ2
34.78Consensusbeta3_onOrthosteric Ligand7DH5-β3-Mirabegron-Gs/β1/γ2 7XJH-β3-Isoprenaline-Gs/β1/γ2 7XJI-β3-Solabegron-Gs/β1/γ2
34.78Consensusbeta3_on_gpOrthosteric Ligand7DH5-β3-Mirabegron-Gs/β1/γ2 7XJH-β3-Isoprenaline-Gs/β1/γ2 7XJI-β3-Solabegron-Gs/β1/γ2
34.78Consensusd2_on_gpOrthosteric Ligand7JVR-D2-Bromoergocryptine-Gi1/β1/γ2 8IRS-D2-Rotigotine-Gi1/β1/γ2
34.78Consensusgalanin_onOrthosteric Ligandgal2_on gal1_on
34.78Consensusgalanin_on_gpOrthosteric Ligandgal2_on_gp gal1_on_gp
34.78Consensusmop_onOrthosteric Ligand8F7R-μ-Endomorphin-Gi1/β1/γ2 8EF5-μ-Fentanyl-Gi1/β1/γ2 7SCG-μ-FH210-Gi1/β1/γ2 7T2H-μ-Lofentanil-Gi1/β1/γ2 7T2G-μ-Mitragynine Pseudoindoxyl-Gi1/β1/γ2 8EF6-μ-Morphine-Gi1/β1/γ2 8EFB-μ-Oliceridine-Gi1/β1/γ2 7U2L-μ-C5-guano-Gi1/β1/γ2 8EFO-μ-PZM21-Gi1/β1/γ2 8EFL-μ-SR17018-Gi1/β1/γ2 8F7Q-μ-β-Endorphin-Gi1/β1/γ2 7U2K-μ-C6-guano-Gi1/β1/γ2 8EFQ-μ-DAMGO-Gi1/β1/γ2
34.78Consensusmop_on_gpOrthosteric Ligand8F7R-μ-Endomorphin-Gi1/β1/γ2 8EF5-μ-Fentanyl-Gi1/β1/γ2 7SCG-μ-FH210-Gi1/β1/γ2 7T2H-μ-Lofentanil-Gi1/β1/γ2 7T2G-μ-Mitragynine Pseudoindoxyl-Gi1/β1/γ2 8EF6-μ-Morphine-Gi1/β1/γ2 8EFB-μ-Oliceridine-Gi1/β1/γ2 7U2L-μ-C5-guano-Gi1/β1/γ2 8EFO-μ-PZM21-Gi1/β1/γ2 8EFL-μ-SR17018-Gi1/β1/γ2 8F7Q-μ-β-Endorphin-Gi1/β1/γ2 7U2K-μ-C6-guano-Gi1/β1/γ2 8EFQ-μ-DAMGO-Gi1/β1/γ2
34.78Consensusnk1_offOrthosteric Ligand6HLP-NK1-Netupitant 6HLO-NK1-Aprepitant 6HLL-NK1-CP99994 6E59-NK1-L-760735
34.78Consensustrh_onOrthosteric Ligand7XW9-TRH-TRH-chim(NtGi1L-Gs-CtGq)/β1/γ2
34.78Consensustrh_on_gpOrthosteric Ligand7XW9-TRH-TRH-chim(NtGi1L-Gs-CtGq)/β1/γ2
34.62Single7RKMCX3CL17RKM-US28-CX3CL1-Gi1/β1/γ2
34.62Single7W0NElabela7W0N-Apelin; Apelin-Elabela-Gi1/β1/γ2
34.62Single7XNACYN1548067XNA-SST2-CYN154806
34.62Single8JZZC5a-des-Arg8JZZ-C5a1-C5a-des-Arg-Go/β1/γ2
34.62Single8K6ONeuropeptide-Y8K6O-Y1-Neuropeptide-Y-Gi2/β1/γ1
34.62Single9IQRMuscarinic toxin 39IQR-α2a-Muscarinic toxin 3
34.62Single9IQSMuscarinic toxin 39IQS-M4-Muscarinic toxin 3
34.62Single9KT7MK68929KT7-HCA2-MK6892-Gi1/β1/γ2
34.62Consensuscckb_onOrthosteric Ligand8IA7-CCKB-Cholecystokinin-8-chim(NtGi1L-Gq)/β1/γ2 7XOW-CCKB-Sulfated Gastrin-(10-17)-chim(NtGi1-Gq)/β1/γ2 7F8V-CCKB-Gastrin-17-Gi2/β1/γ2
34.62Consensusghrelin_onOrthosteric Ligand7NA7-Ghrelin-Ghrelin-Gi1/β1/γ2 7F9Z-Ghrelin-GHRP-6-chim(NtGi1-Gs-CtGq)/β1/γ2 7NA8-Ghrelin-Ibutamoren-Gi1/β1/γ2
34.62Consensusghrelin_on_gpOrthosteric Ligand7NA7-Ghrelin-Ghrelin-Gi1/β1/γ2 7F9Z-Ghrelin-GHRP-6-chim(NtGi1-Gs-CtGq)/β1/γ2 7NA8-Ghrelin-Ibutamoren-Gi1/β1/γ2
34.62Consensussst2_offOrthosteric Ligand7XNA-SST2-CYN154806
34.48Single7W3ZGastrin Releasing Peptide7W3Z-BB2-Gastrin Releasing Peptide-chim(NtGi1L-Gq)/β1/γ2
34.48Single8XQFApelin-138XQF-Apelin-Apelin-13-Gi1/β1/γ2
34.48Single9KFKRelaxin-39KFK-RXFP4-Relaxin-3-Gi2/β1/γ2
34.48Consensusgi_proteinOrthosteric Ligandgi_chemokine gi_chemerin
34.48Consensusopioid_on_gpOrthosteric Ligandmop_on_gp nop_on_gp dop_on_gp kop_on_gp
34.48Consensusprotein_on_gpOrthosteric Ligandchemokine_on_gp chemerin_on_gp
34.38Single8HBDIRL16208HBD-ETB-IRL1620-Gi1/β1/γ2
34.38Consensusetb_on_gpOrthosteric Ligand8IY5-ETB-Endothelin-1-Gi1/β1/γ2 8HBD-ETB-IRL1620-Gi1/β1/γ2
33.33Single2VT4Cyanopindolol2VT4-β1-Cyanopindolol
33.33Single2YCZIodocyanopindolol2YCZ-β1-Iodocyanopindolol
33.33Single3NY8ICI118-5513NY8-β2-ICI118-551
33.33Single3ZPRPubChem 5987543ZPR-β1-PubChem 598754-Na
33.33Single4BVNCyanopindolol4BVN-β1-Cyanopindolol-Na
33.33Single4EJ4Naltrindole4EJ4-δ-Naltrindole
33.33Single4GBRCarazolol4GBR-β2-Carazolol
33.33Single4J4QOctyl Beta-D-Glucopyranoside4J4Q-Rhodopsin-Octyl β-D-Glucopyranoside-Gt(CT)
33.33Single4QKXPubChem 762106284QKX-β2-PubChem 76210628
33.33Single5NDDAZ8838; Na5NDD-PAR2-AZ8838; Na
33.33Single6D27CAY104716D27-DP2-CAY10471
33.33Single6DRZMethysergide6DRZ-5-HT2B-Methysergide
33.33Single6LRYSarafotoxin-B6LRY-ETB-Sarafotoxin-B
33.33Single6LW5WKYMVm6LW5-FPR2-ALX-WKYMVm
33.33Single6XBM25(S)-Epoxycholesterol6XBM-SMO-25(S)-Epoxycholesterol-Gi1/β1/γ2
33.33Single7BTSEpinephrine7BTS-β1-Epinephrine
33.33Single7BU6Norepinephrine7BU6-β1-Norepinephrine
33.33Single7BU7BI1671077BU7-β1-BI167107
33.33Single7E32Serotonin7E32-5-HT1D-Serotonin-Gi1/β1/γ2
33.33Single7F4FAfamelanotide7F4F-MC1-Afamelanotide-chim(NtGi1-Gs)/β1/γ2
33.33Single7MBXCholecystokinin-87MBX-CCKA-Cholecystokinin-8-Gs/β1/γ1
33.33Single7MBYCholecystokinin-87MBY-CCKA-Cholecystokinin-8-chim(NtGi1L-Gs-CtGq)/β1/γ2
33.33Single7RYCOxytocin7RYC-OT-Oxytocin-chim(NtGi2L-Gs-CtGq)/β1/γ2
33.33Single7S0GIsoprenaline7S0G-β1-Isoprenaline-chim(Gi1-CtGs)/β1/γ2
33.33Single7T2GMitragynine Pseudoindoxyl7T2G-μ-Mitragynine Pseudoindoxyl-Gi1/β1/γ2
33.33Single7T6VfMLFII7T6V-FPR2-ALX-fMLFII-Gi1/β1/γ2
33.33Single7TRQVU04671547TRQ-M4-Iperoxo-VU0467154-Gi1/β1/γ2
33.33Single7UM4AS26747237UM4-5-HT5A-AS2674723
33.33Single7UM55-CT7UM5-5-HT5A-5-CT-chim(NtGi1-Go)/β1/γ2
33.33Single7V6APubChem 98642757V6A-M4-PubChem 9864275-Gi1/β1/γ2
33.33Single7WQ3Galanin7WQ3-GAL1-Galanin-Gi1/β1/γ2
33.33Single7XJISolabegron7XJI-β3-Solabegron-Gs/β1/γ2
33.33Single8E0GBU728E0G-μ-BU72
33.33Single8EFQDAMGO8EFQ-μ-DAMGO-Gi1/β1/γ2
33.33Single8GE2Constrained Epinephrine8GE2-β2-Constrained Epinephrine-Gs/β1/γ1
33.33Single8GE3Constrained Epinephrine8GE3-β2-Constrained Epinephrine-Gs/β1/γ2
33.33Single8GECConstrained Epinephrine8GEC-β2-Constrained Epinephrine-Gs/β1/γ2
33.33Single8GEEConstrained Epinephrine8GEE-β2-Constrained Epinephrine-Gs/β1/γ2
33.33Single8GFVConstrained Epinephrine8GFV-β2-Constrained Epinephrine-GTP-Gs/β1/γ2
33.33Single8GFWConstrained Epinephrine8GFW-β2-Constrained Epinephrine-GTP-Gs/β1/γ2
33.33Single8GFXConstrained Epinephrine8GFX-β2-Constrained Epinephrine-GTP-Gs/β1/γ2
33.33Single8GFZConstrained Epinephrine8GFZ-β2-Constrained Epinephrine-GTP-Gs/β1/γ2
33.33Single8GG0Constrained Epinephrine8GG0-β2-Constrained Epinephrine-GTP-Gs/β1/γ2
33.33Single8GG1Constrained Epinephrine8GG1-β2-Constrained Epinephrine-GTP-Gs/β1/γ2
33.33Single8GG3Constrained Epinephrine8GG3-β2-Constrained Epinephrine-GTP-Gs/β1/γ2
33.33Single8GG4Constrained Epinephrine8GG4-β2-Constrained Epinephrine-GTP-Gs/β1/γ2
33.33Single8GG6Constrained Epinephrine8GG6-β2-Constrained Epinephrine-GTP-Gs/β1/γ2
33.33Single8GG9Constrained Epinephrine8GG9-β2-Constrained Epinephrine-GTP-Gs/β1/γ2
33.33Single8GGIConstrained Epinephrine8GGI-β2-Constrained Epinephrine
33.33Single8GGJConstrained Epinephrine8GGJ-β2-Constrained Epinephrine
33.33Single8GGKConstrained Epinephrine8GGK-β2-Constrained Epinephrine
33.33Single8GGNConstrained Epinephrine8GGN-β2-Constrained Epinephrine
33.33Single8GGOConstrained Epinephrine8GGO-β2-Constrained Epinephrine
33.33Single8GGUConstrained Epinephrine8GGU-β2-Constrained Epinephrine
33.33Single8I7VAcipimox8I7V-HCA2-Acipimox-Gi1/β1/γ2
33.33Single8IHJAcifran8IHJ-HCA3-Acifran-Gi1/β1/γ2
33.33Single8IRTRotigotine8IRT-D3-Rotigotine-Gi1/β1/γ2
33.33Single8J6PNiacin8J6P-HCA2-Niacin-PubChem 25101223-Gi1/β1/γ2
33.33Single8JLZST19368JLZ-5-HT6-ST1936-Gs/β1/γ2
33.33Single8K2XCXCL108K2X-CXCR3-CXCL10-Gi1/β1/γ2
33.33Single8K6MNeuropeptide-Y8K6M-Y1-Neuropeptide-Y-Gi2/β1/γ1
33.33Single8RW7StilSwitch18RW7-A2A-StilSwitch1-Na
33.33Single8RWXStilSwitch38RWX-A2A-StilSwitch3-Na
33.33Single8UGYMianserin8UGY-5-HT1E-Mianserin-Gi1/β1/γ1
33.33Single8UNQConstrained Epinephrine8UNQ-β2-Constrained Epinephrine-GTP-Gs/β1/γ2
33.33Single8UNRConstrained Epinephrine8UNR-β2-Constrained Epinephrine-GTP-Gs/β1/γ2
33.33Single8UNUConstrained Epinephrine8UNU-β2-Constrained Epinephrine-GTP-Gs/β1/γ2
33.33Single8UNVConstrained Epinephrine8UNV-β2-Constrained Epinephrine-GTP-Gs/β1/γ2
33.33Single8UNYConstrained Epinephrine8UNY-β2-Constrained Epinephrine-GTP-Gs/β1/γ2
33.33Single8UNZConstrained Epinephrine8UNZ-β2-Constrained Epinephrine-GTP-Gs/β1/γ2
33.33Single8UO2Constrained Epinephrine8UO2-β2-Constrained Epinephrine-GTP-Gs/β1/γ2
33.33Single8XIQL7967788XIQ-SST3-L796778-chim(NtGi1-Gs-CtGi1)/β1/γ2
33.33Single8XZHMM078XZH-Apelin; Apelin-MM07-Gi1/β1/γ2
33.33Single8YH5Riboprine8YH5-A3A-Riboprine-Gi1/β1/γ2
33.33Single8ZBEOctreotide8ZBE-SST5-Octreotide-Gi1/β1/γ1
33.33Single8ZWGJR14a8ZWG-C3aB-JR14a-Gi1/β1/γ2
33.33Single9JKT(2R)-2-hydroxy-3-phenylpropanoic acid9JKT-HCA3-(2R)-2-hydroxy-3-phenylpropanoic acid-Gi1/β1/γ2
33.33Single9KDFRES-701-39KDF-ETB-RES-701-3
33.33Single9YDPDADLE9YDP-δ-DADLE-chim(NtGi1L-Gs-CtGi1)/β1/γ2
33.33Consensus5ht1d_onOrthosteric Ligand7E32-5-HT1D-Serotonin-Gi1/β1/γ2
33.33Consensus5ht1d_on_gpOrthosteric Ligand7E32-5-HT1D-Serotonin-Gi1/β1/γ2
33.33Consensus5ht2b_offOrthosteric Ligand6DRZ-5-HT2B-Methysergide
33.33Consensusadrenergic_onOrthosteric Ligandalpha_on beta_on
33.33Consensusc5a1_onOrthosteric Ligand8HK5-C5a1-C5a-Gi1/β1/γ2 7Y66-C5a1-BM213-Gi1/β1/γ2 7Y67-C5a1-C089 peptide-Gi1/β1/γ2 7Y64-C5a1-C5a-Gi1/β1/γ2
33.33Consensuscckb_on_gpOrthosteric Ligand8IA7-CCKB-Cholecystokinin-8-chim(NtGi1L-Gq)/β1/γ2 7XOW-CCKB-Sulfated Gastrin-(10-17)-chim(NtGi1-Gq)/β1/γ2 7F8V-CCKB-Gastrin-17-Gi2/β1/γ2
33.33Consensuschemerin_onOrthosteric Ligandcml1_on
33.33Consensuscxcr4_on_gpOrthosteric Ligand8K3Z-CXCR4-CXCL12-Gi1/β1/γ1
33.33Consensusdop_offOrthosteric Ligand4EJ4-δ-Naltrindole
33.33Consensusdopamine_offOrthosteric Ligandd2_off d3_off
33.33Consensusdopamine_onOrthosteric Ligandd2_on d1_on d3_on d4_on d5_on
33.33Consensusdopamine_on_gpOrthosteric Ligandd2_on_gp d1_on_gp d3_on_gp d4_on_gp d5_on_gp
33.33Consensusendothelin_offOrthosteric Ligandetb_off
33.33Consensusetb_offOrthosteric Ligand5X93-ETB-K-8794 5XPR-ETB-Bosentan 6K1Q-ETB-IRL2500
33.33Consensusgal1_onOrthosteric Ligand7WQ3-GAL1-Galanin-Gi1/β1/γ2
33.33Consensusgal1_on_gpOrthosteric Ligand7WQ3-GAL1-Galanin-Gi1/β1/γ2
33.33Consensusgal2_onOrthosteric Ligand7WQ4-GAL2-Galanin-chim(NtGi1-Gs-CtGq)/β1/γ2 7XJL-GAL2-Spexin-chim(NtGi2L-Gs-CtGq)/β1/γ2
33.33Consensusgal2_on_gpOrthosteric Ligand7WQ4-GAL2-Galanin-chim(NtGi1-Gs-CtGq)/β1/γ2 7XJL-GAL2-Spexin-chim(NtGi2L-Gs-CtGq)/β1/γ2
33.33Consensusgi_galaninOrthosteric Ligand7WQ3-GAL1-Galanin-Gi1/β1/γ2
33.33Consensusgi_hcaOrthosteric Ligand8J6R-HCA2-MK6892-Gi1/β1/γ2 8JIM-HCA2-Monomethyl fumarate-Gi1/β1/γ2 8IHI-HCA2-Acifran-Gi1/β1/γ2 8IHH-HCA2-LUF6283-Gi1/β1/γ2 8I7V-HCA2-Acipimox-Gi1/β1/γ2 8I7W-HCA2-GSK256073-Gi1/β1/γ2
33.33Consensusgs_cckOrthosteric Ligand7MBX-CCKA-Cholecystokinin-8-Gs/β1/γ1
33.33Consensusgs_class-aOrthosteric Ligandgs_peptide gs_nucleotide gs_amine
33.33Consensushca2_onOrthosteric Ligand8J6R-HCA2-MK6892-Gi1/β1/γ2 8JIM-HCA2-Monomethyl fumarate-Gi1/β1/γ2 8I7V-HCA2-Acipimox-Gi1/β1/γ2 8I7W-HCA2-GSK256073-Gi1/β1/γ2 8IHH-HCA2-LUF6283-Gi1/β1/γ2 8IHI-HCA2-Acifran-Gi1/β1/γ2
33.33Consensushca2_on_gpOrthosteric Ligand8J6R-HCA2-MK6892-Gi1/β1/γ2 8IHI-HCA2-Acifran-Gi1/β1/γ2 8IHH-HCA2-LUF6283-Gi1/β1/γ2 8I7V-HCA2-Acipimox-Gi1/β1/γ2 8JIM-HCA2-Monomethyl fumarate-Gi1/β1/γ2 8I7W-HCA2-GSK256073-Gi1/β1/γ2
33.33Consensushca_on_gpOrthosteric Ligandhca2_on_gp
33.33Consensusnpy1_onOrthosteric Ligand8K6M-Y1-Neuropeptide-Y-Gi2/β1/γ1
33.33Consensusnpy1_on_gpOrthosteric Ligand8K6M-Y1-Neuropeptide-Y-Gi2/β1/γ1
32.26Single7VGXNeuropeptide-Y7VGX-Y1-Neuropeptide-Y-Gi1/β1/γ2
32.26Single8IY5Endothelin-18IY5-ETB-Endothelin-1-Gi1/β1/γ2
32.26Single8Y52BA18Y52-BB3-BA1-chim(NtGi1-Gs-CtGq)/β1/γ2
32.26Consensusgs_melanocortinOrthosteric Ligand7F4H-MC1-Afamelanotide-chim(NtGi1-Gs)/β1/γ2 7F54-MC4-Afamelanotide-Gs/β1/γ2 7F4D-MC1-α-MSH-chim(NtGi1-Gs)/β1/γ2 8INR-MC5-α-MSH-Ca-chim(NtGi1-Gs)/β1/γ2 7F53-MC4-α-MSH-Gs/β1/γ2 7F55-MC4-Bremelanotide-Gs/β1/γ2 8GY7-MC2-Corticotropin-Ca-chim(NtGi1-Gs)/β1/γ2; MRAP1 8IOC-MC3-γ-MSH-Ca-chim(NtGi1-Gs)/β1/γ2 8IOD-MC5-PG-901-Ca-chim(NtGi1-Gs)/β1/γ2 7AUE-MC4-Setmelanotide-chim(NtGi1L-Gs)/β1/γ2 7F4I-MC1-SHU9119-chim(NtGi1-Gs)/β1/γ2 7F58-MC4-THIQ-Gs/β1/γ2
32.14Single7W40Bombesin7W40-BB2-Bombesin-chim(NtGi1L-Gq)/β1/γ2
32.14Single8J6IMK68928J6I-HCA2-MK6892-Gi1/β1/γ2
32.14Single8XZJWN3538XZJ-Apelin; Apelin-WN353-Gi1/β1/γ2
32.14Consensusapelin_onOrthosteric Ligand8XZH-Apelin; Apelin-MM07-Gi1/β1/γ2 7W0M-Apelin-PubChem 122701908-Gi1/β1/γ2 8XZJ-Apelin; Apelin-WN353-Gi1/β1/γ2 8XZF-Apelin; Apelin-WN561-Gi1/β1/γ2 8XZG-Apelin; Apelin-Apelin-13-Gi1/β1/γ2
32.14Consensusapelin_on_gpOrthosteric Ligand8XZH-Apelin; Apelin-MM07-Gi1/β1/γ2 7W0M-Apelin-PubChem 122701908-Gi1/β1/γ2 8XZJ-Apelin; Apelin-WN353-Gi1/β1/γ2 8XZF-Apelin; Apelin-WN561-Gi1/β1/γ2 8XZG-Apelin; Apelin-Apelin-13-Gi1/β1/γ2
32.14Consensusc5a1_on_gpOrthosteric Ligand8HK5-C5a1-C5a-Gi1/β1/γ2 7Y66-C5a1-BM213-Gi1/β1/γ2 7Y67-C5a1-C089 peptide-Gi1/β1/γ2 7Y64-C5a1-C5a-Gi1/β1/γ2
32.14Consensusprotein_offonOrthosteric Ligandprotein_off protein_on
32.14Consensusprotein_offon_gpOrthosteric Ligandprotein_on_gp protein_off
32.14Consensusprotein_onOrthosteric Ligandchemokine_on chemerin_on
32.00Single5ZTYAM102575ZTY-CB2-AM10257
32.00Single6C1QPMX536C1Q-C5a1-PMX53-NDT9513727
32.00Single6G79Donitriptan6G79-5-HT1B-Donitriptan-Go/β1/γ2
32.00Single7F9ZGHRP-67F9Z-Ghrelin-GHRP-6-chim(NtGi1-Gs-CtGq)/β1/γ2
32.00Single7SK9CCX6627SK9-ACKR3-CCX662
32.00Single7XY6BAY 60-65837XY6-A2B-BAY 60-6583-chim(NtGi1-Gs)/β1/γ2
32.00Single7Y1FDynorphin7Y1F-κ-Dynorphin-Gi1/β1/γ2
32.00Single7YJ4INSL57YJ4-RXFP4-INSL5-Gi2/β1/γ2
32.00Single8F7REndomorphin8F7R-μ-Endomorphin-Gi1/β1/γ2
32.00Single8JLRA776368JLR-TA1-A77636-chim(NtGi1-Gs)/β1/γ2
32.00Single8Y72Peptide8Y72-μ-Peptide-BMS-986122-Gi1/β1/γ2
32.00Single9IPVJR14a9IPV-C3aB-JR14a-Gi1/β1/γ2
32.00Single9IPYJR14a9IPY-C3aB-JR14a
32.00Single9IZASCH9002719IZA-HCA2-SCH900271-Gi1/β1/γ2
32.00Single9KX6C5a-des-Arg9KX6-C5a1-C5a-des-Arg-Go/β1/γ2
32.00Single9WSXEndomorphin9WSX-μ-Endomorphin-Arrestin2
32.00Consensuscb2_offOrthosteric Ligand5ZTY-CB2-AM10257
32.00Consensuscxcr3_onOrthosteric Ligand8HNK-CXCR3-CXCL11-Gi1/β1/γ2 8HNL-CXCR3-PS372424-Gi1/β1/γ2
31.82Single2RH1Carazolol2RH1-β2-Carazolol
31.82Single2Y00Dobutamine2Y00-β1-Dobutamine
31.82Single4RWDDIPP-NH24RWD-δ-DIPP-NH2-Na
31.82Single4ZJ8Suvorexant4ZJ8-OX1-Suvorexant
31.82Single5C1MBU725C1M-μ-BU72
31.82Single5JQHCarazolol5JQH-β2-Carazolol
31.82Single5N2RPSB365N2R-A2A-PSB36-Na
31.82Single5N2SPSB365N2S-A1-PSB36
31.82Single5TVNLSD5TVN-5-HT2B-LSD
31.82Single5WQCEMPA5WQC-OX2-EMPA
31.82Single5X7DCarazolol5X7D-β2-Carazolol-PubChem 129318963
31.82Single6E67BI1671076E67-β2-BI167107-Gs(CT)
31.82Single6KUWPubChem 572132346KUW-α2c-PubChem 57213234
31.82Single6ME62-Phenylmelatonin6ME6-MT2-2-Phenylmelatonin
31.82Single6PS3Carvedilol6PS3-β2-Carvedilol
31.82Single6PS6Timolol6PS6-β2-Timolol
31.82Single6TO7Suvorexant6TO7-OX1-Suvorexant-Na
31.82Single6TP6Filorexant6TP6-OX1-Filorexant
31.82Single7BVQCarazolol7BVQ-β1-Carazolol
31.82Single7EUOfMLF7EUO-FPR1-ALX-fMLF-Gi1/β1/γ2
31.82Single7S0FIsoprenaline7S0F-β1-Isoprenaline-Gi1/β1/γ2
31.82Single7VFXfMIFL7VFX-FPR1-ALX-fMIFL-Gi1/β1/γ2
31.82Single7WIGL-0542647WIG-SST2-L-054264-Gi1/β1/γ2
31.82Single7XK9Constrained Isoproterenol7XK9-β2-Constrained Isoproterenol-Na
31.82Single7XKAConstrained Epinephrine7XKA-β2-Constrained Epinephrine
31.82Single8DZQmomSalB8DZQ-κ-momSalB-Go/β1/γ2
31.82Single8DZRGR89,6968DZR-κ-GR89,696-chim(NtGi2-Gt3)/β1/γ2
31.82Single8GDZConstrained Epinephrine8GDZ-β2-Constrained Epinephrine-Gs/β1/γ2
31.82Single8GEBConstrained Epinephrine8GEB-β2-Constrained Epinephrine-Gs/β1/γ2
31.82Single8GEGConstrained Epinephrine8GEG-β2-Constrained Epinephrine-Gs/β1/γ2
31.82Single8GFYConstrained Epinephrine8GFY-β2-Constrained Epinephrine-GTP-Gs/β1/γ2
31.82Single8GG2Constrained Epinephrine8GG2-β2-Constrained Epinephrine-GTP-Gs/β1/γ2
31.82Single8GGBConstrained Epinephrine8GGB-β2-Constrained Epinephrine-GTP-Gs/β1/γ2
31.82Single8ID4Linoleic acid8ID4-FFA4-Linoleic acid-Gi1/β1/γ2
31.82Single8TF5Oleic acid8TF5-GPR6-Oleic acid
31.82Single8UNNConstrained Epinephrine8UNN-β2-Constrained Epinephrine-GTP-Gs/β1/γ2
31.82Single8UNPConstrained Epinephrine8UNP-β2-Constrained Epinephrine-GTP-Gs/β1/γ2
31.82Single9EHSLUF76029EHS-A3A-LUF7602
31.82Single9KUVCMPD6449KUV-Apelin-CMPD644-Arrestin2
31.82Single9VJFBuspirone9VJF-5-HT1A-Buspirone-Gi3/β1/γ2
31.82Consensus5ht1_onOrthosteric Ligand5ht1a_on 5ht1d_on 5ht1e_on 5ht1f_on
31.82Consensus5ht1_on_gpOrthosteric Ligand5ht1a_on_gp 5ht1d_on_gp 5ht1e_on_gp 5ht1f_on_gp
31.82Consensus5ht1e_on_gpOrthosteric Ligand7E33-5-HT1E-BRL-54443-Gi1/β1/γ2 8UGY-5-HT1E-Mianserin-Gi1/β1/γ1 8UH3-5-HT1E-Setiptiline-Gi1/β1/γ1
31.82Consensus5ht5_on_gpOrthosteric Ligand5ht5a_on_gp
31.82Consensus5ht5a_on_gpOrthosteric Ligand7X5H-5-HT5A-5-CT-Gi1/β1/γ2 7UM6-5-HT5A-Lisuride-chim(NtGi1-Go)/β1/γ2 7UM7-5-HT5A-Methylergometrine-chim(NtGi1-Go)/β1/γ2
31.82Consensusadrenergic_offOrthosteric Ligandalpha_off beta_off
31.82Consensusadrenergic_on_gpOrthosteric Ligandalpha_on_gp beta_on_gp
31.82Consensusalpha2c_offOrthosteric Ligand6KUW-α2c-PubChem 57213234
31.82Consensusamine_offOrthosteric Ligand5ht_off adrenergic_off dopamine_off histamine_off muscarinic_off
31.82Consensusamine_offonOrthosteric Ligandamine_off amine_on
31.82Consensusamine_offon_gpOrthosteric Ligandamine_on_gp amine_off
31.82Consensusamine_onOrthosteric Ligand5ht_on adrenergic_on dopamine_on histamine_on muscarinic_on trace-amine_on
31.82Consensusbeta2_offOrthosteric Ligand2RH1-β2-Carazolol 6PS3-β2-Carvedilol 6PS5-β2-Propranolol 3D4S-β2-Timolol 3NY8-β2-ICI118-551 3NY9-β2-PubChem 913103 6PRZ-β2-Alprenolol
31.82Consensusbeta_offOrthosteric Ligandbeta1_off beta2_off
31.82Consensusd2_onOrthosteric Ligand7JVR-D2-Bromoergocryptine-Gi1/β1/γ2 8IRS-D2-Rotigotine-Gi1/β1/γ2
31.82Consensusd4_onOrthosteric Ligand8IRU-D4-Rotigotine-chim(NtGi1-Gs-CtGi1)/β1/γ2
31.82Consensusfpr1-alx_onOrthosteric Ligand7VFX-FPR1-ALX-fMIFL-Gi1/β1/γ2
31.82Consensusfpr1-alx_on_gpOrthosteric Ligand7VFX-FPR1-ALX-fMIFL-Gi1/β1/γ2
31.82Consensusgi_adrenergicOrthosteric Ligand7EJ0-α2a-Norepinephrine-Go/β1/γ2 7EJK-α2a-Oxymetazoline-Go/β1/γ2 7W7E-α2a-PubChem 164946676-Go/β1/γ2 7W6P-α2a-N-pyridin-4-ylisoquinolin-4-amine-Go/β1/γ2 7EJ8-α2a-Brimonidine-Go/β1/γ2 6K42-α2b-Dexmedetomidine-Gi1/β1/γ2 7EJA-α2a-Dexmedetomidine-Go/β1/γ2 7S0F-β1-Isoprenaline-Gi1/β1/γ2
31.82Consensusgs_amineOrthosteric Ligandgs_5ht gs_adrenergic gs_dopamine gs_histamine gs_trace-amine
31.82Consensusrxfp4_onOrthosteric Ligand7YK7-RXFP4-DC591053-Gi2/β1/γ2 7YJ4-RXFP4-INSL5-Gi2/β1/γ2 7YK6-RXFP4-PubChem 138319674-Gi2/β1/γ2
31.82Consensusrxfp4_on_gpOrthosteric Ligand7YK7-RXFP4-DC591053-Gi2/β1/γ2 7YJ4-RXFP4-INSL5-Gi2/β1/γ2 7YK6-RXFP4-PubChem 138319674-Gi2/β1/γ2
31.58Single3PBLEticlopride3PBL-D3-Eticlopride
31.58Single7E2YSerotonin7E2Y-5-HT1A-Serotonin-PtdIns4P-Gi1/β1/γ2
31.58Single8FX5Xanomeline8FX5-M4-Xanomeline-Xanomeline-Gi1/β1/γ2
31.58Single8H2GNiacin8H2G-HCA2-Niacin-Gi1/β1/γ2
31.58Single8IHIAcifran8IHI-HCA2-Acifran-Gi1/β1/γ2
31.58Single8K5BNiacin8K5B-HCA2-Niacin
31.58Single8YN4Histamine8YN4-H2-Histamine-chim(NtGi1L-Gs-CtGq)/β1/γ2
31.58Single9IQTNiacin9IQT-HCA2-Niacin-Gi1/β1/γ2
31.58Single9IXJHistamine9IXJ-H2-Histamine-Gs/β1/γ2
31.58Single9U9VMETH9U9V-β2-METH-Gs/β1/γ2
31.58Consensusd3_offOrthosteric Ligand3PBL-D3-Eticlopride
31.03Single8HCQEndothelin-18HCQ-ETA-Endothelin-1-chim(NtGi1-Gs-CtGq)/β1/γ2
31.03Single8IODPG-9018IOD-MC5-PG-901-Ca-chim(NtGi1-Gs)/β1/γ2
31.03Single8XVHEndothelin-18XVH-ETB-Endothelin-1-chim(Gs-CtGq)/β1/γ2
31.03Consensusccr_on_gpOrthosteric Ligandccr6_on_gp ccr8_on_gp ccr2_on_gp ccr1_on_gp ccr5_on_gp
31.03Consensuscxcr_offOrthosteric Ligandcxcr3_off cxcr4_off
31.03Consensuseta_onOrthosteric Ligand8HCQ-ETA-Endothelin-1-chim(NtGi1-Gs-CtGq)/β1/γ2
31.03Consensuseta_on_gpOrthosteric Ligand8HCQ-ETA-Endothelin-1-chim(NtGi1-Gs-CtGq)/β1/γ2
31.03Consensusgi_apelinOrthosteric Ligand8XZH-Apelin; Apelin-MM07-Gi1/β1/γ2 7W0M-Apelin-PubChem 122701908-Gi1/β1/γ2 8XZJ-Apelin; Apelin-WN353-Gi1/β1/γ2 8XZF-Apelin; Apelin-WN561-Gi1/β1/γ2 8XZG-Apelin; Apelin-Apelin-13-Gi1/β1/γ2
30.77Single7NA7Ghrelin7NA7-Ghrelin-Ghrelin-Gi1/β1/γ2
30.77Single7T6UCGEN-855A7T6U-FPR2-ALX-CGEN-855A-Gi1/β1/γ2
30.77Single7W53Neuromedin-U-257W53-NMUR1-Neuromedin-U-25-chim(NtGi1-Gs-CtGq)/β1/γ2
30.77Single8PKMBefiradol8PKM-5-HT1A-Befiradol-Gi1/β1/γ1
30.77Single8WZ2Orexigenic Neuropeptide QRFP8WZ2-QRFP-Orexigenic Neuropeptide QRFP-chim(NtGi1L-Gs-CtGq)/β1/γ2
30.77Single8ZJDKisspeptin-18ZJD-Kiss1-Kisspeptin-1-chim(NtGi1-Gq)/β1/γ1
30.77Single8ZSPLSD8ZSP-TA1-LSD-chim(NtGi1L-Gs)/β1/γ2
30.77Single9BKJCholecystokinin-89BKJ-CCKA-Cholecystokinin-8-chim(NtGi1-Gs-CtGq)/β1/γ2
30.77Single9KWGC5a9KWG-C5a1-C5a-Go/β1/γ2
30.77Single9L3YChemerin9L3Y-CML2-Chemerin-Gi1/β1/γ2
30.77Single9MEJGp1209MEJ-CXCR4-Gp120
30.77Consensuschemerin_on_gpOrthosteric Ligandcml1_on_gp
30.77Consensuschemokine_onOrthosteric Ligandccr_on cxcr_on
30.77Consensuscml1_onOrthosteric Ligand7YKD-CML1-Chemerin-9-Gi1/β1/γ2
30.77Consensusgi_chemerinOrthosteric Ligand7YKD-CML1-Chemerin-9-Gi1/β1/γ2
30.77Consensusgi_opioidOrthosteric Ligand8F7R-μ-Endomorphin-Gi1/β1/γ2 8EF5-μ-Fentanyl-Gi1/β1/γ2 7SCG-μ-FH210-Gi1/β1/γ2 7T2H-μ-Lofentanil-Gi1/β1/γ2 7T2G-μ-Mitragynine Pseudoindoxyl-Gi1/β1/γ2 8DZP-κ-momSalB-Gi1/β1/γ2 8EF6-μ-Morphine-Gi1/β1/γ2 8F7X-NOP-Nociceptin-Gi1/β1/γ2 8EFB-μ-Oliceridine-Gi1/β1/γ2 7U2L-μ-C5-guano-Gi1/β1/γ2 8EFO-μ-PZM21-Gi1/β1/γ2 8EFL-μ-SR17018-Gi1/β1/γ2 8F7Q-μ-β-Endorphin-Gi1/β1/γ2 7U2K-μ-C6-guano-Gi1/β1/γ2 8EFQ-μ-DAMGO-Gi1/β1/γ2 8F7S-δ-Deltorphin-Gi1/β1/γ2 8F7W-κ-Dynorphin-Gi1/β1/γ2
30.77Consensusgq_kisspeptinOrthosteric Ligand8ZJD-Kiss1-Kisspeptin-1-chim(NtGi1-Gq)/β1/γ1
30.77Consensuskiss1_on_gpOrthosteric Ligand8ZJD-Kiss1-Kisspeptin-1-chim(NtGi1-Gq)/β1/γ1
30.77Consensuskisspeptin_on_gpOrthosteric Ligandkiss1_on_gp
30.77Consensusnmur1_on_gpOrthosteric Ligand7W53-NMUR1-Neuromedin-U-25-chim(NtGi1-Gs-CtGq)/β1/γ2
30.77Consensusp2y_onOrthosteric Ligandp2y1_on p2y10_on p2y12_on
30.56Consensusmc2_onOrthosteric Ligand8GY7-MC2-Corticotropin-Ca-chim(NtGi1-Gs)/β1/γ2; MRAP1
30.56Consensusmc2_on_gpOrthosteric Ligand8GY7-MC2-Corticotropin-Ca-chim(NtGi1-Gs)/β1/γ2; MRAP1
30.43Single2YDVNECA2YDV-A2A-NECA
30.43Single3P0GBI1671073P0G-β2-BI167107
30.43Single3PDSFAUC503PDS-β2-FAUC50
30.43Single4LDLHydroxybenzyl Isoproterenol4LDL-β2-Hydroxybenzyl Isoproterenol
30.43Single4UHRCGS216804UHR-A2A-CGS21680
30.43Single5G53NECA5G53-A2A-NECA-Gs
30.43Single6H7JIsoprenaline6H7J-β1-Isoprenaline
30.43Single6KO5PubChem 574000026KO5-Ghrelin-PubChem 57400002
30.43Single6NI3BI1671076NI3-β2-BI167107-Gs/β1/γ2
30.43Single6WGTLSD6WGT-5-HT2A-LSD
30.43Single7B6WCyclazosin7B6W-α1b-Cyclazosin
30.43Single7CKYPW04647CKY-D1-PW0464-Gs/β1/γ2
30.43Single7JJOIsoprenaline7JJO-β1-Isoprenaline-Gs/β1/γ2
30.43Single7T9NDPPC7T9N-TSH-M22 Fab-DPPC-Gs/β1/γ2
30.43Single7TUYGSK682753A7TUY-GPR183-GSK682753A
30.43Single7W6PN-pyridin-4-ylisoquinolin-4-amine7W6P-α2a-N-pyridin-4-ylisoquinolin-4-amine-Go/β1/γ2
30.43Single7W7EPubChem 1649466767W7E-α2a-PubChem 164946676-Go/β1/γ2
30.43Single7XTQR3997XTQ-GPBA-R399-Gs/β1/γ2
30.43Single7Y67C089 peptide7Y67-C5a1-C089 peptide-Gi1/β1/γ2
30.43Single8EF5Fentanyl8EF5-μ-Fentanyl-Gi1/β1/γ2
30.43Single8EFLSR170188EFL-μ-SR17018-Gi1/β1/γ2
30.43Single8HPTC5a (C-terminal peptide)8HPT-C5a1-C5a (C-terminal peptide)-Go/β1/γ2
30.43Single8I9LC3a8I9L-C3aB-C3a-Go/β1/γ2
30.43Single8ID6Oleic acid8ID6-FFA4-Oleic acid-Gi1/β1/γ2
30.43Single8IRURotigotine8IRU-D4-Rotigotine-chim(NtGi1-Gs-CtGi1)/β1/γ2
30.43Single8IYHMK68928IYH-HCA2-MK6892-Go/β1/γ2
30.43Single8JSRAnamorelin8JSR-Ghrelin-Anamorelin-chim(NtGi1-Gs-CtGq)/β1/γ2
30.43Single8T1VPubChem 1183102098T1V-GPR6-PubChem 118310209-Na
30.43Single8VVFJDTic8VVF-κ-JDTic-Gi1/β1/γ2
30.43Single8ZWFJR14a8ZWF-C3aB-JR14a
30.43Single9ASTLymphotactin9AST-XCR1-Lymphotactin-Gi1/β1/γ2
30.43Single9BS9LSD9BS9-D2-LSD
30.43Single9BSBLSD9BSB-D2-LSD-chim(NtGi1-Go)/β1/γ2
30.43Single9I54PubChem 1764520919I54-D1-PubChem 176452091-Gs/β1/γ2
30.43Single9KUXCMPD6449KUX-Apelin; Apelin-CMPD644-Arrestin2
30.43Single9PY3Loperamide9PY3-μ-Loperamide-GDPβS-Gi1/β1/γ2
30.43Single9PY4Loperamide9PY4-μ-Loperamide-GDPβS-Gi1/β1/γ2
30.43Consensusa2_onOrthosteric Liganda2b_on
30.43Consensusa2_on_gpOrthosteric Liganda2b_on_gp
30.43Consensusa2b_onOrthosteric Ligand8HDP-A2B-Adenosine-Gs/β1/γ2 7XY6-A2B-BAY 60-6583-chim(NtGi1-Gs)/β1/γ2 7XY7-A2B-NECA-chim(NtGi1-Gs)/β1/γ2 8HDO-A2B-BAY 60-6583-Gs/β1/γ2
30.43Consensusa2b_on_gpOrthosteric Ligand8HDP-A2B-Adenosine-Gs/β1/γ2 7XY6-A2B-BAY 60-6583-chim(NtGi1-Gs)/β1/γ2 7XY7-A2B-NECA-chim(NtGi1-Gs)/β1/γ2 8HDO-A2B-BAY 60-6583-Gs/β1/γ2
30.43Consensusamine_on_gpOrthosteric Ligand5ht_on_gp adrenergic_on_gp dopamine_on_gp histamine_on_gp muscarinic_on_gp trace-amine_on_gp
30.43Consensusd1_on_gpOrthosteric Ligand7F0T-D1-Dopamine-Gs/β1/γ2 7CKY-D1-PW0464-Gs/β1/γ2 8IRR-D1-Rotigotine-Gs/β1/γ2 7JV5-D1-SKF81297-Gs/β1/γ2 7JVP-D1-SKF83959-Gs/β1/γ2 7X2D-D1-Tavapadon-Gs/β1/γ2 7CKX-D1-A77636-Gs/β1/γ2 7JVQ-D1-Apomorphine-Gs/β1/γ2 7CKW-D1-Fenoldopam-Gs/β1/γ2
30.43Consensusd4_on_gpOrthosteric Ligand8IRU-D4-Rotigotine-chim(NtGi1-Gs-CtGi1)/β1/γ2
30.43Consensusgs_adenosineOrthosteric Ligand8HDP-A2B-Adenosine-Gs/β1/γ2 8HDO-A2B-BAY 60-6583-Gs/β1/γ2 7XY7-A2B-NECA-chim(NtGi1-Gs)/β1/γ2 7XY6-A2B-BAY 60-6583-chim(NtGi1-Gs)/β1/γ2
30.43Consensusgs_dopamineOrthosteric Ligand7F0T-D1-Dopamine-Gs/β1/γ2 7CKW-D1-Fenoldopam-Gs/β1/γ2 7CKY-D1-PW0464-Gs/β1/γ2 8IRV-D5-Rotigotine-chim(NtGi1-Gs)/β1/γ2 8IRR-D1-Rotigotine-Gs/β1/γ2 7JV5-D1-SKF81297-Gs/β1/γ2 7JVP-D1-SKF83959-Gs/β1/γ2 7X2D-D1-Tavapadon-Gs/β1/γ2 7CKX-D1-A77636-Gs/β1/γ2 7JVQ-D1-Apomorphine-Gs/β1/γ2
30.43Consensusgs_nucleotideOrthosteric Ligandgs_adenosine
30.43Consensusmotilin_onOrthosteric Ligand8IBU-Motilin-Erythromycin-A-chim(NtGi1-Gs-CtGq)/β1/γ2
30.43Consensustachykinin_offOrthosteric Ligandnk1_off
30.30Single7SK6CXCL12_LRHQ7SK6-ACKR3-CXCL12_LRHQ
30.30Consensusmelanocortin_onOrthosteric Ligandmc1_on mc4_on mc2_on mc3_on mc5_on
30.30Consensusmelanocortin_on_gpOrthosteric Ligandmc1_on_gp mc4_on_gp mc2_on_gp mc3_on_gp mc5_on_gp
30.00Single2X72All-trans-Retinal2X72-Rhodopsin-All-trans-Retinal-Gt(CT)
30.00Single4MQTLY21196204MQT-M2-Iperoxo-LY2119620
30.00Single5OLVLUAA470705OLV-A2A-LUAA47070-Na
30.00Single5UIW5P7-CCL55UIW-CCR5-5P7-CCL5
30.00Single5WS3EMPA5WS3-OX2-EMPA
30.00Single6AKXA4R6AKX-CCR5-A4R
30.00Single6AKYMaraviroc6AKY-CCR5-Maraviroc
30.00Single6B73MP11046B73-κ-MP1104
30.00Single6D9HAdenosine6D9H-A1-Adenosine-Gi2/β1/γ2
30.00Single6DS0LY2660976DS0-5-HT2B-LY266097
30.00Single6TODEMPA6TOD-OX1-EMPA-Na
30.00Single7DHRIsoprenaline7DHR-β2-Isoprenaline-Gs/β1/γ2
30.00Single7LD4Adenosine7LD4-A1-Adenosine-Gi2/β1/γ2
30.00Single7LJDDopamine7LJD-D1-Dopamine-Mevidalen-Gs/β1/γ1
30.00Single7W0MPubChem 1227019087W0M-Apelin-PubChem 122701908-Gi1/β1/γ2
30.00Single7X5H5-CT7X5H-5-HT5A-5-CT-Gi1/β1/γ2
30.00Single7XRRLemborexant7XRR-OX2-Lemborexant
30.00Single7YMHNorepinephrine7YMH-Alpha1A-Norepinephrine-chim(Gs-CtGq)
30.00Single8EFOPZM218EFO-μ-PZM21-Gi1/β1/γ2
30.00Single8GGAConstrained Epinephrine8GGA-β2-Constrained Epinephrine-GTP-Gs/β1/γ2
30.00Single8GGCConstrained Epinephrine8GGC-β2-Constrained Epinephrine-GTP-Gs/β1/γ2
30.00Single8GGRConstrained Epinephrine8GGR-β2-Constrained Epinephrine
30.00Single8GGWConstrained Epinephrine8GGW-β2-Constrained Epinephrine
30.00Single8GH0Constrained Epinephrine8GH0-β2-Constrained Epinephrine
30.00Single8GNGIstradefylline8GNG-A2A-Istradefylline
30.00Single8H8JLodoxamide8H8J-GPR35-Lodoxamide-Ca-chim(NtGi1L-G13)/β1/γ2
30.00Single8IJANiacin8IJA-HCA2-Niacin-Gi1/β1/γ2
30.00Single8RW0Istradefylline8RW0-A2A-Istradefylline-Na
30.00Single8TZQDopamine8TZQ-D2-Dopamine-Go/β1/γ2
30.00Single8UNSConstrained Epinephrine8UNS-β2-Constrained Epinephrine-GTP-Gs/β1/γ2
30.00Single8UNTConstrained Epinephrine8UNT-β2-Constrained Epinephrine-GTP-Gs/β1/γ2
30.00Single8XXVIndomethacin8XXV-DP2-Indomethacin-A1D5Q-Gi1/β1/γ2
30.00Single9VJ5Gepirone9VJ5-5-HT1A-Gepirone-Go/β1/γ2
30.00Single9VJEBuspirone9VJE-5-HT1A-Buspirone-Go/β1/γ2
30.00Consensus5ht_onOrthosteric Ligand5ht1_on 5ht2_on 5ht4_on 5ht5_on 5ht6_on 5ht7_on
30.00Consensusa1_onOrthosteric Ligand7LD4-A1-Adenosine-Gi2/β1/γ2
30.00Consensusa1_on_gpOrthosteric Ligand7LD4-A1-Adenosine-Gi2/β1/γ2
30.00Consensusalpha2_offOrthosteric Ligandalpha2c_off
30.00Consensusccr5_offOrthosteric Ligand5UIW-CCR5-5P7-CCL5
30.00Consensusgs_5htOrthosteric Ligand7XTC-5-HT7-5-CT-Gs/β1/γ2 7XTB-5-HT6-Serotonin-Gs/β1/γ2 8JLZ-5-HT6-ST1936-Gs/β1/γ2 7XT8-5-HT4-Serotonin-Gs/β1/γ2
30.00Consensusorexin_offOrthosteric Ligandox2_off ox1_off
30.00Consensusox1_offOrthosteric Ligand6TP6-OX1-Filorexant 6TP4-OX1-ACT-462206 6V9S-OX1-GTPL11403 6TOT-OX1-Lemborexant 6TP3-OX1-Nemorexant 6TQ6-OX1-PubChem 145714283 6TQ9-OX1-SB-408124 4ZJC-OX1-SB-674042 4ZJ8-OX1-Suvorexant 6TOD-OX1-EMPA-Na 6TOS-OX1-GSK1059865-Na 6TQ4-OX1-PubChem 16046844-Na
30.00Consensusox2_offOrthosteric Ligand5WQC-OX2-EMPA 6TPN-OX2-HTL6641 7XRR-OX2-Lemborexant 6TPJ-OX2-Suvorexant
29.63Single7DDZJNJ-310200287DDZ-Y2-JNJ-31020028
29.63Single7F1QCCL37F1Q-CCR5-CCL3-Gi1/β1/γ2
29.63Single7PIVAfamelanotide7PIV-MC4-Afamelanotide-Gs/β1/γ2
29.63Single7SK5CXCL127SK5-ACKR3-CXCL12
29.63Single8F7SDeltorphin8F7S-δ-Deltorphin-Gi1/β1/γ2
29.63Single8F7WDynorphin8F7W-κ-Dynorphin-Gi1/β1/γ2
29.63Single8XYDPlatelet Activating Factor8XYD-PAF-Platelet Activating Factor-Gi1/β1/γ2
29.63Single8Z7JJN241-98Z7J-Apelin-JN241-9-Gi1/β1/γ2
29.63Single9J0FNADH9J0F-P2Y14-NADH-Gi1/β1/γ2
29.63Single9KFIRelaxin-39KFI-RXFP3-Relaxin-3-Gi2/β1/γ2
29.63Consensusdop_on_gpOrthosteric Ligand8F7S-δ-Deltorphin-Gi1/β1/γ2
29.63Consensusnpy2_offOrthosteric Ligand7DDZ-Y2-JNJ-31020028
29.17Single2YCXCyanopindolol2YCX-β1-Cyanopindolol
29.17Single5UNHPubChem 1264564065UNH-AT2-PubChem 126456406
29.17Single6A93Risperidone6A93-5-HT2A-Risperidone
29.17Single6C1RPMX536C1R-C5a1-PMX53-Avacopan; Na
29.17Single6H7NXamoterol6H7N-β1-Xamoterol
29.17Single6OS0Angiotensin II6OS0-AT1-Angiotensin II
29.17Single6OS2TRV0266OS2-AT1-TRV026
29.17Single6VMSBromoergocryptine6VMS-D2-Bromoergocryptine-Gi1/β1/γ2
29.17Single7BZ2Arformoterol7BZ2-β2-Arformoterol-Gs/β1/γ2
29.17Single7EXDLasmiditan7EXD-5-HT1F-Lasmiditan-Gi1/β1/γ2
29.17Single7F55Bremelanotide7F55-MC4-Bremelanotide-Gs/β1/γ2
29.17Single7JNIOlodanrigan7JNI-AT2-Olodanrigan
29.17Single7SUSPubChem 1227019087SUS-Apelin-PubChem 122701908
29.17Single7W0LPubChem 1227019087W0L-Apelin; Apelin-PubChem 122701908-Gi1/β1/γ2
29.17Single7WQ4Galanin7WQ4-GAL2-Galanin-chim(NtGi1-Gs-CtGq)/β1/γ2
29.17Single7XJKGalanin7XJK-GAL2-Galanin-chim(NtGi2L-Gs-CtGq)/β1/γ2
29.17Single7XW5ML1097XW5-TSH-TSH-ML109-Gs/β1/γ2
29.17Single7XW6ML1097XW6-TSH-M22 Fab-ML109-Gs/β1/γ2
29.17Single7YITNalfurafine7YIT-κ-Nalfurafine
29.17Single8FYE4-F,5-MeO-PyrT8FYE-5-HT1A-4-F,5-MeO-PyrT-PtdIns4P-Gi1/β1/γ1
29.17Single8IA8E7 peptide8IA8-C3aB-E7 peptide-Gi1/β1/γ2
29.17Single8IBUErythromycin-A8IBU-Motilin-Erythromycin-A-chim(NtGi1-Gs-CtGq)/β1/γ2
29.17Single8ID9Icosapent8ID9-FFA4-Icosapent-Gi1/β1/γ2
29.17Single8IRSRotigotine8IRS-D2-Rotigotine-Gi1/β1/γ2
29.17Single8JWY2-1188JWY-A2A-2-118
29.17Single8JZ7MK68928JZ7-HCA2-MK6892-Gi1/β1/γ2
29.17Single9ECJS-geranylgeranyl-L-glutathione9ECJ-P2Y8-S-geranylgeranyl-L-glutathione-G13/β1/γ2
29.17Single9GL2Befiradol9GL2-5-HT1A-Befiradol-Gs/β1/γ2
29.17Single9KVG5-MeO-DMT9KVG-5-HT1A-5-MeO-DMT-PtdIns4P-Gi1/β1/γ2
29.17Single9KZKC3a (fragment)9KZK-C3aB-C3a (fragment)-Go/β1/γ2
29.17Single9VJ6F-155999VJ6-5-HT1A-F-15599-Gi3/β1/γ2
29.17Single9W32SSTR5 antagonist 19W32-SST5-SSTR5 antagonist 1
29.17Consensus5ht1f_onOrthosteric Ligand7EXD-5-HT1F-Lasmiditan-Gi1/β1/γ2
29.17Consensus5ht1f_on_gpOrthosteric Ligand7EXD-5-HT1F-Lasmiditan-Gi1/β1/γ2
29.17Consensuscb1_onOrthosteric Ligand6KPG-CB1-AM841-Gi1/β1/γ2 8K8J-CB1-Fenofibrate-chim(Gs-CtGq)/β1/γ2
29.17Consensuscxcr_onOrthosteric Ligandcxcr3_on cxcr4_on cxcr1_on cxcr2_on
29.17Consensusgi_lipidOrthosteric Ligandgi_cannabinoid gi_ffa gi_leukotriene gi_lpa gi_s1p
29.17Consensuskop_onOrthosteric Ligand8F7W-κ-Dynorphin-Gi1/β1/γ2 8DZS-κ-GR89,696-chim(NtGi2-Gz)/β1/γ2 8DZP-κ-momSalB-Gi1/β1/γ2
29.17Consensusmotilin_on_gpOrthosteric Ligand8IBU-Motilin-Erythromycin-A-chim(NtGi1-Gs-CtGq)/β1/γ2
29.17Consensusopioid_offOrthosteric Ligandmop_off nop_off dop_off kop_off
29.03Single7F53Alpha-MSH7F53-MC4-α-MSH-Gs/β1/γ2
29.03Single8W8WAlpha-MSH8W8W-MC3-α-MSH-Ca-Gs/β1/γ2
29.03Single8W8XBeta-MSH8W8X-MC3-β-MSH-Ca-Gs/β1/γ2
29.03Single8ZJGChemerin8ZJG-CML1-Chemerin-Gi1/β1/γ2
28.57Single2YDOAdenosine2YDO-A2A-Adenosine
28.57Single3REYPubChem 56973REY-A2A-PubChem 5697
28.57Single4DKLBeta-Funaltrexamine4DKL-μ-β-Funaltrexamine
28.57Single6IQLL7458706IQL-D4-L745870
28.57Single6KUXRS799486KUX-α2a-RS79948
28.57Single6ME32-Phenylmelatonin6ME3-MT1-2-Phenylmelatonin
28.57Single6PS5Propranolol6PS5-β2-Propranolol
28.57Single6TOSGSK10598656TOS-OX1-GSK1059865-Na
28.57Single6V9SGTPL114036V9S-OX1-GTPL11403
28.57Single6ZDVPubChem 9840736ZDV-A2A-PubChem 984073-Na
28.57Single7AROLUF58337ARO-A2A-LUF5833-Na
28.57Single7BB6AVP7BB6-V2-AVP-Gs/β1/γ2
28.57Single7CKZDopamine7CKZ-D1-Dopamine-Mevidalen-Gs/β1/γ2
28.57Single7CMUPramipexole7CMU-D3-Pramipexole-Gi1/β1/γ2
28.57Single7CMVPD1289077CMV-D3-PD128907-Gi1/β1/γ2
28.57Single7DHISalbutamol7DHI-β2-Salbutamol-Gs/β1/γ2
28.57Single7E33BRL-544437E33-5-HT1E-BRL-54443-Gi1/β1/γ2
28.57Single7EJADexmedetomidine7EJA-α2a-Dexmedetomidine-Go/β1/γ2
28.57Single7F0TDopamine7F0T-D1-Dopamine-Gs/β1/γ2
28.57Single7F1ZDopamine7F1Z-D1-Dopamine-GDP-Gs/β1/γ2
28.57Single7F24Dopamine7F24-D1-Dopamine-GDP-Gs/β1/γ2
28.57Single7F4DAlpha-MSH7F4D-MC1-α-MSH-chim(NtGi1-Gs)/β1/γ2
28.57Single7O7F6P4-CCL57O7F-CCR5-6P4-CCL5-Gi1/β1/γ1
28.57Single7RANPubChem 1645758477RAN-5-HT2A-PubChem 164575847-chim(NtGi2L-Gs-CtGq)/β1/γ2
28.57Single7SR8TAK-9257SR8-OX2-TAK-925-chim(NtGi1L-Gs-CtGq)/β1/γ2
28.57Single7TD0LPA7TD0-LPA1-LPA-Gi1/β1/γ2
28.57Single7UL3Famotidine7UL3-H2-Famotidine
28.57Single7W55Neuromedin-U-257W55-NMUR2-Neuromedin-U-25-chim(NtGi1-Gs-CtGq)/β1/γ2
28.57Single7WVUfMLF7WVU-FPR1-ALX-fMLF-Gi1/β1/γ2
28.57Single7XA3CCL27XA3-CCR2-CCL2-Gi1/β1/γ2
28.57Single7XOUCholecystokinin-87XOU-CCKA-Cholecystokinin-8-Gs/β1/γ2
28.57Single7XOVSR1461317XOV-CCKA-SR146131-Gs/β1/γ2
28.57Single8DPGPsilocin8DPG-5-HT2C-Psilocin-chim(NtGi2L-Gs-CtGq)/β1/γ2
28.57Single8GE1Constrained Epinephrine8GE1-β2-Constrained Epinephrine-Gs/β1/γ2
28.57Single8GE4Constrained Epinephrine8GE4-β2-Constrained Epinephrine-Gs/β1/γ2
28.57Single8GE5Constrained Epinephrine8GE5-β2-Constrained Epinephrine-Gs/β1/γ1
28.57Single8GE6Constrained Epinephrine8GE6-β2-Constrained Epinephrine-Gs/β1/γ2
28.57Single8GE7Constrained Epinephrine8GE7-β2-Constrained Epinephrine-Gs/β1/γ2
28.57Single8GE8Constrained Epinephrine8GE8-β2-Constrained Epinephrine-Gs/β1/γ2
28.57Single8GEAConstrained Epinephrine8GEA-β2-Constrained Epinephrine-Gs/β1/γ2
28.57Single8GEFConstrained Epinephrine8GEF-β2-Constrained Epinephrine-Gs/β1/γ2
28.57Single8GG5Constrained Epinephrine8GG5-β2-Constrained Epinephrine-GTP-Gs/β1/γ2
28.57Single8GG7Constrained Epinephrine8GG7-β2-Constrained Epinephrine-GTP-Gs/β1/γ2
28.57Single8GG8Constrained Epinephrine8GG8-β2-Constrained Epinephrine-GTP-Gs/β1/γ2
28.57Single8GGLConstrained Epinephrine8GGL-β2-Constrained Epinephrine
28.57Single8GGMConstrained Epinephrine8GGM-β2-Constrained Epinephrine
28.57Single8GGPConstrained Epinephrine8GGP-β2-Constrained Epinephrine
28.57Single8GGSConstrained Epinephrine8GGS-β2-Constrained Epinephrine
28.57Single8GGTConstrained Epinephrine8GGT-β2-Constrained Epinephrine
28.57Single8GGVConstrained Epinephrine8GGV-β2-Constrained Epinephrine
28.57Single8H4LDoconexent8H4L-FFA4-Doconexent-chim(NtGi1-Gs-CtGq)/β1/γ2
28.57Single8HNMVUF112228HNM-CXCR3-VUF11222-Gi1/β1/γ2
28.57Single8IHKAcifran8IHK-HCA3-Acifran
28.57Single8K9KDAMGO8K9K-μ-DAMGO-Gi3/β1/γ1
28.57Single8RLNLUF58348RLN-A2A-LUF5834
28.57Single8RWCStilSwitch28RWC-A2A-StilSwitch2-Na
28.57Single8RWDStilSwitch38RWD-A2A-StilSwitch3-Na
28.57Single8THLEpinephrine8THL-Alpha1A-Epinephrine-chim(NtGi2L-Gs-CtGq)/β1/γ2
28.57Single8U02Dopamine8U02-D2-Dopamine-Go/β1/γ2
28.57Single8UNLConstrained Epinephrine8UNL-β2-Constrained Epinephrine-GTP-Gs/β1/γ2
28.57Single8UNOConstrained Epinephrine8UNO-β2-Constrained Epinephrine-GTP-Gs/β1/γ2
28.57Single8UO1Constrained Epinephrine8UO1-β2-Constrained Epinephrine-GTP; Mg-Gs/β1/γ2
28.57Single8XZGApelin-138XZG-Apelin; Apelin-Apelin-13-Gi1/β1/γ2
28.57Single8Y45ADL58598Y45-δ-ADL5859-Gi2/β1/γ2
28.57Single8YH2Adenosine8YH2-A3A-Adenosine-Gi1/β1/γ2
28.57Single8YN3Histamine8YN3-H2-Histamine-Gs/β1/γ2
28.57Single9AS3LSD9AS3-5-HT2A-LSD
28.57Single9AS4LSD9AS4-5-HT2A-LSD-chim(NtGi1-Gs-CtGq)/β1/γ2
28.57Single9AS5Mescaline9AS5-5-HT2A-Mescaline
28.57Single9AS6Mescaline9AS6-5-HT2A-Mescaline-chim(NtGi1-Gs-CtGq)/β1/γ2
28.57Single9B54VIP369B54-CB1-VIP36-Gi1/β1/γ2
28.57Single9EPQ11,20-Ethanoretinal9EPQ-Rhodopsin-11,20-Ethanoretinal-chim(Gi1-CtGq)/β1/γ2
28.57Single9JH3CMF-0199JH3-Apelin; Apelin-CMF-019-Gi1/β1/γ2
28.57Single9JKYAcifran9JKY-HCA2-Acifran-Gi1/β1/γ2
28.57Single9JMDAzithromycin9JMD-Motilin-Azithromycin-chim(Gs-CtGq)/β1/γ2
28.57Single9K0XATP9K0X-P2Y2-ATP-chim(NtGi1-Gs-CtGq)/β1/γ2
28.57Single9K20ATP9K20-P2Y2-ATP-chim(NtGi1-Go)/β1/γ2
28.57Single9KUWCMPD6449KUW-Apelin; Apelin-CMPD644-Arrestin2 ; Arrestin2
28.57Single9L84Epinephrine9L84-β1-Epinephrine-Atazanavir-Gs/β1/γ2
28.57Single9L8LBI1671079L8L-β2-BI167107-Atazanavir-Gs/β1/γ2 ; Arrestin2
28.57Single9LL8Psilocin9LL8-5-HT2A-Psilocin-Gi1/β1/γ2
28.57Single9MQIIsoquinuclidine9MQI-μ-Isoquinuclidine
28.57Single9ODJMitragynine Pseudoindoxyl9ODJ-μ-Mitragynine Pseudoindoxyl-GTP; Mg-Gi1/β1/γ2
28.57Single9ODLMitragynine Pseudoindoxyl9ODL-μ-Mitragynine Pseudoindoxyl-GTP; Mg-Gi1/β1/γ2
28.57Single9UYIChemerin-99UYI-CML2-Chemerin-9-Arrestin2
28.57Single9VJG8-OH-DPAT9VJG-5-HT1A-8-OH-DPAT-chim(NtGi2-Gz)/β1/γ2
28.57Single9VNFPindolol9VNF-5-HT1A-Pindolol-Go/β1/γ2
28.57Consensus5ht_on_gpOrthosteric Ligand5ht1_on_gp 5ht2_on_gp 5ht4_on_gp 5ht5_on_gp 5ht6_on_gp 5ht7_on_gp
28.57Consensusalpha1_onOrthosteric Ligandalpha1a_on
28.57Consensusalpha1_on_gpOrthosteric Ligandalpha1a_on_gp
28.57Consensusalpha1a_onOrthosteric Ligand7EJ0-α2a-Norepinephrine-Go/β1/γ2 7EJ8-α2a-Brimonidine-Go/β1/γ2 7EJA-α2a-Dexmedetomidine-Go/β1/γ2 7EJK-α2a-Oxymetazoline-Go/β1/γ2 7W6P-α2a-N-pyridin-4-ylisoquinolin-4-amine-Go/β1/γ2 7W7E-α2a-PubChem 164946676-Go/β1/γ2
28.57Consensusalpha1a_on_gpOrthosteric Ligand7EJ0-α2a-Norepinephrine-Go/β1/γ2 7EJ8-α2a-Brimonidine-Go/β1/γ2 7EJA-α2a-Dexmedetomidine-Go/β1/γ2 7EJK-α2a-Oxymetazoline-Go/β1/γ2 7W6P-α2a-N-pyridin-4-ylisoquinolin-4-amine-Go/β1/γ2 7W7E-α2a-PubChem 164946676-Go/β1/γ2
28.57Consensusccr2_onOrthosteric Ligand7XA3-CCR2-CCL2-Gi1/β1/γ2
28.57Consensusccr2_on_gpOrthosteric Ligand7XA3-CCR2-CCL2-Gi1/β1/γ2
28.57Consensusccr_onOrthosteric Ligandccr6_on ccr8_on ccr2_on ccr1_on ccr5_on
28.57Consensusd3_onOrthosteric Ligand7CMV-D3-PD128907-Gi1/β1/γ2 8IRT-D3-Rotigotine-Gi1/β1/γ2 7CMU-D3-Pramipexole-Gi1/β1/γ2
28.57Consensusd3_on_gpOrthosteric Ligand7CMV-D3-PD128907-Gi1/β1/γ2 8IRT-D3-Rotigotine-Gi1/β1/γ2 7CMU-D3-Pramipexole-Gi1/β1/γ2
28.57Consensusgrh_offOrthosteric Ligandgnrh1_off
28.57Consensusnmur2_onOrthosteric Ligand7W55-NMUR2-Neuromedin-U-25-chim(NtGi1-Gs-CtGq)/β1/γ2
28.57Consensusnmur2_on_gpOrthosteric Ligand7W55-NMUR2-Neuromedin-U-25-chim(NtGi1-Gs-CtGq)/β1/γ2
28.57Consensusnop_offOrthosteric Ligand4EA3-NOP-PubChem 10296561 5DHG-NOP-C-35 5DHH-NOP-SB-612111
28.00Single5X93K-87945X93-ETB-K-8794
28.00Single6BQHRitanserin6BQH-5-HT2C-Ritanserin
28.00Single6DDFDAMGO6DDF-μ-DAMGO-Gi1/β1/γ2
28.00Single7JVRBromoergocryptine7JVR-D2-Bromoergocryptine-Gi1/β1/γ2
28.00Single7SK8CCX6627SK8-ACKR3-CXCL12-CCX662
28.00Single7X1UTRH7X1U-TRH-TRH-chim(NtGi2L-Gs-CtGq)/β1/γ2
28.00Single7XK2MK68927XK2-HCA2-MK6892-Gi1/β1/γ2
28.00Single7Y65C5a (C-terminal peptide)7Y65-C5a1-C5a (C-terminal peptide)-Gi1/β1/γ2
28.00Single8HN1Toxin AdTx18HN1-Alpha1A-Toxin AdTx1
28.00Single8ID8TUG-8918ID8-FFA4-TUG-891-Gi1/β1/γ2
28.00Single8S2TIsoprenaline8S2T-β1-Isoprenaline-chim(NtGi1-Gs)/β1/γ2
28.00Single8T3OTUG-8918T3O-FFA4-TUG-891-chim(NtGi2L-Gs-CtGq)/β1/γ2
28.00Single8WRZAM8418WRZ-CB1-AM841-Arrestin2
28.00Single8XGSKisspeptin-18XGS-Kiss1-Kisspeptin-1-chim(NtGi1-Gq)/β1/γ2
28.00Single8ZPLHF511168ZPL-CXCR4-HF51116
28.00Single9CGJC6-Quino9CGJ-δ-C6-Quino-Gi1/β1/γ2
28.00Single9EAILosartan9EAI-AT1-Losartan-Nanobody AT209
28.00Single9KV8TLQP219KV8-C3aB-TLQP21-Go/β1/γ2
28.00Single9KWXC5a-des-Arg9KWX-C5a1-C5a-des-Arg-Go/β1/γ2
28.00Single9M54Neuropeptide-VF9M54-NPFF2-Neuropeptide-VF-Gi1/β1/γ2
28.00Single9YDRDADLE9YDR-δ-DADLE-MIPS3983-chim(NtGi1L-Gs-CtGi1)/β1/γ2
28.00Consensus5ht2c_offOrthosteric Ligand6BQH-5-HT2C-Ritanserin
28.00Consensuscb1_on_gpOrthosteric Ligand6KPG-CB1-AM841-Gi1/β1/γ2 8K8J-CB1-Fenofibrate-chim(Gs-CtGq)/β1/γ2
28.00Consensusd2_offOrthosteric Ligand6CM4-D2-Risperidone 6LUQ-D2-Haloperidol 7DFP-D2-Spiperone
28.00Consensusgi_s1pOrthosteric Ligand7VIE-S1P1-S1P-Gi1/β1/γ2 7EW3-S1P3-S1P-Gi1/β1/γ2 7EVY-S1P1-Siponimod-Gi1/β1/γ2 7EW1-S1P5-Siponimod-Gi1/β1/γ2 7VIF-S1P1-FTY720-P-Gi1/β1/γ2 7VIG-S1P1-CBP-307-Gi1/β1/γ2 7EVZ-S1P1-Cenerimod-Gi1/β1/γ2 7EW4-S1P3-CYM-5541-Gi1/β1/γ2 7EW2-S1P3-FTY720-P-Gi1/β1/γ2 7EW0-S1P1-Ozanimod-Gi1/β1/γ2 7EW7-S1P1-SEW2871-Gi1/β1/γ2
28.00Consensuskop_on_gpOrthosteric Ligand8F7W-κ-Dynorphin-Gi1/β1/γ2 8DZS-κ-GR89,696-chim(NtGi2-Gz)/β1/γ2 8DZP-κ-momSalB-Gi1/β1/γ2
28.00Consensuspeptide_offOrthosteric Ligandcck_off angiotensin_off bombesin_off endothelin_off ghrelin_off npy_off opioid_off orexin_off somatostatin_off tachykinin_off vasop-oxy_off neurotensin_off
27.78Single7MTBAll-trans-Retinal7MTB-Rhodopsin-All-trans-Retinal-GRK1
27.78Single8GEIConstrained Epinephrine8GEI-β2-Constrained Epinephrine-Gs/β1/γ2
27.78Single8IWM2-Phenylethylamine8IWM-TAA9-2-Phenylethylamine
27.78Single8Z8ALactate8Z8A-HCA1-Lactate-Gi1/β1/γ2
27.78Consensusopsins_onOrthosteric Ligandrhodopsin_on opsin1lw_on
27.78Consensussensory_onOrthosteric Ligandopsins_on
27.59Single7F4HAfamelanotide7F4H-MC1-Afamelanotide-chim(NtGi1-Gs)/β1/γ2
27.59Single7W57Neuromedin-S7W57-NMUR2-Neuromedin-S-chim(NtGi1-Gs-CtGq)/β1/γ2
27.59Single7XK8Neuromedin-U-257XK8-NMUR2-Neuromedin-U-25-Gi1/β1/γ2
27.59Single8IEDPubChem 1347468948IED-GPR156; GPR156-PubChem 134746894-Go/β1/γ2
27.59Single8IHFMK68928IHF-HCA2-MK6892-Gi1/β1/γ2
27.59Consensusneuromedin-u_onOrthosteric Ligandnmur1_on nmur2_on
27.27Single2Y01Dobutamine2Y01-β1-Dobutamine
27.27Single2Y02Carmoterol2Y02-β1-Carmoterol
27.27Single2Y04Salbutamol2Y04-β1-Salbutamol
27.27Single2YCYCyanopindolol2YCY-β1-Cyanopindolol
27.27Single3NYAAlprenolol3NYA-β2-Alprenolol
27.27Single3ZPQPubChem 5945903ZPQ-β1-PubChem 594590-Na
27.27Single4EA3PubChem 102965614EA3-NOP-PubChem 10296561
27.27Single4X1HNonyl-Beta-D-Glucopyranoside4X1H-Rhodopsin-Nonyl-β-D-Glucopyranoside-Gt(CT)
27.27Single5DHGC-355DHG-NOP-C-35
27.27Single5DHHSB-6121115DHH-NOP-SB-612111
27.27Single5OLZPubChem 1355666095OLZ-A2A-PubChem 135566609-Na
27.27Single5OM1PubChem 1355666095OM1-A2A-PubChem 135566609-Na
27.27Single5UIGPubChem 1240811965UIG-A2A-PubChem 124081196
27.27Single6H7MSalbutamol6H7M-β1-Salbutamol
27.27Single6LPJZM-2413856LPJ-A2A-ZM-241385-Na
27.27Single6LPKZM-2413856LPK-A2A-ZM-241385-Na
27.27Single6PRZAlprenolol6PRZ-β2-Alprenolol
27.27Single6PS1Timolol6PS1-β2-Timolol
27.27Single6PS2Alprenolol6PS2-β2-Alprenolol
27.27Single6Z10PubChem 1545855546Z10-Succinate-PubChem 154585554
27.27Single7CFMP3957CFM-GPBA-P395-Gs/β1/γ2
27.27Single7CRHSKF839597CRH-D1-SKF83959-Gs/β1/γ2
27.27Single7JOZPubChem 752020227JOZ-D1-PubChem 75202022-Gs/β1/γ2
27.27Single7JVQApomorphine7JVQ-D1-Apomorphine-Gs/β1/γ2
27.27Single7LJCSKF812977LJC-D1-SKF81297-Mevidalen-Gs/β1/γ2
27.27Single7SQOTAK-9257SQO-OX2-TAK-925-Gi1/β1/γ2
27.27Single7UM6Lisuride7UM6-5-HT5A-Lisuride-chim(NtGi1-Go)/β1/γ2
27.27Single7VIES1P7VIE-S1P1-S1P-Gi1/β1/γ2
27.27Single7VKTLTB47VKT-BLT1-LTB4-Gi1/β1/γ2
27.27Single7X2CFenoldopam7X2C-D1-Fenoldopam-Fenoldopam-Gs/β1/γ2
27.27Single7XTC5-CT7XTC-5-HT7-5-CT-Gs/β1/γ2
27.27Single8DZSGR89,6968DZS-κ-GR89,696-chim(NtGi2-Gz)/β1/γ2
27.27Single8FY85-MeO-DMT8FY8-5-HT1A-5-MeO-DMT-PtdIns4P-Gi1/β1/γ1
27.27Single8GE9Constrained Epinephrine8GE9-β2-Constrained Epinephrine-Gs/β1/γ2
27.27Single8GEHConstrained Epinephrine8GEH-β2-Constrained Epinephrine-Gs/β1/γ2
27.27Single8JJOAlprenolol8JJO-β2-Alprenolol
27.27Single8T1WCVN4248T1W-GPR6-CVN424
27.27Single8U1UCCL18U1U-CCR8-CCL1-Gi1/β1/γ2
27.27Single8X17Namodenoson8X17-A3A-Namodenoson-Gi1/β1/γ2
27.27Single8X64Desloratadine8X64-H1-Desloratadine
27.27Single8XVKAmbrisentan8XVK-ETA-Ambrisentan
27.27Single8Y71A1D6F8Y71-δ-A1D6F-BMS986187-Gi1/β1/γ2
27.27Single8ZJETAK4488ZJE-Kiss1-TAK448-chim(NtGi1-Gq)/β1/γ1
27.27Single8ZSSRO52633978ZSS-TA1-RO5263397-chim(NtGi1-Gs)/β1/γ2
27.27Single9CBMDexmedetomidine9CBM-α2a-Dexmedetomidine-Gi1/β1/γ2
27.27Single9CHXCarazolol9CHX-β2-Carazolol
27.27Single9D61JDTic9D61-κ-JDTic-Gi1/β1/γ2
27.27Single9DYFAsenapine9DYF-5-HT1A-Asenapine-PtdIns4P-Gi1/β1/γ2
27.27Single9EPP11,20-Ethanoretinal9EPP-Rhodopsin-11,20-Ethanoretinal-chim(Gi1-CtGq)/β1/γ2
27.27Single9KFJPubChem 1383196749KFJ-RXFP3-PubChem 138319674-Gi2/β1/γ2
27.27Single9KFTfMLFC9KFT-FPR1-ALX-fMLFC-Gi1/β1/γ2
27.27Single9KUXCMPD6449KUX-Apelin; Apelin-CMPD644-Arrestin2
27.27Single9LLAAriadne9LLA-5-HT2A-Ariadne-chim(NtGi1L-Gs-CtGq)/β1/γ2
27.27Single9PLNPubChem 1682595949PLN-α2a-PubChem 168259594
27.27Single9PLOPubChem 1682595949PLO-α2a-PubChem 168259594-Go/β1/γ2
27.27Single9PQDPubChem 1764919279PQD-α2a-PubChem 176491927
27.27Single9VMYTMU41429VMY-5-HT1A-TMU4142-Go/β1/γ2
27.27Consensus5ht5_onOrthosteric Ligand5ht5a_on
27.27Consensus5ht5a_onOrthosteric Ligand7X5H-5-HT5A-5-CT-Gi1/β1/γ2 7UM6-5-HT5A-Lisuride-chim(NtGi1-Go)/β1/γ2 7UM7-5-HT5A-Methylergometrine-chim(NtGi1-Go)/β1/γ2
27.27Consensus5ht6_onOrthosteric Ligand7XTB-5-HT6-Serotonin-Gs/β1/γ2 8JLZ-5-HT6-ST1936-Gs/β1/γ2
27.27Consensus5ht6_on_gpOrthosteric Ligand7XTB-5-HT6-Serotonin-Gs/β1/γ2 8JLZ-5-HT6-ST1936-Gs/β1/γ2
27.27Consensus5ht7_onOrthosteric Ligand7XTC-5-HT7-5-CT-Gs/β1/γ2
27.27Consensus5ht7_on_gpOrthosteric Ligand7XTC-5-HT7-5-CT-Gs/β1/γ2
27.27Consensusa3_onOrthosteric Liganda3a_on
27.27Consensusadenosine_on_gpOrthosteric Liganda1_on_gp a2_on_gp a3_on_gp
27.27Consensusalicarboxylic_on_gpOrthosteric Ligandsuccinate_on_gp hca_on_gp
27.27Consensusalpha_onOrthosteric Ligandalpha1_on alpha2_on
27.27Consensusblt1_onOrthosteric Ligand7VKT-BLT1-LTB4-Gi1/β1/γ2
27.27Consensusblt1_on_gpOrthosteric Ligand7VKT-BLT1-LTB4-Gi1/β1/γ2
27.27Consensusblt_onOrthosteric Ligandblt1_on
27.27Consensusblt_on_gpOrthosteric Ligandblt1_on_gp
27.27Consensuscck_offOrthosteric Ligandccka_off
27.27Consensusccka_offOrthosteric Ligand7F8Y-CCKA-Devazepide 7F8U-CCKA-Lintitript
27.27Consensusd5_onOrthosteric Ligand8IRV-D5-Rotigotine-chim(NtGi1-Gs)/β1/γ2
27.27Consensusgi_alicarboxylicOrthosteric Ligandgi_hca gi_succinate
27.27Consensusgi_leukotrieneOrthosteric Ligand7VKT-BLT1-LTB4-Gi1/β1/γ2
27.27Consensusgi_orexinOrthosteric Ligand7SQO-OX2-TAK-925-Gi1/β1/γ2
27.27Consensusleukotriene_onOrthosteric Ligandblt_on
27.27Consensusleukotriene_on_gpOrthosteric Ligandblt_on_gp
26.92Single3NY9PubChem 9131033NY9-β2-PubChem 913103
26.92Single5VBLAMG3054 5VBL-Apelin-AMG3054
26.92Single6PT3DPI-2876PT3-δ-DPI-287
26.92Single6XBJCholesterol6XBJ-SMO-Cholesterol-Gi1/β1/γ2
26.92Single7RKNCX3CL17RKN-US28-CX3CL1-Gi1/β1/γ2
26.92Single8QJ2pN1628QJ2-MC4-pN162-Gs/β1/γ2
26.92Single8X3LXWD8X3L-CB2-XWD-Gi1/β1/γ2
26.92Single8XQJJN2418XQJ-Apelin; Apelin-JN241
26.92Single8XX6CXCL88XX6-CXCR2-CXCL8-Go/β1/γ2
26.92Single8Z74JN241-98Z74-Apelin; Apelin-JN241-9
26.92Single8Z74JN241-98Z74-Apelin; Apelin-JN241-9
26.92Single9CGKC5-Quino9CGK-δ-C5-Quino-Gi1/β1/γ2
26.92Single9MD1Buspirone9MD1-5-HT1A-Buspirone-PtdIns4P-Gz/β1/γ2
26.92Consensuscxcr4_offOrthosteric Ligand4RWS-CXCR4-vMIP-II 3OE0-CXCR4-CVX15 3OE6-CXCR4-IT1t
26.92Consensusdop_onOrthosteric Ligand8F7S-δ-Deltorphin-Gi1/β1/γ2
26.92Consensuskiss1_onOrthosteric Ligand8ZJD-Kiss1-Kisspeptin-1-chim(NtGi1-Gq)/β1/γ1
26.92Consensuskisspeptin_onOrthosteric Ligandkiss1_on
26.92Consensusnmur1_onOrthosteric Ligand7W53-NMUR1-Neuromedin-U-25-chim(NtGi1-Gs-CtGq)/β1/γ2
26.92Consensuss1p_onOrthosteric Ligands1p1_on s1p3_on s1p5_on
26.92Consensuss1p_on_gpOrthosteric Ligands1p1_on_gp s1p3_on_gp s1p5_on_gp
26.67Single7F9YGhrelin7F9Y-Ghrelin-Ghrelin-chim(NtGi1-Gs-CtGq)/β1/γ2
26.67Single8IA2C5a8IA2-C5a1-C5a-Go/β1/γ2
26.67Consensuschemokine_offOrthosteric Ligandccr_off cxcr_off
26.67Consensusmc1_onOrthosteric Ligand7F4H-MC1-Afamelanotide-chim(NtGi1-Gs)/β1/γ2 7F4D-MC1-α-MSH-chim(NtGi1-Gs)/β1/γ2 7F4I-MC1-SHU9119-chim(NtGi1-Gs)/β1/γ2
26.67Consensusmc1_on_gpOrthosteric Ligand7F4H-MC1-Afamelanotide-chim(NtGi1-Gs)/β1/γ2 7F4D-MC1-α-MSH-chim(NtGi1-Gs)/β1/γ2 7F4I-MC1-SHU9119-chim(NtGi1-Gs)/β1/γ2
26.67Consensusneuromedin-u_on_gpOrthosteric Ligandnmur1_on_gp nmur2_on_gp
26.32Single6FUFAll-trans-Retinal6FUF-Rhodopsin-All-trans-Retinal-Go
26.32Single6OIKLY21196206OIK-M2-Iperoxo-LY2119620-chim(NtGi1-Go)/β1/γ2
26.32Single7EJKOxymetazoline7EJK-α2a-Oxymetazoline-Go/β1/γ2
26.32Single7WC5Psilocin7WC5-5-HT2A-Psilocin
26.32Single8GH1Constrained Epinephrine8GH1-β2-Constrained Epinephrine
26.32Single8IW72-Phenylethylamine8IW7-TAA9-2-Phenylethylamine-chim(NtGi1-Gs)/β1/γ2
26.32Single8JEFPubChem 113671668JEF-HCA3-PubChem 11367166-Gi1/β1/γ2
26.32Single9KT93,5-DHBA9KT9-HCA1-3,5-DHBA-Gi1/β1/γ2
26.32Consensus5ht2_onOrthosteric Ligand5ht2b_on
26.32Consensus5ht2b_onOrthosteric Ligand7SRR-5-HT2B-LSD-chim(NtGi2L-Gs-CtGq)/β1/γ2
26.32Consensusopsins_on_gpOrthosteric Ligandrhodopsin_on_gp opsin1lw_on_gp
26.32Consensusrhodopsin_onOrthosteric Ligand6OYA-Rhodopsin-All-trans-Retinal-Gt/β1/γ1
26.32Consensussensory_on_gpOrthosteric Ligandopsins_on_gp
26.19Single8GY7Corticotropin8GY7-MC2-Corticotropin-Ca-chim(NtGi1-Gs)/β1/γ2; MRAP1
26.09Single2Y03Isoprenaline2Y03-β1-Isoprenaline
26.09Single5IUAQ274563485IUA-A2A-Q27456348-Na
26.09Single5OM4PubChem 1355666095OM4-A2A-PubChem 135566609-Na
26.09Single6LPLZM-2413856LPL-A2A-ZM-241385-Na
26.09Single6LUQHaloperidol6LUQ-D2-Haloperidol
26.09Single6ME72-Phenylmelatonin6ME7-MT2-2-Phenylmelatonin
26.09Single6ME82-Phenylmelatonin6ME8-MT2-2-Phenylmelatonin
26.09Single6S0QZM-2413856S0Q-A2A-ZM-241385
26.09Single6WQAZM-2413856WQA-A2A-ZM-241385-Na
26.09Single6XBKCholesterol6XBK-SMO-Cholesterol-Gi1/β1/γ2
26.09Single7BB7AVP7BB7-V2-AVP-Gs/β1/γ2
26.09Single7CKXA776367CKX-D1-A77636-Gs/β1/γ2
26.09Single7LD3Adenosine7LD3-A1-Adenosine-MIPS521-Gi2/β1/γ2
26.09Single7RM5ZM-2413857RM5-A2A-ZM-241385-Na
26.09Single7SBFPZM217SBF-μ-PZM21-Gi1/β1/γ2
26.09Single7W41PD1762527W41-BB2-PD176252
26.09Single7WC6LSD7WC6-5-HT2A-LSD
26.09Single8C9WEtrumadenant8C9W-A2A-Etrumadenant
26.09Single8FYNZM-2413858FYN-A2A-ZM-241385-Na
26.09Single8GNEKW-63568GNE-A2A-KW-6356-Na
26.09Single8J6JGSK2560738J6J-HCA2-GSK256073-Gi1/β1/γ2
26.09Single8K8JFenofibrate8K8J-CB1-Fenofibrate-chim(Gs-CtGq)/β1/γ2
26.09Single8QOTNanobody-E8QOT-μ-Nanobody-E
26.09Single8S4DCMF-0198S4D-Apelin-CMF-019
26.09Single8TH4Losartan8TH4-AT1-Losartan-AT118-L Nanobody
26.09Single8ZMFPubChem 1719206738ZMF-5-HT2C-PubChem 171920673
26.09Single9ARYSerotonin9ARY-5-HT2A-Serotonin-chim(NtGi1-Gs-CtGq)/β1/γ2
26.09Single9AVLCa; Ca; Cyclomethyltryptophan; R-568; PO49AVL-CaS; CaS-Ca-Ca; Ca; Cyclomethyltryptophan; R-568; PO4-Gi3/β2/γ2
26.09Single9DYDAsenapine9DYD-5-HT1A-Asenapine-PtdIns4P-Go/β1/γ2
26.09Single9EAHOlmesartan9EAH-AT1-Olmesartan-Nanobody AT209
26.09Single9EAHNanobody AT2099EAH-AT1-Olmesartan-Nanobody AT209
26.09Single9EE8Adenosine9EE8-A2A-Adenosine-Gs/β1/γ2
26.09Single9F33FOB02-04A9F33-D3-FOB02-04A-Go/β1/γ2
26.09Single9F34FOB02-04A9F34-D3-FOB02-04A-Go/β1/γ2
26.09Single9I52A1IZU9I52-D1-A1IZU-Gs/β1/γ2
26.09Single9IYBPGD29IYB-DP2-PGD2-A1D5Q-Gi1/β1/γ2
26.09Single9JKSPubChem 442501769JKS-HCA3-PubChem 44250176-Gi1/β1/γ2
26.09Single9K07DSO-5a9K07-BB3-DSO-5a-chim(NtGi2L-Gs-CtGq)/β1/γ2
26.09Single9KT6Acifran9KT6-HCA3-Acifran-Gi1/β1/γ2
26.09Single9KUTJR14a9KUT-C3aB-JR14a-Go/β1/γ2
26.09Single9L74S1P d16:19L74-S1P3-S1P d16:1-chim(NtGi2L-Gs-CtGq)/β1/γ2
26.09Single9PXYNaloxone9PXY-μ-Naloxone-GDPβS-Gi1/β1/γ2
26.09Single9U81Tolvaptan9U81-V2-Tolvaptan
26.09Consensus5ht2_offOrthosteric Ligand5ht2a_off 5ht2b_off 5ht2c_off
26.09Consensusa1_offOrthosteric Ligand5UEN-A1-DU172 5N2S-A1-PSB36
26.09Consensusa3_on_gpOrthosteric Liganda3a_on_gp
26.09Consensusa3a_onOrthosteric Ligand8X17-A3A-Namodenoson-Gi1/β1/γ2 8X16-A3A-Piclidenoson-Gi1/β1/γ2
26.09Consensusa3a_on_gpOrthosteric Ligand8X17-A3A-Namodenoson-Gi1/β1/γ2 8X16-A3A-Piclidenoson-Gi1/β1/γ2
26.09Consensusadenosine_offOrthosteric Liganda1_off a2_off
26.09Consensusalpha_on_gpOrthosteric Ligandalpha1_on_gp alpha2_on_gp
26.09Consensusbb2_offOrthosteric Ligand7W41-BB2-PD176252
26.09Consensusblt1_offOrthosteric Ligand5X33-BLT1-BIIL260 7K15-BLT1-MKD046-Na
26.09Consensusblt_offOrthosteric Ligandblt1_off
26.09Consensusbombesin_offOrthosteric Ligandbb2_off
26.09Consensusd1_onOrthosteric Ligand7F0T-D1-Dopamine-Gs/β1/γ2 7CKY-D1-PW0464-Gs/β1/γ2 8IRR-D1-Rotigotine-Gs/β1/γ2 7JV5-D1-SKF81297-Gs/β1/γ2 7JVP-D1-SKF83959-Gs/β1/γ2 7X2D-D1-Tavapadon-Gs/β1/γ2 7CKX-D1-A77636-Gs/β1/γ2 7JVQ-D1-Apomorphine-Gs/β1/γ2 7CKW-D1-Fenoldopam-Gs/β1/γ2
26.09Consensusta1_onOrthosteric Ligand8W87-TA1-METH-chim(NtGi1L-Gs)/β1/γ2 8W89-TA1-2-Phenylethylamine-chim(NtGi1L-Gs)/β1/γ2 8JLP-TA1-Ralmitaront-Gs/β1/γ2 8W8A-TA1-RO5256390-chim(NtGi1L-Gs)/β1/γ2 8W88-TA1-SEP-363856-Gs/β1/γ2 8JLO-TA1-Ulotaront-Gs/β1/γ2 8JLR-TA1-A77636-chim(NtGi1-Gs)/β1/γ2 8JSO-TA1-AMPH-chim(NtGi1-Gs)/β1/γ2 8ZSP-TA1-LSD-chim(NtGi1L-Gs)/β1/γ2
26.09Consensustrace-amine_onOrthosteric Ligandta1_on
25.93Single7L0RNeurotensin-(8-13)7L0R-NTS1-Neurotensin-(8-13)-Gi1/β1/γ1
25.93Single7W56Neuromedin-S7W56-NMUR1-Neuromedin-S-chim(NtGi1-Gs-CtGq)/β1/γ2
25.93Single8G59TUG-8918G59-FFA4-TUG-891-chim(Gi1-CtGq)/β1/γ2
25.93Single8J6RMK68928J6R-HCA2-MK6892-Gi1/β1/γ2
25.93Single8U4OCXCL128U4O-CXCR4-CXCL12-Gi1/β1/γ2
25.93Single8XWNCXCL88XWN-CXCR2-CXCL8
25.93Single9UYLChemerin-99UYL-CML2-Chemerin-9-Arrestin2
25.93Consensusgi_nucleotideOrthosteric Ligandgi_adenosine gi_p2y
25.93Consensuslpl_onOrthosteric Ligands1p_on lpa_on
25.93Consensuslpl_on_gpOrthosteric Ligands1p_on_gp lpa_on_gp
25.93Consensusmc4_onOrthosteric Ligand7AUE-MC4-Setmelanotide-chim(NtGi1L-Gs)/β1/γ2 7F58-MC4-THIQ-Gs/β1/γ2 7F54-MC4-Afamelanotide-Gs/β1/γ2 7F53-MC4-α-MSH-Gs/β1/γ2 7F55-MC4-Bremelanotide-Gs/β1/γ2
25.81Single4XT3CX3CL14XT3-US28-CX3CL1
25.81Single7SK3CXCL127SK3-ACKR3-CXCL12
25.81Consensusccr_offOrthosteric Ligandccr2_off ccr5_off
25.00Single3OE9IT1t3OE9-CXCR4-IT1t
25.00Single3SN6BI1671073SN6-β2-BI167107-Gs/β1/γ2
25.00Single4DJHJDTic4DJH-κ-JDTic
25.00Single5V54Methiothepin5V54-5-HT1B-Methiothepin
25.00Single6DDEDAMGO6DDE-μ-DAMGO-Gi1/β1/γ2
25.00Single6GT3Imaradenant6GT3-A2A-Imaradenant-Na
25.00Single6HLLCP999946HLL-NK1-CP99994
25.00Single6HLOAprepitant6HLO-NK1-Aprepitant
25.00Single6J20Aprepitant6J20-NK1-Aprepitant
25.00Single6OS1TRV0266OS1-AT1-TRV026
25.00Single6TQ4PubChem 160468446TQ4-OX1-PubChem 16046844-Na
25.00Single6TQ7SB-3348676TQ7-OX1-SB-334867
25.00Single7F58THIQ7F58-MC4-THIQ-Gs/β1/γ2
25.00Single7JV5SKF812977JV5-D1-SKF81297-Gs/β1/γ2
25.00Single7JVPSKF839597JVP-D1-SKF83959-Gs/β1/γ2
25.00Single7M8W15r-Methyl-PGD27M8W-DP2-15r-Methyl-PGD2-Na
25.00Single7PX4PSB-21137PX4-A2A-PSB-2113
25.00Single7R0CAVP7R0C-V2-AVP-Arrestin2
25.00Single7T96LY21196207T96-M2-Acetylcholine-LY2119620-Go/β1/γ2
25.00Single7TRPLY20332987TRP-M4-Iperoxo-LY2033298-Gi1/β1/γ2
25.00Single7U2LC5-guano7U2L-μ-C5-guano-Gi1/β1/γ2
25.00Single7WV9CP559407WV9-CB1-CP55940-ZCZ011-Gi2/β1/γ2
25.00Single7XJLSpexin7XJL-GAL2-Spexin-chim(NtGi2L-Gs-CtGq)/β1/γ2
25.00Single7XOWSulfated Gastrin-(10-17)7XOW-CCKB-Sulfated Gastrin-(10-17)-chim(NtGi1-Gq)/β1/γ2
25.00Single7XT9Serotonin7XT9-5-HT4-Serotonin-Gs/β1/γ2
25.00Single7XTASerotonin7XTA-5-HT4-Serotonin-Gi1/β1/γ2
25.00Single7XTBSerotonin7XTB-5-HT6-Serotonin-Gs/β1/γ2
25.00Single7XY7NECA7XY7-A2B-NECA-chim(NtGi1-Gs)/β1/γ2
25.00Single7YS6Serotonin7YS6-5-HT6-Serotonin-chim(NtGi1-Gs)/β1/γ2
25.00Single8A2PLUAA470708A2P-A2A-LUAA47070-Na
25.00Single8DCSCyanopindolol8DCS-β1-Cyanopindolol-Gs/β1/γ2
25.00Single8DZPmomSalB8DZP-κ-momSalB-Gi1/β1/γ2
25.00Single8EF6Morphine8EF6-μ-Morphine-Gi1/β1/γ2
25.00Single8FN1Neurotensin-(8-13)8FN1-NTS1-Neurotensin-(8-13)-chim(NtGi1-Go)/β1/γ2
25.00Single8GGYConstrained Epinephrine8GGY-β2-Constrained Epinephrine
25.00Single8HDOBAY 60-65838HDO-A2B-BAY 60-6583-Gs/β1/γ2
25.00Single8HQCC5a8HQC-C5a1-C5a-Go/β1/γ2
25.00Single8I2GPubChem 675302408I2G-FSH-FSH-PubChem 67530240-Gs/β1/γ2
25.00Single8ID39-Hydroxystearic acid8ID3-FFA4-9-Hydroxystearic acid-Gi1/β1/γ2
25.00Single8IEBPubChem 1347468948IEB-GPR156; GPR156-PubChem 134746894
25.00Single8JBGNeurokinin-B8JBG-NK3-Neurokinin-B-chim(NtGi1-Gs-CtGq)/β1/γ2
25.00Single8JBHSubstance-P8JBH-NK3-Substance-P-chim(NtGi1-Gs-CtGq)/β1/γ2
25.00Single8JLOUlotaront8JLO-TA1-Ulotaront-Gs/β1/γ2
25.00Single8JXVClozapine8JXV-H4-Clozapine-Gi1/β1/γ2
25.00Single8JZPC5a8JZP-C5a1-C5a-Go/β1/γ2
25.00Single8UO3Constrained Epinephrine8UO3-β2-Constrained Epinephrine-GTP; Mg-Gs/β1/γ2
25.00Single8UO4Constrained Epinephrine8UO4-β2-Constrained Epinephrine-GTP; Mg-Gs/β1/γ2
25.00Single8XVLZibotentan8XVL-ETA-Zibotentan
25.00Single8XZICMF-0198XZI-Apelin; Apelin-CMF-019-Gi1/β1/γ2
25.00Single8Y73Peptide8Y73-μ-Peptide-MPAM-15-Gi1/β1/γ2
25.00Single8YH3N-methyladenosine8YH3-A3A-N-methyladenosine-Gi1/β1/γ2
25.00Single8YH6Namodenoson8YH6-A3A-Namodenoson-Gi1/β1/γ2
25.00Single8ZX5AM2518ZX5-GPR55-AM251-chim(NtGi1-G13)/β1/γ2
25.00Single9AYFCa; Ca; Ca; Cyclomethyltryptophan; R-568; PO49AYF-CaS; CaS-Ca-Ca; Ca; Ca; Cyclomethyltryptophan; R-568; PO4-Gi1/β1/γ2
25.00Single9B65MDMB-Fubinaca9B65-CB1-MDMB-Fubinaca-Gi1/β1/γ2
25.00Single9BJKNaloxone9BJK-μ-Naloxone-PubChem 171642066
25.00Single9E82CXCL12 (fragment)9E82-ACKR3-CXCL12 (fragment)-Arrestin2
25.00Single9IJDCarazolol9IJD-β3-Carazolol-chim(NtGi1-Gs)/β1/γ2
25.00Single9JCLADP9JCL-P2Y1-ADP-chim(Gs-CtGq)/β1/γ2
25.00Single9JMCDS-3801b9JMC-Motilin-DS-3801b-chim(Gs-CtGq)/β1/γ2
25.00Single9L16CCL219L16-CCR7-CCL21
25.00Single9LMPNE52-QQ579LMP-GPR4-NE52-QQ57
25.00Single9RHGC4079RHG-FZD7-C407
25.00Single9WSTDAMGO9WST-μ-DAMGO-chim(NtGi1-Gz)/β1/γ2
25.00Consensus5ht1_offOrthosteric Ligand5ht1b_off
25.00Consensus5ht1b_offOrthosteric Ligand5V54-5-HT1B-Methiothepin
25.00Consensus5ht4_onOrthosteric Ligand7XTA-5-HT4-Serotonin-Gi1/β1/γ2
25.00Consensus5ht4_on_gpOrthosteric Ligand7XTA-5-HT4-Serotonin-Gi1/β1/γ2
25.00Consensus5ht_offOrthosteric Ligand5ht2_off 5ht1_off
25.00Consensusclass-a_offOrthosteric Ligandsensory_off alicarboxylic_off amine_off lipid_off nucleotide_off peptide_off protein_off
25.00Consensusgi_cannabinoidOrthosteric Ligand8GUR-CB2-CP55940-Gi1/β1/γ2 8GUS-CB2-HU-308-Gi1/β1/γ2 8GUT-CB2-LEI-102-Gi1/β1/γ2 8GUQ-CB2-Olorinab-Gi1/β1/γ2 6KPF-CB2-AM12033-Gi1/β1/γ2 6PT0-CB2-WIN 55212-2-Gi1/β1/γ2 6KPG-CB1-AM841-Gi1/β1/γ2
25.00Consensusgq_nucleotideOrthosteric Ligandgq_p2y
25.00Consensusgq_p2yOrthosteric Ligand7XXH-P2Y1-2MeSADP-chim(NtGi1-G11)/β1/γ2
25.00Consensuskop_offOrthosteric Ligand4DJH-κ-JDTic
25.00Consensusmc4_on_gpOrthosteric Ligand7AUE-MC4-Setmelanotide-chim(NtGi1L-Gs)/β1/γ2 7F58-MC4-THIQ-Gs/β1/γ2 7F54-MC4-Afamelanotide-Gs/β1/γ2 7F53-MC4-α-MSH-Gs/β1/γ2 7F55-MC4-Bremelanotide-Gs/β1/γ2
25.00Consensusmc5_onOrthosteric Ligand8INR-MC5-α-MSH-Ca-chim(NtGi1-Gs)/β1/γ2 8IOD-MC5-PG-901-Ca-chim(NtGi1-Gs)/β1/γ2
25.00Consensusnpy1_offOrthosteric Ligand5ZBH-Y1-BMS-193885 5ZBQ-Y1-UR-MK-299
25.00Consensuss1p3_on_gpOrthosteric Ligand7EW3-S1P3-S1P-Gi1/β1/γ2 7EW4-S1P3-CYM-5541-Gi1/β1/γ2 7EW2-S1P3-FTY720-P-Gi1/β1/γ2
25.00Consensusta1_on_gpOrthosteric Ligand8W87-TA1-METH-chim(NtGi1L-Gs)/β1/γ2 8W89-TA1-2-Phenylethylamine-chim(NtGi1L-Gs)/β1/γ2 8JLP-TA1-Ralmitaront-Gs/β1/γ2 8W8A-TA1-RO5256390-chim(NtGi1L-Gs)/β1/γ2 8W88-TA1-SEP-363856-Gs/β1/γ2 8JLO-TA1-Ulotaront-Gs/β1/γ2 8JLR-TA1-A77636-chim(NtGi1-Gs)/β1/γ2 8JSO-TA1-AMPH-chim(NtGi1-Gs)/β1/γ2 8ZSP-TA1-LSD-chim(NtGi1L-Gs)/β1/γ2
25.00Consensustrace-amine_on_gpOrthosteric Ligandta1_on_gp
24.24Single8KGGLysophosphatidylserine (WJS)8KGG-P2Y10-Lysophosphatidylserine (WJS)-chim(NtGi2-G13)/β1/γ2
24.14Single3OE0CVX153OE0-CXCR4-CVX15
24.14Single7TD2LPA7TD2-LPA1-LPA-Gi1/β1/γ2
24.14Single8WKZSBL-MC-318WKZ-MC4-SBL-MC-31
24.00Single4N4WSANT-14N4W-SMO-SANT-1
24.00Single4XEENeurotensin-(8-13)4XEE-NTS1-Neurotensin-(8-13)
24.00Single4XESNeurotensin-(8-13)4XES-NTS1-Neurotensin-(8-13)
24.00Single5F8UCyanopindolol5F8U-β1-Cyanopindolol
24.00Single6OSAJMV4496OSA-NTS1-JMV449-Gi1/β1/γ2
24.00Single6XBLCholesterol6XBL-SMO-SAG-Cholesterol-Gi1/β1/γ2
24.00Single6ZG4HTL00099366ZG4-M1-HTL0009936
24.00Single7DFPSpiperone7DFP-D2-Spiperone
24.00Single7EO4Siponimod7EO4-S1P1-Siponimod-Gi1/β1/γ2
24.00Single7MTRADX551647MTR-mGlu2; mGlu2-Glutamate-ADX55164
24.00Single7W0LPubChem 1227019087W0L-Apelin; Apelin-PubChem 122701908-Gi1/β1/γ2
24.00Single7W0NElabela7W0N-Apelin; Apelin-Elabela-Gi1/β1/γ2
24.00Single7WCNAR2314537WCN-GPR119-AR231453-Gs/β1/γ2
24.00Single7XZ5Lysophosphatidylcholine7XZ5-GPR119-Lysophosphatidylcholine-Gs/β1/γ2
24.00Single8FYTLSD8FYT-5-HT1A-LSD-PtdIns4P-Gi1/β1/γ1
24.00Single8JPCNeurotensin-(8-13)8JPC-NTS1-Neurotensin-(8-13)-SBI-553; GDP; Mg-Gq; GRK2
24.00Single8U26Substance-P8U26-NK1-Substance-P-Gs/β1/γ2
24.00Single9BJKPubChem 1716420669BJK-μ-Naloxone-PubChem 171642066
24.00Single9EBIPiclidenoson9EBI-A3A-Piclidenoson-chim(NtGi1L-Gs-CtGi1)/β1/γ2
24.00Single9WSWEndomorphin9WSW-μ-Endomorphin-chim(NtGi1-Gz)/β1/γ2
24.00Single9YDUUDP-Glucose9YDU-P2Y14-UDP-Glucose-Gi1/β1/γ2
24.00Consensuscannabinoid_onOrthosteric Ligandcb2_on cb1_on
24.00Consensuscannabinoid_on_gpOrthosteric Ligandcb2_on_gp cb1_on_gp
24.00Consensusgi_amineOrthosteric Ligandgi_5ht gi_muscarinic gi_adrenergic gi_dopamine gi_histamine
24.00Consensusgi_muscarinicOrthosteric Ligand8E9X-M4-2-Deoxycytidine-chim(NtGi1-Go)/β1/γ2 7T8X-M2-Acetylcholine-chim(NtGi1-Go)/β1/γ2 7TRS-M4-Acetylcholine-Gi1/β1/γ2 7TRK-M4-Iperoxo-Gi1/β1/γ2 7V6A-M4-PubChem 9864275-Gi1/β1/γ2
24.00Consensusgi_neurotensinOrthosteric Ligand6OSA-NTS1-JMV449-Gi1/β1/γ2 7L0S-NTS1-Neurotensin-(8-13)-Gi1/β1/γ1
24.00Consensusleukotriene_offOrthosteric Ligandblt_off cyslt_off
24.00Consensuslipid_offonOrthosteric Ligandlipid_off lipid_on
24.00Consensuslipid_offon_gpOrthosteric Ligandlipid_on_gp lipid_off
24.00Consensusm4_onOrthosteric Ligand7TRS-M4-Acetylcholine-Gi1/β1/γ2 7V6A-M4-PubChem 9864275-Gi1/β1/γ2 8E9X-M4-2-Deoxycytidine-chim(NtGi1-Go)/β1/γ2 7TRK-M4-Iperoxo-Gi1/β1/γ2
24.00Consensusm4_on_gpOrthosteric Ligand7TRS-M4-Acetylcholine-Gi1/β1/γ2 7V6A-M4-PubChem 9864275-Gi1/β1/γ2 8E9X-M4-2-Deoxycytidine-chim(NtGi1-Go)/β1/γ2 7TRK-M4-Iperoxo-Gi1/β1/γ2
24.00Consensusneurotensin_on_gpOrthosteric Ligandnts1_on_gp
24.00Consensusnts1_on_gpOrthosteric Ligand6OSA-NTS1-JMV449-Gi1/β1/γ2 7L0S-NTS1-Neurotensin-(8-13)-Gi1/β1/γ1
24.00Consensuss1p1_onOrthosteric Ligand7VIE-S1P1-S1P-Gi1/β1/γ2 7VIF-S1P1-FTY720-P-Gi1/β1/γ2 7VIG-S1P1-CBP-307-Gi1/β1/γ2 7EVY-S1P1-Siponimod-Gi1/β1/γ2 7EVZ-S1P1-Cenerimod-Gi1/β1/γ2 7EW0-S1P1-Ozanimod-Gi1/β1/γ2 7EW7-S1P1-SEW2871-Gi1/β1/γ2
24.00Consensuss1p1_on_gpOrthosteric Ligand7VIE-S1P1-S1P-Gi1/β1/γ2 7VIF-S1P1-FTY720-P-Gi1/β1/γ2 7VIG-S1P1-CBP-307-Gi1/β1/γ2 7EVY-S1P1-Siponimod-Gi1/β1/γ2 7EVZ-S1P1-Cenerimod-Gi1/β1/γ2 7EW0-S1P1-Ozanimod-Gi1/β1/γ2 7EW7-S1P1-SEW2871-Gi1/β1/γ2
23.81Single3PWHZM-2413853PWH-A2A-ZM-241385
23.81Single3VG9ZM-2413853VG9-A2A-ZM-241385-Antibody
23.81Single4S0VSuvorexant4S0V-OX2-Suvorexant
23.81Single5OLOTozadenant5OLO-A2A-Tozadenant-Na
23.81Single6ME9Ramelteon6ME9-MT2-Ramelteon
23.81Single6NWEOctyl-Beta-D-Glucopyranoside6NWE-Rhodopsin-Octyl-β-D-Glucopyranoside-Gt(CT)
23.81Single6OBAAlprenolol6OBA-β2-Alprenolol-GTPL11074
23.81Single6OYAAll-trans-Retinal6OYA-Rhodopsin-All-trans-Retinal-Gt/β1/γ1
23.81Single6TPJSuvorexant6TPJ-OX2-Suvorexant
23.81Single7BR3Elagolix7BR3-GnRH1-Elagolix
23.81Single7EJ0Norepinephrine7EJ0-α2a-Norepinephrine-Go/β1/γ2
23.81Single7F1ODopamine7F1O-D1-Dopamine-GDP; Mg-Gs/β1/γ2
23.81Single7F8ULintitript7F8U-CCKA-Lintitript
23.81Single7F8YDevazepide7F8Y-CCKA-Devazepide
23.81Single7SRRLSD7SRR-5-HT2B-LSD-chim(NtGi2L-Gs-CtGq)/β1/γ2
23.81Single7SRSLSD7SRS-5-HT2B-LSD-Arrestin2
23.81Single7VUJJNJ-635330547VUJ-GPR139-JNJ-63533054-GDP-chim(Gs-CtGq)/β1/γ2
23.81Single7W0OElabela7W0O-Apelin-Elabela-Gi1/β1/γ2
23.81Single7X2CFenoldopam7X2C-D1-Fenoldopam-Fenoldopam-Gs/β1/γ2
23.81Single7X2FDopamine7X2F-D1-Dopamine-Mevidalen-Gs/β1/γ2
23.81Single7XJJGalanin7XJJ-GAL1-Galanin-Go/β1/γ2
23.81Single7XT8Serotonin7XT8-5-HT4-Serotonin-Gs/β1/γ2
23.81Single7YM8Oxymetazoline7YM8-Alpha1A-Oxymetazoline-chim(Gs-CtGq)
23.81Single8FYXBuspirone8FYX-5-HT1A-Buspirone-PtdIns4P-Gi1/β1/γ1
23.81Single8HDPAdenosine8HDP-A2B-Adenosine-Gs/β1/γ2
23.81Single8IW4Spermidine8IW4-TAA9-Spermidine-chim(NtGi1-Gs)/β1/γ2
23.81Single8IWESpermidine8IWE-TAA9-Spermidine
23.81Single8RVWStilSwitch38RVW-A2A-StilSwitch3-Na
23.81Single8RW4AzoSwitch28RW4-A2A-AzoSwitch2-Na
23.81Single8RWEStilSwitch48RWE-A2A-StilSwitch4-Na
23.81Single8WC4ZH86518WC4-TA1-ZH8651-chim(NtGi1-Gs)/β1/γ2
23.81Single8WCA2-Phenylethylamine8WCA-TA1-2-Phenylethylamine-chim(NtGi1-Gs)/β1/γ2
23.81Single8WOGSuccinic acid8WOG-Succinate-Succinic acid-Gi1/β1/γ2
23.81Single8Y0HVUF114188Y0H-CXCR3-VUF11418
23.81Single8Y0NVUF114188Y0N-CXCR3-VUF11418-Go/β1/γ2
23.81Single8YKXMaleic acid8YKX-Succinate-Maleic acid-Gi1/β1/γ1
23.81Single8YUTAmthamine8YUT-H2-Amthamine-Gs/β1/γ2
23.81Single9EBHAdenosine9EBH-A3A-Adenosine-Gi1/β1/γ2
23.81Single9EEAAdenosine9EEA-A2A-Adenosine-Gs/β1/γ2
23.81Single9FUPIstradefylline9FUP-A2A-Istradefylline-Na
23.81Single9JKXAcifran9JKX-HCA3-Acifran-Gi1/β1/γ2
23.81Single9KVHCinobufotenine9KVH-5-HT1A-Cinobufotenine-PtdIns4P-Gi1/β1/γ2
23.81Single9LL9DOI9LL9-5-HT2A-DOI-chim(NtGi1L-Gs-CtGq)/β1/γ2
23.81Single9LLBDOI-NBOMe9LLB-5-HT2A-DOI-NBOMe-chim(NtGi1L-Gs-CtGq)/β1/γ2
23.81Single9MQJIsoquinuclidine9MQJ-μ-Isoquinuclidine
23.81Single9W49U-50488H9W49-κ-U-50488H-Gi1/β1/γ2
23.81Consensus5ht2_on_gpOrthosteric Ligand5ht2b_on_gp
23.81Consensus5ht2b_on_gpOrthosteric Ligand7SRR-5-HT2B-LSD-chim(NtGi2L-Gs-CtGq)/β1/γ2
23.81Consensusgi_succinateOrthosteric Ligand8YKW-Succinate-Succinic acid-Gi1/β1/γ1 8YKX-Succinate-Maleic acid-Gi1/β1/γ1
23.81Consensusgnrh1_offOrthosteric Ligand7BR3-GnRH1-Elagolix
23.81Consensusp2y1_onOrthosteric Ligand7XXH-P2Y1-2MeSADP-chim(NtGi1-G11)/β1/γ2
23.81Consensusrhodopsin_on_gpOrthosteric Ligand6OYA-Rhodopsin-All-trans-Retinal-Gt/β1/γ1
23.81Consensussensory_offonOrthosteric Ligandsensory_off sensory_on
23.81Consensussensory_offon_gpOrthosteric Ligandsensory_on_gp sensory_on
23.81Consensussuccinate_onOrthosteric Ligand8YKW-Succinate-Succinic acid-Gi1/β1/γ1 8YKX-Succinate-Maleic acid-Gi1/β1/γ1
23.81Consensussuccinate_on_gpOrthosteric Ligand8YKW-Succinate-Succinic acid-Gi1/β1/γ1 8YKX-Succinate-Maleic acid-Gi1/β1/γ1
23.33Single8H4KGW95088H4K-FFA4-GW9508-chim(NtGi1-Gs-CtGq)/β1/γ2
23.33Single8IEDPubChem 1347468948IED-GPR156; GPR156-PubChem 134746894-Go/β1/γ2
23.33Consensusmc5_on_gpOrthosteric Ligand8INR-MC5-α-MSH-Ca-chim(NtGi1-Gs)/β1/γ2 8IOD-MC5-PG-901-Ca-chim(NtGi1-Gs)/β1/γ2
23.08Single4BUONeurotensin-(8-13)4BUO-NTS1-Neurotensin-(8-13)
23.08Single4RWSvMIP-II4RWS-CXCR4-vMIP-II
23.08Single6K1QIRL25006K1Q-ETB-IRL2500
23.08Single6UP7Neurotensin-(8-13)6UP7-NTS1-Neurotensin-(8-13)-Arrestin2
23.08Single7EW0Ozanimod7EW0-S1P1-Ozanimod-Gi1/β1/γ2
23.08Single7MTSADX551647MTS-mGlu2; mGlu2-Glutamate-ADX55164-Gi1/β1/γ2
23.08Single7PIUSetmelanotide7PIU-MC4-Setmelanotide-Gs/β1/γ2
23.08Single7SK7CCX6627SK7-ACKR3-CXCL12-CCX662
23.08Single7VGY2-Iodomelatonin7VGY-MT1-2-Iodomelatonin-Gi1/β1/γ2
23.08Single7X2DTavapadon7X2D-D1-Tavapadon-Gs/β1/γ2
23.08Single7X8RBOC57X8R-GLP-1-BOC5-Gs/β1/γ2
23.08Single7XZ6APD6687XZ6-GPR119-APD668-Gs/β1/γ2
23.08Single8E9X2-Deoxycytidine8E9X-M4-2-Deoxycytidine-chim(NtGi1-Go)/β1/γ2
23.08Single8E9YClozapine-N-oxide8E9Y-M3-Clozapine-N-oxide-chim(NtGi2L-Gs-CtGq)/β1/γ2
23.08Single8FN0Neurotensin-(8-13)8FN0-NTS1-Neurotensin-(8-13)-SBI-553-chim(NtGi1-Go)/β1/γ2
23.08Single8FX5Xanomeline8FX5-M4-Xanomeline-Xanomeline-Gi1/β1/γ2
23.08Single8GAGZ85267113508GAG-CB1-Z8526711350-Gi1/β1/γ2
23.08Single8GUTLEI-1028GUT-CB2-LEI-102-Gi1/β1/γ2
23.08Single8IJDMK68928IJD-HCA2-MK6892-Gi1/β1/γ2
23.08Single8IULLatanoprost8IUL-FP-alpha-Latanoprost-chim(NtGi1-Gs-CtGq)/β1/γ2
23.08Single8IYSTUG-8918IYS-FFA4-TUG-891-GDP-chim(NtGi1L-Gq)/β1/γ2
23.08Single8J19LY2378J19-GPR84-LY237-Gi1/β1/γ2
23.08Single8K4OCXCL18K4O-KSHV-CXCL1-Gi1/β1/γ1
23.08Single8XBES3E-Lysophosphatidylserine 8XBE-GPR34-S3E-Lysophosphatidylserine-Gi1/β1/γ1
23.08Single8XVJMacitentan8XVJ-ETA-Macitentan
23.08Single8XWFCXCL38XWF-CXCR2-CXCL3
23.08Single9AS02-bromo-LSD9AS0-5-HT2A-2-bromo-LSD-chim(NtGi1-Gs-CtGq)/β1/γ2
23.08Single9DYEBuspirone9DYE-5-HT1A-Buspirone-PtdIns4P-Go/β1/γ2
23.08Single9J0BUDP-Glucose9J0B-P2Y14-UDP-Glucose-Gi1/β1/γ2
23.08Single9L79AR2314539L79-GPR119-AR231453-chim(NtGi1-Gs)/β1/γ2
23.08Single9UYMChemerin-99UYM-CML2-Chemerin-9-chim(Arrestin3-CtArrestin2)
23.08Single9WP9S1P9WP9-S1P3-S1P-chim(NtGi2L-Gs-CtGq)/β1/γ2
23.08Consensusnk2_onOrthosteric Ligand7XWO-NK2-Neurokinin-A-chim(NtGi1-Gs-CtGq)/β1/γ2
23.08Consensusnucleotide_on_gpOrthosteric Ligandadenosine_on_gp p2y_on_gp
22.73Single3UZCPubChem 1355666093UZC-A2A-PubChem 135566609
22.73Single3V2YPubChem 518926453V2Y-S1P1-PubChem 51892645
22.73Single5IU4ZM-2413855IU4-A2A-ZM-241385-Na
22.73Single5IUBQ274563445IUB-A2A-Q27456344-Na
22.73Single5K2BZM-2413855K2B-A2A-ZM-241385-Na
22.73Single5K2CZM-2413855K2C-A2A-ZM-241385-Na
22.73Single5NLXZM-2413855NLX-A2A-ZM-241385-Na
22.73Single5NM4ZM-2413855NM4-A2A-ZM-241385-Na
22.73Single5TE3Octyl-Beta-D-Glucopyranoside5TE3-Rhodopsin-Octyl-β-D-Glucopyranoside
22.73Single5UVIZM-2413855UVI-A2A-ZM-241385
22.73Single6A94Zotepine6A94-5-HT2A-Zotepine
22.73Single6K41Dexmedetomidine6K41-α2b-Dexmedetomidine-Go/β1/γ2
22.73Single6ME42-Iodomelatonin6ME4-MT1-2-Iodomelatonin
22.73Single6MH8ZM-2413856MH8-A2A-ZM-241385
22.73Single6PS82-Phenylmelatonin6PS8-MT1-2-Phenylmelatonin
22.73Single6TP3Nemorexant6TP3-OX1-Nemorexant
22.73Single6TPNHTL66416TPN-OX2-HTL6641
22.73Single6VI4JDTic6VI4-κ-JDTic
22.73Single6WH4Methiothepin6WH4-5-HT2A-Methiothepin
22.73Single6WJCMuscarinic toxin 76WJC-M1-Atropine-Muscarinic toxin 7
22.73Single6ZFZ77-LH-28-16ZFZ-M1-77-LH-28-1
22.73Single6ZG9GSK10347026ZG9-M1-GSK1034702
22.73Single7CKWFenoldopam7CKW-D1-Fenoldopam-Gs/β1/γ2
22.73Single7EJ8Brimonidine7EJ8-α2a-Brimonidine-Go/β1/γ2
22.73Single7UM7Methylergometrine7UM7-5-HT5A-Methylergometrine-chim(NtGi1-Go)/β1/γ2
22.73Single7UTZDPPC7UTZ-TSH-TSH-DPPC-Gs/β1/γ2
22.73Single7WC9PubChem 1624213647WC9-5-HT2A-PubChem 162421364
22.73Single7XXH2MeSADP7XXH-P2Y1-2MeSADP-chim(NtGi1-G11)/β1/γ2
22.73Single7YK6PubChem 1383196747YK6-RXFP4-PubChem 138319674-Gi2/β1/γ2
22.73Single8JLNT1AM8JLN-TA1-T1AM-Gs/β1/γ2
22.73Single8JLQFenoldopam8JLQ-TA1-Fenoldopam-Gs/β1/γ2
22.73Single8JSPUlotaront8JSP-5-HT1A-Ulotaront-Gi1/β1/γ2
22.73Single8K9LDAMGO8K9L-μ-DAMGO-BMS-986122-Gi3/β1/γ1
22.73Single8THKA-616038THK-Alpha1A-A-61603-chim(NtGi2L-Gs-CtGq)/β1/γ2
22.73Single8UHBRO52563908UHB-TA1-RO5256390-Gs/β1/γ2
22.73Single8V6UPubChem 1713924568V6U-5-HT2A-PubChem 171392456-chim(NtGi2-Gs-CtGq)/β1/γ2
22.73Single8W88SEP-3638568W88-TA1-SEP-363856-Gs/β1/γ2
22.73Single8W8BSEP-3638568W8B-5-HT1A-SEP-363856-Gi1/β1/γ2
22.73Single8WC8ZH86518WC8-TA1-ZH8651-chim(NtGi1-Gs)/β1/γ2
22.73Single8Y01All-trans-Retinal8Y01-Opsin1MW-All-trans-Retinal-Gi1/β1/γ2
22.73Single8Y53MK50468Y53-BB3-MK5046-chim(NtGi1-Gs-CtGq)/β1/γ2
22.73Single8ZBWQuin-C18ZBW-FPR2-ALX-Quin-C1-Gi2/β1/γ2
22.73Single8ZMGPimavanserin8ZMG-5-HT2A-Pimavanserin
22.73Single8ZPNAMD31008ZPN-CXCR4-AMD3100
22.73Single9ARXSerotonin9ARX-5-HT2A-Serotonin
22.73Single9CBLEpinephrine9CBL-α2a-Epinephrine-Gi1/β1/γ2
22.73Single9JFUNE52-QQ579JFU-GPR4-NE52-QQ57
22.73Single9K0KUTP9K0K-P2Y4-UTP-chim(NtGi1-Gs-CtGq)/β1/γ2
22.73Single9KVIBufotenin9KVI-5-HT1A-Bufotenin-PtdIns4P-Gi1/β1/γ2
22.73Single9LRDHistamine9LRD-H1-Histamine-Gi1/β1/γ2
22.73Single9P1TZM-2413859P1T-A2A-ZM-241385
22.73Single9PXVNaloxone9PXV-μ-Naloxone-Gi1/β1/γ2
22.73Single9PXXNaloxone9PXX-μ-Naloxone-GDPβS-Gi1/β1/γ2
22.73Single9PY2Loperamide9PY2-μ-Loperamide-GDPβS-Gi1/β1/γ2
22.73Single9U80Conivaptan9U80-V2-Conivaptan
22.73Consensusadenosine_onOrthosteric Liganda1_on a2_on a3_on
22.73Consensusghrelin_offOrthosteric Ligand6KO5-Ghrelin-PubChem 57400002 7F83-Ghrelin-PF-05190457
22.73Consensusgi_adenosineOrthosteric Ligand7LD4-A1-Adenosine-Gi2/β1/γ2 8X17-A3A-Namodenoson-Gi1/β1/γ2 8X16-A3A-Piclidenoson-Gi1/β1/γ2
22.73Consensusnucleotide_offOrthosteric Ligandadenosine_off p2y_off
22.73Consensusp2y1_on_gpOrthosteric Ligand7XXH-P2Y1-2MeSADP-chim(NtGi1-G11)/β1/γ2
22.58Single7P02Substance-P7P02-NK1-Substance-P-chim(NtGi1-Gs)/β1/γ2
22.58Single7VL9CCL15(26-92)7VL9-CCR1-CCL15(26-92)-Gi1/β1/γ2
22.22Single3PXOAll-trans-Retinal3PXO-Rhodopsin-All-trans-Retinal
22.22Single5DYSAll-trans-Retinal5DYS-Rhodopsin-All-trans-Retinal
22.22Single6OS9JMV4496OS9-NTS1-JMV449-Gi1/β1/γ2
22.22Single7RKFCX3CL17RKF-US28-CX3CL1-GDP-chim(NtGi1-G11)/β1/γ2
22.22Single7RMHSubstance-P7RMH-NK1-Substance-P-Gs/β1/γ2
22.22Single7XBXCX3CL17XBX-CX3CR1-CX3CL1-Gi1/β1/γ2
22.22Single8JBFSenktide8JBF-NK3-Senktide-chim(NtGi1-Gs-CtGq)/β1/γ2
22.22Single9JF4PD1683689JF4-BB1-PD168368
22.22Single9JIDNiacin9JID-HCA3-Niacin-Gi1/β1/γ2
21.88Single6FJ3PTH6FJ3-PTH1-PTH
21.88Single7RGPTirzepatide7RGP-GLP-1-Tirzepatide-chim(NtGi1-Gs)/β1/γ2
21.88Single7SK4CXCL12_LRHQ7SK4-ACKR3-CXCL12_LRHQ
21.74Single3EMLZM-2413853EML-A2A-ZM-241385
21.74Single4EIYZM-2413854EIY-A2A-ZM-241385-Na
21.74Single4YAYZD-71554YAY-AT1-ZD-7155
21.74Single5IU8Q274563475IU8-A2A-Q27456347-Na
21.74Single5K2AZM-2413855K2A-A2A-ZM-241385-Na
21.74Single5OLGZM-2413855OLG-A2A-ZM-241385-Na
21.74Single5UENDU1725UEN-A1-DU172
21.74Single5VRAZM-2413855VRA-A2A-ZM-241385-Na
21.74Single5ZKPSR274175ZKP-PAF-SR27417
21.74Single6DRXLisuride6DRX-5-HT2B-Lisuride
21.74Single6K42Dexmedetomidine6K42-α2b-Dexmedetomidine-Gi1/β1/γ2
21.74Single6S0LZM-2413856S0L-A2A-ZM-241385
21.74Single6X1ADanuglipron6X1A-GLP-1-Danuglipron-Gs/β1/γ2
21.74Single7DB6Ramelteon7DB6-MT1-Ramelteon-Gi1/β1/γ2
21.74Single7FIHOrg435537FIH-LH-hCG-Org43553-chim(NtGi1-Gs)/β1/γ2
21.74Single7LCKDanuglipron7LCK-GLP-1-Danuglipron
21.74Single7PP1Selatogrel7PP1-P2Y12-Selatogrel
21.74Single7PYRPSB-21157PYR-A2A-PSB-2115
21.74Single7VGZRamelteon7VGZ-MT1-Ramelteon-Gi1/β1/γ2
21.74Single7VH0Ramelteon7VH0-MT2-Ramelteon-Gi1/β1/γ1
21.74Single7WC7Lisuride7WC7-5-HT2A-Lisuride
21.74Single7WC8Lumateperone7WC8-5-HT2A-Lumateperone
21.74Single7XJHIsoprenaline7XJH-β3-Isoprenaline-Gs/β1/γ2
21.74Single7YK7DC5910537YK7-RXFP4-DC591053-Gi2/β1/γ2
21.74Single8CICEtrumadenant8CIC-A2A-Etrumadenant-Na
21.74Single8CU6LJ-45178CU6-A2A-LJ-4517
21.74Single8CU7LJ-45178CU7-A2A-LJ-4517-Na
21.74Single8JLJT1AM8JLJ-TA1-T1AM-chim(NtGi1-Gs)/β1/γ2
21.74Single8JT8(R)-IHCH-71798JT8-5-HT2A-(R)-IHCH-7179
21.74Single8JXRLSD8JXR-D1-LSD
21.74Single8UH3Setiptiline8UH3-5-HT1E-Setiptiline-Gi1/β1/γ1
21.74Single8W87METH8W87-TA1-METH-chim(NtGi1L-Gs)/β1/γ2
21.74Single8W8ARO52563908W8A-TA1-RO5256390-chim(NtGi1L-Gs)/β1/γ2
21.74Single8WC7ZH86678WC7-TA1-ZH8667-chim(NtGi1-Gs)/β1/γ2
21.74Single8ZQEGPR15L(CT)8ZQE-GPR15-GPR15L(CT)-Gi1/β1/γ1
21.74Single8ZYYNeurotensin-(8-13)8ZYY-NTS1-Neurotensin-(8-13)-SBI-553-Arrestin2
21.74Single9H37PubChem 1756706469H37-A2A-PubChem 175670646-Na
21.74Single9METGp120; CD49MET-CXCR4-Gp120; CD4
21.74Single9P1SZM-2413859P1S-A2A-ZM-241385
21.74Single9PXWNaloxone9PXW-μ-Naloxone-GDPβS-Gi1/β1/γ2
21.74Consensusalpha2_onOrthosteric Ligandalpha2b_on
21.74Consensusalpha2_on_gpOrthosteric Ligandalpha2b_on_gp
21.74Consensusalpha2b_onOrthosteric Ligand6K42-α2b-Dexmedetomidine-Gi1/β1/γ2
21.74Consensusalpha2b_on_gpOrthosteric Ligand6K42-α2b-Dexmedetomidine-Gi1/β1/γ2
21.74Consensusgs_trace-amineOrthosteric Ligand8W88-TA1-SEP-363856-Gs/β1/γ2 8JLJ-TA1-T1AM-chim(NtGi1-Gs)/β1/γ2 8JLO-TA1-Ulotaront-Gs/β1/γ2 8WC4-TA1-ZH8651-chim(NtGi1-Gs)/β1/γ2 8WC7-TA1-ZH8667-chim(NtGi1-Gs)/β1/γ2 8JLR-TA1-A77636-chim(NtGi1-Gs)/β1/γ2 8JSO-TA1-AMPH-chim(NtGi1-Gs)/β1/γ2 8W87-TA1-METH-chim(NtGi1L-Gs)/β1/γ2 8W89-TA1-2-Phenylethylamine-chim(NtGi1L-Gs)/β1/γ2 8JLP-TA1-Ralmitaront-Gs/β1/γ2 8W8A-TA1-RO5256390-chim(NtGi1L-Gs)/β1/γ2
21.74Consensuslipid_offOrthosteric Ligandcannabinoid_off paf_off lpl_off prostanoid_off leukotriene_off
21.74Consensusnucleotide_offonOrthosteric Ligandnucleotide_off nucleotide_on
21.74Consensusnucleotide_offon_gpOrthosteric Ligandnucleotide_on_gp nucleotide_off
21.43Single4XT1CX3CL14XT1-US28-CX3CL1
21.43Single7F4ISHU91197F4I-MC1-SHU9119-chim(NtGi1-Gs)/β1/γ2
21.43Single7QA8Antagonist Peptide7QA8-STE2; STE2-Antagonist Peptide
21.43Single7QA8Antagonist Peptide7QA8-STE2; STE2-Antagonist Peptide
21.43Single7VLACCL15(27-92)7VLA-CCR1-CCL15(27-92)-Gi1/β1/γ2
21.43Single8IEBPubChem 1347468948IEB-GPR156; GPR156-PubChem 134746894
21.43Single8IEIPubChem 1347468948IEI-GPR156; GPR156-PubChem 134746894
21.43Single8IEIPubChem 1347468948IEI-GPR156; GPR156-PubChem 134746894
21.43Single8IEPPubChem 1347468948IEP-GPR156; GPR156-PubChem 134746894
21.43Single8IEPPubChem 1347468948IEP-GPR156; GPR156-PubChem 134746894
21.43Single8INRAlpha-MSH8INR-MC5-α-MSH-Ca-chim(NtGi1-Gs)/β1/γ2
21.43Single8WKYPG-9348WKY-MC4-PG-934
21.43Single8XGMChemerin8XGM-CML2-Chemerin-Gi1/β1/γ2
21.43Single9J0IUDP-Glucuronic acid9J0I-P2Y14-UDP-Glucuronic acid-Gi1/β1/γ2
21.43Consensusccr1_onOrthosteric Ligand7VLA-CCR1-CCL15(27-92)-Gi1/β1/γ2
21.43Consensusccr1_on_gpOrthosteric Ligand7VLA-CCR1-CCL15(27-92)-Gi1/β1/γ2
21.43Consensusnk3_onOrthosteric Ligand8JBF-NK3-Senktide-chim(NtGi1-Gs-CtGq)/β1/γ2
21.43Consensusnk3_on_gpOrthosteric Ligand8JBF-NK3-Senktide-chim(NtGi1-Gs-CtGq)/β1/γ2
21.21Consensusp2y10_on_gpOrthosteric Ligand8KGG-P2Y10-Lysophosphatidylserine (WJS)-chim(NtGi2-G13)/β1/γ2
21.05Single6OY9All-trans-Retinal6OY9-Rhodopsin-All-trans-Retinal-Gt/β1/γ1
21.05Single6TQ9SB-4081246TQ9-OX1-SB-408124
21.05Single8DPHLorcaserin8DPH-5-HT2C-Lorcaserin-chim(NtGi2L-Gs-CtGq)/β1/γ2
21.05Single8WC5Tetramethylammonium Ion8WC5-TA1-Tetramethylammonium Ion-chim(NtGi1-Gs)/β1/γ2
21.05Single9EE9Adenosine9EE9-A2A-Adenosine-Gs/β1/γ2
21.05Single9L0HJR14a9L0H-C3aB-JR14a-Go/β1/γ2
21.05Consensusgs_histamineOrthosteric Ligand8POK-H2-Histamine-Gs/β1/γ2
21.05Consensush2_onOrthosteric Ligand8POK-H2-Histamine-Gs/β1/γ2
20.83Single4NTJAZD12834NTJ-P2Y12-AZD1283
20.83Single5NM2ZM-2413855NM2-A2A-ZM-241385-Na
20.83Single5XPRBosentan5XPR-ETB-Bosentan
20.83Single5YHLPubChem 1351213525YHL-EP4-PubChem 135121352
20.83Single5YWYONO-AE3-2085YWY-EP4-ONO-AE3-208
20.83Single5ZBQUR-MK-2995ZBQ-Y1-UR-MK-299
20.83Single6GDGNECA6GDG-A2A-NECA-Gs/β1/γ1
20.83Single6HLPNetupitant6HLP-NK1-Netupitant
20.83Single6KPCAM120336KPC-CB2-AM12033
20.83Single6LFMCXCL86LFM-CXCR2-CXCL8-Gi1/β1/γ2
20.83Single7EO2FTY720-P7EO2-S1P1-FTY720-P-Gi1/β1/γ2
20.83Single7SINNPS-21437SIN-CaS; CaS-NPS-2143
20.83Single7SINNPS-21437SIN-CaS; CaS-NPS-2143
20.83Single7VUHJNJ-635330547VUH-GPR139-JNJ-63533054-chim(Gs-CtGq)/β1/γ2
20.83Single8EFBOliceridine8EFB-μ-Oliceridine-Gi1/β1/γ2
20.83Single8JXSPF-61428JXS-D1-PF-6142
20.83Single8TH4AT118-L Nanobody8TH4-AT1-Losartan-AT118-L Nanobody
20.83Single8WGBVU01550418WGB-mGlu4; mGlu2-Glutamate-VU0155041-Gi3/β1/γ2
20.83Single8YH0NECA8YH0-A3A-NECA-Gi1/β1/γ2
20.83Single8YICSAR2477998YIC-S1P1-SAR247799-Gi1/β1/γ2
20.83Single8ZYTNeurotensin-(8-13)8ZYT-NTS1-Neurotensin-(8-13)-SBI-553-Arrestin2
20.83Single9AXFCa; Ca; Ca; Cyclomethyltryptophan; R-568; PO49AXF-CaS; CaS-Ca-Ca; Ca; Ca; Cyclomethyltryptophan; R-568; PO4-chim(NtGi1-Gs-CtGq)/β1/γ2
20.83Single9HAPTolvaptan9HAP-V2-Tolvaptan
20.83Single9KO4CCL219KO4-CCR7-CCL21-Gi1/β1/γ2
20.83Single9M8POleic monoethanolamide9M8P-GPR3 ; GPR3-Oleic monoethanolamide-AF64394
20.83Consensuscb2_onOrthosteric Ligand8GUR-CB2-CP55940-Gi1/β1/γ2 8GUS-CB2-HU-308-Gi1/β1/γ2 8GUT-CB2-LEI-102-Gi1/β1/γ2 6KPF-CB2-AM12033-Gi1/β1/γ2 6PT0-CB2-WIN 55212-2-Gi1/β1/γ2 8GUQ-CB2-Olorinab-Gi1/β1/γ2
20.83Consensuscb2_on_gpOrthosteric Ligand8GUR-CB2-CP55940-Gi1/β1/γ2 8GUS-CB2-HU-308-Gi1/β1/γ2 8GUT-CB2-LEI-102-Gi1/β1/γ2 6KPF-CB2-AM12033-Gi1/β1/γ2 6PT0-CB2-WIN 55212-2-Gi1/β1/γ2 8GUQ-CB2-Olorinab-Gi1/β1/γ2
20.83Consensuscxcr2_on_gpOrthosteric Ligand6LFM-CXCR2-CXCL8-Gi1/β1/γ2
20.83Consensusep4_offOrthosteric Ligand5YWY-EP4-ONO-AE3-208 5YHL-EP4-PubChem 135121352
20.83Consensusep_offOrthosteric Ligandep4_off
20.83Consensush1_offOrthosteric Ligand8X63-H1-Mepyramine 3RZE-H1-Cidoxepin 8X5Y-H1-Astemizole
20.83Consensuslipid_onOrthosteric Ligandcannabinoid_on ffa_on lpl_on prostanoid_on leukotriene_on
20.83Consensuslipid_on_gpOrthosteric Ligandcannabinoid_on_gp ffa_on_gp lpl_on_gp prostanoid_on_gp leukotriene_on_gp
20.69Single8IBVMotilin8IBV-Motilin-Motilin-chim(NtGi1-Gs-CtGq)/β1/γ2
20.69Single9JFK(Pen5)-Urotensin II9JFK-UT-(Pen5)-Urotensin II-chim(NtGi2L-Gs-CtGq)/β1/γ2
20.69Consensustachykinin_on_gpOrthosteric Ligandnk1_on_gp nk2_on_gp nk3_on_gp
20.59Single5VAIGLP-15VAI-GLP-1-GLP-1-Gs/β1/γ2
20.00Single3OE6IT1t3OE6-CXCR4-IT1t
20.00Single3PQRAll-trans-Retinal3PQR-Rhodopsin-All-trans-Retinal-Gt(CT)
20.00Single3UZAGTPL92363UZA-A2A-GTPL9236
20.00Single3ZEVNeurotensin-(7-13)3ZEV-NTS1-Neurotensin-(7-13)
20.00Single4U15Tiotropium4U15-M3-Tiotropium
20.00Single5WKTOctyl-Beta-D-Glucopyranoside5WKT-Rhodopsin-Octyl-β-D-Glucopyranoside-Gt(CT)
20.00Single5XR8AM120335XR8-CB1-AM12033
20.00Single5ZKBAF-DX 3845ZKB-M2-AF-DX 384
20.00Single6E59L-7607356E59-NK1-L-760735
20.00Single6ME5Agomelatine6ME5-MT1-Agomelatine
20.00Single6N4BMDMB-Fubinaca6N4B-CB1-MDMB-Fubinaca-Gi1/β1/γ2
20.00Single6O3CCholesterol6O3C-SMO-SAG21k-Cholesterol
20.00Single6OL9Tiotropium6OL9-M5-Tiotropium
20.00Single6RZ5Zafirlukast6RZ5-CysLT1-Zafirlukast-Na
20.00Single6W25SHU91196W25-MC4-SHU9119-Ca
20.00Single6Z8NSRI-98296Z8N-NTS1-SRI-9829
20.00Single7EW1Siponimod7EW1-S1P5-Siponimod-Gi1/β1/γ2
20.00Single7EW4CYM-55417EW4-S1P3-CYM-5541-Gi1/β1/γ2
20.00Single7EW7SEW28717EW7-S1P1-SEW2871-Gi1/β1/γ2
20.00Single7F23Dopamine7F23-D1-Dopamine-GDP-Gs/β1/γ2
20.00Single7L0PNeurotensin-(8-13)7L0P-NTS1-Neurotensin-(8-13)-Gi1/β1/γ1
20.00Single7L0QNeurotensin-(8-13)7L0Q-NTS1-Neurotensin-(8-13)-Gi1/β1/γ1
20.00Single7MT8All-trans-Retinal7MT8-Rhodopsin-All-trans-Retinal-GRK1
20.00Single7MT9All-trans-Retinal7MT9-Rhodopsin-All-trans-Retinal-GRK1
20.00Single7MTAAll-trans-Retinal7MTA-Rhodopsin-All-trans-Retinal-GRK1
20.00Single7SK7CXCL127SK7-ACKR3-CXCL12-CCX662
20.00Single7T2HLofentanil7T2H-μ-Lofentanil-Gi1/β1/γ2
20.00Single7WVXHumanin7WVX-FPR2-ALX-Humanin-Gi2/β1/γ2
20.00Single7XWONeurokinin-A7XWO-NK2-Neurokinin-A-chim(NtGi1-Gs-CtGq)/β1/γ2
20.00Single8FMZNeurotensin-(8-13)8FMZ-NTS1-Neurotensin-(8-13)-chim(NtGi2L-Gs-CtGq)/β1/γ2
20.00Single8GGEConstrained Epinephrine8GGE-β2-Constrained Epinephrine-GTP-Gs/β1/γ2
20.00Single8IU2All-trans-Retinal8IU2-Opsin1LW-All-trans-Retinal-Gi1/β1/γ2
20.00Single8J24Acetic acid8J24-FFA2-Acetic acid-Gi1/β1/γ2
20.00Single8J6QBeta-Hydroxybutyrate8J6Q-HCA2-β-Hydroxybutyrate-PubChem 25101223-Gi1/β1/γ2
20.00Single8JXWVUF68848JXW-H4-VUF6884-Gi1/β1/γ2
20.00Single8JXXClobenpropit8JXX-H4-Clobenpropit-Gi1/β1/γ2
20.00Single8POKHistamine8POK-H2-Histamine-Gs/β1/γ2
20.00Single8W8YGamma-MSH8W8Y-MC3-γ-MSH-Ca-Gs/β1/γ2
20.00Single8WC62-Phenylethylamine8WC6-TA1-2-Phenylethylamine-chim(NtGi1-Gs)/β1/γ2
20.00Single8WC9ZH86518WC9-TA1-ZH8651-chim(NtGi1-Gs-CtGq)/β1/γ2
20.00Single8WJXADP8WJX-P2Y1-ADP-chim(Gs-CtGq)/β1/γ2
20.00Single8WU1MDMB-Fubinaca8WU1-CB1-MDMB-Fubinaca-Arrestin2
20.00Single8X16Piclidenoson8X16-A3A-Piclidenoson-Gi1/β1/γ2
20.00Single8XX7CXCL58XX7-CXCR2-CXCL5-Go/β1/γ2
20.00Single8Y63C20:0 Ceramide8Y63-FPR2-ALX-C20:0 Ceramide-Gi1/β1/γ2
20.00Single8YN9Histamine8YN9-H4-Histamine-Gi1/β1/γ2
20.00Single8YNTSNAP-948478YNT-MCH1-SNAP-94847
20.00Single8YUUHistamine8YUU-H3-Histamine-Gi1/β1/γ1
20.00Single9CLWTUG-13759CLW-FFA2-TUG-1375-4-CMTB-chim(NtGi1L-Gs-CtGq)/β1/γ2
20.00Single9IV15alpha-DHT9IV1-ADGRD1-5α-DHT-chim(NtGi1-Gs)/β1/γ2
20.00Single9LL7DOI9LL7-5-HT2A-DOI-Gi1/β1/γ2
20.00Single9LRCHistamine9LRC-H4-Histamine
20.00Single9LREHistamine9LRE-H4-Histamine-Gi1/β1/γ2
20.00Single9M1ONeuropeptide-FF9M1O-NPFF2-Neuropeptide-FF-Gi1/β1/γ2
20.00Single9MENGp120 (V3 loop)9MEN-CXCR4-Gp120 (V3 loop)
20.00Single9YDVMRS29059YDV-P2Y14-MRS2905-Gi1/β1/γ2
20.00Consensuscyslt1_offOrthosteric Ligand6RZ5-CysLT1-Zafirlukast-Na 6RZ4-CysLT1-Pranlukast-Na
20.00Consensusffa_onOrthosteric Ligandffa2_on ffa3_on
20.00Consensusffa_on_gpOrthosteric Ligandffa2_on_gp ffa3_on_gp
20.00Consensusgi_ffaOrthosteric Ligand8J21-FFA3-Butyric acid-Gi1/β1/γ2 8J22-FFA2-TUG-1375-Gi1/β1/γ2
20.00Consensusgi_opsinsOrthosteric Ligand8IU2-Opsin1LW-All-trans-Retinal-Gi1/β1/γ2
20.00Consensusgi_sensoryOrthosteric Ligandgi_opsins
20.00Consensush2_on_gpOrthosteric Ligand8POK-H2-Histamine-Gs/β1/γ2
20.00Consensush3_onOrthosteric Ligand8YUU-H3-Histamine-Gi1/β1/γ1
20.00Consensush3_on_gpOrthosteric Ligand8YUU-H3-Histamine-Gi1/β1/γ1
20.00Consensush4_on_gpOrthosteric Ligand8HN8-H4-Histamine-Gi1/β1/γ2 8HOC-H4-Imetit-Gi1/β1/γ2 8JXV-H4-Clozapine-Gi1/β1/γ2 8JXW-H4-VUF6884-Gi1/β1/γ2 8JXX-H4-Clobenpropit-Gi1/β1/γ2
20.00Consensusm5_offOrthosteric Ligand6OL9-M5-Tiotropium
20.00Consensusmuscarinic_offOrthosteric Ligandm2_off m3_off m4_off m5_off m1_off
20.00Consensusneurotensin_onOrthosteric Ligandnts1_on
20.00Consensusnk2_on_gpOrthosteric Ligand7XWO-NK2-Neurokinin-A-chim(NtGi1-Gs-CtGq)/β1/γ2
20.00Consensusnpy_offOrthosteric Ligandnpy1_off npy2_off
20.00Consensusnts1_onOrthosteric Ligand6OSA-NTS1-JMV449-Gi1/β1/γ2 7L0S-NTS1-Neurotensin-(8-13)-Gi1/β1/γ1
20.00Consensusopsin1lw_onOrthosteric Ligand8IU2-Opsin1LW-All-trans-Retinal-Gi1/β1/γ2
20.00Consensusopsin1lw_on_gpOrthosteric Ligand8IU2-Opsin1LW-All-trans-Retinal-Gi1/β1/γ2
20.00Consensusprotein_offOrthosteric Ligandchemokine_off grh_off
20.00Consensuss1p5_onOrthosteric Ligand7EW1-S1P5-Siponimod-Gi1/β1/γ2
20.00Consensuss1p5_on_gpOrthosteric Ligand7EW1-S1P5-Siponimod-Gi1/β1/γ2
19.35Single6WIVPubChem 52923113; PubChem 529246456WIV-GABAB1, GABAB2-PubChem 52923113; PubChem 52924645
19.35Consensustachykinin_onOrthosteric Ligandnk1_on nk2_on nk3_on
19.23Single3VW7Vorapaxar; Na3VW7-PAR1-Vorapaxar; Na
19.23Single4GRVNeurotensin-(8-13)4GRV-NTS1-Neurotensin-(8-13)
19.23Single4OR2FITM4OR2-mGlu1; mGlu1-FITM
19.23Single4PXZ2MeSADP4PXZ-P2Y12-2MeSADP
19.23Single4Z36ONO-30805734Z36-LPA1-ONO-3080573
19.23Single5CXVTiotropium5CXV-M1-Tiotropium
19.23Single5X33BIIL2605X33-BLT1-BIIL260
19.23Single6CM4Risperidone6CM4-D2-Risperidone
19.23Single6RZ7ONO-25703666RZ7-CysLT2-ONO-2570366
19.23Single6YVRNeurotensin-(6-13)6YVR-NTS1-Neurotensin-(6-13)
19.23Single7EW2FTY720-P7EW2-S1P3-FTY720-P-Gi1/β1/γ2
19.23Single7L0SNeurotensin-(8-13)7L0S-NTS1-Neurotensin-(8-13)-Gi1/β1/γ1
19.23Single8E9W2-Deoxycytidine8E9W-M3-2-Deoxycytidine-chim(NtGi2L-Gs-CtGq)/β1/γ2
19.23Single8G056-OAU8G05-GPR84-6-OAU-Gi1/β1/γ2
19.23Single8JD3JNJ-404118138JD3-mGlu2; mGlu3-Glutamate-JNJ-40411813-Gi1/β1/γ2
19.23Single8XQJJN2418XQJ-Apelin; Apelin-JN241
19.23Single8XWACXCL18XWA-CXCR2-CXCL1
19.23Single8XWMCXCL68XWM-CXCR2-CXCL6
19.23Single8XWSCXCL58XWS-CXCR2-CXCL5
19.23Single8XX3CXCL38XX3-CXCR2-CXCL3-Go/β1/γ2
19.23Single8Y6WTUG-13758Y6W-FFA2-TUG-1375-4-CMTB-Gi1/β1/γ2
19.23Single9CM3TUG-13759CM3-FFA2-TUG-1375-PubChem 118615810-chim(NtGi1L-Gs-CtGq)/β1/γ2
19.23Single9DGIZ85267113509DGI-CB1-Z8526711350
19.23Single9M8POleic monoethanolamide9M8P-GPR3 ; GPR3-Oleic monoethanolamide-AF64394
19.23Consensuscannabinoid_offOrthosteric Ligandcb2_off cb1_off
19.23Consensusccr8_onOrthosteric Ligand8KFX-CCR8-LMD-009-Gi1/β1/γ2 8KFY-CCR8-ZK-756326-Gi1/β1/γ2 8U1U-CCR8-CCL1-Gi1/β1/γ2
19.23Consensusffa2_on_gpOrthosteric Ligand8J22-FFA2-TUG-1375-Gi1/β1/γ2
19.23Consensuslpa1_offOrthosteric Ligand4Z36-LPA1-ONO-3080573 4Z35-LPA1-ONO-9910539 4Z34-LPA1-ONO-9780307
19.23Consensuslpa_offOrthosteric Ligandlpa1_off
19.23Consensuslpl_offOrthosteric Ligands1p_off lpa_off
19.23Consensusm1_offOrthosteric Ligand5CXV-M1-Tiotropium
19.23Consensuss1p3_onOrthosteric Ligand7EW3-S1P3-S1P-Gi1/β1/γ2 7EW4-S1P3-CYM-5541-Gi1/β1/γ2 7EW2-S1P3-FTY720-P-Gi1/β1/γ2
19.05Single5L7IVismodegib5L7I-SMO-Vismodegib
19.05Single5TE520-Methanoretinal5TE5-Rhodopsin-20-Methanoretinal
19.05Single6I9K9-cis-Retinal6I9K-Rhodopsin-9-cis-Retinal
19.05Single6QNOAll-trans-Retinal6QNO-Rhodopsin-All-trans-Retinal-Gi1/β1/γ1
19.05Single6TP4ACT-4622066TP4-OX1-ACT-462206
19.05Single7D76Beclomethasone7D76-ADGRG3-Beclomethasone-Go/β1/γ2
19.05Single7DD5Ca; Ca; Tryptophan; NPS-21437DD5-CaS; CaS-Ca-Ca; Ca; Tryptophan; NPS-2143
19.05Single7DFLHistamine7DFL-H1-Histamine-chim(NtGi1L-Gq)/β1/γ2
19.05Single7SRQLSD7SRQ-5-HT2B-LSD
19.05Single8JPNCis-Epoxysuccinic acid8JPN-Succinate-Cis-Epoxysuccinic acid-Gi1/β1/γ1
19.05Single8RWHStilSwitch28RWH-A2A-StilSwitch2-Na
19.05Single8W892-Phenylethylamine8W89-TA1-2-Phenylethylamine-chim(NtGi1L-Gs)/β1/γ2
19.05Single8WP1Cis-Epoxysuccinic acid8WP1-Succinate-Cis-Epoxysuccinic acid-Gi1/β1/γ2
19.05Single8YKWSuccinic acid8YKW-Succinate-Succinic acid-Gi1/β1/γ1
19.05Single8YN5Histamine8YN5-H3-Histamine-Gi1/β1/γ2
19.05Single8YN6Imetit8YN6-H3-Imetit-Gi1/β1/γ2
19.05Single8YN7Immethridine8YN7-H3-Immethridine-Go/β1/γ2
19.05Single9AS2DMT9AS2-5-HT2A-DMT-chim(NtGi1-Gs-CtGq)/β1/γ2
19.05Single9AS7Psilocin9AS7-5-HT2A-Psilocin
19.05Single9E7RGB889E7R-PAR2-GB88-chim(NtGi1L-Gs-CtGq)/β1/γ2
19.05Single9IJEEpinephrine9IJE-β3-Epinephrine-chim(NtGi1-Gs)/β1/γ2
19.05Single9JEDHistamine9JED-H4-Histamine-PO4-Gi1/β1/γ2
19.05Single9JEQHistamine9JEQ-H3-Histamine-Gi1/β1/γ2
19.05Single9JLCAVE 09919JLC-MAS1-AVE 0991-Gi1/β1/γ2
19.05Single9KUWCMPD6449KUW-Apelin; Apelin-CMPD644-Arrestin2 ; Arrestin2
19.05Single9L3ZLRH7-C29L3Z-CML1-LRH7-C2
19.05Single9L42Histamine9L42-H4-Histamine-Gi1/β1/γ2
19.05Single9YDAAll-trans-Retinal9YDA-Opsin1MW-All-trans-Retinal-chim(NtGi1L-Gs-CtGt)/β1/γ2
19.05Consensush1_onOrthosteric Ligand7DFL-H1-Histamine-chim(NtGi1L-Gq)/β1/γ2
18.92Consensuscrf1_on_gpOrthosteric Ligand6PB0-CRF1-Urocortin-chim(NtGi1-Gs)/β1/γ2 6P9X-CRF1-Corticoliberin-1-Gs/β1/γ2
18.75Single7QBIAlpha-factor mating pheromone7QBI-STE2; STE2-α-factor mating pheromone
18.75Single7XV3Lysophosphatidylserine (WJS)7XV3-GPR174-Lysophosphatidylserine (WJS)-chim(NtGi1-Gs)/β1/γ2
18.75Consensusp2y10_onOrthosteric Ligand8KGG-P2Y10-Lysophosphatidylserine (WJS)-chim(NtGi2-G13)/β1/γ2
18.75Consensuspac_onOrthosteric Ligandpac1_on
18.52Single4OR2FITM4OR2-mGlu1; mGlu1-FITM
18.52Single4Z35ONO-99105394Z35-LPA1-ONO-9910539
18.52Single6KPGAM8416KPG-CB1-AM841-Gi1/β1/γ2
18.52Single6RZ9ONO-27703726RZ9-CysLT2-ONO-2770372
18.52Single7D7MPGE27D7M-EP4-PGE2-Gs/β1/γ1
18.52Single7EVZCenerimod7EVZ-S1P1-Cenerimod-Gi1/β1/γ2
18.52Single7P00Substance-P7P00-NK1-Substance-P-chim(NtGi1-Gs-CtGq)/β1/γ2
18.52Single7U2KC6-guano7U2K-μ-C6-guano-Gi1/β1/γ2
18.52Single7YU8ONO-07405567YU8-LPA1-ONO-0740556-Gi1/β1/γ2
18.52Single8JPFNeurotensin-(8-13)8JPF-NTS1-Neurotensin-(8-13)-SBI-553
18.52Single8XVUCXCL28XVU-CXCR2-CXCL2
18.52Single8XWVCXCL18XWV-CXCR2-CXCL1-Go/β1/γ2
18.52Single8XXHCXCL28XXH-CXCR2-CXCL2-Go/β1/γ2
18.52Single9GE3Lysophosphatidylinositol9GE3-GPR55-Lysophosphatidylinositol-chim(NtGi1-G13)/β1/γ2
18.52Single9GG5U466199GG5-TXA2-U46619-chim(NtGi2L-Gs-CtGq)/β1/γ2
18.52Single9IZFLPA9IZF-LPA1-LPA-Gi1/β1/γ2
18.52Single9JH5C16:0 Ceramide9JH5-CysLT2-C16:0 Ceramide-chim(NtGi1-Gs-CtGq)/β1/γ2
18.52Consensuscyslt2_offOrthosteric Ligand6RZ7-CysLT2-ONO-2570366 6RZ8-CysLT2-ONO-2080365 6RZ9-CysLT2-ONO-2770372
18.52Consensusfp-alpha_onOrthosteric Ligand8IUK-FP-alpha-PGF2-α-chim(NtGi1-Gs-CtGq)/β1/γ2 8IUL-FP-alpha-Latanoprost-chim(NtGi1-Gs-CtGq)/β1/γ2 8IUM-FP-alpha-Tafluprost acid-chim(NtGi1-Gs-CtGq)/β1/γ2
18.52Consensusfp-alpha_on_gpOrthosteric Ligand8IUK-FP-alpha-PGF2-α-chim(NtGi1-Gs-CtGq)/β1/γ2 8IUL-FP-alpha-Latanoprost-chim(NtGi1-Gs-CtGq)/β1/γ2 8IUM-FP-alpha-Tafluprost acid-chim(NtGi1-Gs-CtGq)/β1/γ2
18.52Consensusnk1_onOrthosteric Ligand7P00-NK1-Substance-P-chim(NtGi1-Gs-CtGq)/β1/γ2
18.52Consensusnk1_on_gpOrthosteric Ligand7P00-NK1-Substance-P-chim(NtGi1-Gs-CtGq)/β1/γ2
18.42Consensusclass-a_class-b1_cons_on_gpOrthosteric Ligandclass-a_on_gp class-b1_on_gp
18.42Consensuspth2_onOrthosteric Ligand7F16-PTH2-TIP39-Gs/β1/γ2
18.18Single1GZM11-cis-Retinal1GZM-Rhodopsin-11-cis-Retinal
18.18Single2PED9-cis-Retinal2PED-Rhodopsin-9-cis-Retinal
18.18Single3C9L11-cis-Retinal3C9L-Rhodopsin-11-cis-Retinal
18.18Single3ODUIT1t3ODU-CXCR4-IT1t
18.18Single3V2WPubChem 518926453V2W-S1P1-PubChem 51892645
18.18Single5K2DZM-2413855K2D-A2A-ZM-241385-Na
18.18Single5OLHVipadenant5OLH-A2A-Vipadenant-Na
18.18Single5ZKQABT-4915ZKQ-PAF-ABT-491
18.18Single6JZHZM-2413856JZH-A2A-ZM-241385-Na
18.18Single6KUYPubChem 1457046436KUY-α2a-PubChem 145704643
18.18Single6LFOCXCL86LFO-CXCR2-CXCL8-Gi1/β1/γ2
18.18Single6ME2Ramelteon6ME2-MT1-Ramelteon
18.18Single6PS7ZM-2413856PS7-A2A-ZM-241385-Na
18.18Single6TQ6PubChem 1457142836TQ6-OX1-PubChem 145714283
18.18Single6ZA8RTI-3a6ZA8-NTS1-RTI-3a
18.18Single7LCJDanuglipron7LCJ-GLP-1-Danuglipron
18.18Single7QBIAlpha-factor mating pheromone7QBI-STE2; STE2-α-factor mating pheromone
18.18Single7T6STC-FPR 437T6S-FPR2-ALX-TC-FPR 43-Gi1/β1/γ2
18.18Single7T8XAcetylcholine7T8X-M2-Acetylcholine-chim(NtGi1-Go)/β1/γ2
18.18Single7T90Acetylcholine7T90-M2-Acetylcholine-chim(NtGi1-Go)/β1/γ2
18.18Single7T96Acetylcholine7T96-M2-Acetylcholine-LY2119620-Go/β1/γ2
18.18Single7VIHCBP-3077VIH-S1P1-CBP-307-Gi1/β1/γ2
18.18Single8DWGML3828DWG-MRGPRX1-BAM8-22-ML382-chim(NtGi2L-Gs-CtGq)/β1/γ2
18.18Single8HOCImetit8HOC-H4-Imetit-Gi1/β1/γ2
18.18Single8JPPSuccinic acid8JPP-Succinate-Succinic acid-chim(Gs-CtGq)/β1/γ1
18.18Single8JSOAMPH8JSO-TA1-AMPH-chim(NtGi1-Gs)/β1/γ2
18.18Single8U4PAMD31008U4P-CXCR4-AMD3100-Gi1/β1/γ2
18.18Single8WC3SEP-3638568WC3-TA1-SEP-363856-chim(NtGi1-Gs)/β1/γ2
18.18Single8XXXCXCL68XXX-CXCR2-CXCL6-Go/β1/γ2
18.18Single8YNAImmepip8YNA-H4-Immepip-Gi1/β1/γ2
18.18Single8YUVImmepip8YUV-H3-Immepip-Gi1/β1/γ2
18.18Single8YYWAlpha-ketoglutarate8YYW-Oxoglutarate-α-ketoglutarate-α-ketoglutarate-chim(Gi1-CtGq)/β1/γ2
18.18Single8YYWAlpha-ketoglutarate8YYW-Oxoglutarate-α-ketoglutarate-α-ketoglutarate-chim(Gi1-CtGq)/β1/γ2
18.18Single9H2XPubChem 1756706449H2X-A2A-PubChem 175670644-Na
18.18Single9K6LSalicin9K6L-TAS2R16-Salicin-Gi2/β1/γ2
18.18Single9KO2CCL199KO2-CCR7-CCL19-Gi1/β1
18.18Single9KO6CCL199KO6-CCR7-CCL19
18.18Single9KPESalicin9KPE-TAS2R16-Salicin-Gi1/β1/γ2
18.18Single9LKDPL459LKD-OR5V1-PL45
18.18Single9LRBHistamine9LRB-H1-Histamine-Gs/β1/γ2
18.18Single9M88Oleic monoethanolamide9M88-GPR3 ; GPR3-Oleic monoethanolamide-AF64394
18.18Single9PXUNaloxone9PXU-μ-Naloxone-Na
18.18Consensusangiotensin_offOrthosteric Ligandat1_off
18.18Consensusgq_histamineOrthosteric Ligand7DFL-H1-Histamine-chim(NtGi1L-Gq)/β1/γ2
18.18Consensush1_on_gpOrthosteric Ligand7DFL-H1-Histamine-chim(NtGi1L-Gq)/β1/γ2
18.18Consensushistamine_onOrthosteric Ligandh1_on h2_on h3_on h4_on
18.18Consensushistamine_on_gpOrthosteric Ligandh1_on_gp h2_on_gp h3_on_gp h4_on_gp
18.18Consensusm2_onOrthosteric Ligand7T8X-M2-Acetylcholine-chim(NtGi1-Go)/β1/γ2
18.18Consensusm2_on_gpOrthosteric Ligand7T8X-M2-Acetylcholine-chim(NtGi1-Go)/β1/γ2
18.18Consensuspac1_onOrthosteric Ligand8E3X-PAC1-PACAP27-Gs/β1/γ2 6M1H-PAC1-Maxadilan-Gs/β1/γ2
18.18Consensuspac1_on_gpOrthosteric Ligand8E3X-PAC1-PACAP27-Gs/β1/γ2 6M1H-PAC1-Maxadilan-Gs/β1/γ2
18.18Consensuspac_on_gpOrthosteric Ligandpac1_on_gp
18.18Consensuspaf_offOrthosteric Ligand5ZKQ-PAF-ABT-491
18.18Consensuss1p1_offOrthosteric Ligand3V2W-S1P1-PubChem 51892645
17.95Consensuspth_onOrthosteric Ligandpth1_on pth2_on
17.86Single6KNMJN241-96KNM-Apelin-JN241-9
17.86Single6RZ6ONO-25703666RZ6-CysLT2-ONO-2570366
17.86Single7RMGSubstance-P7RMG-NK1-Substance-P-chim(Gs-CtGq)/β1/γ2
17.86Single7S8LCortistatin-147S8L-MRGPRX2-Cortistatin-14-chim(NtGi2L-Gs-CtGq)/β1/γ2
17.86Single8H4IDoconexent8H4I-FFA4-Doconexent-chim(NtGi1-Gs)/β1/γ2
17.86Single8IUMTafluprost acid8IUM-FP-alpha-Tafluprost acid-chim(NtGi1-Gs-CtGq)/β1/γ2
17.86Single8J22TUG-13758J22-FFA2-TUG-1375-Gi1/β1/γ2
17.86Single8SAILysophosphatidylserine (S12)8SAI-GPR34-Lysophosphatidylserine (S12)-Gi1/β1/γ2
17.86Single9CM7TUG-13759CM7-FFA2-TUG-1375-AZ-1729-Gi1/β1/γ2
17.86Single9NS9TUG-13759NS9-FFA2-TUG-1375-PubChem 118615810-Gi1/β1/γ2
17.65Single7QBCAlpha-factor mating pheromone7QBC-STE2; STE2-α-factor mating pheromone
17.65Single7TYFAmylin7TYF-CT (AMY1)-Amylin-Gs/β1/γ2; RAMP1
17.39Single1F8811-cis-Retinal1F88-Rhodopsin-11-cis-Retinal
17.39Single3OAX11-cis-Retinal3OAX-Rhodopsin-11-cis-Retinal
17.39Single3RZECidoxepin3RZE-H1-Cidoxepin
17.39Single4ZUDOlmesartan4ZUD-AT1-Olmesartan
17.39Single5IU7Q274563465IU7-A2A-Q27456346-Na
17.39Single5JTBZM-2413855JTB-A2A-ZM-241385
17.39Single6AQFZM-2413856AQF-A2A-ZM-241385
17.39Single6PT0WIN 55212-26PT0-CB2-WIN 55212-2-Gi1/β1/γ2
17.39Single6TPKRetosiban6TPK-OT-Retosiban
17.39Single6ZDRHMS1413f126ZDR-A2A-HMS1413f12-Na
17.39Single7C2EPubChem 1490507997C2E-GLP-1-PubChem 149050799-Gs/β1/γ2
17.39Single7T32ZM-2413857T32-A2A-ZM-241385
17.39Single7T94Acetylcholine7T94-M2-Acetylcholine-LY2119620-chim(NtGi1-Go)/β1/γ2
17.39Single7TRSAcetylcholine7TRS-M4-Acetylcholine-Gi1/β1/γ2
17.39Single7VODCariprazine7VOD-5-HT2A-Cariprazine
17.39Single7VUGJNJ-635330547VUG-GPR139-JNJ-63533054-Gi1/β1/γ2
17.39Single7ZBC11-cis-Retinal7ZBC-Rhodopsin-11-cis-Retinal
17.39Single7ZBE11-cis-Retinal7ZBE-Rhodopsin-11-cis-Retinal
17.39Single8FCZ11-cis-Retinal8FCZ-Rhodopsin-11-cis-Retinal
17.39Single8GUQOlorinab8GUQ-CB2-Olorinab-Gi1/β1/γ2
17.39Single8GURCP559408GUR-CB2-CP55940-Gi1/β1/γ2
17.39Single8JLKUlotaront8JLK-TA1-Ulotaront-chim(NtGi1-Gs)/β1/γ2
17.39Single8K4NPubChem 1687197658K4N-GPR34-PubChem 168719765-Gi1/β1/γ2
17.39Single8PM2DMCHA8PM2-TA7-DMCHA-Gs/β1/γ2
17.39Single8RQQZM-2413858RQQ-A2A-ZM-241385-Na
17.39Single8Y62C16:0 Ceramide8Y62-FPR2-ALX-C16:0 Ceramide-Gi1/β1/γ2
17.39Single8Y6YGLPG09748Y6Y-FFA2-GLPG0974
17.39Single8YKVPubChem 1375531688YKV-Succinate-PubChem 137553168-Gi1/β1/γ2
17.39Single9AS8Psilocin9AS8-5-HT2A-Psilocin-chim(NtGi2L-Gs-CtGq)/β1/γ2
17.39Single9ASBCa; Ca; Cyclomethyltryptophan; R-568; PO49ASB-CaS; CaS-Ca-Ca; Ca; Cyclomethyltryptophan; R-568; PO4-chim(NtGi1-Gs-CtGq)/β1/γ2
17.39Single9AXFCa; Ca; Ca; Cyclomethyltryptophan; R-568; PO49AXF-CaS; CaS-Ca-Ca; Ca; Ca; Cyclomethyltryptophan; R-568; PO4-chim(NtGi1-Gs-CtGq)/β1/γ2
17.39Single9IXXLTD49IXX-CysLT2-LTD4-chim(NtGi1-Gs-CtGq)/β1/γ2
17.39Single9JKQMETH9JKQ-TA1-METH-Gs/β1/γ2
17.39Single9K1DButyric acid9K1D-FFA2-Butyric acid-Gi1/β1/γ2
17.39Single9KPDSalicin9KPD-TAS2R16-Salicin-chim(Gs-CtGt3)/β1/γ2
17.39Single9KXSEP679KXS-C5a1-EP67-Go/β1/γ2
17.39Single9LKBPL459LKB-OR5V1-PL45-chim(NtGi1-Gs)/β1
17.39Single9M2FNeuropeptide-FF9M2F-NPFF1-Neuropeptide-FF-Gi1/β1/γ2
17.39Consensus5ht2a_offOrthosteric Ligand6A94-5-HT2A-Zotepine 6A93-5-HT2A-Risperidone 7VOD-5-HT2A-Cariprazine 7WC8-5-HT2A-Lumateperone 8JT8-5-HT2A-(R)-IHCH-7179
17.39Consensusa2_offOrthosteric Liganda2a_off
17.39Consensusa2a_offOrthosteric Ligand3RFM-A2A-Caffeine 8C9W-A2A-Etrumadenant 3UZA-A2A-GTPL9236 8GNG-A2A-Istradefylline 8CU6-A2A-LJ-4517 7PX4-A2A-PSB-2113 7PYR-A2A-PSB-2115 8DU3-A2A-PubChem 105526064 8JWY-A2A-2-118 8PWN-A2A-Theophylline 5IU4-A2A-ZM-241385-Na 5OLZ-A2A-PubChem 135566609-Na 6GT3-A2A-Imaradenant-Na 5OLV-A2A-LUAA47070-Na 5N2R-A2A-PSB36-Na 5IU7-A2A-Q27456346-Na 5OLH-A2A-Vipadenant-Na 5OLO-A2A-Tozadenant-Na 6ZDR-A2A-HMS1413f12-Na 8GNE-A2A-KW-6356-Na 8JWZ-A2A-Etrumadenant-Na 5IU8-A2A-Q27456347-Na 5IUB-A2A-Q27456344-Na 6ZDV-A2A-PubChem 984073-Na 5IUA-A2A-Q27456348-Na 8A2P-A2A-LUAA47070-Na
17.39Consensusat1_offOrthosteric Ligand4YAY-AT1-ZD-7155 4ZUD-AT1-Olmesartan
17.39Consensuscxcr2_onOrthosteric Ligand6LFM-CXCR2-CXCL8-Gi1/β1/γ2
17.39Consensusot_offOrthosteric Ligand6TPK-OT-Retosiban
17.39Consensusvasop-oxy_offOrthosteric Ligandot_off
17.24Single6RZ8ONO-20803656RZ8-CysLT2-ONO-2080365
17.24Single6X19CHU-1286X19-GLP-1-CHU-128-Gs/β1/γ2
17.24Single7TD4Siponimod7TD4-S1P1-Siponimod-Gi1/β1/γ2
17.24Single7W2ZGhrelin7W2Z-Ghrelin-Ghrelin-Go/β1/γ2
17.24Single8IZBLysophosphatidylserine (UBL)8IZB-GPR174-Lysophosphatidylserine (UBL)-Gs/β1/γ2
17.24Single8KIGSHU91198KIG-MC3-SHU9119-Ca
17.24Single8XBHPubChem 1626566368XBH-GPR34-PubChem 162656636-Gi1/β1/γ2
17.14Single6NBHLA-PTH Analog6NBH-PTH1-LA-PTH Analog-Gs/β1/γ2
17.14Single7KI1Taspoglutide7KI1-GLP-1-Taspoglutide-Gs/β1/γ2
17.14Single7QBCAlpha-factor mating pheromone7QBC-STE2; STE2-α-factor mating pheromone
17.14Single8F0KPramlintide Analogue San3858F0K-CT (AMY3)-Pramlintide Analogue San385-Gs/β1/γ2; RAMP3
17.14Single9BYOExendin-39BYO-GLP-1-Exendin-3-Gs/β1/γ2
17.14Consensuspth1_onOrthosteric Ligand6NBF-PTH1-LA-PTH Analog-Gs/β1/γ2 8HA0-PTH1-PTH-chim(NtGi1-Gs)/β1/γ2 8HAF-PTH1-PTHrP(1-36)-chim(NtGi1-Gs)/β1/γ2 7Y36-PTH1-PTH-Gs/β1/γ2 7Y35-PTH1-Abaloparatide-Gs/β1/γ2
17.07Consensuspth2_on_gpOrthosteric Ligand7F16-PTH2-TIP39-Gs/β1/γ2
16.67Single1HZX11-cis-Retinal1HZX-Rhodopsin-11-cis-Retinal
16.67Single4A4MAll-trans-Retinal4A4M-Rhodopsin-All-trans-Retinal-Gt(CT)
16.67Single4QIMANTA XV4QIM-SMO-ANTA XV
16.67Single4U16N-methyl-Scopolamine4U16-M3-N-methyl-Scopolamine
16.67Single5EN0All-trans-Retinal5EN0-Rhodopsin-All-trans-Retinal-Gt(CT)
16.67Single5MZPCaffeine5MZP-A2A-Caffeine-Na
16.67Single5YC8N-methyl-Scopolamine5YC8-M2-N-methyl-Scopolamine
16.67Single5ZK8N-methyl-Scopolamine5ZK8-M2-N-methyl-Scopolamine
16.67Single5ZKCN-methyl-Scopolamine5ZKC-M2-N-methyl-Scopolamine
16.67Single6FKCPubChem 1324730396FKC-Rhodopsin-PubChem 132473039
16.67Single6GPSMK08126GPS-CCR2-MK0812
16.67Single6KPFAM120336KPF-CB2-AM12033-Gi1/β1/γ2
16.67Single6ORVTT-OAD26ORV-GLP-1-TT-OAD2-Gs/β1/γ2
16.67Single6WHADB139486WHA-5-HT2A-DB13948-chim(NtGi2L-Gs-CtGq)/β1/γ2
16.67Single6Z4VNeurotensin-(9-13)6Z4V-NTS1-Neurotensin-(9-13)
16.67Single7DUQGLP-17DUQ-GLP-1-GLP-1-PubChem 156022738-Gs/β1/γ2
16.67Single7E14Orforglipron7E14-GLP-1-Orforglipron-PubChem 156022738-Gs/β1/γ2
16.67Single7F83PF-051904577F83-Ghrelin-PF-05190457
16.67Single7LCIDanuglipron7LCI-GLP-1-Danuglipron-Gs/β1/γ2
16.67Single7M3JNPS-2143; PO47M3J-CaS; CaS-NPS-2143; PO4
16.67Single7RMISubstance-P7RMI-NK1-Substance-P-chim(Gs-CtGq)/β1/γ2
16.67Single7S15PubChem 1346112237S15-GLP-1-PubChem 134611223
16.67Single7V3ZCP559407V3Z-CB1-CP55940
16.67Single7VIFFTY720-P7VIF-S1P1-FTY720-P-Gi1/β1/γ2
16.67Single7YXAONO-54306087YXA-S1P5-ONO-5430608
16.67Single8F7QBeta-Endorphin8F7Q-μ-β-Endorphin-Gi1/β1/γ2
16.67Single8GEJConstrained Epinephrine8GEJ-β2-Constrained Epinephrine-Gs/β1/γ2
16.67Single8IC0CXCL88IC0-CXCR1-CXCL8-Gi1/β1/γ2
16.67Single8JD0NAM5638JD0-mGlu2; mGlu3-Glutamate-NAM563
16.67Single8KEXDCA-3P8KEX-MRGPRX4-DCA-3P
16.67Single8KFYZK-7563268KFY-CCR8-ZK-756326-Gi1/β1/γ2
16.67Single8KH5Lysophosphatidylserine8KH5-GPR174-Lysophosphatidylserine-Gs/β1/γ2
16.67Single8TH3AT118-H Nanobody8TH3-AT1-AT118-H Nanobody
16.67Single8UWLLisuride8UWL-5-HT2A-Lisuride-chim(NtGi2-Gs-CtGq)/β1/γ2
16.67Single8VVGGB188VVG-κ-GB18-Gi1/β1/γ2
16.67Single8X63Mepyramine8X63-H1-Mepyramine
16.67Single8X9TAP5038X9T-ADGRD1-AP503-chim(NtGi1-Gs)/β1/γ2
16.67Single8XBGS3E-Lysophosphatidylserine 8XBG-GPR34-S3E-Lysophosphatidylserine
16.67Single8YN8Proxyfan8YN8-H3-Proxyfan-Go/β1/γ2
16.67Single9AS1DMT9AS1-5-HT2A-DMT
16.67Single9AVGCa; Ca; Cyclomethyltryptophan; R-568; PO49AVG-CaS; CaS-Ca-Ca; Ca; Cyclomethyltryptophan; R-568; PO4-chim(NtGi1-Gs)/β1/γ2
16.67Single9BQJRO769BQJ-μ-RO76-Gi1/β1/γ2
16.67Single9JEAAtropine9JEA-M1-Atropine
16.67Single9UAZAtropine9UAZ-M1-Atropine
16.67Consensusalicarboxylic_offOrthosteric Ligandsuccinate_off
16.67Consensusccr2_offOrthosteric Ligand6GPS-CCR2-MK0812
16.67Consensusccr8_on_gpOrthosteric Ligand8KFX-CCR8-LMD-009-Gi1/β1/γ2 8KFY-CCR8-ZK-756326-Gi1/β1/γ2 8U1U-CCR8-CCL1-Gi1/β1/γ2
16.67Consensusclass-a_class-b1_cons_onOrthosteric Ligandclass-a_on class-b1_on
16.67Consensuscrf1_onOrthosteric Ligand6PB0-CRF1-Urocortin-chim(NtGi1-Gs)/β1/γ2 6P9X-CRF1-Corticoliberin-1-Gs/β1/γ2
16.67Consensuscxcr1_on_gpOrthosteric Ligand8IC0-CXCR1-CXCL8-Gi1/β1/γ2
16.67Consensusgi_histamineOrthosteric Ligand8JXX-H4-Clobenpropit-Gi1/β1/γ2 8JXV-H4-Clozapine-Gi1/β1/γ2 8YUU-H3-Histamine-Gi1/β1/γ1 8HN8-H4-Histamine-Gi1/β1/γ2 8HOC-H4-Imetit-Gi1/β1/γ2 8JXW-H4-VUF6884-Gi1/β1/γ2
16.67Consensusgq_amineOrthosteric Ligandgq_muscarinic gq_histamine
16.67Consensushistamine_offOrthosteric Ligandh1_off
16.67Consensusmuscarinic_onOrthosteric Ligandm2_on m3_on m4_on m1_on
16.67Consensusmuscarinic_on_gpOrthosteric Ligandm2_on_gp m3_on_gp m4_on_gp m1_on_gp
16.67Consensussuccinate_offOrthosteric Ligand6RNK-Succinate-NF-56-EJ40 6Z10-Succinate-PubChem 154585554
16.28Consensuspth_on_gpOrthosteric Ligandpth1_on_gp pth2_on_gp
16.22Single7TZFAmylin7TZF-CT (AMY3)-Amylin-Gs/β1/γ2; RAMP3
16.13Single6VN7PACAP276VN7-VPAC1-PACAP27-Gs/β1/γ2
16.00Single4WW3All-trans-Retinal4WW3-Rhodopsin-All-trans-Retinal
16.00Single5CGCHTL142425CGC-mGlu5-HTL14242
16.00Single5T1ABMS-6815T1A-CCR2-BMS-681-PubChem 12093170
16.00Single6GPXMK08126GPX-CCR2-MK0812
16.00Single6M9TMisoprostol-FA6M9T-EP3-Misoprostol-FA
16.00Single6RZ4Pranlukast6RZ4-CysLT1-Pranlukast-Na
16.00Single7C4SS1P7C4S-S1P3-S1P
16.00Single7EPFNAM5977EPF-mGlu2-NAM597
16.00Single7M3JNPS-2143; PO47M3J-CaS; CaS-NPS-2143; PO4
16.00Single7TD3S1P7TD3-S1P1-S1P-Gi1/β1/γ2
16.00Single7VOEAripiprazole7VOE-5-HT2A-Aripiprazole
16.00Single7VV0PAMP-127VV0-MRGPRX2-PAMP-12
16.00Single7VV4Cortistatin-147VV4-MRGPRX2-Cortistatin-14
16.00Single7YU6ONO-07405567YU6-LPA1-ONO-0740556-Gi1/β1/γ2
16.00Single8E9ZIperoxo8E9Z-M3-Iperoxo-chim(NtGi2L-Gs-CtGq)/β1/γ2
16.00Single8GD9Rivenprost8GD9-EP4-Rivenprost-Gs/β1/γ2
16.00Single8GDCPGE28GDC-EP3-PGE2-Gi1/β1/γ2
16.00Single8IZ4Lysophosphatidylserine (TJR)8IZ4-GPR34-Lysophosphatidylserine (TJR)-Gi1/β1/γ2
16.00Single8KFXLMD-0098KFX-CCR8-LMD-009-Gi1/β1/γ2
16.00Single8SZGCa; Ca; Tryptophan; Cinacalcet; PO4; Spermine8SZG-CaS; CaS-Ca; Ca; Tryptophan; Cinacalcet; PO4; Spermine-chim(NtGi1-Gq)/β1/γ2
16.00Single8X0DVU04244658X0D-mGlu5; mGlu5-Quisqualate-VU0424465
16.00Single8X0DVU04244658X0D-mGlu5; mGlu5-Quisqualate-VU0424465
16.00Single8YNSSNAP-948478YNS-MCH1-SNAP-94847
16.00Single8ZRKGSK12922638ZRK-GPR119-GSK1292263-Gs/β1/γ2
16.00Single9ARZ2-bromo-LSD9ARZ-5-HT2A-2-bromo-LSD
16.00Single9AYFCa; Ca; Ca; Cyclomethyltryptophan; R-568; PO49AYF-CaS; CaS-Ca-Ca; Ca; Ca; Cyclomethyltryptophan; R-568; PO4-Gi1/β1/γ2
16.00Single9KPFSalicin9KPF-TAS2R16-Salicin-Gi1/β1/γ2
16.00Consensusadgrg2_onOrthosteric Ligand7WUI-ADGRG2-IP15-chim(NtGi1-Gs)/β1/γ2 7WUQ-ADGRG2-Gs/β1/γ2 7XKF-ADGRG2-Dehydroepiandrosterone-Gs/β1/γ2
16.00Consensusadgrg2_on_gpOrthosteric Ligand7WUI-ADGRG2-IP15-chim(NtGi1-Gs)/β1/γ2 7WUQ-ADGRG2-Gs/β1/γ2 7XKF-ADGRG2-Dehydroepiandrosterone-Gs/β1/γ2
16.00Consensuscyslt_offOrthosteric Ligandcyslt2_off cyslt1_off
16.00Consensusgq_muscarinicOrthosteric Ligand6OIJ-M1-Iperoxo-chim(NtGi1L-G11)/β1/γ2
16.00Consensusm1_onOrthosteric Ligand6OIJ-M1-Iperoxo-chim(NtGi1L-G11)/β1/γ2
16.00Consensusm2_offOrthosteric Ligand5ZKC-M2-N-methyl-Scopolamine 5ZK3-M2-3-quinuclidinyl-benzilate 5ZKB-M2-AF-DX 384
16.00Consensusm3_onOrthosteric Ligand8E9Z-M3-Iperoxo-chim(NtGi2L-Gs-CtGq)/β1/γ2 8E9W-M3-2-Deoxycytidine-chim(NtGi2L-Gs-CtGq)/β1/γ2 8E9Y-M3-Clozapine-N-oxide-chim(NtGi2L-Gs-CtGq)/β1/γ2
16.00Consensusm3_on_gpOrthosteric Ligand8E9Z-M3-Iperoxo-chim(NtGi2L-Gs-CtGq)/β1/γ2 8E9W-M3-2-Deoxycytidine-chim(NtGi2L-Gs-CtGq)/β1/γ2 8E9Y-M3-Clozapine-N-oxide-chim(NtGi2L-Gs-CtGq)/β1/γ2
16.00Consensusnucleotide_onOrthosteric Ligandadenosine_on p2y_on
16.00Consensuss1p5_offOrthosteric Ligand7YXA-S1P5-ONO-5430608
16.00Consensuss1p_offOrthosteric Ligands1p1_off s1p5_off
15.79Single5MZJTheophylline5MZJ-A2A-Theophylline-Na
15.79Single7V68LY21196207V68-M4-Iperoxo-LY2119620-Gi1/β1/γ2
15.79Single7WC4Serotonin7WC4-5-HT2A-Serotonin
15.79Single8PWNTheophylline8PWN-A2A-Theophylline
15.79Single9IV25alpha-DHT9IV2-ADGRD1-5α-DHT-chim(NtGi1-Gs)/β1/γ2
15.79Single9JKVPubChem 27366909JKV-HCA3-PubChem 2736690-Gi1/β1/γ2
15.79Consensusglp1_on_gpOrthosteric Ligand7S1M-GLP-1-Exendin-4-D-Ala-Gs/β1/γ2 7X8R-GLP-1-BOC5-Gs/β1/γ2 6X19-GLP-1-CHU-128-Gs/β1/γ2 6X1A-GLP-1-Danuglipron-Gs/β1/γ2 6X18-GLP-1-GLP-1-Gs/β1/γ2 8JIP-GLP-1-MEDI0382-chim(NtGi1-Gs)/β1/γ2 7C2E-GLP-1-PubChem 149050799-Gs/β1/γ2 7KI0-GLP-1-Semaglutide-Gs/β1/γ2 7KI1-GLP-1-Taspoglutide-Gs/β1/γ2 7X8S-GLP-1-WB4-24-Gs/β1/γ2 8JIS-GLP-1-Peptide-15-chim(NtGi1-Gs)/β1/γ2 7VBI-GLP-1-Tirzepatide (non-acylated)-Gs/β1/γ2
15.79Consensuspth1_on_gpOrthosteric Ligand6NBF-PTH1-LA-PTH Analog-Gs/β1/γ2 8HA0-PTH1-PTH-chim(NtGi1-Gs)/β1/γ2 8HAF-PTH1-PTHrP(1-36)-chim(NtGi1-Gs)/β1/γ2 7Y36-PTH1-PTH-Gs/β1/γ2 7Y35-PTH1-Abaloparatide-Gs/β1/γ2
15.62Single6M1IPACAP276M1I-PAC1-PACAP27-Gs/β1/γ2
15.62Single7AD3Alpha-factor mating pheromone7AD3-STE2; STE2-α-factor mating pheromone-Gi1/STE4/γ2
15.62Single7FIMTirzepatide7FIM-GLP-1-Tirzepatide-Gs/β1/γ2
15.62Single7V9MSomatoliberin7V9M-GHRH (SV1)-Somatoliberin-Gs/β1/γ2
15.62Single7WUIIP157WUI-ADGRG2-IP15-chim(NtGi1-Gs)/β1/γ2
15.62Single8YW3Retatrutide8YW3-GLP-1-Retatrutide-Gs/β1/γ2
15.38Single4BV0Neurotensin-(7-13)4BV0-NTS1-Neurotensin-(7-13)
15.38Single4OO9Mavoglurant4OO9-mGlu5-Mavoglurant
15.38Single5V56TC1145V56-SMO-TC114
15.38Single5XRAAM115425XRA-CB1-AM11542
15.38Single5ZBHBMS-1938855ZBH-Y1-BMS-193885
15.38Single6OIJIperoxo6OIJ-M1-Iperoxo-chim(NtGi1L-G11)/β1/γ2
15.38Single7EW3S1P7EW3-S1P3-S1P-Gi1/β1/γ2
15.38Single7F1TCCL37F1T-CCR5-CCL3
15.38Single7FEECP559407FEE-CB1-CP55940-ZCZ011
15.38Single7S8MCortistatin-147S8M-MRGPRX2-Cortistatin-14-Gi1/β1/γ2
15.38Single7TD1LPA7TD1-LPA1-LPA-Gi1/β1/γ2
15.38Single7TRQIperoxo7TRQ-M4-Iperoxo-VU0467154-Gi1/β1/γ2
15.38Single7VIGCBP-3077VIG-S1P1-CBP-307-Gi1/β1/γ2
15.38Single7YU7ONO-07405567YU7-LPA1-ONO-0740556-Gi1/β1/γ2
15.38Single8EA0Iperoxo8EA0-M3-Iperoxo
15.38Single8GUSHU-3088GUS-CB2-HU-308-Gi1/β1/γ2
15.38Single8IUKPGF2-alpha8IUK-FP-alpha-PGF2-α-chim(NtGi1-Gs-CtGq)/β1/γ2
15.38Single8JLPRalmitaront8JLP-TA1-Ralmitaront-Gs/β1/γ2
15.38Single8X0FVU298X0F-mGlu5; mGlu5-Quisqualate-VU29
15.38Single8XBIPubChem 1626566368XBI-GPR34-PubChem 162656636
15.38Single8XJMLatanoprost8XJM-FP-alpha-Latanoprost-chim(NtGi2-Gs-CtGq)/β1/γ2
15.38Single8ZR5Firuglipel8ZR5-GPR119-Firuglipel-Gs/β1/γ2
15.38Single9AS9RS130-1809AS9-5-HT2A-RS130-180
15.38Single9ASARS130-1809ASA-5-HT2A-RS130-180-chim(NtGi1-Gs-CtGq)/β1/γ2
15.38Single9E9SPGD29E9S-DP1-PGD2-Gs/β1/γ1
15.38Single9EGOZ85267113509EGO-CB1-Z8526711350-Gi1/β1/γ2
15.38Single9IZGLPA9IZG-LPA1-LPA-chim(NtGi1-Gs-CtGq)/β1/γ2
15.38Consensusffa2_onOrthosteric Ligand8J22-FFA2-TUG-1375-Gi1/β1/γ2
15.38Consensusm1_on_gpOrthosteric Ligand6OIJ-M1-Iperoxo-chim(NtGi1L-G11)/β1/γ2
15.38Consensusm3_offOrthosteric Ligand4U15-M3-Tiotropium 4U16-M3-N-methyl-Scopolamine 5ZHP-M3-PubChem 134828589
15.38Consensusp2y12_onOrthosteric Ligand7XXI-P2Y12-2MeSADP-Gi2/β1/γ2
15.15Single6X18GLP-16X18-GLP-1-GLP-1-Gs/β1/γ2
15.15Single7LLYOxyntomodulin7LLY-GLP-1-Oxyntomodulin-Gs/β1/γ2
15.15Single8E3YPACAP278E3Y-VPAC1-PACAP27-Gs/β1/γ2
15.15Single8E3ZVIP8E3Z-VPAC1-VIP-Gs/β1/γ2
15.15Single9E2AGLP-19E2A-GLP-1-GLP-1-Gs/β1/γ2
15.00Single3OE8IT1t3OE8-CXCR4-IT1t
15.00Single3RFMCaffeine3RFM-A2A-Caffeine
15.00Single6OT025(S)-Epoxycholesterol6OT0-SMO-25(S)-Epoxycholesterol-Gi1/β1/γ2
15.00Single7DD5Ca; Ca; Tryptophan; NPS-21437DD5-CaS; CaS-Ca-Ca; Ca; Tryptophan; NPS-2143
15.00Single8A2OTheophylline8A2O-A2A-Theophylline-Na
15.00Single8XOFLys058XOF-GPR30-Lys05-chim(NtGi1-Gs-CtGq)/β1/γ2
15.00Single9CHUNorepinephrine9CHU-β2-Norepinephrine
14.81Single4PXFOctyl-Beta-D-Glucopyranoside4PXF-Rhodopsin-Octyl-β-D-Glucopyranoside-Arrestin1 Finger Loop
14.81Single4PY02MeSATP4PY0-P2Y12-2MeSATP
14.81Single6KQICP559406KQI-CB1-CP55940-Org27569
14.81Single6XOXOrforglipron6XOX-GLP-1-Orforglipron-chim(NtGi1-Gs)/β1/γ2
14.81Single7EPENAM5637EPE-mGlu2-NAM563
14.81Single7EVYSiponimod7EVY-S1P1-Siponimod-Gi1/β1/γ2
14.81Single7XXI2MeSADP7XXI-P2Y12-2MeSADP-Gi2/β1/γ2
14.81Single8GCPPGE28GCP-EP4-PGE2-Gi1/β1/γ2
14.81Single8JPBNeurotensin-(8-13)8JPB-NTS1-Neurotensin-(8-13)-SBI-553; GDP; Mg-Gq; GRK2
14.81Single8VHFMBX-29828VHF-GPR119-MBX-2982-Gs/β1/γ2
14.81Single8WRBLysophosphatidylserine (UBL)8WRB-GPR34-Lysophosphatidylserine (UBL)-Gi1/β1/γ2
14.81Single9AU0BW245C9AU0-DP1-BW245C-Gs/β1/γ2
14.81Single9EK0Iperoxo9EK0-M5-Iperoxo-chim(NtGi1-Gs-CtGq)/β1/γ2
14.81Single9GGGI-BOP9GGG-TXA2-I-BOP-chim(NtGi2L-Gs-CtGq)/β1/γ2
14.81Single9IZHLPA9IZH-LPA1-LPA-chim(NtGi2-G13)/β1/γ2
14.81Consensusgi_p2yOrthosteric Ligand7XXI-P2Y12-2MeSADP-Gi2/β1/γ2
14.81Consensusp2y12_on_gpOrthosteric Ligand7XXI-P2Y12-2MeSADP-Gi2/β1/γ2
14.71Single6NBFLA-PTH Analog6NBF-PTH1-LA-PTH Analog-Gs/β1/γ2
14.71Single6NBILA-PTH Analog6NBI-PTH1-LA-PTH Analog-Gs/β1/γ2
14.71Single6P9YPACAP276P9Y-PAC1-PACAP27-Gs/β1/γ2
14.71Single7KI0Semaglutide7KI0-GLP-1-Semaglutide-Gs/β1/γ2
14.71Single8E3XPACAP278E3X-PAC1-PACAP27-Gs/β1/γ2
14.71Single8JISPeptide-158JIS-GLP-1-Peptide-15-chim(NtGi1-Gs)/β1/γ2
14.71Single9P92VIP9P92-PAC1-VIP-Gs/β1/γ2
14.71Consensuscrf2_on_gpOrthosteric Ligand7TS0-CRF2-Urocortin-chim(NtGi1L-Go)/β1/γ2
14.71Consensusctlike_onOrthosteric Ligand6E3Y-CT Like-Calcitonin gene-related peptide-1-Gs/β1/γ2; RAMP1
14.71Consensussecretin_onOrthosteric Ligand7D3S-Secretin-Secretin-Gs/β1/γ2
14.71Consensusvpac1_on_gpOrthosteric Ligand8E3Z-VPAC1-VIP-Gs/β1/γ2
14.29Single2J4Y11-cis-Retinal2J4Y-Rhodopsin-11-cis-Retinal
14.29Single3C9M11-cis-Retinal3C9M-Rhodopsin-11-cis-Retinal
14.29Single4XNWMRS25004XNW-P2Y1-MRS2500
14.29Single5CGDHTL142425CGD-mGlu5-HTL14242
14.29Single6FK9PubChem 1324730366FK9-Rhodopsin-PubChem 132473036
14.29Single6PWCNeurotensin-(9-13)6PWC-NTS1-Neurotensin-(9-13)-Arrestin2
14.29Single6VCBGLP-16VCB-GLP-1-GLP-1-LSN3160440-Gs/β1/γ2
14.29Single7AD3Alpha-factor mating pheromone7AD3-STE2; STE2-α-factor mating pheromone-Gi1/STE4/γ2
14.29Single7D77Hydrocortisone7D77-ADGRG3-Hydrocortisone-Go/β1/γ2
14.29Single7F16TIP397F16-PTH2-TIP39-Gs/β1/γ2
14.29Single7LLLExendin-47LLL-GLP-1-Exendin-4-Gs/β1/γ2
14.29Single7VVNPTH7VVN-PTH1-PTH-Gs/β1/γ2
14.29Single8DPILorcaserin8DPI-5-HT2C-Lorcaserin-chim(NtGi2L-Gs-CtGq)/β1/γ2
14.29Single8GGFConstrained Epinephrine8GGF-β2-Constrained Epinephrine-GTP-Gs/β1/γ2
14.29Single8HAOPTH8HAO-PTH1-PTH-chim(NtGi1-Gs)/β1/γ2
14.29Single8ITFDMCHA8ITF-TAA9-DMCHA-chim(NtGi1-Gs)/β1/γ2
14.29Single8J21Butyric acid8J21-FFA3-Butyric acid-Gi1/β1/γ2
14.29Single8JXTHistamine8JXT-H4-Histamine-PO4-Gi1/β1/γ2
14.29Single8X9UMetenolone8X9U-ADGRD1-Metenolone-chim(NtGi1-Gs)/β1/γ2
14.29Single8XJKCloprosetnol8XJK-FP-alpha-Cloprosetnol-chim(NtGi1-Gs-CtGq)/β1/γ2
14.29Single8ZX4Lysophosphatidylinositol 8ZX4-GPR55-Lysophosphatidylinositol-chim(NtGi1-G13)/β1/γ2
14.29Single9BUCCagrilintide9BUC-CT-Cagrilintide-Gs/β1/γ2
14.29Single9JHJC18:0 Ceramide9JHJ-FPR2-ALX-C18:0 Ceramide-Gi1/β1/γ2
14.29Single9M1HPGE29M1H-EP1-PGE2-chim(NtGi1-Gs-CtGq)/β1/γ2
14.29Single9P94PACAP279P94-PAC1-PACAP27-Gs/β1/γ2
14.29Consensusffa3_onOrthosteric Ligand8J21-FFA3-Butyric acid-Gi1/β1/γ2
14.29Consensusffa3_on_gpOrthosteric Ligand8J21-FFA3-Butyric acid-Gi1/β1/γ2
14.29Consensusglp_onOrthosteric Ligandglp1_on glp2_on
14.29Consensusglp_on_gpOrthosteric Ligandglp1_on_gp glp2_on_gp
14.29Consensusp2y1_offOrthosteric Ligand4XNW-P2Y1-MRS2500
14.29Consensussecretin_on_gpOrthosteric Ligand7D3S-Secretin-Secretin-Gs/β1/γ2
13.95Single8F0JPramlintide Analogue San458F0J-CT-Pramlintide Analogue San45-Gs/β1/γ2
13.89Single7D68GLP-27D68-GLP-2-GLP-2-Gs/β1/γ2
13.89Single9P93VIP9P93-PAC1-VIP-Gs/β1/γ2
13.89Consensusctlike_on_gpOrthosteric Ligand6E3Y-CT Like-Calcitonin gene-related peptide-1-Gs/β1/γ2; RAMP1
13.89Consensusvip-pacap_onOrthosteric Ligandvpac_on pac_on
13.89Consensusvip-pacap_on_gpOrthosteric Ligandvpac_on_gp pac_on_gp
13.79Single7AUESetmelanotide7AUE-MC4-Setmelanotide-chim(NtGi1L-Gs)/β1/γ2
13.79Single7X8SWB4-247X8S-GLP-1-WB4-24-Gs/β1/γ2
13.79Single8GDAL9026888GDA-EP4-L902688-Gs/β1/γ2
13.79Single8IQ4Carboprost8IQ4-FP-alpha-Carboprost-chim(NtGi1-Gs-CtGq)/β1/γ2
13.79Single9ITBLPA9ITB-LPA6-LPA-chim(NtGi1-Gs-CtGq)/β1/γ2
13.79Single9JH6C20:0 Ceramide9JH6-CysLT2-C20:0 Ceramide-chim(NtGi1-Gs-CtGq)/β1/γ2
13.64Single1L9H11-cis-Retinal1L9H-Rhodopsin-11-cis-Retinal
13.64Single1U1911-cis-Retinal1U19-Rhodopsin-11-cis-Retinal
13.64Single2G87All-trans-Retinal2G87-Rhodopsin-All-trans-Retinal
13.64Single2I3511-cis-Retinal2I35-Rhodopsin-11-cis-Retinal
13.64Single4O9RCyclopamine4O9R-SMO-Cyclopamine
13.64Single6FK6PubChem 1324730336FK6-Rhodopsin-PubChem 132473033
13.64Single6PGSGeraniol6PGS-Rhodopsin-Geraniol-Gt(CT)
13.64Single6PH7Nerol6PH7-Rhodopsin-Nerol-Gt(CT)
13.64Single7V68Iperoxo7V68-M4-Iperoxo-LY2119620-Gi1/β1/γ2
13.64Single7VUIJNJ-635330547VUI-GPR139-JNJ-63533054-GTP-chim(Gs-CtGq)/β1/γ2
13.64Single7XP6Strychnine7XP6-TAS2R46-Strychnine-chim(Gs-CtGt3)/β1/γ2
13.64Single7YFCHistamine7YFC-H4-Histamine-chim(NtGi1-Gs-CtGq)/β1/γ2
13.64Single7YFDImetit7YFD-H4-Imetit-chim(NtGi1-Gs-CtGq)/β1/γ2
13.64Single8DPFLorcaserin8DPF-5-HT2C-Lorcaserin-chim(NtGi2L-Gs-CtGq)/β1/γ2
13.64Single8F2BPramlintide Analogue San458F2B-CT (AMY3)-Pramlintide Analogue San45-Gs/β1/γ2; RAMP3
13.64Single8HN8Histamine8HN8-H4-Histamine-Gi1/β1/γ2
13.64Single8YN2Histamine8YN2-H1-Histamine-chim(NtGi1L-Gs-CtGq)/β1/γ2
13.64Single8ZSVRO52633978ZSV-TA1-RO5263397-chim(NtGi1-Gs)/β1/γ2
13.64Single8ZYUNeurotensin-(8-13)8ZYU-NTS1-Neurotensin-(8-13)-SBI-553-Arrestin2
13.64Single9EPRAll-trans-Retinal9EPR-Rhodopsin-All-trans-Retinal-Gi1/β1/γ2
13.64Single9M88Oleic monoethanolamide9M88-GPR3 ; GPR3-Oleic monoethanolamide-AF64394
13.64Consensush4_onOrthosteric Ligand8HN8-H4-Histamine-Gi1/β1/γ2 8HOC-H4-Imetit-Gi1/β1/γ2 8JXV-H4-Clozapine-Gi1/β1/γ2 8JXW-H4-VUF6884-Gi1/β1/γ2 8JXX-H4-Clobenpropit-Gi1/β1/γ2
13.33Single6WIVPubChem 52923113; PubChem 529246456WIV-GABAB1, GABAB2-PubChem 52923113; PubChem 52924645
13.16Single6LPBPACAP276LPB-PAC1-PACAP27-Gs/β1/γ1
13.16Single8FLSAbaloparatide8FLS-PTH1-Abaloparatide-Gs/β1/γ2
13.16Single8FLULA-PTH Analog8FLU-PTH1-LA-PTH Analog-Gs/β1/γ2
13.16Consensusglp1_onOrthosteric Ligand7S1M-GLP-1-Exendin-4-D-Ala-Gs/β1/γ2 7X8R-GLP-1-BOC5-Gs/β1/γ2 6X19-GLP-1-CHU-128-Gs/β1/γ2 6X1A-GLP-1-Danuglipron-Gs/β1/γ2 6X18-GLP-1-GLP-1-Gs/β1/γ2 8JIP-GLP-1-MEDI0382-chim(NtGi1-Gs)/β1/γ2 7C2E-GLP-1-PubChem 149050799-Gs/β1/γ2 7KI0-GLP-1-Semaglutide-Gs/β1/γ2 7KI1-GLP-1-Taspoglutide-Gs/β1/γ2 7X8S-GLP-1-WB4-24-Gs/β1/γ2 8JIS-GLP-1-Peptide-15-chim(NtGi1-Gs)/β1/γ2 7VBI-GLP-1-Tirzepatide (non-acylated)-Gs/β1/γ2
13.04Single2Z7311-cis-Retinal2Z73-Rhodopsin-11-cis-Retinal
13.04Single3AYN9-cis-Retinal3AYN-Rhodopsin-9-cis-Retinal
13.04Single3VGAZM-2413853VGA-A2A-ZM-241385-Antibody
13.04Single4BWBNeurotensin-(8-12)4BWB-NTS1-Neurotensin-(8-12)
13.04Single4QINSAG1.54QIN-SMO-SAG1.5
13.04Single6FKBPubChem 1324730386FKB-Rhodopsin-PubChem 132473038
13.04Single6O3CSAG21k6O3C-SMO-SAG21k-Cholesterol
13.04Single6RNKNF-56-EJ406RNK-Succinate-NF-56-EJ40
13.04Single7M3ECa; Ca; Tryptophan; NPS-21437M3E-CaS; CaS-Ca; Ca; Tryptophan; NPS-2143
13.04Single7M3ECa; Ca; Tryptophan; NPS-21437M3E-CaS; CaS-Ca; Ca; Tryptophan; NPS-2143
13.04Single7VV5C48/807VV5-MRGPRX2-C48/80-Gi1/β1/γ2
13.04Single8A6CAll-trans-Retinal8A6C-Rhodopsin-All-trans-Retinal
13.04Single8A6DAll-trans-Retinal8A6D-Rhodopsin-All-trans-Retinal
13.04Single8A6EAll-trans-Retinal8A6E-Rhodopsin-All-trans-Retinal
13.04Single8DU3PubChem 1055260648DU3-A2A-PubChem 105526064
13.04Single8J20Valeric acid8J20-FFA3-Valeric acid-AR420626-Gi1/β1/γ2
13.04Single8T3SButyric acid8T3S-FFA2-Butyric acid-chim(NtGi2L-Gs-CtGq)/β1/γ2
13.04Single8WPGTryptophan; Cinacalcet; PO4; Ca8WPG-CaS; CaS-Tryptophan; Cinacalcet; PO4; Ca
13.04Single9C1PCa; Tryptophan; '6218; PO49C1P-CaS; CaS-Ca-Ca; Tryptophan; '6218; PO4
13.04Single9C2FCa; Ca; Tryptophan; '54149; PO49C2F-CaS; CaS-Ca-Ca; Ca; Tryptophan; '54149; PO4
13.04Single9J5VCpY9J5V-LPA1-CpY-Gi1/β1/γ2
13.04Consensuscxcr1_onOrthosteric Ligand8IC0-CXCR1-CXCL8-Gi1/β1/γ2
13.04Consensusrhodopsin_offOrthosteric Ligand1U19-Rhodopsin-11-cis-Retinal 2PED-Rhodopsin-9-cis-Retinal 5TE5-Rhodopsin-20-Methanoretinal
12.90Single7VBITirzepatide (non-acylated)7VBI-GLP-1-Tirzepatide (non-acylated)-Gs/β1/γ2
12.90Single8IOCGamma-MSH8IOC-MC3-γ-MSH-Ca-chim(NtGi1-Gs)/β1/γ2
12.82Single7VVMPTH7VVM-PTH1-PTH-Gs/β1/γ2
12.82Single9JR2PTH9JR2-PTH1-PTH-chim(NtGi1L-Gs-CtGq)/β1/γ2
12.50Single4MQTIperoxo4MQT-M2-Iperoxo-LY2119620
12.50Single6FFIMPEP6FFI-mGlu5-MPEP
12.50Single6FK8PubChem 1324730356FK8-Rhodopsin-PubChem 132473035
12.50Single6FKAPubChem 1324730376FKA-Rhodopsin-PubChem 132473037
12.50Single6PELCitronellol6PEL-Rhodopsin-Citronellol-Gt(CT)
12.50Single6UUNAdrenomedullin6UUN-CT Like (AM1)-Adrenomedullin-Gs/β1/γ2; RAMP2
12.50Single6WJCAtropine6WJC-M1-Atropine-Muscarinic toxin 7
12.50Single6XBLSAG6XBL-SMO-SAG-Cholesterol-Gi1/β1/γ2
12.50Single6ZINSR486926ZIN-NTS1-SR48692
12.50Single7TYYCalcitonin-17TYY-CT (AMY2)-Calcitonin-1-Gs/β1/γ2; RAMP2
12.50Single7VV6C48/807VV6-MRGPRX2-C48/80
12.50Single7Y36PTH7Y36-PTH1-PTH-Gs/β1/γ2
12.50Single7ZI0SAG7ZI0-SMO-SAG-Cholesterol
12.50Single8FLQPTH8FLQ-PTH1-PTH-Gs/β1/γ2
12.50Single8HQN9-S-HODE8HQN-GPR132-9-S-HODE-Gi1/β1/γ2
12.50Single8K2WAMG4878K2W-CXCR3-AMG487
12.50Single8K4SDCA-3P8K4S-MRGPRX4-DCA-3P-chim(NtGi1L-Gs-CtGq)/β1/γ2
12.50Single8WPUTryptophan; Cinacalcet; PO4; Ca8WPU-CaS; CaS-Tryptophan; Cinacalcet; PO4; Ca-chim(NtGi2L-Gs-CtGq)/β1/γ2
12.50Single8YRGFospropofol8YRG-MRGPRX4-Fospropofol-chim(NtGi1-Gs-CtGq)/β1/γ2
12.50Single9ASBCa; Ca; Cyclomethyltryptophan; R-568; PO49ASB-CaS; CaS-Ca-Ca; Ca; Cyclomethyltryptophan; R-568; PO4-chim(NtGi1-Gs-CtGq)/β1/γ2
12.50Single9AVGCa; Ca; Cyclomethyltryptophan; R-568; PO49AVG-CaS; CaS-Ca-Ca; Ca; Cyclomethyltryptophan; R-568; PO4-chim(NtGi1-Gs)/β1/γ2
12.50Single9BA0MRI-18919BA0-CB1-MRI-1891
12.50Single9IVMGLP-1 (Truncated)9IVM-GLP-1-GLP-1 (Truncated)-LSN3318839-chim(NtGi1-Gs)/β2/γ2
12.50Single9JR3PTH9JR3-PTH1-PTH-chim(NtGi1L-Gs-CtGq)/β1/γ2
12.50Single9LXRLA-PTH Analog9LXR-PTH1-LA-PTH Analog-Arrestin2
12.50Consensuscxcr3_offOrthosteric Ligand8K2W-CXCR3-AMG487
12.50Consensusmc3_onOrthosteric Ligand8IOC-MC3-γ-MSH-Ca-chim(NtGi1-Gs)/β1/γ2
12.50Consensusmc3_on_gpOrthosteric Ligand8IOC-MC3-γ-MSH-Ca-chim(NtGi1-Gs)/β1/γ2
12.50Consensusopsins_offOrthosteric Ligandrhodopsin_off
12.50Consensussensory_offOrthosteric Ligandopsins_off
12.20Consensusglucagon_on_gpOrthosteric Ligandglp_on_gp gluc_on_gp secretin_on_gp gip_on_gp
12.12Single6WI9Secretin6WI9-Secretin-Secretin-Gs/β1/γ2
12.12Single8YW5Retatrutide8YW5-Glucagon-Retatrutide-Gs/β1/γ2
12.12Single9BLCCagrilintide (non-acylated)9BLC-CT-Cagrilintide (non-acylated)-Gs/β1/γ2
12.12Single9EBOGLP-1 (ACPC18)9EBO-GLP-1-GLP-1 (ACPC18)-Gs/β1/γ2
12.00Single4DAJTiotropium4DAJ-M3-Tiotropium
12.00Single4MQSIperoxo4MQS-M2-Iperoxo
12.00Single4U14Tiotropium4U14-M3-Tiotropium
12.00Single5DSGTiotropium5DSG-M4-Tiotropium
12.00Single5T04Neurotensin-(8-13)5T04-NTS1-Neurotensin-(8-13)
12.00Single5TGZAM65385TGZ-CB1-AM6538
12.00Single6FFHFenobam6FFH-mGlu5-Fenobam
12.00Single6FK7PubChem 1324730346FK7-Rhodopsin-PubChem 132473034
12.00Single6FKDPubChem 1373491836FKD-Rhodopsin-PubChem 137349183
12.00Single7SK8CXCL127SK8-ACKR3-CXCL12-CCX662
12.00Single7TRPIperoxo7TRP-M4-Iperoxo-LY2033298-Gi1/β1/γ2
12.00Single7YU4ONO-07405567YU4-LPA1-ONO-0740556
12.00Single8GCML-9026888GCM-EP4-L-902688-Gi1/β1/γ2
12.00Single8XJLPGF2-alpha8XJL-FP-alpha-PGF2-α-chim(NtGi2-Gs-CtGq)/β1/γ2
12.00Single9IYAONO-97105319IYA-GPR55-ONO-9710531
12.00Consensusm4_offOrthosteric Ligand5DSG-M4-Tiotropium
11.76Single5YQZNNC17025YQZ-Glucagon-NNC1702
11.76Single7WBJPACAP277WBJ-VPAC1-PACAP27-Gs/β1/γ2
11.76Consensuscalcitonin_onOrthosteric Ligandctlike_on
11.76Consensusvpac1_onOrthosteric Ligand8E3Z-VPAC1-VIP-Gs/β1/γ2
11.63Consensusclass-b1_onOrthosteric Ligandglucagon_on vip-pacap_on pth_on crf_on calcitonin_on
11.54Single4JKVTaladegib4JKV-SMO-Taladegib
11.54Single5ZK33-quinuclidinyl-benzilate5ZK3-M2-3-quinuclidinyl-benzilate
11.54Single6OIKIperoxo6OIK-M2-Iperoxo-LY2119620-chim(NtGi1-Go)/β1/γ2
11.54Single6Z4QSR142948A6Z4Q-NTS1-SR142948A
11.54Single6Z4SSR486926Z4S-NTS1-SR48692
11.54Single7E9GJNJ-404118137E9G-mGlu2; mGlu2-Eglumetad-JNJ-40411813-Gi1/β1/γ2
11.54Single7TRKIperoxo7TRK-M4-Iperoxo-Gi1/β1/γ2
11.54Single7YU3ONO-07405567YU3-LPA1-ONO-0740556-Gi1/β1/γ2
11.54Single8J18(3R)-3-Hydroxydodecanoic acid8J18-GPR84-(3R)-3-Hydroxydodecanoic acid-Gi1/β1/γ2
11.54Single8X0BVU04244658X0B-mGlu5; mGlu5-Quisqualate-VU0424465
11.54Single8X0CVU04244658X0C-mGlu5; mGlu5-Quisqualate-VU0424465
11.54Single8ZVZBW245C8ZVZ-DP1-BW245C-Gs/β1/γ2
11.54Single9B9ZMRI-18679B9Z-CB1-MRI-1867
11.54Single9EE5ONO-25502899EE5-DP1-ONO-2550289
11.54Single9EKHONO-30302979EKH-DP1-ONO-3030297
11.54Single9ERXD9-THC analog9ERX-CB1-D9-THC analog-Gi1/β1/γ2
11.54Single9GE2ML1849GE2-GPR55-ML184-chim(NtGi1-G13)/β1/γ2
11.54Single9HC04YI9HC0-mGlu5-4YI
11.54Consensuslpa1_onOrthosteric Ligand7TD1-LPA1-LPA-Gi1/β1/γ2 7YU3-LPA1-ONO-0740556-Gi1/β1/γ2
11.54Consensuslpa1_on_gpOrthosteric Ligand7TD1-LPA1-LPA-Gi1/β1/γ2 7YU3-LPA1-ONO-0740556-Gi1/β1/γ2
11.43Single7CZ5Somatoliberin7CZ5-GHRH-Somatoliberin-Gs/β1/γ2
11.43Single7VABTirzepatide (non-acylated)7VAB-GIP-Tirzepatide (non-acylated)-chim(NtGi1-Gs)/β1/γ2
11.43Single9BLWCagrilintide (non-acylated)9BLW-CT (AMY1)-Cagrilintide (non-acylated)-Gs/β1/γ2; RAMP1
11.43Single9BP3Cagrilintide9BP3-CT (AMY1)-Cagrilintide-Gs/β1/γ2; RAMP1
11.43Single9J1Pg1:Ox9J1P-GLP-1-g1:Ox-chim(NtGi1-Gs)/β1/γ2
11.43Consensuscalcitonin_on_gpOrthosteric Ligandctlike_on_gp
11.11Single3UON3-quinuclidinyl-benzilate3UON-M2-3-quinuclidinyl-benzilate
11.11Single4Z34ONO-97803074Z34-LPA1-ONO-9780307
11.11Single5V57TC1145V57-SMO-TC114
11.11Single5ZHPPubChem 1348285895ZHP-M3-PubChem 134828589
11.11Single6B3JExendin-P56B3J-GLP-1-Exendin-P5-Gs/β1/γ2
11.11Single7P2L4YI7P2L-mGlu5-4YI
11.11Single7S1MExendin-4-D-Ala7S1M-GLP-1-Exendin-4-D-Ala-Gs/β1/γ2
11.11Single7YU5ONO-07405567YU5-LPA1-ONO-0740556-Gi1/β1/γ2
11.11Single8GDBPGE28GDB-EP4-PGE2-Gs/β1/γ2
11.11Single8JD5JNJ-40411813; ADX881788JD5-mGlu2; mGlu4-Glutamate-JNJ-40411813; ADX88178-Gi1/β1/γ2
11.11Single8SZGCa; Ca; Tryptophan; Cinacalcet; PO4; Spermine8SZG-CaS; CaS-Ca; Ca; Tryptophan; Cinacalcet; PO4; Spermine-chim(NtGi1-Gq)/β1/γ2
11.11Single8TAOCDPPB8TAO-mGlu5; mGlu5-Quisqualate-CDPPB
11.11Single8X0BVU04244658X0B-mGlu5; mGlu5-Quisqualate-VU0424465
11.11Single8X79MRE-2698X79-I2-MRE-269-Gs/β1/γ2
11.11Single8ZW0PGD28ZW0-DP1-PGD2-Gs/β1/γ2
11.11Single9UCPIperoxo9UCP-M1-Iperoxo-G11(CT)
11.11Consensusgi_lpaOrthosteric Ligand7TD1-LPA1-LPA-Gi1/β1/γ2 7YU3-LPA1-ONO-0740556-Gi1/β1/γ2
11.11Consensusglp2_onOrthosteric Ligand7D68-GLP-2-GLP-2-Gs/β1/γ2
11.11Consensusglp2_on_gpOrthosteric Ligand7D68-GLP-2-GLP-2-Gs/β1/γ2
11.11Consensuslpa_onOrthosteric Ligandlpa1_on
11.11Consensuslpa_on_gpOrthosteric Ligandlpa1_on_gp
10.81Single6WZGSecretin6WZG-Secretin-Secretin-Gs/β1/γ2
10.81Single7TS0Urocortin7TS0-CRF2-Urocortin-chim(NtGi1L-Go)/β1/γ2
10.81Single7VVJPTHrP(1-36)7VVJ-PTH1-PTHrP(1-36)-Gs/β1/γ2
10.81Single8FLTM-PTH(1-14)8FLT-PTH1-M-PTH(1-14)-Gs/β1/γ2
10.81Single8HAFPTHrP(1-36)8HAF-PTH1-PTHrP(1-36)-chim(NtGi1-Gs)/β1/γ2
10.81Consensusvpac2_onOrthosteric Ligand7VQX-VPAC1-PACAP27-Gs/β1/γ2
10.81Consensusvpac2_on_gpOrthosteric Ligand7VQX-VPAC1-PACAP27-Gs/β1/γ2
10.71Single5TZYMK8666; AP85TZY-FFA1-MK8666; AP8
10.71Single6AK3PGE26AK3-EP3-PGE2
10.71Single7WCMMBX-29827WCM-GPR119-MBX-2982-Gs/β1/γ2
10.71Single8IQ6Latanoprost8IQ6-FP-alpha-Latanoprost-chim(NtGi1-Gs-CtGq)/β1/γ2
10.71Single8XJNCloprosetnol8XJN-TXA2-Cloprosetnol-chim(NtGi1-Gs-CtGq)/β1/γ2
10.64Consensusclass-b1_on_gpOrthosteric Ligandglucagon_on_gp vip-pacap_on_gp pth_on_gp crf_on_gp calcitonin_on_gp
10.53Single7TYXAmylin7TYX-CT (AMY2)-Amylin-Gs/β1/γ2; RAMP2
10.53Single8WCBCyclohexylammonium Ion8WCB-TA1-Cyclohexylammonium Ion-chim(NtGi1-Gs-CtGq)/β1/γ2
10.53Single8WCCCyclohexylammonium Ion8WCC-TA1-Cyclohexylammonium Ion
10.53Consensusgip_onOrthosteric Ligand7FIN-GIP-Peptide-20; GGL-Gs/β1/γ2 7FIY-GIP-Tirzepatide-Gs/β1/γ2 7DTY-GIP-GIP-Gs/β1/γ2
10.53Consensusgip_on_gpOrthosteric Ligand7FIN-GIP-Peptide-20; GGL-Gs/β1/γ2 7FIY-GIP-Tirzepatide-Gs/β1/γ2 7DTY-GIP-GIP-Gs/β1/γ2
10.34Single7CX4Evatanepag7CX4-EP2-Evatanepag-Gs/β1/γ2
10.34Single8XJOU466198XJO-TXA2-U46619-chim(NtGi1-Gs-CtGq)/β1/γ2
10.34Single9C0KExendin-49C0K-GLP-1-Exendin-4-Gs/β1/γ2
10.34Consensusprostanoid_onOrthosteric Ligandtp_on fp-alpha_on
10.34Consensusprostanoid_on_gpOrthosteric Ligandtp_on_gp fp-alpha_on_gp
10.34Consensustp_onOrthosteric Ligand8XJO-TXA2-U46619-chim(NtGi1-Gs-CtGq)/β1/γ2
10.34Consensustp_on_gpOrthosteric Ligand8XJO-TXA2-U46619-chim(NtGi1-Gs-CtGq)/β1/γ2
10.26Single7VBHPeptide-207VBH-GLP-1-Peptide-20-Gs/β1/γ2
10.26Single9AUCCalcitonin gene-related peptide-19AUC-CT (AMY1)-Calcitonin gene-related peptide-1-Gs/β1/γ2; RAMP1
10.00Single6WPWZP37806WPW-Glucagon-ZP3780-Gs/β1/γ2
10.00Single7CX2PGE27CX2-EP2-PGE2-Gs/β1/γ2
10.00Single8HQMNPGLY8HQM-GPR132-NPGLY-Gi1/β1/γ2
10.00Single8HVINOX-6-78HVI-GPR132-NOX-6-7-Gi1/β1/γ2
10.00Single8JIRSAR4258998JIR-GLP-1-SAR425899-chim(NtGi1-Gs)/β1/γ2
10.00Consensuscrf_on_gpOrthosteric Ligandcrf2_on_gp crf1_on_gp
9.76Consensusglucagon_onOrthosteric Ligandglp_on gluc_on secretin_on gip_on
9.68Single7CX3Taprenepag7CX3-EP2-Taprenepag-Gs/β1/γ2
9.52Single2HPYAll-trans-Retinal2HPY-Rhodopsin-All-trans-Retinal
9.52Single6E3YCalcitonin gene-related peptide-16E3Y-CT Like-Calcitonin gene-related peptide-1-Gs/β1/γ2; RAMP1
9.52Single7VDMSubstance-P7VDM-MRGPRX2-Substance-P-Gi1/β1/γ2
9.52Single8Y02All-trans-Retinal8Y02-OPN1SW-All-trans-Retinal-Gi1/β1/γ2
9.52Single9C2FCa; Ca; Tryptophan; '54149; PO49C2F-CaS; CaS-Ca-Ca; Ca; Tryptophan; '54149; PO4
9.52Single9M42A1L8O9M42-GPR139-A1L8O-chim(Gs-CtGq)/β1/γ2
9.52Consensusgluc_onOrthosteric Ligand6LMK-Glucagon-Glucagon-Gs/β1/γ2 8JIT-Glucagon-MEDI0382-Gs/β1/γ2 7V35-Glucagon-Peptide-20-Gs/β1/γ2
9.52Consensusp2y_offOrthosteric Ligandp2y1_off
9.38Single6WHCGlu16 analog of GCG6WHC-Glucagon-Glu16 analog of GCG-Gs/β1/γ2
9.38Single7TRYUrocortin7TRY-CRF2-Urocortin-chim(NtGi1-G11)/β1/γ2
9.30Consensusgluc_on_gpOrthosteric Ligand6LMK-Glucagon-Glucagon-Gs/β1/γ2 8JIT-Glucagon-MEDI0382-Gs/β1/γ2 7V35-Glucagon-Peptide-20-Gs/β1/γ2
9.09Single2ZIY11-cis-Retinal2ZIY-Rhodopsin-11-cis-Retinal
9.09Single7DD7Ca; Ca; Tryptophan; Evocalcet7DD7-CaS; CaS-Ca-Ca; Ca; Tryptophan; Evocalcet
9.09Single8EITDoconexent8EIT-FFA1-Doconexent-chim(NtGi1L-Gs-CtGq)/β1/γ2
9.09Single8JPSCCL78JPS-ACKR1-CCL7
9.09Single8RQLFlufenamic acid8RQL-TAS2R14-Flufenamic acid-Flufenamic acid-chim(NtGi1-Gt3)/β1/γ2
9.09Single8SZFCa; Ca; Tryptophan; Cinacalcet; PO4; Spermine8SZF-CaS; CaS-Ca; Ca; Tryptophan; Cinacalcet; PO4; Spermine
9.09Single8YFOAc-LA-PTH Analog8YFO-PTH1-Ac-LA-PTH Analog-chim(NtGi1-Gs)/β1/γ2
9.09Single9B5YLA-PTH Analog9B5Y-PTH1-LA-PTH Analog-chim(NtGi1-Gq)/β1/γ2
9.09Single9IJRC179IJR-GPR52-C17-Arrestin2
9.09Single9JG1Adriforant9JG1-H4-Adriforant
9.09Consensusclass-b1_class-b2_cons_onOrthosteric Ligandclass-b1_on class-b2_on
9.09Consensusclass-b1_class-b2_cons_on_gpOrthosteric Ligandclass-b1_on_gp class-b2_on_gp
8.82Single6NIYCalcitonin-16NIY-CT-Calcitonin-1-Gs/β1/γ2
8.82Single7FINPeptide-20; GGL7FIN-GIP-Peptide-20; GGL-Gs/β1/γ2
8.82Single8HA0PTH8HA0-PTH1-PTH-chim(NtGi1-Gs)/β1/γ2
8.82Single8YW4Retatrutide8YW4-GIP-Retatrutide-chim(NtGi1-Gs)/β1/γ2
8.82Single9BUDCagrilintide9BUD-CT-Cagrilintide-Gs/β1/γ2
8.82Consensuscrf2_onOrthosteric Ligand7TS0-CRF2-Urocortin-chim(NtGi1L-Go)/β1/γ2
8.70Single3AYMAll-trans-Retinal3AYM-Rhodopsin-All-trans-Retinal
8.70Single7DD7Ca; Ca; Tryptophan; Evocalcet7DD7-CaS; CaS-Ca-Ca; Ca; Tryptophan; Evocalcet
8.70Single7S8NR-Zinc-35737S8N-MRGPRX2-R-Zinc-3573-chim(NtGi2L-Gs-CtGq)/β1/γ2
8.70Single7S8OR-Zinc-35737S8O-MRGPRX2-R-Zinc-3573-Gi1/β1/γ2
8.70Single7UL2SR486927UL2-NTS1-SR48692-Na
8.70Single7VDHC48/807VDH-MRGPRX2-C48/80-Gi1/β1/γ2
8.70Single8SZFCa; Ca; Tryptophan; Cinacalcet; PO4; Spermine8SZF-CaS; CaS-Ca; Ca; Tryptophan; Cinacalcet; PO4; Spermine
8.70Single8U4RREGN7663-Fab8U4R-CXCR4-REGN7663-Fab
8.70Single8WPUTryptophan; Cinacalcet; PO4; Ca8WPU-CaS; CaS-Tryptophan; Cinacalcet; PO4; Ca-chim(NtGi2L-Gs-CtGq)/β1/γ2
8.70Single8X2KOleic monoethanolamide8X2K-GPR3-Oleic monoethanolamide-chim(NtGi1-Gs)/β1/γ2
8.70Single9B9YTaranabant9B9Y-CB1-Taranabant
8.70Single9C1PCa; Tryptophan; '6218; PO49C1P-CaS; CaS-Ca-Ca; Tryptophan; '6218; PO4
8.70Consensusadgrg_onOrthosteric Ligandadgrg2_on adgrg4_on
8.70Consensusadgrg_on_gpOrthosteric Ligandadgrg2_on_gp adgrg4_on_gp
8.70Consensusneurotensin_offOrthosteric Ligandnts1_off
8.70Consensusnts1_offOrthosteric Ligand7UL2-NTS1-SR48692-Na
8.57Single7Y35Abaloparatide7Y35-PTH1-Abaloparatide-Gs/β1/γ2
8.57Single8YG4LA-PTH Analog8YG4-PTH1-LA-PTH Analog-chim(NtGi1-Gs)/β1/γ2
8.57Consensusvpac_onOrthosteric Ligandvpac1_on vpac2_on
8.33Single6WWZCCL206WWZ-CCR6-CCL20-Go/β1/γ2
8.33Single7D3SSecretin7D3S-Secretin-Secretin-Gs/β1/γ2
8.33Single7M3FCa; Ca; Tryptophan; Cinacalcet7M3F-CaS; CaS-Ca; Ca; Tryptophan; Cinacalcet
8.33Single7M3FCa; Ca; Tryptophan; Cinacalcet7M3F-CaS; CaS-Ca; Ca; Tryptophan; Cinacalcet
8.33Single7RA3GIP7RA3-GIP-GIP-chim(NtGi1-Gs)/β1/γ2
8.33Single7S8PMS471347S8P-MRGPRX4-MS47134-chim(NtGi2L-Gs-CtGq)/β1/γ2
8.33Single7SILCa; Ca; Ca; Cyclomethyltryptophan; R-568; PO47SIL-CaS; CaS-Ca-Ca; Ca; Ca; Cyclomethyltryptophan; R-568; PO4
8.33Single7SILCa; Ca; Ca; Cyclomethyltryptophan; R-568; PO47SIL-CaS; CaS-Ca-Ca; Ca; Ca; Cyclomethyltryptophan; R-568; PO4
8.33Single7TUZ7-alpha,25-dihydroxycholesterol7TUZ-GPR183-7-α,25-dihydroxycholesterol-Gi1/β1/γ2
8.33Single7VDLCortistatin-147VDL-MRGPRX2-Cortistatin-14-Gi1/β1/γ2
8.33Single7WF7S1P7WF7-S1P1-S1P-Gi1/β1/γ2
8.33Single8DWHPubChem 1390305318DWH-MRGPRX1-PubChem 139030531-chim(NtGi2L-Gs-CtGq)/β1/γ2
8.33Single8HMPC178HMP-GPR52-C17-Gs/β1/γ2
8.33Single8U4SREGN7663-Fab8U4S-CXCR4-REGN7663-Fab
8.33Single8U4TREGN7663-Fab8U4T-CXCR4-REGN7663-Fab
8.33Single8U8FPalmitic Acid8U8F-GPR3-Palmitic Acid-Gs/β1/γ2
8.33Single8YNFCXCL88YNF-ACKR1-CXCL8
8.33Single9AVLCa; Ca; Cyclomethyltryptophan; R-568; PO49AVL-CaS; CaS-Ca-Ca; Ca; Cyclomethyltryptophan; R-568; PO4-Gi3/β2/γ2
8.33Single9BLBCagrilintide (non-acylated)9BLB-CT-Cagrilintide (non-acylated)-Gs/β1/γ2
8.33Single9PEEPF-07054894; OXM29PEE-CCR6-PF-07054894; OXM2
8.33Consensusccr6_onOrthosteric Ligand6WWZ-CCR6-CCL20-Go/β1/γ2
8.33Consensusccr6_on_gpOrthosteric Ligand6WWZ-CCR6-CCL20-Go/β1/γ2
8.33Consensusvpac_on_gpOrthosteric Ligandvpac1_on_gp vpac2_on_gp
8.11Single5NX2GLP-1 (Truncated)5NX2-GLP-1-GLP-1 (Truncated)
8.11Single7DTYGIP7DTY-GIP-GIP-Gs/β1/γ2
8.11Single7FIYTirzepatide7FIY-GIP-Tirzepatide-Gs/β1/γ2
8.11Single7TYNCalcitonin-17TYN-CT-Calcitonin-1-Gs/β1/γ2
8.11Single7VQXPACAP277VQX-VPAC1-PACAP27-Gs/β1/γ2
8.11Single7VVKPTH7VVK-PTH1-PTH-Gs/β1/γ2
8.11Single8FU6ZP37808FU6-Glucagon-ZP3780-Gs/β1/γ2
8.00Single7M3GCa; Ca; Tryptophan; Evocalcet; Etelcalcetide; PO47M3G-CaS; CaS-Ca; Ca; Tryptophan; Evocalcet; Etelcalcetide; PO4
8.00Single8HJ5PubChem 1390305318HJ5-MRGPRX1-PubChem 139030531-chim(NtGi1-Gs-CtGq)/β1/γ2
8.00Single8WPGTryptophan; Cinacalcet; PO4; Ca8WPG-CaS; CaS-Tryptophan; Cinacalcet; PO4; Ca
8.00Consensuscb1_offOrthosteric Ligand5U09-CB1-Taranabant 5TGZ-CB1-AM6538
7.89Single6LMKGlucagon6LMK-Glucagon-Glucagon-Gs/β1/γ2
7.89Single6LMLGlucagon6LML-Glucagon-Glucagon-Gi1/β1/γ1
7.89Single6PB1Urocortin6PB1-CRF2-Urocortin-chim(NtGi1-Gs)/β1/γ2
7.89Single7TYLAmylin7TYL-CT-Amylin-Gs/β1/γ2
7.89Single7VVLPTH7VVL-PTH1-PTH-Gs/β1/γ2
7.89Single9BQ3Cagrilintide9BQ3-CT (AMY2)-Cagrilintide-Gs/β1/γ2; RAMP2
7.69Single6IIVDaltroban6IIV-TXA2-Daltroban
7.69Single6PB0Urocortin6PB0-CRF1-Urocortin-chim(NtGi1-Gs)/β1/γ2
7.69Single7RBTTirzepatide7RBT-GIP-Tirzepatide-LSN3556672-chim(NtGi1-Gs)/β1/γ2
7.69Single8EJKTAK-8758EJK-FFA1-TAK-875-chim(NtGi1L-Gs-CtGq)/β1/γ2
7.69Single9IMATalquetamab9IMA-GPRC5D; GPRC5D-Talquetamab
7.69Single9IVGGLP-1 (Truncated)9IVG-GLP-1-GLP-1 (Truncated)-chim(NtGi1-Gs)/β1/γ2
7.69Single9JQZGrapiprant 9JQZ-EP4-Grapiprant
7.50Single8F2APramlintide Analogue San3858F2A-CT (AMY3)-Pramlintide Analogue San385-Gs/β1/γ2; RAMP3
7.41Single7M3GCa; Ca; Tryptophan; Evocalcet; Etelcalcetide; PO47M3G-CaS; CaS-Ca; Ca; Tryptophan; Evocalcet; Etelcalcetide; PO4
7.41Single8EJCTAK-8758EJC-FFA1-TAK-875-chim(NtGi1L-Gs-CtGq)/β1/γ2
7.41Single8T6JCDPPB8T6J-mGlu5; mGlu5-CDPPB
7.41Single8T6JCDPPB8T6J-mGlu5; mGlu5-CDPPB
7.41Single8X0CVU04244658X0C-mGlu5; mGlu5-Quisqualate-VU0424465
7.32Single7V35Peptide-207V35-Glucagon-Peptide-20-Gs/β1/γ2
7.32Single8JIPMEDI03828JIP-GLP-1-MEDI0382-chim(NtGi1-Gs)/β1/γ2
7.14Single5TZRMK86665TZR-FFA1-MK8666
7.14Single7TYOCalcitonin7TYO-CT-Calcitonin-Gs/β1/γ2
7.14Single8JGFBAM8-228JGF-MRGPRX1-BAM8-22-chim(NtGi1-Gs-CtGq)/β1/γ2
7.14Single9ITELPA9ITE-LPA6-LPA-chim(NtGi2-G13)/β1/γ2
6.90Single6IIURamatroban6IIU-TXA2-Ramatroban
6.90Single7T6BS1P7T6B-S1P2-S1P-chim(NtGi1L-G13)/β1/γ2
6.90Single8XQNCholesterol8XQN-TAS2R14-Cholesterol-Aristolochic acid A-Gi1/β1/γ1
6.90Single8XQSCholesterol8XQS-TAS2R14-Cholesterol-Flufenamic acid-Gi1/β1/γ1
6.45Single8XQLCholesterol8XQL-TAS2R14-Cholesterol-Aristolochic acid A-Gt3/β1/γ1
6.45Single8XQOCholesterol8XQO-TAS2R14-Cholesterol-Aristolochic acid A-Gi1/β1/γ1
6.25Single8DWGBAM8-228DWG-MRGPRX1-BAM8-22-ML382-chim(NtGi2L-Gs-CtGq)/β1/γ2
6.25Single8JIQPeptide-158JIQ-Glucagon-Peptide-15-Gs/β1/γ2
6.25Single8YWFRetatrutide8YWF-GLP-1-Retatrutide-chim(NtGi1-Gs)/β1/γ2
5.71Single7TYIAmylin7TYI-CT-Amylin-Gs/β1/γ2
5.56Single7TYHCalcitonin7TYH-CT (AMY2)-Calcitonin-Gs/β1/γ2; RAMP2
5.56Single7TYWCalcitonin-17TYW-CT (AMY1)-Calcitonin-1-Gs/β1/γ2; RAMP1
5.41Single8FLRPTHrP(1-36)8FLR-PTH1-PTHrP(1-36)-Gs/β1/γ2
5.41Single9BUBCagrilintide9BUB-CT-Cagrilintide-Gs/β1/γ2
5.26Single6P9XCorticoliberin-16P9X-CRF1-Corticoliberin-1-Gs/β1/γ2
5.26Single6UVAAdrenomedullin-26UVA-CT Like (AM2)-Adrenomedullin-2-Gs/β1/γ2; RAMP3
5.26Consensuscrf_onOrthosteric Ligandcrf2_on crf1_on
5.13Single6UUSAdrenomedullin6UUS-CT Like (AM2)-Adrenomedullin-Gs/β1/γ2; RAMP3
5.13Single9BTWCagrilintide9BTW-CT (AMY3)-Cagrilintide-Gs/β1/γ2; RAMP3
5.00Single8JGBConorfamide-Tx28JGB-MRGPRX1-Conorfamide-Tx2-Gi1/β1/γ2
4.76Single8X9S5alpha-DHT8X9S-ADGRD1-5α-DHT-chim(NtGi1-Gs)/β1/γ2
4.65Single8JITMEDI03828JIT-Glucagon-MEDI0382-Gs/β1/γ2
4.65Single8JIUSAR4258998JIU-Glucagon-SAR425899-Gs/β1/γ2
4.55Single7Y14Beta-Alanine7Y14-MRGPRD-β-Alanine
4.55Single8U4QREGN7663-Fab8U4Q-CXCR4-REGN7663-Fab-Gi1/β1/γ2
4.55Single9IVMLSN33188399IVM-GLP-1-GLP-1 (Truncated)-LSN3318839-chim(NtGi1-Gs)/β2/γ2
4.35Single6D32Cyclopamine6D32-SMO-Cyclopamine-Cyclopamine
4.35Single7Y12Beta-Alanine7Y12-MRGPRD-β-Alanine-Gi1/β1/γ2
4.35Single8F76Propanoic acid8F76-OR51E2-Propanoic acid-Gs/β1/γ2
4.35Single8JRVGlucagon8JRV-Glucagon-Glucagon-Arrestin2
4.17Single6LI0C176LI0-GPR52-C17
4.17Single7XKFDehydroepiandrosterone7XKF-ADGRG2-Dehydroepiandrosterone-Gs/β1/γ2
4.17Single8YKDDehydroepiandrosterone8YKD-ADGRG2-Dehydroepiandrosterone-chim(NtGi1-Gs)/β1/γ2
4.17Single9MBCAZ122160529MBC-mGlu8; mGlu8-DCPG-AZ12216052
4.00Single5U09Taranabant5U09-CB1-Taranabant
4.00Single7VVOPTH7VVO-PTH1-PTH-Gs/β1/γ2
3.85Single8X7ATreprostinil8X7A-I2-Treprostinil-Gs/β1/γ2
3.85Single9DQJEP-39459DQJ-MRGPRD-EP-3945-chim(NtGi1-Gs-CtGq)/β1/γ2
3.85Single9JQYTG6-1299JQY-EP4-TG6-129
3.70Single9JROPF-044189489JRO-EP2-PF-04418948
3.57Single4PHUFasiglifam4PHU-FFA1-Fasiglifam
3.57Single8JGGBAM8-228JGG-MRGPRX1-BAM8-22-Gi1/β1/γ2
3.57Single8XQPCholesterol8XQP-TAS2R14-Cholesterol-Aristolochic acid A-Gt3/β1/γ1
3.57Single9DQHEP-28259DQH-MRGPRD-EP-2825-chim(NtGi1-Gs-CtGq)/β1/γ2
3.57Single9JRTTG6-1299JRT-EP2-TG6-129
3.45Single8XQTCholesterol8XQT-TAS2R14-Cholesterol-Gi1/β1/γ1
3.33Single8DWCBAM8-228DWC-MRGPRX1-BAM8-22-chim(NtGi2L-Gs-CtGq)/β1/γ2
3.23Single6M1HMaxadilan6M1H-PAC1-Maxadilan-Gs/β1/γ2
3.03Single7RTBPeptide-197RTB-GLP-1-Peptide-19-Gs/β1/γ2
3.03Single9BUECagrilintide9BUE-CT-Cagrilintide-Gs/β1/γ2

PDB Summary
PDB 8ZBJ
Class A
SubFamily Peptide
Type Somatostatin
SubType SST5
Species Homo Sapiens
Ligand Somatostatin-14
Other Ligand(s) -
Protein Partners Gi1/Beta1/Gamma2
PDB Resolution 2.94
Date 2025-04-30
D.O.I. To be published
Net Summary
Imin 1.84
Number of Linked Nodes 770
Number of Links 978
Number of Hubs 177
Number of Links mediated by Hubs 643
Number of Communities 23
Number of Nodes involved in Communities 254
Number of Links involved in Communities 378
Path Summary
Number Of Nodes in MetaPath 89
Number Of Links MetaPath 88
Number of Shortest Paths 9274959
Length Of Smallest Path 3
Average Path Length 39.3976
Length of Longest Path 58
Minimum Path Strength 1.27
Average Path Strength 5.16697
Maximum Path Strength 23.46
Minimum Path Correlation 0.7
Average Path Correlation 0.995473
Maximum Path Correlation 1
Minimum % Of Corr. Nodes 2.94118
Average % Of Corr. Nodes 30.8519
Maximum % Of Corr. Nodes 100
Minimum Path Hubs % 0
Average Path Hubs % 61.8255
Maximum Path Hubs % 100
AnnotationTypeLinks
Gene OntologyMolecular Function
Gene OntologyBiological Process• response to acid chemical   • response to stimulus   • response to chemical   • response to amino acid   • response to xenobiotic stimulus   • regulation of postsynaptic membrane neurotransmitter receptor levels   • biological regulation   • regulation of biological quality   • somatostatin signaling pathway   • cellular response to stimulus   • regulation of biological process   • regulation of cellular process   • signaling   • response to endogenous stimulus   • hormone-mediated signaling pathway   • cell communication   • cellular response to endogenous stimulus   • cellular response to chemical stimulus   • response to hormone   • somatostatin receptor signaling pathway   • G protein-coupled receptor signaling pathway   • cellular process   • signal transduction   • cellular response to hormone stimulus   • cell-cell signaling   • regulation of cell motility   • regulation of locomotion   • regulation of cell migration   • cell migration   • cell motility   • locomotion   • response to osmotic stress   • hyperosmotic response   • response to stress   • response to abiotic stimulus   • cell surface receptor signaling pathway   • negative regulation of cell population proliferation   • cell population proliferation   • regulation of cell population proliferation   • negative regulation of cellular process   • negative regulation of biological process   • response to lipid   • response to steroid hormone   • trans-synaptic signaling   • synaptic signaling   • anterograde trans-synaptic signaling   • chemical synaptic transmission   • cell death   • apoptotic signaling pathway   • hormone-mediated apoptotic signaling pathway   • apoptotic process   • programmed cell death   • response to nutrient levels   • response to nutrient   • response to pH   • response to acidic pH   • multicellular organismal process   • digestion   • membrane-bounded organelle   • intracellular anatomical structure   • dense core granule   • intracellular vesicle   • intracellular membrane-bounded organelle   • endomembrane system   • intracellular organelle   • cellular anatomical structure   • cytoplasmic vesicle   • organelle   • secretory granule   • secretory vesicle   • cytoplasm   • vesicle
Gene OntologyCellular Component• membrane-bounded organelle   • intracellular anatomical structure   • dense core granule   • intracellular vesicle   • intracellular membrane-bounded organelle   • endomembrane system   • intracellular organelle   • cellular anatomical structure   • cytoplasmic vesicle   • organelle   • secretory granule   • secretory vesicle   • cytoplasm   • vesicle   • neuronal dense core vesicle   • cytosol   • GABA-ergic synapse   • synapse   • cell junction   • extracellular region   • somatodendritic compartment   • cell body   • neuronal cell body   • extracellular space   • protein binding   • binding   • enzyme binding   • GTPase binding   • protein-containing complex binding   • pyrophosphatase activity   • GTPase activity   • ribonucleoside triphosphate phosphatase activity   • hydrolase activity, acting on acid anhydrides, in phosphorus-containing anhydrides   • hydrolase activity   • hydrolase activity, acting on acid anhydrides   • catalytic activity   • signaling receptor complex adaptor activity   • protein-macromolecule adaptor activity   • molecular adaptor activity   • signaling adaptor activity   • multicellular organismal process   • system process   • sensory perception of chemical stimulus   • sensory perception   • nervous system process   • sensory perception of taste   • developmental process   • sensory organ development   • eye development   • animal organ development   • retina development in camera-type eye   • visual system development   • multicellular organism development   • camera-type eye development   • anatomical structure development   • sensory system development   • system development   • cell population proliferation   • cellular process   • cellular response to stimulus   • regulation of biological process   • regulation of cellular process   • response to stimulus   • signaling   • biological regulation   • signal transduction   • cell communication   • response to ketone   • response to prostaglandin   • response to lipid   • response to endogenous stimulus   • response to alcohol   • cellular response to prostaglandin stimulus   • response to oxygen-containing compound   • cellular response to oxygen-containing compound   • cellular response to endogenous stimulus   • cellular response to prostaglandin E stimulus   • cellular response to chemical stimulus   • cellular response to alcohol   • response to hormone   • response to chemical   • cellular response to lipid   • response to prostaglandin E   • cellular response to ketone   • cellular response to hormone stimulus   • small GTPase-mediated signal transduction   • Ras protein signal transduction   • intracellular signal transduction   • intracellular signaling cassette   • phospholipase C-activating G protein-coupled receptor signaling pathway   • G protein-coupled receptor signaling pathway   • cellular response to nitrogen compound   • response to dopamine   • cellular response to dopamine   • response to monoamine   • response to catecholamine   • adenylate cyclase-activating dopamine receptor signaling pathway   • cellular response to catecholamine stimulus   • G protein-coupled dopamine receptor signaling pathway   • response to nitrogen compound   • adenylate cyclase-activating G protein-coupled receptor signaling pathway   • cellular response to monoamine stimulus   • adenylate cyclase-modulating G protein-coupled receptor signaling pathway   • synaptic signaling   • cellular response to acetylcholine   • cell-cell signaling   • acetylcholine receptor signaling pathway   • postsynaptic signal transduction   • G protein-coupled acetylcholine receptor signaling pathway   • response to acetylcholine   • membrane   • protein-containing complex   • extrinsic component of plasma membrane   • catalytic complex   • plasma membrane protein complex   • cytoplasmic side of membrane   • plasma membrane   • membrane protein complex   • heterotrimeric G-protein complex   • side of membrane   • cell periphery   • cytoplasmic side of plasma membrane   • GTPase complex   • extrinsic component of membrane   • extrinsic component of cytoplasmic side of plasma membrane   • extracellular exosome   • extracellular vesicle   • extracellular organelle   • extracellular membrane-bounded organelle   • non-motile cilium   • 9+0 non-motile cilium   • cilium   • neuron projection   • photoreceptor disc membrane   • photoreceptor outer segment   • plasma membrane bounded cell projection   • cell projection   • photoreceptor cell cilium   • organelle membrane   • vacuolar membrane   • lytic vacuole   • vacuole   • lytic vacuole membrane   • bounding membrane of organelle   • lysosomal membrane   • lysosome   • peptide receptor activity   • molecular transducer activity   • G protein-coupled receptor activity   • G protein-coupled peptide receptor activity   • signaling receptor activity   • transmembrane signaling receptor activity   • somatostatin receptor activity   • neuropeptide receptor activity   • neuropeptide binding   • peptide binding   • neuropeptide signaling pathway   • regulation of cytokinesis   • positive regulation of cell division   • regulation of cell cycle process   • positive regulation of biological process   • cytokinesis   • positive regulation of cell cycle   • regulation of cell division   • positive regulation of cytokinesis   • positive regulation of cell cycle process   • cell division   • cell cycle   • regulation of cell cycle   • positive regulation of cellular process   • cell cycle process   • regulation of localization   • establishment of protein localization   • nitrogen compound transport   • regulation of hormone secretion   • regulation of protein localization   • regulation of peptide secretion   • transport   • hormone secretion   • protein localization to extracellular region   • localization   • peptide secretion   • regulation of secretion by cell   • secretion by cell   • signal release   • intracellular protein localization   • regulation of biological quality   • regulation of peptide hormone secretion   • regulation of signaling   • regulation of transport   • secretion   • regulation of hormone levels   • regulation of peptide transport   • regulation of establishment of protein localization   • establishment of protein localization to extracellular region   • export from cell   • regulation of protein transport   • protein secretion   • establishment of localization   • regulation of protein secretion   • regulation of secretion   • peptide transport   • protein transport   • regulation of insulin secretion   • peptide hormone secretion   • macromolecule localization   • hormone transport   • regulation of cell communication   • insulin secretion   • negative regulation of cell population proliferation   • regulation of cell population proliferation   • negative regulation of cellular process   • negative regulation of biological process   • response to glucocorticoid   • cellular response to glucocorticoid stimulus   • cellular response to corticosteroid stimulus   • response to corticosteroid   • response to steroid hormone   • cellular response to steroid hormone stimulus   • chemical homeostasis   • homeostatic process   • glucose homeostasis   • carbohydrate homeostasis   • G protein-coupled receptor signaling pathway, coupled to cyclic nucleotide second messenger   • D2 dopamine receptor binding   • signaling receptor binding   • G protein-coupled receptor binding   • dopamine receptor binding   • enzyme regulator activity   • adenylate cyclase inhibitor activity   • cyclase regulator activity   • molecular function inhibitor activity   • cyclase inhibitor activity   • molecular function regulator activity   • enzyme inhibitor activity   • adenylate cyclase regulator activity   • guanyl nucleotide binding   • GTP binding   • nucleotide binding   • guanyl ribonucleotide binding   • purine ribonucleotide binding   • purine ribonucleoside triphosphate binding   • nucleoside phosphate binding   • ion binding   • purine nucleotide binding   • anion binding   • heterocyclic compound binding   • carbohydrate derivative binding   • ribonucleotide binding   • small molecule binding   • cation binding   • magnesium ion binding   • metal ion binding   • GDP binding   • G protein-coupled serotonin receptor binding   • G-protein beta/gamma-subunit complex binding   • G protein activity   • adenylate cyclase-inhibiting serotonin receptor signaling pathway   • G protein-coupled serotonin receptor signaling pathway   • adenylate cyclase-inhibiting G protein-coupled receptor signaling pathway   • response to peptide hormone   • leukocyte migration   • immune system process   • mononuclear cell migration   • lymphocyte migration   • cell migration   • T cell migration   • cell motility   • regulation of steroid biosynthetic process   • regulation of cholesterol biosynthetic process   • regulation of cholesterol metabolic process   • steroid metabolic process   • regulation of lipid metabolic process   • sterol metabolic process   • cholesterol metabolic process   • lipid biosynthetic process   • alcohol metabolic process   • regulation of primary metabolic process   • positive regulation of metabolic process   • regulation of small molecule metabolic process   • positive regulation of biosynthetic process   • positive regulation of lipid metabolic process   • small molecule metabolic process   • steroid biosynthetic process   • regulation of biosynthetic process   • secondary alcohol biosynthetic process   • regulation of alcohol biosynthetic process   • small molecule biosynthetic process   • regulation of steroid metabolic process   • cholesterol biosynthetic process   • positive regulation of cholesterol biosynthetic process   • primary metabolic process   • secondary alcohol metabolic process   • positive regulation of steroid biosynthetic process   • biosynthetic process   • sterol biosynthetic process   • positive regulation of lipid biosynthetic process   • regulation of sterol biosynthetic process   • alcohol biosynthetic process   • positive regulation of cholesterol metabolic process   • positive regulation of steroid metabolic process   • metabolic process   • regulation of lipid biosynthetic process   • positive regulation of small molecule metabolic process   • regulation of metabolic process   • positive regulation of alcohol biosynthetic process   • positive regulation of sterol biosynthetic process   • lipid metabolic process   • cell surface receptor signaling pathway   • response to cytokine   • response to chemokine   • cytokine-mediated signaling pathway   • cellular response to chemokine   • chemokine-mediated signaling pathway   • response to peptide   • cellular response to cytokine stimulus   • relaxation of smooth muscle   • regulation of system process   • regulation of muscle system process   • muscle system process   • relaxation of muscle   • positive regulation of relaxation of smooth muscle   • positive regulation of relaxation of muscle   • positive regulation of multicellular organismal process   • regulation of multicellular organismal process   • regulation of relaxation of smooth muscle   • regulation of relaxation of muscle   • negative regulation of protein transport   • negative regulation of transport   • negative regulation of secretion   • negative regulation of hormone secretion   • negative regulation of secretion by cell   • negative regulation of peptide hormone secretion   • negative regulation of establishment of protein localization   • negative regulation of protein secretion   • negative regulation of signaling   • negative regulation of cell communication   • negative regulation of peptide secretion   • negative regulation of protein localization   • negative regulation of insulin secretion   • regulation of cytoskeleton organization   • regulation of cellular component organization   • microtubule cytoskeleton organization   • regulation of mitotic spindle organization   • mitotic cell cycle   • cellular component organization   • cellular component organization or biogenesis   • microtubule cytoskeleton organization involved in mitosis   • spindle organization   • regulation of microtubule-based process   • regulation of spindle organization   • regulation of organelle organization   • mitotic spindle organization   • organelle organization   • mitotic cell cycle process   • microtubule-based process   • cytoskeleton organization   • regulation of microtubule cytoskeleton organization   • positive regulation of protein localization to cell periphery   • protein localization to cell periphery   • positive regulation of protein localization to cell cortex   • regulation of protein localization to cell periphery   • regulation of protein localization to cell cortex   • positive regulation of protein localization   • protein localization to cell cortex   • cellular response to forskolin   • response to forskolin   • midbody   • nucleus   • membrane-enclosed lumen   • intracellular membraneless organelle   • nucleolus   • intracellular organelle lumen   • organelle lumen   • membraneless organelle   • nuclear lumen   • cell cortex   • centrosome   • microtubule organizing center   • cytoskeleton   • microtubule cytoskeleton   • centriolar satellite   • sperm principal piece   • 9+2 motile cilium   • sperm flagellum   • motile cilium   • nucleoplasm   • Golgi apparatus   • ciliary basal body   • G-protein beta-subunit binding   • fibroblast proliferation
SCOP2Domain Identifier• Transducin (heterotrimeric G protein), gamma chain
SCOP2Family Identifier• Transducin (heterotrimeric G protein), gamma chain
Membrane Protein Annotations-• Orientations of Proteins in Membranes database (OPM)   • Protein Data Bank of Transmembrane Proteins (PDBTM)   • MemProtMD


Details about the values in these tables can be found in the corresponding documentation page .
PDBsumOpen PDBsum Page
ChainA
ProteinG Protein α Sub unit
UniProtP63096
Sequence
>8ZBJ_Chain_A
TLSAEDKAA VERSKMIDR NLREDGEKA AREVKLLLL GIVKQMKTG 
IVETHFTFK DLHFKMFDV GGQRSERKK WIHCFEGVT AIIFCVARM 
HESMKLFDS ICNNKWFTD TSIILFLNA AAYIQCQFE DLNKRKDTK 
EIYTHFTTK NVQFVFDAV TDVIIKNNL KDCGL


Click on each residue to open a popup with some information about it.

ConSurf Conservation Grade (See documentation): 

 n/a   1    2    3    4    5    6    7    8    9  

ChainB
ProteinG Protein β Sub unit
UniProtP62873
Sequence
>8ZBJ_Chain_B
DQLRQEAEQ LKNQIRDAR KACADATLS QITNNIDPV GRIQMRTRR 
TLRGHLAKI YAMHWGTDS RLLVSASQD GKLIIWDSY TTNKVHAIP 
LRSSWVMTC AYAPSGNYV ACGGLDNIC SIYNLKTRE GNVRVSREL 
AGHTGYLSC CRFLDDNQI VTSSGDTTC ALWDIETGQ QTTTFTGHT 
GDVMSLSLA PDTRLFVSG ACDASAKLW DVREGMCRQ TFTGHESDI 
NAICFFPNG NAFATGSDD ATCRLFDLR ADQELMTYS HDNIICGIT 
SVSFSKSGR LLLAGYDDF NCNVWDALK ADRAGVLAG HDNRVSCLG 
VTDDGMAVA TGSWDSFLK IWN


Click on each residue to open a popup with some information about it.

ConSurf Conservation Grade (See documentation): 

 n/a   1    2    3    4    5    6    7    8    9  

ChainG
ProteinG Protein γ Sub unit
UniProtP59768
Sequence
>8ZBJ_Chain_G
AQARKLVEQ LKMEANIDR IKVSKAAAD LMAYCEAHA KEDPLLTPV 
PASENPFRE


Click on each residue to open a popup with some information about it.

ConSurf Conservation Grade (See documentation): 

 n/a   1    2    3    4    5    6    7    8    9  

ChainL
ProteinSomatostatin-14
UniProtP61278
Sequence
>8ZBJ_Chain_L


Click on each residue to open a popup with some information about it.

ConSurf Conservation Grade (See documentation): 

 n/a   1    2    3    4    5    6    7    8    9  

ChainR
ProteinReceptor
UniProtP35346
Sequence
>8ZBJ_Chain_R
AVLVPVLYL LVCAAGLGG NTLVIYVVL RFATVTNIY ILNLAVADV 
LYMLGLPFL ATQNAASFW PFGPVLCRL VMTLDGVNQ FTSVFCLTV 
MSVDRYLAV VHPLSSARW RRPRVAKLA SAAAWVLSL CMSLPLLVF 
ADVQEGGTC NASWPEPVG LWGAVFIIY TAVLGFFAP LLVICLCYL 
LIVVKVRRR SERKVTRMV LVVVLVFAG CWLPFFTVN IVNLAVALP 
QEPASAGLY FFVVILSYA NSCANPVLY GFLSDNFRQ SFQ


Click on each residue to open a popup with some information about it.

ConSurf Conservation Grade (See documentation): 

 n/a   1    2    3    4    5    6    7    8    9  




This receptor, from the same or other species and bound to the same or other ligands, is also present in the following networks:
Show PDB Class SubFamily Type SubType Species Orthosteric Ligand Other Ligand(s) Protein Partners Resolution Date DOI
8X8LAPeptideSomatostatinSST5Homo sapiensCortistatin-14-chim(NtGi1-Gs-CtGi1)/β1/γ22.72024-06-12doi.org/10.1073/pnas.2321710121
8X8L (No Gprot) APeptideSomatostatinSST5Homo sapiensCortistatin-14-2.72024-06-12doi.org/10.1073/pnas.2321710121
8X8NAPeptideSomatostatinSST5Homo sapiensOctreotide-chim(NtGi1-Gs-CtGi1)/β1/γ22.92024-06-12doi.org/10.1073/pnas.2321710121
8X8N (No Gprot) APeptideSomatostatinSST5Homo sapiensOctreotide-2.92024-06-12doi.org/10.1073/pnas.2321710121
8ZBEAPeptideSomatostatinSST5Homo sapiensOctreotide-Gi1/β1/γ13.242024-07-10doi.org/10.1038/s41401-024-01314-8
8ZBE (No Gprot) APeptideSomatostatinSST5Homo sapiensOctreotide-3.242024-07-10doi.org/10.1038/s41401-024-01314-8
8ZCJAPeptideSomatostatinSST5Homo sapiensPasireotide-Gi1/β1/γ13.092024-07-10doi.org/10.1038/s41401-024-01314-8
8ZCJ (No Gprot) APeptideSomatostatinSST5Homo sapiensPasireotide-3.092024-07-10doi.org/10.1038/s41401-024-01314-8
8ZBJAPeptideSomatostatinSST5Homo sapiensSomatostatin-14-Gi1/β1/γ22.942025-04-30To be published
8ZBJ (No Gprot) APeptideSomatostatinSST5Homo sapiensSomatostatin-14-2.942025-04-30To be published
9W32APeptideSomatostatinSST5Homo sapiensSSTR5 antagonist 1--2.592026-01-2110.1073/pnas.2522515122
9W33APeptideSomatostatinSST5Homo sapiensS5A1--2.692026-01-2110.1073/pnas.2522515122




You can download a compressed (zip) file with structure(s), 3D outputs (as PyMol and VMD scripts) and numerical data files (as csv and plain text files).

Download 8ZBJ.zip



You can click to copy the link of this page to easily come back here later

or use this QR code to link and share this page.



You can also  read or  download a guide explaining the meaning of all files and numerical data.