Color ConSurf Grade
      No Conservation data available
      1
      2
      3
      4
      5
      6
      7
      8
      9

Index: hub id, click on each number to highlight the corresponding hub in the 3D visualization.

Hub: the hub being considered.

Avg Int. Strength: the average interaction strength of all the links of the corresponding hub.

Num Of Links: the number of links of the corresponding hub.

Community: the id of the community the link belong to, otherwise 0.

ConSurf: this column reports the ConSurf conservation grades of each hub.

Index Hub Avg Int. Strength Num Of Links Community ConSurf
1A:A:L52 6.1175469
2A:A:F64 6.585687
3A:A:G205 2.9354198
4A:A:Y209 6.2265187
5A:A:F211 6.4754108
6A:A:I213 6.154105
7A:A:P217 4.845404
8A:A:F218 6.977107
9A:A:Q226 5.064199
10A:A:K231 6.9825207
11A:A:W233 10.24754209
12A:A:F234 7.9275409
13A:A:F237 6.3025409
14A:A:I243 6.975468
15A:A:F245 7.9325469
16A:A:D248 6.87408
17A:A:F252 8.285479
18A:A:R264 8.864179
19A:A:F272 7.82569
20A:A:F281 8.1475469
21A:A:I287 5.6675489
22A:A:L288 5.3525469
23A:A:F289 5.538589
24A:A:L290 6.374509
25A:A:V303 7.195477
26A:A:I305 7.846576
27A:A:F312 8.84475
28A:A:P316 6.02472
29A:A:F325 9.7375476
30A:A:F330 9.18468
31A:A:P341 6.878515
32A:A:Y343 11.36519
33A:A:F346 10.8775405
34A:A:T347 8.1675489
35A:A:N351 14.7175489
36A:A:N354 9.23589
37A:A:L357 5.87404
38A:A:F359 5.744109
39A:A:H368 7.618516
40A:A:L374 4.844515
41B:B:M45 4.79494
42B:B:R49 16.8825437
43B:B:H54 9.1725409
44B:B:L55 5.57406
45B:B:Y59 7.82408
46B:B:W63 8.606537
47B:B:L69 4.085405
48B:B:D76 5.9975409
49B:B:W82 8.82571739
50B:B:Y85 9.415404
51B:B:K89 7.35333639
52B:B:I93 5.73254117
53B:B:L95 4.47408
54B:B:W99 7.4425409
55B:B:Y105 5.156506
56B:B:N110 7.06254154
57B:B:Y111 7.944154
58B:B:L117 4.4275409
59B:B:Y124 5.186116
60B:B:H142 9.7485129
61B:B:Y145 5.4654228
62B:B:F151 3.81143709
63B:B:L152 4.605403
64B:B:D163 8.23254129
65B:B:L168 4.582556
66B:B:W169 7.803336128
67B:B:D170 11.05754239
68B:B:T173 6.29754235
69B:B:F180 9.882557
70B:B:H183 9.81659
71B:B:V187 5.1275459
72B:B:L190 6.195405
73B:B:D205 5.96459
74B:B:K209 12.778556
75B:B:W211 12.5667658
76B:B:D212 9.864249
77B:B:F222 11.4025448
78B:B:H225 7.26571749
79B:B:I229 4.9675447
80B:B:I232 4.456508
81B:B:F234 5.184505
82B:B:F235 7.173336136
83B:B:N237 10.8854135
84B:B:F241 6.8375446
85B:B:D247 5.845449
86B:B:R251 11.052548
87B:B:F253 7.65667646
88B:B:Y264 7.458505
89B:B:I269 3.97254144
90B:B:F278 5.364137
91B:B:S281 4.68754269
92B:B:Y289 8.786676147
93B:B:W297 6.6354148
94B:B:H311 8.114599
95B:B:L318 5.4325406
96B:B:T329 7.9575498
97B:B:W332 14.0125409
98B:B:D333 7.668599
99B:B:W339 9.24699
100B:B:N340 6.28439
101G:G:F61 5.556538
102L:L:?1 10.2875820
103R:R:Q23 5.5225425
104R:R:H27 6.51667627
105R:R:F45 7.4175417
106R:R:T47 3.0454283
107R:R:Y56 13.425404
108R:R:Y62 8.09714718
109R:R:M63 6.9775418
110R:R:N65 9.41254299
111R:R:F69 8.86254298
112R:R:D70 6.055409
113R:R:V74 4.0725425
114R:R:L77 6.19428
115R:R:K80 9.52167627
116R:R:Y101 7.02667625
117R:R:Y106 9.714308
118R:R:I112 6.875418
119R:R:F114 7.29415
120R:R:R119 4.3975419
121R:R:F120 4.4785328
122R:R:R133 5.822517
123R:R:W146 8.77754299
124R:R:Y166 4.1425405
125R:R:F169 11.77424
126R:R:W177 10.4975423
127R:R:F182 9.934505
128R:R:F190 7.12409
129R:R:P193 3.39409
130R:R:M194 6.7625405
131R:R:M197 5.67254317
132R:R:C201 4.87754318
133R:R:R211 8.88615
134R:R:T215 5.24413
135R:R:Q216 4.53405
136R:R:D217 8.654515
137R:R:Q220 5.362515
138R:R:Q221 6.49286716
139R:R:F235 7.535409
140R:R:V242 6.14407
141R:R:H243 7.4425308
142R:R:Q249 6.064525
143R:R:R253 11.275424
144R:R:Q271 8.74425
145R:R:M274 6.3825426
146R:R:D284 7.8375419
147R:R:Y288 5.63429719
148R:R:Y289 6.31714717
   

Color ConSurf Grade
      No Conservation data available
      1
      2
      3
      4
      5
      6
      7
      8
      9

Index: link id, click on each number to highlight the corresponding link in the 3D visualization.

Node1 Node2: the two nodes of the corresponding link.

Recurrence: the relative Recurrence in the pool of shortest paths.

Int. Strength: the interaction strength between the two nodes.

Hub1?, Hub2?: "Yes" if the corresponding node has more than 3 links, otherwise "No".

Community: the id of the community the link belong to, otherwise 0.

ConSurf1, ConSurf2: these columns report the ConSurf conservation grades of the two nodes involved in a link.

Index Node1 Node2 Recurrence Int. Strength Hub1? Hub2? Community ConSurf1 ConSurf2
1B:B:D66 B:B:L69 85.68754.07NoYes085
2B:B:D66 B:B:R68 85.545.96NoNo085
3B:B:R68 B:B:Y85 85.392510.29NoYes054
4B:B:S84 B:B:Y85 32.62413.82NoYes054
5B:B:S84 B:B:W63 32.46654.94NoYes057
6B:B:L70 B:B:W63 24.993712.53NoYes357
7B:B:L70 B:B:W82 24.87325.69NoYes359
8B:B:Y85 G:G:F61 52.51278.25YesYes048
9B:B:I338 G:G:F61 50.34285.02NoYes358
10B:B:I338 B:B:R49 25.177115.03NoYes357
11B:B:R49 B:B:W82 24.86195YesYes379
12B:B:I338 B:B:L51 25.01374.28NoNo359
13B:B:L51 B:B:W82 24.85617.08NoYes399
14B:B:L69 B:B:Y105 92.98583.52YesYes056
15B:B:H62 B:B:Y105 93.56334.36NoYes066
16B:B:H62 B:B:R150 93.707615.8NoNo066
17B:B:A104 B:B:R150 92.81482.77NoNo076
18B:B:A104 B:B:F151 92.95532.77NoYes079
19B:B:F151 B:B:I123 47.22023.77YesNo096
20B:B:I123 B:B:I171 47.28048.83NoNo066
21B:B:I171 B:B:L139 47.64034.28NoNo069
22B:B:L139 B:B:W169 47.701710.25NoYes098
23B:B:H142 B:B:W169 95.39949.52YesYes1298
24B:B:D163 B:B:H142 95.55312.61YesYes1299
25B:B:D163 B:B:T143 99.91675.78YesNo095
26B:B:G144 B:B:T143 99.95843.64NoNo085
27B:B:G144 B:B:N119 1003.39NoNo089
28A:A:Q226 B:B:N119 99.89233.96YesNo1999
29B:B:F151 B:B:I157 47.22073.77YesNo097
30B:B:C149 B:B:I157 47.28084.91NoNo087
31B:B:C121 B:B:C149 47.40183.64NoNo088
32B:B:C121 B:B:W169 47.46333.92NoYes088
33A:A:I206 A:A:Q226 96.32125.49NoYes099
34A:A:F237 A:A:I206 96.40543.77YesNo099
35A:A:F237 A:A:L52 97.304210.96YesYes099
36A:A:L52 A:A:L54 48.77324.15YesNo699
37A:A:I243 A:A:L52 48.49645.71YesYes689
38A:A:F245 A:A:L54 48.45874.87YesNo699
39A:A:F245 A:A:I243 49.43866.28YesYes698
40A:A:F245 A:A:F272 98.013211.79YesYes699
41A:A:F272 A:A:I286 95.91675.02YesNo697
42A:A:I286 A:A:L342 95.99264.28NoNo076
43A:A:L342 A:A:R331 64.74269.72NoNo063
44A:A:R331 R:R:T215 33.63353.88NoYes033
45B:B:L336 B:B:W82 55.95953.42NoYes379
46B:B:G330 B:B:L336 55.47543.42NoNo057
47B:B:C317 B:B:G330 54.54653.92NoNo075
48B:B:C317 B:B:S316 54.05925.16NoNo079
49B:B:S316 B:B:W332 53.57214.94NoYes099
50A:A:R331 R:R:Q216 31.08448.18NoYes035
51R:R:Q216 R:R:Q220 61.86583.84YesYes055
52A:A:L342 A:A:R334 31.223710.93NoNo067
53A:A:R334 R:R:Q216 31.09164.67NoYes075
54R:R:D217 R:R:T215 33.04074.34YesYes153
55R:R:D217 R:R:Q221 31.607510.44YesYes156
56R:R:C224 R:R:Q221 94.2074.58NoYes176
57A:A:L376 R:R:C224 93.99336.35NoNo187
58R:R:Q220 R:R:Q221 60.68585.12YesYes156
59A:A:L376 R:R:R119 85.59336.07NoYes189
60R:R:R119 R:R:Y288 83.00654.12YesYes199
61R:R:Y288 R:R:Y289 12.32674.96YesYes197
62B:B:R314 B:B:W332 51.217519.99NoYes089
63B:B:D290 B:B:R314 50.235519.06NoNo2568
64B:B:C271 B:B:D290 49.7496.22NoNo056
65B:B:C271 B:B:D291 48.76969.34NoNo058
66B:B:D291 B:B:Y289 46.309311.49NoYes1487
67B:B:W297 B:B:Y289 39.92048.68YesYes1487
68B:B:W297 B:B:Y264 34.53354.82YesYes085
69B:B:L285 B:B:Y264 30.11815.86NoYes065
70B:B:F278 B:B:L285 29.13416.09YesNo076
71B:B:F235 B:B:F278 27.6565.36YesYes1367
72B:B:F235 B:B:N237 19.767214.5YesYes1365
73B:B:G238 B:B:N237 18.78783.39NoYes075
74B:B:G238 B:B:P194 18.29454.06NoNo074
75B:B:F234 B:B:P194 17.80114.33YesNo054
76B:B:F234 B:B:F241 11.87054.29YesYes056
77R:R:I112 R:R:Y288 36.69677.25YesYes189
78R:R:F235 R:R:I112 32.1467.54YesYes098
79R:R:F235 R:R:M194 24.4536.22YesYes095
80R:R:F190 R:R:M194 23.70849.95YesYes095
81R:R:F190 R:R:H243 21.973212.44YesYes098
82R:R:H243 R:R:V242 15.99265.54YesYes087
83R:R:M274 R:R:V242 14.99636.09YesYes067
84L:L:?1 R:R:M274 11.42459.21YesYes206
85R:R:D284 R:R:Y288 26.98036.9YesYes199
86R:R:D284 R:R:D70 24.54233.99YesYes099
87R:R:C281 R:R:D70 23.79444.67NoYes089
88R:R:C281 R:R:V74 23.04863.42NoYes085
89R:R:L77 R:R:V74 20.04414.47YesYes285
90R:R:H27 R:R:L77 19.55176.43YesYes278
91R:R:H27 R:R:K80 13.601811.79YesYes277
92L:L:?1 R:R:K80 11.341512.63YesYes207
93L:L:?1 R:R:M172 16.15914.6YesNo204
94R:R:M172 R:R:T176 15.67056.02NoNo042
95R:R:S173 R:R:T176 13.14693.2NoNo042
96R:R:G161 R:R:S173 12.1371.86NoNo044
97R:R:G161 R:R:H160 11.12681.59NoNo045
Download PSN data

2D representation of the global metapath, ligand(s) interactions and
histograms of path distribution according to several parameters
(click on the image to enlarge it 🔍):

A 2D representation of the global communication in the network.

ConSurf Conservation Grade (See documentation): 

 n/a   1    2    3    4    5    6    7    8    9  

Number of shortest communication paths as a function of the average residue correlation.

Number of shortest communication paths as a function of the average interaction strength of their links.

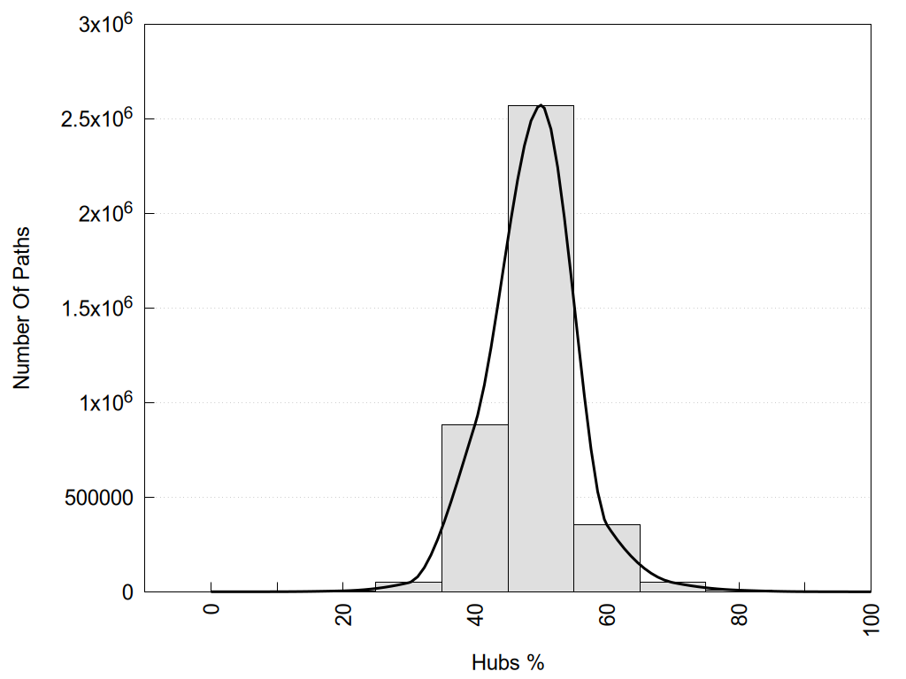
Number of shortest communication paths as a function of the % of hub nodes in each path.

Number of shortest communication paths as a function of the number of nodes in each path.

Number of shortest communication paths as a function of the % of correlated nodes in each path.


2D representation of the interactions of this orthosteric/allosteric ligand.


Links and nodes colored according to ConSurf Conservation Grade (See documentation): 

 n/a   1    2    3    4    5    6    7    8    9  

Node1 Node2 LinkStrength Comm IsNode1Hub? IsNode2Hub? Node1Cons Node2Cons Node1Shell Node2Shell
L:L:?1 R:R:K80 12.63 2 Yes Yes 0 7 0 1
L:L:?1 R:R:Y101 13.36 2 Yes Yes 0 5 0 1
L:L:?1 R:R:F169 13.88 2 Yes Yes 0 4 0 1
L:L:?1 R:R:M172 4.6 2 Yes No 0 4 0 1
L:L:?1 R:R:W177 10.2 2 Yes Yes 0 3 0 1
L:L:?1 R:R:Q249 4.33 2 Yes Yes 0 5 0 1
L:L:?1 R:R:Q271 14.09 2 Yes Yes 0 5 0 1
L:L:?1 R:R:M274 9.21 2 Yes Yes 0 6 0 1
R:R:M19 R:R:Q23 5.44 2 No Yes 5 5 2 2
R:R:M19 R:R:Q271 9.52 2 No Yes 5 5 2 1
R:R:H27 R:R:Q23 6.18 2 Yes Yes 7 5 2 2
R:R:K80 R:R:Q23 4.07 2 Yes Yes 7 5 1 2
R:R:Q23 R:R:Q271 6.4 2 Yes Yes 5 5 2 1
R:R:H27 R:R:K80 11.79 2 Yes Yes 7 7 2 1
R:R:L73 R:R:Y101 4.69 0 No Yes 6 5 2 1
R:R:S76 R:R:Y101 5.09 0 No Yes 7 5 2 1
R:R:K80 R:R:Y101 4.78 2 Yes Yes 7 5 1 1
R:R:F169 R:R:K80 22.33 2 Yes Yes 4 7 1 1
R:R:F169 R:R:Y101 8.25 2 Yes Yes 4 5 1 1
R:R:M274 R:R:Y101 5.99 2 Yes Yes 6 5 1 1
R:R:H170 R:R:Q271 4.95 0 No Yes 5 5 2 1
R:R:M172 R:R:T176 6.02 2 No No 4 2 1 2
R:R:M172 R:R:W177 6.98 2 No Yes 4 3 1 1
R:R:D174 R:R:W177 7.82 2 No Yes 2 3 2 1
R:R:D174 R:R:R253 10.72 2 No Yes 2 4 2 2
R:R:R253 R:R:W177 16.99 2 Yes Yes 4 3 2 1
R:R:M274 R:R:V242 6.09 2 Yes Yes 6 7 1 2
R:R:K263 R:R:Q249 10.85 2 No Yes 3 5 2 1
R:R:I266 R:R:Q249 5.49 0 No Yes 5 5 2 1
R:R:Q249 R:R:S267 4.33 2 Yes No 5 4 1 2
R:R:L270 R:R:Q249 5.32 0 No Yes 5 5 2 1
R:R:K263 R:R:S267 4.59 2 No No 3 4 2 2
R:R:L270 R:R:M274 4.24 0 No Yes 5 6 2 1
R:R:F169 R:R:V97 2.62 2 Yes No 4 5 1 2
R:R:K80 R:R:S84 1.53 2 Yes No 7 6 1 2

Location and physicochemical properties of the interaction partners of this ligand

Interactions of this ligand

Similarities between the interactions of this ligand and those of other networks

ShowSimilarityNetwork TypeNameLigandDescription
60.00Single7T96LY21196207T96-M2-Acetylcholine-LY2119620-Go/β1/γ2
54.55Single8J6LNiacin8J6L-HCA2-Niacin-Gi1/β1/γ2
50.00Single3OE6IT1t3OE6-CXCR4-IT1t
50.00Single7F61PF-036547467F61-H3-PF-03654746
50.00Single7T94LY21196207T94-M2-Acetylcholine-LY2119620-chim(NtGi1-Go)/β1/γ2
50.00Single8IY9Niacin8IY9-HCA2-Niacin-Go/β1/γ2
50.00Single8JEFPubChem 113671668JEF-HCA3-PubChem 11367166-Gi1/β1/γ2
46.67Consensuscxcr_onOrthosteric Ligandcxcr3_on cxcr4_on cxcr1_on cxcr2_on
46.15Single7TRQVU04671547TRQ-M4-Iperoxo-VU0467154-Gi1/β1/γ2
46.15Single8IHJAcifran8IHJ-HCA3-Acifran-Gi1/β1/γ2
46.15Single8JHNMonomethyl fumarate8JHN-HCA2-Monomethyl fumarate-Go/β1/γ2
46.15Single8JIINiacin8JII-HCA2-Niacin-PubChem 25101223-Gi1/β1/γ2
45.45Single3OE9IT1t3OE9-CXCR4-IT1t
45.45Single7TRPLY20332987TRP-M4-Iperoxo-LY2033298-Gi1/β1/γ2
45.45Single8JILNiacin8JIL-HCA2-Niacin-Gi1/β1/γ2
45.45Single9LMPNE52-QQ579LMP-GPR4-NE52-QQ57
43.75Single8K4OCXCL18K4O-KSHV-CXCL1-Gi1/β1/γ1
42.86Single6D26Fevipiprant6D26-DP2-Fevipiprant
42.86Single8UUJFCH-22964138UUJ-HCA2-FCH-2296413-Gi1/β1/γ2
42.86Single8ZPTPrRP208ZPT-PrRP-PrRP20-chim(NtGi1-Gs-CtGq)/β1/γ2
42.86Single9CIBFCH-22964139CIB-HCA2-FCH-2296413
42.86Consensusdp2_offOrthosteric Ligand6D26-DP2-Fevipiprant
42.86Consensusdp_offOrthosteric Liganddp2_off
41.67Single3ODUIT1t3ODU-CXCR4-IT1t
41.67Single4MQTLY21196204MQT-M2-Iperoxo-LY2119620
41.67Single5ZKQABT-4915ZKQ-PAF-ABT-491
41.67Single7X2CFenoldopam7X2C-D1-Fenoldopam-Fenoldopam-Gs/β1/γ2
41.67Single8IJANiacin8IJA-HCA2-Niacin-Gi1/β1/γ2
41.67Single8IJBAcipimox8IJB-HCA2-Acipimox-Gi1/β1/γ2
41.67Single8Z87CHBA8Z87-HCA1-CHBA-Gi1/β1/γ2
41.67Single9JKXAcifran9JKX-HCA3-Acifran-Gi1/β1/γ2
41.67Consensuscxcr1_onOrthosteric Ligand8IC0-CXCR1-CXCL8-Gi1/β1/γ2
41.67Consensuspaf_offOrthosteric Ligand5ZKQ-PAF-ABT-491
41.18Consensuscxcr_on_gpOrthosteric Ligandcxcr3_on_gp cxcr4_on_gp cxcr1_on_gp cxcr2_on_gp
40.00Single8IHBGSK2560738IHB-HCA2-GSK256073-Gi1/β1/γ2
40.00Single8IHHLUF62838IHH-HCA2-LUF6283-Gi1/β1/γ2
38.89Single7W0PElabela7W0P-Apelin-Elabela-Gi1/β1/γ2
38.89Single8K3ZCXCL128K3Z-CXCR4-CXCL12-Gi1/β1/γ1
38.89Consensuscxcr4_onOrthosteric Ligand8K3Z-CXCR4-CXCL12-Gi1/β1/γ1
38.46Single6U1NLY21196206U1N-M2-LY2119620-Arrestin2
38.46Single6WJCMuscarinic toxin 76WJC-M1-Atropine-Muscarinic toxin 7
38.46Single7XOVSR1461317XOV-CCKA-SR146131-Gs/β1/γ2
38.46Single8IHKAcifran8IHK-HCA3-Acifran
38.46Single8JERAcipimox8JER-HCA2-Acipimox-Go/β1/γ2
38.46Single8JIMMonomethyl fumarate8JIM-HCA2-Monomethyl fumarate-Gi1/β1/γ2
38.46Single8K5CAcipimox8K5C-HCA2-Acipimox
38.46Single8ZPMAMD0708ZPM-CXCR4-AMD070
38.46Single9JFUNE52-QQ579JFU-GPR4-NE52-QQ57
38.46Single9K0XATP9K0X-P2Y2-ATP-chim(NtGi1-Gs-CtGq)/β1/γ2
38.46Single9K20ATP9K20-P2Y2-ATP-chim(NtGi1-Go)/β1/γ2
38.46Consensushca_onOrthosteric Ligandhca2_on
37.50Single6OS2TRV0266OS2-AT1-TRV026
37.50Single8IYWGSK2560738IYW-HCA2-GSK256073-Go/β1/γ2
37.50Single8J6DEP1418J6D-C3aB-EP141-Go/β1/γ2
36.84Single5XJM(Sar1,Ile8)-Angiotensin II5XJM-AT2-(Sar1,Ile8)-Angiotensin II
36.84Single6DO1(Sar1,Ile8)-Angiotensin II6DO1-AT1-(Sar1,Ile8)-Angiotensin II
36.84Single7W0NElabela7W0N-Apelin; Apelin-Elabela-Gi1/β1/γ2
36.84Single9KV6TLQP219KV6-C3aB-TLQP21-Go/β1/γ2
36.36Single9IJRC179IJR-GPR52-C17-Arrestin2
36.36Single9KT93,5-DHBA9KT9-HCA1-3,5-DHBA-Gi1/β1/γ2
35.71Single4QIMANTA XV4QIM-SMO-ANTA XV
35.71Single5NDDAZ8838; Na5NDD-PAR2-AZ8838; Na
35.71Single6XBM25(S)-Epoxycholesterol6XBM-SMO-25(S)-Epoxycholesterol-Gi1/β1/γ2
35.71Single8I7VAcipimox8I7V-HCA2-Acipimox-Gi1/β1/γ2
35.71Single8IC0CXCL88IC0-CXCR1-CXCL8-Gi1/β1/γ2
35.71Single8J6PNiacin8J6P-HCA2-Niacin-PubChem 25101223-Gi1/β1/γ2
35.71Single8RW7StilSwitch18RW7-A2A-StilSwitch1-Na
35.71Single9IZCMK19039IZC-HCA2-MK1903-Gi1/β1/γ2
35.71Consensuscxcr1_on_gpOrthosteric Ligand8IC0-CXCR1-CXCL8-Gi1/β1/γ2
35.71Consensusgi_hcaOrthosteric Ligand8J6R-HCA2-MK6892-Gi1/β1/γ2 8JIM-HCA2-Monomethyl fumarate-Gi1/β1/γ2 8IHI-HCA2-Acifran-Gi1/β1/γ2 8IHH-HCA2-LUF6283-Gi1/β1/γ2 8I7V-HCA2-Acipimox-Gi1/β1/γ2 8I7W-HCA2-GSK256073-Gi1/β1/γ2
35.71Consensushca2_onOrthosteric Ligand8J6R-HCA2-MK6892-Gi1/β1/γ2 8JIM-HCA2-Monomethyl fumarate-Gi1/β1/γ2 8I7V-HCA2-Acipimox-Gi1/β1/γ2 8I7W-HCA2-GSK256073-Gi1/β1/γ2 8IHH-HCA2-LUF6283-Gi1/β1/γ2 8IHI-HCA2-Acifran-Gi1/β1/γ2
35.71Consensushca2_on_gpOrthosteric Ligand8J6R-HCA2-MK6892-Gi1/β1/γ2 8IHI-HCA2-Acifran-Gi1/β1/γ2 8IHH-HCA2-LUF6283-Gi1/β1/γ2 8I7V-HCA2-Acipimox-Gi1/β1/γ2 8JIM-HCA2-Monomethyl fumarate-Gi1/β1/γ2 8I7W-HCA2-GSK256073-Gi1/β1/γ2
35.71Consensushca_on_gpOrthosteric Ligandhca2_on_gp
35.71Consensuslipid_offOrthosteric Ligandcannabinoid_off paf_off lpl_off prostanoid_off leukotriene_off
35.29Single4RWSvMIP-II4RWS-CXCR4-vMIP-II
35.29Single8ZPLHF511168ZPL-CXCR4-HF51116
35.29Single9KT8Acifran9KT8-HCA2-Acifran-Gi1/β1/γ2
35.29Consensusprostanoid_offOrthosteric Ligandep_off dp_off
35.00Single6MEOGp160; CD46MEO-CCR5-Gp160; CD4
35.00Single9U4WGonadoliberin-19U4W-GnRH1-Gonadoliberin-1-chim(NtGi1L-Gs-CtGq)/β1/γ2
35.00Consensusangiotensin_onOrthosteric Ligandat1_on
35.00Consensusat1_onOrthosteric Ligand7F6G-AT1-(Sar1)-Angiotensin II-Gq/β1/γ2
35.00Consensuscxcr4_on_gpOrthosteric Ligand8K3Z-CXCR4-CXCL12-Gi1/β1/γ1
34.78Single7XATSomatostatin-147XAT-SST2-Somatostatin-14-Gi1/β1/γ2
33.33Single5L7IVismodegib5L7I-SMO-Vismodegib
33.33Single5N2RPSB365N2R-A2A-PSB36-Na
33.33Single5YHLPubChem 1351213525YHL-EP4-PubChem 135121352
33.33Single5YWYONO-AE3-2085YWY-EP4-ONO-AE3-208
33.33Single6METGp160; CD46MET-CCR5-Gp160; CD4
33.33Single6XBKCholesterol6XBK-SMO-Cholesterol-Gi1/β1/γ2
33.33Single7F6G(Sar1)-Angiotensin II7F6G-AT1-(Sar1)-Angiotensin II-Gq/β1/γ2
33.33Single7F8WGastrin-177F8W-CCKB-Gastrin-17-chim(NtGsL-Gq)/β1/γ2
33.33Single7RKFCX3CL17RKF-US28-CX3CL1-GDP-chim(NtGi1-G11)/β1/γ2
33.33Single7RKNCX3CL17RKN-US28-CX3CL1-Gi1/β1/γ2
33.33Single8FX5Xanomeline8FX5-M4-Xanomeline-Xanomeline-Gi1/β1/γ2
33.33Single8H2GNiacin8H2G-HCA2-Niacin-Gi1/β1/γ2
33.33Single8IHIAcifran8IHI-HCA2-Acifran-Gi1/β1/γ2
33.33Single8K5BNiacin8K5B-HCA2-Niacin
33.33Single8S4DCMF-0198S4D-Apelin-CMF-019
33.33Single8TF5Oleic acid8TF5-GPR6-Oleic acid
33.33Single8WGBVU01550418WGB-mGlu4; mGlu2-Glutamate-VU0155041-Gi3/β1/γ2
33.33Single8XZFWN5618XZF-Apelin; Apelin-WN561-Gi1/β1/γ2
33.33Single8XZJWN3538XZJ-Apelin; Apelin-WN353-Gi1/β1/γ2
33.33Single9EAJNanobody AT2099EAJ-AT1-Nanobody AT209
33.33Single9IQTNiacin9IQT-HCA2-Niacin-Gi1/β1/γ2
33.33Single9IZDCHBA9IZD-HCA1-CHBA-Gi1/β1/γ2
33.33Single9JKSPubChem 442501769JKS-HCA3-PubChem 44250176-Gi1/β1/γ2
33.33Single9JLCAVE 09919JLC-MAS1-AVE 0991-Gi1/β1/γ2
33.33Single9KT6Acifran9KT6-HCA3-Acifran-Gi1/β1/γ2
33.33Single9KUWCMPD6449KUW-Apelin; Apelin-CMPD644-Arrestin2 ; Arrestin2
33.33Single9KZ8EP679KZ8-C3aB-EP67-Go/β1/γ2
33.33Consensusa1_offOrthosteric Ligand5UEN-A1-DU172 5N2S-A1-PSB36
33.33Consensusangiotensin_on_gpOrthosteric Ligandat1_on_gp
33.33Consensusat1_on_gpOrthosteric Ligand7F6G-AT1-(Sar1)-Angiotensin II-Gq/β1/γ2
33.33Consensuscxcr4_offOrthosteric Ligand4RWS-CXCR4-vMIP-II 3OE0-CXCR4-CVX15 3OE6-CXCR4-IT1t
33.33Consensusep4_offOrthosteric Ligand5YWY-EP4-ONO-AE3-208 5YHL-EP4-PubChem 135121352
33.33Consensusep_offOrthosteric Ligandep4_off
33.33Consensusgq_angiotensinOrthosteric Ligand7F6G-AT1-(Sar1)-Angiotensin II-Gq/β1/γ2
33.33Consensusprotein_offonOrthosteric Ligandprotein_off protein_on
33.33Consensusprotein_offon_gpOrthosteric Ligandprotein_on_gp protein_off
33.33Consensuss1p5_offOrthosteric Ligand7YXA-S1P5-ONO-5430608
33.33Consensuss1p_offOrthosteric Ligands1p1_off s1p5_off
31.82Single7Y64C5a7Y64-C5a1-C5a-Gi1/β1/γ2
31.82Single8ZPSPrRP208ZPS-PrRP-PrRP20-chim(NtGi1-Gs-CtGi1)/β1/γ2
31.82Consensuschemokine_on_gpOrthosteric Ligandccr_on_gp cxcr_on_gp
31.82Consensuscxcr_offOrthosteric Ligandcxcr3_off cxcr4_off
31.58Single8XGMChemerin8XGM-CML2-Chemerin-Gi1/β1/γ2
31.58Single9BKJCholecystokinin-89BKJ-CCKA-Cholecystokinin-8-chim(NtGi1-Gs-CtGq)/β1/γ2
31.58Single9BUYLM1899BUY-β2-LM189-Gi1/β1/γ2
31.58Single9HB3Mambaquaretin-19HB3-V2-Mambaquaretin-1
31.58Single9KWGC5a9KWG-C5a1-C5a-Go/β1/γ2
31.58Single9UYJChemerin-99UYJ-CML2-Chemerin-9-Arrestin2
31.58Consensuschemokine_onOrthosteric Ligandccr_on cxcr_on
31.58Consensusclass-a_on_gpOrthosteric Ligandsensory_on_gp alicarboxylic_on_gp amine_on_gp lipid_on_gp nucleotide_on_gp peptide_on_gp protein_on_gp
31.25Single4IAQDihydroergotamine4IAQ-5-HT1B-Dihydroergotamine
31.25Single6OS1TRV0266OS1-AT1-TRV026
31.25Single7F58THIQ7F58-MC4-THIQ-Gs/β1/γ2
31.25Single7TUYGSK682753A7TUY-GPR183-GSK682753A
31.25Single8HQCC5a8HQC-C5a1-C5a-Go/β1/γ2
31.25Single8I9LC3a8I9L-C3aB-C3a-Go/β1/γ2
31.25Single9ASTLymphotactin9AST-XCR1-Lymphotactin-Gi1/β1/γ2
31.25Single9KUXCMPD6449KUX-Apelin; Apelin-CMPD644-Arrestin2
31.25Single9RHGC4079RHG-FZD7-C407
31.25Consensusmotilin_onOrthosteric Ligand8IBU-Motilin-Erythromycin-A-chim(NtGi1-Gs-CtGq)/β1/γ2
31.25Consensusprotein_offOrthosteric Ligandchemokine_off grh_off
30.77Single3V2WPubChem 518926453V2W-S1P1-PubChem 51892645
30.77Single6DS0LY2660976DS0-5-HT2B-LY266097
30.77Single6LFOCXCL86LFO-CXCR2-CXCL8-Gi1/β1/γ2
30.77Single7W0OElabela7W0O-Apelin-Elabela-Gi1/β1/γ2
30.77Single7WF7S1P7WF7-S1P1-S1P-Gi1/β1/γ2
30.77Single8GNGIstradefylline8GNG-A2A-Istradefylline
30.77Single8H8JLodoxamide8H8J-GPR35-Lodoxamide-Ca-chim(NtGi1L-G13)/β1/γ2
30.77Single8RW0Istradefylline8RW0-A2A-Istradefylline-Na
30.77Single8U4PAMD31008U4P-CXCR4-AMD3100-Gi1/β1/γ2
30.77Single8UTDMK19038UTD-HCA2-MK1903-Gi1/β1/γ2
30.77Single9KO2CCL199KO2-CCR7-CCL19-Gi1/β1
30.77Single9KO6CCL199KO6-CCR7-CCL19
30.77Consensuss1p1_offOrthosteric Ligand3V2W-S1P1-PubChem 51892645
30.43Single7SK3CXCL127SK3-ACKR3-CXCL12
30.43Single8XVEBQ30208XVE-ETB-BQ3020-chim(Gs-CtGq)/β1/γ2
30.00Single3QAKUK-4320973QAK-A2A-UK-432097
30.00Single7C6A(Sar1,Ile8)-Angiotensin II7C6A-AT2-(Sar1,Ile8)-Angiotensin II
30.00Single7RKMCX3CL17RKM-US28-CX3CL1-Gi1/β1/γ2
30.00Single7SK5CXCL127SK5-ACKR3-CXCL12
30.00Single7XMSSomatostatin-147XMS-SST4-Somatostatin-14-Gi1/β1/γ2
30.00Single8F7WDynorphin8F7W-κ-Dynorphin-Gi1/β1/γ2
30.00Single8JZZC5a-des-Arg8JZZ-C5a1-C5a-des-Arg-Go/β1/γ2
30.00Single8XYDPlatelet Activating Factor8XYD-PAF-Platelet Activating Factor-Gi1/β1/γ2
30.00Single9IQRMuscarinic toxin 39IQR-α2a-Muscarinic toxin 3
30.00Single9IQSMuscarinic toxin 39IQS-M4-Muscarinic toxin 3
30.00Single9KFIRelaxin-39KFI-RXFP3-Relaxin-3-Gi2/β1/γ2
30.00Single9L60Dynorphin9L60-κ-Dynorphin-MPAM-15-Gi1/β1/γ2
30.00Single9ME1CXCL129ME1-CXCR4-CXCL12
30.00Consensuscompl-peptide_onOrthosteric Ligandc5a1_on c3a_on
30.00Consensusgi_cckOrthosteric Ligand7EZH-CCKA-Cholecystokinin-8-Gi1/β1/γ2 7F8V-CCKB-Gastrin-17-Gi2/β1/γ2
29.41Single6A93Risperidone6A93-5-HT2A-Risperidone
29.41Single6MXTSalmeterol6MXT-β2-Salmeterol
29.41Single6OS0Angiotensin II6OS0-AT1-Angiotensin II
29.41Single7DH5Mirabegron7DH5-β3-Mirabegron-Gs/β1/γ2
29.41Single7K15MKD0467K15-BLT1-MKD046-Na
29.41Single7W0NElabela7W0N-Apelin; Apelin-Elabela-Gi1/β1/γ2
29.41Single8HK2C3a8HK2-C3aB-C3a-Gi1/β1/γ2
29.41Single8IA8E7 peptide8IA8-C3aB-E7 peptide-Gi1/β1/γ2
29.41Single8IBUErythromycin-A8IBU-Motilin-Erythromycin-A-chim(NtGi1-Gs-CtGq)/β1/γ2
29.41Single8JZ7MK68928JZ7-HCA2-MK6892-Gi1/β1/γ2
29.41Single8W1VPubChem 1717162658W1V-β2-PubChem 171716265
29.41Single8X8NOctreotide8X8N-SST5-Octreotide-chim(NtGi1-Gs-CtGi1)/β1/γ2
29.41Consensusc3a_onOrthosteric Ligand8HK2-C3aB-C3a-Gi1/β1/γ2 8IA8-C3aB-E7 peptide-Gi1/β1/γ2
29.41Consensusccr8_onOrthosteric Ligand8KFX-CCR8-LMD-009-Gi1/β1/γ2 8KFY-CCR8-ZK-756326-Gi1/β1/γ2 8U1U-CCR8-CCL1-Gi1/β1/γ2
29.41Consensusleukotriene_offOrthosteric Ligandblt_off cyslt_off
29.41Consensuslipid_offonOrthosteric Ligandlipid_off lipid_on
29.41Consensuslipid_offon_gpOrthosteric Ligandlipid_on_gp lipid_off
29.41Consensuslpl_offOrthosteric Ligands1p_off lpa_off
29.41Consensusmotilin_on_gpOrthosteric Ligand8IBU-Motilin-Erythromycin-A-chim(NtGi1-Gs-CtGq)/β1/γ2
29.17Single7EIBKallidin-des-Arg107EIB-BK1-Kallidin-des-Arg10-chim(NtGi1-Gs-CtGq)/β1/γ2
29.17Single8XWPEndothelin-18XWP-ETB-Endothelin-1-Gi1/β1/γ2
28.57Single3OE0CVX153OE0-CXCR4-CVX15
28.57Single3V2YPubChem 518926453V2Y-S1P1-PubChem 51892645
28.57Single5WF5UK-4320975WF5-A2A-UK-432097
28.57Single7AROLUF58337ARO-A2A-LUF5833-Na
28.57Single7O7F6P4-CCL57O7F-CCR5-6P4-CCL5-Gi1/β1/γ1
28.57Single7RYCOxytocin7RYC-OT-Oxytocin-chim(NtGi2L-Gs-CtGq)/β1/γ2
28.57Single7W55Neuromedin-U-257W55-NMUR2-Neuromedin-U-25-chim(NtGi1-Gs-CtGq)/β1/γ2
28.57Single7XA3CCL27XA3-CCR2-CCL2-Gi1/β1/γ2
28.57Single7YK6PubChem 1383196747YK6-RXFP4-PubChem 138319674-Gi2/β1/γ2
28.57Single8JEIPubChem 117155568JEI-HCAR3-PubChem 11715556-Gi1/β1/γ2
28.57Single8K9KDAMGO8K9K-μ-DAMGO-Gi3/β1/γ1
28.57Single8RWIStilSwitch28RWI-A2A-StilSwitch2-Na
28.57Single8Y6YGLPG09748Y6Y-FFA2-GLPG0974
28.57Single8ZPNAMD31008ZPN-CXCR4-AMD3100
28.57Single9BA0MRI-18919BA0-CB1-MRI-1891
28.57Single9JH3CMF-0199JH3-Apelin; Apelin-CMF-019-Gi1/β1/γ2
28.57Single9JKYAcifran9JKY-HCA2-Acifran-Gi1/β1/γ2
28.57Single9JMDAzithromycin9JMD-Motilin-Azithromycin-chim(Gs-CtGq)/β1/γ2
28.57Single9K0KUTP9K0K-P2Y4-UTP-chim(NtGi1-Gs-CtGq)/β1/γ2
28.57Single9K27PrRP319K27-PrRP-PrRP31-chim(NtGi1-Gq)/β1/γ2
28.57Single9KUWCMPD6449KUW-Apelin; Apelin-CMPD644-Arrestin2 ; Arrestin2
28.57Single9MEUCXCL129MEU-CXCR4-CXCL12
28.57Single9ODLMitragynine Pseudoindoxyl9ODL-μ-Mitragynine Pseudoindoxyl-GTP; Mg-Gi1/β1/γ2
28.57Single9UYIChemerin-99UYI-CML2-Chemerin-9-Arrestin2
28.57Consensusc5a1_onOrthosteric Ligand8HK5-C5a1-C5a-Gi1/β1/γ2 7Y66-C5a1-BM213-Gi1/β1/γ2 7Y67-C5a1-C089 peptide-Gi1/β1/γ2 7Y64-C5a1-C5a-Gi1/β1/γ2
28.57Consensusccr2_onOrthosteric Ligand7XA3-CCR2-CCL2-Gi1/β1/γ2
28.57Consensusccr2_on_gpOrthosteric Ligand7XA3-CCR2-CCL2-Gi1/β1/γ2
28.57Consensusccr_onOrthosteric Ligandccr6_on ccr8_on ccr2_on ccr1_on ccr5_on
28.57Consensuscompl-peptide_on_gpOrthosteric Ligandc5a1_on_gp c3a_on_gp
28.57Consensusnmur2_onOrthosteric Ligand7W55-NMUR2-Neuromedin-U-25-chim(NtGi1-Gs-CtGq)/β1/γ2
28.57Consensusnmur2_on_gpOrthosteric Ligand7W55-NMUR2-Neuromedin-U-25-chim(NtGi1-Gs-CtGq)/β1/γ2
28.00Single6IGLIRL16206IGL-ETB-IRL1620
28.00Consensusbk2_onOrthosteric Ligand7F6H-BK2-Bradykinin-Gq/β1/γ2 7F6I-BK2-Kallidin-Gq/β1/γ2
28.00Consensusbk2_on_gpOrthosteric Ligand7F6H-BK2-Bradykinin-Gq/β1/γ2 7F6I-BK2-Kallidin-Gq/β1/γ2
28.00Consensusbradykinin_onOrthosteric Ligandbk2_on
28.00Consensusbradykinin_on_gpOrthosteric Ligandbk2_on_gp
28.00Consensusendothelin_onOrthosteric Ligandetb_on eta_on
28.00Consensusgq_bradykininOrthosteric Ligand7F6H-BK2-Bradykinin-Gq/β1/γ2 7F6I-BK2-Kallidin-Gq/β1/γ2
27.78Single4NC3Ergotamine4NC3-5-HT2B-Ergotamine
27.78Single6BQGErgotamine6BQG-5-HT2C-Ergotamine
27.78Single7EZCUK-4320977EZC-A2A-UK-432097
27.78Single7QVMOxytocin7QVM-OT-Oxytocin-chim(NtGi1-Go-CtGq)/β1/γ2
27.78Single7XK2MK68927XK2-HCA2-MK6892-Gi1/β1/γ2
27.78Single7Y65C5a (C-terminal peptide)7Y65-C5a1-C5a (C-terminal peptide)-Gi1/β1/γ2
27.78Single8E0GBU728E0G-μ-BU72
27.78Single8IULLatanoprost8IUL-FP-alpha-Latanoprost-chim(NtGi1-Gs-CtGq)/β1/γ2
27.78Single8WRZAM8418WRZ-CB1-AM841-Arrestin2
27.78Single9KUGEP679KUG-C5a1-EP67-Go/β1/γ2
27.78Single9KV8TLQP219KV8-C3aB-TLQP21-Go/β1/γ2
27.78Single9KWXC5a-des-Arg9KWX-C5a1-C5a-des-Arg-Go/β1/γ2
27.78Single9M54Neuropeptide-VF9M54-NPFF2-Neuropeptide-VF-Gi1/β1/γ2
27.78Single9UYHChemerin-99UYH-CML2-Chemerin-9-Arrestin2
27.78Single9UYMChemerin-99UYM-CML2-Chemerin-9-chim(Arrestin3-CtArrestin2)
27.78Consensusc3a_on_gpOrthosteric Ligand8HK2-C3aB-C3a-Gi1/β1/γ2 8IA8-C3aB-E7 peptide-Gi1/β1/γ2
27.78Consensuscck_onOrthosteric Ligandccka_on cckb_on
27.78Consensuscck_on_gpOrthosteric Ligandccka_on_gp cckb_on_gp
27.78Consensusclass-a_onOrthosteric Ligandsensory_on alicarboxylic_on amine_on lipid_on nucleotide_on peptide_on protein_on
27.27Single3OE8IT1t3OE8-CXCR4-IT1t
27.27Single5WB2CX3CL1.355WB2-US28-CX3CL1.35
27.27Single6JODAngiotensin II6JOD-AT2-Angiotensin II
27.27Single6OT025(S)-Epoxycholesterol6OT0-SMO-25(S)-Epoxycholesterol-Gi1/β1/γ2
27.27Single7KH0AVP7KH0-V2-AVP-chim(NtGi1-Gs)/β1/γ2
27.27Single7XK8Neuromedin-U-257XK8-NMUR2-Neuromedin-U-25-Gi1/β1/γ2
27.27Single8IHFMK68928IHF-HCA2-MK6892-Gi1/β1/γ2
27.27Single8J6IMK68928J6I-HCA2-MK6892-Gi1/β1/γ2
27.27Single8XOFLys058XOF-GPR30-Lys05-chim(NtGi1-Gs-CtGq)/β1/γ2
27.27Single8XWQEndothelin-18XWQ-ETB-Endothelin-1-Gi1/β1/γ2
27.27Single8Z8ALactate8Z8A-HCA1-Lactate-Gi1/β1/γ2
27.27Single9BKKCholecystokinin-89BKK-CCKA-Cholecystokinin-8-chim(NtGi1-Gs-CtGq)/β1/γ2
27.27Single9L0HJR14a9L0H-C3aB-JR14a-Go/β1/γ2
27.27Consensusapelin_onOrthosteric Ligand8XZH-Apelin; Apelin-MM07-Gi1/β1/γ2 7W0M-Apelin-PubChem 122701908-Gi1/β1/γ2 8XZJ-Apelin; Apelin-WN353-Gi1/β1/γ2 8XZF-Apelin; Apelin-WN561-Gi1/β1/γ2 8XZG-Apelin; Apelin-Apelin-13-Gi1/β1/γ2
27.27Consensusapelin_on_gpOrthosteric Ligand8XZH-Apelin; Apelin-MM07-Gi1/β1/γ2 7W0M-Apelin-PubChem 122701908-Gi1/β1/γ2 8XZJ-Apelin; Apelin-WN353-Gi1/β1/γ2 8XZF-Apelin; Apelin-WN561-Gi1/β1/γ2 8XZG-Apelin; Apelin-Apelin-13-Gi1/β1/γ2
27.27Consensusc5a1_on_gpOrthosteric Ligand8HK5-C5a1-C5a-Gi1/β1/γ2 7Y66-C5a1-BM213-Gi1/β1/γ2 7Y67-C5a1-C089 peptide-Gi1/β1/γ2 7Y64-C5a1-C5a-Gi1/β1/γ2
27.27Consensusgi_class-aOrthosteric Ligandgi_peptide gi_sensory gi_alicarboxylic gi_amine gi_lipid gi_nucleotide gi_protein
27.27Consensusneuromedin-u_onOrthosteric Ligandnmur1_on nmur2_on
27.27Consensuspeptide_offon_gpOrthosteric Ligandpeptide_on_gp peptide_off
27.27Consensusprotein_onOrthosteric Ligandchemokine_on chemerin_on
26.92Single5GLHEndothelin-15GLH-ETB-Endothelin-1
26.92Consensusccr5_on_gpOrthosteric Ligand7O7F-CCR5-6P4-CCL5-Gi1/β1/γ1 7F1Q-CCR5-CCL3-Gi1/β1/γ2
26.92Consensusgi_endothelinOrthosteric Ligand8IY5-ETB-Endothelin-1-Gi1/β1/γ2 8HBD-ETB-IRL1620-Gi1/β1/γ2
26.67Single5OLZPubChem 1355666095OLZ-A2A-PubChem 135566609-Na
26.67Single5OM1PubChem 1355666095OM1-A2A-PubChem 135566609-Na
26.67Single5UENDU1725UEN-A1-DU172
26.67Single5ZKPSR274175ZKP-PAF-SR27417
26.67Single6D27CAY104716D27-DP2-CAY10471
26.67Single6GPSMK08126GPS-CCR2-MK0812
26.67Single6KPFAM120336KPF-CB2-AM12033-Gi1/β1/γ2
26.67Single7CFMP3957CFM-GPBA-P395-Gs/β1/γ2
26.67Single7T2GMitragynine Pseudoindoxyl7T2G-μ-Mitragynine Pseudoindoxyl-Gi1/β1/γ2
26.67Single7V3ZCP559407V3Z-CB1-CP55940
26.67Single7WC8Lumateperone7WC8-5-HT2A-Lumateperone
26.67Single7WQ3Galanin7WQ3-GAL1-Galanin-Gi1/β1/γ2
26.67Single7YACPaltusotine7YAC-SST2-Paltusotine-Gi1/β1/γ2
26.67Single7YXAONO-54306087YXA-S1P5-ONO-5430608
26.67Single8K5DGSK2560738K5D-HCA2-GSK256073
26.67Single8RWXStilSwitch38RWX-A2A-StilSwitch3-Na
26.67Single8T1WCVN4248T1W-GPR6-CVN424
26.67Single8XJLPGF2-alpha8XJL-FP-alpha-PGF2-α-chim(NtGi2-Gs-CtGq)/β1/γ2
26.67Single9JGKBalovaptan9JGK-5-HT2B-Balovaptan
26.67Single9KUXCMPD6449KUX-Apelin; Apelin-CMPD644-Arrestin2
26.67Single9METGp120; CD49MET-CXCR4-Gp120; CD4
26.67Consensusalicarboxylic_on_gpOrthosteric Ligandsuccinate_on_gp hca_on_gp
26.67Consensusccr2_offOrthosteric Ligand6GPS-CCR2-MK0812
26.67Consensusgal1_onOrthosteric Ligand7WQ3-GAL1-Galanin-Gi1/β1/γ2
26.67Consensusgal1_on_gpOrthosteric Ligand7WQ3-GAL1-Galanin-Gi1/β1/γ2
26.67Consensusgi_alicarboxylicOrthosteric Ligandgi_hca gi_succinate
26.67Consensusgi_galaninOrthosteric Ligand7WQ3-GAL1-Galanin-Gi1/β1/γ2
26.32Single5WF6UK-4320975WF6-A2A-UK-432097
26.32Single7F2OBradykinin7F2O-BK2-Bradykinin-chim(NtGi1-Gs-CtGq)/β1/γ2
26.32Single7XBXCX3CL17XBX-CX3CR1-CX3CL1-Gi1/β1/γ2
26.32Single7XY6BAY 60-65837XY6-A2B-BAY 60-6583-chim(NtGi1-Gs)/β1/γ2
26.32Single7YAEOctreotide7YAE-SST2-Octreotide-Gi1/β1/γ2
26.32Single8QJ2pN1628QJ2-MC4-pN162-Gs/β1/γ2
26.32Single8XX6CXCL88XX6-CXCR2-CXCL8-Go/β1/γ2
26.32Single9IZASCH9002719IZA-HCA2-SCH900271-Gi1/β1/γ2
26.32Single9KZ2EP679KZ2-C3aB-EP67-Go/β1/γ2
26.32Single9M0RNeuropeptide-VF9M0R-NPFF1-Neuropeptide-VF-Gi1/β1/γ2
26.32Single9UMJEP549UMJ-C3aB-EP54-Go/β1/γ2
26.32Consensusgq_cckOrthosteric Ligand8IA7-CCKB-Cholecystokinin-8-chim(NtGi1L-Gq)/β1/γ2 7XOW-CCKB-Sulfated Gastrin-(10-17)-chim(NtGi1-Gq)/β1/γ2 7EZM-CCKA-Cholecystokinin-8-chim(NtGsL-Gq)/β1/γ2 7F8W-CCKB-Gastrin-17-chim(NtGsL-Gq)/β1/γ2
26.32Consensusnmur1_onOrthosteric Ligand7W53-NMUR1-Neuromedin-U-25-chim(NtGi1-Gs-CtGq)/β1/γ2
26.09Single7F6HBradykinin7F6H-BK2-Bradykinin-Gq/β1/γ2
26.09Single7F6IKallidin7F6I-BK2-Kallidin-Gq/β1/γ2
26.09Single7X9BNeuropeptide-Y7X9B-Y2-Neuropeptide-Y-Gi1/β1/γ2
26.09Single7X9CPancreatic Hormone7X9C-Y4-Pancreatic Hormone-Gi1/β1/γ2
26.09Single8HCQEndothelin-18HCQ-ETA-Endothelin-1-chim(NtGi1-Gs-CtGq)/β1/γ2
26.09Single8HCXEndothelin-18HCX-ETB-Endothelin-1-chim(NtGi2L-Gs-CtGq)/β1/γ2
26.09Single8XQEApelin-138XQE-Apelin; Apelin-Apelin-13-Gi1/β1/γ2
26.09Single8XVIEndothelin-18XVI-ETA-Endothelin-1-chim(Gs-CtGq)/β1/γ2
26.09Single8ZRTEndothelin-18ZRT-ETB-Endothelin-1
26.09Consensusccr_on_gpOrthosteric Ligandccr6_on_gp ccr8_on_gp ccr2_on_gp ccr1_on_gp ccr5_on_gp
26.09Consensuschemokine_offOrthosteric Ligandccr_off cxcr_off
26.09Consensuseta_onOrthosteric Ligand8HCQ-ETA-Endothelin-1-chim(NtGi1-Gs-CtGq)/β1/γ2
26.09Consensuseta_on_gpOrthosteric Ligand8HCQ-ETA-Endothelin-1-chim(NtGi1-Gs-CtGq)/β1/γ2
26.09Consensusgi_apelinOrthosteric Ligand8XZH-Apelin; Apelin-MM07-Gi1/β1/γ2 7W0M-Apelin-PubChem 122701908-Gi1/β1/γ2 8XZJ-Apelin; Apelin-WN353-Gi1/β1/γ2 8XZF-Apelin; Apelin-WN561-Gi1/β1/γ2 8XZG-Apelin; Apelin-Apelin-13-Gi1/β1/γ2
26.09Consensusgi_chemokineOrthosteric Ligand6WWZ-CCR6-CCL20-Go/β1/γ2 8HNK-CXCR3-CXCL11-Gi1/β1/γ2 8K3Z-CXCR4-CXCL12-Gi1/β1/γ1 8IC0-CXCR1-CXCL8-Gi1/β1/γ2 6LFM-CXCR2-CXCL8-Gi1/β1/γ2 8KFX-CCR8-LMD-009-Gi1/β1/γ2 7F1Q-CCR5-CCL3-Gi1/β1/γ2 8HNL-CXCR3-PS372424-Gi1/β1/γ2 8KFY-CCR8-ZK-756326-Gi1/β1/γ2 7O7F-CCR5-6P4-CCL5-Gi1/β1/γ1 8U1U-CCR8-CCL1-Gi1/β1/γ2 7VLA-CCR1-CCL15(27-92)-Gi1/β1/γ2 7XA3-CCR2-CCL2-Gi1/β1/γ2
26.09Consensusneuromedin-u_on_gpOrthosteric Ligandnmur1_on_gp nmur2_on_gp
25.93Consensusendothelin_on_gpOrthosteric Ligandetb_on_gp eta_on_gp
25.93Consensusetb_on_gpOrthosteric Ligand8IY5-ETB-Endothelin-1-Gi1/β1/γ2 8HBD-ETB-IRL1620-Gi1/β1/γ2
25.00Single4IARErgotamine4IAR-5-HT1B-Ergotamine
25.00Single4IB4Ergotamine4IB4-5-HT2B-Ergotamine
25.00Single4JKVTaladegib4JKV-SMO-Taladegib
25.00Single4RWDDIPP-NH24RWD-δ-DIPP-NH2-Na
25.00Single4XT1CX3CL14XT1-US28-CX3CL1
25.00Single4XT3CX3CL14XT3-US28-CX3CL1
25.00Single5N2SPSB365N2S-A1-PSB36
25.00Single5OM4PubChem 1355666095OM4-A2A-PubChem 135566609-Na
25.00Single5T1ABMS-6815T1A-CCR2-BMS-681-PubChem 12093170
25.00Single5UIW5P7-CCL55UIW-CCR5-5P7-CCL5
25.00Single6GPXMK08126GPX-CCR2-MK0812
25.00Single6KPCAM120336KPC-CB2-AM12033
25.00Single6LRYSarafotoxin-B6LRY-ETB-Sarafotoxin-B
25.00Single6ME62-Phenylmelatonin6ME6-MT2-2-Phenylmelatonin
25.00Single6ME72-Phenylmelatonin6ME7-MT2-2-Phenylmelatonin
25.00Single6OIKLY21196206OIK-M2-Iperoxo-LY2119620-chim(NtGi1-Go)/β1/γ2
25.00Single7C61Ergotamine7C61-5-HT1B-Ergotamine
25.00Single7CFNINT-7777CFN-GPBA-INT-777-Gs/β1/γ2
25.00Single7EO2FTY720-P7EO2-S1P1-FTY720-P-Gi1/β1/γ2
25.00Single7F8VGastrin-177F8V-CCKB-Gastrin-17-Gi2/β1/γ2
25.00Single7F8XNN90567F8X-CCKA-NN9056
25.00Single7TD3S1P7TD3-S1P1-S1P-Gi1/β1/γ2
25.00Single7W53Neuromedin-U-257W53-NMUR1-Neuromedin-U-25-chim(NtGi1-Gs-CtGq)/β1/γ2
25.00Single7WC5Psilocin7WC5-5-HT2A-Psilocin
25.00Single7X1TTaltirelin7X1T-TRH-Taltirelin-chim(NtGi2L-Gs-CtGq)/β1/γ2
25.00Single7YKDChemerin-97YKD-CML1-Chemerin-9-Gi1/β1/γ2
25.00Single7YU6ONO-07405567YU6-LPA1-ONO-0740556-Gi1/β1/γ2
25.00Single8GD9Rivenprost8GD9-EP4-Rivenprost-Gs/β1/γ2
25.00Single8HNLPS3724248HNL-CXCR3-PS372424-Gi1/β1/γ2
25.00Single8I7WGSK2560738I7W-HCA2-GSK256073-Gi1/β1/γ2
25.00Single8J6JGSK2560738J6J-HCA2-GSK256073-Gi1/β1/γ2
25.00Single8J6QBeta-Hydroxybutyrate8J6Q-HCA2-β-Hydroxybutyrate-PubChem 25101223-Gi1/β1/γ2
25.00Single8RQLFlufenamic acid8RQL-TAS2R14-Flufenamic acid-Flufenamic acid-chim(NtGi1-Gt3)/β1/γ2
25.00Single8U4OCXCL128U4O-CXCR4-CXCL12-Gi1/β1/γ2
25.00Single8WDTphotoNECA8WDT-A2A-photoNECA
25.00Single8XWNCXCL88XWN-CXCR2-CXCL8
25.00Single8YICSAR2477998YIC-S1P1-SAR247799-Gi1/β1/γ2
25.00Single8ZBJSomatostatin-148ZBJ-SST5-Somatostatin-14-Gi1/β1/γ2
25.00Single9B9ZMRI-18679B9Z-CB1-MRI-1867
25.00Single9EAHNanobody AT2099EAH-AT1-Olmesartan-Nanobody AT209
25.00Single9EHSLUF76029EHS-A3A-LUF7602
25.00Single9GE2ML1849GE2-GPR55-ML184-chim(NtGi1-G13)/β1/γ2
25.00Single9I52A1IZU9I52-D1-A1IZU-Gs/β1/γ2
25.00Single9IYBPGD29IYB-DP2-PGD2-A1D5Q-Gi1/β1/γ2
25.00Single9KO4CCL219KO4-CCR7-CCL21-Gi1/β1/γ2
25.00Single9KUVCMPD6449KUV-Apelin-CMPD644-Arrestin2
25.00Single9L74S1P d16:19L74-S1P3-S1P d16:1-chim(NtGi2L-Gs-CtGq)/β1/γ2
25.00Single9MEJGp1209MEJ-CXCR4-Gp120
25.00Single9UMRC5a-pep9UMR-C5a1-C5a-pep-Go/β1/γ2
25.00Consensusadenosine_offOrthosteric Liganda1_off a2_off
25.00Consensusblt1_offOrthosteric Ligand5X33-BLT1-BIIL260 7K15-BLT1-MKD046-Na
25.00Consensusblt_offOrthosteric Ligandblt1_off
25.00Consensuscb2_onOrthosteric Ligand8GUR-CB2-CP55940-Gi1/β1/γ2 8GUS-CB2-HU-308-Gi1/β1/γ2 8GUT-CB2-LEI-102-Gi1/β1/γ2 6KPF-CB2-AM12033-Gi1/β1/γ2 6PT0-CB2-WIN 55212-2-Gi1/β1/γ2 8GUQ-CB2-Olorinab-Gi1/β1/γ2
25.00Consensuscb2_on_gpOrthosteric Ligand8GUR-CB2-CP55940-Gi1/β1/γ2 8GUS-CB2-HU-308-Gi1/β1/γ2 8GUT-CB2-LEI-102-Gi1/β1/γ2 6KPF-CB2-AM12033-Gi1/β1/γ2 6PT0-CB2-WIN 55212-2-Gi1/β1/γ2 8GUQ-CB2-Olorinab-Gi1/β1/γ2
25.00Consensusccr5_offOrthosteric Ligand5UIW-CCR5-5P7-CCL5
25.00Consensusccr5_onOrthosteric Ligand7O7F-CCR5-6P4-CCL5-Gi1/β1/γ1 7F1Q-CCR5-CCL3-Gi1/β1/γ2
25.00Consensusccr_offOrthosteric Ligandccr2_off ccr5_off
25.00Consensuschemerin_on_gpOrthosteric Ligandcml1_on_gp
25.00Consensuscml1_onOrthosteric Ligand7YKD-CML1-Chemerin-9-Gi1/β1/γ2
25.00Consensusgi_chemerinOrthosteric Ligand7YKD-CML1-Chemerin-9-Gi1/β1/γ2
25.00Consensusgi_compl-peptOrthosteric Ligand8HK5-C5a1-C5a-Gi1/β1/γ2 8IA8-C3aB-E7 peptide-Gi1/β1/γ2 7Y66-C5a1-BM213-Gi1/β1/γ2 7Y67-C5a1-C089 peptide-Gi1/β1/γ2 8HK2-C3aB-C3a-Gi1/β1/γ2 7Y64-C5a1-C5a-Gi1/β1/γ2
25.00Consensusgi_peptideOrthosteric Ligandgi_cck gi_apelin gi_compl-pept gi_endothelin gi_formylpeptide gi_galanin gi_ghrelin gi_npy gi_neurotensin gi_opioid gi_orexin gi_relaxin gi_somatostatin
25.00Consensusgi_proteinOrthosteric Ligandgi_chemokine gi_chemerin
25.00Consensusgs_peptideOrthosteric Ligandgs_cck gs_melanocortin gs_vasop-oxy
25.00Consensuslipid_onOrthosteric Ligandcannabinoid_on ffa_on lpl_on prostanoid_on leukotriene_on
25.00Consensuslipid_on_gpOrthosteric Ligandcannabinoid_on_gp ffa_on_gp lpl_on_gp prostanoid_on_gp leukotriene_on_gp
25.00Consensusmc4_onOrthosteric Ligand7AUE-MC4-Setmelanotide-chim(NtGi1L-Gs)/β1/γ2 7F58-MC4-THIQ-Gs/β1/γ2 7F54-MC4-Afamelanotide-Gs/β1/γ2 7F53-MC4-α-MSH-Gs/β1/γ2 7F55-MC4-Bremelanotide-Gs/β1/γ2
25.00Consensusnmur1_on_gpOrthosteric Ligand7W53-NMUR1-Neuromedin-U-25-chim(NtGi1-Gs-CtGq)/β1/γ2
25.00Consensusnpy4_onOrthosteric Ligand7X9C-Y4-Pancreatic Hormone-Gi1/β1/γ2
25.00Consensusnpy4_on_gpOrthosteric Ligand7X9C-Y4-Pancreatic Hormone-Gi1/β1/γ2
25.00Consensusp2y_onOrthosteric Ligandp2y1_on p2y10_on p2y12_on
25.00Consensusprotein_on_gpOrthosteric Ligandchemokine_on_gp chemerin_on_gp
25.00Consensusrxfp4_onOrthosteric Ligand7YK7-RXFP4-DC591053-Gi2/β1/γ2 7YJ4-RXFP4-INSL5-Gi2/β1/γ2 7YK6-RXFP4-PubChem 138319674-Gi2/β1/γ2
25.00Consensusrxfp4_on_gpOrthosteric Ligand7YK7-RXFP4-DC591053-Gi2/β1/γ2 7YJ4-RXFP4-INSL5-Gi2/β1/γ2 7YK6-RXFP4-PubChem 138319674-Gi2/β1/γ2
25.00Consensussst5_onOrthosteric Ligand8X8L-SST5-Cortistatin-14-chim(NtGi1-Gs-CtGi1)/β1/γ2 8X8N-SST5-Octreotide-chim(NtGi1-Gs-CtGi1)/β1/γ2
24.00Single7YOONeuropeptide-Y7YOO-Y2-Neuropeptide-Y-Gi1/β1/γ2
24.00Single9K26PrRP319K26-PrRP-PrRP31-Gi1/β1/γ2
24.00Single9KDFRES-701-39KDF-ETB-RES-701-3
24.00Consensusgq_peptideOrthosteric Ligandgq_cck gq_kisspeptin gq_bradykinin gq_bombesin gq_angiotensin
24.00Consensusnpy2_onOrthosteric Ligand7YOO-Y2-Neuropeptide-Y-Gi1/β1/γ2
24.00Consensusnpy2_on_gpOrthosteric Ligand7YOO-Y2-Neuropeptide-Y-Gi1/β1/γ2
24.00Consensuspeptide_onOrthosteric Ligandcck_on angiotensin_on apelin_on bombesin_on bradykinin_on compl-peptide_on endothelin_on formylpeptide_on galanin_on ghrelin_on kisspeptin_on melanocortin_on motilin_on neuromedin-u_on npy_on neurotensin_on opioid_on orexin_on relaxin_on somatostatin_on tachykinin_on trh_on vasop-oxy_on
24.00Consensuspeptide_on_gpOrthosteric Ligandcck_on_gp angiotensin_on_gp apelin_on_gp bombesin_on_gp bradykinin_on_gp compl-peptide_on_gp endothelin_on_gp formylpeptide_on_gp galanin_on_gp ghrelin_on_gp kisspeptin_on_gp melanocortin_on_gp motilin_on_gp neuromedin-u_on_gp npy_on_gp neurotensin_on_gp opioid_on_gp orexin_on_gp relaxin_on_gp somatostatin_on_gp tachykinin_on_gp trh_on_gp vasop-oxy_on_gp
23.81Single7EZKCholecystokinin-87EZK-CCKA-Cholecystokinin-8-chim(NtGi1-Gs)/β1/γ2
23.81Single7F1QCCL37F1Q-CCR5-CCL3-Gi1/β1/γ2
23.81Single7WJ5Somatostatin-147WJ5-SST2-Somatostatin-14-Gi1/β1/γ2
23.81Single8F7SDeltorphin8F7S-δ-Deltorphin-Gi1/β1/γ2
23.81Single8SG1Chemerin-98SG1-CML1-Chemerin-9-Gi1/β1/γ2
23.81Single8WSSMCH8WSS-MCH1-MCH-Gi1/β1/γ1
23.81Single8Z7JJN241-98Z7J-Apelin-JN241-9-Gi1/β1/γ2
23.81Single9IQVMuscarinic toxin 39IQV-Alpha1A-Muscarinic toxin 3
23.81Single9JFK(Pen5)-Urotensin II9JFK-UT-(Pen5)-Urotensin II-chim(NtGi2L-Gs-CtGq)/β1/γ2
23.81Single9KT7MK68929KT7-HCA2-MK6892-Gi1/β1/γ2
23.81Single9UMXEP549UMX-C5a1-EP54-Go/β1/γ2
23.81Consensusccr8_on_gpOrthosteric Ligand8KFX-CCR8-LMD-009-Gi1/β1/γ2 8KFY-CCR8-ZK-756326-Gi1/β1/γ2 8U1U-CCR8-CCL1-Gi1/β1/γ2
23.81Consensusdop_on_gpOrthosteric Ligand8F7S-δ-Deltorphin-Gi1/β1/γ2
23.81Consensusgi_ghrelinOrthosteric Ligand7NA7-Ghrelin-Ghrelin-Gi1/β1/γ2 7NA8-Ghrelin-Ibutamoren-Gi1/β1/γ2
23.81Consensusmc4_on_gpOrthosteric Ligand7AUE-MC4-Setmelanotide-chim(NtGi1L-Gs)/β1/γ2 7F58-MC4-THIQ-Gs/β1/γ2 7F54-MC4-Afamelanotide-Gs/β1/γ2 7F53-MC4-α-MSH-Gs/β1/γ2 7F55-MC4-Bremelanotide-Gs/β1/γ2
23.53Single5V56TC1145V56-SMO-TC114
23.53Single5V57TC1145V57-SMO-TC114
23.53Single6GT3Imaradenant6GT3-A2A-Imaradenant-Na
23.53Single6N4BMDMB-Fubinaca6N4B-CB1-MDMB-Fubinaca-Gi1/β1/γ2
23.53Single7EW7SEW28717EW7-S1P1-SEW2871-Gi1/β1/γ2
23.53Single7M8W15r-Methyl-PGD27M8W-DP2-15r-Methyl-PGD2-Na
23.53Single7PX4PSB-21137PX4-A2A-PSB-2113
23.53Single7R0CAVP7R0C-V2-AVP-Arrestin2
23.53Single7XBDGalanin7XBD-GAL2-Galanin-chim(NtGi2L-Gs-CtGq)/β1/γ2
23.53Single7XTQR3997XTQ-GPBA-R399-Gs/β1/γ2
23.53Single7Y67C089 peptide7Y67-C5a1-C089 peptide-Gi1/β1/γ2
23.53Single7YU7ONO-07405567YU7-LPA1-ONO-0740556-Gi1/β1/γ2
23.53Single8HPTC5a (C-terminal peptide)8HPT-C5a1-C5a (C-terminal peptide)-Go/β1/γ2
23.53Single8JSRAnamorelin8JSR-Ghrelin-Anamorelin-chim(NtGi1-Gs-CtGq)/β1/γ2
23.53Single8T1VPubChem 1183102098T1V-GPR6-PubChem 118310209-Na
23.53Single8XIPPasireotide8XIP-SST1-Pasireotide-chim(NtGi1-Gs-CtGi1)/β1/γ2
23.53Single8XZICMF-0198XZI-Apelin; Apelin-CMF-019-Gi1/β1/γ2
23.53Single8ZW0PGD28ZW0-DP1-PGD2-Gs/β1/γ2
23.53Single8ZWFJR14a8ZWF-C3aB-JR14a
23.53Single9B65MDMB-Fubinaca9B65-CB1-MDMB-Fubinaca-Gi1/β1/γ2
23.53Single9EGOZ85267113509EGO-CB1-Z8526711350-Gi1/β1/γ2
23.53Single9IK9Lanreotide9IK9-SST1-Lanreotide-Gi1/β1/γ2
23.53Single9IZGLPA9IZG-LPA1-LPA-chim(NtGi1-Gs-CtGq)/β1/γ2
23.53Single9JCLADP9JCL-P2Y1-ADP-chim(Gs-CtGq)/β1/γ2
23.53Single9JMCDS-3801b9JMC-Motilin-DS-3801b-chim(Gs-CtGq)/β1/γ2
23.53Single9KVPSB2901579KVP-C3aB-SB290157-Go/β1/γ2
23.53Single9L16CCL219L16-CCR7-CCL21
23.53Single9MENGp120 (V3 loop)9MEN-CXCR4-Gp120 (V3 loop)
23.53Single9WSTDAMGO9WST-μ-DAMGO-chim(NtGi1-Gz)/β1/γ2
23.53Consensusclass-a_offOrthosteric Ligandsensory_off alicarboxylic_off amine_off lipid_off nucleotide_off peptide_off protein_off
23.53Consensusgi_cannabinoidOrthosteric Ligand8GUR-CB2-CP55940-Gi1/β1/γ2 8GUS-CB2-HU-308-Gi1/β1/γ2 8GUT-CB2-LEI-102-Gi1/β1/γ2 8GUQ-CB2-Olorinab-Gi1/β1/γ2 6KPF-CB2-AM12033-Gi1/β1/γ2 6PT0-CB2-WIN 55212-2-Gi1/β1/γ2 6KPG-CB1-AM841-Gi1/β1/γ2
23.53Consensusgi_relaxinOrthosteric Ligand7YK7-RXFP4-DC591053-Gi2/β1/γ2 7YJ4-RXFP4-INSL5-Gi2/β1/γ2 7YK6-RXFP4-PubChem 138319674-Gi2/β1/γ2
23.53Consensusnpy_offOrthosteric Ligandnpy1_off npy2_off
23.53Consensusrelaxin_onOrthosteric Ligandrxfp4_on
23.53Consensusrelaxin_on_gpOrthosteric Ligandrxfp4_on_gp
23.08Single4O9RCyclopamine4O9R-SMO-Cyclopamine
23.08Single6LI0C176LI0-GPR52-C17
23.08Single7VGXNeuropeptide-Y7VGX-Y1-Neuropeptide-Y-Gi1/β1/γ2
23.08Single7VUIJNJ-635330547VUI-GPR139-JNJ-63533054-GTP-chim(Gs-CtGq)/β1/γ2
23.08Single7XP6Strychnine7XP6-TAS2R46-Strychnine-chim(Gs-CtGt3)/β1/γ2
23.08Single8IY5Endothelin-18IY5-ETB-Endothelin-1-Gi1/β1/γ2
23.08Single8IY6Endothelin-18IY6-ETB-Endothelin-1
23.08Single8JPNCis-Epoxysuccinic acid8JPN-Succinate-Cis-Epoxysuccinic acid-Gi1/β1/γ1
23.08Single8U4RREGN7663-Fab8U4R-CXCR4-REGN7663-Fab
23.08Single8WP1Cis-Epoxysuccinic acid8WP1-Succinate-Cis-Epoxysuccinic acid-Gi1/β1/γ2
23.08Single8YKWSuccinic acid8YKW-Succinate-Succinic acid-Gi1/β1/γ1
23.08Single8ZSVRO52633978ZSV-TA1-RO5263397-chim(NtGi1-Gs)/β1/γ2
23.08Single9B9YTaranabant9B9Y-CB1-Taranabant
23.08Single9E7RGB889E7R-PAR2-GB88-chim(NtGi1L-Gs-CtGq)/β1/γ2
23.08Consensusetb_onOrthosteric Ligand8IY5-ETB-Endothelin-1-Gi1/β1/γ2 8HBD-ETB-IRL1620-Gi1/β1/γ2
23.08Consensusgs_melanocortinOrthosteric Ligand7F4H-MC1-Afamelanotide-chim(NtGi1-Gs)/β1/γ2 7F54-MC4-Afamelanotide-Gs/β1/γ2 7F4D-MC1-α-MSH-chim(NtGi1-Gs)/β1/γ2 8INR-MC5-α-MSH-Ca-chim(NtGi1-Gs)/β1/γ2 7F53-MC4-α-MSH-Gs/β1/γ2 7F55-MC4-Bremelanotide-Gs/β1/γ2 8GY7-MC2-Corticotropin-Ca-chim(NtGi1-Gs)/β1/γ2; MRAP1 8IOC-MC3-γ-MSH-Ca-chim(NtGi1-Gs)/β1/γ2 8IOD-MC5-PG-901-Ca-chim(NtGi1-Gs)/β1/γ2 7AUE-MC4-Setmelanotide-chim(NtGi1L-Gs)/β1/γ2 7F4I-MC1-SHU9119-chim(NtGi1-Gs)/β1/γ2 7F58-MC4-THIQ-Gs/β1/γ2
22.73Single7TD0LPA7TD0-LPA1-LPA-Gi1/β1/γ2
22.73Single8K6MNeuropeptide-Y8K6M-Y1-Neuropeptide-Y-Gi2/β1/γ1
22.73Single8K6NNeuropeptide-Y8K6N-Y2-Neuropeptide-Y-Gi2/β1/γ1
22.73Single8WKZSBL-MC-318WKZ-MC4-SBL-MC-31
22.73Single8XIRPasireotide8XIR-SST3-Pasireotide-chim(NtGi1-Gs-CtGi1)/β1/γ2
22.73Consensusgi_somatostatinOrthosteric Ligand7WIC-SST2-Somatostatin-14-Gi1/β1/γ2 7XMS-SST4-Somatostatin-14-Gi1/β1/γ2 8X8L-SST5-Cortistatin-14-chim(NtGi1-Gs-CtGi1)/β1/γ2 7XMT-SST4-J-2156-Gi1/β1/γ2 7WIG-SST2-L-054264-Gi1/β1/γ2 8X8N-SST5-Octreotide-chim(NtGi1-Gs-CtGi1)/β1/γ2 7YAE-SST2-Octreotide-Gi1/β1/γ2 7YAC-SST2-Paltusotine-Gi1/β1/γ2
22.73Consensusgs_cckOrthosteric Ligand7MBX-CCKA-Cholecystokinin-8-Gs/β1/γ1
22.73Consensusgs_class-aOrthosteric Ligandgs_peptide gs_nucleotide gs_amine
22.73Consensusnpy1_onOrthosteric Ligand8K6M-Y1-Neuropeptide-Y-Gi2/β1/γ1
22.73Consensusnpy1_on_gpOrthosteric Ligand8K6M-Y1-Neuropeptide-Y-Gi2/β1/γ1
22.73Consensuspeptide_offonOrthosteric Ligandpeptide_off peptide_on
22.73Consensussomatostatin_onOrthosteric Ligandsst2_on sst4_on sst5_on
22.73Consensussomatostatin_on_gpOrthosteric Ligandsst2_on_gp sst4_on_gp sst5_on_gp
22.22Single4N4WSANT-14N4W-SMO-SANT-1
22.22Single4RWADIPP-NH24RWA-δ-DIPP-NH2
22.22Single4Z36ONO-30805734Z36-LPA1-ONO-3080573
22.22Single5X33BIIL2605X33-BLT1-BIIL260
22.22Single6AK3PGE26AK3-EP3-PGE2
22.22Single6C1RPMX536C1R-C5a1-PMX53-Avacopan; Na
22.22Single6IGKEndothelin-36IGK-ETB-Endothelin-3
22.22Single7BZ2Arformoterol7BZ2-β2-Arformoterol-Gs/β1/γ2
22.22Single7DFPSpiperone7DFP-D2-Spiperone
22.22Single7EO4Siponimod7EO4-S1P1-Siponimod-Gi1/β1/γ2
22.22Single7EW2FTY720-P7EW2-S1P3-FTY720-P-Gi1/β1/γ2
22.22Single7F55Bremelanotide7F55-MC4-Bremelanotide-Gs/β1/γ2
22.22Single7L1UOrexin7L1U-OX2-Orexin-chim(NtGi1-Gs-CtGq)/β1/γ2
22.22Single7MTRADX551647MTR-mGlu2; mGlu2-Glutamate-ADX55164
22.22Single7SUSPubChem 1227019087SUS-Apelin-PubChem 122701908
22.22Single7T6BS1P7T6B-S1P2-S1P-chim(NtGi1L-G13)/β1/γ2
22.22Single7W0LPubChem 1227019087W0L-Apelin; Apelin-PubChem 122701908-Gi1/β1/γ2
22.22Single7W0LPubChem 1227019087W0L-Apelin; Apelin-PubChem 122701908-Gi1/β1/γ2
22.22Single7WCNAR2314537WCN-GPR119-AR231453-Gs/β1/γ2
22.22Single7XJKGalanin7XJK-GAL2-Galanin-chim(NtGi2L-Gs-CtGq)/β1/γ2
22.22Single7Y66BM2137Y66-C5a1-BM213-Gi1/β1/γ2
22.22Single8G056-OAU8G05-GPR84-6-OAU-Gi1/β1/γ2
22.22Single8GCPPGE28GCP-EP4-PGE2-Gi1/β1/γ2
22.22Single8I9AEP548I9A-C3aB-EP54-chim(NtGi1-Gs-CtGq)/β1/γ2
22.22Single8JJLOlodaterol8JJL-β2-Olodaterol
22.22Single8JJPChemerin-98JJP-CML2-Chemerin-9-Gi1/β1/γ2
22.22Single8U1UCCL18U1U-CCR8-CCL1-Gi1/β1/γ2
22.22Single8XQSCholesterol8XQS-TAS2R14-Cholesterol-Flufenamic acid-Gi1/β1/γ1
22.22Single8XX3CXCL38XX3-CXCR2-CXCL3-Go/β1/γ2
22.22Single9BJKPubChem 1716420669BJK-μ-Naloxone-PubChem 171642066
22.22Single9DGIZ85267113509DGI-CB1-Z8526711350
22.22Single9GGGI-BOP9GGG-TXA2-I-BOP-chim(NtGi2L-Gs-CtGq)/β1/γ2
22.22Single9L3WChemerin9L3W-CML1-Chemerin-Gi1/β1/γ2
22.22Single9M8POleic monoethanolamide9M8P-GPR3 ; GPR3-Oleic monoethanolamide-AF64394
22.22Single9V6ONalfurafine9V6O-κ-Nalfurafine-Gi1/β1/γ2
22.22Single9WSVDAMGO9WSV-μ-DAMGO-Arrestin2
22.22Single9YDQDADLE9YDQ-δ-DADLE-MIPS3614-chim(NtGi1L-Gs-CtGi1)/β1/γ2
22.22Consensusbeta3_onOrthosteric Ligand7DH5-β3-Mirabegron-Gs/β1/γ2 7XJH-β3-Isoprenaline-Gs/β1/γ2 7XJI-β3-Solabegron-Gs/β1/γ2
22.22Consensusbeta3_on_gpOrthosteric Ligand7DH5-β3-Mirabegron-Gs/β1/γ2 7XJH-β3-Isoprenaline-Gs/β1/γ2 7XJI-β3-Solabegron-Gs/β1/γ2
22.22Consensuscannabinoid_onOrthosteric Ligandcb2_on cb1_on
22.22Consensuscannabinoid_on_gpOrthosteric Ligandcb2_on_gp cb1_on_gp
22.22Consensusgalanin_onOrthosteric Ligandgal2_on gal1_on
22.22Consensusgalanin_on_gpOrthosteric Ligandgal2_on_gp gal1_on_gp
22.22Consensusgi_lipidOrthosteric Ligandgi_cannabinoid gi_ffa gi_leukotriene gi_lpa gi_s1p
22.22Consensusgi_npyOrthosteric Ligand8K6M-Y1-Neuropeptide-Y-Gi2/β1/γ1 7X9C-Y4-Pancreatic Hormone-Gi1/β1/γ2 7YOO-Y2-Neuropeptide-Y-Gi1/β1/γ2
22.22Consensuskop_onOrthosteric Ligand8F7W-κ-Dynorphin-Gi1/β1/γ2 8DZS-κ-GR89,696-chim(NtGi2-Gz)/β1/γ2 8DZP-κ-momSalB-Gi1/β1/γ2
22.22Consensuslpa1_offOrthosteric Ligand4Z36-LPA1-ONO-3080573 4Z35-LPA1-ONO-9910539 4Z34-LPA1-ONO-9780307
22.22Consensuslpa_offOrthosteric Ligandlpa1_off
22.22Consensusnpy_onOrthosteric Ligandnpy1_on npy2_on npy4_on
22.22Consensusnpy_on_gpOrthosteric Ligandnpy1_on_gp npy2_on_gp npy4_on_gp
22.22Consensusopioid_offOrthosteric Ligandmop_off nop_off dop_off kop_off
22.22Consensuss1p1_onOrthosteric Ligand7VIE-S1P1-S1P-Gi1/β1/γ2 7VIF-S1P1-FTY720-P-Gi1/β1/γ2 7VIG-S1P1-CBP-307-Gi1/β1/γ2 7EVY-S1P1-Siponimod-Gi1/β1/γ2 7EVZ-S1P1-Cenerimod-Gi1/β1/γ2 7EW0-S1P1-Ozanimod-Gi1/β1/γ2 7EW7-S1P1-SEW2871-Gi1/β1/γ2
22.22Consensuss1p1_on_gpOrthosteric Ligand7VIE-S1P1-S1P-Gi1/β1/γ2 7VIF-S1P1-FTY720-P-Gi1/β1/γ2 7VIG-S1P1-CBP-307-Gi1/β1/γ2 7EVY-S1P1-Siponimod-Gi1/β1/γ2 7EVZ-S1P1-Cenerimod-Gi1/β1/γ2 7EW0-S1P1-Ozanimod-Gi1/β1/γ2 7EW7-S1P1-SEW2871-Gi1/β1/γ2
21.74Single7DW9AVP7DW9-V2-AVP-chim(NtGi1-Gs)/β1/γ2
21.74Single7T10Somatostatin-147T10-SST2-Somatostatin-14-Gi3/β1/γ2
21.74Single7W57Neuromedin-S7W57-NMUR2-Neuromedin-S-chim(NtGi1-Gs-CtGq)/β1/γ2
21.74Single7YONPeptide-YY(3-36)7YON-Y2-Peptide-YY(3-36)-Gi1/β1/γ2
21.74Single8X8LCortistatin-148X8L-SST5-Cortistatin-14-chim(NtGi1-Gs-CtGi1)/β1/γ2
21.74Single8ZBISomatostatin-148ZBI-SST3-Somatostatin-14-Gi1/β1/γ2
21.74Consensusgs_vasop-oxyOrthosteric Ligand7DW9-V2-AVP-chim(NtGi1-Gs)/β1/γ2
21.74Consensusp2y_on_gpOrthosteric Ligandp2y1_on_gp p2y10_on_gp p2y12_on_gp
21.74Consensusv2_onOrthosteric Ligand7DW9-V2-AVP-chim(NtGi1-Gs)/β1/γ2
21.74Consensusv2_on_gpOrthosteric Ligand7DW9-V2-AVP-chim(NtGi1-Gs)/β1/γ2
21.74Consensusvasop-oxy_onOrthosteric Ligandv2_on
21.74Consensusvasop-oxy_on_gpOrthosteric Ligandv2_on_gp
21.43Single2X72All-trans-Retinal2X72-Rhodopsin-All-trans-Retinal-Gt(CT)
21.43Single3PWHZM-2413853PWH-A2A-ZM-241385
21.43Single4QINSAG1.54QIN-SMO-SAG1.5
21.43Single4S0VSuvorexant4S0V-OX2-Suvorexant
21.43Single5OLOTozadenant5OLO-A2A-Tozadenant-Na
21.43Single5OLVLUAA470705OLV-A2A-LUAA47070-Na
21.43Single5U09Taranabant5U09-CB1-Taranabant
21.43Single5WS3EMPA5WS3-OX2-EMPA
21.43Single6AKXA4R6AKX-CCR5-A4R
21.43Single6AKYMaraviroc6AKY-CCR5-Maraviroc
21.43Single6O3CSAG21k6O3C-SMO-SAG21k-Cholesterol
21.43Single6RNKNF-56-EJ406RNK-Succinate-NF-56-EJ40
21.43Single6TPJSuvorexant6TPJ-OX2-Suvorexant
21.43Single7BR3Elagolix7BR3-GnRH1-Elagolix
21.43Single7F8ULintitript7F8U-CCKA-Lintitript
21.43Single7F8YDevazepide7F8Y-CCKA-Devazepide
21.43Single7LD4Adenosine7LD4-A1-Adenosine-Gi2/β1/γ2
21.43Single7SK6CXCL12_LRHQ7SK6-ACKR3-CXCL12_LRHQ
21.43Single7VUJJNJ-635330547VUJ-GPR139-JNJ-63533054-GDP-chim(Gs-CtGq)/β1/γ2
21.43Single7W0MPubChem 1227019087W0M-Apelin-PubChem 122701908-Gi1/β1/γ2
21.43Single7XJJGalanin7XJJ-GAL1-Galanin-Go/β1/γ2
21.43Single7XRRLemborexant7XRR-OX2-Lemborexant
21.43Single8DWGML3828DWG-MRGPRX1-BAM8-22-ML382-chim(NtGi2L-Gs-CtGq)/β1/γ2
21.43Single8EFOPZM218EFO-μ-PZM21-Gi1/β1/γ2
21.43Single8HBDIRL16208HBD-ETB-IRL1620-Gi1/β1/γ2
21.43Single8HMPC178HMP-GPR52-C17-Gs/β1/γ2
21.43Single8JPPSuccinic acid8JPP-Succinate-Succinic acid-chim(Gs-CtGq)/β1/γ1
21.43Single8JSOAMPH8JSO-TA1-AMPH-chim(NtGi1-Gs)/β1/γ2
21.43Single8RW4AzoSwitch28RW4-A2A-AzoSwitch2-Na
21.43Single8RWEStilSwitch48RWE-A2A-StilSwitch4-Na
21.43Single8WC4ZH86518WC4-TA1-ZH8651-chim(NtGi1-Gs)/β1/γ2
21.43Single8WCA2-Phenylethylamine8WCA-TA1-2-Phenylethylamine-chim(NtGi1-Gs)/β1/γ2
21.43Single8WOGSuccinic acid8WOG-Succinate-Succinic acid-Gi1/β1/γ2
21.43Single8XXVIndomethacin8XXV-DP2-Indomethacin-A1D5Q-Gi1/β1/γ2
21.43Single8Y0HVUF114188Y0H-CXCR3-VUF11418
21.43Single8Y0NVUF114188Y0N-CXCR3-VUF11418-Go/β1/γ2
21.43Single8YKXMaleic acid8YKX-Succinate-Maleic acid-Gi1/β1/γ1
21.43Single8YYWAlpha-ketoglutarate8YYW-Oxoglutarate-α-ketoglutarate-α-ketoglutarate-chim(Gi1-CtGq)/β1/γ2
21.43Single9FUPIstradefylline9FUP-A2A-Istradefylline-Na
21.43Single9J5VCpY9J5V-LPA1-CpY-Gi1/β1/γ2
21.43Single9K6LSalicin9K6L-TAS2R16-Salicin-Gi2/β1/γ2
21.43Single9KPESalicin9KPE-TAS2R16-Salicin-Gi1/β1/γ2
21.43Single9VJEBuspirone9VJE-5-HT1A-Buspirone-Go/β1/γ2
21.43Single9W49U-50488H9W49-κ-U-50488H-Gi1/β1/γ2
21.43Consensusa1_onOrthosteric Ligand7LD4-A1-Adenosine-Gi2/β1/γ2
21.43Consensusa1_on_gpOrthosteric Ligand7LD4-A1-Adenosine-Gi2/β1/γ2
21.43Consensusangiotensin_offOrthosteric Ligandat1_off
21.43Consensusgi_succinateOrthosteric Ligand8YKW-Succinate-Succinic acid-Gi1/β1/γ1 8YKX-Succinate-Maleic acid-Gi1/β1/γ1
21.43Consensusgnrh1_offOrthosteric Ligand7BR3-GnRH1-Elagolix
21.43Consensusmelanocortin_onOrthosteric Ligandmc1_on mc4_on mc2_on mc3_on mc5_on
21.43Consensusmelanocortin_on_gpOrthosteric Ligandmc1_on_gp mc4_on_gp mc2_on_gp mc3_on_gp mc5_on_gp
21.43Consensusorexin_offOrthosteric Ligandox2_off ox1_off
21.43Consensusox1_offOrthosteric Ligand6TP6-OX1-Filorexant 6TP4-OX1-ACT-462206 6V9S-OX1-GTPL11403 6TOT-OX1-Lemborexant 6TP3-OX1-Nemorexant 6TQ6-OX1-PubChem 145714283 6TQ9-OX1-SB-408124 4ZJC-OX1-SB-674042 4ZJ8-OX1-Suvorexant 6TOD-OX1-EMPA-Na 6TOS-OX1-GSK1059865-Na 6TQ4-OX1-PubChem 16046844-Na
21.43Consensusox2_offOrthosteric Ligand5WQC-OX2-EMPA 6TPN-OX2-HTL6641 7XRR-OX2-Lemborexant 6TPJ-OX2-Suvorexant
21.43Consensussuccinate_onOrthosteric Ligand8YKW-Succinate-Succinic acid-Gi1/β1/γ1 8YKX-Succinate-Maleic acid-Gi1/β1/γ1
21.43Consensussuccinate_on_gpOrthosteric Ligand8YKW-Succinate-Succinic acid-Gi1/β1/γ1 8YKX-Succinate-Maleic acid-Gi1/β1/γ1
21.05Single4Z35ONO-99105394Z35-LPA1-ONO-9910539
21.05Single5TUDErgotamine5TUD-5-HT2B-Ergotamine
21.05Single6BQHRitanserin6BQH-5-HT2C-Ritanserin
21.05Single6DDFDAMGO6DDF-μ-DAMGO-Gi1/β1/γ2
21.05Single6IBLArformoterol6IBL-β1-Arformoterol
21.05Single6TKOArformoterol6TKO-β1-Arformoterol-Arrestin2
21.05Single7D7MPGE27D7M-EP4-PGE2-Gs/β1/γ1
21.05Single7EW0Ozanimod7EW0-S1P1-Ozanimod-Gi1/β1/γ2
21.05Single7EZHCholecystokinin-87EZH-CCKA-Cholecystokinin-8-Gi1/β1/γ2
21.05Single7EZMCholecystokinin-87EZM-CCKA-Cholecystokinin-8-chim(NtGsL-Gq)/β1/γ2
21.05Single7LLLExendin-47LLL-GLP-1-Exendin-4-Gs/β1/γ2
21.05Single7MTSADX551647MTS-mGlu2; mGlu2-Glutamate-ADX55164-Gi1/β1/γ2
21.05Single7PIUSetmelanotide7PIU-MC4-Setmelanotide-Gs/β1/γ2
21.05Single7X1UTRH7X1U-TRH-TRH-chim(NtGi2L-Gs-CtGq)/β1/γ2
21.05Single7X2DTavapadon7X2D-D1-Tavapadon-Gs/β1/γ2
21.05Single7X8RBOC57X8R-GLP-1-BOC5-Gs/β1/γ2
21.05Single7XJISolabegron7XJI-β3-Solabegron-Gs/β1/γ2
21.05Single7Y27Somatostatin-147Y27-SST2-Somatostatin-14-chim(NtGi2L-Gs-CtGq)/β1/γ2
21.05Single7YU8ONO-07405567YU8-LPA1-ONO-0740556-Gi1/β1/γ2
21.05Single8GAGZ85267113508GAG-CB1-Z8526711350-Gi1/β1/γ2
21.05Single8HN1Toxin AdTx18HN1-Alpha1A-Toxin AdTx1
21.05Single8I95EP548I95-C3aB-EP54-Go/β1/γ2
21.05Single8ID8TUG-8918ID8-FFA4-TUG-891-Gi1/β1/γ2
21.05Single8IJDMK68928IJD-HCA2-MK6892-Gi1/β1/γ2
21.05Single8IYSTUG-8918IYS-FFA4-TUG-891-GDP-chim(NtGi1L-Gq)/β1/γ2
21.05Single8J19LY2378J19-GPR84-LY237-Gi1/β1/γ2
21.05Single8K2XCXCL108K2X-CXCR3-CXCL10-Gi1/β1/γ2
21.05Single8XBES3E-Lysophosphatidylserine 8XBE-GPR34-S3E-Lysophosphatidylserine-Gi1/β1/γ1
21.05Single8XGSKisspeptin-18XGS-Kiss1-Kisspeptin-1-chim(NtGi1-Gq)/β1/γ2
21.05Single8XIOL7975918XIO-SST1-L797591-chim(NtGi1-Gs-CtGi1)/β1/γ2
21.05Single8XVUCXCL28XVU-CXCR2-CXCL2
21.05Single8XWFCXCL38XWF-CXCR2-CXCL3
21.05Single8XXHCXCL28XXH-CXCR2-CXCL2-Go/β1/γ2
21.05Single8ZX4Lysophosphatidylinositol 8ZX4-GPR55-Lysophosphatidylinositol-chim(NtGi1-G13)/β1/γ2
21.05Single9GE3Lysophosphatidylinositol9GE3-GPR55-Lysophosphatidylinositol-chim(NtGi1-G13)/β1/γ2
21.05Single9GG5U466199GG5-TXA2-U46619-chim(NtGi2L-Gs-CtGq)/β1/γ2
21.05Single9L79AR2314539L79-GPR119-AR231453-chim(NtGi1-Gs)/β1/γ2
21.05Single9M1HPGE29M1H-EP1-PGE2-chim(NtGi1-Gs-CtGq)/β1/γ2
21.05Single9WP9S1P9WP9-S1P3-S1P-chim(NtGi2L-Gs-CtGq)/β1/γ2
21.05Single9YDPDADLE9YDP-δ-DADLE-chim(NtGi1L-Gs-CtGi1)/β1/γ2
21.05Consensus5ht2c_offOrthosteric Ligand6BQH-5-HT2C-Ritanserin
21.05Consensuscb1_on_gpOrthosteric Ligand6KPG-CB1-AM841-Gi1/β1/γ2 8K8J-CB1-Fenofibrate-chim(Gs-CtGq)/β1/γ2
21.05Consensusccka_onOrthosteric Ligand7EZH-CCKA-Cholecystokinin-8-Gi1/β1/γ2
21.05Consensusccka_on_gpOrthosteric Ligand7EZH-CCKA-Cholecystokinin-8-Gi1/β1/γ2
21.05Consensuschemerin_onOrthosteric Ligandcml1_on
21.05Consensusfp-alpha_onOrthosteric Ligand8IUK-FP-alpha-PGF2-α-chim(NtGi1-Gs-CtGq)/β1/γ2 8IUL-FP-alpha-Latanoprost-chim(NtGi1-Gs-CtGq)/β1/γ2 8IUM-FP-alpha-Tafluprost acid-chim(NtGi1-Gs-CtGq)/β1/γ2
21.05Consensusfp-alpha_on_gpOrthosteric Ligand8IUK-FP-alpha-PGF2-α-chim(NtGi1-Gs-CtGq)/β1/γ2 8IUL-FP-alpha-Latanoprost-chim(NtGi1-Gs-CtGq)/β1/γ2 8IUM-FP-alpha-Tafluprost acid-chim(NtGi1-Gs-CtGq)/β1/γ2
21.05Consensusgi_s1pOrthosteric Ligand7VIE-S1P1-S1P-Gi1/β1/γ2 7EW3-S1P3-S1P-Gi1/β1/γ2 7EVY-S1P1-Siponimod-Gi1/β1/γ2 7EW1-S1P5-Siponimod-Gi1/β1/γ2 7VIF-S1P1-FTY720-P-Gi1/β1/γ2 7VIG-S1P1-CBP-307-Gi1/β1/γ2 7EVZ-S1P1-Cenerimod-Gi1/β1/γ2 7EW4-S1P3-CYM-5541-Gi1/β1/γ2 7EW2-S1P3-FTY720-P-Gi1/β1/γ2 7EW0-S1P1-Ozanimod-Gi1/β1/γ2 7EW7-S1P1-SEW2871-Gi1/β1/γ2
21.05Consensuskop_on_gpOrthosteric Ligand8F7W-κ-Dynorphin-Gi1/β1/γ2 8DZS-κ-GR89,696-chim(NtGi2-Gz)/β1/γ2 8DZP-κ-momSalB-Gi1/β1/γ2
21.05Consensuspeptide_offOrthosteric Ligandcck_off angiotensin_off bombesin_off endothelin_off ghrelin_off npy_off opioid_off orexin_off somatostatin_off tachykinin_off vasop-oxy_off neurotensin_off
20.83Single7F9YGhrelin7F9Y-Ghrelin-Ghrelin-chim(NtGi1-Gs-CtGq)/β1/γ2
20.83Single7VL9CCL15(26-92)7VL9-CCR1-CCL15(26-92)-Gi1/β1/γ2
20.83Single8HK5C5a8HK5-C5a1-C5a-Gi1/β1/γ2
20.83Single8IA2C5a8IA2-C5a1-C5a-Go/β1/γ2
20.83Single8XVHEndothelin-18XVH-ETB-Endothelin-1-chim(Gs-CtGq)/β1/γ2
20.83Consensuscml1_on_gpOrthosteric Ligand7YKD-CML1-Chemerin-9-Gi1/β1/γ2
20.83Consensusopioid_onOrthosteric Ligandmop_on nop_on dop_on kop_on
20.83Consensussst5_on_gpOrthosteric Ligand8X8L-SST5-Cortistatin-14-chim(NtGi1-Gs-CtGi1)/β1/γ2 8X8N-SST5-Octreotide-chim(NtGi1-Gs-CtGi1)/β1/γ2
20.00Single2YDOAdenosine2YDO-A2A-Adenosine
20.00Single4MBSMaraviroc4MBS-CCR5-Maraviroc
20.00Single4ZJCSB-6740424ZJC-OX1-SB-674042
20.00Single4ZUDOlmesartan4ZUD-AT1-Olmesartan
20.00Single5IU4ZM-2413855IU4-A2A-ZM-241385-Na
20.00Single5IUBQ274563445IUB-A2A-Q27456344-Na
20.00Single5K2CZM-2413855K2C-A2A-ZM-241385-Na
20.00Single5NM4ZM-2413855NM4-A2A-ZM-241385-Na
20.00Single5VBLAMG3054 5VBL-Apelin-AMG3054
20.00Single5ZTYAM102575ZTY-CB2-AM10257
20.00Single6AQFZM-2413856AQF-A2A-ZM-241385
20.00Single6C1QPMX536C1Q-C5a1-PMX53-NDT9513727
20.00Single6FJ3PTH6FJ3-PTH1-PTH
20.00Single6KUXRS799486KUX-α2a-RS79948
20.00Single6ME32-Phenylmelatonin6ME3-MT1-2-Phenylmelatonin
20.00Single6ME42-Iodomelatonin6ME4-MT1-2-Iodomelatonin
20.00Single6MH8ZM-2413856MH8-A2A-ZM-241385
20.00Single6PT0WIN 55212-26PT0-CB2-WIN 55212-2-Gi1/β1/γ2
20.00Single6TOSGSK10598656TOS-OX1-GSK1059865-Na
20.00Single6TP3Nemorexant6TP3-OX1-Nemorexant
20.00Single6TPGEMPA6TPG-OX2-EMPA
20.00Single6V9SGTPL114036V9S-OX1-GTPL11403
20.00Single6XBJCholesterol6XBJ-SMO-Cholesterol-Gi1/β1/γ2
20.00Single6XBLSAG6XBL-SMO-SAG-Cholesterol-Gi1/β1/γ2
20.00Single6ZDVPubChem 9840736ZDV-A2A-PubChem 984073-Na
20.00Single6ZFZ77-LH-28-16ZFZ-M1-77-LH-28-1
20.00Single6ZG9GSK10347026ZG9-M1-GSK1034702
20.00Single7AUESetmelanotide7AUE-MC4-Setmelanotide-chim(NtGi1L-Gs)/β1/γ2
20.00Single7F9ZGHRP-67F9Z-Ghrelin-GHRP-6-chim(NtGi1-Gs-CtGq)/β1/γ2
20.00Single7SK4CXCL12_LRHQ7SK4-ACKR3-CXCL12_LRHQ
20.00Single7SK9CCX6627SK9-ACKR3-CCX662
20.00Single7SR8TAK-9257SR8-OX2-TAK-925-chim(NtGi1L-Gs-CtGq)/β1/γ2
20.00Single7T32ZM-2413857T32-A2A-ZM-241385
20.00Single7UL3Famotidine7UL3-H2-Famotidine
20.00Single7UTZDPPC7UTZ-TSH-TSH-DPPC-Gs/β1/γ2
20.00Single7VUGJNJ-635330547VUG-GPR139-JNJ-63533054-Gi1/β1/γ2
20.00Single7WC9PubChem 1624213647WC9-5-HT2A-PubChem 162421364
20.00Single7X9ANeuropeptide-Y7X9A-Y1-Neuropeptide-Y-Gi1/β1/γ2
20.00Single7XN9L-0545227XN9-SST2-L-054522
20.00Single7XXH2MeSADP7XXH-P2Y1-2MeSADP-chim(NtGi1-G11)/β1/γ2
20.00Single7Y1FDynorphin7Y1F-κ-Dynorphin-Gi1/β1/γ2
20.00Single7YJ4INSL57YJ4-RXFP4-INSL5-Gi2/β1/γ2
20.00Single7ZI0SAG7ZI0-SMO-SAG-Cholesterol
20.00Single8GDAL9026888GDA-EP4-L902688-Gs/β1/γ2
20.00Single8GEJConstrained Epinephrine8GEJ-β2-Constrained Epinephrine-Gs/β1/γ2
20.00Single8GUQOlorinab8GUQ-CB2-Olorinab-Gi1/β1/γ2
20.00Single8GURCP559408GUR-CB2-CP55940-Gi1/β1/γ2
20.00Single8HNMVUF112228HNM-CXCR3-VUF11222-Gi1/β1/γ2
20.00Single8IA7Cholecystokinin-88IA7-CCKB-Cholecystokinin-8-chim(NtGi1L-Gq)/β1/γ2
20.00Single8IQ4Carboprost8IQ4-FP-alpha-Carboprost-chim(NtGi1-Gs-CtGq)/β1/γ2
20.00Single8IUMTafluprost acid8IUM-FP-alpha-Tafluprost acid-chim(NtGi1-Gs-CtGq)/β1/γ2
20.00Single8JLKUlotaront8JLK-TA1-Ulotaront-chim(NtGi1-Gs)/β1/γ2
20.00Single8JLQFenoldopam8JLQ-TA1-Fenoldopam-Gs/β1/γ2
20.00Single8JLRA776368JLR-TA1-A77636-chim(NtGi1-Gs)/β1/γ2
20.00Single8K2WAMG4878K2W-CXCR3-AMG487
20.00Single8K4NPubChem 1687197658K4N-GPR34-PubChem 168719765-Gi1/β1/γ2
20.00Single8RLNLUF58348RLN-A2A-LUF5834
20.00Single8RWCStilSwitch28RWC-A2A-StilSwitch2-Na
20.00Single8RWDStilSwitch38RWD-A2A-StilSwitch3-Na
20.00Single8V6UPubChem 1713924568V6U-5-HT2A-PubChem 171392456-chim(NtGi2-Gs-CtGq)/β1/γ2
20.00Single8W88SEP-3638568W88-TA1-SEP-363856-Gs/β1/γ2
20.00Single8WC8ZH86518WC8-TA1-ZH8651-chim(NtGi1-Gs)/β1/γ2
20.00Single8WCBCyclohexylammonium Ion8WCB-TA1-Cyclohexylammonium Ion-chim(NtGi1-Gs-CtGq)/β1/γ2
20.00Single8WCCCyclohexylammonium Ion8WCC-TA1-Cyclohexylammonium Ion
20.00Single8X3LXWD8X3L-CB2-XWD-Gi1/β1/γ2
20.00Single8X5YAstemizole8X5Y-H1-Astemizole
20.00Single8Y45ADL58598Y45-δ-ADL5859-Gi2/β1/γ2
20.00Single8Y72Peptide8Y72-μ-Peptide-BMS-986122-Gi1/β1/γ2
20.00Single8YKVPubChem 1375531688YKV-Succinate-PubChem 137553168-Gi1/β1/γ2
20.00Single9EPQ11,20-Ethanoretinal9EPQ-Rhodopsin-11,20-Ethanoretinal-chim(Gi1-CtGq)/β1/γ2
20.00Single9IPVJR14a9IPV-C3aB-JR14a-Gi1/β1/γ2
20.00Single9IPYJR14a9IPY-C3aB-JR14a
20.00Single9JKQMETH9JKQ-TA1-METH-Gs/β1/γ2
20.00Single9KFKRelaxin-39KFK-RXFP4-Relaxin-3-Gi2/β1/γ2
20.00Single9KPDSalicin9KPD-TAS2R16-Salicin-chim(Gs-CtGt3)/β1/γ2
20.00Single9KX6C5a-des-Arg9KX6-C5a1-C5a-des-Arg-Go/β1/γ2
20.00Single9KXSEP679KXS-C5a1-EP67-Go/β1/γ2
20.00Single9L8LBI1671079L8L-β2-BI167107-Atazanavir-Gs/β1/γ2 ; Arrestin2
20.00Single9M2FNeuropeptide-FF9M2F-NPFF1-Neuropeptide-FF-Gi1/β1/γ2
20.00Single9ODJMitragynine Pseudoindoxyl9ODJ-μ-Mitragynine Pseudoindoxyl-GTP; Mg-Gi1/β1/γ2
20.00Single9V2NMacimorelin9V2N-Ghrelin-Macimorelin-chim(NtGi1-Gs-CtGq)/β1/γ2
20.00Single9W33S5A19W33-SST5-S5A1
20.00Consensus5ht2a_offOrthosteric Ligand6A94-5-HT2A-Zotepine 6A93-5-HT2A-Risperidone 7VOD-5-HT2A-Cariprazine 7WC8-5-HT2A-Lumateperone 8JT8-5-HT2A-(R)-IHCH-7179
20.00Consensusat1_offOrthosteric Ligand4YAY-AT1-ZD-7155 4ZUD-AT1-Olmesartan
20.00Consensuscb1_offOrthosteric Ligand5U09-CB1-Taranabant 5TGZ-CB1-AM6538
20.00Consensuscb2_offOrthosteric Ligand5ZTY-CB2-AM10257
20.00Consensuscxcr2_onOrthosteric Ligand6LFM-CXCR2-CXCL8-Gi1/β1/γ2
20.00Consensuscxcr3_offOrthosteric Ligand8K2W-CXCR3-AMG487
20.00Consensuscxcr3_onOrthosteric Ligand8HNK-CXCR3-CXCL11-Gi1/β1/γ2 8HNL-CXCR3-PS372424-Gi1/β1/γ2
20.00Consensusdop_onOrthosteric Ligand8F7S-δ-Deltorphin-Gi1/β1/γ2
20.00Consensusghrelin_offOrthosteric Ligand6KO5-Ghrelin-PubChem 57400002 7F83-Ghrelin-PF-05190457
20.00Consensusgrh_offOrthosteric Ligandgnrh1_off
20.00Consensusnucleotide_offOrthosteric Ligandadenosine_off p2y_off
20.00Consensusopioid_on_gpOrthosteric Ligandmop_on_gp nop_on_gp dop_on_gp kop_on_gp
20.00Consensusox2_onOrthosteric Ligand7L1V-OX2-PubChem 155491009-chim(NtGi1-Gs-CtGq)/β1/γ2 7SQO-OX2-TAK-925-Gi1/β1/γ2 7L1U-OX2-Orexin-chim(NtGi1-Gs-CtGq)/β1/γ2
20.00Consensusox2_on_gpOrthosteric Ligand7L1V-OX2-PubChem 155491009-chim(NtGi1-Gs-CtGq)/β1/γ2 7SQO-OX2-TAK-925-Gi1/β1/γ2 7L1U-OX2-Orexin-chim(NtGi1-Gs-CtGq)/β1/γ2
20.00Consensusp2y1_on_gpOrthosteric Ligand7XXH-P2Y1-2MeSADP-chim(NtGi1-G11)/β1/γ2
20.00Consensuss1p_onOrthosteric Ligands1p1_on s1p3_on s1p5_on
20.00Consensuss1p_on_gpOrthosteric Ligands1p1_on_gp s1p3_on_gp s1p5_on_gp
20.00Consensussst2_onOrthosteric Ligand7WIC-SST2-Somatostatin-14-Gi1/β1/γ2 7WIG-SST2-L-054264-Gi1/β1/γ2 7YAE-SST2-Octreotide-Gi1/β1/γ2 7YAC-SST2-Paltusotine-Gi1/β1/γ2
20.00Consensussst2_on_gpOrthosteric Ligand7WIC-SST2-Somatostatin-14-Gi1/β1/γ2 7WIG-SST2-L-054264-Gi1/β1/γ2 7YAE-SST2-Octreotide-Gi1/β1/γ2 7YAC-SST2-Paltusotine-Gi1/β1/γ2
19.23Single7F4FAfamelanotide7F4F-MC1-Afamelanotide-chim(NtGi1-Gs)/β1/γ2
19.23Single7F53Alpha-MSH7F53-MC4-α-MSH-Gs/β1/γ2
19.23Single7WVYAmyloid-Beta427WVY-FPR2-ALX-Amyloid-β42-Gi2/β1/γ2
19.23Single8FEG(DNCP)-Beta-Naloxamine8FEG-κ-(DNCP)-β-Naloxamine-Gi1/β1/γ2
19.23Single8W8XBeta-MSH8W8X-MC3-β-MSH-Ca-Gs/β1/γ2
19.23Single8ZH8QRFP268ZH8-QRFP-QRFP26-Gq/β1/γ1
19.23Single8ZJGChemerin8ZJG-CML1-Chemerin-Gi1/β1/γ2
19.23Consensusp2y10_on_gpOrthosteric Ligand8KGG-P2Y10-Lysophosphatidylserine (WJS)-chim(NtGi2-G13)/β1/γ2
19.05Single7F54Afamelanotide7F54-MC4-Afamelanotide-Gs/β1/γ2
19.05Single7NA7Ghrelin7NA7-Ghrelin-Ghrelin-Gi1/β1/γ2
19.05Single7W56Neuromedin-S7W56-NMUR1-Neuromedin-S-chim(NtGi1-Gs-CtGq)/β1/γ2
19.05Single7WICSomatostatin-147WIC-SST2-Somatostatin-14-Gi1/β1/γ2
19.05Single7WKDTRH7WKD-TRH-TRH-chim(NtGi1-Gs-CtGq)/β1/γ2
19.05Single7WVWfMYFINILTL7WVW-FPR2-ALX-fMYFINILTL-Gi2/β1/γ2
19.05Single7XAUOctreotide7XAU-SST2-Octreotide-Gi1/β1/γ2
19.05Single7XMRSomatostatin-147XMR-SST2-Somatostatin-14-Gi1/β1/γ2
19.05Single8DCRDobutamine8DCR-β1-Dobutamine-Gs/β1/γ2
19.05Single8G59TUG-8918G59-FFA4-TUG-891-chim(Gi1-CtGq)/β1/γ2
19.05Single8GHVAMG3158GHV-CB1-AMG315-Gi1/β1/γ2
19.05Single8J6RMK68928J6R-HCA2-MK6892-Gi1/β1/γ2
19.05Single8WKYPG-9348WKY-MC4-PG-934
19.05Single8XBHPubChem 1626566368XBH-GPR34-PubChem 162656636-Gi1/β1/γ2
19.05Single8ZSPLSD8ZSP-TA1-LSD-chim(NtGi1L-Gs)/β1/γ2
19.05Single9L3YChemerin9L3Y-CML2-Chemerin-Gi1/β1/γ2
19.05Consensusgi_opioidOrthosteric Ligand8F7R-μ-Endomorphin-Gi1/β1/γ2 8EF5-μ-Fentanyl-Gi1/β1/γ2 7SCG-μ-FH210-Gi1/β1/γ2 7T2H-μ-Lofentanil-Gi1/β1/γ2 7T2G-μ-Mitragynine Pseudoindoxyl-Gi1/β1/γ2 8DZP-κ-momSalB-Gi1/β1/γ2 8EF6-μ-Morphine-Gi1/β1/γ2 8F7X-NOP-Nociceptin-Gi1/β1/γ2 8EFB-μ-Oliceridine-Gi1/β1/γ2 7U2L-μ-C5-guano-Gi1/β1/γ2 8EFO-μ-PZM21-Gi1/β1/γ2 8EFL-μ-SR17018-Gi1/β1/γ2 8F7Q-μ-β-Endorphin-Gi1/β1/γ2 7U2K-μ-C6-guano-Gi1/β1/γ2 8EFQ-μ-DAMGO-Gi1/β1/γ2 8F7S-δ-Deltorphin-Gi1/β1/γ2 8F7W-κ-Dynorphin-Gi1/β1/γ2
19.05Consensuslpl_onOrthosteric Ligands1p_on lpa_on
19.05Consensuslpl_on_gpOrthosteric Ligands1p_on_gp lpa_on_gp
19.05Consensusmop_offOrthosteric Ligand4DKL-μ-β-Funaltrexamine 8QOT-μ-Nanobody-E 7UL4-μ-Alvimopan
19.05Consensusnop_onOrthosteric Ligand8F7X-NOP-Nociceptin-Gi1/β1/γ2
19.05Consensusnop_on_gpOrthosteric Ligand8F7X-NOP-Nociceptin-Gi1/β1/γ2
18.75Single2Y01Dobutamine2Y01-β1-Dobutamine
18.75Single2Y02Carmoterol2Y02-β1-Carmoterol
18.75Single4EA3PubChem 102965614EA3-NOP-PubChem 10296561
18.75Single4EIYZM-2413854EIY-A2A-ZM-241385-Na
18.75Single4EJ4Naltrindole4EJ4-δ-Naltrindole
18.75Single4J4QOctyl Beta-D-Glucopyranoside4J4Q-Rhodopsin-Octyl β-D-Glucopyranoside-Gt(CT)
18.75Single4YAYZD-71554YAY-AT1-ZD-7155
18.75Single5DHHSB-6121115DHH-NOP-SB-612111
18.75Single5IU8Q274563475IU8-A2A-Q27456347-Na
18.75Single5OLGZM-2413855OLG-A2A-ZM-241385-Na
18.75Single5TGZAM65385TGZ-CB1-AM6538
18.75Single6DRXLisuride6DRX-5-HT2B-Lisuride
18.75Single6DRZMethysergide6DRZ-5-HT2B-Methysergide
18.75Single6IIVDaltroban6IIV-TXA2-Daltroban
18.75Single6LPJZM-2413856LPJ-A2A-ZM-241385-Na
18.75Single6LPKZM-2413856LPK-A2A-ZM-241385-Na
18.75Single6TOTLemborexant6TOT-OX1-Lemborexant
18.75Single6Z10PubChem 1545855546Z10-Succinate-PubChem 154585554
18.75Single7BU7BI1671077BU7-β1-BI167107
18.75Single7CRHSKF839597CRH-D1-SKF83959-Gs/β1/γ2
18.75Single7FIHOrg435537FIH-LH-hCG-Org43553-chim(NtGi1-Gs)/β1/γ2
18.75Single7JOZPubChem 752020227JOZ-D1-PubChem 75202022-Gs/β1/γ2
18.75Single7JVQApomorphine7JVQ-D1-Apomorphine-Gs/β1/γ2
18.75Single7NA8Ibutamoren7NA8-Ghrelin-Ibutamoren-Gi1/β1/γ2
18.75Single7PYRPSB-21157PYR-A2A-PSB-2115
18.75Single7SK8CXCL127SK8-ACKR3-CXCL12-CCX662
18.75Single7UL4Alvimopan7UL4-μ-Alvimopan
18.75Single7VGZRamelteon7VGZ-MT1-Ramelteon-Gi1/β1/γ2
18.75Single7VIES1P7VIE-S1P1-S1P-Gi1/β1/γ2
18.75Single7VKTLTB47VKT-BLT1-LTB4-Gi1/β1/γ2
18.75Single7YK7DC5910537YK7-RXFP4-DC591053-Gi2/β1/γ2
18.75Single7YU4ONO-07405567YU4-LPA1-ONO-0740556
18.75Single8CU6LJ-45178CU6-A2A-LJ-4517
18.75Single8CU7LJ-45178CU7-A2A-LJ-4517-Na
18.75Single8EFQDAMGO8EFQ-μ-DAMGO-Gi1/β1/γ2
18.75Single8GCML-9026888GCM-EP4-L-902688-Gi1/β1/γ2
18.75Single8KFYZK-7563268KFY-CCR8-ZK-756326-Gi1/β1/γ2
18.75Single8UWLLisuride8UWL-5-HT2A-Lisuride-chim(NtGi2-Gs-CtGq)/β1/γ2
18.75Single8W87METH8W87-TA1-METH-chim(NtGi1L-Gs)/β1/γ2
18.75Single8W8ARO52563908W8A-TA1-RO5256390-chim(NtGi1L-Gs)/β1/γ2
18.75Single8X17Namodenoson8X17-A3A-Namodenoson-Gi1/β1/γ2
18.75Single8Y71A1D6F8Y71-δ-A1D6F-BMS986187-Gi1/β1/γ2
18.75Single8YH5Riboprine8YH5-A3A-Riboprine-Gi1/β1/γ2
18.75Single8ZBEOctreotide8ZBE-SST5-Octreotide-Gi1/β1/γ1
18.75Single8ZSSRO52633978ZSS-TA1-RO5263397-chim(NtGi1-Gs)/β1/γ2
18.75Single9BQJRO769BQJ-μ-RO76-Gi1/β1/γ2
18.75Single9CHXCarazolol9CHX-β2-Carazolol
18.75Single9D61JDTic9D61-κ-JDTic-Gi1/β1/γ2
18.75Single9EPP11,20-Ethanoretinal9EPP-Rhodopsin-11,20-Ethanoretinal-chim(Gi1-CtGq)/β1/γ2
18.75Single9H37PubChem 1756706469H37-A2A-PubChem 175670646-Na
18.75Single9IMATalquetamab9IMA-GPRC5D; GPRC5D-Talquetamab
18.75Single9JQZGrapiprant 9JQZ-EP4-Grapiprant
18.75Single9KFJPubChem 1383196749KFJ-RXFP3-PubChem 138319674-Gi2/β1/γ2
18.75Single9KFTfMLFC9KFT-FPR1-ALX-fMLFC-Gi1/β1/γ2
18.75Consensus5ht2b_offOrthosteric Ligand6DRZ-5-HT2B-Methysergide
18.75Consensusa3_onOrthosteric Liganda3a_on
18.75Consensusadenosine_on_gpOrthosteric Liganda1_on_gp a2_on_gp a3_on_gp
18.75Consensusalicarboxylic_offOrthosteric Ligandsuccinate_off
18.75Consensusblt1_onOrthosteric Ligand7VKT-BLT1-LTB4-Gi1/β1/γ2
18.75Consensusblt1_on_gpOrthosteric Ligand7VKT-BLT1-LTB4-Gi1/β1/γ2
18.75Consensusblt_onOrthosteric Ligandblt1_on
18.75Consensusblt_on_gpOrthosteric Ligandblt1_on_gp
18.75Consensuscck_offOrthosteric Ligandccka_off
18.75Consensusccka_offOrthosteric Ligand7F8Y-CCKA-Devazepide 7F8U-CCKA-Lintitript
18.75Consensusdop_offOrthosteric Ligand4EJ4-δ-Naltrindole
18.75Consensusgi_leukotrieneOrthosteric Ligand7VKT-BLT1-LTB4-Gi1/β1/γ2
18.75Consensusgs_trace-amineOrthosteric Ligand8W88-TA1-SEP-363856-Gs/β1/γ2 8JLJ-TA1-T1AM-chim(NtGi1-Gs)/β1/γ2 8JLO-TA1-Ulotaront-Gs/β1/γ2 8WC4-TA1-ZH8651-chim(NtGi1-Gs)/β1/γ2 8WC7-TA1-ZH8667-chim(NtGi1-Gs)/β1/γ2 8JLR-TA1-A77636-chim(NtGi1-Gs)/β1/γ2 8JSO-TA1-AMPH-chim(NtGi1-Gs)/β1/γ2 8W87-TA1-METH-chim(NtGi1L-Gs)/β1/γ2 8W89-TA1-2-Phenylethylamine-chim(NtGi1L-Gs)/β1/γ2 8JLP-TA1-Ralmitaront-Gs/β1/γ2 8W8A-TA1-RO5256390-chim(NtGi1L-Gs)/β1/γ2
18.75Consensusleukotriene_onOrthosteric Ligandblt_on
18.75Consensusleukotriene_on_gpOrthosteric Ligandblt_on_gp
18.75Consensusmc2_onOrthosteric Ligand8GY7-MC2-Corticotropin-Ca-chim(NtGi1-Gs)/β1/γ2; MRAP1
18.75Consensusmc2_on_gpOrthosteric Ligand8GY7-MC2-Corticotropin-Ca-chim(NtGi1-Gs)/β1/γ2; MRAP1
18.75Consensusnucleotide_offonOrthosteric Ligandnucleotide_off nucleotide_on
18.75Consensusnucleotide_offon_gpOrthosteric Ligandnucleotide_on_gp nucleotide_off
18.75Consensussuccinate_offOrthosteric Ligand6RNK-Succinate-NF-56-EJ40 6Z10-Succinate-PubChem 154585554
18.52Single5VAIGLP-15VAI-GLP-1-GLP-1-Gs/β1/γ2
18.52Single8KGGLysophosphatidylserine (WJS)8KGG-P2Y10-Lysophosphatidylserine (WJS)-chim(NtGi2-G13)/β1/γ2
18.52Single8WWNMCH8WWN-MCH1-MCH-Gi1/β1/γ2
18.18Single5MZJTheophylline5MZJ-A2A-Theophylline-Na
18.18Single7DDZJNJ-310200287DDZ-Y2-JNJ-31020028
18.18Single7PIVAfamelanotide7PIV-MC4-Afamelanotide-Gs/β1/γ2
18.18Single7V68LY21196207V68-M4-Iperoxo-LY2119620-Gi1/β1/γ2
18.18Single7WC4Serotonin7WC4-5-HT2A-Serotonin
18.18Single7XKEDehydroepiandrosterone7XKE-ADGRG2-Dehydroepiandrosterone-chim(NtGi1-Gs)/β1/γ2
18.18Single7XNACYN1548067XNA-SST2-CYN154806
18.18Single8F7QBeta-Endorphin8F7Q-μ-β-Endorphin-Gi1/β1/γ2
18.18Single8IBVMotilin8IBV-Motilin-Motilin-chim(NtGi1-Gs-CtGq)/β1/γ2
18.18Single8IEBPubChem 1347468948IEB-GPR156; GPR156-PubChem 134746894
18.18Single8K6ONeuropeptide-Y8K6O-Y1-Neuropeptide-Y-Gi2/β1/γ1
18.18Single8PWNTheophylline8PWN-A2A-Theophylline
18.18Single9E82CXCL12 (fragment)9E82-ACKR3-CXCL12 (fragment)-Arrestin2
18.18Single9EAINanobody AT2099EAI-AT1-Losartan-Nanobody AT209
18.18Single9J0FNADH9J0F-P2Y14-NADH-Gi1/β1/γ2
18.18Single9JKVPubChem 27366909JKV-HCA3-PubChem 2736690-Gi1/β1/γ2
18.18Consensuscckb_onOrthosteric Ligand8IA7-CCKB-Cholecystokinin-8-chim(NtGi1L-Gq)/β1/γ2 7XOW-CCKB-Sulfated Gastrin-(10-17)-chim(NtGi1-Gq)/β1/γ2 7F8V-CCKB-Gastrin-17-Gi2/β1/γ2
18.18Consensusformylpeptide_on_gpOrthosteric Ligandfpr2-alx_on_gp fpr1-alx_on_gp
18.18Consensusghrelin_onOrthosteric Ligand7NA7-Ghrelin-Ghrelin-Gi1/β1/γ2 7F9Z-Ghrelin-GHRP-6-chim(NtGi1-Gs-CtGq)/β1/γ2 7NA8-Ghrelin-Ibutamoren-Gi1/β1/γ2
18.18Consensusghrelin_on_gpOrthosteric Ligand7NA7-Ghrelin-Ghrelin-Gi1/β1/γ2 7F9Z-Ghrelin-GHRP-6-chim(NtGi1-Gs-CtGq)/β1/γ2 7NA8-Ghrelin-Ibutamoren-Gi1/β1/γ2
18.18Consensusgq_class-aOrthosteric Ligandgq_peptide gq_amine gq_nucleotide
18.18Consensusmc5_onOrthosteric Ligand8INR-MC5-α-MSH-Ca-chim(NtGi1-Gs)/β1/γ2 8IOD-MC5-PG-901-Ca-chim(NtGi1-Gs)/β1/γ2
18.18Consensusnpy2_offOrthosteric Ligand7DDZ-Y2-JNJ-31020028
18.18Consensuss1p3_on_gpOrthosteric Ligand7EW3-S1P3-S1P-Gi1/β1/γ2 7EW4-S1P3-CYM-5541-Gi1/β1/γ2 7EW2-S1P3-FTY720-P-Gi1/β1/γ2
18.18Consensussst2_offOrthosteric Ligand7XNA-SST2-CYN154806
18.18Consensussst4_onOrthosteric Ligand7XMS-SST4-Somatostatin-14-Gi1/β1/γ2 7XMT-SST4-J-2156-Gi1/β1/γ2
18.18Consensussst4_on_gpOrthosteric Ligand7XMS-SST4-Somatostatin-14-Gi1/β1/γ2 7XMT-SST4-J-2156-Gi1/β1/γ2
17.65Single2Y00Dobutamine2Y00-β1-Dobutamine
17.65Single4ZJ8Suvorexant4ZJ8-OX1-Suvorexant
17.65Single5C1MBU725C1M-μ-BU72
17.65Single5IUAQ274563485IUA-A2A-Q27456348-Na
17.65Single5NM2ZM-2413855NM2-A2A-ZM-241385-Na
17.65Single5WQCEMPA5WQC-OX2-EMPA
17.65Single5ZK33-quinuclidinyl-benzilate5ZK3-M2-3-quinuclidinyl-benzilate
17.65Single6E67BI1671076E67-β2-BI167107-Gs(CT)
17.65Single6LFMCXCL86LFM-CXCR2-CXCL8-Gi1/β1/γ2
17.65Single6LPLZM-2413856LPL-A2A-ZM-241385-Na
17.65Single6M9TMisoprostol-FA6M9T-EP3-Misoprostol-FA
17.65Single6ME82-Phenylmelatonin6ME8-MT2-2-Phenylmelatonin
17.65Single6RZ4Pranlukast6RZ4-CysLT1-Pranlukast-Na
17.65Single6S0QZM-2413856S0Q-A2A-ZM-241385
17.65Single6TO7Suvorexant6TO7-OX1-Suvorexant-Na
17.65Single6TP6Filorexant6TP6-OX1-Filorexant
17.65Single6WQAZM-2413856WQA-A2A-ZM-241385-Na
17.65Single7BB7AVP7BB7-V2-AVP-Gs/β1/γ2
17.65Single7C4SS1P7C4S-S1P3-S1P
17.65Single7EPFNAM5977EPF-mGlu2-NAM597
17.65Single7LD3Adenosine7LD3-A1-Adenosine-MIPS521-Gi2/β1/γ2
17.65Single7RM5ZM-2413857RM5-A2A-ZM-241385-Na
17.65Single7SBFPZM217SBF-μ-PZM21-Gi1/β1/γ2
17.65Single7VOEAripiprazole7VOE-5-HT2A-Aripiprazole
17.65Single7VUHJNJ-635330547VUH-GPR139-JNJ-63533054-chim(Gs-CtGq)/β1/γ2
17.65Single7VV4Cortistatin-147VV4-MRGPRX2-Cortistatin-14
17.65Single7W41PD1762527W41-BB2-PD176252
17.65Single7WIGL-0542647WIG-SST2-L-054264-Gi1/β1/γ2
17.65Single7Y26Octreotide7Y26-SST2-Octreotide-chim(NtGi2L-Gs-CtGq)/β1/γ2
17.65Single7YU3ONO-07405567YU3-LPA1-ONO-0740556-Gi1/β1/γ2
17.65Single8DZQmomSalB8DZQ-κ-momSalB-Go/β1/γ2
17.65Single8DZRGR89,6968DZR-κ-GR89,696-chim(NtGi2-Gt3)/β1/γ2
17.65Single8EFBOliceridine8EFB-μ-Oliceridine-Gi1/β1/γ2
17.65Single8FYNZM-2413858FYN-A2A-ZM-241385-Na
17.65Single8GDCPGE28GDC-EP3-PGE2-Gi1/β1/γ2
17.65Single8GNEKW-63568GNE-A2A-KW-6356-Na
17.65Single8IZ4Lysophosphatidylserine (TJR)8IZ4-GPR34-Lysophosphatidylserine (TJR)-Gi1/β1/γ2
17.65Single8J18(3R)-3-Hydroxydodecanoic acid8J18-GPR84-(3R)-3-Hydroxydodecanoic acid-Gi1/β1/γ2
17.65Single8JXSPF-61428JXS-D1-PF-6142
17.65Single8K8JFenofibrate8K8J-CB1-Fenofibrate-chim(Gs-CtGq)/β1/γ2
17.65Single8KFXLMD-0098KFX-CCR8-LMD-009-Gi1/β1/γ2
17.65Single8QOTNanobody-E8QOT-μ-Nanobody-E
17.65Single8TH4Losartan8TH4-AT1-Losartan-AT118-L Nanobody
17.65Single8TH4AT118-L Nanobody8TH4-AT1-Losartan-AT118-L Nanobody
17.65Single8XYKVUF106618XYK-CXCR3-VUF10661-Go/β1/γ2
17.65Single8YNSSNAP-948478YNS-MCH1-SNAP-94847
17.65Single8ZYTNeurotensin-(8-13)8ZYT-NTS1-Neurotensin-(8-13)-SBI-553-Arrestin2
17.65Single9EAHOlmesartan9EAH-AT1-Olmesartan-Nanobody AT209
17.65Single9EE8Adenosine9EE8-A2A-Adenosine-Gs/β1/γ2
17.65Single9ERXD9-THC analog9ERX-CB1-D9-THC analog-Gi1/β1/γ2
17.65Single9KPFSalicin9KPF-TAS2R16-Salicin-Gi1/β1/γ2
17.65Single9KUTJR14a9KUT-C3aB-JR14a-Go/β1/γ2
17.65Single9M8POleic monoethanolamide9M8P-GPR3 ; GPR3-Oleic monoethanolamide-AF64394
17.65Single9MQKIsoquinuclidine9MQK-κ-Isoquinuclidine
17.65Single9VJFBuspirone9VJF-5-HT1A-Buspirone-Gi3/β1/γ2
17.65Consensus5ht2_offOrthosteric Ligand5ht2a_off 5ht2b_off 5ht2c_off
17.65Consensusa3_on_gpOrthosteric Liganda3a_on_gp
17.65Consensusa3a_onOrthosteric Ligand8X17-A3A-Namodenoson-Gi1/β1/γ2 8X16-A3A-Piclidenoson-Gi1/β1/γ2
17.65Consensusa3a_on_gpOrthosteric Ligand8X17-A3A-Namodenoson-Gi1/β1/γ2 8X16-A3A-Piclidenoson-Gi1/β1/γ2
17.65Consensusbb2_offOrthosteric Ligand7W41-BB2-PD176252
17.65Consensusbombesin_offOrthosteric Ligandbb2_off
17.65Consensuscxcr2_on_gpOrthosteric Ligand6LFM-CXCR2-CXCL8-Gi1/β1/γ2
17.65Consensusd1_onOrthosteric Ligand7F0T-D1-Dopamine-Gs/β1/γ2 7CKY-D1-PW0464-Gs/β1/γ2 8IRR-D1-Rotigotine-Gs/β1/γ2 7JV5-D1-SKF81297-Gs/β1/γ2 7JVP-D1-SKF83959-Gs/β1/γ2 7X2D-D1-Tavapadon-Gs/β1/γ2 7CKX-D1-A77636-Gs/β1/γ2 7JVQ-D1-Apomorphine-Gs/β1/γ2 7CKW-D1-Fenoldopam-Gs/β1/γ2
17.65Consensusd2_onOrthosteric Ligand7JVR-D2-Bromoergocryptine-Gi1/β1/γ2 8IRS-D2-Rotigotine-Gi1/β1/γ2
17.65Consensusd4_onOrthosteric Ligand8IRU-D4-Rotigotine-chim(NtGi1-Gs-CtGi1)/β1/γ2
17.65Consensusgs_amineOrthosteric Ligandgs_5ht gs_adrenergic gs_dopamine gs_histamine gs_trace-amine
17.65Consensusta1_onOrthosteric Ligand8W87-TA1-METH-chim(NtGi1L-Gs)/β1/γ2 8W89-TA1-2-Phenylethylamine-chim(NtGi1L-Gs)/β1/γ2 8JLP-TA1-Ralmitaront-Gs/β1/γ2 8W8A-TA1-RO5256390-chim(NtGi1L-Gs)/β1/γ2 8W88-TA1-SEP-363856-Gs/β1/γ2 8JLO-TA1-Ulotaront-Gs/β1/γ2 8JLR-TA1-A77636-chim(NtGi1-Gs)/β1/γ2 8JSO-TA1-AMPH-chim(NtGi1-Gs)/β1/γ2 8ZSP-TA1-LSD-chim(NtGi1L-Gs)/β1/γ2
17.65Consensustrace-amine_onOrthosteric Ligandta1_on
17.39Single6PT2KGCHM076PT2-δ-KGCHM07
17.39Single6W25SHU91196W25-MC4-SHU9119-Ca
17.39Single7MBXCholecystokinin-87MBX-CCKA-Cholecystokinin-8-Gs/β1/γ1
17.39Single7T6TfMLFII7T6T-FPR1-ALX-fMLFII-Gi1/β1/γ2
17.39Single7TD2LPA7TD2-LPA1-LPA-Gi1/β1/γ2
17.39Single7XOUCholecystokinin-87XOU-CCKA-Cholecystokinin-8-Gs/β1/γ2
17.39Single8W8YGamma-MSH8W8Y-MC3-γ-MSH-Ca-Gs/β1/γ2
17.39Single8XGUTAK4488XGU-Kiss1-TAK448-Gi1/β1/γ2
17.39Single8XIQL7967788XIQ-SST3-L796778-chim(NtGi1-Gs-CtGi1)/β1/γ2
17.39Single8XZGApelin-138XZG-Apelin; Apelin-Apelin-13-Gi1/β1/γ2
17.39Single8XZHMM078XZH-Apelin; Apelin-MM07-Gi1/β1/γ2
17.39Single9B54VIP369B54-CB1-VIP36-Gi1/β1/γ2
17.39Single9M1ONeuropeptide-FF9M1O-NPFF2-Neuropeptide-FF-Gi1/β1/γ2
17.39Consensuscckb_on_gpOrthosteric Ligand8IA7-CCKB-Cholecystokinin-8-chim(NtGi1L-Gq)/β1/γ2 7XOW-CCKB-Sulfated Gastrin-(10-17)-chim(NtGi1-Gq)/β1/γ2 7F8V-CCKB-Gastrin-17-Gi2/β1/γ2
16.67Single2YDVNECA2YDV-A2A-NECA
16.67Single3P0GBI1671073P0G-β2-BI167107
16.67Single3PDSFAUC503PDS-β2-FAUC50
16.67Single3UON3-quinuclidinyl-benzilate3UON-M2-3-quinuclidinyl-benzilate
16.67Single4DJHJDTic4DJH-κ-JDTic
16.67Single4LDLHydroxybenzyl Isoproterenol4LDL-β2-Hydroxybenzyl Isoproterenol
16.67Single4UHRCGS216804UHR-A2A-CGS21680
16.67Single4Z34ONO-97803074Z34-LPA1-ONO-9780307
16.67Single5A8E7-Methylcyanopindolol5A8E-β1-7-Methylcyanopindolol-Na
16.67Single5G53NECA5G53-A2A-NECA-Gs
16.67Single5XR8AM120335XR8-CB1-AM12033
16.67Single5XRAAM115425XRA-CB1-AM11542
16.67Single6DDEDAMGO6DDE-μ-DAMGO-Gi1/β1/γ2
16.67Single6KO5PubChem 574000026KO5-Ghrelin-PubChem 57400002
16.67Single6M1IPACAP276M1I-PAC1-PACAP27-Gs/β1/γ2
16.67Single6N48BI1671076N48-β2-BI167107-PubChem 138454256
16.67Single6O3CCholesterol6O3C-SMO-SAG21k-Cholesterol
16.67Single6TQ7SB-3348676TQ7-OX1-SB-334867
16.67Single6TQ9SB-4081246TQ9-OX1-SB-408124
16.67Single6WGTLSD6WGT-5-HT2A-LSD
16.67Single7B6WCyclazosin7B6W-α1b-Cyclazosin
16.67Single7CKYPW04647CKY-D1-PW0464-Gs/β1/γ2
16.67Single7DD5Ca; Ca; Tryptophan; NPS-21437DD5-CaS; CaS-Ca-Ca; Ca; Tryptophan; NPS-2143
16.67Single7EW1Siponimod7EW1-S1P5-Siponimod-Gi1/β1/γ2
16.67Single7EW3S1P7EW3-S1P3-S1P-Gi1/β1/γ2
16.67Single7F1TCCL37F1T-CCR5-CCL3
16.67Single7FEECP559407FEE-CB1-CP55940-ZCZ011
16.67Single7FIMTirzepatide7FIM-GLP-1-Tirzepatide-Gs/β1/γ2
16.67Single7JVPSKF839597JVP-D1-SKF83959-Gs/β1/γ2
16.67Single7S8MCortistatin-147S8M-MRGPRX2-Cortistatin-14-Gi1/β1/γ2
16.67Single7SK7CXCL127SK7-ACKR3-CXCL12-CCX662
16.67Single7T2HLofentanil7T2H-μ-Lofentanil-Gi1/β1/γ2
16.67Single7T9NDPPC7T9N-TSH-M22 Fab-DPPC-Gs/β1/γ2
16.67Single7U2LC5-guano7U2L-μ-C5-guano-Gi1/β1/γ2
16.67Single7V9MSomatoliberin7V9M-GHRH (SV1)-Somatoliberin-Gs/β1/γ2
16.67Single7VIGCBP-3077VIG-S1P1-CBP-307-Gi1/β1/γ2
16.67Single7WV9CP559407WV9-CB1-CP55940-ZCZ011-Gi2/β1/γ2
16.67Single7XAVLanreotide7XAV-SST2-Lanreotide-Gi1/β1/γ2
16.67Single7XOWSulfated Gastrin-(10-17)7XOW-CCKB-Sulfated Gastrin-(10-17)-chim(NtGi1-Gq)/β1/γ2
16.67Single7Y24Octreotide7Y24-SST2-Octreotide-Go/β1/γ2
16.67Single7YU5ONO-07405567YU5-LPA1-ONO-0740556-Gi1/β1/γ2
16.67Single8A2OTheophylline8A2O-A2A-Theophylline-Na
16.67Single8DCSCyanopindolol8DCS-β1-Cyanopindolol-Gs/β1/γ2
16.67Single8DPHLorcaserin8DPH-5-HT2C-Lorcaserin-chim(NtGi2L-Gs-CtGq)/β1/γ2
16.67Single8DZPmomSalB8DZP-κ-momSalB-Gi1/β1/γ2
16.67Single8EF5Fentanyl8EF5-μ-Fentanyl-Gi1/β1/γ2
16.67Single8FN1Neurotensin-(8-13)8FN1-NTS1-Neurotensin-(8-13)-chim(NtGi1-Go)/β1/γ2
16.67Single8GDBPGE28GDB-EP4-PGE2-Gs/β1/γ2
16.67Single8GEIConstrained Epinephrine8GEI-β2-Constrained Epinephrine-Gs/β1/γ2
16.67Single8GUSHU-3088GUS-CB2-HU-308-Gi1/β1/γ2
16.67Single8H4KGW95088H4K-FFA4-GW9508-chim(NtGi1-Gs-CtGq)/β1/γ2
16.67Single8I2GPubChem 675302408I2G-FSH-FSH-PubChem 67530240-Gs/β1/γ2
16.67Single8ID6Oleic acid8ID6-FFA4-Oleic acid-Gi1/β1/γ2
16.67Single8IEDPubChem 1347468948IED-GPR156; GPR156-PubChem 134746894-Go/β1/γ2
16.67Single8IRRRotigotine8IRR-D1-Rotigotine-Gs/β1/γ2
16.67Single8IRURotigotine8IRU-D4-Rotigotine-chim(NtGi1-Gs-CtGi1)/β1/γ2
16.67Single8IRVRotigotine8IRV-D5-Rotigotine-chim(NtGi1-Gs)/β1/γ2
16.67Single8IUKPGF2-alpha8IUK-FP-alpha-PGF2-α-chim(NtGi1-Gs-CtGq)/β1/γ2
16.67Single8IYHMK68928IYH-HCA2-MK6892-Go/β1/γ2
16.67Single8JLPRalmitaront8JLP-TA1-Ralmitaront-Gs/β1/γ2
16.67Single8JXVClozapine8JXV-H4-Clozapine-Gi1/β1/γ2
16.67Single8JXWVUF68848JXW-H4-VUF6884-Gi1/β1/γ2
16.67Single8U4QREGN7663-Fab8U4Q-CXCR4-REGN7663-Fab-Gi1/β1/γ2
16.67Single8UGWCGS216808UGW-A2A-CGS21680
16.67Single8VVEnorBNI8VVE-κ-norBNI-Gi1/β1/γ2
16.67Single8VVFJDTic8VVF-κ-JDTic-Gi1/β1/γ2
16.67Single8WC5Tetramethylammonium Ion8WC5-TA1-Tetramethylammonium Ion-chim(NtGi1-Gs)/β1/γ2
16.67Single8WJXADP8WJX-P2Y1-ADP-chim(Gs-CtGq)/β1/γ2
16.67Single8WU1MDMB-Fubinaca8WU1-CB1-MDMB-Fubinaca-Arrestin2
16.67Single8X16Piclidenoson8X16-A3A-Piclidenoson-Gi1/β1/γ2
16.67Single8X79MRE-2698X79-I2-MRE-269-Gs/β1/γ2
16.67Single8XJMLatanoprost8XJM-FP-alpha-Latanoprost-chim(NtGi2-Gs-CtGq)/β1/γ2
16.67Single8XX7CXCL58XX7-CXCR2-CXCL5-Go/β1/γ2
16.67Single8Y73Peptide8Y73-μ-Peptide-MPAM-15-Gi1/β1/γ2
16.67Single8YH6Namodenoson8YH6-A3A-Namodenoson-Gi1/β1/γ2
16.67Single9C2FCa; Ca; Tryptophan; '54149; PO49C2F-CaS; CaS-Ca-Ca; Ca; Tryptophan; '54149; PO4
16.67Single9CHUNorepinephrine9CHU-β2-Norepinephrine
16.67Single9E9SPGD29E9S-DP1-PGD2-Gs/β1/γ1
16.67Single9I54PubChem 1764520919I54-D1-PubChem 176452091-Gs/β1/γ2
16.67Single9UY3Anamorelin9UY3-Ghrelin-Anamorelin-chim(NtGi1-Gs-CtGq)/β1/γ2
16.67Consensuscxcr3_on_gpOrthosteric Ligand8HNK-CXCR3-CXCL11-Gi1/β1/γ2 8HNL-CXCR3-PS372424-Gi1/β1/γ2
16.67Consensuscyslt1_offOrthosteric Ligand6RZ5-CysLT1-Zafirlukast-Na 6RZ4-CysLT1-Pranlukast-Na
16.67Consensusd1_on_gpOrthosteric Ligand7F0T-D1-Dopamine-Gs/β1/γ2 7CKY-D1-PW0464-Gs/β1/γ2 8IRR-D1-Rotigotine-Gs/β1/γ2 7JV5-D1-SKF81297-Gs/β1/γ2 7JVP-D1-SKF83959-Gs/β1/γ2 7X2D-D1-Tavapadon-Gs/β1/γ2 7CKX-D1-A77636-Gs/β1/γ2 7JVQ-D1-Apomorphine-Gs/β1/γ2 7CKW-D1-Fenoldopam-Gs/β1/γ2
16.67Consensusd4_on_gpOrthosteric Ligand8IRU-D4-Rotigotine-chim(NtGi1-Gs-CtGi1)/β1/γ2
16.67Consensusd5_on_gpOrthosteric Ligand8IRV-D5-Rotigotine-chim(NtGi1-Gs)/β1/γ2
16.67Consensusgi_dopamineOrthosteric Ligand7JVR-D2-Bromoergocryptine-Gi1/β1/γ2 7CMV-D3-PD128907-Gi1/β1/γ2 7CMU-D3-Pramipexole-Gi1/β1/γ2 8IRS-D2-Rotigotine-Gi1/β1/γ2 8IRT-D3-Rotigotine-Gi1/β1/γ2
16.67Consensusgi_formylpeptideOrthosteric Ligand7WVY-FPR2-ALX-Amyloid-β42-Gi2/β1/γ2 7T6U-FPR2-ALX-CGEN-855A-Gi1/β1/γ2 7VFX-FPR1-ALX-fMIFL-Gi1/β1/γ2 7T6V-FPR2-ALX-fMLFII-Gi1/β1/γ2 7WVX-FPR2-ALX-Humanin-Gi2/β1/γ2 7T6S-FPR2-ALX-TC-FPR 43-Gi1/β1/γ2 6OMM-FPR2-ALX-WKYMVX-Gi1/β1/γ2
16.67Consensusgi_lpaOrthosteric Ligand7TD1-LPA1-LPA-Gi1/β1/γ2 7YU3-LPA1-ONO-0740556-Gi1/β1/γ2
16.67Consensusgs_adrenergicOrthosteric Ligand7DHI-β2-Salbutamol-Gs/β1/γ2 7XJI-β3-Solabegron-Gs/β1/γ2 7JJO-β1-Isoprenaline-Gs/β1/γ2 6NI3-β2-BI167107-Gs/β1/γ2 8DCR-β1-Dobutamine-Gs/β1/γ2 7XJH-β3-Isoprenaline-Gs/β1/γ2 7DH5-β3-Mirabegron-Gs/β1/γ2
16.67Consensusgs_dopamineOrthosteric Ligand7F0T-D1-Dopamine-Gs/β1/γ2 7CKW-D1-Fenoldopam-Gs/β1/γ2 7CKY-D1-PW0464-Gs/β1/γ2 8IRV-D5-Rotigotine-chim(NtGi1-Gs)/β1/γ2 8IRR-D1-Rotigotine-Gs/β1/γ2 7JV5-D1-SKF81297-Gs/β1/γ2 7JVP-D1-SKF83959-Gs/β1/γ2 7X2D-D1-Tavapadon-Gs/β1/γ2 7CKX-D1-A77636-Gs/β1/γ2 7JVQ-D1-Apomorphine-Gs/β1/γ2
16.67Consensuskop_offOrthosteric Ligand4DJH-κ-JDTic
16.67Consensuslpa_onOrthosteric Ligandlpa1_on
16.67Consensuslpa_on_gpOrthosteric Ligandlpa1_on_gp
16.67Consensusmc5_on_gpOrthosteric Ligand8INR-MC5-α-MSH-Ca-chim(NtGi1-Gs)/β1/γ2 8IOD-MC5-PG-901-Ca-chim(NtGi1-Gs)/β1/γ2
16.67Consensusp2y_offOrthosteric Ligandp2y1_off
16.67Consensuss1p5_onOrthosteric Ligand7EW1-S1P5-Siponimod-Gi1/β1/γ2
16.67Consensuss1p5_on_gpOrthosteric Ligand7EW1-S1P5-Siponimod-Gi1/β1/γ2
16.67Consensusta1_on_gpOrthosteric Ligand8W87-TA1-METH-chim(NtGi1L-Gs)/β1/γ2 8W89-TA1-2-Phenylethylamine-chim(NtGi1L-Gs)/β1/γ2 8JLP-TA1-Ralmitaront-Gs/β1/γ2 8W8A-TA1-RO5256390-chim(NtGi1L-Gs)/β1/γ2 8W88-TA1-SEP-363856-Gs/β1/γ2 8JLO-TA1-Ulotaront-Gs/β1/γ2 8JLR-TA1-A77636-chim(NtGi1-Gs)/β1/γ2 8JSO-TA1-AMPH-chim(NtGi1-Gs)/β1/γ2 8ZSP-TA1-LSD-chim(NtGi1L-Gs)/β1/γ2
16.67Consensustrace-amine_on_gpOrthosteric Ligandta1_on_gp
16.00Single7WBJPACAP277WBJ-VPAC1-PACAP27-Gs/β1/γ2
16.00Single8E3YPACAP278E3Y-VPAC1-PACAP27-Gs/β1/γ2
16.00Single8E3ZVIP8E3Z-VPAC1-VIP-Gs/β1/γ2
16.00Single8IODPG-9018IOD-MC5-PG-901-Ca-chim(NtGi1-Gs)/β1/γ2
16.00Single8WWKMCH8WWK-MCH1-MCH-Gi1/β1/γ2
16.00Single8WWMMCH8WWM-MCH1-MCH-Gi1/β1/γ2
16.00Single8XGOTAK4488XGO-Kiss1-TAK448-chim(NtGi1-Gq)/β1/γ2
16.00Single9E2AGLP-19E2A-GLP-1-GLP-1-Gs/β1/γ2
16.00Single9JFYNeuropeptide-SF9JFY-NPFF2-Neuropeptide-SF-Gi1/β1/γ2
16.00Consensusmc1_onOrthosteric Ligand7F4H-MC1-Afamelanotide-chim(NtGi1-Gs)/β1/γ2 7F4D-MC1-α-MSH-chim(NtGi1-Gs)/β1/γ2 7F4I-MC1-SHU9119-chim(NtGi1-Gs)/β1/γ2
16.00Consensusmc1_on_gpOrthosteric Ligand7F4H-MC1-Afamelanotide-chim(NtGi1-Gs)/β1/γ2 7F4D-MC1-α-MSH-chim(NtGi1-Gs)/β1/γ2 7F4I-MC1-SHU9119-chim(NtGi1-Gs)/β1/γ2
16.00Consensusp2y10_onOrthosteric Ligand8KGG-P2Y10-Lysophosphatidylserine (WJS)-chim(NtGi2-G13)/β1/γ2
16.00Consensuspac_onOrthosteric Ligandpac1_on
15.79Single2YCXCyanopindolol2YCX-β1-Cyanopindolol
15.79Single3VW7Vorapaxar; Na3VW7-PAR1-Vorapaxar; Na
15.79Single4AMIBucindolol4AMI-β1-Bucindolol
15.79Single4LDEBI1671074LDE-β2-BI167107
15.79Single5UNHPubChem 1264564065UNH-AT2-PubChem 126456406
15.79Single6CM4Risperidone6CM4-D2-Risperidone
15.79Single6DRYMethylergometrine6DRY-5-HT2B-Methylergometrine
15.79Single6H7NXamoterol6H7N-β1-Xamoterol
15.79Single6IIURamatroban6IIU-TXA2-Ramatroban
15.79Single6KQICP559406KQI-CB1-CP55940-Org27569
15.79Single6OSAJMV4496OSA-NTS1-JMV449-Gi1/β1/γ2
15.79Single6VMSBromoergocryptine6VMS-D2-Bromoergocryptine-Gi1/β1/γ2
15.79Single6XBLCholesterol6XBL-SMO-SAG-Cholesterol-Gi1/β1/γ2
15.79Single6ZG4HTL00099366ZG4-M1-HTL0009936
15.79Single7EVYSiponimod7EVY-S1P1-Siponimod-Gi1/β1/γ2
15.79Single7JNIOlodanrigan7JNI-AT2-Olodanrigan
15.79Single7L1VPubChem 1554910097L1V-OX2-PubChem 155491009-chim(NtGi1-Gs-CtGq)/β1/γ2
15.79Single7WQ4Galanin7WQ4-GAL2-Galanin-chim(NtGi1-Gs-CtGq)/β1/γ2
15.79Single7XMTJ-21567XMT-SST4-J-2156-Gi1/β1/γ2
15.79Single7XW5ML1097XW5-TSH-TSH-ML109-Gs/β1/γ2
15.79Single7XW6ML1097XW6-TSH-M22 Fab-ML109-Gs/β1/γ2
15.79Single7XZ5Lysophosphatidylcholine7XZ5-GPR119-Lysophosphatidylcholine-Gs/β1/γ2
15.79Single7YITNalfurafine7YIT-κ-Nalfurafine
15.79Single7YMJTamsulosin7YMJ-Alpha1A-Tamsulosin
15.79Single8GY7Corticotropin8GY7-MC2-Corticotropin-Ca-chim(NtGi1-Gs)/β1/γ2; MRAP1
15.79Single8ID9Icosapent8ID9-FFA4-Icosapent-Gi1/β1/γ2
15.79Single8IQ6Latanoprost8IQ6-FP-alpha-Latanoprost-chim(NtGi1-Gs-CtGq)/β1/γ2
15.79Single8IRSRotigotine8IRS-D2-Rotigotine-Gi1/β1/γ2
15.79Single8JJ8Arformoterol8JJ8-β2-Arformoterol
15.79Single8JPCNeurotensin-(8-13)8JPC-NTS1-Neurotensin-(8-13)-SBI-553; GDP; Mg-Gq; GRK2
15.79Single8JWY2-1188JWY-A2A-2-118
15.79Single8JWZEtrumadenant8JWZ-A2A-Etrumadenant-Na
15.79Single8VHFMBX-29828VHF-GPR119-MBX-2982-Gs/β1/γ2
15.79Single8XJNCloprosetnol8XJN-TXA2-Cloprosetnol-chim(NtGi1-Gs-CtGq)/β1/γ2
15.79Single8XQJJN2418XQJ-Apelin; Apelin-JN241
15.79Single8XQNCholesterol8XQN-TAS2R14-Cholesterol-Aristolochic acid A-Gi1/β1/γ1
15.79Single8XWACXCL18XWA-CXCR2-CXCL1
15.79Single8XWMCXCL68XWM-CXCR2-CXCL6
15.79Single8XWSCXCL58XWS-CXCR2-CXCL5
15.79Single8XYIVUF106618XYI-CXCR3-VUF10661
15.79Single8Y6WTUG-13758Y6W-FFA2-TUG-1375-4-CMTB-Gi1/β1/γ2
15.79Single9AU0BW245C9AU0-DP1-BW245C-Gs/β1/γ2
15.79Single9EBIPiclidenoson9EBI-A3A-Piclidenoson-chim(NtGi1L-Gs-CtGi1)/β1/γ2
15.79Single9ECJS-geranylgeranyl-L-glutathione9ECJ-P2Y8-S-geranylgeranyl-L-glutathione-G13/β1/γ2
15.79Single9GL2Befiradol9GL2-5-HT1A-Befiradol-Gs/β1/γ2
15.79Single9GYOP3959GYO-GPBA-P395-chim(NtGi1-Gs)/β1/γ2
15.79Single9IZHLPA9IZH-LPA1-LPA-chim(NtGi2-G13)/β1/γ2
15.79Single9KZKC3a (fragment)9KZK-C3aB-C3a (fragment)-Go/β1/γ2
15.79Single9M4QDoxazosin9M4Q-Alpha1A-Doxazosin
15.79Single9MQLIsoquinuclidine9MQL-κ-Isoquinuclidine
15.79Single9VJ6F-155999VJ6-5-HT1A-F-15599-Gi3/β1/γ2
15.79Single9W32SSTR5 antagonist 19W32-SST5-SSTR5 antagonist 1
15.79Single9WSWEndomorphin9WSW-μ-Endomorphin-chim(NtGi1-Gz)/β1/γ2
15.79Single9WXMGPR15L(CT)9WXM-GPR15-GPR15L(CT)-Gi3/β1/γ2
15.79Consensusalpha1_offOrthosteric Ligandalpha1a_off
15.79Consensusalpha1a_offOrthosteric Ligand7YMJ-Alpha1A-Tamsulosin
15.79Consensusbeta_onOrthosteric Ligandbeta1_on beta2_on beta3_on
15.79Consensusbeta_on_gpOrthosteric Ligandbeta1_on_gp beta2_on_gp beta3_on_gp
15.79Consensuscannabinoid_offOrthosteric Ligandcb2_off cb1_off
15.79Consensuscb1_onOrthosteric Ligand6KPG-CB1-AM841-Gi1/β1/γ2 8K8J-CB1-Fenofibrate-chim(Gs-CtGq)/β1/γ2
15.79Consensusd2_on_gpOrthosteric Ligand7JVR-D2-Bromoergocryptine-Gi1/β1/γ2 8IRS-D2-Rotigotine-Gi1/β1/γ2
15.79Consensusgi_muscarinicOrthosteric Ligand8E9X-M4-2-Deoxycytidine-chim(NtGi1-Go)/β1/γ2 7T8X-M2-Acetylcholine-chim(NtGi1-Go)/β1/γ2 7TRS-M4-Acetylcholine-Gi1/β1/γ2 7TRK-M4-Iperoxo-Gi1/β1/γ2 7V6A-M4-PubChem 9864275-Gi1/β1/γ2
15.79Consensusgi_neurotensinOrthosteric Ligand6OSA-NTS1-JMV449-Gi1/β1/γ2 7L0S-NTS1-Neurotensin-(8-13)-Gi1/β1/γ1
15.79Consensusm4_onOrthosteric Ligand7TRS-M4-Acetylcholine-Gi1/β1/γ2 7V6A-M4-PubChem 9864275-Gi1/β1/γ2 8E9X-M4-2-Deoxycytidine-chim(NtGi1-Go)/β1/γ2 7TRK-M4-Iperoxo-Gi1/β1/γ2
15.79Consensusm4_on_gpOrthosteric Ligand7TRS-M4-Acetylcholine-Gi1/β1/γ2 7V6A-M4-PubChem 9864275-Gi1/β1/γ2 8E9X-M4-2-Deoxycytidine-chim(NtGi1-Go)/β1/γ2 7TRK-M4-Iperoxo-Gi1/β1/γ2
15.79Consensusmop_onOrthosteric Ligand8F7R-μ-Endomorphin-Gi1/β1/γ2 8EF5-μ-Fentanyl-Gi1/β1/γ2 7SCG-μ-FH210-Gi1/β1/γ2 7T2H-μ-Lofentanil-Gi1/β1/γ2 7T2G-μ-Mitragynine Pseudoindoxyl-Gi1/β1/γ2 8EF6-μ-Morphine-Gi1/β1/γ2 8EFB-μ-Oliceridine-Gi1/β1/γ2 7U2L-μ-C5-guano-Gi1/β1/γ2 8EFO-μ-PZM21-Gi1/β1/γ2 8EFL-μ-SR17018-Gi1/β1/γ2 8F7Q-μ-β-Endorphin-Gi1/β1/γ2 7U2K-μ-C6-guano-Gi1/β1/γ2 8EFQ-μ-DAMGO-Gi1/β1/γ2
15.79Consensusmop_on_gpOrthosteric Ligand8F7R-μ-Endomorphin-Gi1/β1/γ2 8EF5-μ-Fentanyl-Gi1/β1/γ2 7SCG-μ-FH210-Gi1/β1/γ2 7T2H-μ-Lofentanil-Gi1/β1/γ2 7T2G-μ-Mitragynine Pseudoindoxyl-Gi1/β1/γ2 8EF6-μ-Morphine-Gi1/β1/γ2 8EFB-μ-Oliceridine-Gi1/β1/γ2 7U2L-μ-C5-guano-Gi1/β1/γ2 8EFO-μ-PZM21-Gi1/β1/γ2 8EFL-μ-SR17018-Gi1/β1/γ2 8F7Q-μ-β-Endorphin-Gi1/β1/γ2 7U2K-μ-C6-guano-Gi1/β1/γ2 8EFQ-μ-DAMGO-Gi1/β1/γ2
15.79Consensusneurotensin_on_gpOrthosteric Ligandnts1_on_gp
15.79Consensusnts1_on_gpOrthosteric Ligand6OSA-NTS1-JMV449-Gi1/β1/γ2 7L0S-NTS1-Neurotensin-(8-13)-Gi1/β1/γ1
15.79Consensusorexin_onOrthosteric Ligandox2_on
15.79Consensuss1p3_onOrthosteric Ligand7EW3-S1P3-S1P-Gi1/β1/γ2 7EW4-S1P3-CYM-5541-Gi1/β1/γ2 7EW2-S1P3-FTY720-P-Gi1/β1/γ2
15.38Single2J4Y11-cis-Retinal2J4Y-Rhodopsin-11-cis-Retinal
15.38Single4XNWMRS25004XNW-P2Y1-MRS2500
15.38Single5WKTOctyl-Beta-D-Glucopyranoside5WKT-Rhodopsin-Octyl-β-D-Glucopyranoside-Gt(CT)
15.38Single6D32Cyclopamine6D32-SMO-Cyclopamine-Cyclopamine
15.38Single6ME5Agomelatine6ME5-MT1-Agomelatine
15.38Single6P9YPACAP276P9Y-PAC1-PACAP27-Gs/β1/γ2
15.38Single6PWCNeurotensin-(9-13)6PWC-NTS1-Neurotensin-(9-13)-Arrestin2
15.38Single7D77Hydrocortisone7D77-ADGRG3-Hydrocortisone-Go/β1/γ2
15.38Single7DD7Ca; Ca; Tryptophan; Evocalcet7DD7-CaS; CaS-Ca-Ca; Ca; Tryptophan; Evocalcet
15.38Single7EJKOxymetazoline7EJK-α2a-Oxymetazoline-Go/β1/γ2
15.38Single7F23Dopamine7F23-D1-Dopamine-GDP-Gs/β1/γ2
15.38Single7MT8All-trans-Retinal7MT8-Rhodopsin-All-trans-Retinal-GRK1
15.38Single7RGPTirzepatide7RGP-GLP-1-Tirzepatide-chim(NtGi1-Gs)/β1/γ2
15.38Single7V6APubChem 98642757V6A-M4-PubChem 9864275-Gi1/β1/γ2
15.38Single7W3ZGastrin Releasing Peptide7W3Z-BB2-Gastrin Releasing Peptide-chim(NtGi1L-Gq)/β1/γ2
15.38Single8E3XPACAP278E3X-PAC1-PACAP27-Gs/β1/γ2
15.38Single8GGEConstrained Epinephrine8GGE-β2-Constrained Epinephrine-GTP-Gs/β1/γ2
15.38Single8GGFConstrained Epinephrine8GGF-β2-Constrained Epinephrine-GTP-Gs/β1/γ2
15.38Single8GH1Constrained Epinephrine8GH1-β2-Constrained Epinephrine
15.38Single8ITFDMCHA8ITF-TAA9-DMCHA-chim(NtGi1-Gs)/β1/γ2
15.38Single8JXTHistamine8JXT-H4-Histamine-PO4-Gi1/β1/γ2
15.38Single8WC62-Phenylethylamine8WC6-TA1-2-Phenylethylamine-chim(NtGi1-Gs)/β1/γ2
15.38Single8WC9ZH86518WC9-TA1-ZH8651-chim(NtGi1-Gs-CtGq)/β1/γ2
15.38Single8XQFApelin-138XQF-Apelin-Apelin-13-Gi1/β1/γ2
15.38Single8Y63C20:0 Ceramide8Y63-FPR2-ALX-C20:0 Ceramide-Gi1/β1/γ2
15.38Single8YN9Histamine8YN9-H4-Histamine-Gi1/β1/γ2
15.38Single8YUUHistamine8YUU-H3-Histamine-Gi1/β1/γ1
15.38Single9BLWCagrilintide (non-acylated)9BLW-CT (AMY1)-Cagrilintide (non-acylated)-Gs/β1/γ2; RAMP1
15.38Single9BP3Cagrilintide9BP3-CT (AMY1)-Cagrilintide-Gs/β1/γ2; RAMP1
15.38Single9IV15alpha-DHT9IV1-ADGRD1-5α-DHT-chim(NtGi1-Gs)/β1/γ2
15.38Single9JG1Adriforant9JG1-H4-Adriforant
15.38Single9JHJC18:0 Ceramide9JHJ-FPR2-ALX-C18:0 Ceramide-Gi1/β1/γ2
15.38Single9JKT(2R)-2-hydroxy-3-phenylpropanoic acid9JKT-HCA3-(2R)-2-hydroxy-3-phenylpropanoic acid-Gi1/β1/γ2
15.38Single9LRCHistamine9LRC-H4-Histamine
15.38Single9LREHistamine9LRE-H4-Histamine-Gi1/β1/γ2
15.38Single9P92VIP9P92-PAC1-VIP-Gs/β1/γ2
15.38Consensus5ht2_onOrthosteric Ligand5ht2b_on
15.38Consensus5ht2b_onOrthosteric Ligand7SRR-5-HT2B-LSD-chim(NtGi2L-Gs-CtGq)/β1/γ2
15.38Consensush3_onOrthosteric Ligand8YUU-H3-Histamine-Gi1/β1/γ1
15.38Consensush3_on_gpOrthosteric Ligand8YUU-H3-Histamine-Gi1/β1/γ1
15.38Consensusp2y1_offOrthosteric Ligand4XNW-P2Y1-MRS2500
15.38Consensuspac1_onOrthosteric Ligand8E3X-PAC1-PACAP27-Gs/β1/γ2 6M1H-PAC1-Maxadilan-Gs/β1/γ2
15.38Consensuspac1_on_gpOrthosteric Ligand8E3X-PAC1-PACAP27-Gs/β1/γ2 6M1H-PAC1-Maxadilan-Gs/β1/γ2
15.38Consensuspac_on_gpOrthosteric Ligandpac1_on_gp
15.00Single2YCZIodocyanopindolol2YCZ-β1-Iodocyanopindolol
15.00Single4BVNCyanopindolol4BVN-β1-Cyanopindolol-Na
15.00Single5UNGPubChem 157800525UNG-AT2-PubChem 15780052
15.00Single5X93K-87945X93-ETB-K-8794
15.00Single6H7LDobutamine6H7L-β1-Dobutamine
15.00Single6KPGAM8416KPG-CB1-AM841-Gi1/β1/γ2
15.00Single6UP7Neurotensin-(8-13)6UP7-NTS1-Neurotensin-(8-13)-Arrestin2
15.00Single7CX4Evatanepag7CX4-EP2-Evatanepag-Gs/β1/γ2
15.00Single7EVZCenerimod7EVZ-S1P1-Cenerimod-Gi1/β1/γ2
15.00Single7JVRBromoergocryptine7JVR-D2-Bromoergocryptine-Gi1/β1/γ2
15.00Single7MBYCholecystokinin-87MBY-CCKA-Cholecystokinin-8-chim(NtGi1L-Gs-CtGq)/β1/γ2
15.00Single7SK7CCX6627SK7-ACKR3-CXCL12-CCX662
15.00Single7SK8CCX6627SK8-ACKR3-CXCL12-CCX662
15.00Single7U2KC6-guano7U2K-μ-C6-guano-Gi1/β1/γ2
15.00Single7VGY2-Iodomelatonin7VGY-MT1-2-Iodomelatonin-Gi1/β1/γ2
15.00Single7VVNPTH7VVN-PTH1-PTH-Gs/β1/γ2
15.00Single7WVVfMLFII7WVV-FPR2-ALX-fMLFII-Gi2/β1/γ2
15.00Single7XZ6APD6687XZ6-GPR119-APD668-Gs/β1/γ2
15.00Single8E9X2-Deoxycytidine8E9X-M4-2-Deoxycytidine-chim(NtGi1-Go)/β1/γ2
15.00Single8FN0Neurotensin-(8-13)8FN0-NTS1-Neurotensin-(8-13)-SBI-553-chim(NtGi1-Go)/β1/γ2
15.00Single8FX5Xanomeline8FX5-M4-Xanomeline-Xanomeline-Gi1/β1/γ2
15.00Single8GUTLEI-1028GUT-CB2-LEI-102-Gi1/β1/γ2
15.00Single8XJKCloprosetnol8XJK-FP-alpha-Cloprosetnol-chim(NtGi1-Gs-CtGq)/β1/γ2
15.00Single8XJOU466198XJO-TXA2-U46619-chim(NtGi1-Gs-CtGq)/β1/γ2
15.00Single8XWVCXCL18XWV-CXCR2-CXCL1-Go/β1/γ2
15.00Single8ZWGJR14a8ZWG-C3aB-JR14a-Gi1/β1/γ2
15.00Single9AS02-bromo-LSD9AS0-5-HT2A-2-bromo-LSD-chim(NtGi1-Gs-CtGq)/β1/γ2
15.00Single9CGJC6-Quino9CGJ-δ-C6-Quino-Gi1/β1/γ2
15.00Single9DYEBuspirone9DYE-5-HT1A-Buspirone-PtdIns4P-Go/β1/γ2
15.00Single9EAILosartan9EAI-AT1-Losartan-Nanobody AT209
15.00Single9HYIDP819HYI-5-HT1A-DP81-Gi1/β1/γ2
15.00Single9J0BUDP-Glucose9J0B-P2Y14-UDP-Glucose-Gi1/β1/γ2
15.00Single9YDRDADLE9YDR-δ-DADLE-MIPS3983-chim(NtGi1L-Gs-CtGi1)/β1/γ2
15.00Consensusbeta1_onOrthosteric Ligand8DCR-β1-Dobutamine-Gs/β1/γ2 7S0F-β1-Isoprenaline-Gi1/β1/γ2
15.00Consensusbeta1_on_gpOrthosteric Ligand8DCR-β1-Dobutamine-Gs/β1/γ2 7S0F-β1-Isoprenaline-Gi1/β1/γ2
15.00Consensusd2_offOrthosteric Ligand6CM4-D2-Risperidone 6LUQ-D2-Haloperidol 7DFP-D2-Spiperone
15.00Consensusendothelin_offOrthosteric Ligandetb_off
15.00Consensusetb_offOrthosteric Ligand5X93-ETB-K-8794 5XPR-ETB-Bosentan 6K1Q-ETB-IRL2500
15.00Consensusgal2_onOrthosteric Ligand7WQ4-GAL2-Galanin-chim(NtGi1-Gs-CtGq)/β1/γ2 7XJL-GAL2-Spexin-chim(NtGi2L-Gs-CtGq)/β1/γ2
15.00Consensusgal2_on_gpOrthosteric Ligand7WQ4-GAL2-Galanin-chim(NtGi1-Gs-CtGq)/β1/γ2 7XJL-GAL2-Spexin-chim(NtGi2L-Gs-CtGq)/β1/γ2
15.00Consensusorexin_on_gpOrthosteric Ligandox2_on_gp
15.00Consensusprostanoid_onOrthosteric Ligandtp_on fp-alpha_on
15.00Consensusprostanoid_on_gpOrthosteric Ligandtp_on_gp fp-alpha_on_gp
15.00Consensustp_onOrthosteric Ligand8XJO-TXA2-U46619-chim(NtGi1-Gs-CtGq)/β1/γ2
15.00Consensustp_on_gpOrthosteric Ligand8XJO-TXA2-U46619-chim(NtGi1-Gs-CtGq)/β1/γ2
14.81Single6VCBGLP-16VCB-GLP-1-GLP-1-LSN3160440-Gs/β1/γ2
14.81Single7TYFAmylin7TYF-CT (AMY1)-Amylin-Gs/β1/γ2; RAMP1
14.81Single7VVKPTH7VVK-PTH1-PTH-Gs/β1/γ2
14.81Single8HAOPTH8HAO-PTH1-PTH-chim(NtGi1-Gs)/β1/γ2
14.81Single8W8WAlpha-MSH8W8W-MC3-α-MSH-Ca-Gs/β1/γ2
14.81Single8WWLMCH8WWL-MCH1-MCH-Gi1/β1/γ2
14.81Single9BUCCagrilintide9BUC-CT-Cagrilintide-Gs/β1/γ2
14.81Single9P94PACAP279P94-PAC1-PACAP27-Gs/β1/γ2
14.81Consensusglp_onOrthosteric Ligandglp1_on glp2_on
14.81Consensusglp_on_gpOrthosteric Ligandglp1_on_gp glp2_on_gp
14.29Single3NY9PubChem 9131033NY9-β2-PubChem 913103
14.29Single4UG2CGS216804UG2-A2A-CGS21680
14.29Single5TE520-Methanoretinal5TE5-Rhodopsin-20-Methanoretinal
14.29Single6G79Donitriptan6G79-5-HT1B-Donitriptan-Go/β1/γ2
14.29Single6KNMJN241-96KNM-Apelin-JN241-9
14.29Single6NBHLA-PTH Analog6NBH-PTH1-LA-PTH Analog-Gs/β1/γ2
14.29Single6OS9JMV4496OS9-NTS1-JMV449-Gi1/β1/γ2
14.29Single6PT3DPI-2876PT3-δ-DPI-287
14.29Single6WZGSecretin6WZG-Secretin-Secretin-Gs/β1/γ2
14.29Single7CX2PGE27CX2-EP2-PGE2-Gs/β1/γ2
14.29Single7D68GLP-27D68-GLP-2-GLP-2-Gs/β1/γ2
14.29Single7D76Beclomethasone7D76-ADGRG3-Beclomethasone-Go/β1/γ2
14.29Single7DD5Ca; Ca; Tryptophan; NPS-21437DD5-CaS; CaS-Ca-Ca; Ca; Tryptophan; NPS-2143
14.29Single7DD7Ca; Ca; Tryptophan; Evocalcet7DD7-CaS; CaS-Ca-Ca; Ca; Tryptophan; Evocalcet
14.29Single7KI1Taspoglutide7KI1-GLP-1-Taspoglutide-Gs/β1/γ2
14.29Single7S8LCortistatin-147S8L-MRGPRX2-Cortistatin-14-chim(NtGi2L-Gs-CtGq)/β1/γ2
14.29Single7SRQLSD7SRQ-5-HT2B-LSD
14.29Single7T11Octreotide7T11-SST2-Octreotide-Gi3/β1/γ2
14.29Single7TS0Urocortin7TS0-CRF2-Urocortin-chim(NtGi1L-Go)/β1/γ2
14.29Single7VVLPTH7VVL-PTH1-PTH-Gs/β1/γ2
14.29Single7X8SWB4-247X8S-GLP-1-WB4-24-Gs/β1/γ2
14.29Single7XT9Serotonin7XT9-5-HT4-Serotonin-Gs/β1/γ2
14.29Single7XTASerotonin7XTA-5-HT4-Serotonin-Gi1/β1/γ2
14.29Single7YFCHistamine7YFC-H4-Histamine-chim(NtGi1-Gs-CtGq)/β1/γ2
14.29Single7YFDImetit7YFD-H4-Imetit-chim(NtGi1-Gs-CtGq)/β1/γ2
14.29Single8A2PLUAA470708A2P-A2A-LUAA47070-Na
14.29Single8DPFLorcaserin8DPF-5-HT2C-Lorcaserin-chim(NtGi2L-Gs-CtGq)/β1/γ2
14.29Single8F0KPramlintide Analogue San3858F0K-CT (AMY3)-Pramlintide Analogue San385-Gs/β1/γ2; RAMP3
14.29Single8F7REndomorphin8F7R-μ-Endomorphin-Gi1/β1/γ2
14.29Single8HN8Histamine8HN8-H4-Histamine-Gi1/β1/γ2
14.29Single8JLOUlotaront8JLO-TA1-Ulotaront-Gs/β1/γ2
14.29Single8RWHStilSwitch28RWH-A2A-StilSwitch2-Na
14.29Single8W892-Phenylethylamine8W89-TA1-2-Phenylethylamine-chim(NtGi1L-Gs)/β1/γ2
14.29Single8WPUTryptophan; Cinacalcet; PO4; Ca8WPU-CaS; CaS-Tryptophan; Cinacalcet; PO4; Ca-chim(NtGi2L-Gs-CtGq)/β1/γ2
14.29Single8XQJJN2418XQJ-Apelin; Apelin-JN241
14.29Single8XQLCholesterol8XQL-TAS2R14-Cholesterol-Aristolochic acid A-Gt3/β1/γ1
14.29Single8XQOCholesterol8XQO-TAS2R14-Cholesterol-Aristolochic acid A-Gi1/β1/γ1
14.29Single8Y52BA18Y52-BB3-BA1-chim(NtGi1-Gs-CtGq)/β1/γ2
14.29Single8YH3N-methyladenosine8YH3-A3A-N-methyladenosine-Gi1/β1/γ2
14.29Single8YN5Histamine8YN5-H3-Histamine-Gi1/β1/γ2
14.29Single8YN6Imetit8YN6-H3-Imetit-Gi1/β1/γ2
14.29Single8YN7Immethridine8YN7-H3-Immethridine-Go/β1/γ2
14.29Single8Z74JN241-98Z74-Apelin; Apelin-JN241-9
14.29Single8Z74JN241-98Z74-Apelin; Apelin-JN241-9
14.29Single8ZYUNeurotensin-(8-13)8ZYU-NTS1-Neurotensin-(8-13)-SBI-553-Arrestin2
14.29Single9BYOExendin-39BYO-GLP-1-Exendin-3-Gs/β1/γ2
14.29Single9C1PCa; Tryptophan; '6218; PO49C1P-CaS; CaS-Ca-Ca; Tryptophan; '6218; PO4
14.29Single9CGKC5-Quino9CGK-δ-C5-Quino-Gi1/β1/γ2
14.29Single9IJEEpinephrine9IJE-β3-Epinephrine-chim(NtGi1-Gs)/β1/γ2
14.29Single9JEDHistamine9JED-H4-Histamine-PO4-Gi1/β1/γ2
14.29Single9JEQHistamine9JEQ-H3-Histamine-Gi1/β1/γ2
14.29Single9JF4PD1683689JF4-BB1-PD168368
14.29Single9L3ZLRH7-C29L3Z-CML1-LRH7-C2
14.29Single9L42Histamine9L42-H4-Histamine-Gi1/β1/γ2
14.29Single9MD1Buspirone9MD1-5-HT1A-Buspirone-PtdIns4P-Gz/β1/γ2
14.29Single9P93VIP9P93-PAC1-VIP-Gs/β1/γ2
14.29Single9U9VMETH9U9V-β2-METH-Gs/β1/γ2
14.29Single9WSXEndomorphin9WSX-μ-Endomorphin-Arrestin2
14.29Consensus5ht4_onOrthosteric Ligand7XTA-5-HT4-Serotonin-Gi1/β1/γ2
14.29Consensus5ht4_on_gpOrthosteric Ligand7XTA-5-HT4-Serotonin-Gi1/β1/γ2
14.29Consensusadgrg_onOrthosteric Ligandadgrg2_on adgrg4_on
14.29Consensusadgrg_on_gpOrthosteric Ligandadgrg2_on_gp adgrg4_on_gp
14.29Consensusformylpeptide_onOrthosteric Ligandfpr2-alx_on fpr1-alx_on
14.29Consensusgq_nucleotideOrthosteric Ligandgq_p2y
14.29Consensusgq_p2yOrthosteric Ligand7XXH-P2Y1-2MeSADP-chim(NtGi1-G11)/β1/γ2
14.29Consensush4_onOrthosteric Ligand8HN8-H4-Histamine-Gi1/β1/γ2 8HOC-H4-Imetit-Gi1/β1/γ2 8JXV-H4-Clozapine-Gi1/β1/γ2 8JXW-H4-VUF6884-Gi1/β1/γ2 8JXX-H4-Clobenpropit-Gi1/β1/γ2
14.29Consensusvip-pacap_onOrthosteric Ligandvpac_on pac_on
14.29Consensusvip-pacap_on_gpOrthosteric Ligandvpac_on_gp pac_on_gp
13.79Single7DUQGLP-17DUQ-GLP-1-GLP-1-PubChem 156022738-Gs/β1/γ2
13.79Single8ZJETAK4488ZJE-Kiss1-TAK448-chim(NtGi1-Gq)/β1/γ1
13.79Consensusbb2_onOrthosteric Ligand7W40-BB2-Bombesin-chim(NtGi1L-Gq)/β1/γ2 7W3Z-BB2-Gastrin Releasing Peptide-chim(NtGi1L-Gq)/β1/γ2
13.79Consensusbb2_on_gpOrthosteric Ligand7W40-BB2-Bombesin-chim(NtGi1L-Gq)/β1/γ2 7W3Z-BB2-Gastrin Releasing Peptide-chim(NtGi1L-Gq)/β1/γ2
13.79Consensusbombesin_onOrthosteric Ligandbb2_on
13.79Consensusbombesin_on_gpOrthosteric Ligandbb2_on_gp
13.79Consensusclass-a_class-b1_cons_onOrthosteric Ligandclass-a_on class-b1_on
13.79Consensusgq_bombesinOrthosteric Ligand7W40-BB2-Bombesin-chim(NtGi1L-Gq)/β1/γ2 7W3Z-BB2-Gastrin Releasing Peptide-chim(NtGi1L-Gq)/β1/γ2
13.64Single4AMJCarvedilol4AMJ-β1-Carvedilol
13.64Single5UNFPubChem 157800525UNF-AT2-PubChem 15780052
13.64Single7CX3Taprenepag7CX3-EP2-Taprenepag-Gs/β1/γ2
13.64Single7F4ISHU91197F4I-MC1-SHU9119-chim(NtGi1-Gs)/β1/γ2
13.64Single7L0RNeurotensin-(8-13)7L0R-NTS1-Neurotensin-(8-13)-Gi1/β1/γ1
13.64Single7QA8Antagonist Peptide7QA8-STE2; STE2-Antagonist Peptide
13.64Single7QA8Antagonist Peptide7QA8-STE2; STE2-Antagonist Peptide
13.64Single7RTBPeptide-197RTB-GLP-1-Peptide-19-Gs/β1/γ2
13.64Single7T6UCGEN-855A7T6U-FPR2-ALX-CGEN-855A-Gi1/β1/γ2
13.64Single7TD4Siponimod7TD4-S1P1-Siponimod-Gi1/β1/γ2
13.64Single7VLACCL15(27-92)7VLA-CCR1-CCL15(27-92)-Gi1/β1/γ2
13.64Single7W2ZGhrelin7W2Z-Ghrelin-Ghrelin-Go/β1/γ2
13.64Single8F7XNociceptin8F7X-NOP-Nociceptin-Gi1/β1/γ2
13.64Single8IEBPubChem 1347468948IEB-GPR156; GPR156-PubChem 134746894
13.64Single8IEIPubChem 1347468948IEI-GPR156; GPR156-PubChem 134746894
13.64Single8IEIPubChem 1347468948IEI-GPR156; GPR156-PubChem 134746894
13.64Single8IEPPubChem 1347468948IEP-GPR156; GPR156-PubChem 134746894
13.64Single8IEPPubChem 1347468948IEP-GPR156; GPR156-PubChem 134746894
13.64Single8INRAlpha-MSH8INR-MC5-α-MSH-Ca-chim(NtGi1-Gs)/β1/γ2
13.64Single8KIGSHU91198KIG-MC3-SHU9119-Ca
13.64Single8PKMBefiradol8PKM-5-HT1A-Befiradol-Gi1/β1/γ1
13.64Single8WZ2Orexigenic Neuropeptide QRFP8WZ2-QRFP-Orexigenic Neuropeptide QRFP-chim(NtGi1L-Gs-CtGq)/β1/γ2
13.64Single8ZCJPasireotide8ZCJ-SST5-Pasireotide-Gi1/β1/γ1
13.64Single9J0IUDP-Glucuronic acid9J0I-P2Y14-UDP-Glucuronic acid-Gi1/β1/γ2
13.64Single9UYLChemerin-99UYL-CML2-Chemerin-9-Arrestin2
13.64Consensusccr1_onOrthosteric Ligand7VLA-CCR1-CCL15(27-92)-Gi1/β1/γ2
13.64Consensusccr1_on_gpOrthosteric Ligand7VLA-CCR1-CCL15(27-92)-Gi1/β1/γ2
13.64Consensusgi_nucleotideOrthosteric Ligandgi_adenosine gi_p2y
13.64Consensussomatostatin_offOrthosteric Ligandsst2_off
13.33Single3VG9ZM-2413853VG9-A2A-ZM-241385-Antibody
13.33Single3VGAZM-2413853VGA-A2A-ZM-241385-Antibody
13.33Single5K2DZM-2413855K2D-A2A-ZM-241385-Na
13.33Single5OLHVipadenant5OLH-A2A-Vipadenant-Na
13.33Single6B73MP11046B73-κ-MP1104
13.33Single6D9HAdenosine6D9H-A1-Adenosine-Gi2/β1/γ2
13.33Single6JZHZM-2413856JZH-A2A-ZM-241385-Na
13.33Single6KUYPubChem 1457046436KUY-α2a-PubChem 145704643
13.33Single6LPBPACAP276LPB-PAC1-PACAP27-Gs/β1/γ1
13.33Single6ME9Ramelteon6ME9-MT2-Ramelteon
13.33Single6NWEOctyl-Beta-D-Glucopyranoside6NWE-Rhodopsin-Octyl-β-D-Glucopyranoside-Gt(CT)
13.33Single6OBAAlprenolol6OBA-β2-Alprenolol-GTPL11074
13.33Single6OYAAll-trans-Retinal6OYA-Rhodopsin-All-trans-Retinal-Gt/β1/γ1
13.33Single6PS7ZM-2413856PS7-A2A-ZM-241385-Na
13.33Single6TODEMPA6TOD-OX1-EMPA-Na
13.33Single7DHRIsoprenaline7DHR-β2-Isoprenaline-Gs/β1/γ2
13.33Single7EJ0Norepinephrine7EJ0-α2a-Norepinephrine-Go/β1/γ2
13.33Single7F1ODopamine7F1O-D1-Dopamine-GDP; Mg-Gs/β1/γ2
13.33Single7M3ECa; Ca; Tryptophan; NPS-21437M3E-CaS; CaS-Ca; Ca; Tryptophan; NPS-2143
13.33Single7M3ECa; Ca; Tryptophan; NPS-21437M3E-CaS; CaS-Ca; Ca; Tryptophan; NPS-2143
13.33Single7M3FCa; Ca; Tryptophan; Cinacalcet7M3F-CaS; CaS-Ca; Ca; Tryptophan; Cinacalcet
13.33Single7S8PMS471347S8P-MRGPRX4-MS47134-chim(NtGi2L-Gs-CtGq)/β1/γ2
13.33Single7SILCa; Ca; Ca; Cyclomethyltryptophan; R-568; PO47SIL-CaS; CaS-Ca-Ca; Ca; Ca; Cyclomethyltryptophan; R-568; PO4
13.33Single7SILCa; Ca; Ca; Cyclomethyltryptophan; R-568; PO47SIL-CaS; CaS-Ca-Ca; Ca; Ca; Cyclomethyltryptophan; R-568; PO4
13.33Single7SRRLSD7SRR-5-HT2B-LSD-chim(NtGi2L-Gs-CtGq)/β1/γ2
13.33Single7SRSLSD7SRS-5-HT2B-LSD-Arrestin2
13.33Single7T8XAcetylcholine7T8X-M2-Acetylcholine-chim(NtGi1-Go)/β1/γ2
13.33Single7T90Acetylcholine7T90-M2-Acetylcholine-chim(NtGi1-Go)/β1/γ2
13.33Single7T96Acetylcholine7T96-M2-Acetylcholine-LY2119620-Go/β1/γ2
13.33Single7TUZ7-alpha,25-dihydroxycholesterol7TUZ-GPR183-7-α,25-dihydroxycholesterol-Gi1/β1/γ2
13.33Single7TZFAmylin7TZF-CT (AMY3)-Amylin-Gs/β1/γ2; RAMP3
13.33Single7VDLCortistatin-147VDL-MRGPRX2-Cortistatin-14-Gi1/β1/γ2
13.33Single7VIHCBP-3077VIH-S1P1-CBP-307-Gi1/β1/γ2
13.33Single7XT8Serotonin7XT8-5-HT4-Serotonin-Gs/β1/γ2
13.33Single7YM8Oxymetazoline7YM8-Alpha1A-Oxymetazoline-chim(Gs-CtGq)
13.33Single7YMHNorepinephrine7YMH-Alpha1A-Norepinephrine-chim(Gs-CtGq)
13.33Single8DU3PubChem 1055260648DU3-A2A-PubChem 105526064
13.33Single8DWHPubChem 1390305318DWH-MRGPRX1-PubChem 139030531-chim(NtGi2L-Gs-CtGq)/β1/γ2
13.33Single8F2APramlintide Analogue San3858F2A-CT (AMY3)-Pramlintide Analogue San385-Gs/β1/γ2; RAMP3
13.33Single8FLSAbaloparatide8FLS-PTH1-Abaloparatide-Gs/β1/γ2
13.33Single8FLULA-PTH Analog8FLU-PTH1-LA-PTH Analog-Gs/β1/γ2
13.33Single8FYXBuspirone8FYX-5-HT1A-Buspirone-PtdIns4P-Gi1/β1/γ1
13.33Single8GGAConstrained Epinephrine8GGA-β2-Constrained Epinephrine-GTP-Gs/β1/γ2
13.33Single8GGCConstrained Epinephrine8GGC-β2-Constrained Epinephrine-GTP-Gs/β1/γ2
13.33Single8GGRConstrained Epinephrine8GGR-β2-Constrained Epinephrine
13.33Single8GGWConstrained Epinephrine8GGW-β2-Constrained Epinephrine
13.33Single8GGZConstrained Epinephrine8GGZ-β2-Constrained Epinephrine
13.33Single8GH0Constrained Epinephrine8GH0-β2-Constrained Epinephrine
13.33Single8HDPAdenosine8HDP-A2B-Adenosine-Gs/β1/γ2
13.33Single8HOCImetit8HOC-H4-Imetit-Gi1/β1/γ2
13.33Single8IW4Spermidine8IW4-TAA9-Spermidine-chim(NtGi1-Gs)/β1/γ2
13.33Single8IWESpermidine8IWE-TAA9-Spermidine
13.33Single8RVWStilSwitch38RVW-A2A-StilSwitch3-Na
13.33Single8U4SREGN7663-Fab8U4S-CXCR4-REGN7663-Fab
13.33Single8U4TREGN7663-Fab8U4T-CXCR4-REGN7663-Fab
13.33Single8UNSConstrained Epinephrine8UNS-β2-Constrained Epinephrine-GTP-Gs/β1/γ2
13.33Single8UNTConstrained Epinephrine8UNT-β2-Constrained Epinephrine-GTP-Gs/β1/γ2
13.33Single8UNXConstrained Epinephrine8UNX-β2-Constrained Epinephrine-GTP-Gs/β1/γ2
13.33Single8WC3SEP-3638568WC3-TA1-SEP-363856-chim(NtGi1-Gs)/β1/γ2
13.33Single8WPGTryptophan; Cinacalcet; PO4; Ca8WPG-CaS; CaS-Tryptophan; Cinacalcet; PO4; Ca
13.33Single8XXXCXCL68XXX-CXCR2-CXCL6-Go/β1/γ2
13.33Single8YNAImmepip8YNA-H4-Immepip-Gi1/β1/γ2
13.33Single8YNFCXCL88YNF-ACKR1-CXCL8
13.33Single8YUVImmepip8YUV-H3-Immepip-Gi1/β1/γ2
13.33Single8YYWAlpha-ketoglutarate8YYW-Oxoglutarate-α-ketoglutarate-α-ketoglutarate-chim(Gi1-CtGq)/β1/γ2
13.33Single9AUCCalcitonin gene-related peptide-19AUC-CT (AMY1)-Calcitonin gene-related peptide-1-Gs/β1/γ2; RAMP1
13.33Single9AVLCa; Ca; Cyclomethyltryptophan; R-568; PO49AVL-CaS; CaS-Ca-Ca; Ca; Cyclomethyltryptophan; R-568; PO4-Gi3/β2/γ2
13.33Single9C2FCa; Ca; Tryptophan; '54149; PO49C2F-CaS; CaS-Ca-Ca; Ca; Tryptophan; '54149; PO4
13.33Single9EEAAdenosine9EEA-A2A-Adenosine-Gs/β1/γ2
13.33Single9H2XPubChem 1756706449H2X-A2A-PubChem 175670644-Na
13.33Single9LKDPL459LKD-OR5V1-PL45
13.33Single9M88Oleic monoethanolamide9M88-GPR3 ; GPR3-Oleic monoethanolamide-AF64394
13.33Single9MQJIsoquinuclidine9MQJ-μ-Isoquinuclidine
13.33Single9VJ5Gepirone9VJ5-5-HT1A-Gepirone-Go/β1/γ2
13.33Consensus5ht2_on_gpOrthosteric Ligand5ht2b_on_gp
13.33Consensus5ht2b_on_gpOrthosteric Ligand7SRR-5-HT2B-LSD-chim(NtGi2L-Gs-CtGq)/β1/γ2
13.33Consensusalpha2_offOrthosteric Ligandalpha2c_off
13.33Consensusglp1_onOrthosteric Ligand7S1M-GLP-1-Exendin-4-D-Ala-Gs/β1/γ2 7X8R-GLP-1-BOC5-Gs/β1/γ2 6X19-GLP-1-CHU-128-Gs/β1/γ2 6X1A-GLP-1-Danuglipron-Gs/β1/γ2 6X18-GLP-1-GLP-1-Gs/β1/γ2 8JIP-GLP-1-MEDI0382-chim(NtGi1-Gs)/β1/γ2 7C2E-GLP-1-PubChem 149050799-Gs/β1/γ2 7KI0-GLP-1-Semaglutide-Gs/β1/γ2 7KI1-GLP-1-Taspoglutide-Gs/β1/γ2 7X8S-GLP-1-WB4-24-Gs/β1/γ2 8JIS-GLP-1-Peptide-15-chim(NtGi1-Gs)/β1/γ2 7VBI-GLP-1-Tirzepatide (non-acylated)-Gs/β1/γ2
13.33Consensusgq_histamineOrthosteric Ligand7DFL-H1-Histamine-chim(NtGi1L-Gq)/β1/γ2
13.33Consensush1_on_gpOrthosteric Ligand7DFL-H1-Histamine-chim(NtGi1L-Gq)/β1/γ2
13.33Consensushistamine_onOrthosteric Ligandh1_on h2_on h3_on h4_on
13.33Consensushistamine_on_gpOrthosteric Ligandh1_on_gp h2_on_gp h3_on_gp h4_on_gp
13.33Consensusm2_onOrthosteric Ligand7T8X-M2-Acetylcholine-chim(NtGi1-Go)/β1/γ2
13.33Consensusm2_on_gpOrthosteric Ligand7T8X-M2-Acetylcholine-chim(NtGi1-Go)/β1/γ2
13.33Consensusp2y1_onOrthosteric Ligand7XXH-P2Y1-2MeSADP-chim(NtGi1-G11)/β1/γ2
13.33Consensusrhodopsin_on_gpOrthosteric Ligand6OYA-Rhodopsin-All-trans-Retinal-Gt/β1/γ1
13.04Single6HLOAprepitant6HLO-NK1-Aprepitant
13.04Single6WHCGlu16 analog of GCG6WHC-Glucagon-Glu16 analog of GCG-Gs/β1/γ2
13.04Single7VBITirzepatide (non-acylated)7VBI-GLP-1-Tirzepatide (non-acylated)-Gs/β1/γ2
13.04Single8KH5Lysophosphatidylserine8KH5-GPR174-Lysophosphatidylserine-Gs/β1/γ2
13.04Single9IK8Pasireotide9IK8-SST1-Pasireotide-Gi1/β1/γ2
12.90Single7VVMPTH7VVM-PTH1-PTH-Gs/β1/γ2
12.90Single9JR2PTH9JR2-PTH1-PTH-chim(NtGi1L-Gs-CtGq)/β1/γ2
12.90Consensuscrf_on_gpOrthosteric Ligandcrf2_on_gp crf1_on_gp
12.90Consensusglp1_on_gpOrthosteric Ligand7S1M-GLP-1-Exendin-4-D-Ala-Gs/β1/γ2 7X8R-GLP-1-BOC5-Gs/β1/γ2 6X19-GLP-1-CHU-128-Gs/β1/γ2 6X1A-GLP-1-Danuglipron-Gs/β1/γ2 6X18-GLP-1-GLP-1-Gs/β1/γ2 8JIP-GLP-1-MEDI0382-chim(NtGi1-Gs)/β1/γ2 7C2E-GLP-1-PubChem 149050799-Gs/β1/γ2 7KI0-GLP-1-Semaglutide-Gs/β1/γ2 7KI1-GLP-1-Taspoglutide-Gs/β1/γ2 7X8S-GLP-1-WB4-24-Gs/β1/γ2 8JIS-GLP-1-Peptide-15-chim(NtGi1-Gs)/β1/γ2 7VBI-GLP-1-Tirzepatide (non-acylated)-Gs/β1/γ2
12.50Single1F8811-cis-Retinal1F88-Rhodopsin-11-cis-Retinal
12.50Single3REYPubChem 56973REY-A2A-PubChem 5697
12.50Single3UZCPubChem 1355666093UZC-A2A-PubChem 135566609
12.50Single4LDOEpinephrine4LDO-β2-Epinephrine
12.50Single4MQTIperoxo4MQT-M2-Iperoxo-LY2119620
12.50Single4N6HNaltrindole4N6H-δ-Naltrindole-Na
12.50Single5IU7Q274563465IU7-A2A-Q27456346-Na
12.50Single5JTBZM-2413855JTB-A2A-ZM-241385
12.50Single5K2BZM-2413855K2B-A2A-ZM-241385-Na
12.50Single5NLXZM-2413855NLX-A2A-ZM-241385-Na
12.50Single5TE3Octyl-Beta-D-Glucopyranoside5TE3-Rhodopsin-Octyl-β-D-Glucopyranoside
12.50Single6IQLL7458706IQL-D4-L745870
12.50Single6K41Dexmedetomidine6K41-α2b-Dexmedetomidine-Go/β1/γ2
12.50Single6LW5WKYMVm6LW5-FPR2-ALX-WKYMVm
12.50Single6PS0Carazolol6PS0-β2-Carazolol
12.50Single6PS4ICI118-5516PS4-β2-ICI118-551
12.50Single6PS5Propranolol6PS5-β2-Propranolol
12.50Single6PS82-Phenylmelatonin6PS8-MT1-2-Phenylmelatonin
12.50Single6UUNAdrenomedullin6UUN-CT Like (AM1)-Adrenomedullin-Gs/β1/γ2; RAMP2
12.50Single6VI4JDTic6VI4-κ-JDTic
12.50Single6VN7PACAP276VN7-VPAC1-PACAP27-Gs/β1/γ2
12.50Single6WJCAtropine6WJC-M1-Atropine-Muscarinic toxin 7
12.50Single6ZDRHMS1413f126ZDR-A2A-HMS1413f12-Na
12.50Single7BB6AVP7BB6-V2-AVP-Gs/β1/γ2
12.50Single7CKWFenoldopam7CKW-D1-Fenoldopam-Gs/β1/γ2
12.50Single7CKZDopamine7CKZ-D1-Dopamine-Mevidalen-Gs/β1/γ2
12.50Single7CMUPramipexole7CMU-D3-Pramipexole-Gi1/β1/γ2
12.50Single7DHISalbutamol7DHI-β2-Salbutamol-Gs/β1/γ2
12.50Single7EJ8Brimonidine7EJ8-α2a-Brimonidine-Go/β1/γ2
12.50Single7EJADexmedetomidine7EJA-α2a-Dexmedetomidine-Go/β1/γ2
12.50Single7F0TDopamine7F0T-D1-Dopamine-Gs/β1/γ2
12.50Single7F1ZDopamine7F1Z-D1-Dopamine-GDP-Gs/β1/γ2
12.50Single7F4DAlpha-MSH7F4D-MC1-α-MSH-chim(NtGi1-Gs)/β1/γ2
12.50Single7RANPubChem 1645758477RAN-5-HT2A-PubChem 164575847-chim(NtGi2L-Gs-CtGq)/β1/γ2
12.50Single7T94Acetylcholine7T94-M2-Acetylcholine-LY2119620-chim(NtGi1-Go)/β1/γ2
12.50Single7TRSAcetylcholine7TRS-M4-Acetylcholine-Gi1/β1/γ2
12.50Single7TYYCalcitonin-17TYY-CT (AMY2)-Calcitonin-1-Gs/β1/γ2; RAMP2
12.50Single7UM7Methylergometrine7UM7-5-HT5A-Methylergometrine-chim(NtGi1-Go)/β1/γ2
12.50Single7VODCariprazine7VOD-5-HT2A-Cariprazine
12.50Single7Y36PTH7Y36-PTH1-PTH-Gs/β1/γ2
12.50Single8FLQPTH8FLQ-PTH1-PTH-Gs/β1/γ2
12.50Single8GE1Constrained Epinephrine8GE1-β2-Constrained Epinephrine-Gs/β1/γ2
12.50Single8GE4Constrained Epinephrine8GE4-β2-Constrained Epinephrine-Gs/β1/γ2
12.50Single8GE5Constrained Epinephrine8GE5-β2-Constrained Epinephrine-Gs/β1/γ1
12.50Single8GE6Constrained Epinephrine8GE6-β2-Constrained Epinephrine-Gs/β1/γ2
12.50Single8GE7Constrained Epinephrine8GE7-β2-Constrained Epinephrine-Gs/β1/γ2
12.50Single8GE8Constrained Epinephrine8GE8-β2-Constrained Epinephrine-Gs/β1/γ2
12.50Single8GEAConstrained Epinephrine8GEA-β2-Constrained Epinephrine-Gs/β1/γ2
12.50Single8GEDConstrained Epinephrine8GED-β2-Constrained Epinephrine-Gs/β1/γ2
12.50Single8GEFConstrained Epinephrine8GEF-β2-Constrained Epinephrine-Gs/β1/γ2
12.50Single8GG7Constrained Epinephrine8GG7-β2-Constrained Epinephrine-GTP-Gs/β1/γ2
12.50Single8GG8Constrained Epinephrine8GG8-β2-Constrained Epinephrine-GTP-Gs/β1/γ2
12.50Single8GGLConstrained Epinephrine8GGL-β2-Constrained Epinephrine
12.50Single8GGMConstrained Epinephrine8GGM-β2-Constrained Epinephrine
12.50Single8GGPConstrained Epinephrine8GGP-β2-Constrained Epinephrine
12.50Single8GGQConstrained Epinephrine8GGQ-β2-Constrained Epinephrine
12.50Single8GGSConstrained Epinephrine8GGS-β2-Constrained Epinephrine
12.50Single8GGTConstrained Epinephrine8GGT-β2-Constrained Epinephrine
12.50Single8GGVConstrained Epinephrine8GGV-β2-Constrained Epinephrine
12.50Single8GGXConstrained Epinephrine8GGX-β2-Constrained Epinephrine
12.50Single8H4LDoconexent8H4L-FFA4-Doconexent-chim(NtGi1-Gs-CtGq)/β1/γ2
12.50Single8HQN9-S-HODE8HQN-GPR132-9-S-HODE-Gi1/β1/γ2
12.50Single8JLNT1AM8JLN-TA1-T1AM-Gs/β1/γ2
12.50Single8K9LDAMGO8K9L-μ-DAMGO-BMS-986122-Gi3/β1/γ1
12.50Single8PM2DMCHA8PM2-TA7-DMCHA-Gs/β1/γ2
12.50Single8RQQZM-2413858RQQ-A2A-ZM-241385-Na
12.50Single8THKA-616038THK-Alpha1A-A-61603-chim(NtGi2L-Gs-CtGq)/β1/γ2
12.50Single8THLEpinephrine8THL-Alpha1A-Epinephrine-chim(NtGi2L-Gs-CtGq)/β1/γ2
12.50Single8UHBRO52563908UHB-TA1-RO5256390-Gs/β1/γ2
12.50Single8UNLConstrained Epinephrine8UNL-β2-Constrained Epinephrine-GTP-Gs/β1/γ2
12.50Single8UNMConstrained Epinephrine8UNM-β2-Constrained Epinephrine-GTP-Gs/β1/γ2
12.50Single8UNOConstrained Epinephrine8UNO-β2-Constrained Epinephrine-GTP-Gs/β1/γ2
12.50Single8UNWConstrained Epinephrine8UNW-β2-Constrained Epinephrine-GTP-Gs/β1/γ2
12.50Single8UO0Constrained Epinephrine8UO0-β2-Constrained Epinephrine-GTP-Gs/β1/γ2
12.50Single8UO1Constrained Epinephrine8UO1-β2-Constrained Epinephrine-GTP; Mg-Gs/β1/γ2
12.50Single8WPGTryptophan; Cinacalcet; PO4; Ca8WPG-CaS; CaS-Tryptophan; Cinacalcet; PO4; Ca
12.50Single8WPUTryptophan; Cinacalcet; PO4; Ca8WPU-CaS; CaS-Tryptophan; Cinacalcet; PO4; Ca-chim(NtGi2L-Gs-CtGq)/β1/γ2
12.50Single8X7ATreprostinil8X7A-I2-Treprostinil-Gs/β1/γ2
12.50Single8YFOAc-LA-PTH Analog8YFO-PTH1-Ac-LA-PTH Analog-chim(NtGi1-Gs)/β1/γ2
12.50Single8YH2Adenosine8YH2-A3A-Adenosine-Gi1/β1/γ2
12.50Single9AS5Mescaline9AS5-5-HT2A-Mescaline
12.50Single9AS6Mescaline9AS6-5-HT2A-Mescaline-chim(NtGi1-Gs-CtGq)/β1/γ2
12.50Single9AS8Psilocin9AS8-5-HT2A-Psilocin-chim(NtGi2L-Gs-CtGq)/β1/γ2
12.50Single9ASBCa; Ca; Cyclomethyltryptophan; R-568; PO49ASB-CaS; CaS-Ca-Ca; Ca; Cyclomethyltryptophan; R-568; PO4-chim(NtGi1-Gs-CtGq)/β1/γ2
12.50Single9ASBCa; Ca; Cyclomethyltryptophan; R-568; PO49ASB-CaS; CaS-Ca-Ca; Ca; Cyclomethyltryptophan; R-568; PO4-chim(NtGi1-Gs-CtGq)/β1/γ2
12.50Single9AVGCa; Ca; Cyclomethyltryptophan; R-568; PO49AVG-CaS; CaS-Ca-Ca; Ca; Cyclomethyltryptophan; R-568; PO4-chim(NtGi1-Gs)/β1/γ2
12.50Single9AXFCa; Ca; Ca; Cyclomethyltryptophan; R-568; PO49AXF-CaS; CaS-Ca-Ca; Ca; Ca; Cyclomethyltryptophan; R-568; PO4-chim(NtGi1-Gs-CtGq)/β1/γ2
12.50Single9B5YLA-PTH Analog9B5Y-PTH1-LA-PTH Analog-chim(NtGi1-Gq)/β1/γ2
12.50Single9CBLEpinephrine9CBL-α2a-Epinephrine-Gi1/β1/γ2
12.50Single9IVMGLP-1 (Truncated)9IVM-GLP-1-GLP-1 (Truncated)-LSN3318839-chim(NtGi1-Gs)/β2/γ2
12.50Single9JR3PTH9JR3-PTH1-PTH-chim(NtGi1L-Gs-CtGq)/β1/γ2
12.50Single9L84Epinephrine9L84-β1-Epinephrine-Atazanavir-Gs/β1/γ2
12.50Single9LKBPL459LKB-OR5V1-PL45-chim(NtGi1-Gs)/β1
12.50Single9LXRLA-PTH Analog9LXR-PTH1-LA-PTH Analog-Arrestin2
12.50Single9MQIIsoquinuclidine9MQI-μ-Isoquinuclidine
12.50Single9P1TZM-2413859P1T-A2A-ZM-241385
12.50Single9PXXNaloxone9PXX-μ-Naloxone-GDPβS-Gi1/β1/γ2
12.50Single9PY2Loperamide9PY2-μ-Loperamide-GDPβS-Gi1/β1/γ2
12.50Single9VNFPindolol9VNF-5-HT1A-Pindolol-Go/β1/γ2
12.50Consensus5ht_on_gpOrthosteric Ligand5ht1_on_gp 5ht2_on_gp 5ht4_on_gp 5ht5_on_gp 5ht6_on_gp 5ht7_on_gp
12.50Consensusa2_offOrthosteric Liganda2a_off
12.50Consensusa2a_offOrthosteric Ligand3RFM-A2A-Caffeine 8C9W-A2A-Etrumadenant 3UZA-A2A-GTPL9236 8GNG-A2A-Istradefylline 8CU6-A2A-LJ-4517 7PX4-A2A-PSB-2113 7PYR-A2A-PSB-2115 8DU3-A2A-PubChem 105526064 8JWY-A2A-2-118 8PWN-A2A-Theophylline 5IU4-A2A-ZM-241385-Na 5OLZ-A2A-PubChem 135566609-Na 6GT3-A2A-Imaradenant-Na 5OLV-A2A-LUAA47070-Na 5N2R-A2A-PSB36-Na 5IU7-A2A-Q27456346-Na 5OLH-A2A-Vipadenant-Na 5OLO-A2A-Tozadenant-Na 6ZDR-A2A-HMS1413f12-Na 8GNE-A2A-KW-6356-Na 8JWZ-A2A-Etrumadenant-Na 5IU8-A2A-Q27456347-Na 5IUB-A2A-Q27456344-Na 6ZDV-A2A-PubChem 984073-Na 5IUA-A2A-Q27456348-Na 8A2P-A2A-LUAA47070-Na
12.50Consensusadenosine_onOrthosteric Liganda1_on a2_on a3_on
12.50Consensusalpha1_onOrthosteric Ligandalpha1a_on
12.50Consensusalpha1_on_gpOrthosteric Ligandalpha1a_on_gp
12.50Consensusalpha1a_onOrthosteric Ligand7EJ0-α2a-Norepinephrine-Go/β1/γ2 7EJ8-α2a-Brimonidine-Go/β1/γ2 7EJA-α2a-Dexmedetomidine-Go/β1/γ2 7EJK-α2a-Oxymetazoline-Go/β1/γ2 7W6P-α2a-N-pyridin-4-ylisoquinolin-4-amine-Go/β1/γ2 7W7E-α2a-PubChem 164946676-Go/β1/γ2
12.50Consensusalpha1a_on_gpOrthosteric Ligand7EJ0-α2a-Norepinephrine-Go/β1/γ2 7EJ8-α2a-Brimonidine-Go/β1/γ2 7EJA-α2a-Dexmedetomidine-Go/β1/γ2 7EJK-α2a-Oxymetazoline-Go/β1/γ2 7W6P-α2a-N-pyridin-4-ylisoquinolin-4-amine-Go/β1/γ2 7W7E-α2a-PubChem 164946676-Go/β1/γ2
12.50Consensusclass-a_class-b1_cons_on_gpOrthosteric Ligandclass-a_on_gp class-b1_on_gp
12.50Consensusclass-b1_class-b2_cons_onOrthosteric Ligandclass-b1_on class-b2_on
12.50Consensusclass-b1_class-b2_cons_on_gpOrthosteric Ligandclass-b1_on_gp class-b2_on_gp
12.50Consensusd3_onOrthosteric Ligand7CMV-D3-PD128907-Gi1/β1/γ2 8IRT-D3-Rotigotine-Gi1/β1/γ2 7CMU-D3-Pramipexole-Gi1/β1/γ2
12.50Consensusd3_on_gpOrthosteric Ligand7CMV-D3-PD128907-Gi1/β1/γ2 8IRT-D3-Rotigotine-Gi1/β1/γ2 7CMU-D3-Pramipexole-Gi1/β1/γ2
12.50Consensusfpr2-alx_onOrthosteric Ligand7WVX-FPR2-ALX-Humanin-Gi2/β1/γ2 7T6U-FPR2-ALX-CGEN-855A-Gi1/β1/γ2 7T6V-FPR2-ALX-fMLFII-Gi1/β1/γ2 7WVY-FPR2-ALX-Amyloid-β42-Gi2/β1/γ2 7T6S-FPR2-ALX-TC-FPR 43-Gi1/β1/γ2 6OMM-FPR2-ALX-WKYMVX-Gi1/β1/γ2
12.50Consensusgi_adenosineOrthosteric Ligand7LD4-A1-Adenosine-Gi2/β1/γ2 8X17-A3A-Namodenoson-Gi1/β1/γ2 8X16-A3A-Piclidenoson-Gi1/β1/γ2
12.50Consensusglucagon_onOrthosteric Ligandglp_on gluc_on secretin_on gip_on
12.50Consensusnop_offOrthosteric Ligand4EA3-NOP-PubChem 10296561 5DHG-NOP-C-35 5DHH-NOP-SB-612111
12.50Consensusopsins_offOrthosteric Ligandrhodopsin_off
12.50Consensussensory_offOrthosteric Ligandopsins_off
12.12Consensusglucagon_on_gpOrthosteric Ligandglp_on_gp gluc_on_gp secretin_on_gp gip_on_gp
12.12Consensuspth_onOrthosteric Ligandpth1_on pth2_on
12.00Single6NIYCalcitonin-16NIY-CT-Calcitonin-1-Gs/β1/γ2
12.00Single6WI9Secretin6WI9-Secretin-Secretin-Gs/β1/γ2
12.00Single7F4HAfamelanotide7F4H-MC1-Afamelanotide-chim(NtGi1-Gs)/β1/γ2
12.00Single7FINPeptide-20; GGL7FIN-GIP-Peptide-20; GGL-Gs/β1/γ2
12.00Single7TYIAmylin7TYI-CT-Amylin-Gs/β1/γ2
12.00Single7W40Bombesin7W40-BB2-Bombesin-chim(NtGi1L-Gq)/β1/γ2
12.00Single7WUIIP157WUI-ADGRG2-IP15-chim(NtGi1-Gs)/β1/γ2
12.00Single8HA0PTH8HA0-PTH1-PTH-chim(NtGi1-Gs)/β1/γ2
12.00Single8IEDPubChem 1347468948IED-GPR156; GPR156-PubChem 134746894-Go/β1/γ2
12.00Single8WSTMCH8WST-MCH2-MCH-chim(NtGi1L-Gs-CtGq)/β1/γ2
12.00Single8YW3Retatrutide8YW3-GLP-1-Retatrutide-Gs/β1/γ2
12.00Single8YW4Retatrutide8YW4-GIP-Retatrutide-chim(NtGi1-Gs)/β1/γ2
12.00Single8YW5Retatrutide8YW5-Glucagon-Retatrutide-Gs/β1/γ2
12.00Single9BLCCagrilintide (non-acylated)9BLC-CT-Cagrilintide (non-acylated)-Gs/β1/γ2
12.00Single9EBOGLP-1 (ACPC18)9EBO-GLP-1-GLP-1 (ACPC18)-Gs/β1/γ2
12.00Consensusfpr2-alx_on_gpOrthosteric Ligand7WVX-FPR2-ALX-Humanin-Gi2/β1/γ2 7T6U-FPR2-ALX-CGEN-855A-Gi1/β1/γ2 7T6V-FPR2-ALX-fMLFII-Gi1/β1/γ2 7WVY-FPR2-ALX-Amyloid-β42-Gi2/β1/γ2 7T6S-FPR2-ALX-TC-FPR 43-Gi1/β1/γ2 6OMM-FPR2-ALX-WKYMVX-Gi1/β1/γ2
11.76Single2VT4Cyanopindolol2VT4-β1-Cyanopindolol
11.76Single2Y04Salbutamol2Y04-β1-Salbutamol
11.76Single2YCYCyanopindolol2YCY-β1-Cyanopindolol
11.76Single3EMLZM-2413853EML-A2A-ZM-241385
11.76Single3NY8ICI118-5513NY8-β2-ICI118-551
11.76Single3NYAAlprenolol3NYA-β2-Alprenolol
11.76Single3ZPQPubChem 5945903ZPQ-β1-PubChem 594590-Na
11.76Single3ZPRPubChem 5987543ZPR-β1-PubChem 598754-Na
11.76Single4DAJTiotropium4DAJ-M3-Tiotropium
11.76Single4GBRCarazolol4GBR-β2-Carazolol
11.76Single4MQSIperoxo4MQS-M2-Iperoxo
11.76Single4QKXPubChem 762106284QKX-β2-PubChem 76210628
11.76Single4U14Tiotropium4U14-M3-Tiotropium
11.76Single4U16N-methyl-Scopolamine4U16-M3-N-methyl-Scopolamine
11.76Single5DHGC-355DHG-NOP-C-35
11.76Single5K2AZM-2413855K2A-A2A-ZM-241385-Na
11.76Single5T04Neurotensin-(8-13)5T04-NTS1-Neurotensin-(8-13)
11.76Single5UIGPubChem 1240811965UIG-A2A-PubChem 124081196
11.76Single5VRAZM-2413855VRA-A2A-ZM-241385-Na
11.76Single5YC8N-methyl-Scopolamine5YC8-M2-N-methyl-Scopolamine
11.76Single5ZK8N-methyl-Scopolamine5ZK8-M2-N-methyl-Scopolamine
11.76Single5ZKCN-methyl-Scopolamine5ZKC-M2-N-methyl-Scopolamine
11.76Single6FKCPubChem 1324730396FKC-Rhodopsin-PubChem 132473039
11.76Single6H7MSalbutamol6H7M-β1-Salbutamol
11.76Single6K42Dexmedetomidine6K42-α2b-Dexmedetomidine-Gi1/β1/γ2
11.76Single6ORVTT-OAD26ORV-GLP-1-TT-OAD2-Gs/β1/γ2
11.76Single6PRZAlprenolol6PRZ-β2-Alprenolol
11.76Single6PS1Timolol6PS1-β2-Timolol
11.76Single6PS2Alprenolol6PS2-β2-Alprenolol
11.76Single6S0LZM-2413856S0L-A2A-ZM-241385
11.76Single6WHADB139486WHA-5-HT2A-DB13948-chim(NtGi2L-Gs-CtGq)/β1/γ2
11.76Single6X1ADanuglipron6X1A-GLP-1-Danuglipron-Gs/β1/γ2
11.76Single6Z4VNeurotensin-(9-13)6Z4V-NTS1-Neurotensin-(9-13)
11.76Single7BTSEpinephrine7BTS-β1-Epinephrine
11.76Single7BU6Norepinephrine7BU6-β1-Norepinephrine
11.76Single7F83PF-051904577F83-Ghrelin-PF-05190457
11.76Single7LCKDanuglipron7LCK-GLP-1-Danuglipron
11.76Single7LJCSKF812977LJC-D1-SKF81297-Mevidalen-Gs/β1/γ2
11.76Single7M3JNPS-2143; PO47M3J-CaS; CaS-NPS-2143; PO4
11.76Single7S0GIsoprenaline7S0G-β1-Isoprenaline-chim(Gi1-CtGs)/β1/γ2
11.76Single7S15PubChem 1346112237S15-GLP-1-PubChem 134611223
11.76Single7SCGFH2107SCG-μ-FH210-Gi1/β1/γ2
11.76Single7SQOTAK-9257SQO-OX2-TAK-925-Gi1/β1/γ2
11.76Single7T6VfMLFII7T6V-FPR2-ALX-fMLFII-Gi1/β1/γ2
11.76Single7TRPIperoxo7TRP-M4-Iperoxo-LY2033298-Gi1/β1/γ2
11.76Single7UM6Lisuride7UM6-5-HT5A-Lisuride-chim(NtGi1-Go)/β1/γ2
11.76Single7VH0Ramelteon7VH0-MT2-Ramelteon-Gi1/β1/γ1
11.76Single7VIFFTY720-P7VIF-S1P1-FTY720-P-Gi1/β1/γ2
11.76Single7WC7Lisuride7WC7-5-HT2A-Lisuride
11.76Single7X2CFenoldopam7X2C-D1-Fenoldopam-Fenoldopam-Gs/β1/γ2
11.76Single7XJHIsoprenaline7XJH-β3-Isoprenaline-Gs/β1/γ2
11.76Single8CICEtrumadenant8CIC-A2A-Etrumadenant-Na
11.76Single8DZSGR89,6968DZS-κ-GR89,696-chim(NtGi2-Gz)/β1/γ2
11.76Single8EJKTAK-8758EJK-FFA1-TAK-875-chim(NtGi1L-Gs-CtGq)/β1/γ2
11.76Single8GE2Constrained Epinephrine8GE2-β2-Constrained Epinephrine-Gs/β1/γ1
11.76Single8GE3Constrained Epinephrine8GE3-β2-Constrained Epinephrine-Gs/β1/γ2
11.76Single8GE9Constrained Epinephrine8GE9-β2-Constrained Epinephrine-Gs/β1/γ2
11.76Single8GECConstrained Epinephrine8GEC-β2-Constrained Epinephrine-Gs/β1/γ2
11.76Single8GEEConstrained Epinephrine8GEE-β2-Constrained Epinephrine-Gs/β1/γ2
11.76Single8GEHConstrained Epinephrine8GEH-β2-Constrained Epinephrine-Gs/β1/γ2
11.76Single8GFVConstrained Epinephrine8GFV-β2-Constrained Epinephrine-GTP-Gs/β1/γ2
11.76Single8GFWConstrained Epinephrine8GFW-β2-Constrained Epinephrine-GTP-Gs/β1/γ2
11.76Single8GFXConstrained Epinephrine8GFX-β2-Constrained Epinephrine-GTP-Gs/β1/γ2
11.76Single8GFZConstrained Epinephrine8GFZ-β2-Constrained Epinephrine-GTP-Gs/β1/γ2
11.76Single8GG0Constrained Epinephrine8GG0-β2-Constrained Epinephrine-GTP-Gs/β1/γ2
11.76Single8GG1Constrained Epinephrine8GG1-β2-Constrained Epinephrine-GTP-Gs/β1/γ2
11.76Single8GG3Constrained Epinephrine8GG3-β2-Constrained Epinephrine-GTP-Gs/β1/γ2
11.76Single8GG4Constrained Epinephrine8GG4-β2-Constrained Epinephrine-GTP-Gs/β1/γ2
11.76Single8GG6Constrained Epinephrine8GG6-β2-Constrained Epinephrine-GTP-Gs/β1/γ2
11.76Single8GG9Constrained Epinephrine8GG9-β2-Constrained Epinephrine-GTP-Gs/β1/γ2
11.76Single8GGIConstrained Epinephrine8GGI-β2-Constrained Epinephrine
11.76Single8GGJConstrained Epinephrine8GGJ-β2-Constrained Epinephrine
11.76Single8GGKConstrained Epinephrine8GGK-β2-Constrained Epinephrine
11.76Single8GGNConstrained Epinephrine8GGN-β2-Constrained Epinephrine
11.76Single8GGOConstrained Epinephrine8GGO-β2-Constrained Epinephrine
11.76Single8GGUConstrained Epinephrine8GGU-β2-Constrained Epinephrine
11.76Single8IRTRotigotine8IRT-D3-Rotigotine-Gi1/β1/γ2
11.76Single8JD0NAM5638JD0-mGlu2; mGlu3-Glutamate-NAM563
11.76Single8JJOAlprenolol8JJO-β2-Alprenolol
11.76Single8JLJT1AM8JLJ-TA1-T1AM-chim(NtGi1-Gs)/β1/γ2
11.76Single8JLZST19368JLZ-5-HT6-ST1936-Gs/β1/γ2
11.76Single8JT8(R)-IHCH-71798JT8-5-HT2A-(R)-IHCH-7179
11.76Single8JXRLSD8JXR-D1-LSD
11.76Single8PJKST1718PJK-5-HT1A-ST171-Gi1/β1/γ1
11.76Single8TH3AT118-H Nanobody8TH3-AT1-AT118-H Nanobody
11.76Single8UH3Setiptiline8UH3-5-HT1E-Setiptiline-Gi1/β1/γ1
11.76Single8UNQConstrained Epinephrine8UNQ-β2-Constrained Epinephrine-GTP-Gs/β1/γ2
11.76Single8UNRConstrained Epinephrine8UNR-β2-Constrained Epinephrine-GTP-Gs/β1/γ2
11.76Single8UNUConstrained Epinephrine8UNU-β2-Constrained Epinephrine-GTP-Gs/β1/γ2
11.76Single8UNVConstrained Epinephrine8UNV-β2-Constrained Epinephrine-GTP-Gs/β1/γ2
11.76Single8UNYConstrained Epinephrine8UNY-β2-Constrained Epinephrine-GTP-Gs/β1/γ2
11.76Single8UNZConstrained Epinephrine8UNZ-β2-Constrained Epinephrine-GTP-Gs/β1/γ2
11.76Single8UO2Constrained Epinephrine8UO2-β2-Constrained Epinephrine-GTP-Gs/β1/γ2
11.76Single8VVGGB188VVG-κ-GB18-Gi1/β1/γ2
11.76Single8WC7ZH86678WC7-TA1-ZH8667-chim(NtGi1-Gs)/β1/γ2
11.76Single8X63Mepyramine8X63-H1-Mepyramine
11.76Single8XBGS3E-Lysophosphatidylserine 8XBG-GPR34-S3E-Lysophosphatidylserine
11.76Single8XVKAmbrisentan8XVK-ETA-Ambrisentan
11.76Single8YN8Proxyfan8YN8-H3-Proxyfan-Go/β1/γ2
11.76Single8ZQEGPR15L(CT)8ZQE-GPR15-GPR15L(CT)-Gi1/β1/γ1
11.76Single9AS1DMT9AS1-5-HT2A-DMT
11.76Single9AVGCa; Ca; Cyclomethyltryptophan; R-568; PO49AVG-CaS; CaS-Ca-Ca; Ca; Cyclomethyltryptophan; R-568; PO4-chim(NtGi1-Gs)/β1/γ2
11.76Single9CBMDexmedetomidine9CBM-α2a-Dexmedetomidine-Gi1/β1/γ2
11.76Single9IYAONO-97105319IYA-GPR55-ONO-9710531
11.76Single9JEAAtropine9JEA-M1-Atropine
11.76Single9P1SZM-2413859P1S-A2A-ZM-241385
11.76Single9PLNPubChem 1682595949PLN-α2a-PubChem 168259594
11.76Single9PLOPubChem 1682595949PLO-α2a-PubChem 168259594-Go/β1/γ2
11.76Single9PQDPubChem 1764919279PQD-α2a-PubChem 176491927
11.76Single9PXWNaloxone9PXW-μ-Naloxone-GDPβS-Gi1/β1/γ2
11.76Single9VMYTMU41429VMY-5-HT1A-TMU4142-Go/β1/γ2
11.76Consensus5ht5_onOrthosteric Ligand5ht5a_on
11.76Consensus5ht5a_onOrthosteric Ligand7X5H-5-HT5A-5-CT-Gi1/β1/γ2 7UM6-5-HT5A-Lisuride-chim(NtGi1-Go)/β1/γ2 7UM7-5-HT5A-Methylergometrine-chim(NtGi1-Go)/β1/γ2
11.76Consensus5ht6_onOrthosteric Ligand7XTB-5-HT6-Serotonin-Gs/β1/γ2 8JLZ-5-HT6-ST1936-Gs/β1/γ2
11.76Consensus5ht6_on_gpOrthosteric Ligand7XTB-5-HT6-Serotonin-Gs/β1/γ2 8JLZ-5-HT6-ST1936-Gs/β1/γ2
11.76Consensusadrenergic_onOrthosteric Ligandalpha_on beta_on
11.76Consensusalpha2_onOrthosteric Ligandalpha2b_on
11.76Consensusalpha2_on_gpOrthosteric Ligandalpha2b_on_gp
11.76Consensusalpha2b_onOrthosteric Ligand6K42-α2b-Dexmedetomidine-Gi1/β1/γ2
11.76Consensusalpha2b_on_gpOrthosteric Ligand6K42-α2b-Dexmedetomidine-Gi1/β1/γ2
11.76Consensusalpha_onOrthosteric Ligandalpha1_on alpha2_on
11.76Consensusd5_onOrthosteric Ligand8IRV-D5-Rotigotine-chim(NtGi1-Gs)/β1/γ2
11.76Consensusdopamine_offOrthosteric Ligandd2_off d3_off
11.76Consensusdopamine_onOrthosteric Ligandd2_on d1_on d3_on d4_on d5_on
11.76Consensusdopamine_on_gpOrthosteric Ligandd2_on_gp d1_on_gp d3_on_gp d4_on_gp d5_on_gp
11.76Consensusgi_histamineOrthosteric Ligand8JXX-H4-Clobenpropit-Gi1/β1/γ2 8JXV-H4-Clozapine-Gi1/β1/γ2 8YUU-H3-Histamine-Gi1/β1/γ1 8HN8-H4-Histamine-Gi1/β1/γ2 8HOC-H4-Imetit-Gi1/β1/γ2 8JXW-H4-VUF6884-Gi1/β1/γ2
11.76Consensusgi_orexinOrthosteric Ligand7SQO-OX2-TAK-925-Gi1/β1/γ2
11.76Consensusgq_amineOrthosteric Ligandgq_muscarinic gq_histamine
11.76Consensushistamine_offOrthosteric Ligandh1_off
11.76Consensusmuscarinic_onOrthosteric Ligandm2_on m3_on m4_on m1_on
11.76Consensusmuscarinic_on_gpOrthosteric Ligandm2_on_gp m3_on_gp m4_on_gp m1_on_gp
11.54Single6X18GLP-16X18-GLP-1-GLP-1-Gs/β1/γ2
11.54Single7LLYOxyntomodulin7LLY-GLP-1-Oxyntomodulin-Gs/β1/γ2
11.54Single7QBIAlpha-factor mating pheromone7QBI-STE2; STE2-α-factor mating pheromone
11.54Single7TYWCalcitonin-17TYW-CT (AMY1)-Calcitonin-1-Gs/β1/γ2; RAMP1
11.54Single8HNKCXCL118HNK-CXCR3-CXCL11-Gi1/β1/γ2
11.54Single8YG4LA-PTH Analog8YG4-PTH1-LA-PTH Analog-chim(NtGi1-Gs)/β1/γ2
11.54Consensuscalcitonin_onOrthosteric Ligandctlike_on
11.54Consensusvpac1_onOrthosteric Ligand8E3Z-VPAC1-VIP-Gs/β1/γ2
11.54Consensusvpac_onOrthosteric Ligandvpac1_on vpac2_on
11.43Single7F16TIP397F16-PTH2-TIP39-Gs/β1/γ2
11.43Consensusclass-b1_onOrthosteric Ligandglucagon_on vip-pacap_on pth_on crf_on calcitonin_on
11.11Single2RH1Carazolol2RH1-β2-Carazolol
11.11Single2Y03Isoprenaline2Y03-β1-Isoprenaline
11.11Single2YCWCarazolol2YCW-β1-Carazolol
11.11Single5CGCHTL142425CGC-mGlu5-HTL14242
11.11Single5D6LCarazolol5D6L-β2-Carazolol
11.11Single5JQHCarazolol5JQH-β2-Carazolol
11.11Single5TVNLSD5TVN-5-HT2B-LSD
11.11Single5WIUNemonapride5WIU-D4-Nemonapride
11.11Single5WIVNemonapride5WIV-D4-Nemonapride-Na
11.11Single5X7DCarazolol5X7D-β2-Carazolol-PubChem 129318963
11.11Single5XPRBosentan5XPR-ETB-Bosentan
11.11Single5ZBQUR-MK-2995ZBQ-Y1-UR-MK-299
11.11Single6GDGNECA6GDG-A2A-NECA-Gs/β1/γ1
11.11Single6KUWPubChem 572132346KUW-α2c-PubChem 57213234
11.11Single6NBFLA-PTH Analog6NBF-PTH1-LA-PTH Analog-Gs/β1/γ2
11.11Single6PS3Carvedilol6PS3-β2-Carvedilol
11.11Single6PS6Timolol6PS6-β2-Timolol
11.11Single7BVQCarazolol7BVQ-β1-Carazolol
11.11Single7CKXA776367CKX-D1-A77636-Gs/β1/γ2
11.11Single7CZ5Somatoliberin7CZ5-GHRH-Somatoliberin-Gs/β1/γ2
11.11Single7D3SSecretin7D3S-Secretin-Secretin-Gs/β1/γ2
11.11Single7EUOfMLF7EUO-FPR1-ALX-fMLF-Gi1/β1/γ2
11.11Single7KI0Semaglutide7KI0-GLP-1-Semaglutide-Gs/β1/γ2
11.11Single7M3JNPS-2143; PO47M3J-CaS; CaS-NPS-2143; PO4
11.11Single7QBIAlpha-factor mating pheromone7QBI-STE2; STE2-α-factor mating pheromone
11.11Single7RA3GIP7RA3-GIP-GIP-chim(NtGi1-Gs)/β1/γ2
11.11Single7S0FIsoprenaline7S0F-β1-Isoprenaline-Gi1/β1/γ2
11.11Single7SINNPS-21437SIN-CaS; CaS-NPS-2143
11.11Single7SINNPS-21437SIN-CaS; CaS-NPS-2143
11.11Single7TRKIperoxo7TRK-M4-Iperoxo-Gi1/β1/γ2
11.11Single7VABTirzepatide (non-acylated)7VAB-GIP-Tirzepatide (non-acylated)-chim(NtGi1-Gs)/β1/γ2
11.11Single7VFXfMIFL7VFX-FPR1-ALX-fMIFL-Gi1/β1/γ2
11.11Single7VV0PAMP-127VV0-MRGPRX2-PAMP-12
11.11Single7WC6LSD7WC6-5-HT2A-LSD
11.11Single7XK9Constrained Isoproterenol7XK9-β2-Constrained Isoproterenol-Na
11.11Single7XKAConstrained Epinephrine7XKA-β2-Constrained Epinephrine
11.11Single8C9WEtrumadenant8C9W-A2A-Etrumadenant
11.11Single8E9ZIperoxo8E9Z-M3-Iperoxo-chim(NtGi2L-Gs-CtGq)/β1/γ2
11.11Single8EJCTAK-8758EJC-FFA1-TAK-875-chim(NtGi1L-Gs-CtGq)/β1/γ2
11.11Single8F0JPramlintide Analogue San458F0J-CT-Pramlintide Analogue San45-Gs/β1/γ2
11.11Single8GDZConstrained Epinephrine8GDZ-β2-Constrained Epinephrine-Gs/β1/γ2
11.11Single8GEBConstrained Epinephrine8GEB-β2-Constrained Epinephrine-Gs/β1/γ2
11.11Single8GEGConstrained Epinephrine8GEG-β2-Constrained Epinephrine-Gs/β1/γ2
11.11Single8GFYConstrained Epinephrine8GFY-β2-Constrained Epinephrine-GTP-Gs/β1/γ2
11.11Single8GG2Constrained Epinephrine8GG2-β2-Constrained Epinephrine-GTP-Gs/β1/γ2
11.11Single8GGBConstrained Epinephrine8GGB-β2-Constrained Epinephrine-GTP-Gs/β1/γ2
11.11Single8H0PNMB308H0P-BB1-NMB30-chim(NtGi1-Gs-CtGq)/β1/γ2
11.11Single8ID4Linoleic acid8ID4-FFA4-Linoleic acid-Gi1/β1/γ2
11.11Single8JISPeptide-158JIS-GLP-1-Peptide-15-chim(NtGi1-Gs)/β1/γ2
11.11Single8SZGCa; Ca; Tryptophan; Cinacalcet; PO4; Spermine8SZG-CaS; CaS-Ca; Ca; Tryptophan; Cinacalcet; PO4; Spermine-chim(NtGi1-Gq)/β1/γ2
11.11Single8UNNConstrained Epinephrine8UNN-β2-Constrained Epinephrine-GTP-Gs/β1/γ2
11.11Single8UNPConstrained Epinephrine8UNP-β2-Constrained Epinephrine-GTP-Gs/β1/γ2
11.11Single8ZRKGSK12922638ZRK-GPR119-GSK1292263-Gs/β1/γ2
11.11Single8ZVZBW245C8ZVZ-DP1-BW245C-Gs/β1/γ2
11.11Single9ARZ2-bromo-LSD9ARZ-5-HT2A-2-bromo-LSD
11.11Single9AVLCa; Ca; Cyclomethyltryptophan; R-568; PO49AVL-CaS; CaS-Ca-Ca; Ca; Cyclomethyltryptophan; R-568; PO4-Gi3/β2/γ2
11.11Single9AXFCa; Ca; Ca; Cyclomethyltryptophan; R-568; PO49AXF-CaS; CaS-Ca-Ca; Ca; Ca; Cyclomethyltryptophan; R-568; PO4-chim(NtGi1-Gs-CtGq)/β1/γ2
11.11Single9AYFCa; Ca; Ca; Cyclomethyltryptophan; R-568; PO49AYF-CaS; CaS-Ca-Ca; Ca; Ca; Cyclomethyltryptophan; R-568; PO4-Gi1/β1/γ2
11.11Single9EKHONO-30302979EKH-DP1-ONO-3030297
11.11Single9F33FOB02-04A9F33-D3-FOB02-04A-Go/β1/γ2
11.11Single9F34FOB02-04A9F34-D3-FOB02-04A-Go/β1/γ2
11.11Single9HAPTolvaptan9HAP-V2-Tolvaptan
11.11Single9J1Pg1:Ox9J1P-GLP-1-g1:Ox-chim(NtGi1-Gs)/β1/γ2
11.11Single9K07DSO-5a9K07-BB3-DSO-5a-chim(NtGi2L-Gs-CtGq)/β1/γ2
11.11Single9PXYNaloxone9PXY-μ-Naloxone-GDPβS-Gi1/β1/γ2
11.11Single9U81Tolvaptan9U81-V2-Tolvaptan
11.11Consensus5ht5_on_gpOrthosteric Ligand5ht5a_on_gp
11.11Consensus5ht5a_on_gpOrthosteric Ligand7X5H-5-HT5A-5-CT-Gi1/β1/γ2 7UM6-5-HT5A-Lisuride-chim(NtGi1-Go)/β1/γ2 7UM7-5-HT5A-Methylergometrine-chim(NtGi1-Go)/β1/γ2
11.11Consensusadgrg2_onOrthosteric Ligand7WUI-ADGRG2-IP15-chim(NtGi1-Gs)/β1/γ2 7WUQ-ADGRG2-Gs/β1/γ2 7XKF-ADGRG2-Dehydroepiandrosterone-Gs/β1/γ2
11.11Consensusadgrg2_on_gpOrthosteric Ligand7WUI-ADGRG2-IP15-chim(NtGi1-Gs)/β1/γ2 7WUQ-ADGRG2-Gs/β1/γ2 7XKF-ADGRG2-Dehydroepiandrosterone-Gs/β1/γ2
11.11Consensusadrenergic_offOrthosteric Ligandalpha_off beta_off
11.11Consensusadrenergic_on_gpOrthosteric Ligandalpha_on_gp beta_on_gp
11.11Consensusalpha2c_offOrthosteric Ligand6KUW-α2c-PubChem 57213234
11.11Consensusalpha_offOrthosteric Ligandalpha1_off alpha2_off
11.11Consensusalpha_on_gpOrthosteric Ligandalpha1_on_gp alpha2_on_gp
11.11Consensusamine_offOrthosteric Ligand5ht_off adrenergic_off dopamine_off histamine_off muscarinic_off
11.11Consensusamine_offonOrthosteric Ligandamine_off amine_on
11.11Consensusamine_offon_gpOrthosteric Ligandamine_on_gp amine_off
11.11Consensusamine_onOrthosteric Ligand5ht_on adrenergic_on dopamine_on histamine_on muscarinic_on trace-amine_on
11.11Consensusbeta2_offOrthosteric Ligand2RH1-β2-Carazolol 6PS3-β2-Carvedilol 6PS5-β2-Propranolol 3D4S-β2-Timolol 3NY8-β2-ICI118-551 3NY9-β2-PubChem 913103 6PRZ-β2-Alprenolol
11.11Consensusbeta_offOrthosteric Ligandbeta1_off beta2_off
11.11Consensuscalcitonin_on_gpOrthosteric Ligandctlike_on_gp
11.11Consensusclass-b2_onOrthosteric Ligandadgrg_on adgrf_on adgrl_on adgre_on adgrd_on
11.11Consensusclass-b2_on_gpOrthosteric Ligandadgrg_on_gp adgrf_on_gp adgrl_on_gp adgre_on_gp adgrd_on_gp
11.11Consensusfpr1-alx_onOrthosteric Ligand7VFX-FPR1-ALX-fMIFL-Gi1/β1/γ2
11.11Consensusfpr1-alx_on_gpOrthosteric Ligand7VFX-FPR1-ALX-fMIFL-Gi1/β1/γ2
11.11Consensusgi_adrenergicOrthosteric Ligand7EJ0-α2a-Norepinephrine-Go/β1/γ2 7EJK-α2a-Oxymetazoline-Go/β1/γ2 7W7E-α2a-PubChem 164946676-Go/β1/γ2 7W6P-α2a-N-pyridin-4-ylisoquinolin-4-amine-Go/β1/γ2 7EJ8-α2a-Brimonidine-Go/β1/γ2 6K42-α2b-Dexmedetomidine-Gi1/β1/γ2 7EJA-α2a-Dexmedetomidine-Go/β1/γ2 7S0F-β1-Isoprenaline-Gi1/β1/γ2
11.11Consensusgq_muscarinicOrthosteric Ligand6OIJ-M1-Iperoxo-chim(NtGi1L-G11)/β1/γ2
11.11Consensush1_offOrthosteric Ligand8X63-H1-Mepyramine 3RZE-H1-Cidoxepin 8X5Y-H1-Astemizole
11.11Consensuslpa1_onOrthosteric Ligand7TD1-LPA1-LPA-Gi1/β1/γ2 7YU3-LPA1-ONO-0740556-Gi1/β1/γ2
11.11Consensuslpa1_on_gpOrthosteric Ligand7TD1-LPA1-LPA-Gi1/β1/γ2 7YU3-LPA1-ONO-0740556-Gi1/β1/γ2
11.11Consensusm1_onOrthosteric Ligand6OIJ-M1-Iperoxo-chim(NtGi1L-G11)/β1/γ2
11.11Consensusm2_offOrthosteric Ligand5ZKC-M2-N-methyl-Scopolamine 5ZK3-M2-3-quinuclidinyl-benzilate 5ZKB-M2-AF-DX 384
11.11Consensusm3_onOrthosteric Ligand8E9Z-M3-Iperoxo-chim(NtGi2L-Gs-CtGq)/β1/γ2 8E9W-M3-2-Deoxycytidine-chim(NtGi2L-Gs-CtGq)/β1/γ2 8E9Y-M3-Clozapine-N-oxide-chim(NtGi2L-Gs-CtGq)/β1/γ2
11.11Consensusm3_on_gpOrthosteric Ligand8E9Z-M3-Iperoxo-chim(NtGi2L-Gs-CtGq)/β1/γ2 8E9W-M3-2-Deoxycytidine-chim(NtGi2L-Gs-CtGq)/β1/γ2 8E9Y-M3-Clozapine-N-oxide-chim(NtGi2L-Gs-CtGq)/β1/γ2
11.11Consensusnucleotide_onOrthosteric Ligandadenosine_on p2y_on
11.11Consensussecretin_onOrthosteric Ligand7D3S-Secretin-Secretin-Gs/β1/γ2
11.11Consensusvpac1_on_gpOrthosteric Ligand8E3Z-VPAC1-VIP-Gs/β1/γ2
11.11Consensusvpac_on_gpOrthosteric Ligandvpac1_on_gp vpac2_on_gp
10.81Single8F2BPramlintide Analogue San458F2B-CT (AMY3)-Pramlintide Analogue San45-Gs/β1/γ2; RAMP3
10.81Consensuspth_on_gpOrthosteric Ligandpth1_on_gp pth2_on_gp
10.71Single5NX2GLP-1 (Truncated)5NX2-GLP-1-GLP-1 (Truncated)
10.71Single6B3JExendin-P56B3J-GLP-1-Exendin-P5-Gs/β1/γ2
10.71Single6P9XCorticoliberin-16P9X-CRF1-Corticoliberin-1-Gs/β1/γ2
10.71Single6UVAAdrenomedullin-26UVA-CT Like (AM2)-Adrenomedullin-2-Gs/β1/γ2; RAMP3
10.71Single7AD3Alpha-factor mating pheromone7AD3-STE2; STE2-α-factor mating pheromone-Gi1/STE4/γ2
10.71Single7DTYGIP7DTY-GIP-GIP-Gs/β1/γ2
10.71Single7FIYTirzepatide7FIY-GIP-Tirzepatide-Gs/β1/γ2
10.71Single7QBCAlpha-factor mating pheromone7QBC-STE2; STE2-α-factor mating pheromone
10.71Single7S1MExendin-4-D-Ala7S1M-GLP-1-Exendin-4-D-Ala-Gs/β1/γ2
10.71Single7VQXPACAP277VQX-VPAC1-PACAP27-Gs/β1/γ2
10.71Consensuscrf_onOrthosteric Ligandcrf2_on crf1_on
10.71Consensussecretin_on_gpOrthosteric Ligand7D3S-Secretin-Secretin-Gs/β1/γ2
10.53Single3SN6BI1671073SN6-β2-BI167107-Gs/β1/γ2
10.53Single3ZEVNeurotensin-(7-13)3ZEV-NTS1-Neurotensin-(7-13)
10.53Single4BV0Neurotensin-(7-13)4BV0-NTS1-Neurotensin-(7-13)
10.53Single4U15Tiotropium4U15-M3-Tiotropium
10.53Single5D5ACarazolol5D5A-β2-Carazolol
10.53Single5D5BCarazolol5D5B-β2-Carazolol
10.53Single5TZRMK86665TZR-FFA1-MK8666
10.53Single5ZHPPubChem 1348285895ZHP-M3-PubChem 134828589
10.53Single5ZKBAF-DX 3845ZKB-M2-AF-DX 384
10.53Single6H7JIsoprenaline6H7J-β1-Isoprenaline
10.53Single6J21Aprepitant6J21-NK1-Aprepitant
10.53Single6NI3BI1671076NI3-β2-BI167107-Gs/β1/γ2
10.53Single6OIJIperoxo6OIJ-M1-Iperoxo-chim(NtGi1L-G11)/β1/γ2
10.53Single6OL9Tiotropium6OL9-M5-Tiotropium
10.53Single6RZ5Zafirlukast6RZ5-CysLT1-Zafirlukast-Na
10.53Single6Z8NSRI-98296Z8N-NTS1-SRI-9829
10.53Single7E2ZAripiprazole7E2Z-5-HT1A-Aripiprazole-PtdIns4P-Gi1/β1/γ2
10.53Single7JJOIsoprenaline7JJO-β1-Isoprenaline-Gs/β1/γ2
10.53Single7JV5SKF812977JV5-D1-SKF81297-Gs/β1/γ2
10.53Single7L0PNeurotensin-(8-13)7L0P-NTS1-Neurotensin-(8-13)-Gi1/β1/γ1
10.53Single7L0QNeurotensin-(8-13)7L0Q-NTS1-Neurotensin-(8-13)-Gi1/β1/γ1
10.53Single7TD1LPA7TD1-LPA1-LPA-Gi1/β1/γ2
10.53Single7TRQIperoxo7TRQ-M4-Iperoxo-VU0467154-Gi1/β1/γ2
10.53Single7W6PN-pyridin-4-ylisoquinolin-4-amine7W6P-α2a-N-pyridin-4-ylisoquinolin-4-amine-Go/β1/γ2
10.53Single7W7EPubChem 1649466767W7E-α2a-PubChem 164946676-Go/β1/γ2
10.53Single8EA0Iperoxo8EA0-M3-Iperoxo
10.53Single8EFLSR170188EFL-μ-SR17018-Gi1/β1/γ2
10.53Single8FMZNeurotensin-(8-13)8FMZ-NTS1-Neurotensin-(8-13)-chim(NtGi2L-Gs-CtGq)/β1/γ2
10.53Single8ID39-Hydroxystearic acid8ID3-FFA4-9-Hydroxystearic acid-Gi1/β1/γ2
10.53Single8JT6(R)-IHCH-71798JT6-5-HT1A-(R)-IHCH-7179-PtdIns4P-Gi1/β1/γ2
10.53Single8JXXClobenpropit8JXX-H4-Clobenpropit-Gi1/β1/γ2
10.53Single8JZPC5a8JZP-C5a1-C5a-Go/β1/γ2
10.53Single8XBIPubChem 1626566368XBI-GPR34-PubChem 162656636
10.53Single8XVLZibotentan8XVL-ETA-Zibotentan
10.53Single8YNTSNAP-948478YNT-MCH1-SNAP-94847
10.53Single8ZR5Firuglipel8ZR5-GPR119-Firuglipel-Gs/β1/γ2
10.53Single9AYFCa; Ca; Ca; Cyclomethyltryptophan; R-568; PO49AYF-CaS; CaS-Ca-Ca; Ca; Ca; Cyclomethyltryptophan; R-568; PO4-Gi1/β1/γ2
10.53Single9BJKNaloxone9BJK-μ-Naloxone-PubChem 171642066
10.53Single9BS9LSD9BS9-D2-LSD
10.53Single9BSBLSD9BSB-D2-LSD-chim(NtGi1-Go)/β1/γ2
10.53Single9CLWTUG-13759CLW-FFA2-TUG-1375-4-CMTB-chim(NtGi1L-Gs-CtGq)/β1/γ2
10.53Single9IJDCarazolol9IJD-β3-Carazolol-chim(NtGi1-Gs)/β1/γ2
10.53Single9ITELPA9ITE-LPA6-LPA-chim(NtGi2-G13)/β1/γ2
10.53Single9PY3Loperamide9PY3-μ-Loperamide-GDPβS-Gi1/β1/γ2
10.53Single9PY4Loperamide9PY4-μ-Loperamide-GDPβS-Gi1/β1/γ2
10.53Consensus5ht_offOrthosteric Ligand5ht2_off 5ht1_off
10.53Consensusa2_onOrthosteric Liganda2b_on
10.53Consensusa2_on_gpOrthosteric Liganda2b_on_gp
10.53Consensusa2b_onOrthosteric Ligand8HDP-A2B-Adenosine-Gs/β1/γ2 7XY6-A2B-BAY 60-6583-chim(NtGi1-Gs)/β1/γ2 7XY7-A2B-NECA-chim(NtGi1-Gs)/β1/γ2 8HDO-A2B-BAY 60-6583-Gs/β1/γ2
10.53Consensusa2b_on_gpOrthosteric Ligand8HDP-A2B-Adenosine-Gs/β1/γ2 7XY6-A2B-BAY 60-6583-chim(NtGi1-Gs)/β1/γ2 7XY7-A2B-NECA-chim(NtGi1-Gs)/β1/γ2 8HDO-A2B-BAY 60-6583-Gs/β1/γ2
10.53Consensusamine_on_gpOrthosteric Ligand5ht_on_gp adrenergic_on_gp dopamine_on_gp histamine_on_gp muscarinic_on_gp trace-amine_on_gp
10.53Consensusbeta1_offOrthosteric Ligand2VT4-β1-Cyanopindolol 2YCW-β1-Carazolol 2YCZ-β1-Iodocyanopindolol 5A8E-β1-7-Methylcyanopindolol-Na 3ZPQ-β1-PubChem 594590-Na 3ZPR-β1-PubChem 598754-Na
10.53Consensusbeta2_onOrthosteric Ligand7DHI-β2-Salbutamol-Gs/β1/γ2 6NI3-β2-BI167107-Gs/β1/γ2
10.53Consensusbeta2_on_gpOrthosteric Ligand7DHI-β2-Salbutamol-Gs/β1/γ2 6NI3-β2-BI167107-Gs/β1/γ2
10.53Consensusffa2_onOrthosteric Ligand8J22-FFA2-TUG-1375-Gi1/β1/γ2
10.53Consensusffa_onOrthosteric Ligandffa2_on ffa3_on
10.53Consensusffa_on_gpOrthosteric Ligandffa2_on_gp ffa3_on_gp
10.53Consensusgi_5htOrthosteric Ligand8FYT-5-HT1A-LSD-PtdIns4P-Gi1/β1/γ1 7UM7-5-HT5A-Methylergometrine-chim(NtGi1-Go)/β1/γ2 8UGY-5-HT1E-Mianserin-Gi1/β1/γ1 8W8B-5-HT1A-SEP-363856-Gi1/β1/γ2 7E2Y-5-HT1A-Serotonin-PtdIns4P-Gi1/β1/γ2 7E32-5-HT1D-Serotonin-Gi1/β1/γ2 7XTA-5-HT4-Serotonin-Gi1/β1/γ2 8UH3-5-HT1E-Setiptiline-Gi1/β1/γ1 8JSP-5-HT1A-Ulotaront-Gi1/β1/γ2 8FYL-5-HT1A-Vilazodone-PtdIns4P-Gi1/β1/γ1 8JT6-5-HT1A-(R)-IHCH-7179-PtdIns4P-Gi1/β1/γ2 8FYE-5-HT1A-4-F,5-MeO-PyrT-PtdIns4P-Gi1/β1/γ1 7X5H-5-HT5A-5-CT-Gi1/β1/γ2 8FY8-5-HT1A-5-MeO-DMT-PtdIns4P-Gi1/β1/γ1 7E2Z-5-HT1A-Aripiprazole-PtdIns4P-Gi1/β1/γ2 7E33-5-HT1E-BRL-54443-Gi1/β1/γ2 8FYX-5-HT1A-Buspirone-PtdIns4P-Gi1/β1/γ1 7EXD-5-HT1F-Lasmiditan-Gi1/β1/γ2 7UM6-5-HT5A-Lisuride-chim(NtGi1-Go)/β1/γ2
10.53Consensusgi_ffaOrthosteric Ligand8J21-FFA3-Butyric acid-Gi1/β1/γ2 8J22-FFA2-TUG-1375-Gi1/β1/γ2
10.53Consensusgs_adenosineOrthosteric Ligand8HDP-A2B-Adenosine-Gs/β1/γ2 8HDO-A2B-BAY 60-6583-Gs/β1/γ2 7XY7-A2B-NECA-chim(NtGi1-Gs)/β1/γ2 7XY6-A2B-BAY 60-6583-chim(NtGi1-Gs)/β1/γ2
10.53Consensusgs_nucleotideOrthosteric Ligandgs_adenosine
10.53Consensush4_on_gpOrthosteric Ligand8HN8-H4-Histamine-Gi1/β1/γ2 8HOC-H4-Imetit-Gi1/β1/γ2 8JXV-H4-Clozapine-Gi1/β1/γ2 8JXW-H4-VUF6884-Gi1/β1/γ2 8JXX-H4-Clobenpropit-Gi1/β1/γ2
10.53Consensusm1_on_gpOrthosteric Ligand6OIJ-M1-Iperoxo-chim(NtGi1L-G11)/β1/γ2
10.53Consensusm3_offOrthosteric Ligand4U15-M3-Tiotropium 4U16-M3-N-methyl-Scopolamine 5ZHP-M3-PubChem 134828589
10.53Consensusm5_offOrthosteric Ligand6OL9-M5-Tiotropium
10.53Consensusmuscarinic_offOrthosteric Ligandm2_off m3_off m4_off m5_off m1_off
10.53Consensusneurotensin_onOrthosteric Ligandnts1_on
10.53Consensusnpy1_offOrthosteric Ligand5ZBH-Y1-BMS-193885 5ZBQ-Y1-UR-MK-299
10.53Consensusnts1_onOrthosteric Ligand6OSA-NTS1-JMV449-Gi1/β1/γ2 7L0S-NTS1-Neurotensin-(8-13)-Gi1/β1/γ1
10.34Single6LMLGlucagon6LML-Glucagon-Glucagon-Gi1/β1/γ1
10.34Single6PB1Urocortin6PB1-CRF2-Urocortin-chim(NtGi1-Gs)/β1/γ2
10.34Single6UUSAdrenomedullin6UUS-CT Like (AM2)-Adrenomedullin-Gs/β1/γ2; RAMP3
10.34Single7QBCAlpha-factor mating pheromone7QBC-STE2; STE2-α-factor mating pheromone
10.34Single7VVJPTHrP(1-36)7VVJ-PTH1-PTHrP(1-36)-Gs/β1/γ2
10.34Single8FLTM-PTH(1-14)8FLT-PTH1-M-PTH(1-14)-Gs/β1/γ2
10.34Single8HAFPTHrP(1-36)8HAF-PTH1-PTHrP(1-36)-chim(NtGi1-Gs)/β1/γ2
10.34Single9BQ3Cagrilintide9BQ3-CT (AMY2)-Cagrilintide-Gs/β1/γ2; RAMP2
10.34Consensuspth1_onOrthosteric Ligand6NBF-PTH1-LA-PTH Analog-Gs/β1/γ2 8HA0-PTH1-PTH-chim(NtGi1-Gs)/β1/γ2 8HAF-PTH1-PTHrP(1-36)-chim(NtGi1-Gs)/β1/γ2 7Y36-PTH1-PTH-Gs/β1/γ2 7Y35-PTH1-Abaloparatide-Gs/β1/γ2
10.34Consensusvpac2_onOrthosteric Ligand7VQX-VPAC1-PACAP27-Gs/β1/γ2
10.34Consensusvpac2_on_gpOrthosteric Ligand7VQX-VPAC1-PACAP27-Gs/β1/γ2
10.26Consensusclass-b1_on_gpOrthosteric Ligandglucagon_on_gp vip-pacap_on_gp pth_on_gp crf_on_gp calcitonin_on_gp
10.00Single3D4STimolol3D4S-β2-Timolol
10.00Single4GRVNeurotensin-(8-13)4GRV-NTS1-Neurotensin-(8-13)
10.00Single4OR2FITM4OR2-mGlu1; mGlu1-FITM
10.00Single4PXZ2MeSADP4PXZ-P2Y12-2MeSADP
10.00Single4PY02MeSATP4PY0-P2Y12-2MeSATP
10.00Single4XEENeurotensin-(8-13)4XEE-NTS1-Neurotensin-(8-13)
10.00Single4XESNeurotensin-(8-13)4XES-NTS1-Neurotensin-(8-13)
10.00Single5CXVTiotropium5CXV-M1-Tiotropium
10.00Single5F8UCyanopindolol5F8U-β1-Cyanopindolol
10.00Single5TZYMK8666; AP85TZY-FFA1-MK8666; AP8
10.00Single6H7OCyanopindolol6H7O-β1-Cyanopindolol
10.00Single6PB0Urocortin6PB0-CRF1-Urocortin-chim(NtGi1-Gs)/β1/γ2
10.00Single6YVRNeurotensin-(6-13)6YVR-NTS1-Neurotensin-(6-13)
10.00Single7EPENAM5637EPE-mGlu2-NAM563
10.00Single7EXDLasmiditan7EXD-5-HT1F-Lasmiditan-Gi1/β1/γ2
10.00Single7L0SNeurotensin-(8-13)7L0S-NTS1-Neurotensin-(8-13)-Gi1/β1/γ1
10.00Single7RBTTirzepatide7RBT-GIP-Tirzepatide-LSN3556672-chim(NtGi1-Gs)/β1/γ2
10.00Single7TYXAmylin7TYX-CT (AMY2)-Amylin-Gs/β1/γ2; RAMP2
10.00Single7XW9TRH7XW9-TRH-TRH-chim(NtGi1L-Gs-CtGq)/β1/γ2
10.00Single8E9W2-Deoxycytidine8E9W-M3-2-Deoxycytidine-chim(NtGi2L-Gs-CtGq)/β1/γ2
10.00Single8FYE4-F,5-MeO-PyrT8FYE-5-HT1A-4-F,5-MeO-PyrT-PtdIns4P-Gi1/β1/γ1
10.00Single8FYTLSD8FYT-5-HT1A-LSD-PtdIns4P-Gi1/β1/γ1
10.00Single8H0QGastrin Releasing Peptide8H0Q-BB2-Gastrin Releasing Peptide-chim(NtGi1-Gs-CtGq)/β1/γ2
10.00Single8JPBNeurotensin-(8-13)8JPB-NTS1-Neurotensin-(8-13)-SBI-553; GDP; Mg-Gq; GRK2
10.00Single8SZGCa; Ca; Tryptophan; Cinacalcet; PO4; Spermine8SZG-CaS; CaS-Ca; Ca; Tryptophan; Cinacalcet; PO4; Spermine-chim(NtGi1-Gq)/β1/γ2
10.00Single8T3QDoconexent8T3Q-FFA4-Doconexent-chim(NtGi2L-Gs-CtGq)/β1/γ2
10.00Single8TLMAnti-murine CCR8 antibody8TLM-CCR8-Anti-murine CCR8 antibody
10.00Single8U26Substance-P8U26-NK1-Substance-P-Gs/β1/γ2
10.00Single8WRBLysophosphatidylserine (UBL)8WRB-GPR34-Lysophosphatidylserine (UBL)-Gi1/β1/γ2
10.00Single9CM3TUG-13759CM3-FFA2-TUG-1375-PubChem 118615810-chim(NtGi1L-Gs-CtGq)/β1/γ2
10.00Single9EK0Iperoxo9EK0-M5-Iperoxo-chim(NtGi1-Gs-CtGq)/β1/γ2
10.00Single9KVG5-MeO-DMT9KVG-5-HT1A-5-MeO-DMT-PtdIns4P-Gi1/β1/γ2
10.00Single9VIFNeuropeptide-VF9VIF-NPFF1-Neuropeptide-VF-Gi1/β1/γ2
10.00Single9YDUUDP-Glucose9YDU-P2Y14-UDP-Glucose-Gi1/β1/γ2
10.00Consensus5ht1a_onOrthosteric Ligand8FYT-5-HT1A-LSD-PtdIns4P-Gi1/β1/γ1 7E2Y-5-HT1A-Serotonin-PtdIns4P-Gi1/β1/γ2 7E2Z-5-HT1A-Aripiprazole-PtdIns4P-Gi1/β1/γ2 8FYX-5-HT1A-Buspirone-PtdIns4P-Gi1/β1/γ1 8JSP-5-HT1A-Ulotaront-Gi1/β1/γ2 8JT6-5-HT1A-(R)-IHCH-7179-PtdIns4P-Gi1/β1/γ2 8FY8-5-HT1A-5-MeO-DMT-PtdIns4P-Gi1/β1/γ1 8FYE-5-HT1A-4-F,5-MeO-PyrT-PtdIns4P-Gi1/β1/γ1 8FYL-5-HT1A-Vilazodone-PtdIns4P-Gi1/β1/γ1
10.00Consensus5ht1a_on_gpOrthosteric Ligand8FYT-5-HT1A-LSD-PtdIns4P-Gi1/β1/γ1 8FYX-5-HT1A-Buspirone-PtdIns4P-Gi1/β1/γ1 8JSP-5-HT1A-Ulotaront-Gi1/β1/γ2 8JT6-5-HT1A-(R)-IHCH-7179-PtdIns4P-Gi1/β1/γ2 7E2Y-5-HT1A-Serotonin-PtdIns4P-Gi1/β1/γ2 7E2Z-5-HT1A-Aripiprazole-PtdIns4P-Gi1/β1/γ2 8FY8-5-HT1A-5-MeO-DMT-PtdIns4P-Gi1/β1/γ1 8FYE-5-HT1A-4-F,5-MeO-PyrT-PtdIns4P-Gi1/β1/γ1 8FYL-5-HT1A-Vilazodone-PtdIns4P-Gi1/β1/γ1
10.00Consensus5ht1f_onOrthosteric Ligand7EXD-5-HT1F-Lasmiditan-Gi1/β1/γ2
10.00Consensus5ht1f_on_gpOrthosteric Ligand7EXD-5-HT1F-Lasmiditan-Gi1/β1/γ2
10.00Consensuscrf1_onOrthosteric Ligand6PB0-CRF1-Urocortin-chim(NtGi1-Gs)/β1/γ2 6P9X-CRF1-Corticoliberin-1-Gs/β1/γ2
10.00Consensusffa2_on_gpOrthosteric Ligand8J22-FFA2-TUG-1375-Gi1/β1/γ2
10.00Consensusgi_amineOrthosteric Ligandgi_5ht gi_muscarinic gi_adrenergic gi_dopamine gi_histamine
10.00Consensusgip_onOrthosteric Ligand7FIN-GIP-Peptide-20; GGL-Gs/β1/γ2 7FIY-GIP-Tirzepatide-Gs/β1/γ2 7DTY-GIP-GIP-Gs/β1/γ2
10.00Consensusgip_on_gpOrthosteric Ligand7FIN-GIP-Peptide-20; GGL-Gs/β1/γ2 7FIY-GIP-Tirzepatide-Gs/β1/γ2 7DTY-GIP-GIP-Gs/β1/γ2
10.00Consensusm1_offOrthosteric Ligand5CXV-M1-Tiotropium
10.00Consensustrh_onOrthosteric Ligand7XW9-TRH-TRH-chim(NtGi1L-Gs-CtGq)/β1/γ2
10.00Consensustrh_on_gpOrthosteric Ligand7XW9-TRH-TRH-chim(NtGi1L-Gs-CtGq)/β1/γ2
9.68Single7VBHPeptide-207VBH-GLP-1-Peptide-20-Gs/β1/γ2
9.52Single4BUONeurotensin-(8-13)4BUO-NTS1-Neurotensin-(8-13)
9.52Single4OR2FITM4OR2-mGlu1; mGlu1-FITM
9.52Single5CGDHTL142425CGD-mGlu5-HTL14242
9.52Single6K1QIRL25006K1Q-ETB-IRL2500
9.52Single7P00Substance-P7P00-NK1-Substance-P-chim(NtGi1-Gs-CtGq)/β1/γ2
9.52Single7UM4AS26747237UM4-5-HT5A-AS2674723
9.52Single8E9YClozapine-N-oxide8E9Y-M3-Clozapine-N-oxide-chim(NtGi2L-Gs-CtGq)/β1/γ2
9.52Single8JPFNeurotensin-(8-13)8JPF-NTS1-Neurotensin-(8-13)-SBI-553
9.52Single8S2TIsoprenaline8S2T-β1-Isoprenaline-chim(NtGi1-Gs)/β1/γ2
9.52Single8T3OTUG-8918T3O-FFA4-TUG-891-chim(NtGi2L-Gs-CtGq)/β1/γ2
9.52Single8XVJMacitentan8XVJ-ETA-Macitentan
9.52Single9C0KExendin-49C0K-GLP-1-Exendin-4-Gs/β1/γ2
9.52Single9IZFLPA9IZF-LPA1-LPA-Gi1/β1/γ2
9.52Single9VI9RFRP-39VI9-NPFF1-RFRP-3-Gi1/β1/γ2
9.52Consensusnk1_onOrthosteric Ligand7P00-NK1-Substance-P-chim(NtGi1-Gs-CtGq)/β1/γ2
9.52Consensusnk1_on_gpOrthosteric Ligand7P00-NK1-Substance-P-chim(NtGi1-Gs-CtGq)/β1/γ2
9.52Consensusnucleotide_on_gpOrthosteric Ligandadenosine_on_gp p2y_on_gp
9.38Single6WPWZP37806WPW-Glucagon-ZP3780-Gs/β1/γ2
9.38Single8JIPMEDI03828JIP-GLP-1-MEDI0382-chim(NtGi1-Gs)/β1/γ2
9.38Single8JIRSAR4258998JIR-GLP-1-SAR425899-chim(NtGi1-Gs)/β1/γ2
9.38Consensuscrf1_on_gpOrthosteric Ligand6PB0-CRF1-Urocortin-chim(NtGi1-Gs)/β1/γ2 6P9X-CRF1-Corticoliberin-1-Gs/β1/γ2
9.38Consensuspth1_on_gpOrthosteric Ligand6NBF-PTH1-LA-PTH Analog-Gs/β1/γ2 8HA0-PTH1-PTH-chim(NtGi1-Gs)/β1/γ2 8HAF-PTH1-PTHrP(1-36)-chim(NtGi1-Gs)/β1/γ2 7Y36-PTH1-PTH-Gs/β1/γ2 7Y35-PTH1-Abaloparatide-Gs/β1/γ2
9.09Single5MZPCaffeine5MZP-A2A-Caffeine-Na
9.09Single6OMMWKYMVX6OMM-FPR2-ALX-WKYMVX-Gi1/β1/γ2
9.09Single7RMGSubstance-P7RMG-NK1-Substance-P-chim(Gs-CtGq)/β1/γ2
9.09Single7RMHSubstance-P7RMH-NK1-Substance-P-Gs/β1/γ2
9.09Single7TYOCalcitonin7TYO-CT-Calcitonin-Gs/β1/γ2
9.09Single8H4IDoconexent8H4I-FFA4-Doconexent-chim(NtGi1-Gs)/β1/γ2
9.09Single8J22TUG-13758J22-FFA2-TUG-1375-Gi1/β1/γ2
9.09Single8JBFSenktide8JBF-NK3-Senktide-chim(NtGi1-Gs-CtGq)/β1/γ2
9.09Single8SAILysophosphatidylserine (S12)8SAI-GPR34-Lysophosphatidylserine (S12)-Gi1/β1/γ2
9.09Single9CM7TUG-13759CM7-FFA2-TUG-1375-AZ-1729-Gi1/β1/γ2
9.09Single9ITBLPA9ITB-LPA6-LPA-chim(NtGi1-Gs-CtGq)/β1/γ2
8.82Single6E3YCalcitonin gene-related peptide-16E3Y-CT Like-Calcitonin gene-related peptide-1-Gs/β1/γ2; RAMP1
8.70Single6WIVPubChem 52923113; PubChem 529246456WIV-GABAB1, GABAB2-PubChem 52923113; PubChem 52924645
8.70Single6X19CHU-1286X19-GLP-1-CHU-128-Gs/β1/γ2
8.70Single8FYLVilazodone8FYL-5-HT1A-Vilazodone-PtdIns4P-Gi1/β1/γ1
8.70Single8IZBLysophosphatidylserine (UBL)8IZB-GPR174-Lysophosphatidylserine (UBL)-Gs/β1/γ2
8.70Single8JIQPeptide-158JIQ-Glucagon-Peptide-15-Gs/β1/γ2
8.70Single8YWFRetatrutide8YWF-GLP-1-Retatrutide-chim(NtGi1-Gs)/β1/γ2
8.70Single9BUECagrilintide9BUE-CT-Cagrilintide-Gs/β1/γ2
8.70Single9M4TSilodosin9M4T-Alpha1A-Silodosin
8.70Consensusnk3_onOrthosteric Ligand8JBF-NK3-Senktide-chim(NtGi1-Gs-CtGq)/β1/γ2
8.70Consensusnk3_on_gpOrthosteric Ligand8JBF-NK3-Senktide-chim(NtGi1-Gs-CtGq)/β1/γ2
8.33Single3PXOAll-trans-Retinal3PXO-Rhodopsin-All-trans-Retinal
8.33Single5DYSAll-trans-Retinal5DYS-Rhodopsin-All-trans-Retinal
8.33Single7E14Orforglipron7E14-GLP-1-Orforglipron-PubChem 156022738-Gs/β1/γ2
8.33Single7RMISubstance-P7RMI-NK1-Substance-P-chim(Gs-CtGq)/β1/γ2
8.33Single7TRYUrocortin7TRY-CRF2-Urocortin-chim(NtGi1-G11)/β1/γ2
8.33Single7XKDDehydroepiandrosterone7XKD-ADGRG2-Dehydroepiandrosterone-Gs/β1/γ2
8.33Single8HQMNPGLY8HQM-GPR132-NPGLY-Gi1/β1/γ2
8.33Single8HVINOX-6-78HVI-GPR132-NOX-6-7-Gi1/β1/γ2
8.33Single8IOCGamma-MSH8IOC-MC3-γ-MSH-Ca-chim(NtGi1-Gs)/β1/γ2
8.33Single8JBHSubstance-P8JBH-NK3-Substance-P-chim(NtGi1-Gs-CtGq)/β1/γ2
8.33Single8X9S5alpha-DHT8X9S-ADGRD1-5α-DHT-chim(NtGi1-Gs)/β1/γ2
8.33Single9IV25alpha-DHT9IV2-ADGRD1-5α-DHT-chim(NtGi1-Gs)/β1/γ2
8.33Single9JIDNiacin9JID-HCA3-Niacin-Gi1/β1/γ2
8.33Consensuspth2_on_gpOrthosteric Ligand7F16-PTH2-TIP39-Gs/β1/γ2
8.33Consensustachykinin_on_gpOrthosteric Ligandnk1_on_gp nk2_on_gp nk3_on_gp
8.00Consensusmc3_onOrthosteric Ligand8IOC-MC3-γ-MSH-Ca-chim(NtGi1-Gs)/β1/γ2
8.00Consensusmc3_on_gpOrthosteric Ligand8IOC-MC3-γ-MSH-Ca-chim(NtGi1-Gs)/β1/γ2
7.69Single2HPYAll-trans-Retinal2HPY-Rhodopsin-All-trans-Retinal
7.69Single3RFMCaffeine3RFM-A2A-Caffeine
7.69Single6WIVPubChem 52923113; PubChem 529246456WIV-GABAB1, GABAB2-PubChem 52923113; PubChem 52924645
7.69Single6XBM25(S)-Epoxycholesterol6XBM-SMO-25(S)-Epoxycholesterol-Gi1/β1/γ2
7.69Single7AD3Alpha-factor mating pheromone7AD3-STE2; STE2-α-factor mating pheromone-Gi1/STE4/γ2
7.69Single7MTBAll-trans-Retinal7MTB-Rhodopsin-All-trans-Retinal-GRK1
7.69Single7VDMSubstance-P7VDM-MRGPRX2-Substance-P-Gi1/β1/γ2
7.69Single8IWM2-Phenylethylamine8IWM-TAA9-2-Phenylethylamine
7.69Single8Y02All-trans-Retinal8Y02-OPN1SW-All-trans-Retinal-Gi1/β1/γ2
7.69Single9BUDCagrilintide9BUD-CT-Cagrilintide-Gs/β1/γ2
7.69Single9EE9Adenosine9EE9-A2A-Adenosine-Gs/β1/γ2
7.69Single9M42A1L8O9M42-GPR139-A1L8O-chim(Gs-CtGq)/β1/γ2
7.69Consensuscrf2_onOrthosteric Ligand7TS0-CRF2-Urocortin-chim(NtGi1L-Go)/β1/γ2
7.69Consensusgs_histamineOrthosteric Ligand8POK-H2-Histamine-Gs/β1/γ2
7.69Consensush2_onOrthosteric Ligand8POK-H2-Histamine-Gs/β1/γ2
7.69Consensusopsins_onOrthosteric Ligandrhodopsin_on opsin1lw_on
7.69Consensussensory_onOrthosteric Ligandopsins_on
7.69Consensustachykinin_onOrthosteric Ligandnk1_on nk2_on nk3_on
7.41Single5YQZNNC17025YQZ-Glucagon-NNC1702
7.41Single7P02Substance-P7P02-NK1-Substance-P-chim(NtGi1-Gs)/β1/γ2
7.41Single7TYHCalcitonin7TYH-CT (AMY2)-Calcitonin-Gs/β1/γ2; RAMP2
7.41Single7Y35Abaloparatide7Y35-PTH1-Abaloparatide-Gs/β1/γ2
7.14Single2ZIY11-cis-Retinal2ZIY-Rhodopsin-11-cis-Retinal
7.14Single3C9M11-cis-Retinal3C9M-Rhodopsin-11-cis-Retinal
7.14Single3PQRAll-trans-Retinal3PQR-Rhodopsin-All-trans-Retinal-Gt(CT)
7.14Single3UZAGTPL92363UZA-A2A-GTPL9236
7.14Single6FK9PubChem 1324730366FK9-Rhodopsin-PubChem 132473036
7.14Single6FUFAll-trans-Retinal6FUF-Rhodopsin-All-trans-Retinal-Go
7.14Single6NBILA-PTH Analog6NBI-PTH1-LA-PTH Analog-Gs/β1/γ2
7.14Single7MT9All-trans-Retinal7MT9-Rhodopsin-All-trans-Retinal-GRK1
7.14Single7MTAAll-trans-Retinal7MTA-Rhodopsin-All-trans-Retinal-GRK1
7.14Single8DPILorcaserin8DPI-5-HT2C-Lorcaserin-chim(NtGi2L-Gs-CtGq)/β1/γ2
7.14Single8F76Propanoic acid8F76-OR51E2-Propanoic acid-Gs/β1/γ2
7.14Single8FLRPTHrP(1-36)8FLR-PTH1-PTHrP(1-36)-Gs/β1/γ2
7.14Single8IU2All-trans-Retinal8IU2-Opsin1LW-All-trans-Retinal-Gi1/β1/γ2
7.14Single8IW72-Phenylethylamine8IW7-TAA9-2-Phenylethylamine-chim(NtGi1-Gs)/β1/γ2
7.14Single8J24Acetic acid8J24-FFA2-Acetic acid-Gi1/β1/γ2
7.14Single8J6QPubChem 251012238J6Q-HCA2-β-Hydroxybutyrate-PubChem 25101223-Gi1/β1/γ2
7.14Single8JPSCCL78JPS-ACKR1-CCL7
7.14Single8POKHistamine8POK-H2-Histamine-Gs/β1/γ2
7.14Single8SZFCa; Ca; Tryptophan; Cinacalcet; PO4; Spermine8SZF-CaS; CaS-Ca; Ca; Tryptophan; Cinacalcet; PO4; Spermine
7.14Single8X9UMetenolone8X9U-ADGRD1-Metenolone-chim(NtGi1-Gs)/β1/γ2
7.14Single9BLBCagrilintide (non-acylated)9BLB-CT-Cagrilintide (non-acylated)-Gs/β1/γ2
7.14Single9BUBCagrilintide9BUB-CT-Cagrilintide-Gs/β1/γ2
7.14Single9LL7DOI9LL7-5-HT2A-DOI-Gi1/β1/γ2
7.14Consensuscrf2_on_gpOrthosteric Ligand7TS0-CRF2-Urocortin-chim(NtGi1L-Go)/β1/γ2
7.14Consensusctlike_onOrthosteric Ligand6E3Y-CT Like-Calcitonin gene-related peptide-1-Gs/β1/γ2; RAMP1
7.14Consensusgi_opsinsOrthosteric Ligand8IU2-Opsin1LW-All-trans-Retinal-Gi1/β1/γ2
7.14Consensusgi_sensoryOrthosteric Ligandgi_opsins
7.14Consensush2_on_gpOrthosteric Ligand8POK-H2-Histamine-Gs/β1/γ2
7.14Consensusopsin1lw_onOrthosteric Ligand8IU2-Opsin1LW-All-trans-Retinal-Gi1/β1/γ2
7.14Consensusopsin1lw_on_gpOrthosteric Ligand8IU2-Opsin1LW-All-trans-Retinal-Gi1/β1/γ2
7.14Consensusopsins_on_gpOrthosteric Ligandrhodopsin_on_gp opsin1lw_on_gp
7.14Consensusrhodopsin_onOrthosteric Ligand6OYA-Rhodopsin-All-trans-Retinal-Gt/β1/γ1
7.14Consensussensory_on_gpOrthosteric Ligandopsins_on_gp
6.90Single7TYNCalcitonin-17TYN-CT-Calcitonin-1-Gs/β1/γ2
6.90Single8FU6ZP37808FU6-Glucagon-ZP3780-Gs/β1/γ2
6.67Single1L9H11-cis-Retinal1L9H-Rhodopsin-11-cis-Retinal
6.67Single1U1911-cis-Retinal1U19-Rhodopsin-11-cis-Retinal
6.67Single2G87All-trans-Retinal2G87-Rhodopsin-All-trans-Retinal
6.67Single2I3511-cis-Retinal2I35-Rhodopsin-11-cis-Retinal
6.67Single3PBLEticlopride3PBL-D3-Eticlopride
6.67Single6FK6PubChem 1324730336FK6-Rhodopsin-PubChem 132473033
6.67Single6HLLCP999946HLL-NK1-CP99994
6.67Single6I9K9-cis-Retinal6I9K-Rhodopsin-9-cis-Retinal
6.67Single6PGSGeraniol6PGS-Rhodopsin-Geraniol-Gt(CT)
6.67Single6PH7Nerol6PH7-Rhodopsin-Nerol-Gt(CT)
6.67Single6QNOAll-trans-Retinal6QNO-Rhodopsin-All-trans-Retinal-Gi1/β1/γ1
6.67Single6TP4ACT-4622066TP4-OX1-ACT-462206
6.67Single6TQ4PubChem 160468446TQ4-OX1-PubChem 16046844-Na
6.67Single7DFLHistamine7DFL-H1-Histamine-chim(NtGi1L-Gq)/β1/γ2
6.67Single7E2YSerotonin7E2Y-5-HT1A-Serotonin-PtdIns4P-Gi1/β1/γ2
6.67Single7S8NR-Zinc-35737S8N-MRGPRX2-R-Zinc-3573-chim(NtGi2L-Gs-CtGq)/β1/γ2
6.67Single7S8OR-Zinc-35737S8O-MRGPRX2-R-Zinc-3573-Gi1/β1/γ2
6.67Single7TYLAmylin7TYL-CT-Amylin-Gs/β1/γ2
6.67Single7UL2SR486927UL2-NTS1-SR48692-Na
6.67Single7V68Iperoxo7V68-M4-Iperoxo-LY2119620-Gi1/β1/γ2
6.67Single7VDHC48/807VDH-MRGPRX2-C48/80-Gi1/β1/γ2
6.67Single7XKFDehydroepiandrosterone7XKF-ADGRG2-Dehydroepiandrosterone-Gs/β1/γ2
6.67Single7XTBSerotonin7XTB-5-HT6-Serotonin-Gs/β1/γ2
6.67Single7YS6Serotonin7YS6-5-HT6-Serotonin-chim(NtGi1-Gs)/β1/γ2
6.67Single8EF6Morphine8EF6-μ-Morphine-Gi1/β1/γ2
6.67Single8GGYConstrained Epinephrine8GGY-β2-Constrained Epinephrine
6.67Single8J6PPubChem 251012238J6P-HCA2-Niacin-PubChem 25101223-Gi1/β1/γ2
6.67Single8JHYPubChem 251012238JHY-HCA2-PubChem 25101223-Gi1/β1/γ2
6.67Single8JIIPubChem 251012238JII-HCA2-Niacin-PubChem 25101223-Gi1/β1/γ2
6.67Single8SZFCa; Ca; Tryptophan; Cinacalcet; PO4; Spermine8SZF-CaS; CaS-Ca; Ca; Tryptophan; Cinacalcet; PO4; Spermine
6.67Single8UO3Constrained Epinephrine8UO3-β2-Constrained Epinephrine-GTP; Mg-Gs/β1/γ2
6.67Single8UO4Constrained Epinephrine8UO4-β2-Constrained Epinephrine-GTP; Mg-Gs/β1/γ2
6.67Single8X2KOleic monoethanolamide8X2K-GPR3-Oleic monoethanolamide-chim(NtGi1-Gs)/β1/γ2
6.67Single8YN2Histamine8YN2-H1-Histamine-chim(NtGi1L-Gs-CtGq)/β1/γ2
6.67Single8YN4Histamine8YN4-H2-Histamine-chim(NtGi1L-Gs-CtGq)/β1/γ2
6.67Single9AS2DMT9AS2-5-HT2A-DMT-chim(NtGi1-Gs-CtGq)/β1/γ2
6.67Single9AS7Psilocin9AS7-5-HT2A-Psilocin
6.67Single9BTWCagrilintide9BTW-CT (AMY3)-Cagrilintide-Gs/β1/γ2; RAMP3
6.67Single9EPRAll-trans-Retinal9EPR-Rhodopsin-All-trans-Retinal-Gi1/β1/γ2
6.67Single9IXJHistamine9IXJ-H2-Histamine-Gs/β1/γ2
6.67Single9M88Oleic monoethanolamide9M88-GPR3 ; GPR3-Oleic monoethanolamide-AF64394
6.67Single9MBCAZ122160529MBC-mGlu8; mGlu8-DCPG-AZ12216052
6.67Consensusctlike_on_gpOrthosteric Ligand6E3Y-CT Like-Calcitonin gene-related peptide-1-Gs/β1/γ2; RAMP1
6.67Consensusd3_offOrthosteric Ligand3PBL-D3-Eticlopride
6.67Consensush1_onOrthosteric Ligand7DFL-H1-Histamine-chim(NtGi1L-Gq)/β1/γ2
6.67Consensusneurotensin_offOrthosteric Ligandnts1_off
6.67Consensusnts1_offOrthosteric Ligand7UL2-NTS1-SR48692-Na
6.25Single1GZM11-cis-Retinal1GZM-Rhodopsin-11-cis-Retinal
6.25Single2PED9-cis-Retinal2PED-Rhodopsin-9-cis-Retinal
6.25Single2Z7311-cis-Retinal2Z73-Rhodopsin-11-cis-Retinal
6.25Single3AYN9-cis-Retinal3AYN-Rhodopsin-9-cis-Retinal
6.25Single3C9L11-cis-Retinal3C9L-Rhodopsin-11-cis-Retinal
6.25Single4BWBNeurotensin-(8-12)4BWB-NTS1-Neurotensin-(8-12)
6.25Single6FKBPubChem 1324730386FKB-Rhodopsin-PubChem 132473038
6.25Single6ME2Ramelteon6ME2-MT1-Ramelteon
6.25Single6TQ6PubChem 1457142836TQ6-OX1-PubChem 145714283
6.25Single6WWZCCL206WWZ-CCR6-CCL20-Go/β1/γ2
6.25Single6ZA8RTI-3a6ZA8-NTS1-RTI-3a
6.25Single7LCJDanuglipron7LCJ-GLP-1-Danuglipron
6.25Single7LJDDopamine7LJD-D1-Dopamine-Mevidalen-Gs/β1/γ1
6.25Single7M3FCa; Ca; Tryptophan; Cinacalcet7M3F-CaS; CaS-Ca; Ca; Tryptophan; Cinacalcet
6.25Single7VV5C48/807VV5-MRGPRX2-C48/80-Gi1/β1/γ2
6.25Single7X2FDopamine7X2F-D1-Dopamine-Mevidalen-Gs/β1/γ2
6.25Single7X5H5-CT7X5H-5-HT5A-5-CT-Gi1/β1/γ2
6.25Single8A6CAll-trans-Retinal8A6C-Rhodopsin-All-trans-Retinal
6.25Single8A6DAll-trans-Retinal8A6D-Rhodopsin-All-trans-Retinal
6.25Single8A6EAll-trans-Retinal8A6E-Rhodopsin-All-trans-Retinal
6.25Single8TZQDopamine8TZQ-D2-Dopamine-Go/β1/γ2
6.25Single8U8FPalmitic Acid8U8F-GPR3-Palmitic Acid-Gs/β1/γ2
6.25Single8YUTAmthamine8YUT-H2-Amthamine-Gs/β1/γ2
6.25Single9C1PCa; Tryptophan; '6218; PO49C1P-CaS; CaS-Ca-Ca; Tryptophan; '6218; PO4
6.25Single9EBHAdenosine9EBH-A3A-Adenosine-Gi1/β1/γ2
6.25Single9KVHCinobufotenine9KVH-5-HT1A-Cinobufotenine-PtdIns4P-Gi1/β1/γ2
6.25Single9LL9DOI9LL9-5-HT2A-DOI-chim(NtGi1L-Gs-CtGq)/β1/γ2
6.25Single9LLBDOI-NBOMe9LLB-5-HT2A-DOI-NBOMe-chim(NtGi1L-Gs-CtGq)/β1/γ2
6.25Single9LRBHistamine9LRB-H1-Histamine-Gs/β1/γ2
6.25Single9PEEPF-07054894; OXM29PEE-CCR6-PF-07054894; OXM2
6.25Single9PXUNaloxone9PXU-μ-Naloxone-Na
6.25Consensus5ht1e_onOrthosteric Ligand7E33-5-HT1E-BRL-54443-Gi1/β1/γ2 8UGY-5-HT1E-Mianserin-Gi1/β1/γ1 8UH3-5-HT1E-Setiptiline-Gi1/β1/γ1
6.25Consensus5ht_onOrthosteric Ligand5ht1_on 5ht2_on 5ht4_on 5ht5_on 5ht6_on 5ht7_on
6.25Consensusccr6_onOrthosteric Ligand6WWZ-CCR6-CCL20-Go/β1/γ2
6.25Consensusccr6_on_gpOrthosteric Ligand6WWZ-CCR6-CCL20-Go/β1/γ2
6.25Consensusgs_5htOrthosteric Ligand7XTC-5-HT7-5-CT-Gs/β1/γ2 7XTB-5-HT6-Serotonin-Gs/β1/γ2 8JLZ-5-HT6-ST1936-Gs/β1/γ2 7XT8-5-HT4-Serotonin-Gs/β1/γ2
6.25Consensusrhodopsin_offOrthosteric Ligand1U19-Rhodopsin-11-cis-Retinal 2PED-Rhodopsin-9-cis-Retinal 5TE5-Rhodopsin-20-Methanoretinal
6.25Consensussensory_offonOrthosteric Ligandsensory_off sensory_on
6.25Consensussensory_offon_gpOrthosteric Ligandsensory_on_gp sensory_on
6.06Single7V35Peptide-207V35-Glucagon-Peptide-20-Gs/β1/γ2
5.88Single3OAX11-cis-Retinal3OAX-Rhodopsin-11-cis-Retinal
5.88Single3RZECidoxepin3RZE-H1-Cidoxepin
5.88Single4DKLBeta-Funaltrexamine4DKL-μ-β-Funaltrexamine
5.88Single5UVIZM-2413855UVI-A2A-ZM-241385
5.88Single6A94Zotepine6A94-5-HT2A-Zotepine
5.88Single6FK8PubChem 1324730356FK8-Rhodopsin-PubChem 132473035
5.88Single6FKAPubChem 1324730376FKA-Rhodopsin-PubChem 132473037
5.88Single6PELCitronellol6PEL-Rhodopsin-Citronellol-Gt(CT)
5.88Single6TPKRetosiban6TPK-OT-Retosiban
5.88Single6TPNHTL66416TPN-OX2-HTL6641
5.88Single6WH4Methiothepin6WH4-5-HT2A-Methiothepin
5.88Single6ZINSR486926ZIN-NTS1-SR48692
5.88Single7C2EPubChem 1490507997C2E-GLP-1-PubChem 149050799-Gs/β1/γ2
5.88Single7CMVPD1289077CMV-D3-PD128907-Gi1/β1/γ2
5.88Single7E33BRL-544437E33-5-HT1E-BRL-54443-Gi1/β1/γ2
5.88Single7F24Dopamine7F24-D1-Dopamine-GDP-Gs/β1/γ2
5.88Single7VV6C48/807VV6-MRGPRX2-C48/80
5.88Single7WVUfMLF7WVU-FPR1-ALX-fMLF-Gi1/β1/γ2
5.88Single7ZBC11-cis-Retinal7ZBC-Rhodopsin-11-cis-Retinal
5.88Single7ZBE11-cis-Retinal7ZBE-Rhodopsin-11-cis-Retinal
5.88Single8DPGPsilocin8DPG-5-HT2C-Psilocin-chim(NtGi2L-Gs-CtGq)/β1/γ2
5.88Single8FCZ11-cis-Retinal8FCZ-Rhodopsin-11-cis-Retinal
5.88Single8GG5Constrained Epinephrine8GG5-β2-Constrained Epinephrine-GTP-Gs/β1/γ2
5.88Single8JITMEDI03828JIT-Glucagon-MEDI0382-Gs/β1/γ2
5.88Single8JIUSAR4258998JIU-Glucagon-SAR425899-Gs/β1/γ2
5.88Single8JSPUlotaront8JSP-5-HT1A-Ulotaront-Gi1/β1/γ2
5.88Single8U02Dopamine8U02-D2-Dopamine-Go/β1/γ2
5.88Single8W8BSEP-3638568W8B-5-HT1A-SEP-363856-Gi1/β1/γ2
5.88Single8Y01All-trans-Retinal8Y01-Opsin1MW-All-trans-Retinal-Gi1/β1/γ2
5.88Single8Y53MK50468Y53-BB3-MK5046-chim(NtGi1-Gs-CtGq)/β1/γ2
5.88Single8Y62C16:0 Ceramide8Y62-FPR2-ALX-C16:0 Ceramide-Gi1/β1/γ2
5.88Single8YN3Histamine8YN3-H2-Histamine-Gs/β1/γ2
5.88Single8YRGFospropofol8YRG-MRGPRX4-Fospropofol-chim(NtGi1-Gs-CtGq)/β1/γ2
5.88Single8ZBWQuin-C18ZBW-FPR2-ALX-Quin-C1-Gi2/β1/γ2
5.88Single8ZMGPimavanserin8ZMG-5-HT2A-Pimavanserin
5.88Single9ARXSerotonin9ARX-5-HT2A-Serotonin
5.88Single9AS3LSD9AS3-5-HT2A-LSD
5.88Single9AS4LSD9AS4-5-HT2A-LSD-chim(NtGi1-Gs-CtGq)/β1/γ2
5.88Single9DQJEP-39459DQJ-MRGPRD-EP-3945-chim(NtGi1-Gs-CtGq)/β1/γ2
5.88Single9K1DButyric acid9K1D-FFA2-Butyric acid-Gi1/β1/γ2
5.88Single9KVIBufotenin9KVI-5-HT1A-Bufotenin-PtdIns4P-Gi1/β1/γ2
5.88Single9LL8Psilocin9LL8-5-HT2A-Psilocin-Gi1/β1/γ2
5.88Single9LRDHistamine9LRD-H1-Histamine-Gi1/β1/γ2
5.88Single9PXVNaloxone9PXV-μ-Naloxone-Gi1/β1/γ2
5.88Single9VJG8-OH-DPAT9VJG-5-HT1A-8-OH-DPAT-chim(NtGi2-Gz)/β1/γ2
5.88Single9W6W5-CT9W6W-5-HT5A-5-CT-Gi1/β1/γ2
5.88Consensusot_offOrthosteric Ligand6TPK-OT-Retosiban
5.88Consensuspth2_onOrthosteric Ligand7F16-PTH2-TIP39-Gs/β1/γ2
5.88Consensusvasop-oxy_offOrthosteric Ligandot_off
5.71Consensusgluc_onOrthosteric Ligand6LMK-Glucagon-Glucagon-Gs/β1/γ2 8JIT-Glucagon-MEDI0382-Gs/β1/γ2 7V35-Glucagon-Peptide-20-Gs/β1/γ2
5.56Single1HZX11-cis-Retinal1HZX-Rhodopsin-11-cis-Retinal
5.56Single4X1HNonyl-Beta-D-Glucopyranoside4X1H-Rhodopsin-Nonyl-β-D-Glucopyranoside-Gt(CT)
5.56Single5DSGTiotropium5DSG-M4-Tiotropium
5.56Single6FK7PubChem 1324730346FK7-Rhodopsin-PubChem 132473034
5.56Single6FKDPubChem 1373491836FKD-Rhodopsin-PubChem 137349183
5.56Single7DB6Ramelteon7DB6-MT1-Ramelteon-Gi1/β1/γ2
5.56Single7E32Serotonin7E32-5-HT1D-Serotonin-Gi1/β1/γ2
5.56Single7LCIDanuglipron7LCI-GLP-1-Danuglipron-Gs/β1/γ2
5.56Single7UM55-CT7UM5-5-HT5A-5-CT-chim(NtGi1-Go)/β1/γ2
5.56Single7XTC5-CT7XTC-5-HT7-5-CT-Gs/β1/γ2
5.56Single8FY85-MeO-DMT8FY8-5-HT1A-5-MeO-DMT-PtdIns4P-Gi1/β1/γ1
5.56Single8KEXDCA-3P8KEX-MRGPRX4-DCA-3P
5.56Single8UGYMianserin8UGY-5-HT1E-Mianserin-Gi1/β1/γ1
5.56Single8X64Desloratadine8X64-H1-Desloratadine
5.56Single8X9TAP5038X9T-ADGRD1-AP503-chim(NtGi1-Gs)/β1/γ2
5.56Single8ZYYNeurotensin-(8-13)8ZYY-NTS1-Neurotensin-(8-13)-SBI-553-Arrestin2
5.56Single9DYFAsenapine9DYF-5-HT1A-Asenapine-PtdIns4P-Gi1/β1/γ2
5.56Single9IVGGLP-1 (Truncated)9IVG-GLP-1-GLP-1 (Truncated)-chim(NtGi1-Gs)/β1/γ2
5.56Single9JROPF-044189489JRO-EP2-PF-04418948
5.56Single9LLAAriadne9LLA-5-HT2A-Ariadne-chim(NtGi1L-Gs-CtGq)/β1/γ2
5.56Single9UAZAtropine9UAZ-M1-Atropine
5.56Consensus5ht1d_onOrthosteric Ligand7E32-5-HT1D-Serotonin-Gi1/β1/γ2
5.56Consensus5ht1d_on_gpOrthosteric Ligand7E32-5-HT1D-Serotonin-Gi1/β1/γ2
5.56Consensus5ht7_onOrthosteric Ligand7XTC-5-HT7-5-CT-Gs/β1/γ2
5.56Consensus5ht7_on_gpOrthosteric Ligand7XTC-5-HT7-5-CT-Gs/β1/γ2
5.56Consensusgluc_on_gpOrthosteric Ligand6LMK-Glucagon-Glucagon-Gs/β1/γ2 8JIT-Glucagon-MEDI0382-Gs/β1/γ2 7V35-Glucagon-Peptide-20-Gs/β1/γ2
5.56Consensusm4_offOrthosteric Ligand5DSG-M4-Tiotropium
5.26Single4NTJAZD12834NTJ-P2Y12-AZD1283
5.26Single4PHUFasiglifam4PHU-FFA1-Fasiglifam
5.26Single4WW3All-trans-Retinal4WW3-Rhodopsin-All-trans-Retinal
5.26Single6HLPNetupitant6HLP-NK1-Netupitant
5.26Single6LUQHaloperidol6LUQ-D2-Haloperidol
5.26Single6OIKIperoxo6OIK-M2-Iperoxo-LY2119620-chim(NtGi1-Go)/β1/γ2
5.26Single6Z4QSR142948A6Z4Q-NTS1-SR142948A
5.26Single6Z4SSR486926Z4S-NTS1-SR48692
5.26Single7E9GJNJ-404118137E9G-mGlu2; mGlu2-Eglumetad-JNJ-40411813-Gi1/β1/γ2
5.26Single8X0BVU04244658X0B-mGlu5; mGlu5-Quisqualate-VU0424465
5.26Single8X0CVU04244658X0C-mGlu5; mGlu5-Quisqualate-VU0424465
5.26Single8X0CVU04244658X0C-mGlu5; mGlu5-Quisqualate-VU0424465
5.26Single8X0DVU04244658X0D-mGlu5; mGlu5-Quisqualate-VU0424465
5.26Single8X0DVU04244658X0D-mGlu5; mGlu5-Quisqualate-VU0424465
5.26Single8XQPCholesterol8XQP-TAS2R14-Cholesterol-Aristolochic acid A-Gt3/β1/γ1
5.26Single8YH0NECA8YH0-A3A-NECA-Gi1/β1/γ2
5.26Single8ZMFPubChem 1719206738ZMF-5-HT2C-PubChem 171920673
5.26Single9ARYSerotonin9ARY-5-HT2A-Serotonin-chim(NtGi1-Gs-CtGq)/β1/γ2
5.26Single9DQHEP-28259DQH-MRGPRD-EP-2825-chim(NtGi1-Gs-CtGq)/β1/γ2
5.26Single9DYDAsenapine9DYD-5-HT1A-Asenapine-PtdIns4P-Go/β1/γ2
5.26Single9EE5ONO-25502899EE5-DP1-ONO-2550289
5.26Single9HC04YI9HC0-mGlu5-4YI
5.26Single9JRTTG6-1299JRT-EP2-TG6-129
5.26Consensus5ht1_onOrthosteric Ligand5ht1a_on 5ht1d_on 5ht1e_on 5ht1f_on
5.26Consensus5ht1_on_gpOrthosteric Ligand5ht1a_on_gp 5ht1d_on_gp 5ht1e_on_gp 5ht1f_on_gp
5.26Consensus5ht1e_on_gpOrthosteric Ligand7E33-5-HT1E-BRL-54443-Gi1/β1/γ2 8UGY-5-HT1E-Mianserin-Gi1/β1/γ1 8UH3-5-HT1E-Setiptiline-Gi1/β1/γ1
5.26Consensuscyslt_offOrthosteric Ligandcyslt2_off cyslt1_off
5.00Single4OO9Mavoglurant4OO9-mGlu5-Mavoglurant
5.00Single5V54Methiothepin5V54-5-HT1B-Methiothepin
5.00Single6E59L-7607356E59-NK1-L-760735
5.00Single6J20Aprepitant6J20-NK1-Aprepitant
5.00Single7EW4CYM-55417EW4-S1P3-CYM-5541-Gi1/β1/γ2
5.00Single7P2L4YI7P2L-mGlu5-4YI
5.00Single7WVXHumanin7WVX-FPR2-ALX-Humanin-Gi2/β1/γ2
5.00Single7XJLSpexin7XJL-GAL2-Spexin-chim(NtGi2L-Gs-CtGq)/β1/γ2
5.00Single7XWONeurokinin-A7XWO-NK2-Neurokinin-A-chim(NtGi1-Gs-CtGq)/β1/γ2
5.00Single7XY7NECA7XY7-A2B-NECA-chim(NtGi1-Gs)/β1/γ2
5.00Single8HDOBAY 60-65838HDO-A2B-BAY 60-6583-Gs/β1/γ2
5.00Single8JBGNeurokinin-B8JBG-NK3-Neurokinin-B-chim(NtGi1-Gs-CtGq)/β1/γ2
5.00Single8JD5JNJ-40411813; ADX881788JD5-mGlu2; mGlu4-Glutamate-JNJ-40411813; ADX88178-Gi1/β1/γ2
5.00Single8X0BVU04244658X0B-mGlu5; mGlu5-Quisqualate-VU0424465
5.00Single8X0FVU298X0F-mGlu5; mGlu5-Quisqualate-VU29
5.00Single8XQTCholesterol8XQT-TAS2R14-Cholesterol-Gi1/β1/γ1
5.00Single9AS9RS130-1809AS9-5-HT2A-RS130-180
5.00Single9ASARS130-1809ASA-5-HT2A-RS130-180-chim(NtGi1-Gs-CtGq)/β1/γ2
5.00Single9UCPIperoxo9UCP-M1-Iperoxo-G11(CT)
5.00Single9YDVMRS29059YDV-P2Y14-MRS2905-Gi1/β1/γ2
5.00Consensus5ht1_offOrthosteric Ligand5ht1b_off
5.00Consensus5ht1b_offOrthosteric Ligand5V54-5-HT1B-Methiothepin
5.00Consensusnk2_on_gpOrthosteric Ligand7XWO-NK2-Neurokinin-A-chim(NtGi1-Gs-CtGq)/β1/γ2
5.00Consensusp2y12_onOrthosteric Ligand7XXI-P2Y12-2MeSADP-Gi2/β1/γ2
5.00Consensustachykinin_offOrthosteric Ligandnk1_off
4.76Single4PXFOctyl-Beta-D-Glucopyranoside4PXF-Rhodopsin-Octyl-β-D-Glucopyranoside-Arrestin1 Finger Loop
4.76Single6RZ7ONO-25703666RZ7-CysLT2-ONO-2570366
4.76Single6XOXOrforglipron6XOX-GLP-1-Orforglipron-chim(NtGi1-Gs)/β1/γ2
4.76Single7WCMMBX-29827WCM-GPR119-MBX-2982-Gs/β1/γ2
4.76Single7XXI2MeSADP7XXI-P2Y12-2MeSADP-Gi2/β1/γ2
4.76Single8DWCBAM8-228DWC-MRGPRX1-BAM8-22-chim(NtGi2L-Gs-CtGq)/β1/γ2
4.76Single8JD3JNJ-404118138JD3-mGlu2; mGlu3-Glutamate-JNJ-40411813-Gi1/β1/γ2
4.76Consensusgi_p2yOrthosteric Ligand7XXI-P2Y12-2MeSADP-Gi2/β1/γ2
4.76Consensusnk1_offOrthosteric Ligand6HLP-NK1-Netupitant 6HLO-NK1-Aprepitant 6HLL-NK1-CP99994 6E59-NK1-L-760735
4.76Consensusp2y12_on_gpOrthosteric Ligand7XXI-P2Y12-2MeSADP-Gi2/β1/γ2
4.55Single6M1HMaxadilan6M1H-PAC1-Maxadilan-Gs/β1/γ2
4.55Single6RZ9ONO-27703726RZ9-CysLT2-ONO-2770372
4.55Single9JH5C16:0 Ceramide9JH5-CysLT2-C16:0 Ceramide-chim(NtGi1-Gs-CtGq)/β1/γ2
4.55Consensuscyslt2_offOrthosteric Ligand6RZ7-CysLT2-ONO-2570366 6RZ8-CysLT2-ONO-2080365 6RZ9-CysLT2-ONO-2770372
4.55Consensusnk2_onOrthosteric Ligand7XWO-NK2-Neurokinin-A-chim(NtGi1-Gs-CtGq)/β1/γ2
4.35Single6RZ6ONO-25703666RZ6-CysLT2-ONO-2570366
4.35Single9JH6C20:0 Ceramide9JH6-CysLT2-C20:0 Ceramide-chim(NtGi1-Gs-CtGq)/β1/γ2
4.35Single9NS9TUG-13759NS9-FFA2-TUG-1375-PubChem 118615810-Gi1/β1/γ2
4.35Consensuskiss1_onOrthosteric Ligand8ZJD-Kiss1-Kisspeptin-1-chim(NtGi1-Gq)/β1/γ1
4.35Consensuskisspeptin_onOrthosteric Ligandkiss1_on
4.17Single6RZ8ONO-20803656RZ8-CysLT2-ONO-2080365
4.17Single8DWGBAM8-228DWG-MRGPRX1-BAM8-22-ML382-chim(NtGi2L-Gs-CtGq)/β1/γ2
4.17Single8ZJDKisspeptin-18ZJD-Kiss1-Kisspeptin-1-chim(NtGi1-Gq)/β1/γ1
4.17Consensusgq_kisspeptinOrthosteric Ligand8ZJD-Kiss1-Kisspeptin-1-chim(NtGi1-Gq)/β1/γ1
4.17Consensuskiss1_on_gpOrthosteric Ligand8ZJD-Kiss1-Kisspeptin-1-chim(NtGi1-Gq)/β1/γ1
4.17Consensuskisspeptin_on_gpOrthosteric Ligandkiss1_on_gp
3.57Single7XV3Lysophosphatidylserine (WJS)7XV3-GPR174-Lysophosphatidylserine (WJS)-chim(NtGi1-Gs)/β1/γ2
3.33Consensusglp2_onOrthosteric Ligand7D68-GLP-2-GLP-2-Gs/β1/γ2
3.33Consensusglp2_on_gpOrthosteric Ligand7D68-GLP-2-GLP-2-Gs/β1/γ2
3.23Single6LMKGlucagon6LMK-Glucagon-Glucagon-Gs/β1/γ2

PDB Summary
PDB 8ZX5
Class A
SubFamily Lipid
Type GPR55
SubType GPR55
Species Homo Sapiens
Ligand AM251
Other Ligand(s) -
Protein Partners chim(NtGi1-G13)/Beta1/Gamma2
PDB Resolution 2.85
Date 2024-11-13
D.O.I. doi.org/10.1038/s41422-024-01044-w
Net Summary
Imin 3.39
Number of Linked Nodes 796
Number of Links 955
Number of Hubs 148
Number of Links mediated by Hubs 541
Number of Communities 32
Number of Nodes involved in Communities 217
Number of Links involved in Communities 294
Path Summary
Number Of Nodes in MetaPath 98
Number Of Links MetaPath 97
Number of Shortest Paths 3927342
Length Of Smallest Path 3
Average Path Length 49.2466
Length of Longest Path 84
Minimum Path Strength 1.37
Average Path Strength 6.46945
Maximum Path Strength 23.75
Minimum Path Correlation 0.7
Average Path Correlation 0.991666
Maximum Path Correlation 1
Minimum % Of Corr. Nodes 2.38095
Average % Of Corr. Nodes 28.418
Maximum % Of Corr. Nodes 100
Minimum Path Hubs % 0
Average Path Hubs % 48.6548
Maximum Path Hubs % 100
AnnotationTypeLinks
Gene OntologyMolecular Function
Gene OntologyBiological Process• cellular response to stimulus   • regulation of biological process   • regulation of cellular process   • response to stimulus   • signaling   • biological regulation   • G protein-coupled receptor signaling pathway   • cellular process   • signal transduction   • cell communication   • positive regulation of cell communication   • small GTPase-mediated signal transduction   • positive regulation of signal transduction   • regulation of small GTPase mediated signal transduction   • positive regulation of biological process   • regulation of signal transduction   • intracellular signal transduction   • Rho protein signal transduction   • positive regulation of response to stimulus   • regulation of intracellular signal transduction   • intracellular signaling cassette   • positive regulation of cellular process   • regulation of signaling   • positive regulation of intracellular signal transduction   • regulation of Rho protein signal transduction   • positive regulation of Rho protein signal transduction   • regulation of response to stimulus   • regulation of cell communication   • positive regulation of small GTPase mediated signal transduction   • positive regulation of signaling   • myeloid leukocyte differentiation   • regulation of leukocyte differentiation   • multicellular organismal process   • cellular developmental process   • regulation of developmental process   • negative regulation of biological process   • cell development   • regulation of cell differentiation   • regulation of cell development   • regulation of osteoclast differentiation   • multicellular organism development   • cell differentiation   • osteoclast differentiation   • anatomical structure development   • negative regulation of cellular process   • regulation of immune system process   • regulation of multicellular organismal process   • negative regulation of cell differentiation   • negative regulation of hemopoiesis   • developmental process   • regulation of multicellular organismal development   • negative regulation of leukocyte differentiation   • hemopoiesis   • regulation of myeloid cell differentiation   • negative regulation of developmental process   • regulation of myeloid leukocyte differentiation   • negative regulation of myeloid cell differentiation   • negative regulation of osteoclast differentiation   • negative regulation of myeloid leukocyte differentiation   • negative regulation of cell development   • myeloid cell differentiation   • negative regulation of immune system process   • immune system process   • regulation of hemopoiesis   • negative regulation of multicellular organismal process   • leukocyte differentiation   • positive regulation of ERK1 and ERK2 cascade   • positive regulation of MAPK cascade   • regulation of MAPK cascade   • MAPK cascade   • ERK1 and ERK2 cascade   • regulation of ERK1 and ERK2 cascade   • phospholipase C-activating G protein-coupled receptor signaling pathway   • multicellular organismal-level homeostasis   • homeostatic process   • tissue remodeling   • bone remodeling   • anatomical structure homeostasis   • tissue homeostasis   • bone resorption   • cell periphery   • cellular anatomical structure   • plasma membrane   • membrane   • protein binding   • binding   • G-protein beta-subunit binding   • fibroblast proliferation   • cell population proliferation   • cellular response to nitrogen compound   • response to dopamine   • cellular response to dopamine   • response to monoamine   • response to catecholamine   • adenylate cyclase-activating dopamine receptor signaling pathway   • cellular response to catecholamine stimulus   • G protein-coupled dopamine receptor signaling pathway   • response to oxygen-containing compound   • response to nitrogen compound   • adenylate cyclase-activating G protein-coupled receptor signaling pathway   • cellular response to oxygen-containing compound   • cellular response to chemical stimulus   • cellular response to monoamine stimulus   • response to chemical   • adenylate cyclase-modulating G protein-coupled receptor signaling pathway   • response to ketone   • response to prostaglandin   • response to lipid   • response to endogenous stimulus   • response to alcohol   • cellular response to prostaglandin stimulus   • cellular response to endogenous stimulus   • cellular response to prostaglandin E stimulus   • cellular response to alcohol   • response to hormone   • cellular response to lipid   • response to prostaglandin E   • cellular response to ketone   • cellular response to hormone stimulus   • protein-containing complex   • extrinsic component of plasma membrane   • catalytic complex   • plasma membrane protein complex   • cytoplasmic side of membrane   • membrane protein complex   • heterotrimeric G-protein complex   • side of membrane   • cytoplasmic side of plasma membrane   • GTPase complex   • extrinsic component of membrane   • extrinsic component of cytoplasmic side of plasma membrane   • extracellular exosome   • membrane-bounded organelle   • extracellular vesicle   • extracellular organelle   • extracellular region   • organelle   • extracellular space   • vesicle   • extracellular membrane-bounded organelle   • synapse   • cell junction   • enzyme binding   • GTPase binding   • protein-containing complex binding   • pyrophosphatase activity   • GTPase activity   • ribonucleoside triphosphate phosphatase activity   • hydrolase activity, acting on acid anhydrides, in phosphorus-containing anhydrides   • hydrolase activity   • hydrolase activity, acting on acid anhydrides   • catalytic activity   • signaling receptor complex adaptor activity   • protein-macromolecule adaptor activity   • molecular adaptor activity   • signaling adaptor activity   • system process   • sensory perception of chemical stimulus   • sensory perception   • nervous system process   • sensory perception of taste   • sensory organ development   • eye development   • animal organ development   • retina development in camera-type eye   • visual system development   • camera-type eye development   • sensory system development   • system development   • Ras protein signal transduction   • synaptic signaling   • cellular response to acetylcholine   • cell-cell signaling   • acetylcholine receptor signaling pathway   • postsynaptic signal transduction   • G protein-coupled acetylcholine receptor signaling pathway   • response to acetylcholine   • non-motile cilium   • 9+0 non-motile cilium   • cilium   • neuron projection   • photoreceptor disc membrane   • photoreceptor outer segment   • plasma membrane bounded cell projection   • cell projection   • photoreceptor cell cilium   • organelle membrane   • intracellular anatomical structure   • cytoplasm   • cytosol   • vacuolar membrane   • lytic vacuole   • vacuole   • intracellular membrane-bounded organelle   • intracellular organelle   • lytic vacuole membrane   • bounding membrane of organelle   • lysosomal membrane   • lysosome   • guanyl nucleotide binding   • GTP binding   • nucleotide binding   • guanyl ribonucleotide binding   • purine ribonucleotide binding   • purine ribonucleoside triphosphate binding   • nucleoside phosphate binding   • ion binding   • purine nucleotide binding   • anion binding   • heterocyclic compound binding   • carbohydrate derivative binding   • ribonucleotide binding   • small molecule binding   • signaling receptor binding   • G protein-coupled receptor binding   • D5 dopamine receptor binding   • dopamine receptor binding   • GTPase regulator activity   • enzyme regulator activity   • guanyl-nucleotide exchange factor activity   • nucleoside-triphosphatase regulator activity   • molecular function regulator activity   • G-protein beta/gamma-subunit complex binding   • G protein activity   • cation binding   • metal ion binding   • circulatory system process   • regulation of blood pressure   • regulation of biological quality   • blood circulation   • regulation of cell motility   • regulation of fibroblast migration   • fibroblast migration   • regulation of locomotion   • ameboidal-type cell migration   • regulation of cell migration   • cell migration   • cell motility   • locomotion   • embryo development ending in birth or egg hatching   • chordate embryonic development   • embryo development   • in utero embryonic development   • regulation of cell shape   • cell morphogenesis   • regulation of cell morphogenesis   • anatomical structure morphogenesis   • regulation of anatomical structure morphogenesis   • regulation of body fluid levels   • wound healing   • cell activation   • hemostasis   • blood coagulation   • response to stress   • coagulation   • response to wounding   • platelet activation   • branching morphogenesis of an epithelial tube   • angiogenesis   • tube morphogenesis   • epithelial tube morphogenesis   • blood vessel development   • epithelium development   • blood vessel morphogenesis   • tube development   • morphogenesis of an epithelium   • tissue development   • vasculature development   • circulatory system development   • branching involved in blood vessel morphogenesis   • tissue morphogenesis   • morphogenesis of a branching structure   • anatomical structure formation involved in morphogenesis   • morphogenesis of a branching epithelium   • regulation of cellular component organization   • cellular component organization   • cellular component biogenesis   • cellular component assembly   • regulation of postsynapse assembly   • cell junction assembly   • regulation of synapse structure or activity   • synapse organization   • cellular component organization or biogenesis   • regulation of synapse assembly   • postsynapse organization   • postsynapse assembly   • regulation of postsynapse organization   • nervous system development   • regulation of cellular component biogenesis   • regulation of cell junction assembly   • regulation of synapse organization   • cell junction organization   • synapse assembly   • Rho-activating G protein-coupled receptor signaling pathway   • anchoring junction   • focal adhesion   • cell-substrate junction   • pigment granule   • intracellular vesicle   • melanosome   • cytoplasmic vesicle   • brush border membrane   • cluster of actin-based cell projections   • brush border   • apical part of cell   • plasma membrane region   • apical plasma membrane   • cell projection membrane   • postsynapse   • nucleus
Gene OntologyCellular Component
SCOP2Domain Identifier
SCOP2Family Identifier
Membrane Protein Annotations-• Orientations of Proteins in Membranes database (OPM)   • Protein Data Bank of Transmembrane Proteins (PDBTM)   • MemProtMD


Details about the values in these tables can be found in the corresponding documentation page .
Code_L_
PDB ResiduesL:L:?1
Environment DetailsOpen EMBL-EBI Page
Code_L_
Name
Synonyms
Identifier
Formula
Molecular Weight
SMILES
PubChem
Formal Charge
Total Atoms
Total Chiral Atoms
Total Bonds
Total Aromatic Bonds

PDBsumOpen PDBsum Page
ChainA
ProteinG Protein α Sub unit
UniProtQ14344
Sequence
>8ZX5_Chain_A
SKEIDKCLS REKTYVKRL VKILLLGAS GKSTFLKQM RIIKGIHEY 
DFEIKNVPF KMVDVGGQR SERKRWFEC FDSVTSILF LVSSFRLTE 
SLNFETIVN NRVFSNVSI ILFLNKTDL LEEKVQIVS IKDYFLEFE 
GDPHCLRDV QKFLVECFR NKRRDQQQK PLYHHFTTA INTENRLFR 
DVKDTILHD NLKQLMLQE DKAAAERDN DDNDAI


Click on each residue to open a popup with some information about it.

ConSurf Conservation Grade (See documentation): 

 n/a   1    2    3    4    5    6    7    8    9  

ChainB
ProteinG Protein β Sub unit
UniProtP62873
Sequence
>8ZX5_Chain_B
IDPVGRIQM RTRRTLRGH LAKIYAMHW GTDSRLLVS ASQDGKLII 
WDSYTTNKV HAIPLRSSW VMTCAYAPS GNYVACGGL DNICSIYNL 
KVRVSRELA GHTGYLSCC RFLDDNQIV TSSGDTTCA LWDIETGQQ 
TTTFTGHTG DVMSLSLAP DTRLFVSGA CDASAKLWD VREGMCRQT 
FTGHESDIN AICFFPNGN AFATGSDDA TCRLFDLRA DQELMTYSH 
DNIICGITS VSFSKSGRL LLAGYDDFN CNVWDALKA DRAGVLAGH 
DNRVSCLGV TDDGMAVAT GSWDSFLKI WN


Click on each residue to open a popup with some information about it.

ConSurf Conservation Grade (See documentation): 

 n/a   1    2    3    4    5    6    7    8    9  

ChainG
ProteinG Protein γ Sub unit
UniProtP59768
Sequence
>8ZX5_Chain_G
AADLMAYCE AHAKEDPLL TPVPASENP FR


Click on each residue to open a popup with some information about it.

ConSurf Conservation Grade (See documentation): 

 n/a   1    2    3    4    5    6    7    8    9  

ChainR
ProteinReceptor
UniProtQ9Y2T6
Sequence
>8ZX5_Chain_R
VNELMKTLQ FAVHIPTFV LGLLLNLLA IHGFSTFLK NRWPDYAAT 
SIYMINLAV FDLLLVLSL PFKMVLSQV QSPFPSLCT LVECLYFVS 
MYGSVFTIC FISMDRFLA IRYPLLVSH LRSPRKIFG ICCTIWVLV 
WTGSIPIYS FHGKVEKYM CFHNMSDDT WSAKVFFPL EVFGFLLPM 
GIMGFCCSR SIHILLGRR DHTQDWVQQ KACIYSIAA SLAVFVVSF 
LPVHLGFFL QFLVRNSFI VECRAKQSI SFFLQLSMC FSNVNCCLD 
VFYYFVIKE V


Click on each residue to open a popup with some information about it.

ConSurf Conservation Grade (See documentation): 

 n/a   1    2    3    4    5    6    7    8    9  




This receptor, from the same or other species and bound to the same or other ligands, is also present in the following networks:
Show PDB Class SubFamily Type SubType Species Orthosteric Ligand Other Ligand(s) Protein Partners Resolution Date DOI
8ZX4ALipidGPR55GPR55Homo sapiensLysophosphatidylinositol-chim(NtGi1-G13)/β1/γ23.032024-11-13doi.org/10.1038/s41422-024-01044-w
8ZX4 (No Gprot) ALipidGPR55GPR55Homo sapiensLysophosphatidylinositol-3.032024-11-13doi.org/10.1038/s41422-024-01044-w
8ZX5ALipidGPR55GPR55Homo sapiensAM251-chim(NtGi1-G13)/β1/γ22.852024-11-13doi.org/10.1038/s41422-024-01044-w
8ZX5 (No Gprot) ALipidGPR55GPR55Homo sapiensAM251-2.852024-11-13doi.org/10.1038/s41422-024-01044-w
9IYAALipidGPR55GPR55Homo sapiensONO-9710531--3.042025-01-01doi.org/10.1038/s41422-024-01046-8
9IY8ALipidGPR55GPR55Homo sapiens--chim(NtGi1-G13)/β1/γ23.012025-01-01doi.org/10.1038/s41422-024-01046-8
9IY8 (No Gprot) ALipidGPR55GPR55Homo sapiens--3.012025-01-01doi.org/10.1038/s41422-024-01046-8
9GE2ALipidGPR55GPR55Homo sapiensML184-chim(NtGi1-G13)/β1/γ22.512025-03-05doi.org/10.1038/s41467-025-57204-y
9GE2 (No Gprot) ALipidGPR55GPR55Homo sapiensML184-2.512025-03-05doi.org/10.1038/s41467-025-57204-y
9GE3ALipidGPR55GPR55Homo sapiensLysophosphatidylinositol-chim(NtGi1-G13)/β1/γ22.872025-03-05doi.org/10.1038/s41467-025-57204-y
9GE3 (No Gprot) ALipidGPR55GPR55Homo sapiensLysophosphatidylinositol-2.872025-03-05doi.org/10.1038/s41467-025-57204-y




You can download a compressed (zip) file with structure(s), 3D outputs (as PyMol and VMD scripts) and numerical data files (as csv and plain text files).

Download 8ZX5.zip



You can click to copy the link of this page to easily come back here later

or use this QR code to link and share this page.



You can also  read or  download a guide explaining the meaning of all files and numerical data.