Color ConSurf Grade
      No Conservation data available
      1
      2
      3
      4
      5
      6
      7
      8
      9

Index: hub id, click on each number to highlight the corresponding hub in the 3D visualization.

Hub: the hub being considered.

Avg Int. Strength: the average interaction strength of all the links of the corresponding hub.

Num Of Links: the number of links of the corresponding hub.

Community: the id of the community the link belong to, otherwise 0.

ConSurf: this column reports the ConSurf conservation grades of each hub.

Index Hub Avg Int. Strength Num Of Links Community ConSurf
1A:A:L5 4.035403
2A:A:D26 4.3975405
3A:A:V34 4.416574
4A:A:L36 4.0825477
5A:A:K46 2.715409
6A:A:I185 4.63419
7A:A:L195 4.9075474
8A:A:H196 8.0375413
9A:A:F197 7.235677
10A:A:R198 7.9775416
11A:A:F200 8.08516
12A:A:Q205 4.39143719
13A:A:R209 4.695419
14A:A:K211 7.67167619
15A:A:W212 5.634519
16A:A:I213 4.8475418
17A:A:H214 5.3825418
18A:A:C215 3.43833616
19A:A:F216 6.18333619
20A:A:Y231 9.212598
21A:A:Q233 6.0775498
22A:A:F251 8.4654159
23A:A:C255 3.7125155
24A:A:F259 8.11614
25A:A:I266 3.554508
26A:A:F268 4.885689
27A:A:P283 3.8275405
28A:A:C287 5.9154164
29A:A:F288 6.7565168
30A:A:Y291 5.8925406
31A:A:F308 8.3725408
32A:A:K317 6.20754158
33A:A:Y320 8.2025198
34A:A:C321 5.044184
35A:A:T324 5.962589
36A:A:C325 5.2487
37A:A:N331 7.7475488
38A:A:F336 5.4475478
39A:A:V339 4.025478
40A:A:I342 5.6125406
41A:A:L348 6.4175408
42B:B:R22 7.01446
43B:B:I37 2.3875402
44B:B:V40 3.4325403
45B:B:L51 7.535409
46B:B:H54 8.69659
47B:B:Y59 7.27167618
48B:B:M61 5.495456
49B:B:W63 5.78571757
50B:B:V71 4.118538
51B:B:D76 5.7325409
52B:B:K78 5.705408
53B:B:L79 5.145437
54B:B:I81 4.642537
55B:B:W82 10.0417659
56B:B:Y85 14.1225454
57B:B:K89 6.165659
58B:B:I93 6.1725437
59B:B:L95 5.152538
60B:B:W99 8.01719
61B:B:M101 4.0775419
62B:B:Y105 4.55736
63B:B:Y111 5.36254114
64B:B:C114 4.64438
65B:B:N119 5.6575419
66B:B:C121 3.7375418
67B:B:Y124 4.98667636
68B:B:L126 4.185435
69B:B:T128 2.9175403
70B:B:V133 6.8275434
71B:B:H142 8.502519
72B:B:Y145 6.66286718
73B:B:F151 6.14509
74B:B:I157 6.2525417
75B:B:T159 4.45333619
76B:B:S160 5.9225466
77B:B:D163 8.6525419
78B:B:C166 4.0475468
79B:B:W169 9.31333618
80B:B:Q176 7.91414
81B:B:F180 9.4925467
82B:B:H183 7.575669
83B:B:D186 7.2375419
84B:B:V187 4.426569
85B:B:F199 9.3475469
86B:B:S201 4.6075469
87B:B:C204 3.876517
88B:B:D205 6.055469
89B:B:K209 8.242566
90B:B:W211 8.99833668
91B:B:Q220 8.695447
92B:B:F222 9.68448
93B:B:H225 9.425649
94B:B:D228 6.972519
95B:B:I232 5.4825448
96B:B:F234 5.92545
97B:B:F235 6.78167616
98B:B:P236 6.39417
99B:B:N237 8.025415
100B:B:F241 8.12833646
101B:B:D246 7.4975419
102B:B:R251 10.342548
103B:B:F253 7.378546
104B:B:D254 3.108509
105B:B:R256 4.2275409
106B:B:M262 6.2475404
107B:B:Y264 6.674515
108B:B:I269 3.93514
109B:B:F278 5.482517
110B:B:R283 6.055409
111B:B:Y289 6.63571717
112B:B:D290 8.385416
113B:B:N295 6.51167616
114B:B:V296 3.44405
115B:B:L300 5.745406
116B:B:K301 5.738505
117B:B:R304 6.6775415
118B:B:V307 4.645413
119B:B:L308 6.525407
120B:B:H311 8.8425139
121B:B:R314 12.4275418
122B:B:T321 7.445457
123B:B:V327 3.7975406
124B:B:W332 9.79143719
125B:B:D333 8.7454139
126B:B:K337 9.6054136
127B:B:W339 9.14754139
128G:G:L19 1.7475409
129G:G:R27 10.3075448
130G:G:Y40 8.4775416
131G:G:L51 5.4125216
132G:G:P60 7.16459
133G:G:F61 5.21658
134L:L:?1 9.879171220
135R:R:Y32 4.662525
136R:R:Y36 6.676527
137R:R:L39 4.955427
138R:R:I43 4.795408
139R:R:E57 5.17408
140R:R:L60 4.824149
141R:R:T64 4.5875428
142R:R:L67 4.6427
143R:R:D75 7.5075409
144R:R:M83 5.565408
145R:R:W85 5.64254107
146R:R:W96 6.527147109
147R:R:F98 8.8054106
148R:R:C102 4.444104
149R:R:D110 8.48428
150R:R:W119 9.826527
151R:R:C122 3.586527
152R:R:S125 5.66429
153R:R:D127 5.818529
154R:R:R128 4.898529
155R:R:Y129 6.165409
156R:R:Y138 8.20167628
157R:R:V150 3.415427
158R:R:N185 4.43254176
159R:R:F188 7.1825177
160R:R:F197 7.87629
161R:R:P200 9.0275429
162R:R:F201 7.014526
163R:R:Y208 5.715409
164R:R:F338 6.25833629
165R:R:W342 6.58111928
166R:R:F345 7.904528
167R:R:F346 10.37527
168R:R:W370 7.51528
169R:R:Y373 7.05667628
170R:R:N379 6.975429
171R:R:I382 3.992528
172R:R:Y383 5.89333629
173R:R:F390 7.282867149
174R:R:F394 5.878336149
   

Color ConSurf Grade
      No Conservation data available
      1
      2
      3
      4
      5
      6
      7
      8
      9

Index: link id, click on each number to highlight the corresponding link in the 3D visualization.

Node1 Node2: the two nodes of the corresponding link.

Recurrence: the relative Recurrence in the pool of shortest paths.

Int. Strength: the interaction strength between the two nodes.

Hub1?, Hub2?: "Yes" if the corresponding node has more than 3 links, otherwise "No".

Community: the id of the community the link belong to, otherwise 0.

ConSurf1, ConSurf2: these columns report the ConSurf conservation grades of the two nodes involved in a link.

Index Node1 Node2 Recurrence Int. Strength Hub1? Hub2? Community ConSurf1 ConSurf2
1B:B:D76 B:B:K78 34.6458.3YesYes098
2B:B:D76 B:B:S74 37.30378.83YesNo099
3B:B:H54 B:B:S74 37.968215.34YesNo099
4B:B:H54 B:B:W82 20.01983.17YesYes599
5A:A:F268 A:A:I266 93.80553.77YesYes098
6A:A:F268 A:A:T324 46.82993.89YesYes899
7A:A:D328 A:A:T324 48.59842.89NoYes899
8A:A:C325 A:A:D328 95.85434.67YesNo879
9A:A:C325 A:A:K272 96.49996.47YesNo075
10A:A:K272 A:A:M323 96.75652.88NoNo055
11A:A:L269 A:A:M323 96.88445.65NoNo085
12A:A:L269 A:A:V226 99.2112.98NoNo087
13A:A:F308 A:A:V226 99.33457.87YesNo087
14A:A:F251 A:A:F308 50.01988.57YesYes098
15A:A:F224 A:A:F251 50.397116.08NoYes099
16A:A:F224 A:A:L250 1006.09NoNo099
17A:A:L250 A:A:R209 99.85916.07NoYes199
18A:A:R209 A:A:W212 99.91785YesYes199
19A:A:I213 A:A:W212 53.64683.52YesYes189
20A:A:F259 A:A:I213 53.38093.77YesYes148
21A:A:F259 A:A:H214 11.86296.79YesYes148
22A:A:H214 B:B:W332 23.43816.35YesYes189
23B:B:S316 B:B:W332 60.69234.94NoYes099
24B:B:C317 B:B:S316 60.36583.44NoNo079
25B:B:C317 B:B:M61 59.71274.86NoYes076
26B:B:L70 B:B:M61 26.54125.65NoYes556
27B:B:L70 B:B:W82 26.27326.83NoYes559
28A:A:F268 A:A:N331 46.8764.83YesYes898
29A:A:D328 A:A:N331 47.19114.04NoYes898
30A:A:F308 A:A:L267 49.5313.65YesNo089
31A:A:F224 A:A:L267 49.6213.65NoNo099
32A:A:F216 A:A:W212 25.20523.01YesYes199
33A:A:C215 A:A:F216 24.28154.19YesYes169
34A:A:C215 A:A:H214 12.0162.95YesYes168
35A:A:E217 A:A:F259 11.761213.99NoYes174
36A:A:E217 B:B:W332 11.65134.36NoYes179
37A:A:F259 B:B:R314 30.00373.21YesYes148
38B:B:R314 B:B:W332 16.30319.99YesYes189
39A:A:C215 B:B:Y59 11.92364.03YesYes168
40B:B:W332 B:B:Y59 16.59298.68YesYes198
41A:A:I223 A:A:L36 89.01554.28NoYes077
42A:A:I223 A:A:I266 90.1252.94NoYes078
43A:A:L36 A:A:V339 83.72482.98YesYes778
44A:A:Q205 B:B:Y145 21.25743.38YesYes198
45A:A:I343 A:A:V339 83.91033.07NoYes088
46A:A:I343 A:A:N347 83.73254.25NoNo088
47A:A:N347 R:R:Y138 83.554611.63NoYes088
48A:A:C351 R:R:R128 39.81964.18NoYes049
49A:A:C351 R:R:T64 40.00533.38NoYes048
50R:R:T64 R:R:Y138 47.22747.49YesYes288
51B:B:G162 B:B:Y145 24.21858.69NoYes198
52B:B:G162 B:B:S161 24.22793.71NoNo199
53B:B:H142 B:B:S161 23.922915.34YesNo199
54B:B:H142 B:B:T159 21.29385.48YesYes199
55B:B:C148 B:B:T102 19.24553.38NoNo068
56B:B:C148 B:B:L190 18.77836.35NoNo065
57B:B:L190 B:B:V158 11.77912.98NoNo055
58B:B:F199 B:B:V158 10.35425.24YesNo095
59B:B:D290 B:B:R314 19.071222.63YesYes168
60B:B:C271 B:B:D290 19.06334.67NoYes156
61B:B:C271 B:B:Y289 18.66594.03NoYes157
62B:B:F278 B:B:L285 14.74838.53YesNo176
63B:B:F235 B:B:F278 12.95257.5YesYes167
64B:B:F235 B:B:N237 11.48489.67YesYes165
65B:B:N237 B:B:N239 11.011610.9YesNo052
66B:B:N239 B:B:R256 10.84913.62NoYes029
67B:B:D254 B:B:R256 10.03583.57YesYes099
68B:B:W297 B:B:Y289 10.07368.68NoYes187
69B:B:W297 B:B:Y264 10.039311.58NoYes185
70B:B:L336 B:B:S72 20.24133NoNo079
71B:B:K78 B:B:P94 29.99023.35YesNo085
72B:B:I93 B:B:P94 29.3253.39YesNo075
73B:B:I93 B:B:L79 12.66435.71YesYes377
74R:R:R128 R:R:Y383 32.45444.12YesYes299
75R:R:L121 R:R:Y383 60.15697.03NoYes289
76R:R:F338 R:R:L121 59.78924.87YesNo298
77R:R:F338 R:R:W342 50.28976.01YesYes298
78L:L:?1 R:R:W342 39.62543.05YesYes208
79R:R:D127 R:R:Y138 35.41689.2YesYes298
80R:R:D127 R:R:L67 34.7075.43YesYes297
81R:R:I124 R:R:L67 32.47945.71NoYes297
82R:R:I124 R:R:Y383 32.27228.46NoYes299
83L:L:?1 R:R:L89 11.63877.42YesNo005
84R:R:L89 R:R:W96 11.25156.83NoYes059
85B:B:H54 B:B:S72 19.90948.37YesNo599
86B:B:L336 B:B:M61 21.89885.65NoYes076
87A:A:Q205 A:A:W212 21.60994.38YesYes199
88B:B:M61 B:B:W63 10.95065.82YesYes567
Download PSN data

2D representation of the global metapath, ligand(s) interactions and
histograms of path distribution according to several parameters
(click on the image to enlarge it 🔍):

A 2D representation of the global communication in the network.

ConSurf Conservation Grade (See documentation): 

 n/a   1    2    3    4    5    6    7    8    9  

Number of shortest communication paths as a function of the average residue correlation.

Number of shortest communication paths as a function of the average interaction strength of their links.

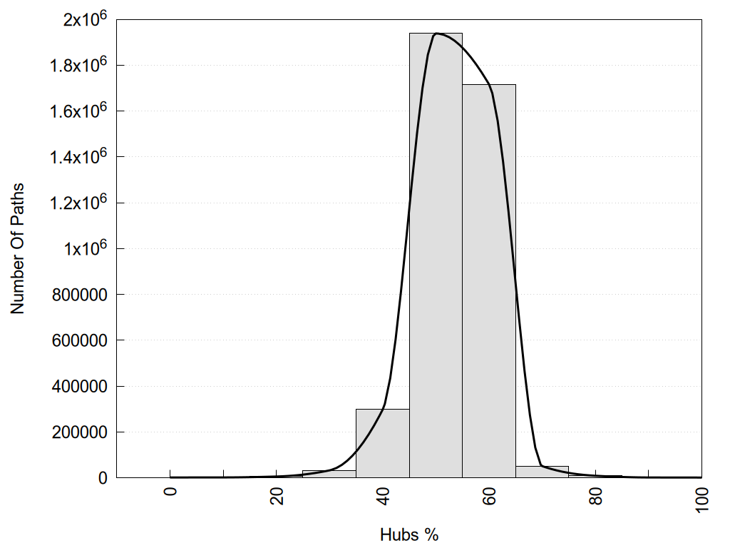
Number of shortest communication paths as a function of the % of hub nodes in each path.

Number of shortest communication paths as a function of the number of nodes in each path.

Number of shortest communication paths as a function of the % of correlated nodes in each path.


2D representation of the interactions of this orthosteric/allosteric ligand.


Links and nodes colored according to ConSurf Conservation Grade (See documentation): 

 n/a   1    2    3    4    5    6    7    8    9  

Node1 Node2 LinkStrength Comm IsNode1Hub? IsNode2Hub? Node1Cons Node2Cons Node1Shell Node2Shell
L:L:?1 R:R:L89 7.42 2 Yes No 0 5 0 1
L:L:?1 R:R:D110 15.46 2 Yes Yes 0 8 0 1
L:L:?1 R:R:V111 10.98 2 Yes No 0 8 0 1
L:L:?1 R:R:C114 11.69 2 Yes No 0 7 0 1
L:L:?1 R:R:S196 4.02 2 Yes No 0 8 0 1
L:L:?1 R:R:W342 3.05 2 Yes Yes 0 8 0 1
L:L:?1 R:R:F345 13.87 2 Yes Yes 0 8 0 1
L:L:?1 R:R:F346 7.34 2 Yes Yes 0 7 0 1
L:L:?1 R:R:P362 4.4 2 Yes No 0 2 0 1
L:L:?1 R:R:Y365 16.49 2 Yes No 0 4 0 1
L:L:?1 R:R:T369 12.84 2 Yes No 0 6 0 1
L:L:?1 R:R:Y373 10.99 2 Yes Yes 0 8 0 1
R:R:V86 R:R:Y36 6.31 0 No Yes 8 7 2 2
R:R:T369 R:R:Y36 4.99 2 No Yes 6 7 1 2
R:R:D110 R:R:V82 7.3 2 Yes No 8 8 1 2
R:R:V82 R:R:Y373 3.79 2 No Yes 8 8 2 1
R:R:M83 R:R:Y373 11.97 0 Yes Yes 8 8 2 1
R:R:V86 R:R:Y373 3.79 0 No Yes 8 8 2 1
R:R:L89 R:R:W96 6.83 0 No Yes 5 9 1 2
R:R:C114 R:R:D110 3.11 2 No Yes 7 8 1 1
R:R:D110 R:R:Y373 8.05 2 Yes Yes 8 8 1 1
R:R:S165 R:R:V111 6.46 0 No No 8 8 2 1
R:R:L168 R:R:V111 4.47 0 No No 7 8 2 1
R:R:C114 R:R:W342 5.22 2 No Yes 7 8 1 1
R:R:T115 R:R:V164 6.35 2 No No 8 7 2 2
R:R:S196 R:R:T115 7.99 2 No No 8 8 1 2
R:R:F338 R:R:I118 7.54 2 Yes No 9 9 2 2
R:R:I118 R:R:W342 15.27 2 No Yes 9 8 2 1
R:R:S196 R:R:V164 3.23 2 No No 8 7 1 2
R:R:F346 R:R:S193 5.28 2 Yes No 7 8 1 2
R:R:F197 R:R:F338 3.22 2 Yes Yes 9 9 2 2
R:R:F197 R:R:W342 4.01 2 Yes Yes 9 8 2 1
R:R:F197 R:R:F346 21.43 2 Yes Yes 9 7 2 1
R:R:F338 R:R:W342 6.01 2 Yes Yes 9 8 2 1
R:R:F345 R:R:W342 3.01 2 Yes Yes 8 8 1 1
R:R:F346 R:R:W342 6.01 2 Yes Yes 7 8 1 1
R:R:G372 R:R:W342 4.22 0 No Yes 7 8 2 1
R:R:N375 R:R:W342 12.43 0 No Yes 9 8 2 1
R:R:F345 R:R:F346 11.79 2 Yes Yes 8 7 1 1
R:R:F345 R:R:H349 5.66 2 Yes No 8 8 1 2
R:R:F345 R:R:T368 5.19 2 Yes No 8 6 1 2
R:R:H349 R:R:Y365 3.27 0 No No 8 4 2 1
R:R:E363 R:R:P362 6.29 0 No No 1 2 2 1
R:R:T369 R:R:Y373 3.75 2 No Yes 6 8 1 1

Location and physicochemical properties of the interaction partners of this ligand

Interactions of this ligand

Similarities between the interactions of this ligand and those of other networks

ShowSimilarityNetwork TypeNameLigandDescription
75.00Single6KUYPubChem 1457046436KUY-α2a-PubChem 145704643
75.00Single8WC3SEP-3638568WC3-TA1-SEP-363856-chim(NtGi1-Gs)/β1/γ2
69.23Single6K41Dexmedetomidine6K41-α2b-Dexmedetomidine-Go/β1/γ2
69.23Single8JLKUlotaront8JLK-TA1-Ulotaront-chim(NtGi1-Gs)/β1/γ2
69.23Single8JLNT1AM8JLN-TA1-T1AM-Gs/β1/γ2
69.23Single8THKA-616038THK-Alpha1A-A-61603-chim(NtGi2L-Gs-CtGq)/β1/γ2
68.75Consensusd2_offOrthosteric Ligand6CM4-D2-Risperidone 6LUQ-D2-Haloperidol 7DFP-D2-Spiperone
66.67Single7E2ZAripiprazole7E2Z-5-HT1A-Aripiprazole-PtdIns4P-Gi1/β1/γ2
64.29Single3NYAAlprenolol3NYA-β2-Alprenolol
64.29Single4U16N-methyl-Scopolamine4U16-M3-N-methyl-Scopolamine
64.29Single5YC8N-methyl-Scopolamine5YC8-M2-N-methyl-Scopolamine
64.29Single5ZK8N-methyl-Scopolamine5ZK8-M2-N-methyl-Scopolamine
64.29Single5ZKCN-methyl-Scopolamine5ZKC-M2-N-methyl-Scopolamine
64.29Single6K42Dexmedetomidine6K42-α2b-Dexmedetomidine-Gi1/β1/γ2
64.29Single6PS1Timolol6PS1-β2-Timolol
64.29Single8GE9Constrained Epinephrine8GE9-β2-Constrained Epinephrine-Gs/β1/γ2
64.29Single8GEHConstrained Epinephrine8GEH-β2-Constrained Epinephrine-Gs/β1/γ2
64.29Single8IRTRotigotine8IRT-D3-Rotigotine-Gi1/β1/γ2
64.29Single8JJOAlprenolol8JJO-β2-Alprenolol
64.29Single8JLJT1AM8JLJ-TA1-T1AM-chim(NtGi1-Gs)/β1/γ2
64.29Single8JXRLSD8JXR-D1-LSD
64.29Single8W87METH8W87-TA1-METH-chim(NtGi1L-Gs)/β1/γ2
64.29Single8W8ARO52563908W8A-TA1-RO5256390-chim(NtGi1L-Gs)/β1/γ2
64.29Single9CBMDexmedetomidine9CBM-α2a-Dexmedetomidine-Gi1/β1/γ2
64.29Single9JEAAtropine9JEA-M1-Atropine
64.29Single9PLNPubChem 1682595949PLN-α2a-PubChem 168259594
64.29Single9PLOPubChem 1682595949PLO-α2a-PubChem 168259594-Go/β1/γ2
64.29Single9VMYTMU41429VMY-5-HT1A-TMU4142-Go/β1/γ2
64.29Consensusalpha2_onOrthosteric Ligandalpha2b_on
64.29Consensusalpha2_on_gpOrthosteric Ligandalpha2b_on_gp
64.29Consensusalpha2b_onOrthosteric Ligand6K42-α2b-Dexmedetomidine-Gi1/β1/γ2
64.29Consensusalpha2b_on_gpOrthosteric Ligand6K42-α2b-Dexmedetomidine-Gi1/β1/γ2
64.29Consensusalpha_onOrthosteric Ligandalpha1_on alpha2_on
64.29Consensusd5_onOrthosteric Ligand8IRV-D5-Rotigotine-chim(NtGi1-Gs)/β1/γ2
64.29Consensusgq_amineOrthosteric Ligandgq_muscarinic gq_histamine
64.29Consensusgs_trace-amineOrthosteric Ligand8W88-TA1-SEP-363856-Gs/β1/γ2 8JLJ-TA1-T1AM-chim(NtGi1-Gs)/β1/γ2 8JLO-TA1-Ulotaront-Gs/β1/γ2 8WC4-TA1-ZH8651-chim(NtGi1-Gs)/β1/γ2 8WC7-TA1-ZH8667-chim(NtGi1-Gs)/β1/γ2 8JLR-TA1-A77636-chim(NtGi1-Gs)/β1/γ2 8JSO-TA1-AMPH-chim(NtGi1-Gs)/β1/γ2 8W87-TA1-METH-chim(NtGi1L-Gs)/β1/γ2 8W89-TA1-2-Phenylethylamine-chim(NtGi1L-Gs)/β1/γ2 8JLP-TA1-Ralmitaront-Gs/β1/γ2 8W8A-TA1-RO5256390-chim(NtGi1L-Gs)/β1/γ2
62.50Single6CM4Risperidone6CM4-D2-Risperidone
62.50Single8IRSRotigotine8IRS-D2-Rotigotine-Gi1/β1/γ2
62.50Single9MQLIsoquinuclidine9MQL-κ-Isoquinuclidine
62.50Consensus5ht1a_onOrthosteric Ligand8FYT-5-HT1A-LSD-PtdIns4P-Gi1/β1/γ1 7E2Y-5-HT1A-Serotonin-PtdIns4P-Gi1/β1/γ2 7E2Z-5-HT1A-Aripiprazole-PtdIns4P-Gi1/β1/γ2 8FYX-5-HT1A-Buspirone-PtdIns4P-Gi1/β1/γ1 8JSP-5-HT1A-Ulotaront-Gi1/β1/γ2 8JT6-5-HT1A-(R)-IHCH-7179-PtdIns4P-Gi1/β1/γ2 8FY8-5-HT1A-5-MeO-DMT-PtdIns4P-Gi1/β1/γ1 8FYE-5-HT1A-4-F,5-MeO-PyrT-PtdIns4P-Gi1/β1/γ1 8FYL-5-HT1A-Vilazodone-PtdIns4P-Gi1/β1/γ1
62.50Consensus5ht1a_on_gpOrthosteric Ligand8FYT-5-HT1A-LSD-PtdIns4P-Gi1/β1/γ1 8FYX-5-HT1A-Buspirone-PtdIns4P-Gi1/β1/γ1 8JSP-5-HT1A-Ulotaront-Gi1/β1/γ2 8JT6-5-HT1A-(R)-IHCH-7179-PtdIns4P-Gi1/β1/γ2 7E2Y-5-HT1A-Serotonin-PtdIns4P-Gi1/β1/γ2 7E2Z-5-HT1A-Aripiprazole-PtdIns4P-Gi1/β1/γ2 8FY8-5-HT1A-5-MeO-DMT-PtdIns4P-Gi1/β1/γ1 8FYE-5-HT1A-4-F,5-MeO-PyrT-PtdIns4P-Gi1/β1/γ1 8FYL-5-HT1A-Vilazodone-PtdIns4P-Gi1/β1/γ1
62.50Consensusgi_muscarinicOrthosteric Ligand8E9X-M4-2-Deoxycytidine-chim(NtGi1-Go)/β1/γ2 7T8X-M2-Acetylcholine-chim(NtGi1-Go)/β1/γ2 7TRS-M4-Acetylcholine-Gi1/β1/γ2 7TRK-M4-Iperoxo-Gi1/β1/γ2 7V6A-M4-PubChem 9864275-Gi1/β1/γ2
61.54Single7YM8Oxymetazoline7YM8-Alpha1A-Oxymetazoline-chim(Gs-CtGq)
61.54Single8FYXBuspirone8FYX-5-HT1A-Buspirone-PtdIns4P-Gi1/β1/γ1
61.54Single8HOCImetit8HOC-H4-Imetit-Gi1/β1/γ2
61.54Single8YNAImmepip8YNA-H4-Immepip-Gi1/β1/γ2
61.54Single9KVHCinobufotenine9KVH-5-HT1A-Cinobufotenine-PtdIns4P-Gi1/β1/γ2
61.54Single9MQJIsoquinuclidine9MQJ-μ-Isoquinuclidine
61.54Single9VJ5Gepirone9VJ5-5-HT1A-Gepirone-Go/β1/γ2
61.54Single9VJEBuspirone9VJE-5-HT1A-Buspirone-Go/β1/γ2
61.54Consensusgq_histamineOrthosteric Ligand7DFL-H1-Histamine-chim(NtGi1L-Gq)/β1/γ2
61.54Consensush1_on_gpOrthosteric Ligand7DFL-H1-Histamine-chim(NtGi1L-Gq)/β1/γ2
61.11Single8ZSPLSD8ZSP-TA1-LSD-chim(NtGi1L-Gs)/β1/γ2
60.00Single2RH1Carazolol2RH1-β2-Carazolol
60.00Single7XKAConstrained Epinephrine7XKA-β2-Constrained Epinephrine
60.00Single8E9ZIperoxo8E9Z-M3-Iperoxo-chim(NtGi2L-Gs-CtGq)/β1/γ2
60.00Single8GDZConstrained Epinephrine8GDZ-β2-Constrained Epinephrine-Gs/β1/γ2
60.00Single8GEBConstrained Epinephrine8GEB-β2-Constrained Epinephrine-Gs/β1/γ2
60.00Single8GEGConstrained Epinephrine8GEG-β2-Constrained Epinephrine-Gs/β1/γ2
60.00Single8GGBConstrained Epinephrine8GGB-β2-Constrained Epinephrine-GTP-Gs/β1/γ2
60.00Single8UNNConstrained Epinephrine8UNN-β2-Constrained Epinephrine-GTP-Gs/β1/γ2
60.00Single8UNPConstrained Epinephrine8UNP-β2-Constrained Epinephrine-GTP-Gs/β1/γ2
60.00Single9MQKIsoquinuclidine9MQK-κ-Isoquinuclidine
60.00Single9PXYNaloxone9PXY-μ-Naloxone-GDPβS-Gi1/β1/γ2
60.00Consensusalpha_on_gpOrthosteric Ligandalpha1_on_gp alpha2_on_gp
60.00Consensusamine_offOrthosteric Ligand5ht_off adrenergic_off dopamine_off histamine_off muscarinic_off
60.00Consensusamine_offonOrthosteric Ligandamine_off amine_on
60.00Consensusamine_offon_gpOrthosteric Ligandamine_on_gp amine_off
60.00Consensusamine_onOrthosteric Ligand5ht_on adrenergic_on dopamine_on histamine_on muscarinic_on trace-amine_on
60.00Consensusbeta2_offOrthosteric Ligand2RH1-β2-Carazolol 6PS3-β2-Carvedilol 6PS5-β2-Propranolol 3D4S-β2-Timolol 3NY8-β2-ICI118-551 3NY9-β2-PubChem 913103 6PRZ-β2-Alprenolol
60.00Consensusbeta_offOrthosteric Ligandbeta1_off beta2_off
60.00Consensusd2_onOrthosteric Ligand7JVR-D2-Bromoergocryptine-Gi1/β1/γ2 8IRS-D2-Rotigotine-Gi1/β1/γ2
60.00Consensusgi_adrenergicOrthosteric Ligand7EJ0-α2a-Norepinephrine-Go/β1/γ2 7EJK-α2a-Oxymetazoline-Go/β1/γ2 7W7E-α2a-PubChem 164946676-Go/β1/γ2 7W6P-α2a-N-pyridin-4-ylisoquinolin-4-amine-Go/β1/γ2 7EJ8-α2a-Brimonidine-Go/β1/γ2 6K42-α2b-Dexmedetomidine-Gi1/β1/γ2 7EJA-α2a-Dexmedetomidine-Go/β1/γ2 7S0F-β1-Isoprenaline-Gi1/β1/γ2
60.00Consensusm2_offOrthosteric Ligand5ZKC-M2-N-methyl-Scopolamine 5ZK3-M2-3-quinuclidinyl-benzilate 5ZKB-M2-AF-DX 384
60.00Consensusm3_onOrthosteric Ligand8E9Z-M3-Iperoxo-chim(NtGi2L-Gs-CtGq)/β1/γ2 8E9W-M3-2-Deoxycytidine-chim(NtGi2L-Gs-CtGq)/β1/γ2 8E9Y-M3-Clozapine-N-oxide-chim(NtGi2L-Gs-CtGq)/β1/γ2
60.00Consensusm3_on_gpOrthosteric Ligand8E9Z-M3-Iperoxo-chim(NtGi2L-Gs-CtGq)/β1/γ2 8E9W-M3-2-Deoxycytidine-chim(NtGi2L-Gs-CtGq)/β1/γ2 8E9Y-M3-Clozapine-N-oxide-chim(NtGi2L-Gs-CtGq)/β1/γ2
60.00Consensusta1_onOrthosteric Ligand8W87-TA1-METH-chim(NtGi1L-Gs)/β1/γ2 8W89-TA1-2-Phenylethylamine-chim(NtGi1L-Gs)/β1/γ2 8JLP-TA1-Ralmitaront-Gs/β1/γ2 8W8A-TA1-RO5256390-chim(NtGi1L-Gs)/β1/γ2 8W88-TA1-SEP-363856-Gs/β1/γ2 8JLO-TA1-Ulotaront-Gs/β1/γ2 8JLR-TA1-A77636-chim(NtGi1-Gs)/β1/γ2 8JSO-TA1-AMPH-chim(NtGi1-Gs)/β1/γ2 8ZSP-TA1-LSD-chim(NtGi1L-Gs)/β1/γ2
60.00Consensustrace-amine_onOrthosteric Ligandta1_on
58.82Single7SK8CCX6627SK8-ACKR3-CXCL12-CCX662
58.82Single7XJISolabegron7XJI-β3-Solabegron-Gs/β1/γ2
58.33Single8WC9ZH86518WC9-TA1-ZH8651-chim(NtGi1-Gs-CtGq)/β1/γ2
57.14Single4MQTIperoxo4MQT-M2-Iperoxo-LY2119620
57.14Single6WH4Methiothepin6WH4-5-HT2A-Methiothepin
57.14Single6WJCAtropine6WJC-M1-Atropine-Muscarinic toxin 7
57.14Single7CMUPramipexole7CMU-D3-Pramipexole-Gi1/β1/γ2
57.14Single7DHISalbutamol7DHI-β2-Salbutamol-Gs/β1/γ2
57.14Single7E33BRL-544437E33-5-HT1E-BRL-54443-Gi1/β1/γ2
57.14Single7EJ8Brimonidine7EJ8-α2a-Brimonidine-Go/β1/γ2
57.14Single7EJADexmedetomidine7EJA-α2a-Dexmedetomidine-Go/β1/γ2
57.14Single7RANPubChem 1645758477RAN-5-HT2A-PubChem 164575847-chim(NtGi2L-Gs-CtGq)/β1/γ2
57.14Single7T94Acetylcholine7T94-M2-Acetylcholine-LY2119620-chim(NtGi1-Go)/β1/γ2
57.14Single7TRSAcetylcholine7TRS-M4-Acetylcholine-Gi1/β1/γ2
57.14Single8GE1Constrained Epinephrine8GE1-β2-Constrained Epinephrine-Gs/β1/γ2
57.14Single8GE4Constrained Epinephrine8GE4-β2-Constrained Epinephrine-Gs/β1/γ2
57.14Single8GE5Constrained Epinephrine8GE5-β2-Constrained Epinephrine-Gs/β1/γ1
57.14Single8GE6Constrained Epinephrine8GE6-β2-Constrained Epinephrine-Gs/β1/γ2
57.14Single8GE7Constrained Epinephrine8GE7-β2-Constrained Epinephrine-Gs/β1/γ2
57.14Single8GE8Constrained Epinephrine8GE8-β2-Constrained Epinephrine-Gs/β1/γ2
57.14Single8GEAConstrained Epinephrine8GEA-β2-Constrained Epinephrine-Gs/β1/γ2
57.14Single8GEFConstrained Epinephrine8GEF-β2-Constrained Epinephrine-Gs/β1/γ2
57.14Single8GG8Constrained Epinephrine8GG8-β2-Constrained Epinephrine-GTP-Gs/β1/γ2
57.14Single8GGSConstrained Epinephrine8GGS-β2-Constrained Epinephrine
57.14Single8GGTConstrained Epinephrine8GGT-β2-Constrained Epinephrine
57.14Single8GGVConstrained Epinephrine8GGV-β2-Constrained Epinephrine
57.14Single8THLEpinephrine8THL-Alpha1A-Epinephrine-chim(NtGi2L-Gs-CtGq)/β1/γ2
57.14Single8U02Dopamine8U02-D2-Dopamine-Go/β1/γ2
57.14Single8UHBRO52563908UHB-TA1-RO5256390-Gs/β1/γ2
57.14Single8W88SEP-3638568W88-TA1-SEP-363856-Gs/β1/γ2
57.14Single8W8BSEP-3638568W8B-5-HT1A-SEP-363856-Gi1/β1/γ2
57.14Single8WC8ZH86518WC8-TA1-ZH8651-chim(NtGi1-Gs)/β1/γ2
57.14Single9AS5Mescaline9AS5-5-HT2A-Mescaline
57.14Single9AS6Mescaline9AS6-5-HT2A-Mescaline-chim(NtGi1-Gs-CtGq)/β1/γ2
57.14Single9CBLEpinephrine9CBL-α2a-Epinephrine-Gi1/β1/γ2
57.14Single9KVIBufotenin9KVI-5-HT1A-Bufotenin-PtdIns4P-Gi1/β1/γ2
57.14Single9MQIIsoquinuclidine9MQI-μ-Isoquinuclidine
57.14Single9PXVNaloxone9PXV-μ-Naloxone-Gi1/β1/γ2
57.14Single9VNFPindolol9VNF-5-HT1A-Pindolol-Go/β1/γ2
57.14Consensusalpha1_onOrthosteric Ligandalpha1a_on
57.14Consensusalpha1_on_gpOrthosteric Ligandalpha1a_on_gp
57.14Consensusalpha1a_onOrthosteric Ligand7EJ0-α2a-Norepinephrine-Go/β1/γ2 7EJ8-α2a-Brimonidine-Go/β1/γ2 7EJA-α2a-Dexmedetomidine-Go/β1/γ2 7EJK-α2a-Oxymetazoline-Go/β1/γ2 7W6P-α2a-N-pyridin-4-ylisoquinolin-4-amine-Go/β1/γ2 7W7E-α2a-PubChem 164946676-Go/β1/γ2
57.14Consensusalpha1a_on_gpOrthosteric Ligand7EJ0-α2a-Norepinephrine-Go/β1/γ2 7EJ8-α2a-Brimonidine-Go/β1/γ2 7EJA-α2a-Dexmedetomidine-Go/β1/γ2 7EJK-α2a-Oxymetazoline-Go/β1/γ2 7W6P-α2a-N-pyridin-4-ylisoquinolin-4-amine-Go/β1/γ2 7W7E-α2a-PubChem 164946676-Go/β1/γ2
57.14Consensusd3_onOrthosteric Ligand7CMV-D3-PD128907-Gi1/β1/γ2 8IRT-D3-Rotigotine-Gi1/β1/γ2 7CMU-D3-Pramipexole-Gi1/β1/γ2
57.14Consensusd3_on_gpOrthosteric Ligand7CMV-D3-PD128907-Gi1/β1/γ2 8IRT-D3-Rotigotine-Gi1/β1/γ2 7CMU-D3-Pramipexole-Gi1/β1/γ2
56.25Single4LDLHydroxybenzyl Isoproterenol4LDL-β2-Hydroxybenzyl Isoproterenol
56.25Single4U15Tiotropium4U15-M3-Tiotropium
56.25Single5D5ACarazolol5D5A-β2-Carazolol
56.25Single5D5BCarazolol5D5B-β2-Carazolol
56.25Single5ZKBAF-DX 3845ZKB-M2-AF-DX 384
56.25Single6OL9Tiotropium6OL9-M5-Tiotropium
56.25Single6TQ7SB-3348676TQ7-OX1-SB-334867
56.25Single7T2HLofentanil7T2H-μ-Lofentanil-Gi1/β1/γ2
56.25Single7TRQIperoxo7TRQ-M4-Iperoxo-VU0467154-Gi1/β1/γ2
56.25Single7W6PN-pyridin-4-ylisoquinolin-4-amine7W6P-α2a-N-pyridin-4-ylisoquinolin-4-amine-Go/β1/γ2
56.25Single7W7EPubChem 1649466767W7E-α2a-PubChem 164946676-Go/β1/γ2
56.25Single8DZPmomSalB8DZP-κ-momSalB-Gi1/β1/γ2
56.25Single8EA0Iperoxo8EA0-M3-Iperoxo
56.25Single8IRRRotigotine8IRR-D1-Rotigotine-Gs/β1/γ2
56.25Single8IRVRotigotine8IRV-D5-Rotigotine-chim(NtGi1-Gs)/β1/γ2
56.25Single8VVFJDTic8VVF-κ-JDTic-Gi1/β1/γ2
56.25Single9BJKNaloxone9BJK-μ-Naloxone-PubChem 171642066
56.25Single9BS9LSD9BS9-D2-LSD
56.25Single9BSBLSD9BSB-D2-LSD-chim(NtGi1-Go)/β1/γ2
56.25Consensusamine_on_gpOrthosteric Ligand5ht_on_gp adrenergic_on_gp dopamine_on_gp histamine_on_gp muscarinic_on_gp trace-amine_on_gp
56.25Consensusbeta1_offOrthosteric Ligand2VT4-β1-Cyanopindolol 2YCW-β1-Carazolol 2YCZ-β1-Iodocyanopindolol 5A8E-β1-7-Methylcyanopindolol-Na 3ZPQ-β1-PubChem 594590-Na 3ZPR-β1-PubChem 598754-Na
56.25Consensusbeta2_onOrthosteric Ligand7DHI-β2-Salbutamol-Gs/β1/γ2 6NI3-β2-BI167107-Gs/β1/γ2
56.25Consensusbeta2_on_gpOrthosteric Ligand7DHI-β2-Salbutamol-Gs/β1/γ2 6NI3-β2-BI167107-Gs/β1/γ2
56.25Consensusd5_on_gpOrthosteric Ligand8IRV-D5-Rotigotine-chim(NtGi1-Gs)/β1/γ2
56.25Consensusgi_5htOrthosteric Ligand8FYT-5-HT1A-LSD-PtdIns4P-Gi1/β1/γ1 7UM7-5-HT5A-Methylergometrine-chim(NtGi1-Go)/β1/γ2 8UGY-5-HT1E-Mianserin-Gi1/β1/γ1 8W8B-5-HT1A-SEP-363856-Gi1/β1/γ2 7E2Y-5-HT1A-Serotonin-PtdIns4P-Gi1/β1/γ2 7E32-5-HT1D-Serotonin-Gi1/β1/γ2 7XTA-5-HT4-Serotonin-Gi1/β1/γ2 8UH3-5-HT1E-Setiptiline-Gi1/β1/γ1 8JSP-5-HT1A-Ulotaront-Gi1/β1/γ2 8FYL-5-HT1A-Vilazodone-PtdIns4P-Gi1/β1/γ1 8JT6-5-HT1A-(R)-IHCH-7179-PtdIns4P-Gi1/β1/γ2 8FYE-5-HT1A-4-F,5-MeO-PyrT-PtdIns4P-Gi1/β1/γ1 7X5H-5-HT5A-5-CT-Gi1/β1/γ2 8FY8-5-HT1A-5-MeO-DMT-PtdIns4P-Gi1/β1/γ1 7E2Z-5-HT1A-Aripiprazole-PtdIns4P-Gi1/β1/γ2 7E33-5-HT1E-BRL-54443-Gi1/β1/γ2 8FYX-5-HT1A-Buspirone-PtdIns4P-Gi1/β1/γ1 7EXD-5-HT1F-Lasmiditan-Gi1/β1/γ2 7UM6-5-HT5A-Lisuride-chim(NtGi1-Go)/β1/γ2
56.25Consensusgi_dopamineOrthosteric Ligand7JVR-D2-Bromoergocryptine-Gi1/β1/γ2 7CMV-D3-PD128907-Gi1/β1/γ2 7CMU-D3-Pramipexole-Gi1/β1/γ2 8IRS-D2-Rotigotine-Gi1/β1/γ2 8IRT-D3-Rotigotine-Gi1/β1/γ2
56.25Consensusgs_adrenergicOrthosteric Ligand7DHI-β2-Salbutamol-Gs/β1/γ2 7XJI-β3-Solabegron-Gs/β1/γ2 7JJO-β1-Isoprenaline-Gs/β1/γ2 6NI3-β2-BI167107-Gs/β1/γ2 8DCR-β1-Dobutamine-Gs/β1/γ2 7XJH-β3-Isoprenaline-Gs/β1/γ2 7DH5-β3-Mirabegron-Gs/β1/γ2
56.25Consensusm5_offOrthosteric Ligand6OL9-M5-Tiotropium
56.25Consensusmuscarinic_offOrthosteric Ligandm2_off m3_off m4_off m5_off m1_off
56.25Consensusta1_on_gpOrthosteric Ligand8W87-TA1-METH-chim(NtGi1L-Gs)/β1/γ2 8W89-TA1-2-Phenylethylamine-chim(NtGi1L-Gs)/β1/γ2 8JLP-TA1-Ralmitaront-Gs/β1/γ2 8W8A-TA1-RO5256390-chim(NtGi1L-Gs)/β1/γ2 8W88-TA1-SEP-363856-Gs/β1/γ2 8JLO-TA1-Ulotaront-Gs/β1/γ2 8JLR-TA1-A77636-chim(NtGi1-Gs)/β1/γ2 8JSO-TA1-AMPH-chim(NtGi1-Gs)/β1/γ2 8ZSP-TA1-LSD-chim(NtGi1L-Gs)/β1/γ2
56.25Consensustrace-amine_on_gpOrthosteric Ligandta1_on_gp
55.56Single3NY9PubChem 9131033NY9-β2-PubChem 913103
55.56Single8JLRA776368JLR-TA1-A77636-chim(NtGi1-Gs)/β1/γ2
55.56Single8X5YAstemizole8X5Y-H1-Astemizole
53.85Single7DFLHistamine7DFL-H1-Histamine-chim(NtGi1L-Gq)/β1/γ2
53.85Single7YFCHistamine7YFC-H4-Histamine-chim(NtGi1-Gs-CtGq)/β1/γ2
53.85Single7YFDImetit7YFD-H4-Imetit-chim(NtGi1-Gs-CtGq)/β1/γ2
53.85Single8DPFLorcaserin8DPF-5-HT2C-Lorcaserin-chim(NtGi2L-Gs-CtGq)/β1/γ2
53.85Single8HN8Histamine8HN8-H4-Histamine-Gi1/β1/γ2
53.85Single8W892-Phenylethylamine8W89-TA1-2-Phenylethylamine-chim(NtGi1L-Gs)/β1/γ2
53.85Single8YN5Histamine8YN5-H3-Histamine-Gi1/β1/γ2
53.85Single8YN6Imetit8YN6-H3-Imetit-Gi1/β1/γ2
53.85Single8YN7Immethridine8YN7-H3-Immethridine-Go/β1/γ2
53.85Single8ZSVRO52633978ZSV-TA1-RO5263397-chim(NtGi1-Gs)/β1/γ2
53.85Single9AS2DMT9AS2-5-HT2A-DMT-chim(NtGi1-Gs-CtGq)/β1/γ2
53.85Single9IJEEpinephrine9IJE-β3-Epinephrine-chim(NtGi1-Gs)/β1/γ2
53.85Single9L42Histamine9L42-H4-Histamine-Gi1/β1/γ2
53.85Consensush1_onOrthosteric Ligand7DFL-H1-Histamine-chim(NtGi1L-Gq)/β1/γ2
53.33Single3NY8ICI118-5513NY8-β2-ICI118-551
53.33Single3ZPQPubChem 5945903ZPQ-β1-PubChem 594590-Na
53.33Single4DAJTiotropium4DAJ-M3-Tiotropium
53.33Single4EA3PubChem 102965614EA3-NOP-PubChem 10296561
53.33Single4GBRCarazolol4GBR-β2-Carazolol
53.33Single4MQSIperoxo4MQS-M2-Iperoxo
53.33Single4QKXPubChem 762106284QKX-β2-PubChem 76210628
53.33Single4U14Tiotropium4U14-M3-Tiotropium
53.33Single5DSGTiotropium5DSG-M4-Tiotropium
53.33Single6H7MSalbutamol6H7M-β1-Salbutamol
53.33Single6PS2Alprenolol6PS2-β2-Alprenolol
53.33Single6WHADB139486WHA-5-HT2A-DB13948-chim(NtGi2L-Gs-CtGq)/β1/γ2
53.33Single7BTSEpinephrine7BTS-β1-Epinephrine
53.33Single7BU6Norepinephrine7BU6-β1-Norepinephrine
53.33Single7CRHSKF839597CRH-D1-SKF83959-Gs/β1/γ2
53.33Single7E32Serotonin7E32-5-HT1D-Serotonin-Gi1/β1/γ2
53.33Single7JVQApomorphine7JVQ-D1-Apomorphine-Gs/β1/γ2
53.33Single7LJCSKF812977LJC-D1-SKF81297-Mevidalen-Gs/β1/γ2
53.33Single7TRPIperoxo7TRP-M4-Iperoxo-LY2033298-Gi1/β1/γ2
53.33Single7WC7Lisuride7WC7-5-HT2A-Lisuride
53.33Single8FY85-MeO-DMT8FY8-5-HT1A-5-MeO-DMT-PtdIns4P-Gi1/β1/γ1
53.33Single8GE2Constrained Epinephrine8GE2-β2-Constrained Epinephrine-Gs/β1/γ1
53.33Single8GE3Constrained Epinephrine8GE3-β2-Constrained Epinephrine-Gs/β1/γ2
53.33Single8GECConstrained Epinephrine8GEC-β2-Constrained Epinephrine-Gs/β1/γ2
53.33Single8GEEConstrained Epinephrine8GEE-β2-Constrained Epinephrine-Gs/β1/γ2
53.33Single8GFVConstrained Epinephrine8GFV-β2-Constrained Epinephrine-GTP-Gs/β1/γ2
53.33Single8GFWConstrained Epinephrine8GFW-β2-Constrained Epinephrine-GTP-Gs/β1/γ2
53.33Single8GFXConstrained Epinephrine8GFX-β2-Constrained Epinephrine-GTP-Gs/β1/γ2
53.33Single8GFZConstrained Epinephrine8GFZ-β2-Constrained Epinephrine-GTP-Gs/β1/γ2
53.33Single8GG0Constrained Epinephrine8GG0-β2-Constrained Epinephrine-GTP-Gs/β1/γ2
53.33Single8GG1Constrained Epinephrine8GG1-β2-Constrained Epinephrine-GTP-Gs/β1/γ2
53.33Single8GG3Constrained Epinephrine8GG3-β2-Constrained Epinephrine-GTP-Gs/β1/γ2
53.33Single8GG4Constrained Epinephrine8GG4-β2-Constrained Epinephrine-GTP-Gs/β1/γ2
53.33Single8GG6Constrained Epinephrine8GG6-β2-Constrained Epinephrine-GTP-Gs/β1/γ2
53.33Single8GG9Constrained Epinephrine8GG9-β2-Constrained Epinephrine-GTP-Gs/β1/γ2
53.33Single8GGIConstrained Epinephrine8GGI-β2-Constrained Epinephrine
53.33Single8GGJConstrained Epinephrine8GGJ-β2-Constrained Epinephrine
53.33Single8GGKConstrained Epinephrine8GGK-β2-Constrained Epinephrine
53.33Single8GGNConstrained Epinephrine8GGN-β2-Constrained Epinephrine
53.33Single8GGOConstrained Epinephrine8GGO-β2-Constrained Epinephrine
53.33Single8GGUConstrained Epinephrine8GGU-β2-Constrained Epinephrine
53.33Single8PJKST1718PJK-5-HT1A-ST171-Gi1/β1/γ1
53.33Single8UNQConstrained Epinephrine8UNQ-β2-Constrained Epinephrine-GTP-Gs/β1/γ2
53.33Single8UNRConstrained Epinephrine8UNR-β2-Constrained Epinephrine-GTP-Gs/β1/γ2
53.33Single8UNUConstrained Epinephrine8UNU-β2-Constrained Epinephrine-GTP-Gs/β1/γ2
53.33Single8UNVConstrained Epinephrine8UNV-β2-Constrained Epinephrine-GTP-Gs/β1/γ2
53.33Single8UNYConstrained Epinephrine8UNY-β2-Constrained Epinephrine-GTP-Gs/β1/γ2
53.33Single8UNZConstrained Epinephrine8UNZ-β2-Constrained Epinephrine-GTP-Gs/β1/γ2
53.33Single8UO2Constrained Epinephrine8UO2-β2-Constrained Epinephrine-GTP-Gs/β1/γ2
53.33Single8VVGGB188VVG-κ-GB18-Gi1/β1/γ2
53.33Single8WC7ZH86678WC7-TA1-ZH8667-chim(NtGi1-Gs)/β1/γ2
53.33Single8X63Mepyramine8X63-H1-Mepyramine
53.33Single8X64Desloratadine8X64-H1-Desloratadine
53.33Single8XVKAmbrisentan8XVK-ETA-Ambrisentan
53.33Single8Y71A1D6F8Y71-δ-A1D6F-BMS986187-Gi1/β1/γ2
53.33Single8YN8Proxyfan8YN8-H3-Proxyfan-Go/β1/γ2
53.33Single8ZSSRO52633978ZSS-TA1-RO5263397-chim(NtGi1-Gs)/β1/γ2
53.33Single9AS1DMT9AS1-5-HT2A-DMT
53.33Single9PQDPubChem 1764919279PQD-α2a-PubChem 176491927
53.33Single9PXWNaloxone9PXW-μ-Naloxone-GDPβS-Gi1/β1/γ2
53.33Single9UAZAtropine9UAZ-M1-Atropine
53.33Consensus5ht1d_onOrthosteric Ligand7E32-5-HT1D-Serotonin-Gi1/β1/γ2
53.33Consensus5ht1d_on_gpOrthosteric Ligand7E32-5-HT1D-Serotonin-Gi1/β1/γ2
53.33Consensusadrenergic_onOrthosteric Ligandalpha_on beta_on
53.33Consensusdopamine_offOrthosteric Ligandd2_off d3_off
53.33Consensusdopamine_onOrthosteric Ligandd2_on d1_on d3_on d4_on d5_on
53.33Consensusdopamine_on_gpOrthosteric Ligandd2_on_gp d1_on_gp d3_on_gp d4_on_gp d5_on_gp
53.33Consensushistamine_offOrthosteric Ligandh1_off
53.33Consensusm4_offOrthosteric Ligand5DSG-M4-Tiotropium
53.33Consensusmuscarinic_onOrthosteric Ligandm2_on m3_on m4_on m1_on
53.33Consensusmuscarinic_on_gpOrthosteric Ligandm2_on_gp m3_on_gp m4_on_gp m1_on_gp
52.94Single3D4STimolol3D4S-β2-Timolol
52.94Single4AMIBucindolol4AMI-β1-Bucindolol
52.94Single5CXVTiotropium5CXV-M1-Tiotropium
52.94Single6A93Risperidone6A93-5-HT2A-Risperidone
52.94Single6DRYMethylergometrine6DRY-5-HT2B-Methylergometrine
52.94Single6H7NXamoterol6H7N-β1-Xamoterol
52.94Single6H7OCyanopindolol6H7O-β1-Cyanopindolol
52.94Single6VMSBromoergocryptine6VMS-D2-Bromoergocryptine-Gi1/β1/γ2
52.94Single6ZG4HTL00099366ZG4-M1-HTL0009936
52.94Single7BZ2Arformoterol7BZ2-β2-Arformoterol-Gs/β1/γ2
52.94Single7YITNalfurafine7YIT-κ-Nalfurafine
52.94Single7YMJTamsulosin7YMJ-Alpha1A-Tamsulosin
52.94Single8E9W2-Deoxycytidine8E9W-M3-2-Deoxycytidine-chim(NtGi2L-Gs-CtGq)/β1/γ2
52.94Single8FYE4-F,5-MeO-PyrT8FYE-5-HT1A-4-F,5-MeO-PyrT-PtdIns4P-Gi1/β1/γ1
52.94Single8FYTLSD8FYT-5-HT1A-LSD-PtdIns4P-Gi1/β1/γ1
52.94Single8G056-OAU8G05-GPR84-6-OAU-Gi1/β1/γ2
52.94Single8JJ8Arformoterol8JJ8-β2-Arformoterol
52.94Single8W1VPubChem 1717162658W1V-β2-PubChem 171716265
52.94Single9EK0Iperoxo9EK0-M5-Iperoxo-chim(NtGi1-Gs-CtGq)/β1/γ2
52.94Single9GL2Befiradol9GL2-5-HT1A-Befiradol-Gs/β1/γ2
52.94Single9KVG5-MeO-DMT9KVG-5-HT1A-5-MeO-DMT-PtdIns4P-Gi1/β1/γ2
52.94Single9V6ONalfurafine9V6O-κ-Nalfurafine-Gi1/β1/γ2
52.94Consensusalpha1_offOrthosteric Ligandalpha1a_off
52.94Consensusalpha1a_offOrthosteric Ligand7YMJ-Alpha1A-Tamsulosin
52.94Consensusbeta3_onOrthosteric Ligand7DH5-β3-Mirabegron-Gs/β1/γ2 7XJH-β3-Isoprenaline-Gs/β1/γ2 7XJI-β3-Solabegron-Gs/β1/γ2
52.94Consensusbeta3_on_gpOrthosteric Ligand7DH5-β3-Mirabegron-Gs/β1/γ2 7XJH-β3-Isoprenaline-Gs/β1/γ2 7XJI-β3-Solabegron-Gs/β1/γ2
52.94Consensusbeta_onOrthosteric Ligandbeta1_on beta2_on beta3_on
52.94Consensusbeta_on_gpOrthosteric Ligandbeta1_on_gp beta2_on_gp beta3_on_gp
52.94Consensusd2_on_gpOrthosteric Ligand7JVR-D2-Bromoergocryptine-Gi1/β1/γ2 8IRS-D2-Rotigotine-Gi1/β1/γ2
52.94Consensusm1_offOrthosteric Ligand5CXV-M1-Tiotropium
52.94Consensusm4_onOrthosteric Ligand7TRS-M4-Acetylcholine-Gi1/β1/γ2 7V6A-M4-PubChem 9864275-Gi1/β1/γ2 8E9X-M4-2-Deoxycytidine-chim(NtGi1-Go)/β1/γ2 7TRK-M4-Iperoxo-Gi1/β1/γ2
52.94Consensusm4_on_gpOrthosteric Ligand7TRS-M4-Acetylcholine-Gi1/β1/γ2 7V6A-M4-PubChem 9864275-Gi1/β1/γ2 8E9X-M4-2-Deoxycytidine-chim(NtGi1-Go)/β1/γ2 7TRK-M4-Iperoxo-Gi1/β1/γ2
52.94Consensusmop_onOrthosteric Ligand8F7R-μ-Endomorphin-Gi1/β1/γ2 8EF5-μ-Fentanyl-Gi1/β1/γ2 7SCG-μ-FH210-Gi1/β1/γ2 7T2H-μ-Lofentanil-Gi1/β1/γ2 7T2G-μ-Mitragynine Pseudoindoxyl-Gi1/β1/γ2 8EF6-μ-Morphine-Gi1/β1/γ2 8EFB-μ-Oliceridine-Gi1/β1/γ2 7U2L-μ-C5-guano-Gi1/β1/γ2 8EFO-μ-PZM21-Gi1/β1/γ2 8EFL-μ-SR17018-Gi1/β1/γ2 8F7Q-μ-β-Endorphin-Gi1/β1/γ2 7U2K-μ-C6-guano-Gi1/β1/γ2 8EFQ-μ-DAMGO-Gi1/β1/γ2
52.94Consensusmop_on_gpOrthosteric Ligand8F7R-μ-Endomorphin-Gi1/β1/γ2 8EF5-μ-Fentanyl-Gi1/β1/γ2 7SCG-μ-FH210-Gi1/β1/γ2 7T2H-μ-Lofentanil-Gi1/β1/γ2 7T2G-μ-Mitragynine Pseudoindoxyl-Gi1/β1/γ2 8EF6-μ-Morphine-Gi1/β1/γ2 8EFB-μ-Oliceridine-Gi1/β1/γ2 7U2L-μ-C5-guano-Gi1/β1/γ2 8EFO-μ-PZM21-Gi1/β1/γ2 8EFL-μ-SR17018-Gi1/β1/γ2 8F7Q-μ-β-Endorphin-Gi1/β1/γ2 7U2K-μ-C6-guano-Gi1/β1/γ2 8EFQ-μ-DAMGO-Gi1/β1/γ2
52.63Single4AMJCarvedilol4AMJ-β1-Carvedilol
52.63Single4IARErgotamine4IAR-5-HT1B-Ergotamine
52.63Single8FYLVilazodone8FYL-5-HT1A-Vilazodone-PtdIns4P-Gi1/β1/γ1
52.63Single8PKMBefiradol8PKM-5-HT1A-Befiradol-Gi1/β1/γ1
52.63Single8WDTphotoNECA8WDT-A2A-photoNECA
52.63Single9M4TSilodosin9M4T-Alpha1A-Silodosin
52.63Consensusgi_opioidOrthosteric Ligand8F7R-μ-Endomorphin-Gi1/β1/γ2 8EF5-μ-Fentanyl-Gi1/β1/γ2 7SCG-μ-FH210-Gi1/β1/γ2 7T2H-μ-Lofentanil-Gi1/β1/γ2 7T2G-μ-Mitragynine Pseudoindoxyl-Gi1/β1/γ2 8DZP-κ-momSalB-Gi1/β1/γ2 8EF6-μ-Morphine-Gi1/β1/γ2 8F7X-NOP-Nociceptin-Gi1/β1/γ2 8EFB-μ-Oliceridine-Gi1/β1/γ2 7U2L-μ-C5-guano-Gi1/β1/γ2 8EFO-μ-PZM21-Gi1/β1/γ2 8EFL-μ-SR17018-Gi1/β1/γ2 8F7Q-μ-β-Endorphin-Gi1/β1/γ2 7U2K-μ-C6-guano-Gi1/β1/γ2 8EFQ-μ-DAMGO-Gi1/β1/γ2 8F7S-δ-Deltorphin-Gi1/β1/γ2 8F7W-κ-Dynorphin-Gi1/β1/γ2
50.00Single2Y03Isoprenaline2Y03-β1-Isoprenaline
50.00Single2YCWCarazolol2YCW-β1-Carazolol
50.00Single2YCZIodocyanopindolol2YCZ-β1-Iodocyanopindolol
50.00Single4BVNCyanopindolol4BVN-β1-Cyanopindolol-Na
50.00Single5C1MBU725C1M-μ-BU72
50.00Single5D6LCarazolol5D6L-β2-Carazolol
50.00Single5TUDErgotamine5TUD-5-HT2B-Ergotamine
50.00Single5WIUNemonapride5WIU-D4-Nemonapride
50.00Single5WIVNemonapride5WIV-D4-Nemonapride-Na
50.00Single5X7DCarazolol5X7D-β2-Carazolol-PubChem 129318963
50.00Single5ZK33-quinuclidinyl-benzilate5ZK3-M2-3-quinuclidinyl-benzilate
50.00Single6H7LDobutamine6H7L-β1-Dobutamine
50.00Single6IBLArformoterol6IBL-β1-Arformoterol
50.00Single6KUWPubChem 572132346KUW-α2c-PubChem 57213234
50.00Single6LUQHaloperidol6LUQ-D2-Haloperidol
50.00Single6OIKIperoxo6OIK-M2-Iperoxo-LY2119620-chim(NtGi1-Go)/β1/γ2
50.00Single6PS3Carvedilol6PS3-β2-Carvedilol
50.00Single6PS6Timolol6PS6-β2-Timolol
50.00Single6TKOArformoterol6TKO-β1-Arformoterol-Arrestin2
50.00Single7BVQCarazolol7BVQ-β1-Carazolol
50.00Single7C61Ergotamine7C61-5-HT1B-Ergotamine
50.00Single7JVRBromoergocryptine7JVR-D2-Bromoergocryptine-Gi1/β1/γ2
50.00Single7S0FIsoprenaline7S0F-β1-Isoprenaline-Gi1/β1/γ2
50.00Single7SK7CCX6627SK7-ACKR3-CXCL12-CCX662
50.00Single7T8XAcetylcholine7T8X-M2-Acetylcholine-chim(NtGi1-Go)/β1/γ2
50.00Single7T90Acetylcholine7T90-M2-Acetylcholine-chim(NtGi1-Go)/β1/γ2
50.00Single7T96Acetylcholine7T96-M2-Acetylcholine-LY2119620-Go/β1/γ2
50.00Single7TRKIperoxo7TRK-M4-Iperoxo-Gi1/β1/γ2
50.00Single7WC6LSD7WC6-5-HT2A-LSD
50.00Single7XK9Constrained Isoproterenol7XK9-β2-Constrained Isoproterenol-Na
50.00Single7YMHNorepinephrine7YMH-Alpha1A-Norepinephrine-chim(Gs-CtGq)
50.00Single8DPHLorcaserin8DPH-5-HT2C-Lorcaserin-chim(NtGi2L-Gs-CtGq)/β1/γ2
50.00Single8E9X2-Deoxycytidine8E9X-M4-2-Deoxycytidine-chim(NtGi1-Go)/β1/γ2
50.00Single8E9YClozapine-N-oxide8E9Y-M3-Clozapine-N-oxide-chim(NtGi2L-Gs-CtGq)/β1/γ2
50.00Single8EFBOliceridine8EFB-μ-Oliceridine-Gi1/β1/γ2
50.00Single8FX5Xanomeline8FX5-M4-Xanomeline-Xanomeline-Gi1/β1/γ2
50.00Single8GFYConstrained Epinephrine8GFY-β2-Constrained Epinephrine-GTP-Gs/β1/γ2
50.00Single8GG2Constrained Epinephrine8GG2-β2-Constrained Epinephrine-GTP-Gs/β1/γ2
50.00Single8GGAConstrained Epinephrine8GGA-β2-Constrained Epinephrine-GTP-Gs/β1/γ2
50.00Single8GGCConstrained Epinephrine8GGC-β2-Constrained Epinephrine-GTP-Gs/β1/γ2
50.00Single8GGRConstrained Epinephrine8GGR-β2-Constrained Epinephrine
50.00Single8GGWConstrained Epinephrine8GGW-β2-Constrained Epinephrine
50.00Single8GH0Constrained Epinephrine8GH0-β2-Constrained Epinephrine
50.00Single8J18(3R)-3-Hydroxydodecanoic acid8J18-GPR84-(3R)-3-Hydroxydodecanoic acid-Gi1/β1/γ2
50.00Single8S2TIsoprenaline8S2T-β1-Isoprenaline-chim(NtGi1-Gs)/β1/γ2
50.00Single8TZQDopamine8TZQ-D2-Dopamine-Go/β1/γ2
50.00Single8WC4ZH86518WC4-TA1-ZH8651-chim(NtGi1-Gs)/β1/γ2
50.00Single8WC5Tetramethylammonium Ion8WC5-TA1-Tetramethylammonium Ion-chim(NtGi1-Gs)/β1/γ2
50.00Single8WCA2-Phenylethylamine8WCA-TA1-2-Phenylethylamine-chim(NtGi1-Gs)/β1/γ2
50.00Single8YUVImmepip8YUV-H3-Immepip-Gi1/β1/γ2
50.00Single9ARZ2-bromo-LSD9ARZ-5-HT2A-2-bromo-LSD
50.00Single9AS02-bromo-LSD9AS0-5-HT2A-2-bromo-LSD-chim(NtGi1-Gs-CtGq)/β1/γ2
50.00Single9CHUNorepinephrine9CHU-β2-Norepinephrine
50.00Single9DYDAsenapine9DYD-5-HT1A-Asenapine-PtdIns4P-Go/β1/γ2
50.00Single9DYEBuspirone9DYE-5-HT1A-Buspirone-PtdIns4P-Go/β1/γ2
50.00Single9F33FOB02-04A9F33-D3-FOB02-04A-Go/β1/γ2
50.00Single9HYIDP819HYI-5-HT1A-DP81-Gi1/β1/γ2
50.00Single9K07DSO-5a9K07-BB3-DSO-5a-chim(NtGi2L-Gs-CtGq)/β1/γ2
50.00Single9KUVCMPD6449KUV-Apelin-CMPD644-Arrestin2
50.00Single9LRBHistamine9LRB-H1-Histamine-Gs/β1/γ2
50.00Single9PXUNaloxone9PXU-μ-Naloxone-Na
50.00Single9VJFBuspirone9VJF-5-HT1A-Buspirone-Gi3/β1/γ2
50.00Single9W49U-50488H9W49-κ-U-50488H-Gi1/β1/γ2
50.00Consensus5ht1_onOrthosteric Ligand5ht1a_on 5ht1d_on 5ht1e_on 5ht1f_on
50.00Consensus5ht1_on_gpOrthosteric Ligand5ht1a_on_gp 5ht1d_on_gp 5ht1e_on_gp 5ht1f_on_gp
50.00Consensus5ht1e_on_gpOrthosteric Ligand7E33-5-HT1E-BRL-54443-Gi1/β1/γ2 8UGY-5-HT1E-Mianserin-Gi1/β1/γ1 8UH3-5-HT1E-Setiptiline-Gi1/β1/γ1
50.00Consensus5ht2_offOrthosteric Ligand5ht2a_off 5ht2b_off 5ht2c_off
50.00Consensusadrenergic_offOrthosteric Ligandalpha_off beta_off
50.00Consensusadrenergic_on_gpOrthosteric Ligandalpha_on_gp beta_on_gp
50.00Consensusalpha2_offOrthosteric Ligandalpha2c_off
50.00Consensusalpha2c_offOrthosteric Ligand6KUW-α2c-PubChem 57213234
50.00Consensusalpha_offOrthosteric Ligandalpha1_off alpha2_off
50.00Consensusbeta1_onOrthosteric Ligand8DCR-β1-Dobutamine-Gs/β1/γ2 7S0F-β1-Isoprenaline-Gi1/β1/γ2
50.00Consensusbeta1_on_gpOrthosteric Ligand8DCR-β1-Dobutamine-Gs/β1/γ2 7S0F-β1-Isoprenaline-Gi1/β1/γ2
50.00Consensusd4_onOrthosteric Ligand8IRU-D4-Rotigotine-chim(NtGi1-Gs-CtGi1)/β1/γ2
50.00Consensusendothelin_offOrthosteric Ligandetb_off
50.00Consensusetb_offOrthosteric Ligand5X93-ETB-K-8794 5XPR-ETB-Bosentan 6K1Q-ETB-IRL2500
50.00Consensusgq_class-aOrthosteric Ligandgq_peptide gq_amine gq_nucleotide
50.00Consensusgs_amineOrthosteric Ligandgs_5ht gs_adrenergic gs_dopamine gs_histamine gs_trace-amine
50.00Consensush1_offOrthosteric Ligand8X63-H1-Mepyramine 3RZE-H1-Cidoxepin 8X5Y-H1-Astemizole
50.00Consensushistamine_onOrthosteric Ligandh1_on h2_on h3_on h4_on
50.00Consensushistamine_on_gpOrthosteric Ligandh1_on_gp h2_on_gp h3_on_gp h4_on_gp
50.00Consensusm2_onOrthosteric Ligand7T8X-M2-Acetylcholine-chim(NtGi1-Go)/β1/γ2
50.00Consensusm2_on_gpOrthosteric Ligand7T8X-M2-Acetylcholine-chim(NtGi1-Go)/β1/γ2
47.62Single6PT2KGCHM076PT2-δ-KGCHM07
47.37Single4UG2CGS216804UG2-A2A-CGS21680
47.37Single6G79Donitriptan6G79-5-HT1B-Donitriptan-Go/β1/γ2
47.37Single6PT3DPI-2876PT3-δ-DPI-287
47.37Single9CGKC5-Quino9CGK-δ-C5-Quino-Gi1/β1/γ2
47.37Single9MD1Buspirone9MD1-5-HT1A-Buspirone-PtdIns4P-Gz/β1/γ2
47.06Single2YDVNECA2YDV-A2A-NECA
47.06Single3P0GBI1671073P0G-β2-BI167107
47.06Single3SN6BI1671073SN6-β2-BI167107-Gs/β1/γ2
47.06Single3UON3-quinuclidinyl-benzilate3UON-M2-3-quinuclidinyl-benzilate
47.06Single4UHRCGS216804UHR-A2A-CGS21680
47.06Single5A8E7-Methylcyanopindolol5A8E-β1-7-Methylcyanopindolol-Na
47.06Single5G53NECA5G53-A2A-NECA-Gs
47.06Single6GT3Imaradenant6GT3-A2A-Imaradenant-Na
47.06Single6H7JIsoprenaline6H7J-β1-Isoprenaline
47.06Single6N48BI1671076N48-β2-BI167107-PubChem 138454256
47.06Single6NI3BI1671076NI3-β2-BI167107-Gs/β1/γ2
47.06Single6OIJIperoxo6OIJ-M1-Iperoxo-chim(NtGi1L-G11)/β1/γ2
47.06Single7JJOIsoprenaline7JJO-β1-Isoprenaline-Gs/β1/γ2
47.06Single7JVPSKF839597JVP-D1-SKF83959-Gs/β1/γ2
47.06Single7U2LC5-guano7U2L-μ-C5-guano-Gi1/β1/γ2
47.06Single8EF5Fentanyl8EF5-μ-Fentanyl-Gi1/β1/γ2
47.06Single8IRURotigotine8IRU-D4-Rotigotine-chim(NtGi1-Gs-CtGi1)/β1/γ2
47.06Single8JT6(R)-IHCH-71798JT6-5-HT1A-(R)-IHCH-7179-PtdIns4P-Gi1/β1/γ2
47.06Single8JXXClobenpropit8JXX-H4-Clobenpropit-Gi1/β1/γ2
47.06Single8VVEnorBNI8VVE-κ-norBNI-Gi1/β1/γ2
47.06Single8XVLZibotentan8XVL-ETA-Zibotentan
47.06Single8XZICMF-0198XZI-Apelin; Apelin-CMF-019-Gi1/β1/γ2
47.06Single9AS9RS130-1809AS9-5-HT2A-RS130-180
47.06Single9ASARS130-1809ASA-5-HT2A-RS130-180-chim(NtGi1-Gs-CtGq)/β1/γ2
47.06Single9IJDCarazolol9IJD-β3-Carazolol-chim(NtGi1-Gs)/β1/γ2
47.06Single9UCPIperoxo9UCP-M1-Iperoxo-G11(CT)
47.06Consensus5ht_offOrthosteric Ligand5ht2_off 5ht1_off
47.06Consensusd1_on_gpOrthosteric Ligand7F0T-D1-Dopamine-Gs/β1/γ2 7CKY-D1-PW0464-Gs/β1/γ2 8IRR-D1-Rotigotine-Gs/β1/γ2 7JV5-D1-SKF81297-Gs/β1/γ2 7JVP-D1-SKF83959-Gs/β1/γ2 7X2D-D1-Tavapadon-Gs/β1/γ2 7CKX-D1-A77636-Gs/β1/γ2 7JVQ-D1-Apomorphine-Gs/β1/γ2 7CKW-D1-Fenoldopam-Gs/β1/γ2
47.06Consensusd4_on_gpOrthosteric Ligand8IRU-D4-Rotigotine-chim(NtGi1-Gs-CtGi1)/β1/γ2
47.06Consensusgs_dopamineOrthosteric Ligand7F0T-D1-Dopamine-Gs/β1/γ2 7CKW-D1-Fenoldopam-Gs/β1/γ2 7CKY-D1-PW0464-Gs/β1/γ2 8IRV-D5-Rotigotine-chim(NtGi1-Gs)/β1/γ2 8IRR-D1-Rotigotine-Gs/β1/γ2 7JV5-D1-SKF81297-Gs/β1/γ2 7JVP-D1-SKF83959-Gs/β1/γ2 7X2D-D1-Tavapadon-Gs/β1/γ2 7CKX-D1-A77636-Gs/β1/γ2 7JVQ-D1-Apomorphine-Gs/β1/γ2
47.06Consensusm1_on_gpOrthosteric Ligand6OIJ-M1-Iperoxo-chim(NtGi1L-G11)/β1/γ2
47.06Consensusm3_offOrthosteric Ligand4U15-M3-Tiotropium 4U16-M3-N-methyl-Scopolamine 5ZHP-M3-PubChem 134828589
46.67Single3RZECidoxepin3RZE-H1-Cidoxepin
46.67Single3UZCPubChem 1355666093UZC-A2A-PubChem 135566609
46.67Single4DKLBeta-Funaltrexamine4DKL-μ-β-Funaltrexamine
46.67Single4LDOEpinephrine4LDO-β2-Epinephrine
46.67Single6A94Zotepine6A94-5-HT2A-Zotepine
46.67Single6PS0Carazolol6PS0-β2-Carazolol
46.67Single6PS4ICI118-5516PS4-β2-ICI118-551
46.67Single6PS5Propranolol6PS5-β2-Propranolol
46.67Single6ZFZ77-LH-28-16ZFZ-M1-77-LH-28-1
46.67Single7CKZDopamine7CKZ-D1-Dopamine-Mevidalen-Gs/β1/γ2
46.67Single7CMVPD1289077CMV-D3-PD128907-Gi1/β1/γ2
46.67Single7F24Dopamine7F24-D1-Dopamine-GDP-Gs/β1/γ2
46.67Single7UM7Methylergometrine7UM7-5-HT5A-Methylergometrine-chim(NtGi1-Go)/β1/γ2
46.67Single7WC9PubChem 1624213647WC9-5-HT2A-PubChem 162421364
46.67Single8GEDConstrained Epinephrine8GED-β2-Constrained Epinephrine-Gs/β1/γ2
46.67Single8GG5Constrained Epinephrine8GG5-β2-Constrained Epinephrine-GTP-Gs/β1/γ2
46.67Single8GG7Constrained Epinephrine8GG7-β2-Constrained Epinephrine-GTP-Gs/β1/γ2
46.67Single8GGLConstrained Epinephrine8GGL-β2-Constrained Epinephrine
46.67Single8GGMConstrained Epinephrine8GGM-β2-Constrained Epinephrine
46.67Single8GGPConstrained Epinephrine8GGP-β2-Constrained Epinephrine
46.67Single8GGQConstrained Epinephrine8GGQ-β2-Constrained Epinephrine
46.67Single8GGXConstrained Epinephrine8GGX-β2-Constrained Epinephrine
46.67Single8JLQFenoldopam8JLQ-TA1-Fenoldopam-Gs/β1/γ2
46.67Single8JSPUlotaront8JSP-5-HT1A-Ulotaront-Gi1/β1/γ2
46.67Single8PM2DMCHA8PM2-TA7-DMCHA-Gs/β1/γ2
46.67Single8UNLConstrained Epinephrine8UNL-β2-Constrained Epinephrine-GTP-Gs/β1/γ2
46.67Single8UNMConstrained Epinephrine8UNM-β2-Constrained Epinephrine-GTP-Gs/β1/γ2
46.67Single8UNOConstrained Epinephrine8UNO-β2-Constrained Epinephrine-GTP-Gs/β1/γ2
46.67Single8UNWConstrained Epinephrine8UNW-β2-Constrained Epinephrine-GTP-Gs/β1/γ2
46.67Single8UO0Constrained Epinephrine8UO0-β2-Constrained Epinephrine-GTP-Gs/β1/γ2
46.67Single8UO1Constrained Epinephrine8UO1-β2-Constrained Epinephrine-GTP; Mg-Gs/β1/γ2
46.67Single8V6UPubChem 1713924568V6U-5-HT2A-PubChem 171392456-chim(NtGi2-Gs-CtGq)/β1/γ2
46.67Single8Y45ADL58598Y45-δ-ADL5859-Gi2/β1/γ2
46.67Single8YH2Adenosine8YH2-A3A-Adenosine-Gi1/β1/γ2
46.67Single8YN3Histamine8YN3-H2-Histamine-Gs/β1/γ2
46.67Single8ZMGPimavanserin8ZMG-5-HT2A-Pimavanserin
46.67Single9AS3LSD9AS3-5-HT2A-LSD
46.67Single9AS4LSD9AS4-5-HT2A-LSD-chim(NtGi1-Gs-CtGq)/β1/γ2
46.67Single9AS8Psilocin9AS8-5-HT2A-Psilocin-chim(NtGi2L-Gs-CtGq)/β1/γ2
46.67Single9JH3CMF-0199JH3-Apelin; Apelin-CMF-019-Gi1/β1/γ2
46.67Single9JKQMETH9JKQ-TA1-METH-Gs/β1/γ2
46.67Single9L84Epinephrine9L84-β1-Epinephrine-Atazanavir-Gs/β1/γ2
46.67Single9L8LBI1671079L8L-β2-BI167107-Atazanavir-Gs/β1/γ2 ; Arrestin2
46.67Single9LRDHistamine9LRD-H1-Histamine-Gi1/β1/γ2
46.67Single9ODJMitragynine Pseudoindoxyl9ODJ-μ-Mitragynine Pseudoindoxyl-GTP; Mg-Gi1/β1/γ2
46.67Single9PXXNaloxone9PXX-μ-Naloxone-GDPβS-Gi1/β1/γ2
46.67Single9VJG8-OH-DPAT9VJG-5-HT1A-8-OH-DPAT-chim(NtGi2-Gz)/β1/γ2
46.67Consensus5ht2a_offOrthosteric Ligand6A94-5-HT2A-Zotepine 6A93-5-HT2A-Risperidone 7VOD-5-HT2A-Cariprazine 7WC8-5-HT2A-Lumateperone 8JT8-5-HT2A-(R)-IHCH-7179
46.67Consensus5ht_on_gpOrthosteric Ligand5ht1_on_gp 5ht2_on_gp 5ht4_on_gp 5ht5_on_gp 5ht6_on_gp 5ht7_on_gp
46.67Consensusnop_offOrthosteric Ligand4EA3-NOP-PubChem 10296561 5DHG-NOP-C-35 5DHH-NOP-SB-612111
46.15Single7EJKOxymetazoline7EJK-α2a-Oxymetazoline-Go/β1/γ2
46.15Single8DPILorcaserin8DPI-5-HT2C-Lorcaserin-chim(NtGi2L-Gs-CtGq)/β1/γ2
46.15Single8GGFConstrained Epinephrine8GGF-β2-Constrained Epinephrine-GTP-Gs/β1/γ2
46.15Single8POKHistamine8POK-H2-Histamine-Gs/β1/γ2
46.15Single8WC62-Phenylethylamine8WC6-TA1-2-Phenylethylamine-chim(NtGi1-Gs)/β1/γ2
46.15Single8YN9Histamine8YN9-H4-Histamine-Gi1/β1/γ2
46.15Single8YUUHistamine8YUU-H3-Histamine-Gi1/β1/γ1
46.15Single9LRCHistamine9LRC-H4-Histamine
46.15Single9LREHistamine9LRE-H4-Histamine-Gi1/β1/γ2
46.15Consensush2_on_gpOrthosteric Ligand8POK-H2-Histamine-Gs/β1/γ2
46.15Consensush3_onOrthosteric Ligand8YUU-H3-Histamine-Gi1/β1/γ1
46.15Consensush3_on_gpOrthosteric Ligand8YUU-H3-Histamine-Gi1/β1/γ1
45.83Single9KDFRES-701-39KDF-ETB-RES-701-3
45.00Single4IB4Ergotamine4IB4-5-HT2B-Ergotamine
45.00Single8DCRDobutamine8DCR-β1-Dobutamine-Gs/β1/γ2
45.00Single9BUYLM1899BUY-β2-LM189-Gi1/β1/γ2
45.00Consensusmop_offOrthosteric Ligand4DKL-μ-β-Funaltrexamine 8QOT-μ-Nanobody-E 7UL4-μ-Alvimopan
44.44Single4LDEBI1671074LDE-β2-BI167107
44.44Single4RWADIPP-NH24RWA-δ-DIPP-NH2
44.44Single5F8UCyanopindolol5F8U-β1-Cyanopindolol
44.44Single6MXTSalmeterol6MXT-β2-Salmeterol
44.44Single7DFPSpiperone7DFP-D2-Spiperone
44.44Single7DH5Mirabegron7DH5-β3-Mirabegron-Gs/β1/γ2
44.44Single7JNIOlodanrigan7JNI-AT2-Olodanrigan
44.44Single7W0LPubChem 1227019087W0L-Apelin; Apelin-PubChem 122701908-Gi1/β1/γ2
44.44Single7W0LPubChem 1227019087W0L-Apelin; Apelin-PubChem 122701908-Gi1/β1/γ2
44.44Single8JJLOlodaterol8JJL-β2-Olodaterol
44.44Single9M4QDoxazosin9M4Q-Alpha1A-Doxazosin
44.44Single9VJ6F-155999VJ6-5-HT1A-F-15599-Gi3/β1/γ2
44.44Single9WSVDAMGO9WSV-μ-DAMGO-Arrestin2
44.44Consensusgi_amineOrthosteric Ligandgi_5ht gi_muscarinic gi_adrenergic gi_dopamine gi_histamine
44.44Consensusnk1_offOrthosteric Ligand6HLP-NK1-Netupitant 6HLO-NK1-Aprepitant 6HLL-NK1-CP99994 6E59-NK1-L-760735
44.44Consensusopioid_offOrthosteric Ligandmop_off nop_off dop_off kop_off
43.75Single2VT4Cyanopindolol2VT4-β1-Cyanopindolol
43.75Single2Y04Salbutamol2Y04-β1-Salbutamol
43.75Single2YCYCyanopindolol2YCY-β1-Cyanopindolol
43.75Single3ZPRPubChem 5987543ZPR-β1-PubChem 598754-Na
43.75Single4EJ4Naltrindole4EJ4-δ-Naltrindole
43.75Single5DHGC-355DHG-NOP-C-35
43.75Single5DHHSB-6121115DHH-NOP-SB-612111
43.75Single6DRZMethysergide6DRZ-5-HT2B-Methysergide
43.75Single6PRZAlprenolol6PRZ-β2-Alprenolol
43.75Single7S0GIsoprenaline7S0G-β1-Isoprenaline-chim(Gi1-CtGs)/β1/γ2
43.75Single7SQOTAK-9257SQO-OX2-TAK-925-Gi1/β1/γ2
43.75Single7T2GMitragynine Pseudoindoxyl7T2G-μ-Mitragynine Pseudoindoxyl-Gi1/β1/γ2
43.75Single7X2CFenoldopam7X2C-D1-Fenoldopam-Fenoldopam-Gs/β1/γ2
43.75Single7XJHIsoprenaline7XJH-β3-Isoprenaline-Gs/β1/γ2
43.75Single7XTC5-CT7XTC-5-HT7-5-CT-Gs/β1/γ2
43.75Single7YACPaltusotine7YAC-SST2-Paltusotine-Gi1/β1/γ2
43.75Single8CU6LJ-45178CU6-A2A-LJ-4517
43.75Single8CU7LJ-45178CU7-A2A-LJ-4517-Na
43.75Single8JD0NAM5638JD0-mGlu2; mGlu3-Glutamate-NAM563
43.75Single8T1WCVN4248T1W-GPR6-CVN424
43.75Single8UH3Setiptiline8UH3-5-HT1E-Setiptiline-Gi1/β1/γ1
43.75Single8UWLLisuride8UWL-5-HT2A-Lisuride-chim(NtGi2-Gs-CtGq)/β1/γ2
43.75Single9BQJRO769BQJ-μ-RO76-Gi1/β1/γ2
43.75Single9CHXCarazolol9CHX-β2-Carazolol
43.75Single9D61JDTic9D61-κ-JDTic-Gi1/β1/γ2
43.75Single9DYFAsenapine9DYF-5-HT1A-Asenapine-PtdIns4P-Gi1/β1/γ2
43.75Single9KFJPubChem 1383196749KFJ-RXFP3-PubChem 138319674-Gi2/β1/γ2
43.75Single9LLAAriadne9LLA-5-HT2A-Ariadne-chim(NtGi1L-Gs-CtGq)/β1/γ2
43.75Consensus5ht2b_offOrthosteric Ligand6DRZ-5-HT2B-Methysergide
43.75Consensus5ht7_onOrthosteric Ligand7XTC-5-HT7-5-CT-Gs/β1/γ2
43.75Consensus5ht7_on_gpOrthosteric Ligand7XTC-5-HT7-5-CT-Gs/β1/γ2
43.75Consensusadenosine_on_gpOrthosteric Liganda1_on_gp a2_on_gp a3_on_gp
43.75Consensusdop_offOrthosteric Ligand4EJ4-δ-Naltrindole
43.75Consensusgi_histamineOrthosteric Ligand8JXX-H4-Clobenpropit-Gi1/β1/γ2 8JXV-H4-Clozapine-Gi1/β1/γ2 8YUU-H3-Histamine-Gi1/β1/γ1 8HN8-H4-Histamine-Gi1/β1/γ2 8HOC-H4-Imetit-Gi1/β1/γ2 8JXW-H4-VUF6884-Gi1/β1/γ2
43.75Consensusgi_orexinOrthosteric Ligand7SQO-OX2-TAK-925-Gi1/β1/γ2
42.86Single1U1911-cis-Retinal1U19-Rhodopsin-11-cis-Retinal
42.86Single2G87All-trans-Retinal2G87-Rhodopsin-All-trans-Retinal
42.86Single2I3511-cis-Retinal2I35-Rhodopsin-11-cis-Retinal
42.86Single3QAKUK-4320973QAK-A2A-UK-432097
42.86Single7E2YSerotonin7E2Y-5-HT1A-Serotonin-PtdIns4P-Gi1/β1/γ2
42.86Single7SRQLSD7SRQ-5-HT2B-LSD
42.86Single7XTBSerotonin7XTB-5-HT6-Serotonin-Gs/β1/γ2
42.86Single7YS6Serotonin7YS6-5-HT6-Serotonin-chim(NtGi1-Gs)/β1/γ2
42.86Single8EF6Morphine8EF6-μ-Morphine-Gi1/β1/γ2
42.86Single8GGYConstrained Epinephrine8GGY-β2-Constrained Epinephrine
42.86Single8JLOUlotaront8JLO-TA1-Ulotaront-Gs/β1/γ2
42.86Single8UO3Constrained Epinephrine8UO3-β2-Constrained Epinephrine-GTP; Mg-Gs/β1/γ2
42.86Single8YN2Histamine8YN2-H1-Histamine-chim(NtGi1L-Gs-CtGq)/β1/γ2
42.86Single8YN4Histamine8YN4-H2-Histamine-chim(NtGi1L-Gs-CtGq)/β1/γ2
42.86Single9AS7Psilocin9AS7-5-HT2A-Psilocin
42.86Single9IXJHistamine9IXJ-H2-Histamine-Gs/β1/γ2
42.86Single9JEDHistamine9JED-H4-Histamine-PO4-Gi1/β1/γ2
42.86Single9JEQHistamine9JEQ-H3-Histamine-Gi1/β1/γ2
42.86Single9U9VMETH9U9V-β2-METH-Gs/β1/γ2
42.86Consensush4_onOrthosteric Ligand8HN8-H4-Histamine-Gi1/β1/γ2 8HOC-H4-Imetit-Gi1/β1/γ2 8JXV-H4-Clozapine-Gi1/β1/γ2 8JXW-H4-VUF6884-Gi1/β1/γ2 8JXX-H4-Clobenpropit-Gi1/β1/γ2
42.11Single4NC3Ergotamine4NC3-5-HT2B-Ergotamine
42.11Single5X93K-87945X93-ETB-K-8794
42.11Single6BQGErgotamine6BQG-5-HT2C-Ergotamine
42.11Single6BQHRitanserin6BQH-5-HT2C-Ritanserin
42.11Single7EZCUK-4320977EZC-A2A-UK-432097
42.11Single7U2KC6-guano7U2K-μ-C6-guano-Gi1/β1/γ2
42.11Single7VGY2-Iodomelatonin7VGY-MT1-2-Iodomelatonin-Gi1/β1/γ2
42.11Single7X2DTavapadon7X2D-D1-Tavapadon-Gs/β1/γ2
42.11Single8E0GBU728E0G-μ-BU72
42.11Single8J19LY2378J19-GPR84-LY237-Gi1/β1/γ2
42.11Single9CGJC6-Quino9CGJ-δ-C6-Quino-Gi1/β1/γ2
42.11Single9M54Neuropeptide-VF9M54-NPFF2-Neuropeptide-VF-Gi1/β1/γ2
42.11Consensus5ht2c_offOrthosteric Ligand6BQH-5-HT2C-Ritanserin
42.11Consensuskop_on_gpOrthosteric Ligand8F7W-κ-Dynorphin-Gi1/β1/γ2 8DZS-κ-GR89,696-chim(NtGi2-Gz)/β1/γ2 8DZP-κ-momSalB-Gi1/β1/γ2
42.11Consensusorexin_on_gpOrthosteric Ligandox2_on_gp
41.18Single2Y00Dobutamine2Y00-β1-Dobutamine
41.18Single4RWDDIPP-NH24RWD-δ-DIPP-NH2-Na
41.18Single5JQHCarazolol5JQH-β2-Carazolol
41.18Single5OM4PubChem 1355666095OM4-A2A-PubChem 135566609-Na
41.18Single6E67BI1671076E67-β2-BI167107-Gs(CT)
41.18Single6GDGNECA6GDG-A2A-NECA-Gs/β1/γ1
41.18Single6ME72-Phenylmelatonin6ME7-MT2-2-Phenylmelatonin
41.18Single7CKXA776367CKX-D1-A77636-Gs/β1/γ2
41.18Single7EUOfMLF7EUO-FPR1-ALX-fMLF-Gi1/β1/γ2
41.18Single7LD3Adenosine7LD3-A1-Adenosine-MIPS521-Gi2/β1/γ2
41.18Single7VOEAripiprazole7VOE-5-HT2A-Aripiprazole
41.18Single7VUHJNJ-635330547VUH-GPR139-JNJ-63533054-chim(Gs-CtGq)/β1/γ2
41.18Single7X1TTaltirelin7X1T-TRH-Taltirelin-chim(NtGi2L-Gs-CtGq)/β1/γ2
41.18Single8C9WEtrumadenant8C9W-A2A-Etrumadenant
41.18Single8DZQmomSalB8DZQ-κ-momSalB-Go/β1/γ2
41.18Single8DZRGR89,6968DZR-κ-GR89,696-chim(NtGi2-Gt3)/β1/γ2
41.18Single8JXSPF-61428JXS-D1-PF-6142
41.18Single8YH0NECA8YH0-A3A-NECA-Gi1/β1/γ2
41.18Single8ZMFPubChem 1719206738ZMF-5-HT2C-PubChem 171920673
41.18Single8ZRKGSK12922638ZRK-GPR119-GSK1292263-Gs/β1/γ2
41.18Single9EE8Adenosine9EE8-A2A-Adenosine-Gs/β1/γ2
41.18Consensus5ht5_on_gpOrthosteric Ligand5ht5a_on_gp
41.18Consensus5ht5a_on_gpOrthosteric Ligand7X5H-5-HT5A-5-CT-Gi1/β1/γ2 7UM6-5-HT5A-Lisuride-chim(NtGi1-Go)/β1/γ2 7UM7-5-HT5A-Methylergometrine-chim(NtGi1-Go)/β1/γ2
41.18Consensusd1_onOrthosteric Ligand7F0T-D1-Dopamine-Gs/β1/γ2 7CKY-D1-PW0464-Gs/β1/γ2 8IRR-D1-Rotigotine-Gs/β1/γ2 7JV5-D1-SKF81297-Gs/β1/γ2 7JVP-D1-SKF83959-Gs/β1/γ2 7X2D-D1-Tavapadon-Gs/β1/γ2 7CKX-D1-A77636-Gs/β1/γ2 7JVQ-D1-Apomorphine-Gs/β1/γ2 7CKW-D1-Fenoldopam-Gs/β1/γ2
41.18Consensusgq_muscarinicOrthosteric Ligand6OIJ-M1-Iperoxo-chim(NtGi1L-G11)/β1/γ2
41.18Consensusm1_onOrthosteric Ligand6OIJ-M1-Iperoxo-chim(NtGi1L-G11)/β1/γ2
40.91Single5WF5UK-4320975WF5-A2A-UK-432097
40.00Single2PED9-cis-Retinal2PED-Rhodopsin-9-cis-Retinal
40.00Single6OBAAlprenolol6OBA-β2-Alprenolol-GTPL11074
40.00Single7DHRIsoprenaline7DHR-β2-Isoprenaline-Gs/β1/γ2
40.00Single7EJ0Norepinephrine7EJ0-α2a-Norepinephrine-Go/β1/γ2
40.00Single7LD4Adenosine7LD4-A1-Adenosine-Gi2/β1/γ2
40.00Single7LJDDopamine7LJD-D1-Dopamine-Mevidalen-Gs/β1/γ1
40.00Single7SK9CCX6627SK9-ACKR3-CCX662
40.00Single7SRRLSD7SRR-5-HT2B-LSD-chim(NtGi2L-Gs-CtGq)/β1/γ2
40.00Single7SRSLSD7SRS-5-HT2B-LSD-Arrestin2
40.00Single7T6STC-FPR 437T6S-FPR2-ALX-TC-FPR 43-Gi1/β1/γ2
40.00Single7X2FDopamine7X2F-D1-Dopamine-Mevidalen-Gs/β1/γ2
40.00Single7X5H5-CT7X5H-5-HT5A-5-CT-Gi1/β1/γ2
40.00Single7XT8Serotonin7XT8-5-HT4-Serotonin-Gs/β1/γ2
40.00Single7YJ4INSL57YJ4-RXFP4-INSL5-Gi2/β1/γ2
40.00Single8GGZConstrained Epinephrine8GGZ-β2-Constrained Epinephrine
40.00Single8IW4Spermidine8IW4-TAA9-Spermidine-chim(NtGi1-Gs)/β1/γ2
40.00Single8IWESpermidine8IWE-TAA9-Spermidine
40.00Single8JSOAMPH8JSO-TA1-AMPH-chim(NtGi1-Gs)/β1/γ2
40.00Single8UNSConstrained Epinephrine8UNS-β2-Constrained Epinephrine-GTP-Gs/β1/γ2
40.00Single8UNTConstrained Epinephrine8UNT-β2-Constrained Epinephrine-GTP-Gs/β1/γ2
40.00Single8UNXConstrained Epinephrine8UNX-β2-Constrained Epinephrine-GTP-Gs/β1/γ2
40.00Single8Y0HVUF114188Y0H-CXCR3-VUF11418
40.00Single8Y0NVUF114188Y0N-CXCR3-VUF11418-Go/β1/γ2
40.00Single8YUTAmthamine8YUT-H2-Amthamine-Gs/β1/γ2
40.00Single9EBHAdenosine9EBH-A3A-Adenosine-Gi1/β1/γ2
40.00Single9EEAAdenosine9EEA-A2A-Adenosine-Gs/β1/γ2
40.00Single9LL9DOI9LL9-5-HT2A-DOI-chim(NtGi1L-Gs-CtGq)/β1/γ2
40.00Single9LLBDOI-NBOMe9LLB-5-HT2A-DOI-NBOMe-chim(NtGi1L-Gs-CtGq)/β1/γ2
40.00Single9M0RNeuropeptide-VF9M0R-NPFF1-Neuropeptide-VF-Gi1/β1/γ2
40.00Single9UMJEP549UMJ-C3aB-EP54-Go/β1/γ2
40.00Consensus5ht1e_onOrthosteric Ligand7E33-5-HT1E-BRL-54443-Gi1/β1/γ2 8UGY-5-HT1E-Mianserin-Gi1/β1/γ1 8UH3-5-HT1E-Setiptiline-Gi1/β1/γ1
40.00Consensus5ht2_on_gpOrthosteric Ligand5ht2b_on_gp
40.00Consensus5ht2b_on_gpOrthosteric Ligand7SRR-5-HT2B-LSD-chim(NtGi2L-Gs-CtGq)/β1/γ2
40.00Consensus5ht_onOrthosteric Ligand5ht1_on 5ht2_on 5ht4_on 5ht5_on 5ht6_on 5ht7_on
40.00Consensusa1_onOrthosteric Ligand7LD4-A1-Adenosine-Gi2/β1/γ2
40.00Consensusa1_on_gpOrthosteric Ligand7LD4-A1-Adenosine-Gi2/β1/γ2
40.00Consensusgs_5htOrthosteric Ligand7XTC-5-HT7-5-CT-Gs/β1/γ2 7XTB-5-HT6-Serotonin-Gs/β1/γ2 8JLZ-5-HT6-ST1936-Gs/β1/γ2 7XT8-5-HT4-Serotonin-Gs/β1/γ2
40.00Consensusox2_onOrthosteric Ligand7L1V-OX2-PubChem 155491009-chim(NtGi1-Gs-CtGq)/β1/γ2 7SQO-OX2-TAK-925-Gi1/β1/γ2 7L1U-OX2-Orexin-chim(NtGi1-Gs-CtGq)/β1/γ2
40.00Consensusox2_on_gpOrthosteric Ligand7L1V-OX2-PubChem 155491009-chim(NtGi1-Gs-CtGq)/β1/γ2 7SQO-OX2-TAK-925-Gi1/β1/γ2 7L1U-OX2-Orexin-chim(NtGi1-Gs-CtGq)/β1/γ2
40.00Consensusrhodopsin_offOrthosteric Ligand1U19-Rhodopsin-11-cis-Retinal 2PED-Rhodopsin-9-cis-Retinal 5TE5-Rhodopsin-20-Methanoretinal
39.13Single7W40Bombesin7W40-BB2-Bombesin-chim(NtGi1L-Gq)/β1/γ2
38.89Single3PDSFAUC503PDS-β2-FAUC50
38.89Single4IAQDihydroergotamine4IAQ-5-HT1B-Dihydroergotamine
38.89Single5V54Methiothepin5V54-5-HT1B-Methiothepin
38.89Single5ZHPPubChem 1348285895ZHP-M3-PubChem 134828589
38.89Single6E59L-7607356E59-NK1-L-760735
38.89Single6J20Aprepitant6J20-NK1-Aprepitant
38.89Single6J21Aprepitant6J21-NK1-Aprepitant
38.89Single6WGTLSD6WGT-5-HT2A-LSD
38.89Single7B6WCyclazosin7B6W-α1b-Cyclazosin
38.89Single7JV5SKF812977JV5-D1-SKF81297-Gs/β1/γ2
38.89Single7XY7NECA7XY7-A2B-NECA-chim(NtGi1-Gs)/β1/γ2
38.89Single8DCSCyanopindolol8DCS-β1-Cyanopindolol-Gs/β1/γ2
38.89Single8EFLSR170188EFL-μ-SR17018-Gi1/β1/γ2
38.89Single8HDOBAY 60-65838HDO-A2B-BAY 60-6583-Gs/β1/γ2
38.89Single8HPTC5a (C-terminal peptide)8HPT-C5a1-C5a (C-terminal peptide)-Go/β1/γ2
38.89Single8JLPRalmitaront8JLP-TA1-Ralmitaront-Gs/β1/γ2
38.89Single8JXVClozapine8JXV-H4-Clozapine-Gi1/β1/γ2
38.89Single8JXWVUF68848JXW-H4-VUF6884-Gi1/β1/γ2
38.89Single8T1VPubChem 1183102098T1V-GPR6-PubChem 118310209-Na
38.89Single8UGWCGS216808UGW-A2A-CGS21680
38.89Single8YH6Namodenoson8YH6-A3A-Namodenoson-Gi1/β1/γ2
38.89Single9KUXCMPD6449KUX-Apelin; Apelin-CMPD644-Arrestin2
38.89Single9KVPSB2901579KVP-C3aB-SB290157-Go/β1/γ2
38.89Single9PY3Loperamide9PY3-μ-Loperamide-GDPβS-Gi1/β1/γ2
38.89Single9PY4Loperamide9PY4-μ-Loperamide-GDPβS-Gi1/β1/γ2
38.89Consensus5ht1_offOrthosteric Ligand5ht1b_off
38.89Consensus5ht1b_offOrthosteric Ligand5V54-5-HT1B-Methiothepin
38.89Consensusa2_onOrthosteric Liganda2b_on
38.89Consensusa2_on_gpOrthosteric Liganda2b_on_gp
38.89Consensusa2b_onOrthosteric Ligand8HDP-A2B-Adenosine-Gs/β1/γ2 7XY6-A2B-BAY 60-6583-chim(NtGi1-Gs)/β1/γ2 7XY7-A2B-NECA-chim(NtGi1-Gs)/β1/γ2 8HDO-A2B-BAY 60-6583-Gs/β1/γ2
38.89Consensusa2b_on_gpOrthosteric Ligand8HDP-A2B-Adenosine-Gs/β1/γ2 7XY6-A2B-BAY 60-6583-chim(NtGi1-Gs)/β1/γ2 7XY7-A2B-NECA-chim(NtGi1-Gs)/β1/γ2 8HDO-A2B-BAY 60-6583-Gs/β1/γ2
38.89Consensusgs_adenosineOrthosteric Ligand8HDP-A2B-Adenosine-Gs/β1/γ2 8HDO-A2B-BAY 60-6583-Gs/β1/γ2 7XY7-A2B-NECA-chim(NtGi1-Gs)/β1/γ2 7XY6-A2B-BAY 60-6583-chim(NtGi1-Gs)/β1/γ2
38.89Consensusgs_nucleotideOrthosteric Ligandgs_adenosine
38.89Consensush4_on_gpOrthosteric Ligand8HN8-H4-Histamine-Gi1/β1/γ2 8HOC-H4-Imetit-Gi1/β1/γ2 8JXV-H4-Clozapine-Gi1/β1/γ2 8JXW-H4-VUF6884-Gi1/β1/γ2 8JXX-H4-Clobenpropit-Gi1/β1/γ2
38.89Consensustachykinin_offOrthosteric Ligandnk1_off
38.46Single8GEIConstrained Epinephrine8GEI-β2-Constrained Epinephrine-Gs/β1/γ2
38.46Single8IWM2-Phenylethylamine8IWM-TAA9-2-Phenylethylamine
38.46Single9EE9Adenosine9EE9-A2A-Adenosine-Gs/β1/γ2
38.46Consensusgs_histamineOrthosteric Ligand8POK-H2-Histamine-Gs/β1/γ2
38.46Consensush2_onOrthosteric Ligand8POK-H2-Histamine-Gs/β1/γ2
38.10Single7WVWfMYFINILTL7WVW-FPR2-ALX-fMYFINILTL-Gi2/β1/γ2
38.10Consensussst5_onOrthosteric Ligand8X8L-SST5-Cortistatin-14-chim(NtGi1-Gs-CtGi1)/β1/γ2 8X8N-SST5-Octreotide-chim(NtGi1-Gs-CtGi1)/β1/γ2
37.50Single2YDOAdenosine2YDO-A2A-Adenosine
37.50Single4N6HNaltrindole4N6H-δ-Naltrindole-Na
37.50Single5K2BZM-2413855K2B-A2A-ZM-241385-Na
37.50Single6IQLL7458706IQL-D4-L745870
37.50Single6KUXRS799486KUX-α2a-RS79948
37.50Single6TPGEMPA6TPG-OX2-EMPA
37.50Single6TPNHTL66416TPN-OX2-HTL6641
37.50Single6ZG9GSK10347026ZG9-M1-GSK1034702
37.50Single7CKWFenoldopam7CKW-D1-Fenoldopam-Gs/β1/γ2
37.50Single7F0TDopamine7F0T-D1-Dopamine-Gs/β1/γ2
37.50Single7F1ZDopamine7F1Z-D1-Dopamine-GDP-Gs/β1/γ2
37.50Single7F61PF-036547467F61-H3-PF-03654746
37.50Single7T32ZM-2413857T32-A2A-ZM-241385
37.50Single7UL3Famotidine7UL3-H2-Famotidine
37.50Single7VUGJNJ-635330547VUG-GPR139-JNJ-63533054-Gi1/β1/γ2
37.50Single8DPGPsilocin8DPG-5-HT2C-Psilocin-chim(NtGi2L-Gs-CtGq)/β1/γ2
37.50Single8FCZ11-cis-Retinal8FCZ-Rhodopsin-11-cis-Retinal
37.50Single8HNMVUF112228HNM-CXCR3-VUF11222-Gi1/β1/γ2
37.50Single8XGOTAK4488XGO-Kiss1-TAK448-chim(NtGi1-Gq)/β1/γ2
37.50Single8ZPMAMD0708ZPM-CXCR4-AMD070
37.50Single9ARXSerotonin9ARX-5-HT2A-Serotonin
37.50Single9KUWCMPD6449KUW-Apelin; Apelin-CMPD644-Arrestin2 ; Arrestin2
37.50Single9LL8Psilocin9LL8-5-HT2A-Psilocin-Gi1/β1/γ2
37.50Single9ODLMitragynine Pseudoindoxyl9ODL-μ-Mitragynine Pseudoindoxyl-GTP; Mg-Gi1/β1/γ2
37.50Single9P1TZM-2413859P1T-A2A-ZM-241385
37.50Single9W6W5-CT9W6W-5-HT5A-5-CT-Gi1/β1/γ2
37.50Consensusadenosine_onOrthosteric Liganda1_on a2_on a3_on
37.50Consensusgi_adenosineOrthosteric Ligand7LD4-A1-Adenosine-Gi2/β1/γ2 8X17-A3A-Namodenoson-Gi1/β1/γ2 8X16-A3A-Piclidenoson-Gi1/β1/γ2
37.50Consensusopioid_onOrthosteric Ligandmop_on nop_on dop_on kop_on
37.50Consensusopsins_offOrthosteric Ligandrhodopsin_off
37.50Consensussensory_offOrthosteric Ligandopsins_off
37.04Consensusbb2_onOrthosteric Ligand7W40-BB2-Bombesin-chim(NtGi1L-Gq)/β1/γ2 7W3Z-BB2-Gastrin Releasing Peptide-chim(NtGi1L-Gq)/β1/γ2
37.04Consensusbb2_on_gpOrthosteric Ligand7W40-BB2-Bombesin-chim(NtGi1L-Gq)/β1/γ2 7W3Z-BB2-Gastrin Releasing Peptide-chim(NtGi1L-Gq)/β1/γ2
37.04Consensusbombesin_onOrthosteric Ligandbb2_on
37.04Consensusbombesin_on_gpOrthosteric Ligandbb2_on_gp
37.04Consensusgq_bombesinOrthosteric Ligand7W40-BB2-Bombesin-chim(NtGi1L-Gq)/β1/γ2 7W3Z-BB2-Gastrin Releasing Peptide-chim(NtGi1L-Gq)/β1/γ2
36.84Single2YCXCyanopindolol2YCX-β1-Cyanopindolol
36.84Single5UNHPubChem 1264564065UNH-AT2-PubChem 126456406
36.84Single7EXDLasmiditan7EXD-5-HT1F-Lasmiditan-Gi1/β1/γ2
36.84Single7L1VPubChem 1554910097L1V-OX2-PubChem 155491009-chim(NtGi1-Gs-CtGq)/β1/γ2
36.84Single7SUSPubChem 1227019087SUS-Apelin-PubChem 122701908
36.84Single7WCNAR2314537WCN-GPR119-AR231453-Gs/β1/γ2
36.84Single8J6DEP1418J6D-C3aB-EP141-Go/β1/γ2
36.84Single8JWY2-1188JWY-A2A-2-118
36.84Single8JWZEtrumadenant8JWZ-A2A-Etrumadenant-Na
36.84Single9EBIPiclidenoson9EBI-A3A-Piclidenoson-chim(NtGi1L-Gs-CtGi1)/β1/γ2
36.84Single9WSWEndomorphin9WSW-μ-Endomorphin-chim(NtGi1-Gz)/β1/γ2
36.84Single9YDQDADLE9YDQ-δ-DADLE-MIPS3614-chim(NtGi1L-Gs-CtGi1)/β1/γ2
36.84Consensus5ht1f_onOrthosteric Ligand7EXD-5-HT1F-Lasmiditan-Gi1/β1/γ2
36.84Consensus5ht1f_on_gpOrthosteric Ligand7EXD-5-HT1F-Lasmiditan-Gi1/β1/γ2
36.84Consensuskop_onOrthosteric Ligand8F7W-κ-Dynorphin-Gi1/β1/γ2 8DZS-κ-GR89,696-chim(NtGi2-Gz)/β1/γ2 8DZP-κ-momSalB-Gi1/β1/γ2
36.84Consensusorexin_onOrthosteric Ligandox2_on
36.36Single5XJM(Sar1,Ile8)-Angiotensin II5XJM-AT2-(Sar1,Ile8)-Angiotensin II
36.36Single6DO1(Sar1,Ile8)-Angiotensin II6DO1-AT1-(Sar1,Ile8)-Angiotensin II
36.36Single6HLOAprepitant6HLO-NK1-Aprepitant
36.36Single9IQVMuscarinic toxin 39IQV-Alpha1A-Muscarinic toxin 3
36.00Single9KFKRelaxin-39KFK-RXFP4-Relaxin-3-Gi2/β1/γ2
36.00Consensusopioid_on_gpOrthosteric Ligandmop_on_gp nop_on_gp dop_on_gp kop_on_gp
35.71Single2J4Y11-cis-Retinal2J4Y-Rhodopsin-11-cis-Retinal
35.71Single3C9M11-cis-Retinal3C9M-Rhodopsin-11-cis-Retinal
35.71Single7F23Dopamine7F23-D1-Dopamine-GDP-Gs/β1/γ2
35.71Single8GGEConstrained Epinephrine8GGE-β2-Constrained Epinephrine-GTP-Gs/β1/γ2
35.71Single8ITFDMCHA8ITF-TAA9-DMCHA-chim(NtGi1-Gs)/β1/γ2
35.71Single8IW72-Phenylethylamine8IW7-TAA9-2-Phenylethylamine-chim(NtGi1-Gs)/β1/γ2
35.71Single8JXTHistamine8JXT-H4-Histamine-PO4-Gi1/β1/γ2
35.71Single9JG1Adriforant9JG1-H4-Adriforant
35.71Single9LL7DOI9LL7-5-HT2A-DOI-Gi1/β1/γ2
35.71Consensus5ht2_onOrthosteric Ligand5ht2b_on
35.71Consensus5ht2b_onOrthosteric Ligand7SRR-5-HT2B-LSD-chim(NtGi2L-Gs-CtGq)/β1/γ2
35.29Single1HZX11-cis-Retinal1HZX-Rhodopsin-11-cis-Retinal
35.29Single2Y01Dobutamine2Y01-β1-Dobutamine
35.29Single2Y02Carmoterol2Y02-β1-Carmoterol
35.29Single3EMLZM-2413853EML-A2A-ZM-241385
35.29Single5K2AZM-2413855K2A-A2A-ZM-241385-Na
35.29Single5OLZPubChem 1355666095OLZ-A2A-PubChem 135566609-Na
35.29Single5OM1PubChem 1355666095OM1-A2A-PubChem 135566609-Na
35.29Single5UIGPubChem 1240811965UIG-A2A-PubChem 124081196
35.29Single5VRAZM-2413855VRA-A2A-ZM-241385-Na
35.29Single6D27CAY104716D27-DP2-CAY10471
35.29Single6DRXLisuride6DRX-5-HT2B-Lisuride
35.29Single6S0LZM-2413856S0L-A2A-ZM-241385
35.29Single6TOTLemborexant6TOT-OX1-Lemborexant
35.29Single7BU7BI1671077BU7-β1-BI167107
35.29Single7JOZPubChem 752020227JOZ-D1-PubChem 75202022-Gs/β1/γ2
35.29Single7M3JNPS-2143; PO47M3J-CaS; CaS-NPS-2143; PO4
35.29Single7SCGFH2107SCG-μ-FH210-Gi1/β1/γ2
35.29Single7UM55-CT7UM5-5-HT5A-5-CT-chim(NtGi1-Go)/β1/γ2
35.29Single7UM6Lisuride7UM6-5-HT5A-Lisuride-chim(NtGi1-Go)/β1/γ2
35.29Single7VIES1P7VIE-S1P1-S1P-Gi1/β1/γ2
35.29Single7WC8Lumateperone7WC8-5-HT2A-Lumateperone
35.29Single8CICEtrumadenant8CIC-A2A-Etrumadenant-Na
35.29Single8DZSGR89,6968DZS-κ-GR89,696-chim(NtGi2-Gz)/β1/γ2
35.29Single8EFQDAMGO8EFQ-μ-DAMGO-Gi1/β1/γ2
35.29Single8JLZST19368JLZ-5-HT6-ST1936-Gs/β1/γ2
35.29Single8JT8(R)-IHCH-71798JT8-5-HT2A-(R)-IHCH-7179
35.29Single8UGYMianserin8UGY-5-HT1E-Mianserin-Gi1/β1/γ1
35.29Single8X17Namodenoson8X17-A3A-Namodenoson-Gi1/β1/γ2
35.29Single8YH5Riboprine8YH5-A3A-Riboprine-Gi1/β1/γ2
35.29Single9H37PubChem 1756706469H37-A2A-PubChem 175670646-Na
35.29Single9KUXCMPD6449KUX-Apelin; Apelin-CMPD644-Arrestin2
35.29Single9P1SZM-2413859P1S-A2A-ZM-241385
35.29Consensus5ht5_onOrthosteric Ligand5ht5a_on
35.29Consensus5ht5a_onOrthosteric Ligand7X5H-5-HT5A-5-CT-Gi1/β1/γ2 7UM6-5-HT5A-Lisuride-chim(NtGi1-Go)/β1/γ2 7UM7-5-HT5A-Methylergometrine-chim(NtGi1-Go)/β1/γ2
35.29Consensus5ht6_onOrthosteric Ligand7XTB-5-HT6-Serotonin-Gs/β1/γ2 8JLZ-5-HT6-ST1936-Gs/β1/γ2
35.29Consensus5ht6_on_gpOrthosteric Ligand7XTB-5-HT6-Serotonin-Gs/β1/γ2 8JLZ-5-HT6-ST1936-Gs/β1/γ2
35.29Consensusa3_onOrthosteric Liganda3a_on
35.00Single5UNGPubChem 157800525UNG-AT2-PubChem 15780052
35.00Single6DDFDAMGO6DDF-μ-DAMGO-Gi1/β1/γ2
35.00Single7UM4AS26747237UM4-5-HT5A-AS2674723
35.00Single8XIOL7975918XIO-SST1-L797591-chim(NtGi1-Gs-CtGi1)/β1/γ2
35.00Single9WP9S1P9WP9-S1P3-S1P-chim(NtGi2L-Gs-CtGq)/β1/γ2
35.00Single9YDPDADLE9YDP-δ-DADLE-chim(NtGi1L-Gs-CtGi1)/β1/γ2
35.00Single9YDRDADLE9YDR-δ-DADLE-MIPS3983-chim(NtGi1L-Gs-CtGi1)/β1/γ2
35.00Consensusclass-a_onOrthosteric Ligandsensory_on alicarboxylic_on amine_on lipid_on nucleotide_on peptide_on protein_on
35.00Consensuspeptide_offOrthosteric Ligandcck_off angiotensin_off bombesin_off endothelin_off ghrelin_off npy_off opioid_off orexin_off somatostatin_off tachykinin_off vasop-oxy_off neurotensin_off
35.00Consensusprostanoid_offOrthosteric Ligandep_off dp_off
34.78Single8XGUTAK4488XGU-Kiss1-TAK448-Gi1/β1/γ2
34.78Single8XIQL7967788XIQ-SST3-L796778-chim(NtGi1-Gs-CtGi1)/β1/γ2
34.78Consensusangiotensin_onOrthosteric Ligandat1_on
34.78Consensusat1_onOrthosteric Ligand7F6G-AT1-(Sar1)-Angiotensin II-Gq/β1/γ2
34.78Consensusgi_somatostatinOrthosteric Ligand7WIC-SST2-Somatostatin-14-Gi1/β1/γ2 7XMS-SST4-Somatostatin-14-Gi1/β1/γ2 8X8L-SST5-Cortistatin-14-chim(NtGi1-Gs-CtGi1)/β1/γ2 7XMT-SST4-J-2156-Gi1/β1/γ2 7WIG-SST2-L-054264-Gi1/β1/γ2 8X8N-SST5-Octreotide-chim(NtGi1-Gs-CtGi1)/β1/γ2 7YAE-SST2-Octreotide-Gi1/β1/γ2 7YAC-SST2-Paltusotine-Gi1/β1/γ2
34.78Consensuspeptide_offonOrthosteric Ligandpeptide_off peptide_on
34.78Consensussomatostatin_onOrthosteric Ligandsst2_on sst4_on sst5_on
34.78Consensussomatostatin_on_gpOrthosteric Ligandsst2_on_gp sst4_on_gp sst5_on_gp
34.62Single7WVYAmyloid-Beta427WVY-FPR2-ALX-Amyloid-β42-Gi2/β1/γ2
34.62Single8FEG(DNCP)-Beta-Naloxamine8FEG-κ-(DNCP)-β-Naloxamine-Gi1/β1/γ2
34.62Consensusgq_peptideOrthosteric Ligandgq_cck gq_kisspeptin gq_bradykinin gq_bombesin gq_angiotensin
33.33Single1L9H11-cis-Retinal1L9H-Rhodopsin-11-cis-Retinal
33.33Single3PBLEticlopride3PBL-D3-Eticlopride
33.33Single5CGCHTL142425CGC-mGlu5-HTL14242
33.33Single5IUAQ274563485IUA-A2A-Q27456348-Na
33.33Single5N2SPSB365N2S-A1-PSB36
33.33Single5NM2ZM-2413855NM2-A2A-ZM-241385-Na
33.33Single5TE520-Methanoretinal5TE5-Rhodopsin-20-Methanoretinal
33.33Single5TVNLSD5TVN-5-HT2B-LSD
33.33Single5WF6UK-4320975WF6-A2A-UK-432097
33.33Single5WQCEMPA5WQC-OX2-EMPA
33.33Single5XPRBosentan5XPR-ETB-Bosentan
33.33Single6D26Fevipiprant6D26-DP2-Fevipiprant
33.33Single6HLPNetupitant6HLP-NK1-Netupitant
33.33Single6I9K9-cis-Retinal6I9K-Rhodopsin-9-cis-Retinal
33.33Single6IGLIRL16206IGL-ETB-IRL1620
33.33Single6JODAngiotensin II6JOD-AT2-Angiotensin II
33.33Single6LPLZM-2413856LPL-A2A-ZM-241385-Na
33.33Single6ME82-Phenylmelatonin6ME8-MT2-2-Phenylmelatonin
33.33Single6S0QZM-2413856S0Q-A2A-ZM-241385
33.33Single6WQAZM-2413856WQA-A2A-ZM-241385-Na
33.33Single7DD5Ca; Ca; Tryptophan; NPS-21437DD5-CaS; CaS-Ca-Ca; Ca; Tryptophan; NPS-2143
33.33Single7DD7Ca; Ca; Tryptophan; Evocalcet7DD7-CaS; CaS-Ca-Ca; Ca; Tryptophan; Evocalcet
33.33Single7F6G(Sar1)-Angiotensin II7F6G-AT1-(Sar1)-Angiotensin II-Gq/β1/γ2
33.33Single7M3JNPS-2143; PO47M3J-CaS; CaS-NPS-2143; PO4
33.33Single7RM5ZM-2413857RM5-A2A-ZM-241385-Na
33.33Single7SBFPZM217SBF-μ-PZM21-Gi1/β1/γ2
33.33Single7V68Iperoxo7V68-M4-Iperoxo-LY2119620-Gi1/β1/γ2
33.33Single7WIGL-0542647WIG-SST2-L-054264-Gi1/β1/γ2
33.33Single7XN9L-0545227XN9-SST2-L-054522
33.33Single7XT9Serotonin7XT9-5-HT4-Serotonin-Gs/β1/γ2
33.33Single7XTASerotonin7XTA-5-HT4-Serotonin-Gi1/β1/γ2
33.33Single7XY6BAY 60-65837XY6-A2B-BAY 60-6583-chim(NtGi1-Gs)/β1/γ2
33.33Single7YAEOctreotide7YAE-SST2-Octreotide-Gi1/β1/γ2
33.33Single8FYNZM-2413858FYN-A2A-ZM-241385-Na
33.33Single8GNEKW-63568GNE-A2A-KW-6356-Na
33.33Single8IA7Cholecystokinin-88IA7-CCKB-Cholecystokinin-8-chim(NtGi1L-Gq)/β1/γ2
33.33Single8S4DCMF-0198S4D-Apelin-CMF-019
33.33Single8UO4Constrained Epinephrine8UO4-β2-Constrained Epinephrine-GTP; Mg-Gs/β1/γ2
33.33Single8X8LCortistatin-148X8L-SST5-Cortistatin-14-chim(NtGi1-Gs-CtGi1)/β1/γ2
33.33Single8Y72Peptide8Y72-μ-Peptide-BMS-986122-Gi1/β1/γ2
33.33Single8YH3N-methyladenosine8YH3-A3A-N-methyladenosine-Gi1/β1/γ2
33.33Single8YNSSNAP-948478YNS-MCH1-SNAP-94847
33.33Single8ZBISomatostatin-148ZBI-SST3-Somatostatin-14-Gi1/β1/γ2
33.33Single9ARYSerotonin9ARY-5-HT2A-Serotonin-chim(NtGi1-Gs-CtGq)/β1/γ2
33.33Single9AXFCa; Ca; Ca; Cyclomethyltryptophan; R-568; PO49AXF-CaS; CaS-Ca-Ca; Ca; Ca; Cyclomethyltryptophan; R-568; PO4-chim(NtGi1-Gs-CtGq)/β1/γ2
33.33Single9BKKCholecystokinin-89BKK-CCKA-Cholecystokinin-8-chim(NtGi1-Gs-CtGq)/β1/γ2
33.33Single9EHSLUF76029EHS-A3A-LUF7602
33.33Single9I52A1IZU9I52-D1-A1IZU-Gs/β1/γ2
33.33Single9KUWCMPD6449KUW-Apelin; Apelin-CMPD644-Arrestin2 ; Arrestin2
33.33Single9KZ8EP679KZ8-C3aB-EP67-Go/β1/γ2
33.33Single9L74S1P d16:19L74-S1P3-S1P d16:1-chim(NtGi2L-Gs-CtGq)/β1/γ2
33.33Consensus5ht4_onOrthosteric Ligand7XTA-5-HT4-Serotonin-Gi1/β1/γ2
33.33Consensus5ht4_on_gpOrthosteric Ligand7XTA-5-HT4-Serotonin-Gi1/β1/γ2
33.33Consensusa3_on_gpOrthosteric Liganda3a_on_gp
33.33Consensusa3a_onOrthosteric Ligand8X17-A3A-Namodenoson-Gi1/β1/γ2 8X16-A3A-Piclidenoson-Gi1/β1/γ2
33.33Consensusa3a_on_gpOrthosteric Ligand8X17-A3A-Namodenoson-Gi1/β1/γ2 8X16-A3A-Piclidenoson-Gi1/β1/γ2
33.33Consensusadenosine_offOrthosteric Liganda1_off a2_off
33.33Consensusangiotensin_on_gpOrthosteric Ligandat1_on_gp
33.33Consensusat1_on_gpOrthosteric Ligand7F6G-AT1-(Sar1)-Angiotensin II-Gq/β1/γ2
33.33Consensusd3_offOrthosteric Ligand3PBL-D3-Eticlopride
33.33Consensusdp2_offOrthosteric Ligand6D26-DP2-Fevipiprant
33.33Consensusdp_offOrthosteric Liganddp2_off
33.33Consensusgq_angiotensinOrthosteric Ligand7F6G-AT1-(Sar1)-Angiotensin II-Gq/β1/γ2
33.33Consensuspeptide_offon_gpOrthosteric Ligandpeptide_on_gp peptide_off
33.33Consensussst2_onOrthosteric Ligand7WIC-SST2-Somatostatin-14-Gi1/β1/γ2 7WIG-SST2-L-054264-Gi1/β1/γ2 7YAE-SST2-Octreotide-Gi1/β1/γ2 7YAC-SST2-Paltusotine-Gi1/β1/γ2
33.33Consensussst2_on_gpOrthosteric Ligand7WIC-SST2-Somatostatin-14-Gi1/β1/γ2 7WIG-SST2-L-054264-Gi1/β1/γ2 7YAE-SST2-Octreotide-Gi1/β1/γ2 7YAC-SST2-Paltusotine-Gi1/β1/γ2
32.14Single8ZJETAK4488ZJE-Kiss1-TAK448-chim(NtGi1-Gq)/β1/γ1
32.14Consensusgi_endothelinOrthosteric Ligand8IY5-ETB-Endothelin-1-Gi1/β1/γ2 8HBD-ETB-IRL1620-Gi1/β1/γ2
32.00Single7X9CPancreatic Hormone7X9C-Y4-Pancreatic Hormone-Gi1/β1/γ2
32.00Single8HCXEndothelin-18HCX-ETB-Endothelin-1-chim(NtGi2L-Gs-CtGq)/β1/γ2
32.00Single8ZRTEndothelin-18ZRT-ETB-Endothelin-1
32.00Consensuscml1_on_gpOrthosteric Ligand7YKD-CML1-Chemerin-9-Gi1/β1/γ2
32.00Consensussst5_on_gpOrthosteric Ligand8X8L-SST5-Cortistatin-14-chim(NtGi1-Gs-CtGi1)/β1/γ2 8X8N-SST5-Octreotide-chim(NtGi1-Gs-CtGi1)/β1/γ2
31.82Single5UNFPubChem 157800525UNF-AT2-PubChem 15780052
31.82Single7F8XNN90567F8X-CCKA-NN9056
31.82Single7W0PElabela7W0P-Apelin-Elabela-Gi1/β1/γ2
31.82Single7WICSomatostatin-147WIC-SST2-Somatostatin-14-Gi1/β1/γ2
31.82Single7WKDTRH7WKD-TRH-TRH-chim(NtGi1-Gs-CtGq)/β1/γ2
31.82Single9UYJChemerin-99UYJ-CML2-Chemerin-9-Arrestin2
31.82Consensuschemerin_on_gpOrthosteric Ligandcml1_on_gp
31.82Consensusclass-a_on_gpOrthosteric Ligandsensory_on_gp alicarboxylic_on_gp amine_on_gp lipid_on_gp nucleotide_on_gp peptide_on_gp protein_on_gp
31.82Consensuscml1_onOrthosteric Ligand7YKD-CML1-Chemerin-9-Gi1/β1/γ2
31.82Consensusgi_chemerinOrthosteric Ligand7YKD-CML1-Chemerin-9-Gi1/β1/γ2
31.58Single4DJHJDTic4DJH-κ-JDTic
31.58Single4Z34ONO-97803074Z34-LPA1-ONO-9780307
31.58Single6DDEDAMGO6DDE-μ-DAMGO-Gi1/β1/γ2
31.58Single6KO5PubChem 574000026KO5-Ghrelin-PubChem 57400002
31.58Single7EW1Siponimod7EW1-S1P5-Siponimod-Gi1/β1/γ2
31.58Single7EW7SEW28717EW7-S1P1-SEW2871-Gi1/β1/γ2
31.58Single7M8W15r-Methyl-PGD27M8W-DP2-15r-Methyl-PGD2-Na
31.58Single7WVXHumanin7WVX-FPR2-ALX-Humanin-Gi2/β1/γ2
31.58Single7XTQR3997XTQ-GPBA-R399-Gs/β1/γ2
31.58Single8ID39-Hydroxystearic acid8ID3-FFA4-9-Hydroxystearic acid-Gi1/β1/γ2
31.58Single8WU1MDMB-Fubinaca8WU1-CB1-MDMB-Fubinaca-Arrestin2
31.58Single8X16Piclidenoson8X16-A3A-Piclidenoson-Gi1/β1/γ2
31.58Single8XJMLatanoprost8XJM-FP-alpha-Latanoprost-chim(NtGi2-Gs-CtGq)/β1/γ2
31.58Single8Y73Peptide8Y73-μ-Peptide-MPAM-15-Gi1/β1/γ2
31.58Single8ZWFJR14a8ZWF-C3aB-JR14a
31.58Single9I54PubChem 1764520919I54-D1-PubChem 176452091-Gs/β1/γ2
31.58Single9IK9Lanreotide9IK9-SST1-Lanreotide-Gi1/β1/γ2
31.58Single9WSTDAMGO9WST-μ-DAMGO-chim(NtGi1-Gz)/β1/γ2
31.58Consensusclass-a_offOrthosteric Ligandsensory_off alicarboxylic_off amine_off lipid_off nucleotide_off peptide_off protein_off
31.58Consensuskop_offOrthosteric Ligand4DJH-κ-JDTic
31.58Consensuss1p5_onOrthosteric Ligand7EW1-S1P5-Siponimod-Gi1/β1/γ2
31.58Consensuss1p5_on_gpOrthosteric Ligand7EW1-S1P5-Siponimod-Gi1/β1/γ2
31.25Single1GZM11-cis-Retinal1GZM-Rhodopsin-11-cis-Retinal
31.25Single3C9L11-cis-Retinal3C9L-Rhodopsin-11-cis-Retinal
31.25Single3V2WPubChem 518926453V2W-S1P1-PubChem 51892645
31.25Single3VGAZM-2413853VGA-A2A-ZM-241385-Antibody
31.25Single6AKXA4R6AKX-CCR5-A4R
31.25Single6AKYMaraviroc6AKY-CCR5-Maraviroc
31.25Single6B73MP11046B73-κ-MP1104
31.25Single6TODEMPA6TOD-OX1-EMPA-Na
31.25Single7F1ODopamine7F1O-D1-Dopamine-GDP; Mg-Gs/β1/γ2
31.25Single7F8ULintitript7F8U-CCKA-Lintitript
31.25Single7M3ECa; Ca; Tryptophan; NPS-21437M3E-CaS; CaS-Ca; Ca; Tryptophan; NPS-2143
31.25Single7M3ECa; Ca; Tryptophan; NPS-21437M3E-CaS; CaS-Ca; Ca; Tryptophan; NPS-2143
31.25Single7M3FCa; Ca; Tryptophan; Cinacalcet7M3F-CaS; CaS-Ca; Ca; Tryptophan; Cinacalcet
31.25Single7VUJJNJ-635330547VUJ-GPR139-JNJ-63533054-GDP-chim(Gs-CtGq)/β1/γ2
31.25Single7W0MPubChem 1227019087W0M-Apelin-PubChem 122701908-Gi1/β1/γ2
31.25Single8A6CAll-trans-Retinal8A6C-Rhodopsin-All-trans-Retinal
31.25Single8A6DAll-trans-Retinal8A6D-Rhodopsin-All-trans-Retinal
31.25Single8A6EAll-trans-Retinal8A6E-Rhodopsin-All-trans-Retinal
31.25Single8DU3PubChem 1055260648DU3-A2A-PubChem 105526064
31.25Single8EFOPZM218EFO-μ-PZM21-Gi1/β1/γ2
31.25Single8GNGIstradefylline8GNG-A2A-Istradefylline
31.25Single8HDPAdenosine8HDP-A2B-Adenosine-Gs/β1/γ2
31.25Single8RW0Istradefylline8RW0-A2A-Istradefylline-Na
31.25Single8YYWAlpha-ketoglutarate8YYW-Oxoglutarate-α-ketoglutarate-α-ketoglutarate-chim(Gi1-CtGq)/β1/γ2
31.25Single9H2XPubChem 1756706449H2X-A2A-PubChem 175670644-Na
31.25Single9J5VCpY9J5V-LPA1-CpY-Gi1/β1/γ2
31.25Consensuss1p1_offOrthosteric Ligand3V2W-S1P1-PubChem 51892645
31.25Consensussensory_offonOrthosteric Ligandsensory_off sensory_on
31.25Consensussensory_offon_gpOrthosteric Ligandsensory_on_gp sensory_on
31.03Consensusetb_on_gpOrthosteric Ligand8IY5-ETB-Endothelin-1-Gi1/β1/γ2 8HBD-ETB-IRL1620-Gi1/β1/γ2
30.77Single3PXOAll-trans-Retinal3PXO-Rhodopsin-All-trans-Retinal
30.77Single5DYSAll-trans-Retinal5DYS-Rhodopsin-All-trans-Retinal
30.77Single7F8VGastrin-177F8V-CCKB-Gastrin-17-Gi2/β1/γ2
30.77Single7YKDChemerin-97YKD-CML1-Chemerin-9-Gi1/β1/γ2
30.77Single8H0PNMB308H0P-BB1-NMB30-chim(NtGi1-Gs-CtGq)/β1/γ2
30.77Single8XVEBQ30208XVE-ETB-BQ3020-chim(Gs-CtGq)/β1/γ2
30.77Single9JIDNiacin9JID-HCA3-Niacin-Gi1/β1/γ2
30.77Consensusgi_peptideOrthosteric Ligandgi_cck gi_apelin gi_compl-pept gi_endothelin gi_formylpeptide gi_galanin gi_ghrelin gi_npy gi_neurotensin gi_opioid gi_orexin gi_relaxin gi_somatostatin
30.77Consensusnpy4_onOrthosteric Ligand7X9C-Y4-Pancreatic Hormone-Gi1/β1/γ2
30.77Consensusnpy4_on_gpOrthosteric Ligand7X9C-Y4-Pancreatic Hormone-Gi1/β1/γ2
30.43Single7DDZJNJ-310200287DDZ-Y2-JNJ-31020028
30.43Single7RKMCX3CL17RKM-US28-CX3CL1-Gi1/β1/γ2
30.43Single8SG1Chemerin-98SG1-CML1-Chemerin-9-Gi1/β1/γ2
30.43Single9IK8Pasireotide9IK8-SST1-Pasireotide-Gi1/β1/γ2
30.43Single9KFIRelaxin-39KFI-RXFP3-Relaxin-3-Gi2/β1/γ2
30.43Consensuscckb_onOrthosteric Ligand8IA7-CCKB-Cholecystokinin-8-chim(NtGi1L-Gq)/β1/γ2 7XOW-CCKB-Sulfated Gastrin-(10-17)-chim(NtGi1-Gq)/β1/γ2 7F8V-CCKB-Gastrin-17-Gi2/β1/γ2
30.43Consensusghrelin_onOrthosteric Ligand7NA7-Ghrelin-Ghrelin-Gi1/β1/γ2 7F9Z-Ghrelin-GHRP-6-chim(NtGi1-Gs-CtGq)/β1/γ2 7NA8-Ghrelin-Ibutamoren-Gi1/β1/γ2
30.43Consensusghrelin_on_gpOrthosteric Ligand7NA7-Ghrelin-Ghrelin-Gi1/β1/γ2 7F9Z-Ghrelin-GHRP-6-chim(NtGi1-Gs-CtGq)/β1/γ2 7NA8-Ghrelin-Ibutamoren-Gi1/β1/γ2
30.43Consensusgi_cckOrthosteric Ligand7EZH-CCKA-Cholecystokinin-8-Gi1/β1/γ2 7F8V-CCKB-Gastrin-17-Gi2/β1/γ2
30.43Consensusgi_ghrelinOrthosteric Ligand7NA7-Ghrelin-Ghrelin-Gi1/β1/γ2 7NA8-Ghrelin-Ibutamoren-Gi1/β1/γ2
30.43Consensusnpy2_offOrthosteric Ligand7DDZ-Y2-JNJ-31020028
30.43Consensuss1p3_on_gpOrthosteric Ligand7EW3-S1P3-S1P-Gi1/β1/γ2 7EW4-S1P3-CYM-5541-Gi1/β1/γ2 7EW2-S1P3-FTY720-P-Gi1/β1/γ2
30.00Single4Z36ONO-30805734Z36-LPA1-ONO-3080573
30.00Single7EPENAM5637EPE-mGlu2-NAM563
30.00Single7EVYSiponimod7EVY-S1P1-Siponimod-Gi1/β1/γ2
30.00Single7WCMMBX-29827WCM-GPR119-MBX-2982-Gs/β1/γ2
30.00Single7XW9TRH7XW9-TRH-TRH-chim(NtGi1L-Gs-CtGq)/β1/γ2
30.00Single8I9AEP548I9A-C3aB-EP54-chim(NtGi1-Gs-CtGq)/β1/γ2
30.00Single8VHFMBX-29828VHF-GPR119-MBX-2982-Gs/β1/γ2
30.00Single8X8NOctreotide8X8N-SST5-Octreotide-chim(NtGi1-Gs-CtGi1)/β1/γ2
30.00Single9WXMGPR15L(CT)9WXM-GPR15-GPR15L(CT)-Gi3/β1/γ2
30.00Consensusc3a_onOrthosteric Ligand8HK2-C3aB-C3a-Gi1/β1/γ2 8IA8-C3aB-E7 peptide-Gi1/β1/γ2
30.00Consensuscannabinoid_offOrthosteric Ligandcb2_off cb1_off
30.00Consensuslpa1_offOrthosteric Ligand4Z36-LPA1-ONO-3080573 4Z35-LPA1-ONO-9910539 4Z34-LPA1-ONO-9780307
30.00Consensuslpa_offOrthosteric Ligandlpa1_off
30.00Consensuslpl_offOrthosteric Ligands1p_off lpa_off
30.00Consensuss1p1_onOrthosteric Ligand7VIE-S1P1-S1P-Gi1/β1/γ2 7VIF-S1P1-FTY720-P-Gi1/β1/γ2 7VIG-S1P1-CBP-307-Gi1/β1/γ2 7EVY-S1P1-Siponimod-Gi1/β1/γ2 7EVZ-S1P1-Cenerimod-Gi1/β1/γ2 7EW0-S1P1-Ozanimod-Gi1/β1/γ2 7EW7-S1P1-SEW2871-Gi1/β1/γ2
30.00Consensuss1p1_on_gpOrthosteric Ligand7VIE-S1P1-S1P-Gi1/β1/γ2 7VIF-S1P1-FTY720-P-Gi1/β1/γ2 7VIG-S1P1-CBP-307-Gi1/β1/γ2 7EVY-S1P1-Siponimod-Gi1/β1/γ2 7EVZ-S1P1-Cenerimod-Gi1/β1/γ2 7EW0-S1P1-Ozanimod-Gi1/β1/γ2 7EW7-S1P1-SEW2871-Gi1/β1/γ2
30.00Consensustrh_onOrthosteric Ligand7XW9-TRH-TRH-chim(NtGi1L-Gs-CtGq)/β1/γ2
30.00Consensustrh_on_gpOrthosteric Ligand7XW9-TRH-TRH-chim(NtGi1L-Gs-CtGq)/β1/γ2
29.63Single8WWLMCH8WWL-MCH1-MCH-Gi1/β1/γ2
29.63Single9K26PrRP319K26-PrRP-PrRP31-Gi1/β1/γ2
29.63Consensuspeptide_onOrthosteric Ligandcck_on angiotensin_on apelin_on bombesin_on bradykinin_on compl-peptide_on endothelin_on formylpeptide_on galanin_on ghrelin_on kisspeptin_on melanocortin_on motilin_on neuromedin-u_on npy_on neurotensin_on opioid_on orexin_on relaxin_on somatostatin_on tachykinin_on trh_on vasop-oxy_on
29.63Consensuspeptide_on_gpOrthosteric Ligandcck_on_gp angiotensin_on_gp apelin_on_gp bombesin_on_gp bradykinin_on_gp compl-peptide_on_gp endothelin_on_gp formylpeptide_on_gp galanin_on_gp ghrelin_on_gp kisspeptin_on_gp melanocortin_on_gp motilin_on_gp neuromedin-u_on_gp npy_on_gp neurotensin_on_gp opioid_on_gp orexin_on_gp relaxin_on_gp somatostatin_on_gp tachykinin_on_gp trh_on_gp vasop-oxy_on_gp
29.41Single1F8811-cis-Retinal1F88-Rhodopsin-11-cis-Retinal
29.41Single3OAX11-cis-Retinal3OAX-Rhodopsin-11-cis-Retinal
29.41Single3REYPubChem 56973REY-A2A-PubChem 5697
29.41Single4MBSMaraviroc4MBS-CCR5-Maraviroc
29.41Single4ZJCSB-6740424ZJC-OX1-SB-674042
29.41Single5IU7Q274563465IU7-A2A-Q27456346-Na
29.41Single5JTBZM-2413855JTB-A2A-ZM-241385
29.41Single5NLXZM-2413855NLX-A2A-ZM-241385-Na
29.41Single5UVIZM-2413855UVI-A2A-ZM-241385
29.41Single6AQFZM-2413856AQF-A2A-ZM-241385
29.41Single6ME32-Phenylmelatonin6ME3-MT1-2-Phenylmelatonin
29.41Single6MH8ZM-2413856MH8-A2A-ZM-241385
29.41Single6PS82-Phenylmelatonin6PS8-MT1-2-Phenylmelatonin
29.41Single6VI4JDTic6VI4-κ-JDTic
29.41Single6ZDRHMS1413f126ZDR-A2A-HMS1413f12-Na
29.41Single7AROLUF58337ARO-A2A-LUF5833-Na
29.41Single7SR8TAK-9257SR8-OX2-TAK-925-chim(NtGi1L-Gs-CtGq)/β1/γ2
29.41Single7VODCariprazine7VOD-5-HT2A-Cariprazine
29.41Single7ZBC11-cis-Retinal7ZBC-Rhodopsin-11-cis-Retinal
29.41Single7ZBE11-cis-Retinal7ZBE-Rhodopsin-11-cis-Retinal
29.41Single8GURCP559408GUR-CB2-CP55940-Gi1/β1/γ2
29.41Single8IHKAcifran8IHK-HCA3-Acifran
29.41Single8K9KDAMGO8K9K-μ-DAMGO-Gi3/β1/γ1
29.41Single8RLNLUF58348RLN-A2A-LUF5834
29.41Single8RQQZM-2413858RQQ-A2A-ZM-241385-Na
29.41Single8RWCStilSwitch28RWC-A2A-StilSwitch2-Na
29.41Single8RWDStilSwitch38RWD-A2A-StilSwitch3-Na
29.41Single8RWIStilSwitch28RWI-A2A-StilSwitch2-Na
29.41Single8WPGTryptophan; Cinacalcet; PO4; Ca8WPG-CaS; CaS-Tryptophan; Cinacalcet; PO4; Ca
29.41Single8Y01All-trans-Retinal8Y01-Opsin1MW-All-trans-Retinal-Gi1/β1/γ2
29.41Single8Y53MK50468Y53-BB3-MK5046-chim(NtGi1-Gs-CtGq)/β1/γ2
29.41Single8Y6YGLPG09748Y6Y-FFA2-GLPG0974
29.41Single8ZBWQuin-C18ZBW-FPR2-ALX-Quin-C1-Gi2/β1/γ2
29.41Single8ZPNAMD31008ZPN-CXCR4-AMD3100
29.41Single9AXFCa; Ca; Ca; Cyclomethyltryptophan; R-568; PO49AXF-CaS; CaS-Ca-Ca; Ca; Ca; Cyclomethyltryptophan; R-568; PO4-chim(NtGi1-Gs-CtGq)/β1/γ2
29.41Single9EPQ11,20-Ethanoretinal9EPQ-Rhodopsin-11,20-Ethanoretinal-chim(Gi1-CtGq)/β1/γ2
29.41Single9JMDAzithromycin9JMD-Motilin-Azithromycin-chim(Gs-CtGq)/β1/γ2
29.41Single9PY2Loperamide9PY2-μ-Loperamide-GDPβS-Gi1/β1/γ2
29.41Consensusa2_offOrthosteric Liganda2a_off
29.41Consensusa2a_offOrthosteric Ligand3RFM-A2A-Caffeine 8C9W-A2A-Etrumadenant 3UZA-A2A-GTPL9236 8GNG-A2A-Istradefylline 8CU6-A2A-LJ-4517 7PX4-A2A-PSB-2113 7PYR-A2A-PSB-2115 8DU3-A2A-PubChem 105526064 8JWY-A2A-2-118 8PWN-A2A-Theophylline 5IU4-A2A-ZM-241385-Na 5OLZ-A2A-PubChem 135566609-Na 6GT3-A2A-Imaradenant-Na 5OLV-A2A-LUAA47070-Na 5N2R-A2A-PSB36-Na 5IU7-A2A-Q27456346-Na 5OLH-A2A-Vipadenant-Na 5OLO-A2A-Tozadenant-Na 6ZDR-A2A-HMS1413f12-Na 8GNE-A2A-KW-6356-Na 8JWZ-A2A-Etrumadenant-Na 5IU8-A2A-Q27456347-Na 5IUB-A2A-Q27456344-Na 6ZDV-A2A-PubChem 984073-Na 5IUA-A2A-Q27456348-Na 8A2P-A2A-LUAA47070-Na
29.41Consensusghrelin_offOrthosteric Ligand6KO5-Ghrelin-PubChem 57400002 7F83-Ghrelin-PF-05190457
29.17Single7XOUCholecystokinin-87XOU-CCKA-Cholecystokinin-8-Gs/β1/γ2
29.17Single8XIRPasireotide8XIR-SST3-Pasireotide-chim(NtGi1-Gs-CtGi1)/β1/γ2
29.17Single9B54VIP369B54-CB1-VIP36-Gi1/β1/γ2
29.17Single9M1ONeuropeptide-FF9M1O-NPFF2-Neuropeptide-FF-Gi1/β1/γ2
29.17Single9U4WGonadoliberin-19U4W-GnRH1-Gonadoliberin-1-chim(NtGi1L-Gs-CtGq)/β1/γ2
29.17Single9UYIChemerin-99UYI-CML2-Chemerin-9-Arrestin2
29.17Consensuscckb_on_gpOrthosteric Ligand8IA7-CCKB-Cholecystokinin-8-chim(NtGi1L-Gq)/β1/γ2 7XOW-CCKB-Sulfated Gastrin-(10-17)-chim(NtGi1-Gq)/β1/γ2 7F8V-CCKB-Gastrin-17-Gi2/β1/γ2
29.17Consensusgs_class-aOrthosteric Ligandgs_peptide gs_nucleotide gs_amine
28.57Single2HPYAll-trans-Retinal2HPY-Rhodopsin-All-trans-Retinal
28.57Single4Z35ONO-99105394Z35-LPA1-ONO-9910539
28.57Single5CGDHTL142425CGD-mGlu5-HTL14242
28.57Single6OY9All-trans-Retinal6OY9-Rhodopsin-All-trans-Retinal-Gt/β1/γ1
28.57Single7DD5Ca; Ca; Tryptophan; NPS-21437DD5-CaS; CaS-Ca-Ca; Ca; Tryptophan; NPS-2143
28.57Single7EVZCenerimod7EVZ-S1P1-Cenerimod-Gi1/β1/γ2
28.57Single7EW0Ozanimod7EW0-S1P1-Ozanimod-Gi1/β1/γ2
28.57Single7MBYCholecystokinin-87MBY-CCKA-Cholecystokinin-8-chim(NtGi1L-Gs-CtGq)/β1/γ2
28.57Single7MTSADX551647MTS-mGlu2; mGlu2-Glutamate-ADX55164-Gi1/β1/γ2
28.57Single7WVVfMLFII7WVV-FPR2-ALX-fMLFII-Gi2/β1/γ2
28.57Single7X1UTRH7X1U-TRH-TRH-chim(NtGi2L-Gs-CtGq)/β1/γ2
28.57Single7XZ6APD6687XZ6-GPR119-APD668-Gs/β1/γ2
28.57Single8I95EP548I95-C3aB-EP54-Go/β1/γ2
28.57Single8IULLatanoprost8IUL-FP-alpha-Latanoprost-chim(NtGi1-Gs-CtGq)/β1/γ2
28.57Single8IYSTUG-8918IYS-FFA4-TUG-891-GDP-chim(NtGi1L-Gq)/β1/γ2
28.57Single8T3OTUG-8918T3O-FFA4-TUG-891-chim(NtGi2L-Gs-CtGq)/β1/γ2
28.57Single8XJKCloprosetnol8XJK-FP-alpha-Cloprosetnol-chim(NtGi1-Gs-CtGq)/β1/γ2
28.57Single8XOFLys058XOF-GPR30-Lys05-chim(NtGi1-Gs-CtGq)/β1/γ2
28.57Single8XVJMacitentan8XVJ-ETA-Macitentan
28.57Single8Z8ALactate8Z8A-HCA1-Lactate-Gi1/β1/γ2
28.57Single8ZWGJR14a8ZWG-C3aB-JR14a-Gi1/β1/γ2
28.57Single9KUGEP679KUG-C5a1-EP67-Go/β1/γ2
28.57Single9KV8TLQP219KV8-C3aB-TLQP21-Go/β1/γ2
28.57Single9L79AR2314539L79-GPR119-AR231453-chim(NtGi1-Gs)/β1/γ2
28.57Consensusc3a_on_gpOrthosteric Ligand8HK2-C3aB-C3a-Gi1/β1/γ2 8IA8-C3aB-E7 peptide-Gi1/β1/γ2
28.57Consensuscck_onOrthosteric Ligandccka_on cckb_on
28.57Consensuscck_on_gpOrthosteric Ligandccka_on_gp cckb_on_gp
28.57Consensusetb_onOrthosteric Ligand8IY5-ETB-Endothelin-1-Gi1/β1/γ2 8HBD-ETB-IRL1620-Gi1/β1/γ2
28.57Consensusgi_s1pOrthosteric Ligand7VIE-S1P1-S1P-Gi1/β1/γ2 7EW3-S1P3-S1P-Gi1/β1/γ2 7EVY-S1P1-Siponimod-Gi1/β1/γ2 7EW1-S1P5-Siponimod-Gi1/β1/γ2 7VIF-S1P1-FTY720-P-Gi1/β1/γ2 7VIG-S1P1-CBP-307-Gi1/β1/γ2 7EVZ-S1P1-Cenerimod-Gi1/β1/γ2 7EW4-S1P3-CYM-5541-Gi1/β1/γ2 7EW2-S1P3-FTY720-P-Gi1/β1/γ2 7EW0-S1P1-Ozanimod-Gi1/β1/γ2 7EW7-S1P1-SEW2871-Gi1/β1/γ2
28.57Consensusnucleotide_on_gpOrthosteric Ligandadenosine_on_gp p2y_on_gp
28.57Consensusopsins_onOrthosteric Ligandrhodopsin_on opsin1lw_on
28.57Consensussensory_onOrthosteric Ligandopsins_on
28.00Single7XK8Neuromedin-U-257XK8-NMUR2-Neuromedin-U-25-Gi1/β1/γ2
28.00Single8H4KGW95088H4K-FFA4-GW9508-chim(NtGi1-Gs-CtGq)/β1/γ2
28.00Single8WSTMCH8WST-MCH2-MCH-chim(NtGi1L-Gs-CtGq)/β1/γ2
28.00Single8XWQEndothelin-18XWQ-ETB-Endothelin-1-Gi1/β1/γ2
28.00Consensusfpr2-alx_on_gpOrthosteric Ligand7WVX-FPR2-ALX-Humanin-Gi2/β1/γ2 7T6U-FPR2-ALX-CGEN-855A-Gi1/β1/γ2 7T6V-FPR2-ALX-fMLFII-Gi1/β1/γ2 7WVY-FPR2-ALX-Amyloid-β42-Gi2/β1/γ2 7T6S-FPR2-ALX-TC-FPR 43-Gi1/β1/γ2 6OMM-FPR2-ALX-WKYMVX-Gi1/β1/γ2
28.00Consensusgi_class-aOrthosteric Ligandgi_peptide gi_sensory gi_alicarboxylic gi_amine gi_lipid gi_nucleotide gi_protein
28.00Consensusprotein_onOrthosteric Ligandchemokine_on chemerin_on
27.78Single4EIYZM-2413854EIY-A2A-ZM-241385-Na
27.78Single4X1HNonyl-Beta-D-Glucopyranoside4X1H-Rhodopsin-Nonyl-β-D-Glucopyranoside-Gt(CT)
27.78Single5IU8Q274563475IU8-A2A-Q27456347-Na
27.78Single5OLGZM-2413855OLG-A2A-ZM-241385-Na
27.78Single5TGZAM65385TGZ-CB1-AM6538
27.78Single6LPJZM-2413856LPJ-A2A-ZM-241385-Na
27.78Single6LPKZM-2413856LPK-A2A-ZM-241385-Na
27.78Single6Z10PubChem 1545855546Z10-Succinate-PubChem 154585554
27.78Single7NA8Ibutamoren7NA8-Ghrelin-Ibutamoren-Gi1/β1/γ2
27.78Single7PYRPSB-21157PYR-A2A-PSB-2115
27.78Single7T6VfMLFII7T6V-FPR2-ALX-fMLFII-Gi1/β1/γ2
27.78Single7UL4Alvimopan7UL4-μ-Alvimopan
27.78Single7VGZRamelteon7VGZ-MT1-Ramelteon-Gi1/β1/γ2
27.78Single7VIFFTY720-P7VIF-S1P1-FTY720-P-Gi1/β1/γ2
27.78Single7VKTLTB47VKT-BLT1-LTB4-Gi1/β1/γ2
27.78Single8IHJAcifran8IHJ-HCA3-Acifran-Gi1/β1/γ2
27.78Single8K5DGSK2560738K5D-HCA2-GSK256073
27.78Single8RW7StilSwitch18RW7-A2A-StilSwitch1-Na
27.78Single8RWXStilSwitch38RWX-A2A-StilSwitch3-Na
27.78Single8ZQEGPR15L(CT)8ZQE-GPR15-GPR15L(CT)-Gi1/β1/γ1
27.78Single9EPP11,20-Ethanoretinal9EPP-Rhodopsin-11,20-Ethanoretinal-chim(Gi1-CtGq)/β1/γ2
27.78Consensusalicarboxylic_on_gpOrthosteric Ligandsuccinate_on_gp hca_on_gp
27.78Consensusblt1_onOrthosteric Ligand7VKT-BLT1-LTB4-Gi1/β1/γ2
27.78Consensusblt1_on_gpOrthosteric Ligand7VKT-BLT1-LTB4-Gi1/β1/γ2
27.78Consensusblt_onOrthosteric Ligandblt1_on
27.78Consensusblt_on_gpOrthosteric Ligandblt1_on_gp
27.78Consensusgi_alicarboxylicOrthosteric Ligandgi_hca gi_succinate
27.78Consensusgi_leukotrieneOrthosteric Ligand7VKT-BLT1-LTB4-Gi1/β1/γ2
27.78Consensusleukotriene_onOrthosteric Ligandblt_on
27.78Consensusleukotriene_on_gpOrthosteric Ligandblt_on_gp
27.78Consensusnucleotide_offonOrthosteric Ligandnucleotide_off nucleotide_on
27.78Consensusnucleotide_offon_gpOrthosteric Ligandnucleotide_on_gp nucleotide_off
27.59Single6IGKEndothelin-36IGK-ETB-Endothelin-3
27.27Single5ZTYAM102575ZTY-CB2-AM10257
27.27Single7F2OBradykinin7F2O-BK2-Bradykinin-chim(NtGi1-Gs-CtGq)/β1/γ2
27.27Single7T11Octreotide7T11-SST2-Octreotide-Gi3/β1/γ2
27.27Single8F7REndomorphin8F7R-μ-Endomorphin-Gi1/β1/γ2
27.27Single8QJ2pN1628QJ2-MC4-pN162-Gs/β1/γ2
27.27Single9IPVJR14a9IPV-C3aB-JR14a-Gi1/β1/γ2
27.27Single9KZ2EP679KZ2-C3aB-EP67-Go/β1/γ2
27.27Single9V2NMacimorelin9V2N-Ghrelin-Macimorelin-chim(NtGi1-Gs-CtGq)/β1/γ2
27.27Consensuscb2_offOrthosteric Ligand5ZTY-CB2-AM10257
27.27Consensusdop_onOrthosteric Ligand8F7S-δ-Deltorphin-Gi1/β1/γ2
27.27Consensusformylpeptide_onOrthosteric Ligandfpr2-alx_on fpr1-alx_on
27.27Consensuss1p_onOrthosteric Ligands1p1_on s1p3_on s1p5_on
27.27Consensuss1p_on_gpOrthosteric Ligands1p1_on_gp s1p3_on_gp s1p5_on_gp
26.92Single8WWKMCH8WWK-MCH1-MCH-Gi1/β1/γ2
26.92Single8WWMMCH8WWM-MCH1-MCH-Gi1/β1/γ2
26.92Single8XQEApelin-138XQE-Apelin; Apelin-Apelin-13-Gi1/β1/γ2
26.92Single9JFYNeuropeptide-SF9JFY-NPFF2-Neuropeptide-SF-Gi1/β1/γ2
26.92Consensusmc1_onOrthosteric Ligand7F4H-MC1-Afamelanotide-chim(NtGi1-Gs)/β1/γ2 7F4D-MC1-α-MSH-chim(NtGi1-Gs)/β1/γ2 7F4I-MC1-SHU9119-chim(NtGi1-Gs)/β1/γ2
26.92Consensusmc1_on_gpOrthosteric Ligand7F4H-MC1-Afamelanotide-chim(NtGi1-Gs)/β1/γ2 7F4D-MC1-α-MSH-chim(NtGi1-Gs)/β1/γ2 7F4I-MC1-SHU9119-chim(NtGi1-Gs)/β1/γ2
26.67Single3PQRAll-trans-Retinal3PQR-Rhodopsin-All-trans-Retinal-Gt(CT)
26.67Single3UZAGTPL92363UZA-A2A-GTPL9236
26.67Single6FUFAll-trans-Retinal6FUF-Rhodopsin-All-trans-Retinal-Go
26.67Single7DD7Ca; Ca; Tryptophan; Evocalcet7DD7-CaS; CaS-Ca-Ca; Ca; Tryptophan; Evocalcet
26.67Single7MT8All-trans-Retinal7MT8-Rhodopsin-All-trans-Retinal-GRK1
26.67Single8GH1Constrained Epinephrine8GH1-β2-Constrained Epinephrine
26.67Single8HBDIRL16208HBD-ETB-IRL1620-Gi1/β1/γ2
26.67Single8IU2All-trans-Retinal8IU2-Opsin1LW-All-trans-Retinal-Gi1/β1/γ2
26.67Single8J6QBeta-Hydroxybutyrate8J6Q-HCA2-β-Hydroxybutyrate-PubChem 25101223-Gi1/β1/γ2
26.67Single9JKT(2R)-2-hydroxy-3-phenylpropanoic acid9JKT-HCA3-(2R)-2-hydroxy-3-phenylpropanoic acid-Gi1/β1/γ2
26.67Consensusendothelin_on_gpOrthosteric Ligandetb_on_gp eta_on_gp
26.67Consensusgi_opsinsOrthosteric Ligand8IU2-Opsin1LW-All-trans-Retinal-Gi1/β1/γ2
26.67Consensusgi_sensoryOrthosteric Ligandgi_opsins
26.67Consensusopsin1lw_onOrthosteric Ligand8IU2-Opsin1LW-All-trans-Retinal-Gi1/β1/γ2
26.67Consensusopsin1lw_on_gpOrthosteric Ligand8IU2-Opsin1LW-All-trans-Retinal-Gi1/β1/γ2
26.67Consensusopsins_on_gpOrthosteric Ligandrhodopsin_on_gp opsin1lw_on_gp
26.67Consensusrhodopsin_onOrthosteric Ligand6OYA-Rhodopsin-All-trans-Retinal-Gt/β1/γ1
26.67Consensussensory_on_gpOrthosteric Ligandopsins_on_gp
26.32Single4WW3All-trans-Retinal4WW3-Rhodopsin-All-trans-Retinal
26.32Single4ZJ8Suvorexant4ZJ8-OX1-Suvorexant
26.32Single5N2RPSB365N2R-A2A-PSB36-Na
26.32Single5ZBQUR-MK-2995ZBQ-Y1-UR-MK-299
26.32Single6ME62-Phenylmelatonin6ME6-MT2-2-Phenylmelatonin
26.32Single6TO7Suvorexant6TO7-OX1-Suvorexant-Na
26.32Single6TP6Filorexant6TP6-OX1-Filorexant
26.32Single7BB7AVP7BB7-V2-AVP-Gs/β1/γ2
26.32Single7C4SS1P7C4S-S1P3-S1P
26.32Single7CFNINT-7777CFN-GPBA-INT-777-Gs/β1/γ2
26.32Single7E9GJNJ-404118137E9G-mGlu2; mGlu2-Eglumetad-JNJ-40411813-Gi1/β1/γ2
26.32Single7EO2FTY720-P7EO2-S1P1-FTY720-P-Gi1/β1/γ2
26.32Single7EPFNAM5977EPF-mGlu2-NAM597
26.32Single7SINNPS-21437SIN-CaS; CaS-NPS-2143
26.32Single7SINNPS-21437SIN-CaS; CaS-NPS-2143
26.32Single7W41PD1762527W41-BB2-PD176252
26.32Single8HNLPS3724248HNL-CXCR3-PS372424-Gi1/β1/γ2
26.32Single8I7WGSK2560738I7W-HCA2-GSK256073-Gi1/β1/γ2
26.32Single8J6JGSK2560738J6J-HCA2-GSK256073-Gi1/β1/γ2
26.32Single8KFXLMD-0098KFX-CCR8-LMD-009-Gi1/β1/γ2
26.32Single8QOTNanobody-E8QOT-μ-Nanobody-E
26.32Single8SZGCa; Ca; Tryptophan; Cinacalcet; PO4; Spermine8SZG-CaS; CaS-Ca; Ca; Tryptophan; Cinacalcet; PO4; Spermine-chim(NtGi1-Gq)/β1/γ2
26.32Single8TF5Oleic acid8TF5-GPR6-Oleic acid
26.32Single8TH4Losartan8TH4-AT1-Losartan-AT118-L Nanobody
26.32Single8X0CVU04244658X0C-mGlu5; mGlu5-Quisqualate-VU0424465
26.32Single8X0CVU04244658X0C-mGlu5; mGlu5-Quisqualate-VU0424465
26.32Single8X0DVU04244658X0D-mGlu5; mGlu5-Quisqualate-VU0424465
26.32Single8X0DVU04244658X0D-mGlu5; mGlu5-Quisqualate-VU0424465
26.32Single8XYKVUF106618XYK-CXCR3-VUF10661-Go/β1/γ2
26.32Single8YICSAR2477998YIC-S1P1-SAR247799-Gi1/β1/γ2
26.32Single9AVLCa; Ca; Cyclomethyltryptophan; R-568; PO49AVL-CaS; CaS-Ca-Ca; Ca; Cyclomethyltryptophan; R-568; PO4-Gi3/β2/γ2
26.32Single9AYFCa; Ca; Ca; Cyclomethyltryptophan; R-568; PO49AYF-CaS; CaS-Ca-Ca; Ca; Ca; Cyclomethyltryptophan; R-568; PO4-Gi1/β1/γ2
26.32Single9EAHOlmesartan9EAH-AT1-Olmesartan-Nanobody AT209
26.32Single9HAPTolvaptan9HAP-V2-Tolvaptan
26.32Single9IYBPGD29IYB-DP2-PGD2-A1D5Q-Gi1/β1/γ2
26.32Single9KT6Acifran9KT6-HCA3-Acifran-Gi1/β1/γ2
26.32Single9KUTJR14a9KUT-C3aB-JR14a-Go/β1/γ2
26.32Single9M8POleic monoethanolamide9M8P-GPR3 ; GPR3-Oleic monoethanolamide-AF64394
26.32Single9U81Tolvaptan9U81-V2-Tolvaptan
26.32Consensusa1_offOrthosteric Ligand5UEN-A1-DU172 5N2S-A1-PSB36
26.32Consensusbb2_offOrthosteric Ligand7W41-BB2-PD176252
26.32Consensusbombesin_offOrthosteric Ligandbb2_off
26.32Consensuscb2_onOrthosteric Ligand8GUR-CB2-CP55940-Gi1/β1/γ2 8GUS-CB2-HU-308-Gi1/β1/γ2 8GUT-CB2-LEI-102-Gi1/β1/γ2 6KPF-CB2-AM12033-Gi1/β1/γ2 6PT0-CB2-WIN 55212-2-Gi1/β1/γ2 8GUQ-CB2-Olorinab-Gi1/β1/γ2
26.32Consensuscb2_on_gpOrthosteric Ligand8GUR-CB2-CP55940-Gi1/β1/γ2 8GUS-CB2-HU-308-Gi1/β1/γ2 8GUT-CB2-LEI-102-Gi1/β1/γ2 6KPF-CB2-AM12033-Gi1/β1/γ2 6PT0-CB2-WIN 55212-2-Gi1/β1/γ2 8GUQ-CB2-Olorinab-Gi1/β1/γ2
26.32Consensusnucleotide_onOrthosteric Ligandadenosine_on p2y_on
26.32Consensuss1p_offOrthosteric Ligands1p1_off s1p5_off
26.09Single6WIVPubChem 52923113; PubChem 529246456WIV-GABAB1, GABAB2-PubChem 52923113; PubChem 52924645
26.09Single7W53Neuromedin-U-257W53-NMUR1-Neuromedin-U-25-chim(NtGi1-Gs-CtGq)/β1/γ2
26.09Single7W56Neuromedin-S7W56-NMUR1-Neuromedin-S-chim(NtGi1-Gs-CtGq)/β1/γ2
26.09Single7XAUOctreotide7XAU-SST2-Octreotide-Gi1/β1/γ2
26.09Single7XMRSomatostatin-147XMR-SST2-Somatostatin-14-Gi1/β1/γ2
26.09Single8F7XNociceptin8F7X-NOP-Nociceptin-Gi1/β1/γ2
26.09Single8GHVAMG3158GHV-CB1-AMG315-Gi1/β1/γ2
26.09Single8XGMChemerin8XGM-CML2-Chemerin-Gi1/β1/γ2
26.09Single8ZBJSomatostatin-148ZBJ-SST5-Somatostatin-14-Gi1/β1/γ2
26.09Single8ZCJPasireotide8ZCJ-SST5-Pasireotide-Gi1/β1/γ1
26.09Single9BKJCholecystokinin-89BKJ-CCKA-Cholecystokinin-8-chim(NtGi1-Gs-CtGq)/β1/γ2
26.09Single9UMRC5a-pep9UMR-C5a1-C5a-pep-Go/β1/γ2
26.09Consensusgi_nucleotideOrthosteric Ligandgi_adenosine gi_p2y
26.09Consensusnmur1_on_gpOrthosteric Ligand7W53-NMUR1-Neuromedin-U-25-chim(NtGi1-Gs-CtGq)/β1/γ2
26.09Consensusnop_onOrthosteric Ligand8F7X-NOP-Nociceptin-Gi1/β1/γ2
26.09Consensusnop_on_gpOrthosteric Ligand8F7X-NOP-Nociceptin-Gi1/β1/γ2
25.93Consensusgi_compl-peptOrthosteric Ligand8HK5-C5a1-C5a-Gi1/β1/γ2 8IA8-C3aB-E7 peptide-Gi1/β1/γ2 7Y66-C5a1-BM213-Gi1/β1/γ2 7Y67-C5a1-C089 peptide-Gi1/β1/γ2 8HK2-C3aB-C3a-Gi1/β1/γ2 7Y64-C5a1-C5a-Gi1/β1/γ2
25.93Consensusgi_proteinOrthosteric Ligandgi_chemokine gi_chemerin
25.93Consensusprotein_on_gpOrthosteric Ligandchemokine_on_gp chemerin_on_gp
25.00Single3AYMAll-trans-Retinal3AYM-Rhodopsin-All-trans-Retinal
25.00Single5XR8AM120335XR8-CB1-AM12033
25.00Single6N4BMDMB-Fubinaca6N4B-CB1-MDMB-Fubinaca-Gi1/β1/γ2
25.00Single7CKYPW04647CKY-D1-PW0464-Gs/β1/γ2
25.00Single7EIBKallidin-des-Arg107EIB-BK1-Kallidin-des-Arg10-chim(NtGi1-Gs-CtGq)/β1/γ2
25.00Single7EW3S1P7EW3-S1P3-S1P-Gi1/β1/γ2
25.00Single7EW4CYM-55417EW4-S1P3-CYM-5541-Gi1/β1/γ2
25.00Single7EZKCholecystokinin-87EZK-CCKA-Cholecystokinin-8-chim(NtGi1-Gs)/β1/γ2
25.00Single7PX4PSB-21137PX4-A2A-PSB-2113
25.00Single7TRPLY20332987TRP-M4-Iperoxo-LY2033298-Gi1/β1/γ2
25.00Single7TUYGSK682753A7TUY-GPR183-GSK682753A
25.00Single7VIGCBP-3077VIG-S1P1-CBP-307-Gi1/β1/γ2
25.00Single7W0NElabela7W0N-Apelin; Apelin-Elabela-Gi1/β1/γ2
25.00Single7WJ5Somatostatin-147WJ5-SST2-Somatostatin-14-Gi1/β1/γ2
25.00Single7XAVLanreotide7XAV-SST2-Lanreotide-Gi1/β1/γ2
25.00Single7XMSSomatostatin-147XMS-SST4-Somatostatin-14-Gi1/β1/γ2
25.00Single7Y24Octreotide7Y24-SST2-Octreotide-Go/β1/γ2
25.00Single7YOONeuropeptide-Y7YOO-Y2-Neuropeptide-Y-Gi1/β1/γ2
25.00Single8A2PLUAA470708A2P-A2A-LUAA47070-Na
25.00Single8F7SDeltorphin8F7S-δ-Deltorphin-Gi1/β1/γ2
25.00Single8F7WDynorphin8F7W-κ-Dynorphin-Gi1/β1/γ2
25.00Single8H2GNiacin8H2G-HCA2-Niacin-Gi1/β1/γ2
25.00Single8ID6Oleic acid8ID6-FFA4-Oleic acid-Gi1/β1/γ2
25.00Single8IHHLUF62838IHH-HCA2-LUF6283-Gi1/β1/γ2
25.00Single8IHIAcifran8IHI-HCA2-Acifran-Gi1/β1/γ2
25.00Single8IYHMK68928IYH-HCA2-MK6892-Go/β1/γ2
25.00Single8JSRAnamorelin8JSR-Ghrelin-Anamorelin-chim(NtGi1-Gs-CtGq)/β1/γ2
25.00Single8JZPC5a8JZP-C5a1-C5a-Go/β1/γ2
25.00Single8JZZC5a-des-Arg8JZZ-C5a1-C5a-des-Arg-Go/β1/γ2
25.00Single8K5BNiacin8K5B-HCA2-Niacin
25.00Single8RWHStilSwitch28RWH-A2A-StilSwitch2-Na
25.00Single8WSSMCH8WSS-MCH1-MCH-Gi1/β1/γ1
25.00Single8X0BVU04244658X0B-mGlu5; mGlu5-Quisqualate-VU0424465
25.00Single8X0FVU298X0F-mGlu5; mGlu5-Quisqualate-VU29
25.00Single8XIPPasireotide8XIP-SST1-Pasireotide-chim(NtGi1-Gs-CtGi1)/β1/γ2
25.00Single8XWPEndothelin-18XWP-ETB-Endothelin-1-Gi1/β1/γ2
25.00Single8YKWSuccinic acid8YKW-Succinate-Succinic acid-Gi1/β1/γ1
25.00Single8YNTSNAP-948478YNT-MCH1-SNAP-94847
25.00Single8Z7JJN241-98Z7J-Apelin-JN241-9-Gi1/β1/γ2
25.00Single8ZH8QRFP268ZH8-QRFP-QRFP26-Gq/β1/γ1
25.00Single8ZJGChemerin8ZJG-CML1-Chemerin-Gi1/β1/γ2
25.00Single8ZR5Firuglipel8ZR5-GPR119-Firuglipel-Gs/β1/γ2
25.00Single9AYFCa; Ca; Ca; Cyclomethyltryptophan; R-568; PO49AYF-CaS; CaS-Ca-Ca; Ca; Ca; Cyclomethyltryptophan; R-568; PO4-Gi1/β1/γ2
25.00Single9EPRAll-trans-Retinal9EPR-Rhodopsin-All-trans-Retinal-Gi1/β1/γ2
25.00Single9IQRMuscarinic toxin 39IQR-α2a-Muscarinic toxin 3
25.00Single9IQSMuscarinic toxin 39IQS-M4-Muscarinic toxin 3
25.00Single9JFK(Pen5)-Urotensin II9JFK-UT-(Pen5)-Urotensin II-chim(NtGi2L-Gs-CtGq)/β1/γ2
25.00Single9JMCDS-3801b9JMC-Motilin-DS-3801b-chim(Gs-CtGq)/β1/γ2
25.00Single9KV6TLQP219KV6-C3aB-TLQP21-Go/β1/γ2
25.00Single9L3ZLRH7-C29L3Z-CML1-LRH7-C2
25.00Single9L60Dynorphin9L60-κ-Dynorphin-MPAM-15-Gi1/β1/γ2
25.00Single9ME1CXCL129ME1-CXCR4-CXCL12
25.00Single9UMXEP549UMX-C5a1-EP54-Go/β1/γ2
25.00Single9UY3Anamorelin9UY3-Ghrelin-Anamorelin-chim(NtGi1-Gs-CtGq)/β1/γ2
25.00Consensuscompl-peptide_onOrthosteric Ligandc5a1_on c3a_on
25.00Consensusdop_on_gpOrthosteric Ligand8F7S-δ-Deltorphin-Gi1/β1/γ2
25.00Consensusformylpeptide_on_gpOrthosteric Ligandfpr2-alx_on_gp fpr1-alx_on_gp
25.00Consensusgi_cannabinoidOrthosteric Ligand8GUR-CB2-CP55940-Gi1/β1/γ2 8GUS-CB2-HU-308-Gi1/β1/γ2 8GUT-CB2-LEI-102-Gi1/β1/γ2 8GUQ-CB2-Olorinab-Gi1/β1/γ2 6KPF-CB2-AM12033-Gi1/β1/γ2 6PT0-CB2-WIN 55212-2-Gi1/β1/γ2 6KPG-CB1-AM841-Gi1/β1/γ2
25.00Consensusnpy2_onOrthosteric Ligand7YOO-Y2-Neuropeptide-Y-Gi1/β1/γ2
25.00Consensusnpy2_on_gpOrthosteric Ligand7YOO-Y2-Neuropeptide-Y-Gi1/β1/γ2
25.00Consensusnpy_offOrthosteric Ligandnpy1_off npy2_off
25.00Consensusprotein_offOrthosteric Ligandchemokine_off grh_off
25.00Consensussst4_onOrthosteric Ligand7XMS-SST4-Somatostatin-14-Gi1/β1/γ2 7XMT-SST4-J-2156-Gi1/β1/γ2
25.00Consensussst4_on_gpOrthosteric Ligand7XMS-SST4-Somatostatin-14-Gi1/β1/γ2 7XMT-SST4-J-2156-Gi1/β1/γ2
24.14Single7VGXNeuropeptide-Y7VGX-Y1-Neuropeptide-Y-Gi1/β1/γ2
24.14Single8IY5Endothelin-18IY5-ETB-Endothelin-1-Gi1/β1/γ2
24.14Single8IY6Endothelin-18IY6-ETB-Endothelin-1
24.14Single8WWNMCH8WWN-MCH1-MCH-Gi1/β1/γ2
24.14Single8Y52BA18Y52-BB3-BA1-chim(NtGi1-Gs-CtGq)/β1/γ2
24.14Consensusbk2_onOrthosteric Ligand7F6H-BK2-Bradykinin-Gq/β1/γ2 7F6I-BK2-Kallidin-Gq/β1/γ2
24.14Consensusbk2_on_gpOrthosteric Ligand7F6H-BK2-Bradykinin-Gq/β1/γ2 7F6I-BK2-Kallidin-Gq/β1/γ2
24.14Consensusbradykinin_onOrthosteric Ligandbk2_on
24.14Consensusbradykinin_on_gpOrthosteric Ligandbk2_on_gp
24.14Consensusendothelin_onOrthosteric Ligandetb_on eta_on
24.14Consensusgq_bradykininOrthosteric Ligand7F6H-BK2-Bradykinin-Gq/β1/γ2 7F6I-BK2-Kallidin-Gq/β1/γ2
24.00Single7T6TfMLFII7T6T-FPR1-ALX-fMLFII-Gi1/β1/γ2
24.00Single7TD0LPA7TD0-LPA1-LPA-Gi1/β1/γ2
24.00Single7TD2LPA7TD2-LPA1-LPA-Gi1/β1/γ2
24.00Single9MEUCXCL129MEU-CXCR4-CXCL12
24.00Consensusc5a1_onOrthosteric Ligand8HK5-C5a1-C5a-Gi1/β1/γ2 7Y66-C5a1-BM213-Gi1/β1/γ2 7Y67-C5a1-C089 peptide-Gi1/β1/γ2 7Y64-C5a1-C5a-Gi1/β1/γ2
24.00Consensuscompl-peptide_on_gpOrthosteric Ligandc5a1_on_gp c3a_on_gp
24.00Consensusfpr2-alx_onOrthosteric Ligand7WVX-FPR2-ALX-Humanin-Gi2/β1/γ2 7T6U-FPR2-ALX-CGEN-855A-Gi1/β1/γ2 7T6V-FPR2-ALX-fMLFII-Gi1/β1/γ2 7WVY-FPR2-ALX-Amyloid-β42-Gi2/β1/γ2 7T6S-FPR2-ALX-TC-FPR 43-Gi1/β1/γ2 6OMM-FPR2-ALX-WKYMVX-Gi1/β1/γ2
24.00Consensusgs_cckOrthosteric Ligand7MBX-CCKA-Cholecystokinin-8-Gs/β1/γ1
23.81Single4PXFOctyl-Beta-D-Glucopyranoside4PXF-Rhodopsin-Octyl-β-D-Glucopyranoside-Arrestin1 Finger Loop
23.81Single6C1RPMX536C1R-C5a1-PMX53-Avacopan; Na
23.81Single6OS0Angiotensin II6OS0-AT1-Angiotensin II
23.81Single6XBLCholesterol6XBL-SMO-SAG-Cholesterol-Gi1/β1/γ2
23.81Single7EW2FTY720-P7EW2-S1P3-FTY720-P-Gi1/β1/γ2
23.81Single7K15MKD0467K15-BLT1-MKD046-Na
23.81Single7L1UOrexin7L1U-OX2-Orexin-chim(NtGi1-Gs-CtGq)/β1/γ2
23.81Single7MTRADX551647MTR-mGlu2; mGlu2-Glutamate-ADX55164
23.81Single7W0NElabela7W0N-Apelin; Apelin-Elabela-Gi1/β1/γ2
23.81Single7XMTJ-21567XMT-SST4-J-2156-Gi1/β1/γ2
23.81Single7XZ5Lysophosphatidylcholine7XZ5-GPR119-Lysophosphatidylcholine-Gs/β1/γ2
23.81Single7Y66BM2137Y66-C5a1-BM213-Gi1/β1/γ2
23.81Single8HK2C3a8HK2-C3aB-C3a-Gi1/β1/γ2
23.81Single8IA8E7 peptide8IA8-C3aB-E7 peptide-Gi1/β1/γ2
23.81Single8ID9Icosapent8ID9-FFA4-Icosapent-Gi1/β1/γ2
23.81Single8IQ6Latanoprost8IQ6-FP-alpha-Latanoprost-chim(NtGi1-Gs-CtGq)/β1/γ2
23.81Single8IYWGSK2560738IYW-HCA2-GSK256073-Go/β1/γ2
23.81Single8JD3JNJ-404118138JD3-mGlu2; mGlu3-Glutamate-JNJ-40411813-Gi1/β1/γ2
23.81Single8JJPChemerin-98JJP-CML2-Chemerin-9-Gi1/β1/γ2
23.81Single8JZ7MK68928JZ7-HCA2-MK6892-Gi1/β1/γ2
23.81Single8T3QDoconexent8T3Q-FFA4-Doconexent-chim(NtGi2L-Gs-CtGq)/β1/γ2
23.81Single8XJNCloprosetnol8XJN-TXA2-Cloprosetnol-chim(NtGi1-Gs-CtGq)/β1/γ2
23.81Single8XYIVUF106618XYI-CXCR3-VUF10661
23.81Single9GGGI-BOP9GGG-TXA2-I-BOP-chim(NtGi2L-Gs-CtGq)/β1/γ2
23.81Single9GYOP3959GYO-GPBA-P395-chim(NtGi1-Gs)/β1/γ2
23.81Single9KZKC3a (fragment)9KZK-C3aB-C3a (fragment)-Go/β1/γ2
23.81Single9L3WChemerin9L3W-CML1-Chemerin-Gi1/β1/γ2
23.81Single9M8POleic monoethanolamide9M8P-GPR3 ; GPR3-Oleic monoethanolamide-AF64394
23.81Consensuscannabinoid_onOrthosteric Ligandcb2_on cb1_on
23.81Consensuscannabinoid_on_gpOrthosteric Ligandcb2_on_gp cb1_on_gp
23.81Consensusccr8_onOrthosteric Ligand8KFX-CCR8-LMD-009-Gi1/β1/γ2 8KFY-CCR8-ZK-756326-Gi1/β1/γ2 8U1U-CCR8-CCL1-Gi1/β1/γ2
23.81Consensusgi_lipidOrthosteric Ligandgi_cannabinoid gi_ffa gi_leukotriene gi_lpa gi_s1p
23.81Consensusleukotriene_offOrthosteric Ligandblt_off cyslt_off
23.81Consensuss1p3_onOrthosteric Ligand7EW3-S1P3-S1P-Gi1/β1/γ2 7EW4-S1P3-CYM-5541-Gi1/β1/γ2 7EW2-S1P3-FTY720-P-Gi1/β1/γ2
23.53Single2Z7311-cis-Retinal2Z73-Rhodopsin-11-cis-Retinal
23.53Single3AYN9-cis-Retinal3AYN-Rhodopsin-9-cis-Retinal
23.53Single3VG9ZM-2413853VG9-A2A-ZM-241385-Antibody
23.53Single4MQTLY21196204MQT-M2-Iperoxo-LY2119620
23.53Single4S0VSuvorexant4S0V-OX2-Suvorexant
23.53Single5K2DZM-2413855K2D-A2A-ZM-241385-Na
23.53Single5OLHVipadenant5OLH-A2A-Vipadenant-Na
23.53Single5OLOTozadenant5OLO-A2A-Tozadenant-Na
23.53Single5OLVLUAA470705OLV-A2A-LUAA47070-Na
23.53Single5WS3EMPA5WS3-OX2-EMPA
23.53Single6D9HAdenosine6D9H-A1-Adenosine-Gi2/β1/γ2
23.53Single6DS0LY2660976DS0-5-HT2B-LY266097
23.53Single6JZHZM-2413856JZH-A2A-ZM-241385-Na
23.53Single6ME2Ramelteon6ME2-MT1-Ramelteon
23.53Single6NWEOctyl-Beta-D-Glucopyranoside6NWE-Rhodopsin-Octyl-β-D-Glucopyranoside-Gt(CT)
23.53Single6OYAAll-trans-Retinal6OYA-Rhodopsin-All-trans-Retinal-Gt/β1/γ1
23.53Single6PS7ZM-2413856PS7-A2A-ZM-241385-Na
23.53Single6TPJSuvorexant6TPJ-OX2-Suvorexant
23.53Single7TUZ7-alpha,25-dihydroxycholesterol7TUZ-GPR183-7-α,25-dihydroxycholesterol-Gi1/β1/γ2
23.53Single7VIHCBP-3077VIH-S1P1-CBP-307-Gi1/β1/γ2
23.53Single7XRRLemborexant7XRR-OX2-Lemborexant
23.53Single8DWGML3828DWG-MRGPRX1-BAM8-22-ML382-chim(NtGi2L-Gs-CtGq)/β1/γ2
23.53Single8IJANiacin8IJA-HCA2-Niacin-Gi1/β1/γ2
23.53Single8J6LNiacin8J6L-HCA2-Niacin-Gi1/β1/γ2
23.53Single8RVWStilSwitch38RVW-A2A-StilSwitch3-Na
23.53Single8RW4AzoSwitch28RW4-A2A-AzoSwitch2-Na
23.53Single8RWEStilSwitch48RWE-A2A-StilSwitch4-Na
23.53Single8U4PAMD31008U4P-CXCR4-AMD3100-Gi1/β1/γ2
23.53Single8WOGSuccinic acid8WOG-Succinate-Succinic acid-Gi1/β1/γ2
23.53Single8WPGTryptophan; Cinacalcet; PO4; Ca8WPG-CaS; CaS-Tryptophan; Cinacalcet; PO4; Ca
23.53Single8XXVIndomethacin8XXV-DP2-Indomethacin-A1D5Q-Gi1/β1/γ2
23.53Single8YKXMaleic acid8YKX-Succinate-Maleic acid-Gi1/β1/γ1
23.53Single8Z87CHBA8Z87-HCA1-CHBA-Gi1/β1/γ2
23.53Single9AVLCa; Ca; Cyclomethyltryptophan; R-568; PO49AVL-CaS; CaS-Ca-Ca; Ca; Cyclomethyltryptophan; R-568; PO4-Gi3/β2/γ2
23.53Single9C1PCa; Tryptophan; '6218; PO49C1P-CaS; CaS-Ca-Ca; Tryptophan; '6218; PO4
23.53Single9C2FCa; Ca; Tryptophan; '54149; PO49C2F-CaS; CaS-Ca-Ca; Ca; Tryptophan; '54149; PO4
23.53Single9FUPIstradefylline9FUP-A2A-Istradefylline-Na
23.53Single9JKXAcifran9JKX-HCA3-Acifran-Gi1/β1/γ2
23.53Single9K6LSalicin9K6L-TAS2R16-Salicin-Gi2/β1/γ2
23.53Single9KPESalicin9KPE-TAS2R16-Salicin-Gi1/β1/γ2
23.53Single9LKDPL459LKD-OR5V1-PL45
23.53Single9M88Oleic monoethanolamide9M88-GPR3 ; GPR3-Oleic monoethanolamide-AF64394
23.53Single9PEEPF-07054894; OXM29PEE-CCR6-PF-07054894; OXM2
23.53Consensusangiotensin_offOrthosteric Ligandat1_off
23.53Consensusgi_succinateOrthosteric Ligand8YKW-Succinate-Succinic acid-Gi1/β1/γ1 8YKX-Succinate-Maleic acid-Gi1/β1/γ1
23.53Consensusorexin_offOrthosteric Ligandox2_off ox1_off
23.53Consensusox1_offOrthosteric Ligand6TP6-OX1-Filorexant 6TP4-OX1-ACT-462206 6V9S-OX1-GTPL11403 6TOT-OX1-Lemborexant 6TP3-OX1-Nemorexant 6TQ6-OX1-PubChem 145714283 6TQ9-OX1-SB-408124 4ZJC-OX1-SB-674042 4ZJ8-OX1-Suvorexant 6TOD-OX1-EMPA-Na 6TOS-OX1-GSK1059865-Na 6TQ4-OX1-PubChem 16046844-Na
23.53Consensusox2_offOrthosteric Ligand5WQC-OX2-EMPA 6TPN-OX2-HTL6641 7XRR-OX2-Lemborexant 6TPJ-OX2-Suvorexant
23.53Consensusrhodopsin_on_gpOrthosteric Ligand6OYA-Rhodopsin-All-trans-Retinal-Gt/β1/γ1
23.53Consensussuccinate_onOrthosteric Ligand8YKW-Succinate-Succinic acid-Gi1/β1/γ1 8YKX-Succinate-Maleic acid-Gi1/β1/γ1
23.53Consensussuccinate_on_gpOrthosteric Ligand8YKW-Succinate-Succinic acid-Gi1/β1/γ1 8YKX-Succinate-Maleic acid-Gi1/β1/γ1
23.33Single5GLHEndothelin-15GLH-ETB-Endothelin-1
23.33Consensusccr5_on_gpOrthosteric Ligand7O7F-CCR5-6P4-CCL5-Gi1/β1/γ1 7F1Q-CCR5-CCL3-Gi1/β1/γ2
23.33Consensusgi_npyOrthosteric Ligand8K6M-Y1-Neuropeptide-Y-Gi2/β1/γ1 7X9C-Y4-Pancreatic Hormone-Gi1/β1/γ2 7YOO-Y2-Neuropeptide-Y-Gi1/β1/γ2
23.33Consensusnpy_onOrthosteric Ligandnpy1_on npy2_on npy4_on
23.33Consensusnpy_on_gpOrthosteric Ligandnpy1_on_gp npy2_on_gp npy4_on_gp
23.08Single4A4MAll-trans-Retinal4A4M-Rhodopsin-All-trans-Retinal-Gt(CT)
23.08Single5EN0All-trans-Retinal5EN0-Rhodopsin-All-trans-Retinal-Gt(CT)
23.08Single7F4HAfamelanotide7F4H-MC1-Afamelanotide-chim(NtGi1-Gs)/β1/γ2
23.08Single7T10Somatostatin-147T10-SST2-Somatostatin-14-Gi3/β1/γ2
23.08Single7W57Neuromedin-S7W57-NMUR2-Neuromedin-S-chim(NtGi1-Gs-CtGq)/β1/γ2
23.08Single7WUIIP157WUI-ADGRG2-IP15-chim(NtGi1-Gs)/β1/γ2
23.08Single7YONPeptide-YY(3-36)7YON-Y2-Peptide-YY(3-36)-Gi1/β1/γ2
23.08Single8GEJConstrained Epinephrine8GEJ-β2-Constrained Epinephrine-Gs/β1/γ2
23.08Single8IHFMK68928IHF-HCA2-MK6892-Gi1/β1/γ2
23.08Single8J6IMK68928J6I-HCA2-MK6892-Gi1/β1/γ2
23.08Single8WCBCyclohexylammonium Ion8WCB-TA1-Cyclohexylammonium Ion-chim(NtGi1-Gs-CtGq)/β1/γ2
23.08Single8WCCCyclohexylammonium Ion8WCC-TA1-Cyclohexylammonium Ion
23.08Consensusapelin_onOrthosteric Ligand8XZH-Apelin; Apelin-MM07-Gi1/β1/γ2 7W0M-Apelin-PubChem 122701908-Gi1/β1/γ2 8XZJ-Apelin; Apelin-WN353-Gi1/β1/γ2 8XZF-Apelin; Apelin-WN561-Gi1/β1/γ2 8XZG-Apelin; Apelin-Apelin-13-Gi1/β1/γ2
23.08Consensusapelin_on_gpOrthosteric Ligand8XZH-Apelin; Apelin-MM07-Gi1/β1/γ2 7W0M-Apelin-PubChem 122701908-Gi1/β1/γ2 8XZJ-Apelin; Apelin-WN353-Gi1/β1/γ2 8XZF-Apelin; Apelin-WN561-Gi1/β1/γ2 8XZG-Apelin; Apelin-Apelin-13-Gi1/β1/γ2
23.08Consensusc5a1_on_gpOrthosteric Ligand8HK5-C5a1-C5a-Gi1/β1/γ2 7Y66-C5a1-BM213-Gi1/β1/γ2 7Y67-C5a1-C089 peptide-Gi1/β1/γ2 7Y64-C5a1-C5a-Gi1/β1/γ2
23.08Consensuscxcr3_on_gpOrthosteric Ligand8HNK-CXCR3-CXCL11-Gi1/β1/γ2 8HNL-CXCR3-PS372424-Gi1/β1/γ2
23.08Consensusgi_formylpeptideOrthosteric Ligand7WVY-FPR2-ALX-Amyloid-β42-Gi2/β1/γ2 7T6U-FPR2-ALX-CGEN-855A-Gi1/β1/γ2 7VFX-FPR1-ALX-fMIFL-Gi1/β1/γ2 7T6V-FPR2-ALX-fMLFII-Gi1/β1/γ2 7WVX-FPR2-ALX-Humanin-Gi2/β1/γ2 7T6S-FPR2-ALX-TC-FPR 43-Gi1/β1/γ2 6OMM-FPR2-ALX-WKYMVX-Gi1/β1/γ2
22.73Single6K1QIRL25006K1Q-ETB-IRL2500
22.73Single7EZHCholecystokinin-87EZH-CCKA-Cholecystokinin-8-Gi1/β1/γ2
22.73Single7EZMCholecystokinin-87EZM-CCKA-Cholecystokinin-8-chim(NtGsL-Gq)/β1/γ2
22.73Single7XK2MK68927XK2-HCA2-MK6892-Gi1/β1/γ2
22.73Single7Y27Somatostatin-147Y27-SST2-Somatostatin-14-chim(NtGi2L-Gs-CtGq)/β1/γ2
22.73Single7Y65C5a (C-terminal peptide)7Y65-C5a1-C5a (C-terminal peptide)-Gi1/β1/γ2
22.73Single8GUTLEI-1028GUT-CB2-LEI-102-Gi1/β1/γ2
22.73Single8HN1Toxin AdTx18HN1-Alpha1A-Toxin AdTx1
22.73Single8IJDMK68928IJD-HCA2-MK6892-Gi1/β1/γ2
22.73Single8K2XCXCL108K2X-CXCR3-CXCL10-Gi1/β1/γ2
22.73Single8XGSKisspeptin-18XGS-Kiss1-Kisspeptin-1-chim(NtGi1-Gq)/β1/γ2
22.73Single8XJOU466198XJO-TXA2-U46619-chim(NtGi1-Gs-CtGq)/β1/γ2
22.73Single9EAILosartan9EAI-AT1-Losartan-Nanobody AT209
22.73Single9IZFLPA9IZF-LPA1-LPA-Gi1/β1/γ2
22.73Single9KT8Acifran9KT8-HCA2-Acifran-Gi1/β1/γ2
22.73Single9UYMChemerin-99UYM-CML2-Chemerin-9-chim(Arrestin3-CtArrestin2)
22.73Consensuscb1_on_gpOrthosteric Ligand6KPG-CB1-AM841-Gi1/β1/γ2 8K8J-CB1-Fenofibrate-chim(Gs-CtGq)/β1/γ2
22.73Consensusccka_onOrthosteric Ligand7EZH-CCKA-Cholecystokinin-8-Gi1/β1/γ2
22.73Consensusccka_on_gpOrthosteric Ligand7EZH-CCKA-Cholecystokinin-8-Gi1/β1/γ2
22.73Consensuschemerin_onOrthosteric Ligandcml1_on
22.73Consensusfp-alpha_onOrthosteric Ligand8IUK-FP-alpha-PGF2-α-chim(NtGi1-Gs-CtGq)/β1/γ2 8IUL-FP-alpha-Latanoprost-chim(NtGi1-Gs-CtGq)/β1/γ2 8IUM-FP-alpha-Tafluprost acid-chim(NtGi1-Gs-CtGq)/β1/γ2
22.73Consensusfp-alpha_on_gpOrthosteric Ligand8IUK-FP-alpha-PGF2-α-chim(NtGi1-Gs-CtGq)/β1/γ2 8IUL-FP-alpha-Latanoprost-chim(NtGi1-Gs-CtGq)/β1/γ2 8IUM-FP-alpha-Tafluprost acid-chim(NtGi1-Gs-CtGq)/β1/γ2
22.73Consensusnk2_onOrthosteric Ligand7XWO-NK2-Neurokinin-A-chim(NtGi1-Gs-CtGq)/β1/γ2
22.73Consensusprostanoid_onOrthosteric Ligandtp_on fp-alpha_on
22.73Consensusprostanoid_on_gpOrthosteric Ligandtp_on_gp fp-alpha_on_gp
22.73Consensustp_onOrthosteric Ligand8XJO-TXA2-U46619-chim(NtGi1-Gs-CtGq)/β1/γ2
22.73Consensustp_on_gpOrthosteric Ligand8XJO-TXA2-U46619-chim(NtGi1-Gs-CtGq)/β1/γ2
22.22Single3V2YPubChem 518926453V2Y-S1P1-PubChem 51892645
22.22Single4ZUDOlmesartan4ZUD-AT1-Olmesartan
22.22Single5IU4ZM-2413855IU4-A2A-ZM-241385-Na
22.22Single5IUBQ274563445IUB-A2A-Q27456344-Na
22.22Single5K2CZM-2413855K2C-A2A-ZM-241385-Na
22.22Single5NM4ZM-2413855NM4-A2A-ZM-241385-Na
22.22Single5TE3Octyl-Beta-D-Glucopyranoside5TE3-Rhodopsin-Octyl-β-D-Glucopyranoside
22.22Single6FFIMPEP6FFI-mGlu5-MPEP
22.22Single6ME42-Iodomelatonin6ME4-MT1-2-Iodomelatonin
22.22Single6TOSGSK10598656TOS-OX1-GSK1059865-Na
22.22Single6TP3Nemorexant6TP3-OX1-Nemorexant
22.22Single6TPKRetosiban6TPK-OT-Retosiban
22.22Single6V9SGTPL114036V9S-OX1-GTPL11403
22.22Single6WJCMuscarinic toxin 76WJC-M1-Atropine-Muscarinic toxin 7
22.22Single6ZDVPubChem 9840736ZDV-A2A-PubChem 984073-Na
22.22Single7BB6AVP7BB6-V2-AVP-Gs/β1/γ2
22.22Single7F6HBradykinin7F6H-BK2-Bradykinin-Gq/β1/γ2
22.22Single7F6IKallidin7F6I-BK2-Kallidin-Gq/β1/γ2
22.22Single7F9YGhrelin7F9Y-Ghrelin-Ghrelin-chim(NtGi1-Gs-CtGq)/β1/γ2
22.22Single7T94LY21196207T94-M2-Acetylcholine-LY2119620-chim(NtGi1-Go)/β1/γ2
22.22Single7VL9CCL15(26-92)7VL9-CCR1-CCL15(26-92)-Gi1/β1/γ2
22.22Single7WVUfMLF7WVU-FPR1-ALX-fMLF-Gi1/β1/γ2
22.22Single7X9BNeuropeptide-Y7X9B-Y2-Neuropeptide-Y-Gi1/β1/γ2
22.22Single7Y64C5a7Y64-C5a1-C5a-Gi1/β1/γ2
22.22Single7YK6PubChem 1383196747YK6-RXFP4-PubChem 138319674-Gi2/β1/γ2
22.22Single8HCQEndothelin-18HCQ-ETA-Endothelin-1-chim(NtGi1-Gs-CtGq)/β1/γ2
22.22Single8IODPG-9018IOD-MC5-PG-901-Ca-chim(NtGi1-Gs)/β1/γ2
22.22Single8IY9Niacin8IY9-HCA2-Niacin-Go/β1/γ2
22.22Single8JEIPubChem 117155568JEI-HCAR3-PubChem 11715556-Gi1/β1/γ2
22.22Single8JERAcipimox8JER-HCA2-Acipimox-Go/β1/γ2
22.22Single8JIMMonomethyl fumarate8JIM-HCA2-Monomethyl fumarate-Gi1/β1/γ2
22.22Single8K5CAcipimox8K5C-HCA2-Acipimox
22.22Single8WPUTryptophan; Cinacalcet; PO4; Ca8WPU-CaS; CaS-Tryptophan; Cinacalcet; PO4; Ca-chim(NtGi2L-Gs-CtGq)/β1/γ2
22.22Single8XVHEndothelin-18XVH-ETB-Endothelin-1-chim(Gs-CtGq)/β1/γ2
22.22Single8Y62C16:0 Ceramide8Y62-FPR2-ALX-C16:0 Ceramide-Gi1/β1/γ2
22.22Single8ZPSPrRP208ZPS-PrRP-PrRP20-chim(NtGi1-Gs-CtGi1)/β1/γ2
22.22Single9ASBCa; Ca; Cyclomethyltryptophan; R-568; PO49ASB-CaS; CaS-Ca-Ca; Ca; Cyclomethyltryptophan; R-568; PO4-chim(NtGi1-Gs-CtGq)/β1/γ2
22.22Single9ASBCa; Ca; Cyclomethyltryptophan; R-568; PO49ASB-CaS; CaS-Ca-Ca; Ca; Cyclomethyltryptophan; R-568; PO4-chim(NtGi1-Gs-CtGq)/β1/γ2
22.22Single9AVGCa; Ca; Cyclomethyltryptophan; R-568; PO49AVG-CaS; CaS-Ca-Ca; Ca; Cyclomethyltryptophan; R-568; PO4-chim(NtGi1-Gs)/β1/γ2
22.22Single9LKBPL459LKB-OR5V1-PL45-chim(NtGi1-Gs)/β1
22.22Consensusat1_offOrthosteric Ligand4YAY-AT1-ZD-7155 4ZUD-AT1-Olmesartan
22.22Consensuschemokine_offOrthosteric Ligandccr_off cxcr_off
22.22Consensuschemokine_on_gpOrthosteric Ligandccr_on_gp cxcr_on_gp
22.22Consensuscxcr_offOrthosteric Ligandcxcr3_off cxcr4_off
22.22Consensuseta_onOrthosteric Ligand8HCQ-ETA-Endothelin-1-chim(NtGi1-Gs-CtGq)/β1/γ2
22.22Consensuseta_on_gpOrthosteric Ligand8HCQ-ETA-Endothelin-1-chim(NtGi1-Gs-CtGq)/β1/γ2
22.22Consensusgi_apelinOrthosteric Ligand8XZH-Apelin; Apelin-MM07-Gi1/β1/γ2 7W0M-Apelin-PubChem 122701908-Gi1/β1/γ2 8XZJ-Apelin; Apelin-WN353-Gi1/β1/γ2 8XZF-Apelin; Apelin-WN561-Gi1/β1/γ2 8XZG-Apelin; Apelin-Apelin-13-Gi1/β1/γ2
22.22Consensusgi_chemokineOrthosteric Ligand6WWZ-CCR6-CCL20-Go/β1/γ2 8HNK-CXCR3-CXCL11-Gi1/β1/γ2 8K3Z-CXCR4-CXCL12-Gi1/β1/γ1 8IC0-CXCR1-CXCL8-Gi1/β1/γ2 6LFM-CXCR2-CXCL8-Gi1/β1/γ2 8KFX-CCR8-LMD-009-Gi1/β1/γ2 7F1Q-CCR5-CCL3-Gi1/β1/γ2 8HNL-CXCR3-PS372424-Gi1/β1/γ2 8KFY-CCR8-ZK-756326-Gi1/β1/γ2 7O7F-CCR5-6P4-CCL5-Gi1/β1/γ1 8U1U-CCR8-CCL1-Gi1/β1/γ2 7VLA-CCR1-CCL15(27-92)-Gi1/β1/γ2 7XA3-CCR2-CCL2-Gi1/β1/γ2
22.22Consensushca_onOrthosteric Ligandhca2_on
22.22Consensusnucleotide_offOrthosteric Ligandadenosine_off p2y_off
22.22Consensusot_offOrthosteric Ligand6TPK-OT-Retosiban
22.22Consensusvasop-oxy_offOrthosteric Ligandot_off
21.88Single6LRYSarafotoxin-B6LRY-ETB-Sarafotoxin-B
21.74Single6C1QPMX536C1Q-C5a1-PMX53-NDT9513727
21.74Single6OMMWKYMVX6OMM-FPR2-ALX-WKYMVX-Gi1/β1/γ2
21.74Single6XBJCholesterol6XBJ-SMO-Cholesterol-Gi1/β1/γ2
21.74Single7F8WGastrin-177F8W-CCKB-Gastrin-17-chim(NtGsL-Gq)/β1/γ2
21.74Single7RKFCX3CL17RKF-US28-CX3CL1-GDP-chim(NtGi1-G11)/β1/γ2
21.74Single7RKNCX3CL17RKN-US28-CX3CL1-Gi1/β1/γ2
21.74Single7XBXCX3CL17XBX-CX3CR1-CX3CL1-Gi1/β1/γ2
21.74Single7Y1FDynorphin7Y1F-κ-Dynorphin-Gi1/β1/γ2
21.74Single8H4IDoconexent8H4I-FFA4-Doconexent-chim(NtGi1-Gs)/β1/γ2
21.74Single8IUMTafluprost acid8IUM-FP-alpha-Tafluprost acid-chim(NtGi1-Gs-CtGq)/β1/γ2
21.74Single8X3LXWD8X3L-CB2-XWD-Gi1/β1/γ2
21.74Single8XZFWN5618XZF-Apelin; Apelin-WN561-Gi1/β1/γ2
21.74Single9IPYJR14a9IPY-C3aB-JR14a
21.74Single9IZASCH9002719IZA-HCA2-SCH900271-Gi1/β1/γ2
21.74Single9KX6C5a-des-Arg9KX6-C5a1-C5a-des-Arg-Go/β1/γ2
21.74Single9WSXEndomorphin9WSX-μ-Endomorphin-Arrestin2
21.74Consensuscxcr3_onOrthosteric Ligand8HNK-CXCR3-CXCL11-Gi1/β1/γ2 8HNL-CXCR3-PS372424-Gi1/β1/γ2
21.74Consensuscxcr_on_gpOrthosteric Ligandcxcr3_on_gp cxcr4_on_gp cxcr1_on_gp cxcr2_on_gp
21.74Consensusgq_cckOrthosteric Ligand8IA7-CCKB-Cholecystokinin-8-chim(NtGi1L-Gq)/β1/γ2 7XOW-CCKB-Sulfated Gastrin-(10-17)-chim(NtGi1-Gq)/β1/γ2 7EZM-CCKA-Cholecystokinin-8-chim(NtGsL-Gq)/β1/γ2 7F8W-CCKB-Gastrin-17-chim(NtGsL-Gq)/β1/γ2
21.74Consensusnmur1_onOrthosteric Ligand7W53-NMUR1-Neuromedin-U-25-chim(NtGi1-Gs-CtGq)/β1/γ2
21.43Single4XT3CX3CL14XT3-US28-CX3CL1
21.43Single7V68LY21196207V68-M4-Iperoxo-LY2119620-Gi1/β1/γ2
21.43Single7W3ZGastrin Releasing Peptide7W3Z-BB2-Gastrin Releasing Peptide-chim(NtGi1L-Gq)/β1/γ2
21.43Single7WC4Serotonin7WC4-5-HT2A-Serotonin
21.43Consensuspac_on_gpOrthosteric Ligandpac1_on_gp
21.21Single7X9ANeuropeptide-Y7X9A-Y1-Neuropeptide-Y-Gi1/β1/γ2
21.05Single4J4QOctyl Beta-D-Glucopyranoside4J4Q-Rhodopsin-Octyl β-D-Glucopyranoside-Gt(CT)
21.05Single4YAYZD-71554YAY-AT1-ZD-7155
21.05Single5UENDU1725UEN-A1-DU172
21.05Single5ZKPSR274175ZKP-PAF-SR27417
21.05Single6FFHFenobam6FFH-mGlu5-Fenobam
21.05Single6GPSMK08126GPS-CCR2-MK0812
21.05Single6IIVDaltroban6IIV-TXA2-Daltroban
21.05Single6XBM25(S)-Epoxycholesterol6XBM-SMO-25(S)-Epoxycholesterol-Gi1/β1/γ2
21.05Single7DB6Ramelteon7DB6-MT1-Ramelteon-Gi1/β1/γ2
21.05Single7F83PF-051904577F83-Ghrelin-PF-05190457
21.05Single7TRQVU04671547TRQ-M4-Iperoxo-VU0467154-Gi1/β1/γ2
21.05Single7V3ZCP559407V3Z-CB1-CP55940
21.05Single7VH0Ramelteon7VH0-MT2-Ramelteon-Gi1/β1/γ1
21.05Single8I7VAcipimox8I7V-HCA2-Acipimox-Gi1/β1/γ2
21.05Single8J6PNiacin8J6P-HCA2-Niacin-PubChem 25101223-Gi1/β1/γ2
21.05Single8JHNMonomethyl fumarate8JHN-HCA2-Monomethyl fumarate-Go/β1/γ2
21.05Single8JIINiacin8JII-HCA2-Niacin-PubChem 25101223-Gi1/β1/γ2
21.05Single9JGKBalovaptan9JGK-5-HT2B-Balovaptan
21.05Consensuscck_offOrthosteric Ligandccka_off
21.05Consensusccka_offOrthosteric Ligand7F8Y-CCKA-Devazepide 7F8U-CCKA-Lintitript
21.05Consensusccr2_offOrthosteric Ligand6GPS-CCR2-MK0812
21.05Consensusgi_hcaOrthosteric Ligand8J6R-HCA2-MK6892-Gi1/β1/γ2 8JIM-HCA2-Monomethyl fumarate-Gi1/β1/γ2 8IHI-HCA2-Acifran-Gi1/β1/γ2 8IHH-HCA2-LUF6283-Gi1/β1/γ2 8I7V-HCA2-Acipimox-Gi1/β1/γ2 8I7W-HCA2-GSK256073-Gi1/β1/γ2
21.05Consensushca2_onOrthosteric Ligand8J6R-HCA2-MK6892-Gi1/β1/γ2 8JIM-HCA2-Monomethyl fumarate-Gi1/β1/γ2 8I7V-HCA2-Acipimox-Gi1/β1/γ2 8I7W-HCA2-GSK256073-Gi1/β1/γ2 8IHH-HCA2-LUF6283-Gi1/β1/γ2 8IHI-HCA2-Acifran-Gi1/β1/γ2
21.05Consensushca2_on_gpOrthosteric Ligand8J6R-HCA2-MK6892-Gi1/β1/γ2 8IHI-HCA2-Acifran-Gi1/β1/γ2 8IHH-HCA2-LUF6283-Gi1/β1/γ2 8I7V-HCA2-Acipimox-Gi1/β1/γ2 8JIM-HCA2-Monomethyl fumarate-Gi1/β1/γ2 8I7W-HCA2-GSK256073-Gi1/β1/γ2
21.05Consensushca_on_gpOrthosteric Ligandhca2_on_gp
20.83Single4XT1CX3CL14XT1-US28-CX3CL1
20.83Single7F4ISHU91197F4I-MC1-SHU9119-chim(NtGi1-Gs)/β1/γ2
20.83Single7NA7Ghrelin7NA7-Ghrelin-Ghrelin-Gi1/β1/γ2
20.83Single7T6UCGEN-855A7T6U-FPR2-ALX-CGEN-855A-Gi1/β1/γ2
20.83Single8G59TUG-8918G59-FFA4-TUG-891-chim(Gi1-CtGq)/β1/γ2
20.83Single8J6RMK68928J6R-HCA2-MK6892-Gi1/β1/γ2
20.83Single8K3ZCXCL128K3Z-CXCR4-CXCL12-Gi1/β1/γ1
20.83Single8U4OCXCL128U4O-CXCR4-CXCL12-Gi1/β1/γ2
20.83Single8WKYPG-9348WKY-MC4-PG-934
20.83Single8WZ2Orexigenic Neuropeptide QRFP8WZ2-QRFP-Orexigenic Neuropeptide QRFP-chim(NtGi1L-Gs-CtGq)/β1/γ2
20.83Single8ZJDKisspeptin-18ZJD-Kiss1-Kisspeptin-1-chim(NtGi1-Gq)/β1/γ1
20.83Single9L3YChemerin9L3Y-CML2-Chemerin-Gi1/β1/γ2
20.83Consensuschemokine_onOrthosteric Ligandccr_on cxcr_on
20.83Consensusgq_kisspeptinOrthosteric Ligand8ZJD-Kiss1-Kisspeptin-1-chim(NtGi1-Gq)/β1/γ1
20.83Consensuskiss1_on_gpOrthosteric Ligand8ZJD-Kiss1-Kisspeptin-1-chim(NtGi1-Gq)/β1/γ1
20.83Consensuskisspeptin_on_gpOrthosteric Ligandkiss1_on_gp
20.83Consensuslpl_onOrthosteric Ligands1p_on lpa_on
20.83Consensuslpl_on_gpOrthosteric Ligands1p_on_gp lpa_on_gp
20.69Single6B3JExendin-P56B3J-GLP-1-Exendin-P5-Gs/β1/γ2
20.69Single7F4FAfamelanotide7F4F-MC1-Afamelanotide-chim(NtGi1-Gs)/β1/γ2
20.69Single7XATSomatostatin-147XAT-SST2-Somatostatin-14-Gi1/β1/γ2
20.69Single9BUCCagrilintide9BUC-CT-Cagrilintide-Gs/β1/γ2
20.69Consensuscrf_onOrthosteric Ligandcrf2_on crf1_on
20.00Single3OE8IT1t3OE8-CXCR4-IT1t
20.00Single3RFMCaffeine3RFM-A2A-Caffeine
20.00Single6GPXMK08126GPX-CCR2-MK0812
20.00Single6KPCAM120336KPC-CB2-AM12033
20.00Single6LFMCXCL86LFM-CXCR2-CXCL8-Gi1/β1/γ2
20.00Single6TQ9SB-4081246TQ9-OX1-SB-408124
20.00Single7C6A(Sar1,Ile8)-Angiotensin II7C6A-AT2-(Sar1,Ile8)-Angiotensin II
20.00Single7MTBAll-trans-Retinal7MTB-Rhodopsin-All-trans-Retinal-GRK1
20.00Single7TD3S1P7TD3-S1P1-S1P-Gi1/β1/γ2
20.00Single7TS0Urocortin7TS0-CRF2-Urocortin-chim(NtGi1L-Go)/β1/γ2
20.00Single7VFXfMIFL7VFX-FPR1-ALX-fMIFL-Gi1/β1/γ2
20.00Single7Y26Octreotide7Y26-SST2-Octreotide-chim(NtGi2L-Gs-CtGq)/β1/γ2
20.00Single8A2OTheophylline8A2O-A2A-Theophylline-Na
20.00Single8GD9Rivenprost8GD9-EP4-Rivenprost-Gs/β1/γ2
20.00Single8GDCPGE28GDC-EP3-PGE2-Gi1/β1/γ2
20.00Single8K6ONeuropeptide-Y8K6O-Y1-Neuropeptide-Y-Gi2/β1/γ1
20.00Single8UUJFCH-22964138UUJ-HCA2-FCH-2296413-Gi1/β1/γ2
20.00Single8X0BVU04244658X0B-mGlu5; mGlu5-Quisqualate-VU0424465
20.00Single8Y02All-trans-Retinal8Y02-OPN1SW-All-trans-Retinal-Gi1/β1/γ2
20.00Single8ZPTPrRP208ZPT-PrRP-PrRP20-chim(NtGi1-Gs-CtGq)/β1/γ2
20.00Single9CIBFCH-22964139CIB-HCA2-FCH-2296413
20.00Single9E82CXCL12 (fragment)9E82-ACKR3-CXCL12 (fragment)-Arrestin2
20.00Single9EAINanobody AT2099EAI-AT1-Losartan-Nanobody AT209
20.00Single9ERXD9-THC analog9ERX-CB1-D9-THC analog-Gi1/β1/γ2
20.00Single9HC04YI9HC0-mGlu5-4YI
20.00Single9JKSPubChem 442501769JKS-HCA3-PubChem 44250176-Gi1/β1/γ2
20.00Single9KT7MK68929KT7-HCA2-MK6892-Gi1/β1/γ2
20.00Single9L0HJR14a9L0H-C3aB-JR14a-Go/β1/γ2
20.00Consensusblt1_offOrthosteric Ligand5X33-BLT1-BIIL260 7K15-BLT1-MKD046-Na
20.00Consensusblt_offOrthosteric Ligandblt1_off
20.00Consensusccr8_on_gpOrthosteric Ligand8KFX-CCR8-LMD-009-Gi1/β1/γ2 8KFY-CCR8-ZK-756326-Gi1/β1/γ2 8U1U-CCR8-CCL1-Gi1/β1/γ2
20.00Consensuscxcr2_on_gpOrthosteric Ligand6LFM-CXCR2-CXCL8-Gi1/β1/γ2
20.00Consensusfpr1-alx_onOrthosteric Ligand7VFX-FPR1-ALX-fMIFL-Gi1/β1/γ2
20.00Consensusfpr1-alx_on_gpOrthosteric Ligand7VFX-FPR1-ALX-fMIFL-Gi1/β1/γ2
20.00Consensuslipid_onOrthosteric Ligandcannabinoid_on ffa_on lpl_on prostanoid_on leukotriene_on
20.00Consensuslipid_on_gpOrthosteric Ligandcannabinoid_on_gp ffa_on_gp lpl_on_gp prostanoid_on_gp leukotriene_on_gp
20.00Consensusmc2_onOrthosteric Ligand8GY7-MC2-Corticotropin-Ca-chim(NtGi1-Gs)/β1/γ2; MRAP1
20.00Consensusmc2_on_gpOrthosteric Ligand8GY7-MC2-Corticotropin-Ca-chim(NtGi1-Gs)/β1/γ2; MRAP1
20.00Consensusmc5_onOrthosteric Ligand8INR-MC5-α-MSH-Ca-chim(NtGi1-Gs)/β1/γ2 8IOD-MC5-PG-901-Ca-chim(NtGi1-Gs)/β1/γ2
19.35Single6PB0Urocortin6PB0-CRF1-Urocortin-chim(NtGi1-Gs)/β1/γ2
19.35Single8U1UCCL18U1U-CCR8-CCL1-Gi1/β1/γ2
19.23Single3OE0CVX153OE0-CXCR4-CVX15
19.23Single6LW5WKYMVm6LW5-FPR2-ALX-WKYMVm
19.23Single6MEOGp160; CD46MEO-CCR5-Gp160; CD4
19.23Single6VN7PACAP276VN7-VPAC1-PACAP27-Gs/β1/γ2
19.23Single6W25SHU91196W25-MC4-SHU9119-Ca
19.23Single7F4DAlpha-MSH7F4D-MC1-α-MSH-chim(NtGi1-Gs)/β1/γ2
19.23Single7MBXCholecystokinin-87MBX-CCKA-Cholecystokinin-8-Gs/β1/γ1
19.23Single7O7F6P4-CCL57O7F-CCR5-6P4-CCL5-Gi1/β1/γ1
19.23Single8K6MNeuropeptide-Y8K6M-Y1-Neuropeptide-Y-Gi2/β1/γ1
19.23Single8W8YGamma-MSH8W8Y-MC3-γ-MSH-Ca-Gs/β1/γ2
19.23Single8WKZSBL-MC-318WKZ-MC4-SBL-MC-31
19.23Single8XZGApelin-138XZG-Apelin; Apelin-Apelin-13-Gi1/β1/γ2
19.23Single8XZHMM078XZH-Apelin; Apelin-MM07-Gi1/β1/γ2
19.23Single9K27PrRP319K27-PrRP-PrRP31-chim(NtGi1-Gq)/β1/γ2
19.23Consensusccr_onOrthosteric Ligandccr6_on ccr8_on ccr2_on ccr1_on ccr5_on
19.23Consensuscxcr4_on_gpOrthosteric Ligand8K3Z-CXCR4-CXCL12-Gi1/β1/γ1
19.23Consensusnpy1_onOrthosteric Ligand8K6M-Y1-Neuropeptide-Y-Gi2/β1/γ1
19.23Consensusnpy1_on_gpOrthosteric Ligand8K6M-Y1-Neuropeptide-Y-Gi2/β1/γ1
19.05Single4OO9Mavoglurant4OO9-mGlu5-Mavoglurant
19.05Single5XRAAM115425XRA-CB1-AM11542
19.05Single6O3CCholesterol6O3C-SMO-SAG21k-Cholesterol
19.05Single6OS1TRV0266OS1-AT1-TRV026
19.05Single7F58THIQ7F58-MC4-THIQ-Gs/β1/γ2
19.05Single7FEECP559407FEE-CB1-CP55940-ZCZ011
19.05Single7P2L4YI7P2L-mGlu5-4YI
19.05Single7TD1LPA7TD1-LPA1-LPA-Gi1/β1/γ2
19.05Single7WV9CP559407WV9-CB1-CP55940-ZCZ011-Gi2/β1/γ2
19.05Single7XOWSulfated Gastrin-(10-17)7XOW-CCKB-Sulfated Gastrin-(10-17)-chim(NtGi1-Gq)/β1/γ2
19.05Single7XWONeurokinin-A7XWO-NK2-Neurokinin-A-chim(NtGi1-Gs-CtGq)/β1/γ2
19.05Single7Y67C089 peptide7Y67-C5a1-C089 peptide-Gi1/β1/γ2
19.05Single8GUSHU-3088GUS-CB2-HU-308-Gi1/β1/γ2
19.05Single8HQCC5a8HQC-C5a1-C5a-Go/β1/γ2
19.05Single8I9LC3a8I9L-C3aB-C3a-Go/β1/γ2
19.05Single8IHBGSK2560738IHB-HCA2-GSK256073-Gi1/β1/γ2
19.05Single8IUKPGF2-alpha8IUK-FP-alpha-PGF2-α-chim(NtGi1-Gs-CtGq)/β1/γ2
19.05Single8JD5JNJ-40411813; ADX881788JD5-mGlu2; mGlu4-Glutamate-JNJ-40411813; ADX88178-Gi1/β1/γ2
19.05Single8TAOCDPPB8TAO-mGlu5; mGlu5-Quisqualate-CDPPB
19.05Single8X79MRE-2698X79-I2-MRE-269-Gs/β1/γ2
19.05Single9B65MDMB-Fubinaca9B65-CB1-MDMB-Fubinaca-Gi1/β1/γ2
19.05Single9RHGC4079RHG-FZD7-C407
19.05Consensuscyslt1_offOrthosteric Ligand6RZ5-CysLT1-Zafirlukast-Na 6RZ4-CysLT1-Pranlukast-Na
19.05Consensusmotilin_onOrthosteric Ligand8IBU-Motilin-Erythromycin-A-chim(NtGi1-Gs-CtGq)/β1/γ2
19.05Consensusnk2_on_gpOrthosteric Ligand7XWO-NK2-Neurokinin-A-chim(NtGi1-Gs-CtGq)/β1/γ2
19.05Consensusnpy1_offOrthosteric Ligand5ZBH-Y1-BMS-193885 5ZBQ-Y1-UR-MK-299
18.75Single2ZIY11-cis-Retinal2ZIY-Rhodopsin-11-cis-Retinal
18.75Single3OE6IT1t3OE6-CXCR4-IT1t
18.75Single5WKTOctyl-Beta-D-Glucopyranoside5WKT-Rhodopsin-Octyl-β-D-Glucopyranoside-Gt(CT)
18.75Single6OIKLY21196206OIK-M2-Iperoxo-LY2119620-chim(NtGi1-Go)/β1/γ2
18.75Single7MT9All-trans-Retinal7MT9-Rhodopsin-All-trans-Retinal-GRK1
18.75Single7MTAAll-trans-Retinal7MTA-Rhodopsin-All-trans-Retinal-GRK1
18.75Single7V6APubChem 98642757V6A-M4-PubChem 9864275-Gi1/β1/γ2
18.75Single7WC5Psilocin7WC5-5-HT2A-Psilocin
18.75Single8EITDoconexent8EIT-FFA1-Doconexent-chim(NtGi1L-Gs-CtGq)/β1/γ2
18.75Single8J21Butyric acid8J21-FFA3-Butyric acid-Gi1/β1/γ2
18.75Single8J24Acetic acid8J24-FFA2-Acetic acid-Gi1/β1/γ2
18.75Single8SZFCa; Ca; Tryptophan; Cinacalcet; PO4; Spermine8SZF-CaS; CaS-Ca; Ca; Tryptophan; Cinacalcet; PO4; Spermine
18.75Single9KT93,5-DHBA9KT9-HCA1-3,5-DHBA-Gi1/β1/γ2
18.75Consensusffa3_onOrthosteric Ligand8J21-FFA3-Butyric acid-Gi1/β1/γ2
18.75Consensusffa3_on_gpOrthosteric Ligand8J21-FFA3-Butyric acid-Gi1/β1/γ2
18.75Consensusmelanocortin_onOrthosteric Ligandmc1_on mc4_on mc2_on mc3_on mc5_on
18.75Consensusmelanocortin_on_gpOrthosteric Ligandmc1_on_gp mc4_on_gp mc2_on_gp mc3_on_gp mc5_on_gp
18.52Single5WB2CX3CL1.355WB2-US28-CX3CL1.35
18.52Single6METGp160; CD46MET-CCR5-Gp160; CD4
18.52Single6WI9Secretin6WI9-Secretin-Secretin-Gs/β1/γ2
18.52Single6WIVPubChem 52923113; PubChem 529246456WIV-GABAB1, GABAB2-PubChem 52923113; PubChem 52924645
18.52Single7DW9AVP7DW9-V2-AVP-chim(NtGi1-Gs)/β1/γ2
18.52Single7FIMTirzepatide7FIM-GLP-1-Tirzepatide-Gs/β1/γ2
18.52Single7KH0AVP7KH0-V2-AVP-chim(NtGi1-Gs)/β1/γ2
18.52Single7V9MSomatoliberin7V9M-GHRH (SV1)-Somatoliberin-Gs/β1/γ2
18.52Consensusgs_vasop-oxyOrthosteric Ligand7DW9-V2-AVP-chim(NtGi1-Gs)/β1/γ2
18.52Consensusmc5_on_gpOrthosteric Ligand8INR-MC5-α-MSH-Ca-chim(NtGi1-Gs)/β1/γ2 8IOD-MC5-PG-901-Ca-chim(NtGi1-Gs)/β1/γ2
18.52Consensusneuromedin-u_onOrthosteric Ligandnmur1_on nmur2_on
18.52Consensusp2y_on_gpOrthosteric Ligandp2y1_on_gp p2y10_on_gp p2y12_on_gp
18.52Consensusprotein_offonOrthosteric Ligandprotein_off protein_on
18.52Consensusprotein_offon_gpOrthosteric Ligandprotein_on_gp protein_off
18.52Consensusv2_onOrthosteric Ligand7DW9-V2-AVP-chim(NtGi1-Gs)/β1/γ2
18.52Consensusv2_on_gpOrthosteric Ligand7DW9-V2-AVP-chim(NtGi1-Gs)/β1/γ2
18.52Consensusvasop-oxy_onOrthosteric Ligandv2_on
18.52Consensusvasop-oxy_on_gpOrthosteric Ligandv2_on_gp
18.18Single4N4WSANT-14N4W-SMO-SANT-1
18.18Single4OR2FITM4OR2-mGlu1; mGlu1-FITM
18.18Single5X33BIIL2605X33-BLT1-BIIL260
18.18Single6AK3PGE26AK3-EP3-PGE2
18.18Single6IIURamatroban6IIU-TXA2-Ramatroban
18.18Single6KQICP559406KQI-CB1-CP55940-Org27569
18.18Single6OS2TRV0266OS2-AT1-TRV026
18.18Single7EO4Siponimod7EO4-S1P1-Siponimod-Gi1/β1/γ2
18.18Single8GCPPGE28GCP-EP4-PGE2-Gi1/β1/γ2
18.18Single8H0QGastrin Releasing Peptide8H0Q-BB2-Gastrin Releasing Peptide-chim(NtGi1-Gs-CtGq)/β1/γ2
18.18Single8IBUErythromycin-A8IBU-Motilin-Erythromycin-A-chim(NtGi1-Gs-CtGq)/β1/γ2
18.18Single8U26Substance-P8U26-NK1-Substance-P-Gs/β1/γ2
18.18Single9BJKPubChem 1716420669BJK-μ-Naloxone-PubChem 171642066
18.18Single9DGIZ85267113509DGI-CB1-Z8526711350
18.18Single9IZHLPA9IZH-LPA1-LPA-chim(NtGi2-G13)/β1/γ2
18.18Single9VIFNeuropeptide-VF9VIF-NPFF1-Neuropeptide-VF-Gi1/β1/γ2
18.18Single9W32SSTR5 antagonist 19W32-SST5-SSTR5 antagonist 1
18.18Consensuscb1_onOrthosteric Ligand6KPG-CB1-AM841-Gi1/β1/γ2 8K8J-CB1-Fenofibrate-chim(Gs-CtGq)/β1/γ2
18.18Consensuscrf_on_gpOrthosteric Ligandcrf2_on_gp crf1_on_gp
18.18Consensuscxcr_onOrthosteric Ligandcxcr3_on cxcr4_on cxcr1_on cxcr2_on
18.18Consensusgs_peptideOrthosteric Ligandgs_cck gs_melanocortin gs_vasop-oxy
18.18Consensuslipid_offonOrthosteric Ligandlipid_off lipid_on
18.18Consensuslipid_offon_gpOrthosteric Ligandlipid_on_gp lipid_off
18.18Consensusmotilin_on_gpOrthosteric Ligand8IBU-Motilin-Erythromycin-A-chim(NtGi1-Gs-CtGq)/β1/γ2
17.86Single7QBIAlpha-factor mating pheromone7QBI-STE2; STE2-α-factor mating pheromone
17.86Single7WBJPACAP277WBJ-VPAC1-PACAP27-Gs/β1/γ2
17.86Single8E3YPACAP278E3Y-VPAC1-PACAP27-Gs/β1/γ2
17.86Single8E3ZVIP8E3Z-VPAC1-VIP-Gs/β1/γ2
17.86Single8HK5C5a8HK5-C5a1-C5a-Gi1/β1/γ2
17.86Single8HNKCXCL118HNK-CXCR3-CXCL11-Gi1/β1/γ2
17.86Single8IA2C5a8IA2-C5a1-C5a-Go/β1/γ2
17.86Consensusccr_on_gpOrthosteric Ligandccr6_on_gp ccr8_on_gp ccr2_on_gp ccr1_on_gp ccr5_on_gp
17.86Consensusneuromedin-u_on_gpOrthosteric Ligandnmur1_on_gp nmur2_on_gp
17.86Consensuspac_onOrthosteric Ligandpac1_on
17.65Single3OE9IT1t3OE9-CXCR4-IT1t
17.65Single6HLLCP999946HLL-NK1-CP99994
17.65Single6QNOAll-trans-Retinal6QNO-Rhodopsin-All-trans-Retinal-Gi1/β1/γ1
17.65Single6TP4ACT-4622066TP4-OX1-ACT-462206
17.65Single7D76Beclomethasone7D76-ADGRG3-Beclomethasone-Go/β1/γ2
17.65Single7T96LY21196207T96-M2-Acetylcholine-LY2119620-Go/β1/γ2
17.65Single7VUIJNJ-635330547VUI-GPR139-JNJ-63533054-GTP-chim(Gs-CtGq)/β1/γ2
17.65Single8JILNiacin8JIL-HCA2-Niacin-Gi1/β1/γ2
17.65Single8JPNCis-Epoxysuccinic acid8JPN-Succinate-Cis-Epoxysuccinic acid-Gi1/β1/γ1
17.65Single8WP1Cis-Epoxysuccinic acid8WP1-Succinate-Cis-Epoxysuccinic acid-Gi1/β1/γ2
17.65Single8WPUTryptophan; Cinacalcet; PO4; Ca8WPU-CaS; CaS-Tryptophan; Cinacalcet; PO4; Ca-chim(NtGi2L-Gs-CtGq)/β1/γ2
17.65Single9B9YTaranabant9B9Y-CB1-Taranabant
17.65Single9C1PCa; Tryptophan; '6218; PO49C1P-CaS; CaS-Ca-Ca; Tryptophan; '6218; PO4
17.65Single9IQTNiacin9IQT-HCA2-Niacin-Gi1/β1/γ2
17.65Single9IZDCHBA9IZD-HCA1-CHBA-Gi1/β1/γ2
17.65Single9M88Oleic monoethanolamide9M88-GPR3 ; GPR3-Oleic monoethanolamide-AF64394
17.65Single9YDAAll-trans-Retinal9YDA-Opsin1MW-All-trans-Retinal-chim(NtGi1L-Gs-CtGt)/β1/γ2
17.65Consensusclass-a_class-b1_cons_on_gpOrthosteric Ligandclass-a_on_gp class-b1_on_gp
17.39Single4OR2FITM4OR2-mGlu1; mGlu1-FITM
17.39Single6KPGAM8416KPG-CB1-AM841-Gi1/β1/γ2
17.39Single7LLLExendin-47LLL-GLP-1-Exendin-4-Gs/β1/γ2
17.39Single7X8RBOC57X8R-GLP-1-BOC5-Gs/β1/γ2
17.39Single7YU8ONO-07405567YU8-LPA1-ONO-0740556-Gi1/β1/γ2
17.39Single8GAGZ85267113508GAG-CB1-Z8526711350-Gi1/β1/γ2
17.39Single8ID8TUG-8918ID8-FFA4-TUG-891-Gi1/β1/γ2
17.39Single8K4OCXCL18K4O-KSHV-CXCL1-Gi1/β1/γ1
17.39Single8WRZAM8418WRZ-CB1-AM841-Arrestin2
17.39Single8ZPLHF511168ZPL-CXCR4-HF51116
17.39Single9C0KExendin-49C0K-GLP-1-Exendin-4-Gs/β1/γ2
17.39Single9GE3Lysophosphatidylinositol9GE3-GPR55-Lysophosphatidylinositol-chim(NtGi1-G13)/β1/γ2
17.39Single9GG5U466199GG5-TXA2-U46619-chim(NtGi2L-Gs-CtGq)/β1/γ2
17.39Single9KWXC5a-des-Arg9KWX-C5a1-C5a-des-Arg-Go/β1/γ2
17.39Single9M1HPGE29M1H-EP1-PGE2-chim(NtGi1-Gs-CtGq)/β1/γ2
17.39Single9UYHChemerin-99UYH-CML2-Chemerin-9-Arrestin2
17.39Single9VI9RFRP-39VI9-NPFF1-RFRP-3-Gi1/β1/γ2
17.24Single5UIW5P7-CCL55UIW-CCR5-5P7-CCL5
17.24Single7QBIAlpha-factor mating pheromone7QBI-STE2; STE2-α-factor mating pheromone
17.24Single7RGPTirzepatide7RGP-GLP-1-Tirzepatide-chim(NtGi1-Gs)/β1/γ2
17.24Single8E3XPACAP278E3X-PAC1-PACAP27-Gs/β1/γ2
17.24Single9BLWCagrilintide (non-acylated)9BLW-CT (AMY1)-Cagrilintide (non-acylated)-Gs/β1/γ2; RAMP1
17.24Single9P92VIP9P92-PAC1-VIP-Gs/β1/γ2
17.24Consensusccr5_offOrthosteric Ligand5UIW-CCR5-5P7-CCL5
17.24Consensusccr_offOrthosteric Ligandccr2_off ccr5_off
17.07Single8GY7Corticotropin8GY7-MC2-Corticotropin-Ca-chim(NtGi1-Gs)/β1/γ2; MRAP1
16.67Single2X72All-trans-Retinal2X72-Rhodopsin-All-trans-Retinal-Gt(CT)
16.67Single3ODUIT1t3ODU-CXCR4-IT1t
16.67Single3PWHZM-2413853PWH-A2A-ZM-241385
16.67Single5VBLAMG3054 5VBL-Apelin-AMG3054
16.67Single6P9XCorticoliberin-16P9X-CRF1-Corticoliberin-1-Gs/β1/γ2
16.67Single6TQ6PubChem 1457142836TQ6-OX1-PubChem 145714283
16.67Single6VCBGLP-16VCB-GLP-1-GLP-1-LSN3160440-Gs/β1/γ2
16.67Single7BR3Elagolix7BR3-GnRH1-Elagolix
16.67Single7F53Alpha-MSH7F53-MC4-α-MSH-Gs/β1/γ2
16.67Single7F9ZGHRP-67F9Z-Ghrelin-GHRP-6-chim(NtGi1-Gs-CtGq)/β1/γ2
16.67Single7M3FCa; Ca; Tryptophan; Cinacalcet7M3F-CaS; CaS-Ca; Ca; Tryptophan; Cinacalcet
16.67Single7QBCAlpha-factor mating pheromone7QBC-STE2; STE2-α-factor mating pheromone
16.67Single7RMGSubstance-P7RMG-NK1-Substance-P-chim(Gs-CtGq)/β1/γ2
16.67Single7RMHSubstance-P7RMH-NK1-Substance-P-Gs/β1/γ2
16.67Single7SILCa; Ca; Ca; Cyclomethyltryptophan; R-568; PO47SIL-CaS; CaS-Ca-Ca; Ca; Ca; Cyclomethyltryptophan; R-568; PO4
16.67Single7SILCa; Ca; Ca; Cyclomethyltryptophan; R-568; PO47SIL-CaS; CaS-Ca-Ca; Ca; Ca; Cyclomethyltryptophan; R-568; PO4
16.67Single7TYFAmylin7TYF-CT (AMY1)-Amylin-Gs/β1/γ2; RAMP1
16.67Single7W0OElabela7W0O-Apelin-Elabela-Gi1/β1/γ2
16.67Single7WF7S1P7WF7-S1P1-S1P-Gi1/β1/γ2
16.67Single7X2CFenoldopam7X2C-D1-Fenoldopam-Fenoldopam-Gs/β1/γ2
16.67Single7XJJGalanin7XJJ-GAL1-Galanin-Go/β1/γ2
16.67Single8GDAL9026888GDA-EP4-L902688-Gs/β1/γ2
16.67Single8H8JLodoxamide8H8J-GPR35-Lodoxamide-Ca-chim(NtGi1L-G13)/β1/γ2
16.67Single8IJBAcipimox8IJB-HCA2-Acipimox-Gi1/β1/γ2
16.67Single8IQ4Carboprost8IQ4-FP-alpha-Carboprost-chim(NtGi1-Gs-CtGq)/β1/γ2
16.67Single8J20Valeric acid8J20-FFA3-Valeric acid-AR420626-Gi1/β1/γ2
16.67Single8JPPSuccinic acid8JPP-Succinate-Succinic acid-chim(Gs-CtGq)/β1/γ1
16.67Single8T3SButyric acid8T3S-FFA2-Butyric acid-chim(NtGi2L-Gs-CtGq)/β1/γ2
16.67Single8UTDMK19038UTD-HCA2-MK1903-Gi1/β1/γ2
16.67Single8W8WAlpha-MSH8W8W-MC3-α-MSH-Ca-Gs/β1/γ2
16.67Single8Z74JN241-98Z74-Apelin; Apelin-JN241-9
16.67Single8Z74JN241-98Z74-Apelin; Apelin-JN241-9
16.67Single9EAJNanobody AT2099EAJ-AT1-Nanobody AT209
16.67Single9JF4PD1683689JF4-BB1-PD168368
16.67Single9KO2CCL199KO2-CCR7-CCL19-Gi1/β1
16.67Single9KO6CCL199KO6-CCR7-CCL19
16.67Consensuscxcr4_offOrthosteric Ligand4RWS-CXCR4-vMIP-II 3OE0-CXCR4-CVX15 3OE6-CXCR4-IT1t
16.67Consensusglp_onOrthosteric Ligandglp1_on glp2_on
16.67Consensusglp_on_gpOrthosteric Ligandglp1_on_gp glp2_on_gp
16.67Consensusgnrh1_offOrthosteric Ligand7BR3-GnRH1-Elagolix
16.67Consensuskiss1_onOrthosteric Ligand8ZJD-Kiss1-Kisspeptin-1-chim(NtGi1-Gq)/β1/γ1
16.67Consensuskisspeptin_onOrthosteric Ligandkiss1_on
16.22Consensusclass-b1_onOrthosteric Ligandglucagon_on vip-pacap_on pth_on crf_on calcitonin_on
16.13Single6LMLGlucagon6LML-Glucagon-Glucagon-Gi1/β1/γ1
16.13Single6PB1Urocortin6PB1-CRF2-Urocortin-chim(NtGi1-Gs)/β1/γ2
16.13Single6WZGSecretin6WZG-Secretin-Secretin-Gs/β1/γ2
16.13Single7KI1Taspoglutide7KI1-GLP-1-Taspoglutide-Gs/β1/γ2
16.13Single7QBCAlpha-factor mating pheromone7QBC-STE2; STE2-α-factor mating pheromone
16.13Single7TYLAmylin7TYL-CT-Amylin-Gs/β1/γ2
16.13Single8F0KPramlintide Analogue San3858F0K-CT (AMY3)-Pramlintide Analogue San385-Gs/β1/γ2; RAMP3
16.13Single9BYOExendin-39BYO-GLP-1-Exendin-3-Gs/β1/γ2
16.13Single9P93VIP9P93-PAC1-VIP-Gs/β1/γ2
16.13Consensusgs_melanocortinOrthosteric Ligand7F4H-MC1-Afamelanotide-chim(NtGi1-Gs)/β1/γ2 7F54-MC4-Afamelanotide-Gs/β1/γ2 7F4D-MC1-α-MSH-chim(NtGi1-Gs)/β1/γ2 8INR-MC5-α-MSH-Ca-chim(NtGi1-Gs)/β1/γ2 7F53-MC4-α-MSH-Gs/β1/γ2 7F55-MC4-Bremelanotide-Gs/β1/γ2 8GY7-MC2-Corticotropin-Ca-chim(NtGi1-Gs)/β1/γ2; MRAP1 8IOC-MC3-γ-MSH-Ca-chim(NtGi1-Gs)/β1/γ2 8IOD-MC5-PG-901-Ca-chim(NtGi1-Gs)/β1/γ2 7AUE-MC4-Setmelanotide-chim(NtGi1L-Gs)/β1/γ2 7F4I-MC1-SHU9119-chim(NtGi1-Gs)/β1/γ2 7F58-MC4-THIQ-Gs/β1/γ2
16.13Consensusvip-pacap_onOrthosteric Ligandvpac_on pac_on
16.13Consensusvip-pacap_on_gpOrthosteric Ligandvpac_on_gp pac_on_gp
16.00Single7QA8Antagonist Peptide7QA8-STE2; STE2-Antagonist Peptide
16.00Single7QA8Antagonist Peptide7QA8-STE2; STE2-Antagonist Peptide
16.00Single7TD4Siponimod7TD4-S1P1-Siponimod-Gi1/β1/γ2
16.00Single7W2ZGhrelin7W2Z-Ghrelin-Ghrelin-Go/β1/γ2
16.00Single8IEBPubChem 1347468948IEB-GPR156; GPR156-PubChem 134746894
16.00Single8KIGSHU91198KIG-MC3-SHU9119-Ca
16.00Single8YWFRetatrutide8YWF-GLP-1-Retatrutide-chim(NtGi1-Gs)/β1/γ2
16.00Single9HB3Mambaquaretin-19HB3-V2-Mambaquaretin-1
16.00Single9KWGC5a9KWG-C5a1-C5a-Go/β1/γ2
16.00Consensuscxcr4_onOrthosteric Ligand8K3Z-CXCR4-CXCL12-Gi1/β1/γ1
16.00Consensusmc4_onOrthosteric Ligand7AUE-MC4-Setmelanotide-chim(NtGi1L-Gs)/β1/γ2 7F58-MC4-THIQ-Gs/β1/γ2 7F54-MC4-Afamelanotide-Gs/β1/γ2 7F53-MC4-α-MSH-Gs/β1/γ2 7F55-MC4-Bremelanotide-Gs/β1/γ2
16.00Consensusp2y_onOrthosteric Ligandp2y1_on p2y10_on p2y12_on
16.00Consensussomatostatin_offOrthosteric Ligandsst2_off
15.79Single6PELCitronellol6PEL-Rhodopsin-Citronellol-Gt(CT)
15.79Single6PT0WIN 55212-26PT0-CB2-WIN 55212-2-Gi1/β1/γ2
15.79Single6U1NLY21196206U1N-M2-LY2119620-Arrestin2
15.79Single7XOVSR1461317XOV-CCKA-SR146131-Gs/β1/γ2
15.79Single7XXH2MeSADP7XXH-P2Y1-2MeSADP-chim(NtGi1-G11)/β1/γ2
15.79Single8GUQOlorinab8GUQ-CB2-Olorinab-Gi1/β1/γ2
15.79Single8H4LDoconexent8H4L-FFA4-Doconexent-chim(NtGi1-Gs-CtGq)/β1/γ2
15.79Single8K2WAMG4878K2W-CXCR3-AMG487
15.79Single8K9LDAMGO8K9L-μ-DAMGO-BMS-986122-Gi3/β1/γ1
15.79Single8YKVPubChem 1375531688YKV-Succinate-PubChem 137553168-Gi1/β1/γ2
15.79Single9BA0MRI-18919BA0-CB1-MRI-1891
15.79Single9IXXLTD49IXX-CysLT2-LTD4-chim(NtGi1-Gs-CtGq)/β1/γ2
15.79Single9JKYAcifran9JKY-HCA2-Acifran-Gi1/β1/γ2
15.79Single9K1DButyric acid9K1D-FFA2-Butyric acid-Gi1/β1/γ2
15.79Single9KPDSalicin9KPD-TAS2R16-Salicin-chim(Gs-CtGt3)/β1/γ2
15.79Single9KXSEP679KXS-C5a1-EP67-Go/β1/γ2
15.79Single9M2FNeuropeptide-FF9M2F-NPFF1-Neuropeptide-FF-Gi1/β1/γ2
15.79Single9W33S5A19W33-SST5-S5A1
15.79Consensuscb1_offOrthosteric Ligand5U09-CB1-Taranabant 5TGZ-CB1-AM6538
15.79Consensuscxcr2_onOrthosteric Ligand6LFM-CXCR2-CXCL8-Gi1/β1/γ2
15.79Consensuscxcr3_offOrthosteric Ligand8K2W-CXCR3-AMG487
15.79Consensusgrh_offOrthosteric Ligandgnrh1_off
15.79Consensusp2y1_on_gpOrthosteric Ligand7XXH-P2Y1-2MeSADP-chim(NtGi1-G11)/β1/γ2
15.62Single7DUQGLP-17DUQ-GLP-1-GLP-1-PubChem 156022738-Gs/β1/γ2
15.62Consensusclass-a_class-b1_cons_onOrthosteric Ligandclass-a_on class-b1_on
15.38Single7RMISubstance-P7RMI-NK1-Substance-P-chim(Gs-CtGq)/β1/γ2
15.38Single7SK5CXCL127SK5-ACKR3-CXCL12
15.38Single7TRYUrocortin7TRY-CRF2-Urocortin-chim(NtGi1-G11)/β1/γ2
15.38Single7XNACYN1548067XNA-SST2-CYN154806
15.38Single8F7QBeta-Endorphin8F7Q-μ-β-Endorphin-Gi1/β1/γ2
15.38Single8IBVMotilin8IBV-Motilin-Motilin-chim(NtGi1-Gs-CtGq)/β1/γ2
15.38Single8JBHSubstance-P8JBH-NK3-Substance-P-chim(NtGi1-Gs-CtGq)/β1/γ2
15.38Single8XYDPlatelet Activating Factor8XYD-PAF-Platelet Activating Factor-Gi1/β1/γ2
15.38Consensusmc4_on_gpOrthosteric Ligand7AUE-MC4-Setmelanotide-chim(NtGi1L-Gs)/β1/γ2 7F58-MC4-THIQ-Gs/β1/γ2 7F54-MC4-Afamelanotide-Gs/β1/γ2 7F53-MC4-α-MSH-Gs/β1/γ2 7F55-MC4-Bremelanotide-Gs/β1/γ2
15.38Consensussst2_offOrthosteric Ligand7XNA-SST2-CYN154806
15.38Consensustachykinin_on_gpOrthosteric Ligandnk1_on_gp nk2_on_gp nk3_on_gp
15.15Single6LPBPACAP276LPB-PAC1-PACAP27-Gs/β1/γ1
15.15Single7SK6CXCL12_LRHQ7SK6-ACKR3-CXCL12_LRHQ
15.15Single7TZFAmylin7TZF-CT (AMY3)-Amylin-Gs/β1/γ2; RAMP3
15.15Single8FLSAbaloparatide8FLS-PTH1-Abaloparatide-Gs/β1/γ2
15.15Single8FLULA-PTH Analog8FLU-PTH1-LA-PTH Analog-Gs/β1/γ2
15.00Single5NDDAZ8838; Na5NDD-PAR2-AZ8838; Na
15.00Single6FKDPubChem 1373491836FKD-Rhodopsin-PubChem 137349183
15.00Single6KPFAM120336KPF-CB2-AM12033-Gi1/β1/γ2
15.00Single7CFMP3957CFM-GPBA-P395-Gs/β1/γ2
15.00Single7PP1Selatogrel7PP1-P2Y12-Selatogrel
15.00Single7WQ3Galanin7WQ3-GAL1-Galanin-Gi1/β1/γ2
15.00Single7YK7DC5910537YK7-RXFP4-DC591053-Gi2/β1/γ2
15.00Single7YU4ONO-07405567YU4-LPA1-ONO-0740556
15.00Single7YXAONO-54306087YXA-S1P5-ONO-5430608
15.00Single8GCML-9026888GCM-EP4-L-902688-Gi1/β1/γ2
15.00Single8KEXDCA-3P8KEX-MRGPRX4-DCA-3P
15.00Single8KFYZK-7563268KFY-CCR8-ZK-756326-Gi1/β1/γ2
15.00Single8XJLPGF2-alpha8XJL-FP-alpha-PGF2-α-chim(NtGi2-Gs-CtGq)/β1/γ2
15.00Single8ZBEOctreotide8ZBE-SST5-Octreotide-Gi1/β1/γ1
15.00Single9AVGCa; Ca; Cyclomethyltryptophan; R-568; PO49AVG-CaS; CaS-Ca-Ca; Ca; Cyclomethyltryptophan; R-568; PO4-chim(NtGi1-Gs)/β1/γ2
15.00Single9IZCMK19039IZC-HCA2-MK1903-Gi1/β1/γ2
15.00Single9JQZGrapiprant 9JQZ-EP4-Grapiprant
15.00Single9KFTfMLFC9KFT-FPR1-ALX-fMLFC-Gi1/β1/γ2
15.00Consensusalicarboxylic_offOrthosteric Ligandsuccinate_off
15.00Consensusgal1_onOrthosteric Ligand7WQ3-GAL1-Galanin-Gi1/β1/γ2
15.00Consensusgal1_on_gpOrthosteric Ligand7WQ3-GAL1-Galanin-Gi1/β1/γ2
15.00Consensusgi_galaninOrthosteric Ligand7WQ3-GAL1-Galanin-Gi1/β1/γ2
15.00Consensuslipid_offOrthosteric Ligandcannabinoid_off paf_off lpl_off prostanoid_off leukotriene_off
15.00Consensussuccinate_offOrthosteric Ligand6RNK-Succinate-NF-56-EJ40 6Z10-Succinate-PubChem 154585554
14.81Single6UUNAdrenomedullin6UUN-CT Like (AM1)-Adrenomedullin-Gs/β1/γ2; RAMP2
14.81Single7W55Neuromedin-U-257W55-NMUR2-Neuromedin-U-25-chim(NtGi1-Gs-CtGq)/β1/γ2
14.81Single7XA3CCL27XA3-CCR2-CCL2-Gi1/β1/γ2
14.81Single8K6NNeuropeptide-Y8K6N-Y2-Neuropeptide-Y-Gi2/β1/γ1
14.81Single9LXRLA-PTH Analog9LXR-PTH1-LA-PTH Analog-Arrestin2
14.81Consensusccr2_onOrthosteric Ligand7XA3-CCR2-CCL2-Gi1/β1/γ2
14.81Consensusccr2_on_gpOrthosteric Ligand7XA3-CCR2-CCL2-Gi1/β1/γ2
14.81Consensusclass-b1_class-b2_cons_onOrthosteric Ligandclass-b1_on class-b2_on
14.81Consensusclass-b1_class-b2_cons_on_gpOrthosteric Ligandclass-b1_on_gp class-b2_on_gp
14.81Consensusmc3_onOrthosteric Ligand8IOC-MC3-γ-MSH-Ca-chim(NtGi1-Gs)/β1/γ2
14.81Consensusmc3_on_gpOrthosteric Ligand8IOC-MC3-γ-MSH-Ca-chim(NtGi1-Gs)/β1/γ2
14.81Consensusnmur2_onOrthosteric Ligand7W55-NMUR2-Neuromedin-U-25-chim(NtGi1-Gs-CtGq)/β1/γ2
14.81Consensusnmur2_on_gpOrthosteric Ligand7W55-NMUR2-Neuromedin-U-25-chim(NtGi1-Gs-CtGq)/β1/γ2
14.71Single6WPWZP37806WPW-Glucagon-ZP3780-Gs/β1/γ2
14.71Single7VVMPTH7VVM-PTH1-PTH-Gs/β1/γ2
14.71Single9JR2PTH9JR2-PTH1-PTH-chim(NtGi1L-Gs-CtGq)/β1/γ2
14.71Consensusglp1_on_gpOrthosteric Ligand7S1M-GLP-1-Exendin-4-D-Ala-Gs/β1/γ2 7X8R-GLP-1-BOC5-Gs/β1/γ2 6X19-GLP-1-CHU-128-Gs/β1/γ2 6X1A-GLP-1-Danuglipron-Gs/β1/γ2 6X18-GLP-1-GLP-1-Gs/β1/γ2 8JIP-GLP-1-MEDI0382-chim(NtGi1-Gs)/β1/γ2 7C2E-GLP-1-PubChem 149050799-Gs/β1/γ2 7KI0-GLP-1-Semaglutide-Gs/β1/γ2 7KI1-GLP-1-Taspoglutide-Gs/β1/γ2 7X8S-GLP-1-WB4-24-Gs/β1/γ2 8JIS-GLP-1-Peptide-15-chim(NtGi1-Gs)/β1/γ2 7VBI-GLP-1-Tirzepatide (non-acylated)-Gs/β1/γ2
14.63Consensusclass-b1_on_gpOrthosteric Ligandglucagon_on_gp vip-pacap_on_gp pth_on_gp crf_on_gp calcitonin_on_gp
14.29Single4NTJAZD12834NTJ-P2Y12-AZD1283
14.29Single4PHUFasiglifam4PHU-FFA1-Fasiglifam
14.29Single5MZPCaffeine5MZP-A2A-Caffeine-Na
14.29Single5T1ABMS-6815T1A-CCR2-BMS-681-PubChem 12093170
14.29Single5YHLPubChem 1351213525YHL-EP4-PubChem 135121352
14.29Single5YWYONO-AE3-2085YWY-EP4-ONO-AE3-208
14.29Single6M1IPACAP276M1I-PAC1-PACAP27-Gs/β1/γ2
14.29Single6M9TMisoprostol-FA6M9T-EP3-Misoprostol-FA
14.29Single6XBKCholesterol6XBK-SMO-Cholesterol-Gi1/β1/γ2
14.29Single7AD3Alpha-factor mating pheromone7AD3-STE2; STE2-α-factor mating pheromone-Gi1/STE4/γ2
14.29Single7M3GCa; Ca; Tryptophan; Evocalcet; Etelcalcetide; PO47M3G-CaS; CaS-Ca; Ca; Tryptophan; Evocalcet; Etelcalcetide; PO4
14.29Single7TYIAmylin7TYI-CT-Amylin-Gs/β1/γ2
14.29Single7Y36PTH7Y36-PTH1-PTH-Gs/β1/γ2
14.29Single7YU3ONO-07405567YU3-LPA1-ONO-0740556-Gi1/β1/γ2
14.29Single7YU6ONO-07405567YU6-LPA1-ONO-0740556-Gi1/β1/γ2
14.29Single8FLQPTH8FLQ-PTH1-PTH-Gs/β1/γ2
14.29Single8HA0PTH8HA0-PTH1-PTH-chim(NtGi1-Gs)/β1/γ2
14.29Single8ID4Linoleic acid8ID4-FFA4-Linoleic acid-Gi1/β1/γ2
14.29Single8IEDPubChem 1347468948IED-GPR156; GPR156-PubChem 134746894-Go/β1/γ2
14.29Single8K8JFenofibrate8K8J-CB1-Fenofibrate-chim(Gs-CtGq)/β1/γ2
14.29Single8XZJWN3538XZJ-Apelin; Apelin-WN353-Gi1/β1/γ2
14.29Single8YW4Retatrutide8YW4-GIP-Retatrutide-chim(NtGi1-Gs)/β1/γ2
14.29Single8ZVZBW245C8ZVZ-DP1-BW245C-Gs/β1/γ2
14.29Single9B9ZMRI-18679B9Z-CB1-MRI-1867
14.29Single9BLCCagrilintide (non-acylated)9BLC-CT-Cagrilintide (non-acylated)-Gs/β1/γ2
14.29Single9BUDCagrilintide9BUD-CT-Cagrilintide-Gs/β1/γ2
14.29Single9EE5ONO-25502899EE5-DP1-ONO-2550289
14.29Single9EKHONO-30302979EKH-DP1-ONO-3030297
14.29Single9JR3PTH9JR3-PTH1-PTH-chim(NtGi1L-Gs-CtGq)/β1/γ2
14.29Single9KPFSalicin9KPF-TAS2R16-Salicin-Gi1/β1/γ2
14.29Consensusep4_offOrthosteric Ligand5YWY-EP4-ONO-AE3-208 5YHL-EP4-PubChem 135121352
14.29Consensusep_offOrthosteric Ligandep4_off
14.29Consensusglucagon_onOrthosteric Ligandglp_on gluc_on secretin_on gip_on
14.29Consensuslpa1_onOrthosteric Ligand7TD1-LPA1-LPA-Gi1/β1/γ2 7YU3-LPA1-ONO-0740556-Gi1/β1/γ2
14.29Consensuslpa1_on_gpOrthosteric Ligand7TD1-LPA1-LPA-Gi1/β1/γ2 7YU3-LPA1-ONO-0740556-Gi1/β1/γ2
14.29Consensusrxfp4_onOrthosteric Ligand7YK7-RXFP4-DC591053-Gi2/β1/γ2 7YJ4-RXFP4-INSL5-Gi2/β1/γ2 7YK6-RXFP4-PubChem 138319674-Gi2/β1/γ2
14.29Consensusrxfp4_on_gpOrthosteric Ligand7YK7-RXFP4-DC591053-Gi2/β1/γ2 7YJ4-RXFP4-INSL5-Gi2/β1/γ2 7YK6-RXFP4-PubChem 138319674-Gi2/β1/γ2
14.29Consensuss1p5_offOrthosteric Ligand7YXA-S1P5-ONO-5430608
14.29Consensustachykinin_onOrthosteric Ligandnk1_on nk2_on nk3_on
13.89Single6E3YCalcitonin gene-related peptide-16E3Y-CT Like-Calcitonin gene-related peptide-1-Gs/β1/γ2; RAMP1
13.89Consensusglucagon_on_gpOrthosteric Ligandglp_on_gp gluc_on_gp secretin_on_gp gip_on_gp
13.89Consensuspth_onOrthosteric Ligandpth1_on pth2_on
13.79Single6X18GLP-16X18-GLP-1-GLP-1-Gs/β1/γ2
13.79Single7LLYOxyntomodulin7LLY-GLP-1-Oxyntomodulin-Gs/β1/γ2
13.79Single7P02Substance-P7P02-NK1-Substance-P-chim(NtGi1-Gs)/β1/γ2
13.79Single7XV3Lysophosphatidylserine (WJS)7XV3-GPR174-Lysophosphatidylserine (WJS)-chim(NtGi1-Gs)/β1/γ2
13.79Single8XVIEndothelin-18XVI-ETA-Endothelin-1-chim(Gs-CtGq)/β1/γ2
13.79Single9E2AGLP-19E2A-GLP-1-GLP-1-Gs/β1/γ2
13.79Consensusvpac1_onOrthosteric Ligand8E3Z-VPAC1-VIP-Gs/β1/γ2
13.79Consensusvpac_onOrthosteric Ligandvpac1_on vpac2_on
13.64Single5TZRMK86665TZR-FFA1-MK8666
13.64Single5ZBHBMS-1938855ZBH-Y1-BMS-193885
13.64Single6RZ5Zafirlukast6RZ5-CysLT1-Zafirlukast-Na
13.64Single7F1TCCL37F1T-CCR5-CCL3
13.64Single7R0CAVP7R0C-V2-AVP-Arrestin2
13.64Single7XBDGalanin7XBD-GAL2-Galanin-chim(NtGi2L-Gs-CtGq)/β1/γ2
13.64Single7XJLSpexin7XJL-GAL2-Spexin-chim(NtGi2L-Gs-CtGq)/β1/γ2
13.64Single7YU5ONO-07405567YU5-LPA1-ONO-0740556-Gi1/β1/γ2
13.64Single7YU7ONO-07405567YU7-LPA1-ONO-0740556-Gi1/β1/γ2
13.64Single8GDBPGE28GDB-EP4-PGE2-Gs/β1/γ2
13.64Single8JBGNeurokinin-B8JBG-NK3-Neurokinin-B-chim(NtGi1-Gs-CtGq)/β1/γ2
13.64Single8WJXADP8WJX-P2Y1-ADP-chim(Gs-CtGq)/β1/γ2
13.64Single8ZW0PGD28ZW0-DP1-PGD2-Gs/β1/γ2
13.64Single9E9SPGD29E9S-DP1-PGD2-Gs/β1/γ1
13.64Single9EGOZ85267113509EGO-CB1-Z8526711350-Gi1/β1/γ2
13.64Single9IZGLPA9IZG-LPA1-LPA-chim(NtGi1-Gs-CtGq)/β1/γ2
13.64Single9JCLADP9JCL-P2Y1-ADP-chim(Gs-CtGq)/β1/γ2
13.64Single9L16CCL219L16-CCR7-CCL21
13.64Single9YDVMRS29059YDV-P2Y14-MRS2905-Gi1/β1/γ2
13.64Consensusffa2_onOrthosteric Ligand8J22-FFA2-TUG-1375-Gi1/β1/γ2
13.64Consensusffa_onOrthosteric Ligandffa2_on ffa3_on
13.64Consensusffa_on_gpOrthosteric Ligandffa2_on_gp ffa3_on_gp
13.64Consensusgi_ffaOrthosteric Ligand8J21-FFA3-Butyric acid-Gi1/β1/γ2 8J22-FFA2-TUG-1375-Gi1/β1/γ2
13.64Consensusgi_lpaOrthosteric Ligand7TD1-LPA1-LPA-Gi1/β1/γ2 7YU3-LPA1-ONO-0740556-Gi1/β1/γ2
13.64Consensusgi_relaxinOrthosteric Ligand7YK7-RXFP4-DC591053-Gi2/β1/γ2 7YJ4-RXFP4-INSL5-Gi2/β1/γ2 7YK6-RXFP4-PubChem 138319674-Gi2/β1/γ2
13.64Consensuslpa_onOrthosteric Ligandlpa1_on
13.64Consensuslpa_on_gpOrthosteric Ligandlpa1_on_gp
13.64Consensusrelaxin_onOrthosteric Ligandrxfp4_on
13.64Consensusrelaxin_on_gpOrthosteric Ligandrxfp4_on_gp
13.33Single5MZJTheophylline5MZJ-A2A-Theophylline-Na
13.33Single6FJ3PTH6FJ3-PTH1-PTH
13.33Single6NBFLA-PTH Analog6NBF-PTH1-LA-PTH Analog-Gs/β1/γ2
13.33Single6P9YPACAP276P9Y-PAC1-PACAP27-Gs/β1/γ2
13.33Single7D3SSecretin7D3S-Secretin-Secretin-Gs/β1/γ2
13.33Single7RA3GIP7RA3-GIP-GIP-chim(NtGi1-Gs)/β1/γ2
13.33Single7SK3CXCL127SK3-ACKR3-CXCL12
13.33Single7SK4CXCL12_LRHQ7SK4-ACKR3-CXCL12_LRHQ
13.33Single7VABTirzepatide (non-acylated)7VAB-GIP-Tirzepatide (non-acylated)-chim(NtGi1-Gs)/β1/γ2
13.33Single7XKEDehydroepiandrosterone7XKE-ADGRG2-Dehydroepiandrosterone-chim(NtGi1-Gs)/β1/γ2
13.33Single8JISPeptide-158JIS-GLP-1-Peptide-15-chim(NtGi1-Gs)/β1/γ2
13.33Single8PWNTheophylline8PWN-A2A-Theophylline
13.33Single8XQFApelin-138XQF-Apelin-Apelin-13-Gi1/β1/γ2
13.33Single9BLBCagrilintide (non-acylated)9BLB-CT-Cagrilintide (non-acylated)-Gs/β1/γ2
13.33Single9BP3Cagrilintide9BP3-CT (AMY1)-Cagrilintide-Gs/β1/γ2; RAMP1
13.33Single9IV25alpha-DHT9IV2-ADGRD1-5α-DHT-chim(NtGi1-Gs)/β1/γ2
13.33Single9J1Pg1:Ox9J1P-GLP-1-g1:Ox-chim(NtGi1-Gs)/β1/γ2
13.33Single9JKVPubChem 27366909JKV-HCA3-PubChem 2736690-Gi1/β1/γ2
13.33Consensusccr5_onOrthosteric Ligand7O7F-CCR5-6P4-CCL5-Gi1/β1/γ1 7F1Q-CCR5-CCL3-Gi1/β1/γ2
13.33Consensuspac1_onOrthosteric Ligand8E3X-PAC1-PACAP27-Gs/β1/γ2 6M1H-PAC1-Maxadilan-Gs/β1/γ2
13.33Consensuspac1_on_gpOrthosteric Ligand8E3X-PAC1-PACAP27-Gs/β1/γ2 6M1H-PAC1-Maxadilan-Gs/β1/γ2
13.33Consensussecretin_onOrthosteric Ligand7D3S-Secretin-Secretin-Gs/β1/γ2
13.33Consensusvpac1_on_gpOrthosteric Ligand8E3Z-VPAC1-VIP-Gs/β1/γ2
13.33Consensusvpac_on_gpOrthosteric Ligandvpac1_on_gp vpac2_on_gp
13.16Single7F16TIP397F16-PTH2-TIP39-Gs/β1/γ2
13.16Consensuspth2_on_gpOrthosteric Ligand7F16-PTH2-TIP39-Gs/β1/γ2
13.04Single3VW7Vorapaxar; Na3VW7-PAR1-Vorapaxar; Na
13.04Single5TZYMK8666; AP85TZY-FFA1-MK8666; AP8
13.04Single7F55Bremelanotide7F55-MC4-Bremelanotide-Gs/β1/γ2
13.04Single7T6BS1P7T6B-S1P2-S1P-chim(NtGi1L-G13)/β1/γ2
13.04Single7WQ4Galanin7WQ4-GAL2-Galanin-chim(NtGi1-Gs-CtGq)/β1/γ2
13.04Single7XJKGalanin7XJK-GAL2-Galanin-chim(NtGi2L-Gs-CtGq)/β1/γ2
13.04Single8XQSCholesterol8XQS-TAS2R14-Cholesterol-Flufenamic acid-Gi1/β1/γ1
13.04Single8Y6WTUG-13758Y6W-FFA2-TUG-1375-4-CMTB-Gi1/β1/γ2
13.04Single9AU0BW245C9AU0-DP1-BW245C-Gs/β1/γ2
13.04Single9CM3TUG-13759CM3-FFA2-TUG-1375-PubChem 118615810-chim(NtGi1L-Gs-CtGq)/β1/γ2
13.04Single9ECJS-geranylgeranyl-L-glutathione9ECJ-P2Y8-S-geranylgeranyl-L-glutathione-G13/β1/γ2
13.04Consensusffa2_on_gpOrthosteric Ligand8J22-FFA2-TUG-1375-Gi1/β1/γ2
13.04Consensusgalanin_onOrthosteric Ligandgal2_on gal1_on
13.04Consensusgalanin_on_gpOrthosteric Ligandgal2_on_gp gal1_on_gp
12.90Single7AD3Alpha-factor mating pheromone7AD3-STE2; STE2-α-factor mating pheromone-Gi1/STE4/γ2
12.90Single7DTYGIP7DTY-GIP-GIP-Gs/β1/γ2
12.90Single7FIYTirzepatide7FIY-GIP-Tirzepatide-Gs/β1/γ2
12.90Single7S1MExendin-4-D-Ala7S1M-GLP-1-Exendin-4-D-Ala-Gs/β1/γ2
12.90Single7TYNCalcitonin-17TYN-CT-Calcitonin-1-Gs/β1/γ2
12.90Single7VQXPACAP277VQX-VPAC1-PACAP27-Gs/β1/γ2
12.90Single8FU6ZP37808FU6-Glucagon-ZP3780-Gs/β1/γ2
12.90Single8W8XBeta-MSH8W8X-MC3-β-MSH-Ca-Gs/β1/γ2
12.90Single9P94PACAP279P94-PAC1-PACAP27-Gs/β1/γ2
12.90Consensusp2y10_on_gpOrthosteric Ligand8KGG-P2Y10-Lysophosphatidylserine (WJS)-chim(NtGi2-G13)/β1/γ2
12.90Consensussecretin_on_gpOrthosteric Ligand7D3S-Secretin-Secretin-Gs/β1/γ2
12.82Single8F0JPramlintide Analogue San458F0J-CT-Pramlintide Analogue San45-Gs/β1/γ2
12.50Single4RWSvMIP-II4RWS-CXCR4-vMIP-II
12.50Single5VAIGLP-15VAI-GLP-1-GLP-1-Gs/β1/γ2
12.50Single6M1HMaxadilan6M1H-PAC1-Maxadilan-Gs/β1/γ2
12.50Single6NBHLA-PTH Analog6NBH-PTH1-LA-PTH Analog-Gs/β1/γ2
12.50Single6OT025(S)-Epoxycholesterol6OT0-SMO-25(S)-Epoxycholesterol-Gi1/β1/γ2
12.50Single6UUSAdrenomedullin6UUS-CT Like (AM2)-Adrenomedullin-Gs/β1/γ2; RAMP3
12.50Single7D68GLP-27D68-GLP-2-GLP-2-Gs/β1/γ2
12.50Single7D7MPGE27D7M-EP4-PGE2-Gs/β1/γ1
12.50Single7P00Substance-P7P00-NK1-Substance-P-chim(NtGi1-Gs-CtGq)/β1/γ2
12.50Single7PIUSetmelanotide7PIU-MC4-Setmelanotide-Gs/β1/γ2
12.50Single7VVJPTHrP(1-36)7VVJ-PTH1-PTHrP(1-36)-Gs/β1/γ2
12.50Single7VVLPTH7VVL-PTH1-PTH-Gs/β1/γ2
12.50Single7VVNPTH7VVN-PTH1-PTH-Gs/β1/γ2
12.50Single8F2BPramlintide Analogue San458F2B-CT (AMY3)-Pramlintide Analogue San45-Gs/β1/γ2; RAMP3
12.50Single8FLTM-PTH(1-14)8FLT-PTH1-M-PTH(1-14)-Gs/β1/γ2
12.50Single8HAFPTHrP(1-36)8HAF-PTH1-PTHrP(1-36)-chim(NtGi1-Gs)/β1/γ2
12.50Single8KGGLysophosphatidylserine (WJS)8KGG-P2Y10-Lysophosphatidylserine (WJS)-chim(NtGi2-G13)/β1/γ2
12.50Single8XVUCXCL28XVU-CXCR2-CXCL2
12.50Single8XXHCXCL28XXH-CXCR2-CXCL2-Go/β1/γ2
12.50Single9C2FCa; Ca; Tryptophan; '54149; PO49C2F-CaS; CaS-Ca-Ca; Ca; Tryptophan; '54149; PO4
12.50Single9J0BUDP-Glucose9J0B-P2Y14-UDP-Glucose-Gi1/β1/γ2
12.50Single9M42A1L8O9M42-GPR139-A1L8O-chim(Gs-CtGq)/β1/γ2
12.50Consensusgal2_onOrthosteric Ligand7WQ4-GAL2-Galanin-chim(NtGi1-Gs-CtGq)/β1/γ2 7XJL-GAL2-Spexin-chim(NtGi2L-Gs-CtGq)/β1/γ2
12.50Consensusgal2_on_gpOrthosteric Ligand7WQ4-GAL2-Galanin-chim(NtGi1-Gs-CtGq)/β1/γ2 7XJL-GAL2-Spexin-chim(NtGi2L-Gs-CtGq)/β1/γ2
12.50Consensusnk1_onOrthosteric Ligand7P00-NK1-Substance-P-chim(NtGi1-Gs-CtGq)/β1/γ2
12.50Consensusnk1_on_gpOrthosteric Ligand7P00-NK1-Substance-P-chim(NtGi1-Gs-CtGq)/β1/γ2
12.50Consensusp2y_offOrthosteric Ligandp2y1_off
12.50Consensuspth1_onOrthosteric Ligand6NBF-PTH1-LA-PTH Analog-Gs/β1/γ2 8HA0-PTH1-PTH-chim(NtGi1-Gs)/β1/γ2 8HAF-PTH1-PTHrP(1-36)-chim(NtGi1-Gs)/β1/γ2 7Y36-PTH1-PTH-Gs/β1/γ2 7Y35-PTH1-Abaloparatide-Gs/β1/γ2
12.50Consensuspth_on_gpOrthosteric Ligandpth1_on_gp pth2_on_gp
12.12Single7TYXAmylin7TYX-CT (AMY2)-Amylin-Gs/β1/γ2; RAMP2
12.12Consensuscrf1_onOrthosteric Ligand6PB0-CRF1-Urocortin-chim(NtGi1-Gs)/β1/γ2 6P9X-CRF1-Corticoliberin-1-Gs/β1/γ2
12.00Single6KNMJN241-96KNM-Apelin-JN241-9
12.00Single6RZ6ONO-25703666RZ6-CysLT2-ONO-2570366
12.00Single7AUESetmelanotide7AUE-MC4-Setmelanotide-chim(NtGi1L-Gs)/β1/γ2
12.00Single7X8SWB4-247X8S-GLP-1-WB4-24-Gs/β1/γ2
12.00Single8J22TUG-13758J22-FFA2-TUG-1375-Gi1/β1/γ2
12.00Single8JBFSenktide8JBF-NK3-Senktide-chim(NtGi1-Gs-CtGq)/β1/γ2
12.00Single8XQJJN2418XQJ-Apelin; Apelin-JN241
12.00Single8XX6CXCL88XX6-CXCR2-CXCL8-Go/β1/γ2
12.00Single9CM7TUG-13759CM7-FFA2-TUG-1375-AZ-1729-Gi1/β1/γ2
12.00Single9JH6C20:0 Ceramide9JH6-CysLT2-C20:0 Ceramide-chim(NtGi1-Gs-CtGq)/β1/γ2
12.00Single9NS9TUG-13759NS9-FFA2-TUG-1375-PubChem 118615810-Gi1/β1/γ2
11.76Single4XNWMRS25004XNW-P2Y1-MRS2500
11.76Single6ME5Agomelatine6ME5-MT1-Agomelatine
11.76Single7D77Hydrocortisone7D77-ADGRG3-Hydrocortisone-Go/β1/γ2
11.76Single8F2APramlintide Analogue San3858F2A-CT (AMY3)-Pramlintide Analogue San385-Gs/β1/γ2; RAMP3
11.76Single8JEFPubChem 113671668JEF-HCA3-PubChem 11367166-Gi1/β1/γ2
11.76Single8RQLFlufenamic acid8RQL-TAS2R14-Flufenamic acid-Flufenamic acid-chim(NtGi1-Gt3)/β1/γ2
11.76Single8Y63C20:0 Ceramide8Y63-FPR2-ALX-C20:0 Ceramide-Gi1/β1/γ2
11.76Single9AUCCalcitonin gene-related peptide-19AUC-CT (AMY1)-Calcitonin gene-related peptide-1-Gs/β1/γ2; RAMP1
11.76Single9IV15alpha-DHT9IV1-ADGRD1-5α-DHT-chim(NtGi1-Gs)/β1/γ2
11.76Consensusglp1_onOrthosteric Ligand7S1M-GLP-1-Exendin-4-D-Ala-Gs/β1/γ2 7X8R-GLP-1-BOC5-Gs/β1/γ2 6X19-GLP-1-CHU-128-Gs/β1/γ2 6X1A-GLP-1-Danuglipron-Gs/β1/γ2 6X18-GLP-1-GLP-1-Gs/β1/γ2 8JIP-GLP-1-MEDI0382-chim(NtGi1-Gs)/β1/γ2 7C2E-GLP-1-PubChem 149050799-Gs/β1/γ2 7KI0-GLP-1-Semaglutide-Gs/β1/γ2 7KI1-GLP-1-Taspoglutide-Gs/β1/γ2 7X8S-GLP-1-WB4-24-Gs/β1/γ2 8JIS-GLP-1-Peptide-15-chim(NtGi1-Gs)/β1/γ2 7VBI-GLP-1-Tirzepatide (non-acylated)-Gs/β1/γ2
11.76Consensusp2y1_offOrthosteric Ligand4XNW-P2Y1-MRS2500
11.54Single7F54Afamelanotide7F54-MC4-Afamelanotide-Gs/β1/γ2
11.54Single7VLACCL15(27-92)7VLA-CCR1-CCL15(27-92)-Gi1/β1/γ2
11.54Single8IZBLysophosphatidylserine (UBL)8IZB-GPR174-Lysophosphatidylserine (UBL)-Gs/β1/γ2
11.54Single8XBHPubChem 1626566368XBH-GPR34-PubChem 162656636-Gi1/β1/γ2
11.54Single8XWNCXCL88XWN-CXCR2-CXCL8
11.54Single9J0IUDP-Glucuronic acid9J0I-P2Y14-UDP-Glucuronic acid-Gi1/β1/γ2
11.54Single9MEJGp1209MEJ-CXCR4-Gp120
11.54Single9UYLChemerin-99UYL-CML2-Chemerin-9-Arrestin2
11.54Consensusccr1_onOrthosteric Ligand7VLA-CCR1-CCL15(27-92)-Gi1/β1/γ2
11.54Consensusccr1_on_gpOrthosteric Ligand7VLA-CCR1-CCL15(27-92)-Gi1/β1/γ2
11.54Consensusnk3_onOrthosteric Ligand8JBF-NK3-Senktide-chim(NtGi1-Gs-CtGq)/β1/γ2
11.54Consensusnk3_on_gpOrthosteric Ligand8JBF-NK3-Senktide-chim(NtGi1-Gs-CtGq)/β1/γ2
11.43Single7V35Peptide-207V35-Glucagon-Peptide-20-Gs/β1/γ2
11.43Single8JIPMEDI03828JIP-GLP-1-MEDI0382-chim(NtGi1-Gs)/β1/γ2
11.43Single8JIRSAR4258998JIR-GLP-1-SAR425899-chim(NtGi1-Gs)/β1/γ2
11.43Consensuscrf1_on_gpOrthosteric Ligand6PB0-CRF1-Urocortin-chim(NtGi1-Gs)/β1/γ2 6P9X-CRF1-Corticoliberin-1-Gs/β1/γ2
11.43Consensuspth1_on_gpOrthosteric Ligand6NBF-PTH1-LA-PTH Analog-Gs/β1/γ2 8HA0-PTH1-PTH-chim(NtGi1-Gs)/β1/γ2 8HAF-PTH1-PTHrP(1-36)-chim(NtGi1-Gs)/β1/γ2 7Y36-PTH1-PTH-Gs/β1/γ2 7Y35-PTH1-Abaloparatide-Gs/β1/γ2
11.11Single5L7IVismodegib5L7I-SMO-Vismodegib
11.11Single6PGSGeraniol6PGS-Rhodopsin-Geraniol-Gt(CT)
11.11Single6PH7Nerol6PH7-Rhodopsin-Nerol-Gt(CT)
11.11Single6TQ4PubChem 160468446TQ4-OX1-PubChem 16046844-Na
11.11Single7PIVAfamelanotide7PIV-MC4-Afamelanotide-Gs/β1/γ2
11.11Single7TYYCalcitonin-17TYY-CT (AMY2)-Calcitonin-1-Gs/β1/γ2; RAMP2
11.11Single7VBITirzepatide (non-acylated)7VBI-GLP-1-Tirzepatide (non-acylated)-Gs/β1/γ2
11.11Single7XKFDehydroepiandrosterone7XKF-ADGRG2-Dehydroepiandrosterone-Gs/β1/γ2
11.11Single7XP6Strychnine7XP6-TAS2R46-Strychnine-chim(Gs-CtGt3)/β1/γ2
11.11Single8FX5Xanomeline8FX5-M4-Xanomeline-Xanomeline-Gi1/β1/γ2
11.11Single8IOCGamma-MSH8IOC-MC3-γ-MSH-Ca-chim(NtGi1-Gs)/β1/γ2
11.11Single8JIUSAR4258998JIU-Glucagon-SAR425899-Gs/β1/γ2
11.11Single8KH5Lysophosphatidylserine8KH5-GPR174-Lysophosphatidylserine-Gs/β1/γ2
11.11Single8SZFCa; Ca; Tryptophan; Cinacalcet; PO4; Spermine8SZF-CaS; CaS-Ca; Ca; Tryptophan; Cinacalcet; PO4; Spermine
11.11Single8U4RREGN7663-Fab8U4R-CXCR4-REGN7663-Fab
11.11Single8X2KOleic monoethanolamide8X2K-GPR3-Oleic monoethanolamide-chim(NtGi1-Gs)/β1/γ2
11.11Single8YKDDehydroepiandrosterone8YKD-ADGRG2-Dehydroepiandrosterone-chim(NtGi1-Gs)/β1/γ2
11.11Single8ZX5AM2518ZX5-GPR55-AM251-chim(NtGi1-G13)/β1/γ2
11.11Single9J0FNADH9J0F-P2Y14-NADH-Gi1/β1/γ2
11.11Single9JLCAVE 09919JLC-MAS1-AVE 0991-Gi1/β1/γ2
11.11Single9LMPNE52-QQ579LMP-GPR4-NE52-QQ57
11.11Consensusgq_nucleotideOrthosteric Ligandgq_p2y
11.11Consensusgq_p2yOrthosteric Ligand7XXH-P2Y1-2MeSADP-chim(NtGi1-G11)/β1/γ2
11.11Consensuspth2_onOrthosteric Ligand7F16-PTH2-TIP39-Gs/β1/γ2
10.71Single7RYCOxytocin7RYC-OT-Oxytocin-chim(NtGi2L-Gs-CtGq)/β1/γ2
10.71Single8YFOAc-LA-PTH Analog8YFO-PTH1-Ac-LA-PTH Analog-chim(NtGi1-Gs)/β1/γ2
10.71Single9B5YLA-PTH Analog9B5Y-PTH1-LA-PTH Analog-chim(NtGi1-Gq)/β1/γ2
10.53Single4BWBNeurotensin-(8-12)4BWB-NTS1-Neurotensin-(8-12)
10.53Single5U09Taranabant5U09-CB1-Taranabant
10.53Single5ZKQABT-4915ZKQ-PAF-ABT-491
10.53Single6ME9Ramelteon6ME9-MT2-Ramelteon
10.53Single6RNKNF-56-EJ406RNK-Succinate-NF-56-EJ40
10.53Single6WWZCCL206WWZ-CCR6-CCL20-Go/β1/γ2
10.53Single6ZA8RTI-3a6ZA8-NTS1-RTI-3a
10.53Single7F8YDevazepide7F8Y-CCKA-Devazepide
10.53Single7S8PMS471347S8P-MRGPRX4-MS47134-chim(NtGi2L-Gs-CtGq)/β1/γ2
10.53Single7VDLCortistatin-147VDL-MRGPRX2-Cortistatin-14-Gi1/β1/γ2
10.53Single7VVOPTH7VVO-PTH1-PTH-Gs/β1/γ2
10.53Single8HMPC178HMP-GPR52-C17-Gs/β1/γ2
10.53Single8T3VDoconexent8T3V-FFA1-Doconexent-chim(NtGi2L-Gs-CtGq)/β1/γ2
10.53Single8YNFCXCL88YNF-ACKR1-CXCL8
10.53Single8YYWAlpha-ketoglutarate8YYW-Oxoglutarate-α-ketoglutarate-α-ketoglutarate-chim(Gi1-CtGq)/β1/γ2
10.53Consensusccr6_onOrthosteric Ligand6WWZ-CCR6-CCL20-Go/β1/γ2
10.53Consensusccr6_on_gpOrthosteric Ligand6WWZ-CCR6-CCL20-Go/β1/γ2
10.53Consensuscxcr1_onOrthosteric Ligand8IC0-CXCR1-CXCL8-Gi1/β1/γ2
10.53Consensusp2y1_onOrthosteric Ligand7XXH-P2Y1-2MeSADP-chim(NtGi1-G11)/β1/γ2
10.53Consensuspaf_offOrthosteric Ligand5ZKQ-PAF-ABT-491
10.34Single8IEDPubChem 1347468948IED-GPR156; GPR156-PubChem 134746894-Go/β1/γ2
10.34Single8YW3Retatrutide8YW3-GLP-1-Retatrutide-Gs/β1/γ2
10.34Single8YW5Retatrutide8YW5-Glucagon-Retatrutide-Gs/β1/γ2
10.34Single9EBOGLP-1 (ACPC18)9EBO-GLP-1-GLP-1 (ACPC18)-Gs/β1/γ2
10.34Consensuscrf2_onOrthosteric Ligand7TS0-CRF2-Urocortin-chim(NtGi1L-Go)/β1/γ2
10.00Single6FK8PubChem 1324730356FK8-Rhodopsin-PubChem 132473035
10.00Single6FKAPubChem 1324730376FKA-Rhodopsin-PubChem 132473037
10.00Single6ZINSR486926ZIN-NTS1-SR48692
10.00Single7C2EPubChem 1490507997C2E-GLP-1-PubChem 149050799-Gs/β1/γ2
10.00Single7M3GCa; Ca; Tryptophan; Evocalcet; Etelcalcetide; PO47M3G-CaS; CaS-Ca; Ca; Tryptophan; Evocalcet; Etelcalcetide; PO4
10.00Single7TYWCalcitonin-17TYW-CT (AMY1)-Calcitonin-1-Gs/β1/γ2; RAMP1
10.00Single7Y35Abaloparatide7Y35-PTH1-Abaloparatide-Gs/β1/γ2
10.00Single8HQN9-S-HODE8HQN-GPR132-9-S-HODE-Gi1/β1/γ2
10.00Single8K4SDCA-3P8K4S-MRGPRX4-DCA-3P-chim(NtGi1L-Gs-CtGq)/β1/γ2
10.00Single8X7ATreprostinil8X7A-I2-Treprostinil-Gs/β1/γ2
10.00Single8YG4LA-PTH Analog8YG4-PTH1-LA-PTH Analog-chim(NtGi1-Gs)/β1/γ2
10.00Single9DQJEP-39459DQJ-MRGPRD-EP-3945-chim(NtGi1-Gs-CtGq)/β1/γ2
10.00Single9JFUNE52-QQ579JFU-GPR4-NE52-QQ57
10.00Single9U80Conivaptan9U80-V2-Conivaptan
10.00Consensuscalcitonin_onOrthosteric Ligandctlike_on
10.00Consensusp2y10_onOrthosteric Ligand8KGG-P2Y10-Lysophosphatidylserine (WJS)-chim(NtGi2-G13)/β1/γ2
9.68Single6NBILA-PTH Analog6NBI-PTH1-LA-PTH Analog-Gs/β1/γ2
9.68Single7CZ5Somatoliberin7CZ5-GHRH-Somatoliberin-Gs/β1/γ2
9.68Single7KI0Semaglutide7KI0-GLP-1-Semaglutide-Gs/β1/γ2
9.68Single8FLRPTHrP(1-36)8FLR-PTH1-PTHrP(1-36)-Gs/β1/γ2
9.68Single9BUBCagrilintide9BUB-CT-Cagrilintide-Gs/β1/γ2
9.68Consensuscalcitonin_on_gpOrthosteric Ligandctlike_on_gp
9.68Consensuscrf2_on_gpOrthosteric Ligand7TS0-CRF2-Urocortin-chim(NtGi1L-Go)/β1/γ2
9.52Single6FK7PubChem 1324730346FK7-Rhodopsin-PubChem 132473034
9.52Single6FKCPubChem 1324730396FKC-Rhodopsin-PubChem 132473039
9.52Single7LCIDanuglipron7LCI-GLP-1-Danuglipron-Gs/β1/γ2
9.52Single7LCKDanuglipron7LCK-GLP-1-Danuglipron
9.52Single7S15PubChem 1346112237S15-GLP-1-PubChem 134611223
9.52Single8IC0CXCL88IC0-CXCR1-CXCL8-Gi1/β1/γ2
9.52Single8TH3AT118-H Nanobody8TH3-AT1-AT118-H Nanobody
9.52Single8X9TAP5038X9T-ADGRD1-AP503-chim(NtGi1-Gs)/β1/γ2
9.52Single8XBGS3E-Lysophosphatidylserine 8XBG-GPR34-S3E-Lysophosphatidylserine
9.52Consensuscxcr1_on_gpOrthosteric Ligand8IC0-CXCR1-CXCL8-Gi1/β1/γ2
9.38Single6UVAAdrenomedullin-26UVA-CT Like (AM2)-Adrenomedullin-2-Gs/β1/γ2; RAMP3
9.38Single7VVKPTH7VVK-PTH1-PTH-Gs/β1/γ2
9.38Single8HAOPTH8HAO-PTH1-PTH-chim(NtGi1-Gs)/β1/γ2
9.38Consensusglp2_onOrthosteric Ligand7D68-GLP-2-GLP-2-Gs/β1/γ2
9.38Consensusglp2_on_gpOrthosteric Ligand7D68-GLP-2-GLP-2-Gs/β1/γ2
9.09Single6LMKGlucagon6LMK-Glucagon-Glucagon-Gs/β1/γ2
9.09Single6RZ4Pranlukast6RZ4-CysLT1-Pranlukast-Na
9.09Single6Z4SSR486926Z4S-NTS1-SR48692
9.09Single7VV4Cortistatin-147VV4-MRGPRX2-Cortistatin-14
9.09Single8EJCTAK-8758EJC-FFA1-TAK-875-chim(NtGi1L-Gs-CtGq)/β1/γ2
9.09Single8T6JCDPPB8T6J-mGlu5; mGlu5-CDPPB
9.09Single8T6JCDPPB8T6J-mGlu5; mGlu5-CDPPB
9.09Single8TH4AT118-L Nanobody8TH4-AT1-Losartan-AT118-L Nanobody
9.09Single8WGBVU01550418WGB-mGlu4; mGlu2-Glutamate-VU0155041-Gi3/β1/γ2
9.09Single8XQPCholesterol8XQP-TAS2R14-Cholesterol-Aristolochic acid A-Gt3/β1/γ1
9.09Single9BQ3Cagrilintide9BQ3-CT (AMY2)-Cagrilintide-Gs/β1/γ2; RAMP2
9.09Single9BTWCagrilintide9BTW-CT (AMY3)-Cagrilintide-Gs/β1/γ2; RAMP3
9.09Single9DQHEP-28259DQH-MRGPRD-EP-2825-chim(NtGi1-Gs-CtGq)/β1/γ2
9.09Single9GE2ML1849GE2-GPR55-ML184-chim(NtGi1-G13)/β1/γ2
9.09Single9KO4CCL219KO4-CCR7-CCL21-Gi1/β1/γ2
9.09Consensuscyslt_offOrthosteric Ligandcyslt2_off cyslt1_off
9.09Consensusvpac2_onOrthosteric Ligand7VQX-VPAC1-PACAP27-Gs/β1/γ2
9.09Consensusvpac2_on_gpOrthosteric Ligand7VQX-VPAC1-PACAP27-Gs/β1/γ2
8.82Single7RBTTirzepatide7RBT-GIP-Tirzepatide-LSN3556672-chim(NtGi1-Gs)/β1/γ2
8.82Consensusgip_onOrthosteric Ligand7FIN-GIP-Peptide-20; GGL-Gs/β1/γ2 7FIY-GIP-Tirzepatide-Gs/β1/γ2 7DTY-GIP-GIP-Gs/β1/γ2
8.82Consensusgip_on_gpOrthosteric Ligand7FIN-GIP-Peptide-20; GGL-Gs/β1/γ2 7FIY-GIP-Tirzepatide-Gs/β1/γ2 7DTY-GIP-GIP-Gs/β1/γ2
8.70Single3ZEVNeurotensin-(7-13)3ZEV-NTS1-Neurotensin-(7-13)
8.70Single6Z8NSRI-98296Z8N-NTS1-SRI-9829
8.70Single7L0PNeurotensin-(8-13)7L0P-NTS1-Neurotensin-(8-13)-Gi1/β1/γ1
8.70Single7L0QNeurotensin-(8-13)7L0Q-NTS1-Neurotensin-(8-13)-Gi1/β1/γ1
8.70Single7S8MCortistatin-147S8M-MRGPRX2-Cortistatin-14-Gi1/β1/γ2
8.70Single7SK7CXCL127SK7-ACKR3-CXCL12-CCX662
8.70Single7T9NDPPC7T9N-TSH-M22 Fab-DPPC-Gs/β1/γ2
8.70Single8FMZNeurotensin-(8-13)8FMZ-NTS1-Neurotensin-(8-13)-chim(NtGi2L-Gs-CtGq)/β1/γ2
8.70Single8I2GPubChem 675302408I2G-FSH-FSH-PubChem 67530240-Gs/β1/γ2
8.70Single8XBIPubChem 1626566368XBI-GPR34-PubChem 162656636
8.70Single8XX7CXCL58XX7-CXCR2-CXCL5-Go/β1/γ2
8.70Single9ASTLymphotactin9AST-XCR1-Lymphotactin-Gi1/β1/γ2
8.70Single9CLWTUG-13759CLW-FFA2-TUG-1375-4-CMTB-chim(NtGi1L-Gs-CtGq)/β1/γ2
8.70Single9ITELPA9ITE-LPA6-LPA-chim(NtGi2-G13)/β1/γ2
8.70Single9MENGp120 (V3 loop)9MEN-CXCR4-Gp120 (V3 loop)
8.70Consensusneurotensin_onOrthosteric Ligandnts1_on
8.70Consensusnts1_onOrthosteric Ligand6OSA-NTS1-JMV449-Gi1/β1/γ2 7L0S-NTS1-Neurotensin-(8-13)-Gi1/β1/γ1
8.70Consensusp2y12_onOrthosteric Ligand7XXI-P2Y12-2MeSADP-Gi2/β1/γ2
8.57Single7VBHPeptide-207VBH-GLP-1-Peptide-20-Gs/β1/γ2
8.33Single4GRVNeurotensin-(8-13)4GRV-NTS1-Neurotensin-(8-13)
8.33Single4PXZ2MeSADP4PXZ-P2Y12-2MeSADP
8.33Single4PY02MeSATP4PY0-P2Y12-2MeSATP
8.33Single4XEENeurotensin-(8-13)4XEE-NTS1-Neurotensin-(8-13)
8.33Single4XESNeurotensin-(8-13)4XES-NTS1-Neurotensin-(8-13)
8.33Single6OSAJMV4496OSA-NTS1-JMV449-Gi1/β1/γ2
8.33Single6RZ7ONO-25703666RZ7-CysLT2-ONO-2570366
8.33Single6YVRNeurotensin-(6-13)6YVR-NTS1-Neurotensin-(6-13)
8.33Single7L0SNeurotensin-(8-13)7L0S-NTS1-Neurotensin-(8-13)-Gi1/β1/γ1
8.33Single7XXI2MeSADP7XXI-P2Y12-2MeSADP-Gi2/β1/γ2
8.33Single8JPCNeurotensin-(8-13)8JPC-NTS1-Neurotensin-(8-13)-SBI-553; GDP; Mg-Gq; GRK2
8.33Single8WRBLysophosphatidylserine (UBL)8WRB-GPR34-Lysophosphatidylserine (UBL)-Gi1/β1/γ2
8.33Single8XQJJN2418XQJ-Apelin; Apelin-JN241
8.33Single8XQNCholesterol8XQN-TAS2R14-Cholesterol-Aristolochic acid A-Gi1/β1/γ1
8.33Single8XWACXCL18XWA-CXCR2-CXCL1
8.33Single8XWMCXCL68XWM-CXCR2-CXCL6
8.33Single8XWSCXCL58XWS-CXCR2-CXCL5
8.33Single8XX3CXCL38XX3-CXCR2-CXCL3-Go/β1/γ2
8.33Single9YDUUDP-Glucose9YDU-P2Y14-UDP-Glucose-Gi1/β1/γ2
8.33Consensusgi_neurotensinOrthosteric Ligand6OSA-NTS1-JMV449-Gi1/β1/γ2 7L0S-NTS1-Neurotensin-(8-13)-Gi1/β1/γ1
8.33Consensusgi_p2yOrthosteric Ligand7XXI-P2Y12-2MeSADP-Gi2/β1/γ2
8.33Consensusneurotensin_on_gpOrthosteric Ligandnts1_on_gp
8.33Consensusnts1_on_gpOrthosteric Ligand6OSA-NTS1-JMV449-Gi1/β1/γ2 7L0S-NTS1-Neurotensin-(8-13)-Gi1/β1/γ1
8.33Consensusp2y12_on_gpOrthosteric Ligand7XXI-P2Y12-2MeSADP-Gi2/β1/γ2
8.11Single7TYOCalcitonin7TYO-CT-Calcitonin-Gs/β1/γ2
8.11Single8JITMEDI03828JIT-Glucagon-MEDI0382-Gs/β1/γ2
8.00Single4BUONeurotensin-(8-13)4BUO-NTS1-Neurotensin-(8-13)
8.00Single6RZ9ONO-27703726RZ9-CysLT2-ONO-2770372
8.00Single6UP7Neurotensin-(8-13)6UP7-NTS1-Neurotensin-(8-13)-Arrestin2
8.00Single7CX4Evatanepag7CX4-EP2-Evatanepag-Gs/β1/γ2
8.00Single7QVMOxytocin7QVM-OT-Oxytocin-chim(NtGi1-Go-CtGq)/β1/γ2
8.00Single8JPFNeurotensin-(8-13)8JPF-NTS1-Neurotensin-(8-13)-SBI-553
8.00Single8XBES3E-Lysophosphatidylserine 8XBE-GPR34-S3E-Lysophosphatidylserine-Gi1/β1/γ1
8.00Single8XWFCXCL38XWF-CXCR2-CXCL3
8.00Single8XWVCXCL18XWV-CXCR2-CXCL1-Go/β1/γ2
8.00Single8ZX4Lysophosphatidylinositol 8ZX4-GPR55-Lysophosphatidylinositol-chim(NtGi1-G13)/β1/γ2
8.00Consensuscyslt2_offOrthosteric Ligand6RZ7-CysLT2-ONO-2570366 6RZ8-CysLT2-ONO-2080365 6RZ9-CysLT2-ONO-2770372
7.89Consensusgluc_onOrthosteric Ligand6LMK-Glucagon-Glucagon-Gs/β1/γ2 8JIT-Glucagon-MEDI0382-Gs/β1/γ2 7V35-Glucagon-Peptide-20-Gs/β1/γ2
7.69Single6OS9JMV4496OS9-NTS1-JMV449-Gi1/β1/γ2
7.69Single7CX2PGE27CX2-EP2-PGE2-Gs/β1/γ2
7.69Single7S8LCortistatin-147S8L-MRGPRX2-Cortistatin-14-chim(NtGi2L-Gs-CtGq)/β1/γ2
7.69Single8SAILysophosphatidylserine (S12)8SAI-GPR34-Lysophosphatidylserine (S12)-Gi1/β1/γ2
7.69Single8XQLCholesterol8XQL-TAS2R14-Cholesterol-Aristolochic acid A-Gt3/β1/γ1
7.69Single8XQOCholesterol8XQO-TAS2R14-Cholesterol-Aristolochic acid A-Gi1/β1/γ1
7.69Single9ITBLPA9ITB-LPA6-LPA-chim(NtGi1-Gs-CtGq)/β1/γ2
7.69Consensusgluc_on_gpOrthosteric Ligand6LMK-Glucagon-Glucagon-Gs/β1/γ2 8JIT-Glucagon-MEDI0382-Gs/β1/γ2 7V35-Glucagon-Peptide-20-Gs/β1/γ2
7.41Single6RZ8ONO-20803656RZ8-CysLT2-ONO-2080365
7.41Single6X19CHU-1286X19-GLP-1-CHU-128-Gs/β1/γ2
7.41Single7CX3Taprenepag7CX3-EP2-Taprenepag-Gs/β1/γ2
7.41Single7L0RNeurotensin-(8-13)7L0R-NTS1-Neurotensin-(8-13)-Gi1/β1/γ1
7.41Single8IEIPubChem 1347468948IEI-GPR156; GPR156-PubChem 134746894
7.41Single8IEIPubChem 1347468948IEI-GPR156; GPR156-PubChem 134746894
7.41Single8IEPPubChem 1347468948IEP-GPR156; GPR156-PubChem 134746894
7.41Single8IEPPubChem 1347468948IEP-GPR156; GPR156-PubChem 134746894
7.41Single8INRAlpha-MSH8INR-MC5-α-MSH-Ca-chim(NtGi1-Gs)/β1/γ2
7.14Single6WHCGlu16 analog of GCG6WHC-Glucagon-Glu16 analog of GCG-Gs/β1/γ2
7.14Single7E14Orforglipron7E14-GLP-1-Orforglipron-PubChem 156022738-Gs/β1/γ2
7.14Single7F1QCCL37F1Q-CCR5-CCL3-Gi1/β1/γ2
7.14Single8IEBPubChem 1347468948IEB-GPR156; GPR156-PubChem 134746894
6.90Single9IVMGLP-1 (Truncated)9IVM-GLP-1-GLP-1 (Truncated)-LSN3318839-chim(NtGi1-Gs)/β2/γ2
6.67Single7FINPeptide-20; GGL7FIN-GIP-Peptide-20; GGL-Gs/β1/γ2
6.45Single5YQZNNC17025YQZ-Glucagon-NNC1702
6.45Single7TYHCalcitonin7TYH-CT (AMY2)-Calcitonin-Gs/β1/γ2; RAMP2
6.25Single7XKDDehydroepiandrosterone7XKD-ADGRG2-Dehydroepiandrosterone-Gs/β1/γ2
6.25Single8HQMNPGLY8HQM-GPR132-NPGLY-Gi1/β1/γ2
6.25Single8HVINOX-6-78HVI-GPR132-NOX-6-7-Gi1/β1/γ2
6.25Consensusctlike_onOrthosteric Ligand6E3Y-CT Like-Calcitonin gene-related peptide-1-Gs/β1/γ2; RAMP1
6.06Single5NX2GLP-1 (Truncated)5NX2-GLP-1-GLP-1 (Truncated)
5.88Consensusctlike_on_gpOrthosteric Ligand6E3Y-CT Like-Calcitonin gene-related peptide-1-Gs/β1/γ2; RAMP1
5.56Single6FK9PubChem 1324730366FK9-Rhodopsin-PubChem 132473036
5.56Single8F76Propanoic acid8F76-OR51E2-Propanoic acid-Gs/β1/γ2
5.56Single8JRVGlucagon8JRV-Glucagon-Glucagon-Arrestin2
5.56Single8X9UMetenolone8X9U-ADGRD1-Metenolone-chim(NtGi1-Gs)/β1/γ2
5.56Single9IJRC179IJR-GPR52-C17-Arrestin2
5.56Single9JHJC18:0 Ceramide9JHJ-FPR2-ALX-C18:0 Ceramide-Gi1/β1/γ2
5.26Single6FK6PubChem 1324730336FK6-Rhodopsin-PubChem 132473033
5.26Single6LI0C176LI0-GPR52-C17
5.26Single7UL2SR486927UL2-NTS1-SR48692-Na
5.26Single9E7RGB889E7R-PAR2-GB88-chim(NtGi1L-Gs-CtGq)/β1/γ2
5.26Single9JCPLPC9JCP-GPR4-LPC-chim(NtGi1-Gs-CtGq)/β1/γ2
5.26Consensusneurotensin_offOrthosteric Ligandnts1_off
5.26Consensusnts1_offOrthosteric Ligand7UL2-NTS1-SR48692-Na
5.00Single4K5YCP-3763954K5Y-CRF1-CP-376395
5.00Single6FKBPubChem 1324730386FKB-Rhodopsin-PubChem 132473038
5.00Single6LFOCXCL86LFO-CXCR2-CXCL8-Gi1/β1/γ2
5.00Single7LCJDanuglipron7LCJ-GLP-1-Danuglipron
5.00Single8U8FPalmitic Acid8U8F-GPR3-Palmitic Acid-Gs/β1/γ2
5.00Single8XXXCXCL68XXX-CXCR2-CXCL6-Go/β1/γ2
4.76Single7UTZDPPC7UTZ-TSH-TSH-DPPC-Gs/β1/γ2
4.76Single8IYXYL-3658IYX-GPR34-YL-365
4.76Single8JD6VU03647708JD6-mGlu4; mGlu4-Phosphoserine-VU0364770-Gi3/β1/γ2
4.76Single8K4NPubChem 1687197658K4N-GPR34-PubChem 168719765-Gi1/β1/γ2
4.76Single8YRGFospropofol8YRG-MRGPRX4-Fospropofol-chim(NtGi1-Gs-CtGq)/β1/γ2
4.76Single9JQYTG6-1299JQY-EP4-TG6-129
4.76Single9K0KUTP9K0K-P2Y4-UTP-chim(NtGi1-Gs-CtGq)/β1/γ2
4.76Single9K0XATP9K0X-P2Y2-ATP-chim(NtGi1-Gs-CtGq)/β1/γ2
4.76Single9K20ATP9K20-P2Y2-ATP-chim(NtGi1-Go)/β1/γ2
4.55Single4QIMANTA XV4QIM-SMO-ANTA XV
4.55Single4Z9GCP-3763954Z9G-CRF1-CP-376395
4.55Single6ORVTT-OAD26ORV-GLP-1-TT-OAD2-Gs/β1/γ2
4.55Single6X1ADanuglipron6X1A-GLP-1-Danuglipron-Gs/β1/γ2
4.55Single6Z4VNeurotensin-(9-13)6Z4V-NTS1-Neurotensin-(9-13)
4.55Single7SK8CXCL127SK8-ACKR3-CXCL12-CCX662
4.55Single8EJKTAK-8758EJK-FFA1-TAK-875-chim(NtGi1L-Gs-CtGq)/β1/γ2
4.55Single8GTIBMK-C2058GTI-CRF1-BMK-C205
4.55Single8ZYYNeurotensin-(8-13)8ZYY-NTS1-Neurotensin-(8-13)-SBI-553-Arrestin2
4.55Single9IMATalquetamab9IMA-GPRC5D; GPRC5D-Talquetamab
4.55Single9IYAONO-97105319IYA-GPR55-ONO-9710531
4.55Single9JROPF-044189489JRO-EP2-PF-04418948
4.55Single9METGp120; CD49MET-CXCR4-Gp120; CD4
4.35Single4JKVTaladegib4JKV-SMO-Taladegib
4.35Single6Z4QSR142948A6Z4Q-NTS1-SR142948A
4.35Single7VV0PAMP-127VV0-MRGPRX2-PAMP-12
4.35Single8GTGBMK-I1528GTG-CRF1-BMK-I152
4.35Single8IZ4Lysophosphatidylserine (TJR)8IZ4-GPR34-Lysophosphatidylserine (TJR)-Gi1/β1/γ2
4.35Single8JGGBAM8-228JGG-MRGPRX1-BAM8-22-Gi1/β1/γ2
4.35Single8ZYTNeurotensin-(8-13)8ZYT-NTS1-Neurotensin-(8-13)-SBI-553-Arrestin2
4.35Single9EAHNanobody AT2099EAH-AT1-Olmesartan-Nanobody AT209
4.35Single9JRTTG6-1299JRT-EP2-TG6-129
4.17Single4BV0Neurotensin-(7-13)4BV0-NTS1-Neurotensin-(7-13)
4.17Single5V56TC1145V56-SMO-TC114
4.17Single5V57TC1145V57-SMO-TC114
4.17Single8FN1Neurotensin-(8-13)8FN1-NTS1-Neurotensin-(8-13)-chim(NtGi1-Go)/β1/γ2
4.17Single8JD5JNJ-40411813; ADX881788JD5-mGlu2; mGlu4-Glutamate-JNJ-40411813; ADX88178-Gi1/β1/γ2
4.17Single8JGFBAM8-228JGF-MRGPRX1-BAM8-22-chim(NtGi1-Gs-CtGq)/β1/γ2
4.17Single8XQTCholesterol8XQT-TAS2R14-Cholesterol-Gi1/β1/γ1
4.00Single6XOXOrforglipron6XOX-GLP-1-Orforglipron-chim(NtGi1-Gs)/β1/γ2
4.00Single7XW5ML1097XW5-TSH-TSH-ML109-Gs/β1/γ2
4.00Single7XW6ML1097XW6-TSH-M22 Fab-ML109-Gs/β1/γ2
4.00Single8DWCBAM8-228DWC-MRGPRX1-BAM8-22-chim(NtGi2L-Gs-CtGq)/β1/γ2
4.00Single8GTMBMK-C2038GTM-CRF1-BMK-C203
4.00Single8JPBNeurotensin-(8-13)8JPB-NTS1-Neurotensin-(8-13)-SBI-553; GDP; Mg-Gq; GRK2
3.85Single8FN0Neurotensin-(8-13)8FN0-NTS1-Neurotensin-(8-13)-SBI-553-chim(NtGi1-Go)/β1/γ2
3.70Single5TZYMK8666; AP85TZY-FFA1-MK8666; AP8
3.57Single7RTBPeptide-197RTB-GLP-1-Peptide-19-Gs/β1/γ2
3.57Single8DWGBAM8-228DWG-MRGPRX1-BAM8-22-ML382-chim(NtGi2L-Gs-CtGq)/β1/γ2
3.57Single8JIQPeptide-158JIQ-Glucagon-Peptide-15-Gs/β1/γ2
3.57Single9BUECagrilintide9BUE-CT-Cagrilintide-Gs/β1/γ2
3.23Single6NIYCalcitonin-16NIY-CT-Calcitonin-1-Gs/β1/γ2

PDB Summary
PDB 9F34
Class A
SubFamily Amine
Type Dopamine
SubType D3
Species Homo Sapiens
Ligand FOB02-04A
Other Ligand(s) -
Protein Partners Go/Beta1/Gamma2
PDB Resolution 3.05
Date 2024-09-18
D.O.I. doi.org/10.1038/s41467-024-51993-4
Net Summary
Imin 2.88
Number of Linked Nodes 834
Number of Links 1042
Number of Hubs 174
Number of Links mediated by Hubs 638
Number of Communities 23
Number of Nodes involved in Communities 264
Number of Links involved in Communities 403
Path Summary
Number Of Nodes in MetaPath 89
Number Of Links MetaPath 88
Number of Shortest Paths 4054090
Length Of Smallest Path 3
Average Path Length 39.8025
Length of Longest Path 66
Minimum Path Strength 1.23
Average Path Strength 5.84121
Maximum Path Strength 23.095
Minimum Path Correlation 0.7
Average Path Correlation 0.991538
Maximum Path Correlation 1
Minimum % Of Corr. Nodes 1.92308
Average % Of Corr. Nodes 32.1555
Maximum % Of Corr. Nodes 100
Minimum Path Hubs % 0
Average Path Hubs % 53.3575
Maximum Path Hubs % 100
AnnotationTypeLinks
Gene OntologyMolecular Function
Gene OntologyBiological Process• multicellular organismal process   • regulation of cellular process   • cellular developmental process   • regulation of developmental process   • negative regulation of biological process   • cell development   • regulation of cell differentiation   • regulation of neurogenesis   • regulation of gliogenesis   • regulation of cell development   • regulation of nervous system development   • multicellular organism development   • neurogenesis   • negative regulation of neurogenesis   • gliogenesis   • cell differentiation   • anatomical structure development   • negative regulation of cellular process   • regulation of multicellular organismal process   • negative regulation of nervous system development   • negative regulation of cell differentiation   • system development   • developmental process   • regulation of biological process   • regulation of multicellular organismal development   • negative regulation of developmental process   • regulation of glial cell differentiation   • biological regulation   • nervous system development   • negative regulation of gliogenesis   • negative regulation of cell development   • negative regulation of oligodendrocyte differentiation   • negative regulation of glial cell differentiation   • central nervous system development   • oligodendrocyte differentiation   • glial cell differentiation   • cellular process   • negative regulation of multicellular organismal process   • regulation of oligodendrocyte differentiation   • response to stimulus   • response to chemical   • response to xenobiotic stimulus   • organic anion transport   • carboxylic acid transport   • secretion   • transport   • arachidonate transport   • lipid localization   • lipid transport   • establishment of localization   • organic acid transport   • localization   • arachidonate secretion   • monocarboxylic acid transport   • fatty acid transport   • icosanoid transport   • macromolecule localization   • icosanoid secretion   • long-chain fatty acid transport   • negative regulation of protein transport   • regulation of localization   • establishment of protein localization   • regulation of protein localization   • negative regulation of transport   • protein localization to extracellular region   • regulation of secretion by cell   • secretion by cell   • negative regulation of secretion   • negative regulation of secretion by cell   • intracellular protein localization   • negative regulation of protein localization   • regulation of transport   • regulation of establishment of protein localization   • establishment of protein localization to extracellular region   • negative regulation of establishment of protein localization   • export from cell   • regulation of protein transport   • protein secretion   • regulation of protein secretion   • regulation of secretion   • negative regulation of protein secretion   • protein transport   • behavior   • locomotory behavior   • regulation of cytokinesis   • positive regulation of cell division   • regulation of cell cycle process   • positive regulation of biological process   • cytokinesis   • positive regulation of cell cycle   • regulation of cell division   • positive regulation of cytokinesis   • positive regulation of cell cycle process   • cell division   • cell cycle   • regulation of cell cycle   • positive regulation of cellular process   • cell cycle process   • adult behavior   • behavioral response to cocaine   • response to oxygen-containing compound   • response to nitrogen compound   • response to cocaine   • response to alkaloid   • system process   • learning   • learning or memory   • nervous system process   • cognition   • monoamine transport   • nitrogen compound transport   • regulation of catecholamine secretion   • signaling   • organic hydroxy compound transport   • dopamine transport   • cell communication   • catecholamine transport   • signal release   • cell-cell signaling   • dopamine secretion   • catecholamine secretion   • amine transport   • regulation of amine transport   • regulation of dopamine secretion   • import into cell   • cellular localization   • catecholamine uptake   • dopamine uptake involved in synaptic transmission   • synaptic signaling   • establishment of localization in cell   • regulation of dopamine uptake involved in synaptic transmission   • neurotransmitter reuptake   • regulation of neurotransmitter uptake   • trans-synaptic signaling   • regulation of neurotransmitter transport   • neurotransmitter transport   • chemical synaptic transmission   • anterograde trans-synaptic signaling   • neurotransmitter uptake   • synaptic transmission, dopaminergic   • dopamine uptake   • inorganic ion homeostasis   • intracellular calcium ion homeostasis   • homeostatic process   • calcium ion homeostasis   • cellular homeostasis   • chemical homeostasis   • intracellular monoatomic cation homeostasis   • monoatomic ion homeostasis   • intracellular chemical homeostasis   • monoatomic cation homeostasis   • intracellular monoatomic ion homeostasis   • adenylate cyclase-inhibiting dopamine receptor signaling pathway   • cellular response to stimulus   • cellular response to nitrogen compound   • response to dopamine   • cellular response to dopamine   • response to monoamine   • response to catecholamine   • cellular response to catecholamine stimulus   • signal transduction   • G protein-coupled dopamine receptor signaling pathway   • cellular response to oxygen-containing compound   • adenylate cyclase-inhibiting G protein-coupled receptor signaling pathway   • cellular response to chemical stimulus   • cellular response to monoamine stimulus   • adenylate cyclase-modulating G protein-coupled receptor signaling pathway   • G protein-coupled receptor signaling pathway   • response to light stimulus   • visual learning   • visual behavior   • associative learning   • response to radiation   • response to abiotic stimulus   • positive regulation of organelle organization   • regulation of cellular component organization   • positive regulation of cellular component organization   • regulation of mitotic nuclear division   • positive regulation of mitotic nuclear division   • mitotic cell cycle   • cellular component organization   • regulation of mitotic cell cycle   • cellular component organization or biogenesis   • mitotic nuclear division   • organelle fission   • positive regulation of nuclear division   • regulation of organelle organization   • organelle organization   • nuclear division   • mitotic cell cycle process   • regulation of nuclear division   • regulation of biosynthetic process   • rhythmic process   • circadian regulation of gene expression   • circadian rhythm   • regulation of macromolecule metabolic process   • gene expression   • macromolecule biosynthetic process   • regulation of gene expression   • biosynthetic process   • regulation of macromolecule biosynthetic process   • metabolic process   • macromolecule metabolic process   • regulation of metabolic process   • response to histamine   • amine metabolic process   • catecholamine metabolic process   • phenol-containing compound metabolic process   • dopamine metabolic process   • catechol-containing compound metabolic process   • biogenic amine metabolic process   • startle response   • regulation of response to external stimulus   • neuromuscular process   • negative regulation of response to stimulus   • prepulse inhibition   • response to external stimulus   • regulation of response to stimulus   • negative regulation of response to external stimulus   • regulation of potassium ion transport   • regulation of monoatomic ion transport   • metal ion transport   • monoatomic ion transport   • potassium ion transport   • monoatomic cation transport   • regulation of metal ion transport   • regulation of phosphatidylinositol 3-kinase/protein kinase B signal transduction   • negative regulation of signaling   • negative regulation of intracellular signal transduction   • negative regulation of phosphatidylinositol 3-kinase/protein kinase B signal transduction   • regulation of signal transduction   • intracellular signal transduction   • negative regulation of cell communication   • regulation of intracellular signal transduction   • intracellular signaling cassette   • regulation of signaling   • negative regulation of signal transduction   • regulation of cell communication   • phosphatidylinositol 3-kinase/protein kinase B signal transduction   • multicellular organismal movement   • musculoskeletal movement   • reflex   • musculoskeletal movement, spinal reflex action   • modulation of chemical synaptic transmission   • synaptic transmission, glutamatergic   • regulation of synaptic transmission, glutamatergic   • negative regulation of synaptic transmission   • regulation of trans-synaptic signaling   • negative regulation of synaptic transmission, glutamatergic   • response to morphine   • response to isoquinoline alkaloid   • regulation of biological quality   • negative regulation of cytosolic calcium ion concentration   • biological process involved in intraspecies interaction between organisms   • social behavior   • positive regulation of cell communication   • positive regulation of signal transduction   • regulation of dopamine receptor signaling pathway   • positive regulation of response to stimulus   • regulation of G protein-coupled receptor signaling pathway   • positive regulation of G protein-coupled receptor signaling pathway   • positive regulation of dopamine receptor signaling pathway   • positive regulation of signaling   • acid secretion   • adenylate cyclase-activating dopamine receptor signaling pathway   • adenylate cyclase-activating G protein-coupled receptor signaling pathway   • negative adaptation of signaling pathway   • receptor internalization   • desensitization of G protein-coupled receptor signaling pathway   • negative regulation of G protein-coupled receptor signaling pathway   • vesicle-mediated transport   • G protein-coupled receptor internalization   • adaptation of signaling pathway   • receptor-mediated endocytosis   • endocytosis   • circulatory system process   • regulation of blood pressure   • negative regulation of blood pressure   • blood circulation   • phospholipase C-activating dopamine receptor signaling pathway   • phospholipase C-activating G protein-coupled receptor signaling pathway   • bioluminescence   • generation of precursor metabolites and energy   • cell periphery   • cellular anatomical structure   • plasma membrane   • membrane   • synapse   • cell junction   • protein binding   • binding   • G-protein beta-subunit binding   • fibroblast proliferation   • cell population proliferation   • response to ketone   • response to prostaglandin   • response to lipid   • response to endogenous stimulus   • response to alcohol   • cellular response to prostaglandin stimulus   • cellular response to endogenous stimulus   • cellular response to prostaglandin E stimulus   • cellular response to alcohol   • response to hormone   • cellular response to lipid   • response to prostaglandin E   • cellular response to ketone   • cellular response to hormone stimulus   • protein-containing complex   • extrinsic component of plasma membrane   • catalytic complex   • plasma membrane protein complex   • cytoplasmic side of membrane   • membrane protein complex   • heterotrimeric G-protein complex   • side of membrane   • cytoplasmic side of plasma membrane   • GTPase complex   • extrinsic component of membrane   • extrinsic component of cytoplasmic side of plasma membrane   • extracellular exosome   • membrane-bounded organelle   • extracellular vesicle   • extracellular organelle   • extracellular region   • organelle   • extracellular space   • vesicle   • extracellular membrane-bounded organelle   • cytoskeletal protein binding   • spectrin binding   • protein-containing complex binding   • enzyme binding   • GTPase binding   • phosphoric ester hydrolase activity   • alkylglycerophosphoethanolamine phosphodiesterase activity   • hydrolase activity, acting on ester bonds   • phosphoric diester hydrolase activity   • hydrolase activity   • catalytic activity   • pyrophosphatase activity   • GTPase activity   • ribonucleoside triphosphate phosphatase activity   • hydrolase activity, acting on acid anhydrides, in phosphorus-containing anhydrides   • hydrolase activity, acting on acid anhydrides   • signaling receptor complex adaptor activity   • protein-macromolecule adaptor activity   • molecular adaptor activity   • signaling adaptor activity   • positive regulation of cytosolic calcium ion concentration   • sensory perception of chemical stimulus   • sensory perception   • sensory perception of taste   • sensory organ development   • eye development   • animal organ development   • retina development in camera-type eye   • visual system development   • camera-type eye development   • sensory system development   • response to decreased oxygen levels   • cellular response to oxygen levels   • cellular response to hypoxia   • cellular response to decreased oxygen levels   • cellular response to stress   • response to hypoxia   • response to stress   • response to oxygen levels   • muscle cell apoptotic process   • striated muscle cell apoptotic process   • apoptotic process   • cell death   • programmed cell death   • cardiac muscle cell apoptotic process   • photoreceptor inner segment   • somatodendritic compartment   • cell projection   • dendrite   • dendritic tree   • neuron projection   • plasma membrane bounded cell projection   • intracellular anatomical structure   • cytoplasm   • non-motile cilium   • 9+0 non-motile cilium   • cilium   • photoreceptor outer segment   • photoreceptor cell cilium   • ciliary membrane   • photoreceptor outer segment membrane   • bounding membrane of organelle   • plasma membrane region   • organelle membrane   • cell projection membrane   • cell body   • mu-type opioid receptor binding   • signaling receptor binding   • G protein-coupled receptor binding   • opioid receptor binding   • guanyl nucleotide binding   • GTP binding   • nucleotide binding   • guanyl ribonucleotide binding   • purine ribonucleotide binding   • purine ribonucleoside triphosphate binding   • nucleoside phosphate binding   • ion binding   • purine nucleotide binding   • anion binding   • heterocyclic compound binding   • carbohydrate derivative binding   • ribonucleotide binding   • small molecule binding   • peptide hormone receptor binding   • corticotropin-releasing hormone receptor binding   • corticotropin-releasing hormone receptor 1 binding   • hormone receptor binding   • neuropeptide receptor binding   • G protein-coupled serotonin receptor binding   • G-protein beta/gamma-subunit complex binding   • G protein activity   • molecular function regulator activity   • cation binding   • metal ion binding   • adenylate cyclase-inhibiting serotonin receptor signaling pathway   • G protein-coupled serotonin receptor signaling pathway   • heart process   • regulation of heart contraction   • regulation of system process   • regulation of blood circulation   • heart contraction   • membrane docking   • organelle localization by membrane tethering   • exocytosis   • organelle localization   • vesicle docking   • exocytic process   • vesicle docking involved in exocytosis   • negative regulation of hormone secretion   • regulation of peptide hormone secretion   • negative regulation of peptide hormone secretion   • regulation of hormone levels   • regulation of hormone secretion   • regulation of peptide secretion   • hormone secretion   • negative regulation of peptide secretion   • peptide secretion   • regulation of peptide transport   • peptide transport   • negative regulation of insulin secretion   • regulation of insulin secretion   • peptide hormone secretion   • hormone transport   • insulin secretion   • postsynaptic modulation of chemical synaptic transmission   • muscle contraction   • muscle system process   • postsynapse   • postsynaptic membrane   • synaptic membrane   • parallel fiber to Purkinje cell synapse   • excitatory synapse   • presynapse   • presynaptic membrane   • GABA-ergic synapse   • glutamatergic synapse
Gene OntologyCellular Component
SCOP2Domain Identifier• G protein-coupled receptor-like   • Transducin (heterotrimeric G protein), gamma chain
SCOP2Family Identifier• G protein-coupled receptor-like   • Transducin (heterotrimeric G protein), gamma chain
Membrane Protein Annotations-• Orientations of Proteins in Membranes database (OPM)   • Protein Data Bank of Transmembrane Proteins (PDBTM)   • MemProtMD


Details about the values in these tables can be found in the corresponding documentation page .
Code_L_
PDB ResiduesL:L:?1
Environment DetailsOpen EMBL-EBI Page
Code_L_
Name
Synonyms
Identifier
Formula
Molecular Weight
SMILES
PubChem
Formal Charge
Total Atoms
Total Chiral Atoms
Total Bonds
Total Aromatic Bonds

PDBsumOpen PDBsum Page
ChainA
ProteinG Protein α Sub unit
UniProtP09471
Sequence
>9F34_Chain_A
TLSAEERAA LERSKAIEK NLKEDGISA AKDVKLLLL GAGESGKTI 
VKQMKTTGI VETHFTFKN LHFRLFDVG QRSERKKWI HCFEDVTAI 
IFCVALSGY DQVNRMHSL LFDSICNNK FFIDTSIIL FLNKKDLFG 
EKIKKSPLT ICFPEYTGP NTYEDAAAY IQAQFESKN RSPNKEIYC 
HMTCTDTNN IQVVFDAVT DIIIANNLR GCGLYNAAK S


Click on each residue to open a popup with some information about it.

ConSurf Conservation Grade (See documentation): 

 n/a   1    2    3    4    5    6    7    8    9  

ChainB
ProteinG Protein β Sub unit
UniProtP54311
Sequence
>9F34_Chain_B
LDQLRQEAE QLKNQIRDA RKACADATL SQITNNIDP VGRIQMRTR 
RTLRGHLAK IYAMHWGTD SRLLVSASQ DGKLIIWDS YTTNKVHAI 
PLRSSWVMT CAYAPSGNY VACGGLDNI CSIYNLKTR EGNVRVSRE 
LAGHTGYLS CCRFLDDNQ IVTSSGDTT CALWDIETG QQTTTFTGH 
TGDVMSLSL APDTRLFVS GACDASAKL WDVREGMCR QTFTGHESD 
INAICFFPN GNAFATGSD DATCRLFDL RADQELMTY SHDNIICGI 
TSVSFSKSG RLLLAGYDD FNCNVWDAL KADRAGVLA GHDNRVSCL 
GVTDDGMAV ATGSWDSFL KIWN


Click on each residue to open a popup with some information about it.

ConSurf Conservation Grade (See documentation): 

 n/a   1    2    3    4    5    6    7    8    9  

ChainG
ProteinG Protein γ Sub unit
UniProtP59768
Sequence
>9F34_Chain_G
ASIAQARKL VEQLKMEAN IDRIKVSKA AADLMAYCE AHAKEDPLL 
TPVPASENP FRE


Click on each residue to open a popup with some information about it.

ConSurf Conservation Grade (See documentation): 

 n/a   1    2    3    4    5    6    7    8    9  

ChainR
ProteinReceptor
UniProtP35462
Sequence
>9F34_Chain_R
YALSYCALI LAIVFGNGL VCMAVLKER ALQTTTNYL VVSLAVADL 
LVATLVMPW VVYLEVTGG VWNFSRICC DVFVTLDVM MCTASINLC 
AISIDRYTA VVMPVHYQH GTGQSSCRR VALMITAVW VLAFAVSCP 
LLFGFNTTG DPTVCSISN PDFVIYSSV VSFYLPFGV TVLVYARIY 
VVLKQRRRK RIREKKATQ MVAIVLGAF IVCWLPFFL THVLNTHCQ 
TCHVSPELY SATTWLGYV NSALNPVIY TTFNIEFRK AFLKILSCW


Click on each residue to open a popup with some information about it.

ConSurf Conservation Grade (See documentation): 

 n/a   1    2    3    4    5    6    7    8    9  




This receptor, from the same or other species and bound to the same or other ligands, is also present in the following networks:
Show PDB Class SubFamily Type SubType Species Orthosteric Ligand Other Ligand(s) Protein Partners Resolution Date DOI
3PBLAAmineDopamineD3Homo sapiensEticlopride--2.892010-11-03doi.org/10.1126/science.1197410
6D32FProteinFrizzledSMOXenopus laevisCyclopamineCyclopamine-3.752018-05-23doi.org/10.1016/j.cell.2018.04.029
6D35FProteinFrizzledSMOXenopus laevis-Cholesterol-3.92018-05-23doi.org/10.1016/j.cell.2018.04.029
7D3SB1PeptideGlucagonSecretinHomo sapiensSecretin-Gs/β1/γ22.92020-11-04doi.org/10.1016/j.bbrc.2020.08.042
7D3S (No Gprot) B1PeptideGlucagonSecretinHomo sapiensSecretin-2.92020-11-04doi.org/10.1016/j.bbrc.2020.08.042
7AD3D1Ste2-likeSTE2STE2; STE2Saccharomyces cerevisiaeα-factor mating pheromone-Gi1/STE4/γ23.32020-12-09doi.org/10.1038/s41586-020-2994-1
7AD3 (No Gprot) D1Ste2-likeSTE2STE2; STE2Saccharomyces cerevisiaeα-factor mating pheromone-3.32020-12-09doi.org/10.1038/s41586-020-2994-1
7CMUAAmineDopamineD3Homo sapiensPramipexole-Gi1/β1/γ232021-03-10doi.org/10.1016/j.molcel.2021.01.003
7CMU (No Gprot) AAmineDopamineD3Homo sapiensPramipexole-32021-03-10doi.org/10.1016/j.molcel.2021.01.003
7CMVAAmineDopamineD3Homo sapiensPD128907-Gi1/β1/γ22.72021-03-10doi.org/10.1016/j.molcel.2021.01.003
7CMV (No Gprot) AAmineDopamineD3Homo sapiensPD128907-2.72021-03-10doi.org/10.1016/j.molcel.2021.01.003
7LD3ANucleotideAdenosineA1Homo sapiensAdenosineMIPS521Gi2/β1/γ23.22021-09-08doi.org/10.1038/s41586-021-03897-2
7LD3 (No Gprot) ANucleotideAdenosineA1Homo sapiensAdenosineMIPS5213.22021-09-08doi.org/10.1038/s41586-021-03897-2
7TD3ALipidLysophospholipidS1P1Homo sapiensS1P-Gi1/β1/γ232022-02-09doi.org/10.1038/s41467-022-28417-2
7TD3 (No Gprot) ALipidLysophospholipidS1P1Homo sapiensS1P-32022-02-09doi.org/10.1038/s41467-022-28417-2
8ID3ALipidFree Fatty AcidFFA4Homo sapiens9-Hydroxystearic acid-Gi1/β1/γ23.12023-03-15doi.org/10.1126/science.add6220
8ID3 (No Gprot) ALipidFree Fatty AcidFFA4Homo sapiens9-Hydroxystearic acid-3.12023-03-15doi.org/10.1126/science.add6220
8IRTAAmineDopamineD3Homo sapiensRotigotine-Gi1/β1/γ22.72023-06-07doi.org/10.1038/s41422-023-00808-0
8IRT (No Gprot) AAmineDopamineD3Homo sapiensRotigotine-2.72023-06-07doi.org/10.1038/s41422-023-00808-0
8JD3CAminoacidMetabotropic GlutamatemGlu2; mGlu3Homo sapiensGlutamateJNJ-40411813Gi1/β1/γ23.32023-06-21doi.org/10.1038/s41422-023-00830-2
8JD3 (No Gprot) CAminoacidMetabotropic GlutamatemGlu2; mGlu3Homo sapiensGlutamateJNJ-404118133.32023-06-21doi.org/10.1038/s41422-023-00830-2
9F33AAmineDopamineD3Homo sapiensFOB02-04A-Go/β1/γ23.052024-09-18doi.org/10.1038/s41467-024-51993-4
9F33 (No Gprot) AAmineDopamineD3Homo sapiensFOB02-04A-3.052024-09-18doi.org/10.1038/s41467-024-51993-4
9F34 (No Gprot) AAmineDopamineD3Homo sapiensFOB02-04A-3.052024-09-18doi.org/10.1038/s41467-024-51993-4
8ZPNAProteinChemokineCXCR4Homo sapiensAMD3100--3.312025-02-26doi.org/10.1073/pnas.2425795122
8U4PAProteinChemokineCXCR4Homo sapiensAMD3100-Gi1/β1/γ23.152024-03-13doi.org/10.1101/2024.02.09.579708
8U4P (No Gprot) AProteinChemokineCXCR4Homo sapiensAMD3100-3.152024-03-13doi.org/10.1101/2024.02.09.579708




You can download a compressed (zip) file with structure(s), 3D outputs (as PyMol and VMD scripts) and numerical data files (as csv and plain text files).

Download 9F34.zip



You can click to copy the link of this page to easily come back here later

or use this QR code to link and share this page.



You can also  read or  download a guide explaining the meaning of all files and numerical data.