| Color | ConSurf Grade |
| No Conservation data available | |
| 1 | |
| 2 | |
| 3 | |
| 4 | |
| 5 | |
| 6 | |
| 7 | |
| 8 | |
| 9 |
Index: link id, click on each number to highlight the corresponding link in the 3D visualization.
Node1 Node2: the two nodes of the corresponding link.
Int. Strength: the interaction strength between the two nodes.
Hub1?, Hub2?: "Yes" if the corresponding node has more than 3 links, otherwise "No".
Community: the id of the community the link belong to, otherwise 0.
ConSurf1, ConSurf2: these columns report the ConSurf conservation grades of the two nodes involved in a link.
| Index | Node1 | Node2 | Int. Strength | Hub1? | Hub2? | Community | ConSurf1 | ConSurf2 |
|---|---|---|---|---|---|---|---|---|
| 1 | R:R:L354 | R:R:V31 | 2.98 | Yes | No | 0 | 5 | 6 |
| 2 | L:L:K13 | R:R:V31 | 6.07 | No | No | 0 | 0 | 6 |
| 3 | R:R:E36 | R:R:M32 | 2.71 | No | No | 0 | 6 | 6 |
| 4 | L:L:R20 | R:R:M32 | 4.96 | Yes | No | 0 | 0 | 6 |
| 5 | R:R:E35 | R:R:T33 | 5.64 | No | No | 0 | 5 | 7 |
| 6 | R:R:E36 | R:R:T33 | 7.06 | No | No | 0 | 6 | 7 |
| 7 | L:L:F23 | R:R:K34 | 8.69 | No | No | 0 | 0 | 4 |
| 8 | R:R:E35 | R:R:T273 | 4.23 | No | No | 0 | 5 | 3 |
| 9 | R:R:L41 | R:R:Q37 | 5.32 | No | No | 0 | 8 | 7 |
| 10 | R:R:I135 | R:R:Q37 | 4.12 | Yes | No | 0 | 7 | 7 |
| 11 | R:R:A44 | R:R:W112 | 3.89 | No | Yes | 0 | 7 | 7 |
| 12 | R:R:A44 | R:R:Y134 | 4 | No | No | 0 | 7 | 5 |
| 13 | R:R:Q45 | R:R:W112 | 10.95 | No | Yes | 0 | 7 | 7 |
| 14 | R:R:C48 | R:R:L52 | 3.17 | No | No | 0 | 8 | 4 |
| 15 | R:R:C48 | R:R:W112 | 9.14 | No | Yes | 6 | 8 | 7 |
| 16 | R:R:C117 | R:R:C48 | 7.28 | No | No | 6 | 9 | 8 |
| 17 | R:R:E49 | R:R:K53 | 16.2 | No | No | 0 | 6 | 5 |
| 18 | R:R:K50 | R:R:K53 | 2.87 | No | No | 0 | 4 | 5 |
| 19 | R:R:E54 | R:R:R51 | 4.65 | No | No | 0 | 6 | 6 |
| 20 | R:R:L52 | R:R:P110 | 3.28 | No | No | 0 | 4 | 6 |
| 21 | R:R:P107 | R:R:R106 | 2.88 | No | No | 0 | 3 | 1 |
| 22 | R:R:L120 | R:R:P107 | 4.93 | No | No | 0 | 4 | 3 |
| 23 | R:R:C108 | R:R:G121 | 3.92 | Yes | No | 0 | 9 | 7 |
| 24 | R:R:C108 | R:R:C148 | 7.28 | Yes | No | 2 | 9 | 9 |
| 25 | R:R:L109 | R:R:P110 | 3.28 | No | No | 0 | 5 | 6 |
| 26 | R:R:L120 | R:R:P110 | 3.28 | No | No | 0 | 4 | 6 |
| 27 | R:R:E111 | R:R:W154 | 10.9 | No | Yes | 0 | 7 | 9 |
| 28 | R:R:C117 | R:R:W112 | 2.61 | No | Yes | 6 | 9 | 7 |
| 29 | R:R:D113 | R:R:W118 | 12.28 | No | Yes | 2 | 9 | 9 |
| 30 | R:R:D113 | R:R:R146 | 9.53 | No | Yes | 2 | 9 | 8 |
| 31 | R:R:H114 | R:R:I115 | 5.3 | No | Yes | 2 | 4 | 5 |
| 32 | L:L:L27 | R:R:H114 | 7.71 | No | No | 2 | 0 | 4 |
| 33 | L:L:I31 | R:R:H114 | 3.98 | No | No | 2 | 0 | 4 |
| 34 | R:R:I115 | R:R:L116 | 2.85 | Yes | Yes | 2 | 5 | 5 |
| 35 | R:R:I115 | R:R:Y167 | 3.63 | Yes | Yes | 2 | 5 | 5 |
| 36 | L:L:L27 | R:R:I115 | 5.71 | No | Yes | 2 | 0 | 5 |
| 37 | L:L:I31 | R:R:I115 | 4.42 | No | Yes | 2 | 0 | 5 |
| 38 | R:R:L116 | R:R:W118 | 4.56 | Yes | Yes | 2 | 5 | 9 |
| 39 | R:R:L116 | R:R:P132 | 3.28 | Yes | Yes | 2 | 5 | 9 |
| 40 | R:R:L116 | R:R:Y167 | 3.52 | Yes | Yes | 2 | 5 | 5 |
| 41 | R:R:P119 | R:R:W118 | 2.7 | No | Yes | 0 | 6 | 9 |
| 42 | R:R:V127 | R:R:W118 | 3.68 | No | Yes | 0 | 7 | 9 |
| 43 | R:R:V129 | R:R:W118 | 3.68 | No | Yes | 0 | 5 | 9 |
| 44 | R:R:R146 | R:R:W118 | 16.99 | Yes | Yes | 2 | 8 | 9 |
| 45 | R:R:W118 | R:R:W154 | 5.62 | Yes | Yes | 2 | 9 | 9 |
| 46 | R:R:A122 | R:R:E125 | 6.03 | No | No | 0 | 1 | 5 |
| 47 | R:R:V126 | R:R:Y145 | 3.79 | No | Yes | 0 | 4 | 4 |
| 48 | R:R:R147 | R:R:V126 | 5.23 | No | No | 0 | 3 | 4 |
| 49 | R:R:A128 | R:R:Y145 | 2.67 | No | Yes | 0 | 5 | 4 |
| 50 | R:R:P130 | R:R:V129 | 3.53 | No | No | 0 | 5 | 5 |
| 51 | R:R:H143 | R:R:P130 | 9.15 | No | No | 0 | 3 | 5 |
| 52 | R:R:C131 | R:R:C170 | 7.28 | No | No | 0 | 9 | 9 |
| 53 | R:R:P132 | R:R:Y134 | 4.17 | Yes | No | 2 | 9 | 5 |
| 54 | R:R:I135 | R:R:P132 | 3.39 | Yes | Yes | 2 | 7 | 9 |
| 55 | R:R:F138 | R:R:P132 | 5.78 | Yes | Yes | 2 | 4 | 9 |
| 56 | R:R:D133 | R:R:H140 | 8.82 | No | No | 0 | 2 | 3 |
| 57 | R:R:I135 | R:R:Y134 | 4.84 | Yes | No | 2 | 7 | 5 |
| 58 | R:R:F138 | R:R:I135 | 20.09 | Yes | Yes | 2 | 4 | 7 |
| 59 | R:R:D137 | R:R:Y136 | 4.6 | No | No | 2 | 5 | 4 |
| 60 | L:L:R20 | R:R:Y136 | 6.17 | Yes | No | 2 | 0 | 4 |
| 61 | L:L:R20 | R:R:D137 | 14.29 | Yes | No | 2 | 0 | 5 |
| 62 | L:L:L24 | R:R:D137 | 4.07 | No | No | 2 | 0 | 5 |
| 63 | R:R:C170 | R:R:F138 | 2.79 | No | Yes | 0 | 9 | 4 |
| 64 | L:L:L24 | R:R:F138 | 8.53 | No | Yes | 2 | 0 | 4 |
| 65 | L:L:I28 | R:R:F138 | 2.51 | No | Yes | 2 | 0 | 4 |
| 66 | R:R:K141 | R:R:N139 | 2.8 | No | No | 0 | 3 | 4 |
| 67 | R:R:K172 | R:R:N139 | 5.6 | No | No | 0 | 3 | 4 |
| 68 | R:R:E169 | R:R:G142 | 4.91 | No | No | 0 | 5 | 5 |
| 69 | R:R:H143 | R:R:Y145 | 3.27 | No | Yes | 0 | 3 | 4 |
| 70 | R:R:A144 | R:R:Y167 | 4 | No | Yes | 0 | 7 | 5 |
| 71 | R:R:N166 | R:R:Y145 | 8.14 | No | Yes | 0 | 7 | 4 |
| 72 | R:R:R146 | R:R:W154 | 7 | Yes | Yes | 2 | 8 | 9 |
| 73 | R:R:R146 | R:R:T163 | 6.47 | Yes | No | 0 | 8 | 5 |
| 74 | R:R:A165 | R:R:R146 | 4.15 | No | Yes | 2 | 7 | 8 |
| 75 | R:R:R146 | R:R:Y167 | 4.12 | Yes | Yes | 2 | 8 | 5 |
| 76 | R:R:E155 | R:R:R147 | 15.12 | No | No | 0 | 4 | 3 |
| 77 | R:R:C148 | R:R:W154 | 5.22 | No | Yes | 2 | 9 | 9 |
| 78 | R:R:D149 | R:R:R150 | 3.57 | No | No | 0 | 5 | 1 |
| 79 | R:R:E155 | R:R:W164 | 8.72 | No | No | 0 | 4 | 5 |
| 80 | R:R:P158 | R:R:V157 | 3.53 | No | Yes | 0 | 4 | 4 |
| 81 | R:R:H160 | R:R:V157 | 6.92 | No | Yes | 0 | 4 | 4 |
| 82 | R:R:V157 | R:R:W164 | 2.45 | Yes | No | 0 | 4 | 5 |
| 83 | L:L:E30 | R:R:R162 | 4.65 | No | No | 0 | 0 | 3 |
| 84 | L:L:T33 | R:R:W164 | 8.49 | No | No | 0 | 0 | 5 |
| 85 | R:R:A165 | R:R:Y167 | 2.67 | No | Yes | 2 | 7 | 5 |
| 86 | R:R:N166 | R:R:S168 | 5.96 | No | No | 0 | 7 | 6 |
| 87 | L:L:H32 | R:R:N166 | 2.55 | No | No | 0 | 0 | 7 |
| 88 | L:L:I31 | R:R:Y167 | 4.84 | No | Yes | 2 | 0 | 5 |
| 89 | L:L:H32 | R:R:Y167 | 3.27 | No | Yes | 0 | 0 | 5 |
| 90 | R:R:E169 | R:R:K172 | 5.4 | No | No | 0 | 5 | 3 |
| 91 | L:L:I28 | R:R:V171 | 4.61 | No | No | 0 | 0 | 3 |
| 92 | L:L:R21 | R:R:L174 | 13.36 | No | No | 0 | 0 | 3 |
| 93 | L:L:H25 | R:R:L174 | 3.86 | No | No | 0 | 0 | 3 |
| 94 | R:R:N176 | R:R:R179 | 6.03 | No | No | 0 | 3 | 3 |
| 95 | L:L:W14 | R:R:E180 | 7.63 | No | No | 0 | 0 | 3 |
| 96 | R:R:D185 | R:R:R181 | 3.57 | No | No | 0 | 2 | 3 |
| 97 | L:L:W14 | R:R:R181 | 3 | No | No | 0 | 0 | 3 |
| 98 | R:R:V183 | R:R:W437 | 2.45 | No | Yes | 1 | 4 | 5 |
| 99 | R:R:Q438 | R:R:V183 | 2.87 | Yes | No | 1 | 4 | 4 |
| 100 | R:R:F184 | R:R:W437 | 3.01 | No | Yes | 0 | 6 | 5 |
| 101 | L:L:L7 | R:R:F184 | 2.44 | No | No | 0 | 0 | 6 |
| 102 | L:L:W14 | R:R:F184 | 12.03 | No | No | 0 | 0 | 6 |
| 103 | R:R:L187 | R:R:W437 | 3.42 | No | Yes | 1 | 5 | 5 |
| 104 | R:R:L187 | R:R:M441 | 7.07 | No | Yes | 1 | 5 | 6 |
| 105 | R:R:H442 | R:R:L187 | 7.71 | No | No | 0 | 5 | 5 |
| 106 | R:R:I190 | R:R:M445 | 2.92 | No | Yes | 0 | 6 | 6 |
| 107 | R:R:T192 | R:R:Y191 | 2.5 | No | Yes | 0 | 7 | 7 |
| 108 | R:R:Y191 | R:R:Y195 | 3.97 | Yes | Yes | 0 | 7 | 7 |
| 109 | R:R:M445 | R:R:Y191 | 3.59 | Yes | Yes | 0 | 6 | 7 |
| 110 | R:R:G194 | R:R:S449 | 3.71 | No | No | 7 | 9 | 9 |
| 111 | R:R:F450 | R:R:G194 | 3.01 | Yes | No | 7 | 7 | 9 |
| 112 | R:R:R233 | R:R:Y195 | 8.23 | Yes | Yes | 1 | 8 | 7 |
| 113 | R:R:I237 | R:R:Y195 | 8.46 | No | Yes | 1 | 7 | 7 |
| 114 | L:L:E4 | R:R:Y195 | 7.86 | Yes | Yes | 1 | 0 | 7 |
| 115 | R:R:F238 | R:R:S196 | 5.28 | No | No | 0 | 7 | 7 |
| 116 | R:R:F453 | R:R:V197 | 5.24 | Yes | No | 0 | 6 | 5 |
| 117 | R:R:G452 | R:R:S198 | 3.71 | No | No | 0 | 9 | 9 |
| 118 | R:R:L199 | R:R:M231 | 2.83 | No | No | 0 | 7 | 8 |
| 119 | R:R:A234 | R:R:L199 | 3.15 | No | No | 0 | 8 | 7 |
| 120 | R:R:F453 | R:R:S201 | 2.64 | Yes | No | 0 | 6 | 8 |
| 121 | R:R:A456 | R:R:S201 | 3.42 | No | No | 0 | 8 | 8 |
| 122 | R:R:F227 | R:R:L202 | 7.31 | Yes | Yes | 0 | 9 | 9 |
| 123 | R:R:F230 | R:R:L202 | 3.65 | Yes | Yes | 0 | 8 | 9 |
| 124 | R:R:A456 | R:R:L202 | 3.15 | No | Yes | 0 | 8 | 9 |
| 125 | R:R:M231 | R:R:T203 | 7.53 | No | No | 0 | 8 | 3 |
| 126 | R:R:I208 | R:R:V204 | 3.07 | No | No | 0 | 8 | 5 |
| 127 | R:R:F461 | R:R:V204 | 2.62 | No | No | 0 | 8 | 5 |
| 128 | R:R:A205 | R:R:F227 | 2.77 | No | Yes | 8 | 9 | 9 |
| 129 | R:R:A205 | R:R:C460 | 3.61 | No | No | 8 | 9 | 9 |
| 130 | R:R:L228 | R:R:V206 | 2.98 | No | No | 0 | 4 | 5 |
| 131 | R:R:F212 | R:R:I208 | 2.51 | Yes | No | 0 | 7 | 8 |
| 132 | R:R:L209 | R:R:M224 | 4.24 | No | No | 0 | 7 | 5 |
| 133 | R:R:F227 | R:R:L209 | 2.44 | Yes | No | 0 | 9 | 7 |
| 134 | R:R:F212 | R:R:Y211 | 4.13 | Yes | No | 0 | 7 | 2 |
| 135 | R:R:F212 | R:R:L215 | 7.31 | Yes | No | 0 | 7 | 9 |
| 136 | R:R:E469 | R:R:F212 | 4.66 | No | Yes | 0 | 9 | 7 |
| 137 | R:R:F212 | R:R:I470 | 3.77 | Yes | No | 0 | 7 | 5 |
| 138 | R:R:F212 | R:R:S473 | 5.28 | Yes | No | 0 | 7 | 4 |
| 139 | R:R:H216 | R:R:R213 | 4.51 | No | No | 0 | 8 | 8 |
| 140 | R:R:E469 | R:R:R214 | 10.47 | No | No | 0 | 9 | 7 |
| 141 | R:R:E465 | R:R:L215 | 3.98 | No | No | 0 | 9 | 9 |
| 142 | R:R:L215 | R:R:V466 | 2.98 | No | No | 0 | 9 | 9 |
| 143 | R:R:C217 | R:R:N220 | 3.15 | No | No | 0 | 8 | 9 |
| 144 | R:R:T218 | R:R:Y305 | 4.99 | No | Yes | 0 | 7 | 8 |
| 145 | R:R:E317 | R:R:T218 | 12.7 | No | No | 0 | 6 | 7 |
| 146 | R:R:N220 | R:R:R219 | 13.26 | No | No | 0 | 9 | 9 |
| 147 | R:R:E465 | R:R:R219 | 5.82 | No | No | 0 | 9 | 9 |
| 148 | R:R:E302 | R:R:I222 | 4.1 | Yes | No | 0 | 9 | 9 |
| 149 | R:R:I222 | R:R:Y305 | 8.46 | No | Yes | 0 | 9 | 8 |
| 150 | R:R:E302 | R:R:H223 | 9.85 | Yes | No | 0 | 9 | 9 |
| 151 | R:R:H225 | R:R:W298 | 12.7 | No | Yes | 0 | 8 | 9 |
| 152 | R:R:F227 | R:R:L226 | 4.87 | Yes | No | 0 | 9 | 9 |
| 153 | R:R:F230 | R:R:L226 | 9.74 | Yes | No | 0 | 8 | 9 |
| 154 | R:R:E302 | R:R:L226 | 15.9 | Yes | No | 0 | 9 | 9 |
| 155 | R:R:C460 | R:R:F227 | 2.79 | No | Yes | 8 | 9 | 9 |
| 156 | R:R:N295 | R:R:S229 | 5.96 | No | No | 0 | 8 | 9 |
| 157 | R:R:S229 | R:R:W329 | 2.47 | No | Yes | 0 | 9 | 9 |
| 158 | R:R:F230 | R:R:N295 | 8.46 | Yes | No | 0 | 8 | 8 |
| 159 | R:R:F230 | R:R:V455 | 2.62 | Yes | No | 0 | 8 | 9 |
| 160 | R:R:F291 | R:R:L232 | 21.92 | Yes | No | 0 | 5 | 8 |
| 161 | R:R:L292 | R:R:R233 | 6.07 | Yes | Yes | 1 | 6 | 8 |
| 162 | R:R:N295 | R:R:R233 | 9.64 | No | Yes | 0 | 8 | 8 |
| 163 | R:R:R233 | R:R:Y296 | 8.23 | Yes | Yes | 1 | 8 | 7 |
| 164 | R:R:N448 | R:R:R233 | 3.62 | Yes | Yes | 1 | 6 | 8 |
| 165 | L:L:E4 | R:R:R233 | 11.63 | Yes | Yes | 1 | 0 | 8 |
| 166 | R:R:F291 | R:R:S236 | 7.93 | Yes | No | 0 | 5 | 7 |
| 167 | R:R:F288 | R:R:I237 | 2.51 | No | No | 1 | 7 | 7 |
| 168 | L:L:E4 | R:R:I237 | 4.1 | Yes | No | 1 | 0 | 7 |
| 169 | R:R:K240 | R:R:L244 | 7.05 | Yes | No | 0 | 7 | 5 |
| 170 | R:R:K240 | R:R:V285 | 4.55 | Yes | No | 1 | 7 | 6 |
| 171 | R:R:F288 | R:R:K240 | 14.89 | No | Yes | 1 | 7 | 7 |
| 172 | R:R:D353 | R:R:K240 | 4.15 | No | Yes | 1 | 5 | 7 |
| 173 | L:L:M8 | R:R:K240 | 5.76 | Yes | Yes | 1 | 0 | 7 |
| 174 | R:R:A284 | R:R:V243 | 3.39 | No | No | 0 | 6 | 5 |
| 175 | L:L:R11 | R:R:L244 | 10.93 | No | No | 0 | 0 | 5 |
| 176 | R:R:T249 | R:R:Y245 | 16.23 | No | No | 0 | 4 | 4 |
| 177 | R:R:A274 | R:R:Y278 | 4 | No | No | 0 | 5 | 4 |
| 178 | R:R:C281 | R:R:C351 | 7.28 | No | No | 0 | 9 | 9 |
| 179 | R:R:N348 | R:R:R282 | 6.03 | No | No | 0 | 7 | 8 |
| 180 | R:R:R282 | R:R:W352 | 34.99 | No | Yes | 0 | 8 | 8 |
| 181 | R:R:F287 | R:R:V283 | 2.62 | No | No | 0 | 3 | 4 |
| 182 | L:L:M8 | R:R:V285 | 3.04 | Yes | No | 1 | 0 | 6 |
| 183 | R:R:T286 | R:R:V340 | 3.17 | No | No | 0 | 7 | 5 |
| 184 | L:L:M8 | R:R:F288 | 8.71 | Yes | No | 1 | 0 | 7 |
| 185 | R:R:L289 | R:R:W339 | 7.97 | No | Yes | 5 | 7 | 8 |
| 186 | R:R:I363 | R:R:L289 | 5.71 | No | No | 5 | 7 | 7 |
| 187 | R:R:F291 | R:R:Y290 | 7.22 | Yes | Yes | 4 | 5 | 9 |
| 188 | R:R:T294 | R:R:Y290 | 6.24 | Yes | Yes | 4 | 8 | 9 |
| 189 | R:R:A333 | R:R:Y290 | 4 | No | Yes | 0 | 5 | 9 |
| 190 | R:R:V336 | R:R:Y290 | 5.05 | No | Yes | 0 | 7 | 9 |
| 191 | R:R:F291 | R:R:T294 | 2.59 | Yes | Yes | 4 | 5 | 8 |
| 192 | R:R:L292 | R:R:Y296 | 3.52 | Yes | Yes | 1 | 6 | 7 |
| 193 | L:L:V2 | R:R:L292 | 2.98 | Yes | Yes | 1 | 0 | 6 |
| 194 | L:L:E4 | R:R:L292 | 6.63 | Yes | Yes | 1 | 0 | 6 |
| 195 | L:L:I5 | R:R:L292 | 2.85 | Yes | Yes | 1 | 0 | 6 |
| 196 | R:R:T294 | R:R:W329 | 8.49 | Yes | Yes | 4 | 8 | 9 |
| 197 | R:R:P332 | R:R:T294 | 3.5 | Yes | Yes | 0 | 9 | 8 |
| 198 | R:R:Y296 | R:R:Y421 | 14.89 | Yes | Yes | 1 | 7 | 8 |
| 199 | L:L:V2 | R:R:Y296 | 3.79 | Yes | Yes | 1 | 0 | 7 |
| 200 | R:R:F327 | R:R:Y297 | 3.09 | Yes | No | 0 | 5 | 6 |
| 201 | R:R:P332 | R:R:Y297 | 6.95 | Yes | No | 0 | 9 | 6 |
| 202 | R:R:F335 | R:R:Y297 | 4.13 | No | No | 0 | 5 | 6 |
| 203 | R:R:V301 | R:R:W298 | 8.58 | No | Yes | 0 | 8 | 9 |
| 204 | R:R:G328 | R:R:W298 | 8.44 | No | Yes | 0 | 9 | 9 |
| 205 | R:R:W298 | R:R:W329 | 18.74 | Yes | Yes | 4 | 9 | 9 |
| 206 | R:R:I299 | R:R:N374 | 4.25 | No | No | 0 | 9 | 9 |
| 207 | R:R:F327 | R:R:L300 | 3.65 | Yes | No | 0 | 5 | 8 |
| 208 | R:R:L300 | R:R:L373 | 5.54 | No | No | 0 | 8 | 7 |
| 209 | R:R:L300 | R:R:N374 | 2.75 | No | No | 0 | 8 | 9 |
| 210 | R:R:F324 | R:R:V301 | 3.93 | No | No | 0 | 7 | 8 |
| 211 | R:R:F327 | R:R:V301 | 2.62 | Yes | No | 0 | 5 | 8 |
| 212 | R:R:E302 | R:R:L416 | 3.98 | Yes | No | 0 | 9 | 9 |
| 213 | R:R:F417 | R:R:G303 | 4.52 | Yes | No | 0 | 9 | 9 |
| 214 | R:R:F327 | R:R:L304 | 2.44 | Yes | No | 0 | 5 | 5 |
| 215 | R:R:L304 | R:R:L377 | 2.77 | No | No | 0 | 5 | 7 |
| 216 | R:R:L309 | R:R:Y305 | 15.24 | No | Yes | 0 | 8 | 8 |
| 217 | R:R:F324 | R:R:Y305 | 4.13 | No | Yes | 0 | 7 | 8 |
| 218 | R:R:I381 | R:R:L306 | 4.28 | Yes | No | 3 | 9 | 9 |
| 219 | R:R:F417 | R:R:L306 | 6.09 | Yes | No | 3 | 9 | 9 |
| 220 | R:R:F311 | R:R:H307 | 9.05 | Yes | Yes | 3 | 6 | 8 |
| 221 | R:R:H307 | R:R:L377 | 7.71 | Yes | No | 0 | 8 | 7 |
| 222 | R:R:H307 | R:R:N380 | 8.93 | Yes | No | 3 | 8 | 8 |
| 223 | R:R:H307 | R:R:I381 | 2.65 | Yes | Yes | 3 | 8 | 9 |
| 224 | R:R:F315 | R:R:L309 | 2.44 | No | No | 0 | 6 | 8 |
| 225 | R:R:F311 | R:R:I310 | 3.77 | Yes | No | 0 | 6 | 8 |
| 226 | R:R:I310 | R:R:I381 | 2.94 | No | Yes | 0 | 8 | 9 |
| 227 | R:R:F311 | R:R:N380 | 8.46 | Yes | No | 3 | 6 | 8 |
| 228 | R:R:F311 | R:R:V384 | 2.62 | Yes | No | 0 | 6 | 8 |
| 229 | R:R:F315 | R:R:Y320 | 6.19 | No | No | 0 | 6 | 4 |
| 230 | R:R:K319 | R:R:S316 | 3.06 | No | No | 0 | 6 | 7 |
| 231 | R:R:F324 | R:R:Y320 | 6.19 | No | No | 0 | 7 | 4 |
| 232 | R:R:F327 | R:R:L331 | 2.44 | Yes | No | 0 | 5 | 4 |
| 233 | R:R:L331 | R:R:P332 | 3.28 | No | Yes | 0 | 4 | 9 |
| 234 | R:R:F335 | R:R:L331 | 3.65 | No | No | 0 | 5 | 4 |
| 235 | R:R:F335 | R:R:P366 | 11.56 | No | No | 0 | 5 | 9 |
| 236 | R:R:V340 | R:R:W339 | 2.45 | No | Yes | 0 | 5 | 8 |
| 237 | R:R:I362 | R:R:W339 | 7.05 | No | Yes | 5 | 8 | 8 |
| 238 | R:R:I363 | R:R:W339 | 3.52 | No | Yes | 5 | 7 | 8 |
| 239 | R:R:V340 | R:R:W352 | 4.9 | No | Yes | 0 | 5 | 8 |
| 240 | R:R:K359 | R:R:V342 | 4.55 | No | Yes | 5 | 3 | 5 |
| 241 | R:R:I362 | R:R:V342 | 3.07 | No | Yes | 5 | 8 | 5 |
| 242 | R:R:A347 | R:R:R343 | 2.77 | No | No | 0 | 7 | 8 |
| 243 | R:R:R343 | R:R:W352 | 20.99 | No | Yes | 0 | 8 | 8 |
| 244 | R:R:A344 | R:R:W352 | 2.59 | No | Yes | 0 | 4 | 8 |
| 245 | R:R:L346 | R:R:T345 | 2.95 | No | No | 0 | 3 | 3 |
| 246 | R:R:K359 | R:R:L346 | 4.23 | No | No | 0 | 3 | 3 |
| 247 | L:L:M8 | R:R:D353 | 6.93 | Yes | No | 1 | 0 | 5 |
| 248 | L:L:A12 | R:R:D353 | 6.18 | No | No | 0 | 0 | 5 |
| 249 | L:L:A12 | R:R:L354 | 3.15 | No | Yes | 0 | 0 | 5 |
| 250 | L:L:Q16 | R:R:L354 | 6.65 | No | Yes | 0 | 0 | 5 |
| 251 | L:L:H9 | R:R:S355 | 5.58 | No | No | 0 | 0 | 7 |
| 252 | R:R:I362 | R:R:K359 | 2.91 | No | No | 5 | 8 | 3 |
| 253 | R:R:K360 | R:R:W361 | 9.28 | No | No | 0 | 7 | 8 |
| 254 | R:R:K360 | R:R:Y429 | 5.97 | No | No | 0 | 7 | 6 |
| 255 | R:R:Q364 | R:R:W361 | 4.38 | Yes | No | 0 | 7 | 8 |
| 256 | R:R:V365 | R:R:W361 | 2.45 | No | No | 0 | 5 | 8 |
| 257 | R:R:L368 | R:R:Q364 | 6.65 | No | Yes | 0 | 4 | 7 |
| 258 | L:L:A1 | R:R:Q364 | 6.06 | No | Yes | 0 | 0 | 7 |
| 259 | L:L:V2 | R:R:Q364 | 7.16 | Yes | Yes | 1 | 0 | 7 |
| 260 | L:L:I5 | R:R:Q364 | 4.12 | Yes | Yes | 1 | 0 | 7 |
| 261 | R:R:P366 | R:R:V365 | 3.53 | No | No | 0 | 9 | 5 |
| 262 | R:R:I367 | R:R:S370 | 3.1 | No | No | 0 | 7 | 7 |
| 263 | R:R:I371 | R:R:S370 | 3.1 | No | No | 0 | 7 | 7 |
| 264 | R:R:I371 | R:R:M425 | 7.29 | No | Yes | 0 | 7 | 6 |
| 265 | R:R:I376 | R:R:V372 | 3.07 | No | No | 0 | 4 | 4 |
| 266 | R:R:M425 | R:R:V372 | 3.04 | Yes | No | 0 | 6 | 4 |
| 267 | R:R:F417 | R:R:N374 | 6.04 | Yes | No | 0 | 9 | 9 |
| 268 | R:R:F375 | R:R:I379 | 5.02 | No | No | 0 | 7 | 5 |
| 269 | R:R:F375 | R:R:V419 | 2.62 | No | No | 0 | 7 | 7 |
| 270 | R:R:F375 | R:R:I422 | 17.58 | No | No | 0 | 7 | 5 |
| 271 | R:R:F378 | R:R:V382 | 3.93 | Yes | No | 0 | 9 | 7 |
| 272 | R:R:F378 | R:R:L413 | 4.87 | Yes | No | 3 | 9 | 9 |
| 273 | R:R:F378 | R:R:M414 | 2.49 | Yes | No | 3 | 9 | 8 |
| 274 | R:R:F378 | R:R:F417 | 7.5 | Yes | Yes | 3 | 9 | 9 |
| 275 | R:R:F378 | R:R:V419 | 9.18 | Yes | No | 3 | 9 | 7 |
| 276 | R:R:F417 | R:R:I381 | 3.77 | Yes | Yes | 3 | 9 | 9 |
| 277 | R:R:R390 | R:R:T387 | 2.59 | No | No | 0 | 6 | 7 |
| 278 | R:R:E391 | R:R:T387 | 5.64 | No | No | 0 | 7 | 7 |
| 279 | R:R:L389 | R:R:Q402 | 5.32 | No | No | 0 | 8 | 6 |
| 280 | R:R:K405 | R:R:L389 | 5.64 | No | No | 0 | 8 | 8 |
| 281 | R:R:Q402 | R:R:T399 | 4.25 | No | No | 0 | 6 | 6 |
| 282 | R:R:L406 | R:R:T410 | 2.95 | No | No | 0 | 8 | 9 |
| 283 | R:R:L407 | R:R:L411 | 4.15 | No | No | 0 | 8 | 8 |
| 284 | R:R:M414 | R:R:T410 | 3.01 | No | No | 0 | 8 | 9 |
| 285 | R:R:I458 | R:R:V412 | 6.14 | No | No | 0 | 8 | 8 |
| 286 | R:R:F417 | R:R:L413 | 8.53 | Yes | No | 3 | 9 | 9 |
| 287 | R:R:M414 | R:R:V419 | 7.61 | No | No | 3 | 8 | 7 |
| 288 | R:R:F417 | R:R:L416 | 7.31 | Yes | No | 0 | 9 | 9 |
| 289 | R:R:L416 | R:R:Y459 | 12.89 | No | No | 0 | 9 | 8 |
| 290 | R:R:G418 | R:R:H420 | 3.18 | No | Yes | 1 | 9 | 8 |
| 291 | R:R:G418 | R:R:Y421 | 2.9 | No | Yes | 1 | 9 | 8 |
| 292 | R:R:H420 | R:R:Y421 | 17.42 | Yes | Yes | 1 | 8 | 8 |
| 293 | R:R:F447 | R:R:H420 | 5.66 | No | Yes | 0 | 5 | 8 |
| 294 | R:R:H420 | R:R:N448 | 2.55 | Yes | Yes | 1 | 8 | 6 |
| 295 | R:R:H420 | R:R:Q451 | 6.18 | Yes | No | 1 | 8 | 9 |
| 296 | R:R:N448 | R:R:Y421 | 9.3 | Yes | Yes | 1 | 6 | 8 |
| 297 | R:R:Q451 | R:R:Y421 | 10.15 | No | Yes | 1 | 9 | 8 |
| 298 | R:R:I422 | R:R:M425 | 2.92 | No | Yes | 0 | 5 | 6 |
| 299 | R:R:F424 | R:R:V423 | 7.87 | Yes | No | 0 | 7 | 6 |
| 300 | R:R:F424 | R:R:Q440 | 10.54 | Yes | No | 0 | 7 | 6 |
| 301 | R:R:F424 | R:R:Y443 | 5.16 | Yes | No | 1 | 7 | 4 |
| 302 | R:R:E444 | R:R:F424 | 7 | Yes | Yes | 1 | 7 | 7 |
| 303 | R:R:P428 | R:R:T427 | 3.5 | No | No | 0 | 7 | 5 |
| 304 | R:R:Q440 | R:R:T427 | 12.76 | No | No | 0 | 6 | 5 |
| 305 | L:L:A1 | R:R:Y429 | 2.67 | No | No | 0 | 0 | 6 |
| 306 | L:L:Q6 | R:R:Y429 | 14.65 | Yes | No | 0 | 0 | 6 |
| 307 | R:R:T430 | R:R:W437 | 3.64 | No | Yes | 0 | 5 | 5 |
| 308 | L:L:Q10 | R:R:V432 | 2.87 | No | No | 0 | 0 | 5 |
| 309 | R:R:Q438 | R:R:W437 | 3.29 | Yes | Yes | 1 | 4 | 5 |
| 310 | R:R:M441 | R:R:W437 | 6.98 | Yes | Yes | 1 | 6 | 5 |
| 311 | L:L:Q6 | R:R:W437 | 4.38 | Yes | Yes | 1 | 0 | 5 |
| 312 | R:R:H442 | R:R:Q438 | 3.71 | No | Yes | 0 | 5 | 4 |
| 313 | L:L:Q6 | R:R:Q440 | 5.12 | Yes | No | 0 | 0 | 6 |
| 314 | R:R:M441 | R:R:M445 | 4.33 | Yes | Yes | 1 | 6 | 6 |
| 315 | L:L:Q6 | R:R:M441 | 2.72 | Yes | Yes | 1 | 0 | 6 |
| 316 | L:L:L7 | R:R:M441 | 7.07 | No | Yes | 1 | 0 | 6 |
| 317 | R:R:E444 | R:R:Y443 | 4.49 | Yes | No | 1 | 7 | 4 |
| 318 | R:R:F447 | R:R:Y443 | 11.35 | No | No | 0 | 5 | 4 |
| 319 | R:R:E444 | R:R:N448 | 6.57 | Yes | Yes | 1 | 7 | 6 |
| 320 | L:L:A3 | R:R:E444 | 4.53 | No | Yes | 0 | 0 | 7 |
| 321 | L:L:E4 | R:R:M445 | 4.06 | Yes | Yes | 1 | 0 | 6 |
| 322 | L:L:L7 | R:R:M445 | 4.24 | No | Yes | 1 | 0 | 6 |
| 323 | R:R:F450 | R:R:L446 | 4.87 | Yes | No | 0 | 7 | 5 |
| 324 | R:R:F450 | R:R:S449 | 5.28 | Yes | No | 7 | 7 | 9 |
| 325 | R:R:F450 | R:R:F454 | 4.29 | Yes | No | 0 | 7 | 6 |
| 326 | R:R:F453 | R:R:I457 | 10.05 | Yes | No | 0 | 6 | 6 |
| 327 | R:R:F461 | R:R:I457 | 3.77 | No | No | 0 | 8 | 6 |
| 328 | R:R:I458 | R:R:Y459 | 8.46 | No | No | 0 | 8 | 8 |
| 329 | R:R:E465 | R:R:N463 | 9.2 | No | No | 0 | 9 | 9 |
| 330 | R:R:N463 | R:R:V466 | 5.91 | No | No | 0 | 9 | 9 |
| 331 | R:R:T478 | R:R:W474 | 6.06 | No | No | 0 | 4 | 5 |
| 332 | R:R:L481 | R:R:W477 | 6.83 | No | No | 0 | 4 | 4 |
| 333 | L:L:I5 | L:L:V2 | 10.75 | Yes | Yes | 1 | 0 | 0 |
| 334 | L:L:H9 | L:L:I5 | 2.65 | No | Yes | 0 | 0 | 0 |
| 335 | L:L:H9 | L:L:M8 | 6.57 | No | Yes | 0 | 0 | 0 |
| 336 | L:L:I15 | L:L:R11 | 2.51 | No | No | 0 | 0 | 0 |
| 337 | L:L:D17 | L:L:R20 | 7.15 | No | Yes | 0 | 0 | 0 |
| 338 | L:L:I28 | L:L:L24 | 5.71 | No | No | 2 | 0 | 0 |
| 339 | L:L:Q16 | L:L:R19 | 2.34 | No | No | 0 | 0 | 0 |
| 340 | L:L:R21 | R:R:E177 | 2.33 | No | No | 0 | 0 | 1 |
| 341 | R:R:H216 | R:R:Y221 | 2.18 | No | No | 0 | 8 | 7 |
| 342 | R:R:H225 | R:R:Y221 | 2.18 | No | No | 0 | 8 | 7 |
| 343 | R:R:F453 | R:R:F454 | 2.14 | Yes | No | 0 | 6 | 6 |
| 344 | R:R:C108 | R:R:G152 | 1.96 | Yes | No | 2 | 9 | 9 |
| 345 | R:R:C131 | R:R:G142 | 1.96 | No | No | 0 | 9 | 5 |
| 346 | R:R:C148 | R:R:G152 | 1.96 | No | No | 2 | 9 | 9 |
| 347 | R:R:A276 | R:R:G350 | 1.95 | No | No | 0 | 4 | 5 |
| 348 | R:R:C108 | R:R:P123 | 1.88 | Yes | No | 0 | 9 | 7 |
| 349 | R:R:A122 | R:R:P123 | 1.87 | No | No | 0 | 1 | 7 |
| 350 | R:R:A293 | R:R:P332 | 1.87 | No | Yes | 0 | 6 | 9 |
| 351 | R:R:G247 | R:R:S246 | 1.86 | No | No | 0 | 4 | 4 |
| 352 | R:R:G357 | R:R:S356 | 1.86 | No | No | 0 | 6 | 4 |
| 353 | R:R:G434 | R:R:S433 | 1.86 | No | No | 0 | 5 | 3 |
| 354 | R:R:G350 | R:R:T349 | 1.82 | No | No | 0 | 5 | 5 |
| 355 | R:R:A276 | R:R:C351 | 1.81 | No | No | 0 | 4 | 9 |
| 356 | R:R:P415 | R:R:V455 | 1.77 | No | No | 0 | 9 | 9 |
| 357 | R:R:G452 | R:R:L202 | 1.71 | No | Yes | 0 | 9 | 9 |
| 358 | R:R:C281 | R:R:V285 | 1.71 | No | No | 0 | 9 | 6 |
| 359 | R:R:A347 | R:R:S356 | 1.71 | No | No | 0 | 7 | 4 |
| 360 | R:R:G464 | R:R:N463 | 1.7 | No | No | 0 | 7 | 9 |
| 361 | R:R:A248 | R:R:T249 | 1.68 | No | No | 0 | 1 | 4 |
| 362 | R:R:A347 | R:R:T349 | 1.68 | No | No | 0 | 7 | 5 |
| 363 | R:R:C462 | R:R:I457 | 1.64 | No | No | 0 | 6 | 6 |
| 364 | R:R:S341 | R:R:V342 | 1.62 | No | Yes | 0 | 5 | 5 |
| 365 | R:R:A210 | R:R:M224 | 1.61 | No | No | 0 | 4 | 5 |
| 366 | R:R:A426 | R:R:M425 | 1.61 | No | Yes | 0 | 5 | 6 |
| 367 | R:R:S196 | R:R:T192 | 1.6 | No | No | 0 | 7 | 7 |
| 368 | R:R:V338 | R:R:V342 | 1.6 | No | Yes | 0 | 5 | 5 |
| 369 | R:R:T435 | R:R:V439 | 1.59 | No | No | 0 | 1 | 5 |
| 370 | R:R:K318 | R:R:S316 | 1.53 | No | No | 0 | 5 | 7 |
| 371 | R:R:K472 | R:R:S475 | 1.53 | No | No | 0 | 7 | 4 |
| 372 | R:R:M189 | R:R:V193 | 1.52 | No | No | 0 | 4 | 6 |
| 373 | R:R:M231 | R:R:V206 | 1.52 | No | No | 0 | 8 | 5 |
| 374 | R:R:G124 | R:R:R150 | 1.5 | No | No | 0 | 7 | 1 |
| 375 | R:R:L385 | R:R:S409 | 1.5 | No | No | 0 | 8 | 9 |
| 376 | R:R:L56 | R:R:V55 | 1.49 | No | No | 0 | 7 | 5 |
| 377 | R:R:L199 | R:R:V235 | 1.49 | No | No | 0 | 7 | 4 |
| 378 | R:R:L232 | R:R:V235 | 1.49 | No | No | 0 | 8 | 4 |
| 379 | R:R:L354 | R:R:T33 | 1.47 | Yes | No | 0 | 5 | 7 |
| 380 | R:R:L436 | R:R:T430 | 1.47 | No | No | 0 | 4 | 5 |
| 381 | R:R:N176 | R:R:T175 | 1.46 | No | No | 0 | 3 | 1 |
| 382 | R:R:N176 | R:R:T178 | 1.46 | No | No | 0 | 3 | 3 |
| 383 | R:R:D241 | R:R:T192 | 1.45 | No | No | 0 | 8 | 7 |
| 384 | R:R:Q438 | R:R:S433 | 1.44 | Yes | No | 0 | 4 | 3 |
| 385 | R:R:Q402 | R:R:T392 | 1.42 | No | No | 0 | 6 | 7 |
| 386 | R:R:Q401 | R:R:T399 | 1.42 | No | No | 0 | 6 | 6 |
| 387 | R:R:L40 | R:R:M32 | 1.41 | No | No | 0 | 5 | 6 |
| 388 | R:R:G330 | R:R:W329 | 1.41 | No | Yes | 0 | 7 | 9 |
| 389 | R:R:L385 | R:R:L406 | 1.38 | No | No | 0 | 8 | 8 |
| 390 | R:R:L389 | R:R:L406 | 1.38 | No | No | 0 | 8 | 8 |
| 391 | R:R:K50 | R:R:Q47 | 1.36 | No | No | 0 | 4 | 6 |
| 392 | L:L:K13 | L:L:Q10 | 1.36 | No | No | 0 | 0 | 0 |
| 393 | R:R:E35 | R:R:K34 | 1.35 | No | No | 0 | 5 | 4 |
| 394 | R:R:A188 | R:R:Y191 | 1.33 | No | Yes | 0 | 5 | 7 |
| 395 | R:R:R476 | R:R:S475 | 1.32 | No | No | 0 | 7 | 4 |
| 396 | R:R:R162 | R:R:V157 | 1.31 | No | Yes | 0 | 3 | 4 |
| 397 | R:R:H42 | R:R:Q45 | 1.24 | No | No | 0 | 4 | 7 |
| 398 | R:R:F173 | R:R:L174 | 1.22 | No | No | 0 | 3 | 3 |
| 399 | R:R:T325 | R:R:W298 | 1.21 | No | Yes | 4 | 5 | 9 |
| 400 | R:R:T325 | R:R:W329 | 1.21 | No | Yes | 4 | 5 | 9 |
| 401 | R:R:L321 | R:R:Y221 | 1.17 | No | No | 0 | 6 | 7 |
| 402 | R:R:E180 | R:R:R179 | 1.16 | No | No | 0 | 3 | 3 |
| 403 | R:R:L321 | R:R:W322 | 1.14 | No | No | 0 | 6 | 3 |
| 404 | R:R:H442 | R:R:R186 | 1.13 | No | No | 0 | 5 | 5 |
| Color | ConSurf Grade |
| No Conservation data available | |
| 1 | |
| 2 | |
| 3 | |
| 4 | |
| 5 | |
| 6 | |
| 7 | |
| 8 | |
| 9 |
Index: hub id, click on each number to highlight the corresponding hub in the 3D visualization.
Hub: the hub being considered.
Avg Int. Strength: the average interaction strength of all the links of the corresponding hub.
Num Of Links: the number of links of the corresponding hub.
Community: the id of the community the link belong to, otherwise 0.
ConSurf: this column reports the ConSurf conservation grades of each hub.
| Index | Hub | Avg Int. Strength | Num Of Links | Community | ConSurf |
|---|---|---|---|---|---|
| 1 | R:R:C108 | 3.76 | 4 | 2 | 9 |
| 2 | R:R:W112 | 6.6475 | 4 | 6 | 7 |
| 3 | R:R:I115 | 4.382 | 5 | 2 | 5 |
| 4 | R:R:L116 | 3.5525 | 4 | 2 | 5 |
| 5 | R:R:W118 | 7.07286 | 7 | 2 | 9 |
| 6 | R:R:P132 | 4.155 | 4 | 2 | 9 |
| 7 | R:R:I135 | 8.11 | 4 | 2 | 7 |
| 8 | R:R:F138 | 7.94 | 5 | 2 | 4 |
| 9 | R:R:Y145 | 4.4675 | 4 | 0 | 4 |
| 10 | R:R:R146 | 8.04333 | 6 | 2 | 8 |
| 11 | R:R:W154 | 7.185 | 4 | 2 | 9 |
| 12 | R:R:V157 | 3.5525 | 4 | 0 | 4 |
| 13 | R:R:Y167 | 3.72143 | 7 | 2 | 5 |
| 14 | R:R:Y191 | 2.8475 | 4 | 0 | 7 |
| 15 | R:R:Y195 | 7.13 | 4 | 1 | 7 |
| 16 | R:R:L202 | 3.955 | 4 | 0 | 9 |
| 17 | R:R:F212 | 4.61 | 6 | 0 | 7 |
| 18 | R:R:F227 | 4.036 | 5 | 8 | 9 |
| 19 | R:R:F230 | 6.1175 | 4 | 0 | 8 |
| 20 | R:R:R233 | 7.90333 | 6 | 1 | 8 |
| 21 | R:R:K240 | 7.28 | 5 | 1 | 7 |
| 22 | R:R:Y290 | 5.6275 | 4 | 4 | 9 |
| 23 | R:R:F291 | 9.915 | 4 | 4 | 5 |
| 24 | R:R:L292 | 4.41 | 5 | 1 | 6 |
| 25 | R:R:T294 | 5.205 | 4 | 4 | 8 |
| 26 | R:R:Y296 | 7.6075 | 4 | 1 | 7 |
| 27 | R:R:W298 | 9.934 | 5 | 4 | 9 |
| 28 | R:R:E302 | 8.4575 | 4 | 0 | 9 |
| 29 | R:R:Y305 | 8.205 | 4 | 0 | 8 |
| 30 | R:R:H307 | 7.085 | 4 | 3 | 8 |
| 31 | R:R:F311 | 5.975 | 4 | 3 | 6 |
| 32 | R:R:F327 | 2.848 | 5 | 0 | 5 |
| 33 | R:R:W329 | 6.464 | 5 | 4 | 9 |
| 34 | R:R:P332 | 3.9 | 4 | 0 | 9 |
| 35 | R:R:W339 | 5.2475 | 4 | 5 | 8 |
| 36 | R:R:V342 | 2.71 | 4 | 5 | 5 |
| 37 | R:R:W352 | 15.8675 | 4 | 0 | 8 |
| 38 | R:R:L354 | 3.5625 | 4 | 0 | 5 |
| 39 | R:R:Q364 | 5.674 | 5 | 1 | 7 |
| 40 | R:R:F378 | 5.594 | 5 | 3 | 9 |
| 41 | R:R:I381 | 3.41 | 4 | 3 | 9 |
| 42 | R:R:F417 | 6.25143 | 7 | 3 | 9 |
| 43 | R:R:H420 | 6.998 | 5 | 1 | 8 |
| 44 | R:R:Y421 | 10.932 | 5 | 1 | 8 |
| 45 | R:R:F424 | 7.6425 | 4 | 1 | 7 |
| 46 | R:R:M425 | 3.715 | 4 | 0 | 6 |
| 47 | R:R:W437 | 3.88143 | 7 | 1 | 5 |
| 48 | R:R:Q438 | 2.8275 | 4 | 1 | 4 |
| 49 | R:R:M441 | 5.634 | 5 | 1 | 6 |
| 50 | R:R:E444 | 5.6475 | 4 | 1 | 7 |
| 51 | R:R:M445 | 3.828 | 5 | 1 | 6 |
| 52 | R:R:N448 | 5.51 | 4 | 1 | 6 |
| 53 | R:R:F450 | 4.3625 | 4 | 7 | 7 |
| 54 | R:R:F453 | 5.0175 | 4 | 0 | 6 |
| 55 | L:L:V2 | 6.17 | 4 | 1 | 0 |
| 56 | L:L:E4 | 6.856 | 5 | 1 | 0 |
| 57 | L:L:I5 | 5.0925 | 4 | 1 | 0 |
| 58 | L:L:Q6 | 6.7175 | 4 | 1 | 0 |
| 59 | L:L:M8 | 6.202 | 5 | 1 | 0 |
| 60 | L:L:R20 | 8.1425 | 4 | 2 | 0 |
| Color | ConSurf Grade |
| No Conservation data available | |
| 1 | |
| 2 | |
| 3 | |
| 4 | |
| 5 | |
| 6 | |
| 7 | |
| 8 | |
| 9 |
Index: link id, click on each number to highlight the corresponding link in the 3D visualization.
Node1 Node2: the two nodes of the corresponding link.
Recurrence: the relative Recurrence in the pool of shortest paths.
Int. Strength: the interaction strength between the two nodes.
Hub1?, Hub2?: "Yes" if the corresponding node has more than 3 links, otherwise "No".
Community: the id of the community the link belong to, otherwise 0.
ConSurf1, ConSurf2: these columns report the ConSurf conservation grades of the two nodes involved in a link.
| Index | Node1 | Node2 | Recurrence | Int. Strength | Hub1? | Hub2? | Community | ConSurf1 | ConSurf2 |
|---|---|---|---|---|---|---|---|---|---|
| 1 | R:R:E36 | R:R:T33 | 84.1408 | 7.06 | No | No | 0 | 6 | 7 |
| 2 | R:R:L354 | R:R:T33 | 88.2312 | 1.47 | Yes | No | 0 | 5 | 7 |
| 3 | R:R:E36 | R:R:M32 | 83.3167 | 2.71 | No | No | 0 | 6 | 6 |
| 4 | L:L:R20 | R:R:M32 | 81.6573 | 4.96 | Yes | No | 0 | 0 | 6 |
| 5 | L:L:R20 | R:R:D137 | 79.073 | 14.29 | Yes | No | 2 | 0 | 5 |
| 6 | L:L:L24 | R:R:D137 | 78.3205 | 4.07 | No | No | 2 | 0 | 5 |
| 7 | L:L:L24 | R:R:F138 | 75.6453 | 8.53 | No | Yes | 2 | 0 | 4 |
| 8 | R:R:F138 | R:R:I135 | 14.9231 | 20.09 | Yes | Yes | 2 | 4 | 7 |
| 9 | R:R:A44 | R:R:Y134 | 22.9657 | 4 | No | No | 0 | 7 | 5 |
| 10 | R:R:P132 | R:R:Y134 | 12.7099 | 4.17 | Yes | No | 2 | 9 | 5 |
| 11 | R:R:F138 | R:R:P132 | 54.0616 | 5.78 | Yes | Yes | 2 | 4 | 9 |
| 12 | R:R:I135 | R:R:Y134 | 12.1602 | 4.84 | Yes | No | 2 | 7 | 5 |
| 13 | R:R:A44 | R:R:W112 | 21.0985 | 3.89 | No | Yes | 0 | 7 | 7 |
| 14 | R:R:C48 | R:R:W112 | 13.4503 | 9.14 | No | Yes | 6 | 8 | 7 |
| 15 | R:R:C48 | R:R:L52 | 11.5408 | 3.17 | No | No | 0 | 8 | 4 |
| 16 | R:R:L116 | R:R:W118 | 17.1998 | 4.56 | Yes | Yes | 2 | 5 | 9 |
| 17 | R:R:L116 | R:R:P132 | 41.7481 | 3.28 | Yes | Yes | 2 | 5 | 9 |
| 18 | R:R:L116 | R:R:Y167 | 19.9576 | 3.52 | Yes | Yes | 2 | 5 | 5 |
| 19 | L:L:H32 | R:R:Y167 | 14.6134 | 3.27 | No | Yes | 0 | 0 | 5 |
| 20 | L:L:H32 | R:R:N166 | 13.6491 | 2.55 | No | No | 0 | 0 | 7 |
| 21 | R:R:N166 | R:R:Y145 | 11.7204 | 8.14 | No | Yes | 0 | 7 | 4 |
| 22 | L:L:A12 | R:R:L354 | 93.873 | 3.15 | No | Yes | 0 | 0 | 5 |
| 23 | L:L:A12 | R:R:D353 | 94.6709 | 6.18 | No | No | 0 | 0 | 5 |
| 24 | R:R:D353 | R:R:K240 | 37.2714 | 4.15 | No | Yes | 1 | 5 | 7 |
| 25 | R:R:F288 | R:R:K240 | 43.8503 | 14.89 | No | Yes | 1 | 7 | 7 |
| 26 | R:R:F288 | R:R:I237 | 86.708 | 2.51 | No | No | 1 | 7 | 7 |
| 27 | L:L:E4 | R:R:I237 | 46.2944 | 4.1 | Yes | No | 1 | 0 | 7 |
| 28 | L:L:E4 | R:R:M445 | 11.4268 | 4.06 | Yes | Yes | 1 | 0 | 6 |
| 29 | L:L:M8 | R:R:D353 | 58.1944 | 6.93 | Yes | No | 1 | 0 | 5 |
| 30 | L:L:M8 | R:R:F288 | 42.7831 | 8.71 | Yes | No | 1 | 0 | 7 |
| 31 | R:R:I237 | R:R:Y195 | 40.5155 | 8.46 | No | Yes | 1 | 7 | 7 |
| 32 | R:R:F453 | R:R:S201 | 26.0362 | 2.64 | Yes | No | 0 | 6 | 8 |
| 33 | R:R:A456 | R:R:S201 | 26.938 | 3.42 | No | No | 0 | 8 | 8 |
| 34 | R:R:A456 | R:R:L202 | 27.8378 | 3.15 | No | Yes | 0 | 8 | 9 |
| 35 | R:R:F230 | R:R:L202 | 33.2859 | 3.65 | Yes | Yes | 0 | 8 | 9 |
| 36 | R:R:F230 | R:R:N295 | 76.9173 | 8.46 | Yes | No | 0 | 8 | 8 |
| 37 | R:R:N295 | R:R:R233 | 100 | 9.64 | No | Yes | 0 | 8 | 8 |
| 38 | R:R:R233 | R:R:Y195 | 39.889 | 8.23 | Yes | Yes | 1 | 8 | 7 |
| 39 | L:L:E4 | R:R:R233 | 42.3806 | 11.63 | Yes | Yes | 1 | 0 | 8 |
| 40 | R:R:L292 | R:R:R233 | 21.1005 | 6.07 | Yes | Yes | 1 | 6 | 8 |
| 41 | L:L:I5 | R:R:L292 | 21.277 | 2.85 | Yes | Yes | 1 | 0 | 6 |
| 42 | L:L:H9 | L:L:I5 | 27.0369 | 2.65 | No | Yes | 0 | 0 | 0 |
| 43 | L:L:H9 | L:L:M8 | 26.8311 | 6.57 | No | Yes | 0 | 0 | 0 |
| 44 | R:R:T294 | R:R:W329 | 13.6027 | 8.49 | Yes | Yes | 4 | 8 | 9 |
| 45 | R:R:S229 | R:R:W329 | 25.5288 | 2.47 | No | Yes | 0 | 9 | 9 |
| 46 | R:R:N295 | R:R:S229 | 26.3247 | 5.96 | No | No | 0 | 8 | 9 |
| 47 | R:R:F230 | R:R:L226 | 45.2817 | 9.74 | Yes | No | 0 | 8 | 9 |
| 48 | R:R:I208 | R:R:V204 | 15.9833 | 3.07 | No | No | 0 | 8 | 5 |
| 49 | R:R:F461 | R:R:V204 | 16.9072 | 2.62 | No | No | 0 | 8 | 5 |
| 50 | R:R:F461 | R:R:I457 | 17.8292 | 3.77 | No | No | 0 | 8 | 6 |
| 51 | R:R:F453 | R:R:I457 | 19.6671 | 10.05 | Yes | No | 0 | 6 | 6 |
| 52 | R:R:F212 | R:R:I208 | 15.0572 | 2.51 | Yes | No | 0 | 7 | 8 |
| 53 | R:R:W298 | R:R:W329 | 10.1942 | 18.74 | Yes | Yes | 4 | 9 | 9 |
| 54 | R:R:E302 | R:R:L226 | 41.965 | 15.9 | Yes | No | 0 | 9 | 9 |
| 55 | R:R:K240 | R:R:V285 | 11.2503 | 4.55 | Yes | No | 1 | 7 | 6 |
| 56 | L:L:M8 | R:R:V285 | 16.3908 | 3.04 | Yes | No | 1 | 0 | 6 |
| 57 | R:R:C281 | R:R:V285 | 26.6041 | 1.71 | No | No | 0 | 9 | 6 |
| 58 | R:R:C281 | R:R:C351 | 25.5641 | 7.28 | No | No | 0 | 9 | 9 |
| 59 | R:R:A276 | R:R:C351 | 24.5221 | 1.81 | No | No | 0 | 4 | 9 |
| 60 | R:R:A276 | R:R:G350 | 23.4781 | 1.95 | No | No | 0 | 4 | 5 |
| 61 | R:R:G350 | R:R:T349 | 22.432 | 1.82 | No | No | 0 | 5 | 5 |
| 62 | R:R:A347 | R:R:T349 | 21.384 | 1.68 | No | No | 0 | 7 | 5 |
| 63 | R:R:A347 | R:R:R343 | 18.2277 | 2.77 | No | No | 0 | 7 | 8 |
| 64 | R:R:R343 | R:R:W352 | 17.1715 | 20.99 | No | Yes | 0 | 8 | 8 |
| 65 | R:R:V340 | R:R:W352 | 12.9268 | 4.9 | No | Yes | 0 | 5 | 8 |
| 66 | R:R:V340 | R:R:W339 | 10.7924 | 2.45 | No | Yes | 0 | 5 | 8 |
| 67 | R:R:F417 | R:R:L416 | 32.4638 | 7.31 | Yes | No | 0 | 9 | 9 |
| 68 | R:R:E302 | R:R:L416 | 35.5434 | 3.98 | Yes | No | 0 | 9 | 9 |
| 69 | R:R:F378 | R:R:V419 | 10.2406 | 9.18 | Yes | No | 3 | 9 | 7 |
| 70 | R:R:F378 | R:R:F417 | 22.2717 | 7.5 | Yes | Yes | 3 | 9 | 9 |
| 71 | R:R:F378 | R:R:M414 | 10.2406 | 2.49 | Yes | No | 3 | 9 | 8 |
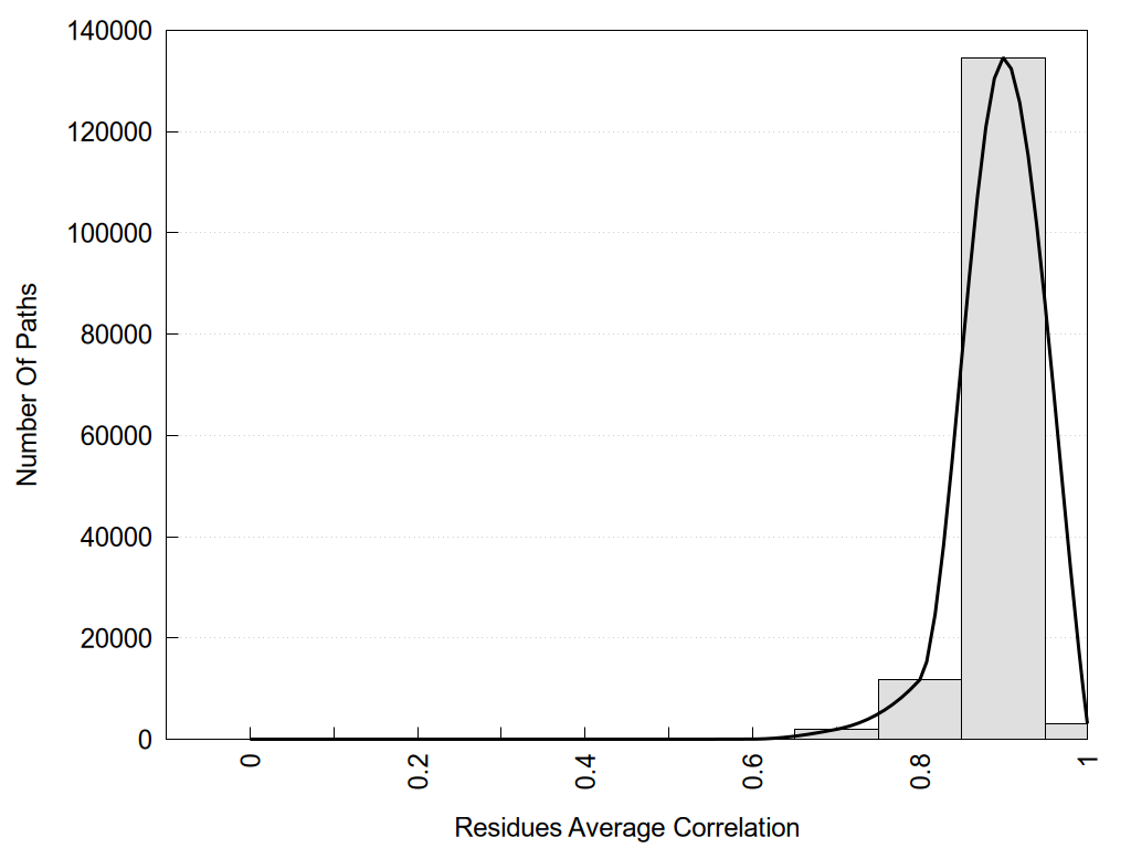
2D representation of the global metapath, ligand(s) interactions and
histograms of path distribution according to several parameters
(click on the image to enlarge it 🔍):

A 2D representation of the global communication in the network.
ConSurf Conservation Grade (See documentation):
n/a 1 2 3 4 5 6 7 8 9
2D representation of the interactions of this orthosteric/allosteric ligand. | |||||||||||||||||||||||||||||||||||||||||||||||||||||||||||||||||||||||||||||||||||||||||||||||||||||||||||||||||||||||||||||||||||||||||||||||||||||||||||||||||||||||||||||||||||||||||||||||||||||||||||||||||||||||||||||||||||||||||||||||||||||||||||||||||||||||||||||||||||||||||||||||||||||||||||||||||||||||||||||||||||||||||||||||||||||||||||||||||||||||||||||||||||||||||||||||||||||||||||||||||||||||||||||||||||||||||||||||||||||||||||||||||||||||||||||||||||||||||||||||||||||||||||||||||||||||||||||||||||||||||||||||||||||||||||||||||||||||||||||||||||||||||||||||||||||||||||||||||||||||||||||||||||||||||||||||||||||||||||||||||||||||||||||||||||||||||||||||||||||||||||||||||||||||||||||||||||||||||||||||||||||||||||||||||||||||||||||||||||||||||||||||||||||||||||||||||||||||||||||||||||||||||||||||||||||||||||||||||||||||||||||||||||||||||||||||||||||||||||||||||||||||||||||||||||||||||||||||||||||||||||||||||||||||||||||||||||||||||||||||||||||||||||||||||||||||||||||||||||||||
Links and nodes colored according to ConSurf Conservation Grade (See documentation): n/a 1 2 3 4 5 6 7 8 9 |
| ||||||||||||||||||||||||||||||||||||||||||||||||||||||||||||||||||||||||||||||||||||||||||||||||||||||||||||||||||||||||||||||||||||||||||||||||||||||||||||||||||||||||||||||||||||||||||||||||||||||||||||||||||||||||||||||||||||||||||||||||||||||||||||||||||||||||||||||||||||||||||||||||||||||||||||||||||||||||||||||||||||||||||||||||||||||||||||||||||||||||||||||||||||||||||||||||||||||||||||||||||||||||||||||||||||||||||||||||||||||||||||||||||||||||||||||||||||||||||||||||||||||||||||||||||||||||||||||||||||||||||||||||||||||||||||||||||||||||||||||||||||||||||||||||||||||||||||||||||||||||||||||||||||||||||||||||||||||||||||||||||||||||||||||||||||||||||||||||||||||||||||||||||||||||||||||||||||||||||||||||||||||||||||||||||||||||||||||||||||||||||||||||||||||||||||||||||||||||||||||||||||||||||||||||||||||||||||||||||||||||||||||||||||||||||||||||||||||||||||||||||||||||||||||||||||||||||||||||||||||||||||||||||||||||||||||||||||||||||||||||||||||||||||||||||||||||||||||||||||||
Location and physicochemical properties of the interaction partners of this ligand | |||||||||||||||||||||||||||||||||||||||||||||||||||||||||||||||||||||||||||||||||||||||||||||||||||||||||||||||||||||||||||||||||||||||||||||||||||||||||||||||||||||||||||||||||||||||||||||||||||||||||||||||||||||||||||||||||||||||||||||||||||||||||||||||||||||||||||||||||||||||||||||||||||||||||||||||||||||||||||||||||||||||||||||||||||||||||||||||||||||||||||||||||||||||||||||||||||||||||||||||||||||||||||||||||||||||||||||||||||||||||||||||||||||||||||||||||||||||||||||||||||||||||||||||||||||||||||||||||||||||||||||||||||||||||||||||||||||||||||||||||||||||||||||||||||||||||||||||||||||||||||||||||||||||||||||||||||||||||||||||||||||||||||||||||||||||||||||||||||||||||||||||||||||||||||||||||||||||||||||||||||||||||||||||||||||||||||||||||||||||||||||||||||||||||||||||||||||||||||||||||||||||||||||||||||||||||||||||||||||||||||||||||||||||||||||||||||||||||||||||||||||||||||||||||||||||||||||||||||||||||||||||||||||||||||||||||||||||||||||||||||||||||||||||||||||||||||||||||||||||
Interactions of this ligand | |||||||||||||||||||||||||||||||||||||||||||||||||||||||||||||||||||||||||||||||||||||||||||||||||||||||||||||||||||||||||||||||||||||||||||||||||||||||||||||||||||||||||||||||||||||||||||||||||||||||||||||||||||||||||||||||||||||||||||||||||||||||||||||||||||||||||||||||||||||||||||||||||||||||||||||||||||||||||||||||||||||||||||||||||||||||||||||||||||||||||||||||||||||||||||||||||||||||||||||||||||||||||||||||||||||||||||||||||||||||||||||||||||||||||||||||||||||||||||||||||||||||||||||||||||||||||||||||||||||||||||||||||||||||||||||||||||||||||||||||||||||||||||||||||||||||||||||||||||||||||||||||||||||||||||||||||||||||||||||||||||||||||||||||||||||||||||||||||||||||||||||||||||||||||||||||||||||||||||||||||||||||||||||||||||||||||||||||||||||||||||||||||||||||||||||||||||||||||||||||||||||||||||||||||||||||||||||||||||||||||||||||||||||||||||||||||||||||||||||||||||||||||||||||||||||||||||||||||||||||||||||||||||||||||||||||||||||||||||||||||||||||||||||||||||||||||||||||||||||||
Similarities between the interactions of this ligand and those of other networks | |||||||||||||||||||||||||||||||||||||||||||||||||||||||||||||||||||||||||||||||||||||||||||||||||||||||||||||||||||||||||||||||||||||||||||||||||||||||||||||||||||||||||||||||||||||||||||||||||||||||||||||||||||||||||||||||||||||||||||||||||||||||||||||||||||||||||||||||||||||||||||||||||||||||||||||||||||||||||||||||||||||||||||||||||||||||||||||||||||||||||||||||||||||||||||||||||||||||||||||||||||||||||||||||||||||||||||||||||||||||||||||||||||||||||||||||||||||||||||||||||||||||||||||||||||||||||||||||||||||||||||||||||||||||||||||||||||||||||||||||||||||||||||||||||||||||||||||||||||||||||||||||||||||||||||||||||||||||||||||||||||||||||||||||||||||||||||||||||||||||||||||||||||||||||||||||||||||||||||||||||||||||||||||||||||||||||||||||||||||||||||||||||||||||||||||||||||||||||||||||||||||||||||||||||||||||||||||||||||||||||||||||||||||||||||||||||||||||||||||||||||||||||||||||||||||||||||||||||||||||||||||||||||||||||||||||||||||||||||||||||||||||||||||||||||||||||||||||||||||||
|
|
|
| Annotation | Type | Links |
|---|---|---|
| Gene Ontology | Molecular Function | |
| Gene Ontology | Biological Process | |
| Gene Ontology | Cellular Component | |
| SCOP2 | Domain Identifier | • Transducin (heterotrimeric G protein), gamma chain • Ras-like P-loop GTPases • G protein-coupled receptor-like |
| SCOP2 | Family Identifier | • Transducin (heterotrimeric G protein), gamma chain • Ras-like P-loop GTPases • G protein-coupled receptor-like |
| Membrane Protein Annotations | - | • Orientations of Proteins in Membranes database (OPM) • Protein Data Bank of Transmembrane Proteins (PDBTM) • MemProtMD |
| PDBsum | Open PDBsum Page |
| Chain | R |
| Protein | Receptor |
| UniProt | Q03431 |
| Sequence | >6NBH_nogp_Chain_R VMTKEEQIF LLHRAQAQC EKRLKEVLG RPCLPEWDH ILCWPLGAP GEVVAVPCP DYIYDFNHK GHAYRRCDR NGSWELVPG HNRTWANYS ECVKFLTNE TREREVFDR LAMIYTVGY SVSLASLTV AVLILAYFR RLHCTRNYI HMHLFLSFM LRAVSIFVK DAVLYSGAT LTAAAGYAG CRVAVTFFL YFLATNYYW ILVEGLYLH SLIFMAFFS EKKYLWGFT VFGWGLPAV FVAVWVSVR ATLANTGCW DLSSGNKKW IIQVPILAS IVLNFILFI NIVRVLATK LRETNATRQ QYRKLLKST LVLMPLFGV HYIVFMATP YTEVSGTLW QVQMHYEML FNSFQGFFV AIIYCFCNG EVQAEIKKS WSRWTLALD F Click on each residue to open a popup with some information about it. ConSurf Conservation Grade (See documentation): n/a 1 2 3 4 5 6 7 8 9 |
| This receptor, from the same or other species and bound to the same or other ligands, is also present in the following networks: | ||||||||||||
|---|---|---|---|---|---|---|---|---|---|---|---|---|
| Show | PDB | Class | SubFamily | Type | SubType | Species | Orthosteric Ligand | Other Ligand(s) | Protein Partners | Resolution | Date | DOI |
| 6FJ3 | B1 | Peptide | Parathyroid Hormone | PTH1 | Homo sapiens | PTH | - | - | 2.5 | 2018-11-21 | doi.org/10.1038/s41594-018-0151-4 | |
| 6NBF | B1 | Peptide | Parathyroid Hormone | PTH1 | Homo sapiens | LA-PTH Analog | - | Gs/β1/γ2 | 3 | 2019-04-17 | doi.org/10.1126/science.aav7942 | |
| 6NBF (No Gprot) | B1 | Peptide | Parathyroid Hormone | PTH1 | Homo sapiens | LA-PTH Analog | - | 3 | 2019-04-17 | doi.org/10.1126/science.aav7942 | ||
| 6NBH | B1 | Peptide | Parathyroid Hormone | PTH1 | Homo sapiens | LA-PTH Analog | - | Gs/β1/γ2 | 3.5 | 2019-04-17 | doi.org/10.1126/science.aav7942 | |
| 6NBH (No Gprot) | B1 | Peptide | Parathyroid Hormone | PTH1 | Homo sapiens | LA-PTH Analog | - | 3.5 | 2019-04-17 | doi.org/10.1126/science.aav7942 | ||
| 6NBI | B1 | Peptide | Parathyroid Hormone | PTH1 | Homo sapiens | LA-PTH Analog | - | Gs/β1/γ2 | 4 | 2019-04-17 | doi.org/10.1126/science.aav7942 | |
| 6NBI (No Gprot) | B1 | Peptide | Parathyroid Hormone | PTH1 | Homo sapiens | LA-PTH Analog | - | 4 | 2019-04-17 | doi.org/10.1126/science.aav7942 | ||
| 7VVJ | B1 | Peptide | Parathyroid Hormone | PTH1 | Homo sapiens | PTHrP(1-36) | - | Gs/β1/γ2 | 3.2 | 2022-08-03 | doi.org/10.1016/j.molcel.2022.07.003 | |
| 7VVJ (No Gprot) | B1 | Peptide | Parathyroid Hormone | PTH1 | Homo sapiens | PTHrP(1-36) | - | 3.2 | 2022-08-03 | doi.org/10.1016/j.molcel.2022.07.003 | ||
| 7VVK | B1 | Peptide | Parathyroid Hormone | PTH1 | Homo sapiens | PTH | - | Gs/β1/γ2 | 3.3 | 2022-08-03 | doi.org/10.1016/j.molcel.2022.07.003 | |
| 7VVK (No Gprot) | B1 | Peptide | Parathyroid Hormone | PTH1 | Homo sapiens | PTH | - | 3.3 | 2022-08-03 | doi.org/10.1016/j.molcel.2022.07.003 | ||
| 7VVL | B1 | Peptide | Parathyroid Hormone | PTH1 | Homo sapiens | PTH | - | Gs/β1/γ2 | 2.8 | 2022-08-03 | doi.org/10.1016/j.molcel.2022.07.003 | |
| 7VVL (No Gprot) | B1 | Peptide | Parathyroid Hormone | PTH1 | Homo sapiens | PTH | - | 2.8 | 2022-08-03 | doi.org/10.1016/j.molcel.2022.07.003 | ||
| 7VVM | B1 | Peptide | Parathyroid Hormone | PTH1 | Homo sapiens | PTH | - | Gs/β1/γ2 | 3.2 | 2022-08-03 | doi.org/10.1016/j.molcel.2022.07.003 | |
| 7VVM (No Gprot) | B1 | Peptide | Parathyroid Hormone | PTH1 | Homo sapiens | PTH | - | 3.2 | 2022-08-03 | doi.org/10.1016/j.molcel.2022.07.003 | ||
| 7VVN | B1 | Peptide | Parathyroid Hormone | PTH1 | Homo sapiens | PTH | - | Gs/β1/γ2 | 3.8 | 2022-08-03 | doi.org/10.1016/j.molcel.2022.07.003 | |
| 7VVN (No Gprot) | B1 | Peptide | Parathyroid Hormone | PTH1 | Homo sapiens | PTH | - | 3.8 | 2022-08-03 | doi.org/10.1016/j.molcel.2022.07.003 | ||
| 7VVO | B1 | Peptide | Parathyroid Hormone | PTH1 | Homo sapiens | PTH | - | Gs/β1/γ2 | 4.1 | 2022-08-03 | doi.org/10.1016/j.molcel.2022.07.003 | |
| 7VVO (No Gprot) | B1 | Peptide | Parathyroid Hormone | PTH1 | Homo sapiens | PTH | - | 4.1 | 2022-08-03 | doi.org/10.1016/j.molcel.2022.07.003 | ||
| 8HA0 | B1 | Peptide | Parathyroid Hormone | PTH1 | Homo sapiens | PTH | - | chim(NtGi1-Gs)/β1/γ2 | 2.62 | 2022-12-21 | doi.org/10.1038/s41401-022-01032-z | |
| 8HA0 (No Gprot) | B1 | Peptide | Parathyroid Hormone | PTH1 | Homo sapiens | PTH | - | 2.62 | 2022-12-21 | doi.org/10.1038/s41401-022-01032-z | ||
| 8HAF | B1 | Peptide | Parathyroid Hormone | PTH1 | Homo sapiens | PTHrP(1-36) | - | chim(NtGi1-Gs)/β1/γ2 | 3.25 | 2022-12-21 | doi.org/10.1038/s41401-022-01032-z | |
| 8HAF (No Gprot) | B1 | Peptide | Parathyroid Hormone | PTH1 | Homo sapiens | PTHrP(1-36) | - | 3.25 | 2022-12-21 | doi.org/10.1038/s41401-022-01032-z | ||
| 8HAO | B1 | Peptide | Parathyroid Hormone | PTH1 | Homo sapiens | PTH | - | chim(NtGi1-Gs)/β1/γ2 | 3.76 | 2022-12-21 | doi.org/10.1038/s41401-022-01032-z | |
| 8HAO (No Gprot) | B1 | Peptide | Parathyroid Hormone | PTH1 | Homo sapiens | PTH | - | 3.76 | 2022-12-21 | doi.org/10.1038/s41401-022-01032-z | ||
| 8FLQ | B1 | Peptide | Parathyroid Hormone | PTH1 | Homo sapiens | PTH | - | Gs/β1/γ2 | 2.55 | 2023-04-26 | doi.org/10.1016/j.str.2023.04.002 | |
| 8FLQ (No Gprot) | B1 | Peptide | Parathyroid Hormone | PTH1 | Homo sapiens | PTH | - | 2.55 | 2023-04-26 | doi.org/10.1016/j.str.2023.04.002 | ||
| 8FLR | B1 | Peptide | Parathyroid Hormone | PTH1 | Homo sapiens | PTHrP(1-36) | - | Gs/β1/γ2 | 2.94 | 2023-04-26 | doi.org/10.1016/j.str.2023.04.002 | |
| 8FLR (No Gprot) | B1 | Peptide | Parathyroid Hormone | PTH1 | Homo sapiens | PTHrP(1-36) | - | 2.94 | 2023-04-26 | doi.org/10.1016/j.str.2023.04.002 | ||
| 8FLS | B1 | Peptide | Parathyroid Hormone | PTH1 | Homo sapiens | Abaloparatide | - | Gs/β1/γ2 | 3.09 | 2023-04-26 | doi.org/10.1016/j.str.2023.04.002 | |
| 8FLS (No Gprot) | B1 | Peptide | Parathyroid Hormone | PTH1 | Homo sapiens | Abaloparatide | - | 3.09 | 2023-04-26 | doi.org/10.1016/j.str.2023.04.002 | ||
| 8FLT | B1 | Peptide | Parathyroid Hormone | PTH1 | Homo sapiens | M-PTH(1-14) | - | Gs/β1/γ2 | 3.03 | 2023-04-26 | doi.org/10.1016/j.str.2023.04.002 | |
| 8FLT (No Gprot) | B1 | Peptide | Parathyroid Hormone | PTH1 | Homo sapiens | M-PTH(1-14) | - | 3.03 | 2023-04-26 | doi.org/10.1016/j.str.2023.04.002 | ||
| 8FLU | B1 | Peptide | Parathyroid Hormone | PTH1 | Homo sapiens | LA-PTH Analog | - | Gs/β1/γ2 | 2.76 | 2023-04-26 | doi.org/10.1016/j.str.2023.04.002 | |
| 8FLU (No Gprot) | B1 | Peptide | Parathyroid Hormone | PTH1 | Homo sapiens | LA-PTH Analog | - | 2.76 | 2023-04-26 | doi.org/10.1016/j.str.2023.04.002 | ||
| 8GW8 | B1 | Peptide | Parathyroid Hormone | PTH1 | Homo sapiens | - | PCO371 | Gs/β1/γ2 | 2.9 | 2023-06-14 | doi.org/10.1038/s41586-023-06169-3 | |
| 8GW8 (No Gprot) | B1 | Peptide | Parathyroid Hormone | PTH1 | Homo sapiens | - | PCO371 | 2.9 | 2023-06-14 | doi.org/10.1038/s41586-023-06169-3 | ||
| 7Y35 | B1 | Peptide | Parathyroid Hormone | PTH1 | Homo sapiens | Abaloparatide | - | Gs/β1/γ2 | 2.9 | 2023-07-05 | To be published | |
| 7Y35 (No Gprot) | B1 | Peptide | Parathyroid Hormone | PTH1 | Homo sapiens | Abaloparatide | - | 2.9 | 2023-07-05 | To be published | ||
| 7Y36 | B1 | Peptide | Parathyroid Hormone | PTH1 | Homo sapiens | PTH | - | Gs/β1/γ2 | 2.8 | 2023-07-05 | To be published | |
| 7Y36 (No Gprot) | B1 | Peptide | Parathyroid Hormone | PTH1 | Homo sapiens | PTH | - | 2.8 | 2023-07-05 | To be published | ||
| 8JR9 | B1 | Peptide | Parathyroid Hormone | PTH1 | Homo sapiens | - | PCO371 | chim(NtGi1-Gs)/β1/γ2 | 2.57 | 2023-08-02 | doi.org/10.1038/s41586-023-06467-w | |
| 8JR9 (No Gprot) | B1 | Peptide | Parathyroid Hormone | PTH1 | Homo sapiens | - | PCO371 | 2.57 | 2023-08-02 | doi.org/10.1038/s41586-023-06467-w | ||
| 9LXR | B1 | Peptide | Parathyroid Hormone | PTH1 | Homo sapiens | LA-PTH Analog | - | Arrestin2 | 3.07 | 2025-09-10 | To be published | |
| 9JR2 | B1 | Peptide | Parathyroid Hormone | PTH1 | Homo sapiens | PTH | - | chim(NtGi1L-Gs-CtGq)/β1/γ2 | 2.8 | 2024-10-16 | doi.org/10.1038/s41589-025-01957-6 | |
| 9JR2 (No Gprot) | B1 | Peptide | Parathyroid Hormone | PTH1 | Homo sapiens | PTH | - | 2.8 | 2024-10-16 | doi.org/10.1038/s41589-025-01957-6 | ||
| 9JR3 | B1 | Peptide | Parathyroid Hormone | PTH1 | Homo sapiens | PTH | - | chim(NtGi1L-Gs-CtGq)/β1/γ2 | 2.8 | 2024-10-16 | doi.org/10.1038/s41589-025-01957-6 | |
| 9JR3 (No Gprot) | B1 | Peptide | Parathyroid Hormone | PTH1 | Homo sapiens | PTH | - | 2.8 | 2024-10-16 | doi.org/10.1038/s41589-025-01957-6 | ||
| 9B5Y | B1 | Peptide | Parathyroid Hormone | PTH1 | Homo sapiens | LA-PTH Analog | - | chim(NtGi1-Gq)/β1/γ2 | 3.49 | 2025-03-19 | doi.org/10.1073/pnas.2426178122 | |
| 9B5Y (No Gprot) | B1 | Peptide | Parathyroid Hormone | PTH1 | Homo sapiens | LA-PTH Analog | - | 3.49 | 2025-03-19 | doi.org/10.1073/pnas.2426178122 | ||
| 8YFO | B1 | Peptide | Parathyroid Hormone | PTH1 | Homo sapiens | Ac-LA-PTH Analog | - | chim(NtGi1-Gs)/β1/γ2 | 2.71 | 2025-09-03 | To be published | |
| 8YFO (No Gprot) | B1 | Peptide | Parathyroid Hormone | PTH1 | Homo sapiens | Ac-LA-PTH Analog | - | 2.71 | 2025-09-03 | To be published | ||
| 8YG4 | B1 | Peptide | Parathyroid Hormone | PTH1 | Homo sapiens | LA-PTH Analog | - | chim(NtGi1-Gs)/β1/γ2 | 2.59 | 2025-09-03 | To be published | |
| 8YG4 (No Gprot) | B1 | Peptide | Parathyroid Hormone | PTH1 | Homo sapiens | LA-PTH Analog | - | 2.59 | 2025-09-03 | To be published | ||
You can download a compressed (zip) file with structure(s), 3D outputs (as PyMol and VMD scripts) and numerical data files (as csv and plain text files).
Download 6NBH_nogp.zipYou can click to copy the link of this page to easily come back here later
or use this QR code to link and share this page.
You can also read or download a guide explaining the meaning of all files and numerical data.