| Color | ConSurf Grade |
| No Conservation data available | |
| 1 | |
| 2 | |
| 3 | |
| 4 | |
| 5 | |
| 6 | |
| 7 | |
| 8 | |
| 9 |
Index: link id, click on each number to highlight the corresponding link in the 3D visualization.
Node1 Node2: the two nodes of the corresponding link.
Int. Strength: the interaction strength between the two nodes.
Hub1?, Hub2?: "Yes" if the corresponding node has more than 3 links, otherwise "No".
Community: the id of the community the link belong to, otherwise 0.
ConSurf1, ConSurf2: these columns report the ConSurf conservation grades of the two nodes involved in a link.
| Index | Node1 | Node2 | Int. Strength | Hub1? | Hub2? | Community | ConSurf1 | ConSurf2 |
|---|---|---|---|---|---|---|---|---|
| 1 | A:A:D16 | A:A:L12 | 12.21 | Yes | No | 0 | 5 | 2 |
| 2 | A:A:E15 | A:A:S13 | 2.87 | No | No | 0 | 6 | 7 |
| 3 | A:A:D16 | A:A:K17 | 4.15 | Yes | No | 0 | 5 | 4 |
| 4 | A:A:V20 | B:B:N88 | 5.91 | No | Yes | 0 | 3 | 7 |
| 5 | A:A:R22 | B:B:V90 | 9.15 | No | No | 0 | 5 | 5 |
| 6 | A:A:E27 | A:A:S23 | 5.75 | No | No | 8 | 6 | 7 |
| 7 | A:A:S23 | B:B:N88 | 5.96 | No | Yes | 0 | 7 | 7 |
| 8 | A:A:S23 | B:B:K89 | 6.12 | No | Yes | 8 | 7 | 9 |
| 9 | A:A:E27 | A:A:K24 | 14.85 | No | No | 0 | 6 | 4 |
| 10 | A:A:I26 | B:B:K89 | 7.27 | No | Yes | 0 | 9 | 9 |
| 11 | A:A:I26 | B:B:A92 | 6.5 | No | No | 0 | 9 | 6 |
| 12 | A:A:E27 | B:B:K89 | 2.7 | No | Yes | 8 | 6 | 9 |
| 13 | A:A:L30 | B:B:K78 | 5.64 | No | No | 0 | 5 | 8 |
| 14 | A:A:Q31 | A:A:Q35 | 5.12 | No | No | 0 | 4 | 3 |
| 15 | A:A:D33 | B:B:L55 | 8.14 | No | No | 0 | 5 | 6 |
| 16 | A:A:D33 | B:B:K78 | 9.68 | No | No | 0 | 5 | 8 |
| 17 | A:A:K34 | A:A:Y37 | 5.97 | Yes | No | 0 | 4 | 4 |
| 18 | A:A:K34 | A:A:R38 | 7.43 | Yes | No | 0 | 4 | 4 |
| 19 | A:A:K34 | B:B:L55 | 7.05 | Yes | No | 0 | 4 | 6 |
| 20 | A:A:R42 | A:A:Y37 | 12.35 | No | No | 0 | 9 | 4 |
| 21 | A:A:R38 | R:R:H130 | 7.9 | No | No | 0 | 4 | 5 |
| 22 | A:A:N218 | A:A:T40 | 4.39 | No | No | 0 | 4 | 7 |
| 23 | A:A:H220 | A:A:T40 | 8.21 | No | No | 0 | 7 | 7 |
| 24 | A:A:H41 | A:A:V217 | 2.77 | Yes | Yes | 2 | 6 | 5 |
| 25 | A:A:F219 | A:A:H41 | 6.79 | Yes | Yes | 2 | 8 | 6 |
| 26 | A:A:H41 | A:A:T242 | 5.48 | Yes | No | 0 | 6 | 8 |
| 27 | A:A:H41 | R:R:F127 | 9.05 | Yes | No | 2 | 6 | 5 |
| 28 | A:A:F219 | A:A:L43 | 3.65 | Yes | Yes | 2 | 8 | 7 |
| 29 | A:A:L43 | A:A:M221 | 2.83 | Yes | Yes | 2 | 7 | 8 |
| 30 | A:A:I245 | A:A:L43 | 2.85 | No | Yes | 2 | 7 | 7 |
| 31 | A:A:I375 | A:A:L43 | 2.85 | No | Yes | 2 | 9 | 7 |
| 32 | A:A:L44 | A:A:L46 | 5.54 | No | Yes | 0 | 9 | 8 |
| 33 | A:A:F238 | A:A:L44 | 17.05 | Yes | No | 0 | 9 | 9 |
| 34 | A:A:I244 | A:A:L44 | 2.85 | No | No | 0 | 8 | 9 |
| 35 | A:A:K53 | A:A:L45 | 2.82 | No | No | 0 | 9 | 8 |
| 36 | A:A:I245 | A:A:L45 | 2.85 | No | No | 0 | 7 | 8 |
| 37 | A:A:L46 | A:A:R231 | 3.64 | Yes | Yes | 0 | 8 | 9 |
| 38 | A:A:I276 | A:A:L46 | 2.85 | No | Yes | 0 | 8 | 8 |
| 39 | A:A:D49 | A:A:N50 | 2.69 | No | No | 16 | 8 | 9 |
| 40 | A:A:D49 | A:A:R265 | 5.96 | No | Yes | 16 | 8 | 9 |
| 41 | A:A:D252 | A:A:N50 | 4.04 | Yes | No | 16 | 8 | 9 |
| 42 | A:A:N50 | A:A:R265 | 7.23 | No | Yes | 16 | 9 | 9 |
| 43 | A:A:Q59 | A:A:T55 | 5.67 | No | Yes | 0 | 9 | 9 |
| 44 | A:A:I56 | A:A:M60 | 4.37 | No | Yes | 0 | 7 | 9 |
| 45 | A:A:I56 | A:A:N371 | 4.25 | No | Yes | 0 | 7 | 9 |
| 46 | A:A:K58 | A:A:Q59 | 6.78 | No | No | 0 | 9 | 9 |
| 47 | A:A:F212 | A:A:M60 | 4.98 | Yes | Yes | 2 | 9 | 9 |
| 48 | A:A:M221 | A:A:M60 | 2.89 | Yes | Yes | 2 | 8 | 9 |
| 49 | A:A:R61 | A:A:T210 | 5.17 | No | No | 0 | 8 | 7 |
| 50 | A:A:I62 | A:A:Y63 | 7.25 | No | No | 0 | 9 | 2 |
| 51 | A:A:H64 | A:A:V214 | 2.77 | No | Yes | 0 | 8 | 6 |
| 52 | A:A:A372 | A:A:H64 | 2.93 | No | No | 0 | 8 | 8 |
| 53 | A:A:K203 | A:A:V202 | 3.04 | No | No | 0 | 7 | 6 |
| 54 | A:A:F208 | A:A:S205 | 2.64 | No | No | 0 | 5 | 7 |
| 55 | A:A:G206 | B:B:N119 | 5.09 | No | No | 0 | 8 | 9 |
| 56 | A:A:F222 | A:A:I207 | 5.02 | No | No | 0 | 7 | 9 |
| 57 | A:A:I207 | B:B:L117 | 5.71 | No | No | 0 | 9 | 9 |
| 58 | A:A:D223 | A:A:F208 | 8.36 | No | No | 0 | 9 | 5 |
| 59 | A:A:E209 | A:A:K211 | 10.8 | No | No | 23 | 9 | 4 |
| 60 | A:A:E209 | A:A:H220 | 7.39 | No | No | 23 | 9 | 7 |
| 61 | A:A:E209 | A:A:F222 | 11.66 | No | No | 0 | 9 | 7 |
| 62 | A:A:H220 | A:A:K211 | 13.1 | No | No | 23 | 7 | 4 |
| 63 | A:A:F212 | A:A:V214 | 2.62 | Yes | Yes | 2 | 9 | 6 |
| 64 | A:A:F212 | A:A:F219 | 11.79 | Yes | Yes | 2 | 9 | 8 |
| 65 | A:A:F212 | A:A:M221 | 3.73 | Yes | Yes | 2 | 9 | 8 |
| 66 | A:A:K216 | A:A:Q213 | 5.42 | No | No | 0 | 4 | 3 |
| 67 | A:A:N218 | A:A:Q213 | 7.92 | No | No | 0 | 4 | 3 |
| 68 | A:A:D215 | A:A:V214 | 2.92 | No | Yes | 2 | 5 | 6 |
| 69 | A:A:R373 | A:A:V214 | 3.92 | No | Yes | 2 | 5 | 6 |
| 70 | A:A:F376 | A:A:V214 | 7.87 | Yes | Yes | 2 | 8 | 6 |
| 71 | A:A:D215 | A:A:R373 | 10.72 | No | No | 2 | 5 | 5 |
| 72 | A:A:D215 | A:A:F376 | 3.58 | No | Yes | 2 | 5 | 8 |
| 73 | A:A:F219 | A:A:V217 | 3.93 | Yes | Yes | 2 | 8 | 5 |
| 74 | A:A:F376 | A:A:V217 | 5.24 | Yes | Yes | 2 | 8 | 5 |
| 75 | A:A:V217 | R:R:F127 | 7.87 | Yes | No | 2 | 5 | 5 |
| 76 | A:A:F219 | A:A:F376 | 3.22 | Yes | Yes | 2 | 8 | 8 |
| 77 | A:A:C379 | A:A:F219 | 4.19 | No | Yes | 0 | 8 | 8 |
| 78 | A:A:F222 | B:B:W99 | 10.02 | No | Yes | 0 | 7 | 9 |
| 79 | A:A:Q227 | A:A:V224 | 2.87 | No | No | 0 | 9 | 9 |
| 80 | A:A:V224 | A:A:W234 | 12.26 | No | No | 0 | 9 | 9 |
| 81 | A:A:Q227 | B:B:Y145 | 3.38 | No | Yes | 0 | 9 | 8 |
| 82 | A:A:E230 | A:A:R228 | 9.3 | No | No | 7 | 9 | 9 |
| 83 | A:A:R228 | B:B:D186 | 10.72 | No | Yes | 7 | 9 | 9 |
| 84 | A:A:E230 | B:B:D186 | 7.8 | No | Yes | 7 | 9 | 9 |
| 85 | A:A:R231 | A:A:W234 | 9 | Yes | No | 0 | 9 | 9 |
| 86 | A:A:I235 | A:A:R231 | 3.76 | No | Yes | 0 | 9 | 9 |
| 87 | A:A:D272 | A:A:R231 | 10.72 | No | Yes | 0 | 9 | 9 |
| 88 | A:A:K233 | B:B:Y145 | 4.78 | Yes | Yes | 0 | 9 | 8 |
| 89 | A:A:K233 | B:B:M188 | 8.64 | Yes | Yes | 7 | 9 | 8 |
| 90 | A:A:K233 | B:B:C204 | 6.47 | Yes | Yes | 7 | 9 | 7 |
| 91 | A:A:K233 | B:B:D228 | 8.3 | Yes | Yes | 7 | 9 | 9 |
| 92 | A:A:K233 | B:B:N230 | 4.2 | Yes | No | 7 | 9 | 9 |
| 93 | A:A:F238 | A:A:W234 | 4.01 | Yes | No | 0 | 9 | 9 |
| 94 | A:A:I235 | A:A:N279 | 4.25 | No | Yes | 24 | 9 | 8 |
| 95 | A:A:I235 | A:A:L282 | 4.28 | No | No | 24 | 9 | 9 |
| 96 | A:A:Q236 | A:A:W281 | 9.86 | No | Yes | 0 | 8 | 5 |
| 97 | A:A:C237 | B:B:M101 | 3.24 | No | No | 0 | 8 | 9 |
| 98 | A:A:F238 | A:A:V241 | 5.24 | Yes | No | 0 | 9 | 9 |
| 99 | A:A:F238 | B:B:W99 | 14.03 | Yes | Yes | 0 | 9 | 9 |
| 100 | A:A:D240 | B:B:K57 | 4.15 | No | Yes | 0 | 6 | 9 |
| 101 | A:A:I285 | A:A:V241 | 3.07 | No | No | 0 | 7 | 9 |
| 102 | A:A:C379 | A:A:T242 | 3.38 | No | No | 0 | 8 | 8 |
| 103 | A:A:A243 | A:A:I288 | 3.25 | No | No | 0 | 8 | 9 |
| 104 | A:A:I244 | A:A:I285 | 2.94 | No | No | 0 | 8 | 7 |
| 105 | A:A:I245 | A:A:I375 | 2.94 | No | No | 2 | 7 | 9 |
| 106 | A:A:F246 | A:A:V248 | 2.62 | No | Yes | 0 | 9 | 7 |
| 107 | A:A:D272 | A:A:F246 | 8.36 | No | No | 0 | 9 | 9 |
| 108 | A:A:F246 | A:A:L289 | 3.65 | No | Yes | 0 | 9 | 9 |
| 109 | A:A:F290 | A:A:V247 | 2.62 | Yes | No | 0 | 9 | 7 |
| 110 | A:A:N292 | A:A:V247 | 4.43 | No | No | 0 | 9 | 7 |
| 111 | A:A:L291 | A:A:V248 | 4.47 | Yes | Yes | 0 | 8 | 7 |
| 112 | A:A:F345 | A:A:V248 | 5.24 | Yes | Yes | 0 | 8 | 7 |
| 113 | A:A:D249 | A:A:S251 | 4.42 | No | No | 0 | 8 | 9 |
| 114 | A:A:D249 | A:A:D252 | 2.66 | No | Yes | 0 | 8 | 8 |
| 115 | A:A:D249 | A:A:K293 | 8.3 | No | No | 0 | 8 | 9 |
| 116 | A:A:L291 | A:A:S250 | 6.01 | Yes | Yes | 11 | 8 | 6 |
| 117 | A:A:Q294 | A:A:S250 | 5.78 | Yes | Yes | 11 | 6 | 6 |
| 118 | A:A:L297 | A:A:S250 | 3 | Yes | Yes | 11 | 8 | 6 |
| 119 | A:A:I341 | A:A:S250 | 7.74 | No | Yes | 0 | 8 | 6 |
| 120 | A:A:L296 | A:A:S251 | 3 | No | No | 0 | 6 | 9 |
| 121 | A:A:K300 | A:A:S251 | 4.59 | No | No | 0 | 9 | 9 |
| 122 | A:A:D252 | A:A:N264 | 4.04 | Yes | No | 0 | 8 | 9 |
| 123 | A:A:D252 | A:A:R265 | 8.34 | Yes | Yes | 16 | 8 | 9 |
| 124 | A:A:L297 | A:A:Y253 | 3.52 | Yes | No | 0 | 8 | 8 |
| 125 | A:A:I308 | A:A:Y253 | 14.51 | No | No | 0 | 7 | 8 |
| 126 | A:A:Y253 | A:A:Y311 | 2.98 | No | No | 0 | 8 | 6 |
| 127 | A:A:N264 | A:A:Y311 | 5.81 | No | No | 0 | 9 | 6 |
| 128 | A:A:E268 | A:A:R265 | 3.49 | No | Yes | 0 | 9 | 9 |
| 129 | A:A:F312 | A:A:L266 | 4.87 | No | No | 0 | 8 | 8 |
| 130 | A:A:I341 | A:A:L266 | 2.85 | No | No | 0 | 8 | 8 |
| 131 | A:A:L270 | A:A:Q267 | 2.66 | Yes | No | 0 | 6 | 4 |
| 132 | A:A:N271 | A:A:Q267 | 3.96 | No | No | 0 | 5 | 4 |
| 133 | A:A:E344 | A:A:L270 | 3.98 | Yes | Yes | 0 | 5 | 6 |
| 134 | A:A:F345 | A:A:L270 | 8.53 | Yes | Yes | 0 | 8 | 6 |
| 135 | A:A:I348 | A:A:L270 | 4.28 | No | Yes | 0 | 4 | 6 |
| 136 | A:A:D272 | A:A:I276 | 4.2 | No | No | 0 | 9 | 8 |
| 137 | A:A:F273 | A:A:W277 | 4.01 | Yes | Yes | 25 | 9 | 6 |
| 138 | A:A:F273 | A:A:V287 | 2.62 | Yes | No | 25 | 9 | 6 |
| 139 | A:A:F273 | A:A:F345 | 7.5 | Yes | Yes | 0 | 9 | 8 |
| 140 | A:A:F273 | A:A:I348 | 5.02 | Yes | No | 0 | 9 | 4 |
| 141 | A:A:V287 | A:A:W277 | 4.9 | No | Yes | 25 | 6 | 6 |
| 142 | A:A:S349 | A:A:W277 | 9.88 | No | Yes | 0 | 7 | 6 |
| 143 | A:A:H357 | A:A:W277 | 19.04 | No | Yes | 0 | 7 | 6 |
| 144 | A:A:N278 | A:A:S352 | 5.96 | No | No | 0 | 8 | 5 |
| 145 | A:A:N279 | A:A:W281 | 3.39 | Yes | Yes | 0 | 8 | 5 |
| 146 | A:A:L282 | A:A:N279 | 6.87 | No | Yes | 24 | 9 | 8 |
| 147 | A:A:W281 | B:B:R314 | 8 | Yes | Yes | 0 | 5 | 8 |
| 148 | A:A:R283 | A:A:R356 | 4.26 | No | No | 0 | 3 | 2 |
| 149 | A:A:H357 | A:A:R283 | 3.39 | No | No | 0 | 7 | 3 |
| 150 | A:A:I285 | A:A:T284 | 3.04 | No | No | 0 | 7 | 4 |
| 151 | A:A:I382 | A:A:S286 | 6.19 | Yes | No | 0 | 6 | 8 |
| 152 | A:A:R385 | A:A:S286 | 2.64 | Yes | No | 0 | 5 | 8 |
| 153 | A:A:F290 | A:A:I288 | 3.77 | Yes | No | 0 | 9 | 9 |
| 154 | A:A:D378 | A:A:I288 | 11.2 | Yes | No | 0 | 7 | 9 |
| 155 | A:A:L289 | A:A:L291 | 2.77 | Yes | Yes | 0 | 9 | 8 |
| 156 | A:A:F345 | A:A:L289 | 7.31 | Yes | Yes | 0 | 8 | 9 |
| 157 | A:A:C359 | A:A:L289 | 3.17 | No | Yes | 0 | 5 | 9 |
| 158 | A:A:F290 | A:A:T364 | 6.49 | Yes | No | 17 | 9 | 9 |
| 159 | A:A:F290 | A:A:N371 | 6.04 | Yes | Yes | 17 | 9 | 9 |
| 160 | A:A:L291 | A:A:Q294 | 2.66 | Yes | Yes | 11 | 8 | 6 |
| 161 | A:A:F363 | A:A:L291 | 4.87 | No | Yes | 11 | 5 | 8 |
| 162 | A:A:K293 | A:A:N292 | 4.2 | No | No | 0 | 9 | 9 |
| 163 | A:A:D295 | A:A:K293 | 2.77 | No | No | 0 | 9 | 9 |
| 164 | A:A:L297 | A:A:Q294 | 2.66 | Yes | Yes | 11 | 8 | 6 |
| 165 | A:A:K338 | A:A:Q294 | 4.07 | No | Yes | 11 | 5 | 6 |
| 166 | A:A:F363 | A:A:Q294 | 9.37 | No | Yes | 11 | 5 | 6 |
| 167 | A:A:D295 | A:A:L296 | 13.57 | No | No | 0 | 9 | 6 |
| 168 | A:A:C365 | A:A:D295 | 4.67 | No | No | 0 | 8 | 9 |
| 169 | A:A:E299 | A:A:L296 | 5.3 | No | No | 0 | 6 | 6 |
| 170 | A:A:L297 | A:A:V301 | 2.98 | Yes | Yes | 0 | 8 | 7 |
| 171 | A:A:E299 | A:A:K300 | 2.7 | No | No | 0 | 6 | 9 |
| 172 | A:A:K300 | A:A:S306 | 6.12 | No | No | 0 | 9 | 7 |
| 173 | A:A:L302 | A:A:V301 | 2.98 | No | Yes | 0 | 2 | 7 |
| 174 | A:A:D331 | A:A:L302 | 5.43 | No | No | 0 | 4 | 2 |
| 175 | A:A:F315 | A:A:I308 | 5.02 | Yes | No | 0 | 6 | 7 |
| 176 | A:A:E309 | A:A:F315 | 9.33 | No | Yes | 0 | 4 | 6 |
| 177 | A:A:D310 | A:A:Y311 | 8.05 | No | No | 0 | 3 | 6 |
| 178 | A:A:F312 | A:A:F340 | 4.29 | No | Yes | 0 | 8 | 7 |
| 179 | A:A:F315 | A:A:R336 | 14.97 | Yes | No | 0 | 6 | 5 |
| 180 | A:A:F315 | A:A:F340 | 9.65 | Yes | Yes | 0 | 6 | 7 |
| 181 | A:A:P321 | A:A:Y318 | 5.56 | No | No | 0 | 5 | 6 |
| 182 | A:A:F340 | A:A:Y318 | 4.13 | Yes | No | 15 | 7 | 6 |
| 183 | A:A:D343 | A:A:Y318 | 8.05 | Yes | No | 15 | 3 | 6 |
| 184 | A:A:P321 | A:A:T320 | 5.25 | No | No | 0 | 5 | 1 |
| 185 | A:A:P321 | A:A:Y339 | 6.95 | No | No | 0 | 5 | 3 |
| 186 | A:A:A324 | A:A:P326 | 3.74 | No | No | 0 | 3 | 1 |
| 187 | A:A:A324 | A:A:Y339 | 4 | No | No | 0 | 3 | 3 |
| 188 | A:A:P326 | A:A:T335 | 5.25 | No | No | 0 | 1 | 4 |
| 189 | A:A:E327 | A:A:P328 | 3.14 | No | No | 0 | 4 | 1 |
| 190 | A:A:E327 | A:A:E330 | 12.69 | No | No | 0 | 4 | 3 |
| 191 | A:A:D331 | A:A:E330 | 3.9 | No | No | 0 | 4 | 3 |
| 192 | A:A:E330 | A:A:V334 | 12.84 | No | No | 0 | 3 | 4 |
| 193 | A:A:F363 | A:A:K338 | 11.17 | No | No | 11 | 5 | 5 |
| 194 | A:A:R342 | A:A:Y339 | 6.17 | No | No | 0 | 4 | 3 |
| 195 | A:A:D343 | A:A:F340 | 7.17 | Yes | Yes | 15 | 3 | 7 |
| 196 | A:A:E344 | A:A:F340 | 5.83 | Yes | Yes | 15 | 5 | 7 |
| 197 | A:A:L346 | A:A:R342 | 4.86 | No | No | 27 | 4 | 4 |
| 198 | A:A:P361 | A:A:R342 | 7.21 | No | No | 27 | 5 | 4 |
| 199 | A:A:D343 | A:A:E344 | 6.5 | Yes | Yes | 15 | 3 | 5 |
| 200 | A:A:D343 | A:A:R347 | 3.57 | Yes | No | 15 | 3 | 4 |
| 201 | A:A:E344 | A:A:R347 | 12.79 | Yes | No | 15 | 5 | 4 |
| 202 | A:A:C359 | A:A:L346 | 3.17 | No | No | 0 | 5 | 4 |
| 203 | A:A:L346 | A:A:P361 | 4.93 | No | No | 27 | 4 | 5 |
| 204 | A:A:C359 | A:A:S349 | 3.44 | No | No | 0 | 5 | 7 |
| 205 | A:A:G353 | A:A:S352 | 3.71 | No | No | 0 | 4 | 5 |
| 206 | A:A:G353 | A:A:H357 | 3.18 | No | No | 0 | 4 | 7 |
| 207 | A:A:D354 | A:A:G355 | 6.71 | No | No | 0 | 3 | 2 |
| 208 | A:A:R356 | R:R:E291 | 3.49 | No | No | 0 | 2 | 6 |
| 209 | A:A:Y358 | R:R:G217 | 4.35 | No | No | 0 | 4 | 4 |
| 210 | A:A:D378 | A:A:Y360 | 11.49 | Yes | Yes | 26 | 7 | 8 |
| 211 | A:A:D381 | A:A:Y360 | 11.49 | No | Yes | 0 | 8 | 8 |
| 212 | A:A:I382 | A:A:Y360 | 4.84 | Yes | Yes | 26 | 6 | 8 |
| 213 | A:A:R385 | A:A:Y360 | 4.12 | Yes | Yes | 0 | 5 | 8 |
| 214 | A:A:H362 | A:A:R374 | 12.41 | No | Yes | 0 | 9 | 4 |
| 215 | A:A:N371 | A:A:T364 | 7.31 | Yes | No | 17 | 9 | 9 |
| 216 | A:A:R374 | A:A:T364 | 3.88 | Yes | No | 17 | 4 | 9 |
| 217 | A:A:S366 | A:A:V367 | 3.23 | No | No | 0 | 9 | 9 |
| 218 | A:A:D368 | A:A:E370 | 5.2 | No | No | 0 | 9 | 4 |
| 219 | A:A:D368 | A:A:N371 | 12.12 | No | Yes | 0 | 9 | 9 |
| 220 | A:A:E370 | A:A:R374 | 9.3 | No | Yes | 0 | 4 | 4 |
| 221 | A:A:N371 | A:A:R374 | 4.82 | Yes | Yes | 17 | 9 | 4 |
| 222 | A:A:N377 | A:A:R373 | 4.82 | No | No | 0 | 4 | 5 |
| 223 | A:A:F376 | R:R:F127 | 7.5 | Yes | No | 2 | 8 | 5 |
| 224 | A:A:C379 | A:A:D378 | 3.11 | No | Yes | 0 | 8 | 7 |
| 225 | A:A:D378 | A:A:I382 | 8.4 | Yes | Yes | 26 | 7 | 6 |
| 226 | A:A:Q384 | A:A:R380 | 3.5 | No | No | 0 | 6 | 7 |
| 227 | A:A:R380 | R:R:P126 | 4.32 | No | No | 0 | 7 | 8 |
| 228 | A:A:D381 | R:R:S215 | 5.89 | No | No | 0 | 8 | 5 |
| 229 | A:A:D381 | R:R:H216 | 3.78 | No | No | 0 | 8 | 3 |
| 230 | A:A:H387 | A:A:I383 | 6.63 | Yes | No | 1 | 8 | 8 |
| 231 | A:A:I383 | R:R:P126 | 3.39 | No | No | 1 | 8 | 8 |
| 232 | A:A:Q384 | R:R:A211 | 3.03 | No | No | 0 | 6 | 5 |
| 233 | A:A:R385 | A:A:R389 | 3.2 | Yes | No | 0 | 5 | 4 |
| 234 | A:A:R385 | R:R:G217 | 3 | Yes | No | 0 | 5 | 4 |
| 235 | A:A:H387 | R:R:A122 | 4.39 | Yes | No | 0 | 8 | 8 |
| 236 | A:A:H387 | R:R:P126 | 3.05 | Yes | No | 1 | 8 | 8 |
| 237 | A:A:H387 | R:R:R133 | 4.51 | Yes | No | 1 | 8 | 7 |
| 238 | A:A:L388 | A:A:L394 | 5.54 | No | No | 0 | 8 | 8 |
| 239 | A:A:L388 | R:R:V123 | 4.47 | No | No | 0 | 8 | 8 |
| 240 | A:A:L394 | A:A:R389 | 3.64 | No | No | 0 | 8 | 4 |
| 241 | A:A:Q390 | A:A:Y391 | 4.51 | No | Yes | 0 | 4 | 4 |
| 242 | A:A:Q390 | R:R:N54 | 9.24 | No | No | 0 | 4 | 7 |
| 243 | A:A:Y391 | R:R:L56 | 9.38 | Yes | No | 1 | 4 | 7 |
| 244 | A:A:Y391 | R:R:D118 | 10.34 | Yes | Yes | 1 | 4 | 8 |
| 245 | A:A:Y391 | R:R:A122 | 9.34 | Yes | No | 0 | 4 | 8 |
| 246 | A:A:Y391 | R:R:R133 | 6.17 | Yes | No | 1 | 4 | 7 |
| 247 | A:A:E392 | R:R:Q49 | 3.82 | Yes | Yes | 28 | 6 | 4 |
| 248 | A:A:E392 | R:R:L60 | 2.65 | Yes | No | 0 | 6 | 7 |
| 249 | A:A:E392 | R:R:S290 | 7.19 | Yes | No | 0 | 6 | 8 |
| 250 | A:A:E392 | R:R:T292 | 4.23 | Yes | No | 28 | 6 | 6 |
| 251 | A:A:L393 | R:R:R119 | 6.07 | No | Yes | 0 | 8 | 9 |
| 252 | A:A:L393 | R:R:I226 | 2.85 | No | No | 0 | 8 | 7 |
| 253 | A:A:L394 | R:R:I226 | 2.85 | No | No | 0 | 8 | 7 |
| 254 | B:B:D5 | B:B:E3 | 7.8 | No | No | 0 | 1 | 5 |
| 255 | B:B:E3 | B:B:Q6 | 12.74 | No | No | 0 | 5 | 1 |
| 256 | B:B:E10 | B:B:Q6 | 3.82 | No | No | 0 | 8 | 1 |
| 257 | B:B:E10 | B:B:L7 | 2.65 | No | No | 0 | 8 | 8 |
| 258 | B:B:L7 | G:G:V16 | 4.47 | No | No | 0 | 8 | 7 |
| 259 | B:B:L14 | G:G:K20 | 2.82 | No | No | 0 | 8 | 6 |
| 260 | B:B:K15 | G:G:L19 | 7.05 | No | No | 0 | 6 | 9 |
| 261 | B:B:I18 | B:B:Q17 | 2.74 | No | No | 0 | 7 | 4 |
| 262 | B:B:I18 | G:G:A23 | 3.25 | No | No | 0 | 7 | 8 |
| 263 | B:B:D258 | B:B:R22 | 11.91 | No | Yes | 12 | 7 | 6 |
| 264 | B:B:Q259 | B:B:R22 | 3.5 | No | Yes | 12 | 6 | 6 |
| 265 | B:B:R22 | G:G:R27 | 6.4 | Yes | No | 12 | 6 | 8 |
| 266 | B:B:C25 | G:G:R27 | 13.93 | No | No | 0 | 3 | 8 |
| 267 | B:B:S31 | B:B:T29 | 3.2 | No | No | 0 | 1 | 3 |
| 268 | B:B:Q32 | B:B:T29 | 5.67 | No | No | 0 | 1 | 3 |
| 269 | B:B:L30 | B:B:T34 | 5.9 | No | No | 0 | 5 | 5 |
| 270 | B:B:L30 | B:B:M262 | 8.48 | No | No | 0 | 5 | 4 |
| 271 | B:B:M262 | B:B:S31 | 3.07 | No | No | 0 | 4 | 1 |
| 272 | B:B:I33 | G:G:A34 | 3.25 | No | No | 0 | 3 | 6 |
| 273 | B:B:N35 | B:B:N36 | 4.09 | No | No | 0 | 1 | 1 |
| 274 | B:B:I37 | B:B:K301 | 7.27 | No | No | 0 | 2 | 5 |
| 275 | B:B:I37 | G:G:M38 | 2.92 | No | No | 0 | 2 | 4 |
| 276 | B:B:D38 | B:B:P39 | 9.66 | No | No | 0 | 1 | 1 |
| 277 | B:B:R283 | B:B:V40 | 9.15 | Yes | No | 19 | 9 | 3 |
| 278 | B:B:D298 | B:B:V40 | 7.3 | No | No | 19 | 9 | 3 |
| 279 | B:B:I43 | B:B:M45 | 2.92 | No | No | 0 | 3 | 4 |
| 280 | B:B:L308 | B:B:M45 | 5.65 | No | No | 0 | 7 | 4 |
| 281 | B:B:M45 | G:G:L50 | 2.83 | No | No | 0 | 4 | 9 |
| 282 | B:B:K337 | B:B:T47 | 3 | Yes | No | 0 | 6 | 3 |
| 283 | B:B:L51 | B:B:W82 | 18.22 | No | No | 0 | 9 | 9 |
| 284 | B:B:L51 | B:B:T87 | 2.95 | No | No | 0 | 9 | 5 |
| 285 | B:B:L336 | B:B:L51 | 5.54 | No | No | 0 | 7 | 9 |
| 286 | B:B:H54 | B:B:I58 | 7.95 | Yes | No | 8 | 9 | 9 |
| 287 | B:B:H54 | B:B:S72 | 5.58 | Yes | No | 0 | 9 | 9 |
| 288 | B:B:H54 | B:B:S74 | 9.76 | Yes | Yes | 8 | 9 | 9 |
| 289 | B:B:H54 | B:B:I80 | 5.3 | Yes | No | 8 | 9 | 8 |
| 290 | B:B:D76 | B:B:L55 | 10.86 | No | No | 0 | 9 | 6 |
| 291 | B:B:K57 | B:B:Y59 | 5.97 | Yes | No | 18 | 9 | 8 |
| 292 | B:B:K57 | B:B:Q75 | 4.07 | Yes | No | 18 | 9 | 9 |
| 293 | B:B:K57 | B:B:W332 | 16.24 | Yes | Yes | 18 | 9 | 9 |
| 294 | B:B:I58 | B:B:S74 | 3.1 | No | Yes | 8 | 9 | 9 |
| 295 | B:B:G330 | B:B:I58 | 3.53 | No | No | 0 | 5 | 9 |
| 296 | B:B:Q75 | B:B:Y59 | 9.02 | No | No | 18 | 9 | 8 |
| 297 | B:B:W332 | B:B:Y59 | 14.47 | Yes | No | 18 | 9 | 8 |
| 298 | B:B:A60 | B:B:C103 | 3.61 | No | No | 0 | 7 | 8 |
| 299 | B:B:L70 | B:B:M61 | 4.24 | No | Yes | 0 | 5 | 6 |
| 300 | B:B:C317 | B:B:M61 | 4.86 | No | Yes | 0 | 7 | 6 |
| 301 | B:B:A328 | B:B:M61 | 3.22 | No | Yes | 0 | 5 | 6 |
| 302 | B:B:H62 | B:B:R150 | 4.51 | No | No | 0 | 6 | 6 |
| 303 | B:B:L70 | B:B:W63 | 6.83 | No | No | 0 | 5 | 7 |
| 304 | B:B:S84 | B:B:W63 | 3.71 | No | No | 4 | 5 | 7 |
| 305 | B:B:W63 | G:G:F61 | 3.01 | No | Yes | 4 | 7 | 8 |
| 306 | B:B:G64 | B:B:Y105 | 4.35 | No | Yes | 0 | 5 | 6 |
| 307 | B:B:D322 | B:B:T65 | 2.89 | No | No | 0 | 1 | 1 |
| 308 | B:B:D66 | B:B:L69 | 12.21 | No | No | 0 | 8 | 5 |
| 309 | B:B:S67 | B:B:T321 | 4.8 | No | No | 29 | 5 | 7 |
| 310 | B:B:D323 | B:B:S67 | 11.78 | No | No | 29 | 7 | 5 |
| 311 | B:B:D83 | B:B:R68 | 9.53 | No | No | 0 | 8 | 5 |
| 312 | B:B:R68 | B:B:Y85 | 20.58 | No | No | 0 | 5 | 4 |
| 313 | B:B:L69 | B:B:Y105 | 3.52 | No | Yes | 0 | 5 | 6 |
| 314 | B:B:L79 | B:B:V71 | 2.98 | Yes | No | 0 | 7 | 8 |
| 315 | B:B:V71 | B:B:Y105 | 3.79 | No | Yes | 0 | 8 | 6 |
| 316 | B:B:A73 | B:B:V100 | 3.39 | No | No | 0 | 9 | 9 |
| 317 | B:B:D76 | B:B:S74 | 10.31 | No | Yes | 0 | 9 | 9 |
| 318 | B:B:Q75 | B:B:W99 | 4.38 | No | Yes | 0 | 9 | 9 |
| 319 | B:B:D76 | B:B:K78 | 9.68 | No | No | 0 | 9 | 8 |
| 320 | B:B:G77 | B:B:L95 | 5.13 | No | Yes | 0 | 8 | 8 |
| 321 | B:B:L79 | B:B:L95 | 4.15 | Yes | Yes | 20 | 7 | 8 |
| 322 | B:B:C103 | B:B:L79 | 3.17 | No | Yes | 0 | 8 | 7 |
| 323 | B:B:C114 | B:B:L79 | 3.17 | No | Yes | 20 | 8 | 7 |
| 324 | B:B:I80 | B:B:W82 | 10.57 | No | No | 8 | 8 | 9 |
| 325 | B:B:I80 | B:B:K89 | 2.91 | No | Yes | 8 | 8 | 9 |
| 326 | B:B:I81 | B:B:V90 | 3.07 | No | No | 22 | 7 | 5 |
| 327 | B:B:H91 | B:B:I81 | 5.3 | No | No | 22 | 5 | 7 |
| 328 | B:B:I81 | B:B:L126 | 2.85 | No | No | 0 | 7 | 5 |
| 329 | B:B:K89 | B:B:W82 | 4.64 | Yes | No | 8 | 9 | 9 |
| 330 | B:B:D83 | B:B:T86 | 7.23 | No | No | 0 | 8 | 6 |
| 331 | B:B:I338 | B:B:S84 | 3.1 | No | No | 4 | 5 | 5 |
| 332 | B:B:S84 | G:G:F61 | 6.61 | No | Yes | 4 | 5 | 8 |
| 333 | B:B:Y85 | G:G:P60 | 9.74 | No | Yes | 4 | 4 | 9 |
| 334 | B:B:Y85 | G:G:F61 | 7.22 | No | Yes | 4 | 4 | 8 |
| 335 | B:B:N88 | B:B:T86 | 8.77 | Yes | No | 0 | 7 | 6 |
| 336 | B:B:H91 | B:B:V90 | 5.54 | No | No | 22 | 5 | 5 |
| 337 | B:B:I93 | B:B:P94 | 3.39 | No | No | 0 | 7 | 5 |
| 338 | B:B:I93 | B:B:Y124 | 3.63 | No | Yes | 0 | 7 | 6 |
| 339 | B:B:I93 | B:B:V133 | 4.61 | No | No | 0 | 7 | 4 |
| 340 | B:B:L95 | B:B:V100 | 4.47 | Yes | No | 0 | 8 | 9 |
| 341 | B:B:C114 | B:B:L95 | 4.76 | No | Yes | 20 | 8 | 8 |
| 342 | B:B:L95 | B:B:Y124 | 3.52 | Yes | Yes | 20 | 8 | 6 |
| 343 | B:B:R96 | B:B:S97 | 2.64 | No | No | 21 | 6 | 8 |
| 344 | B:B:D118 | B:B:R96 | 7.15 | No | No | 21 | 9 | 6 |
| 345 | B:B:I120 | B:B:R96 | 3.76 | Yes | No | 21 | 6 | 6 |
| 346 | B:B:D118 | B:B:S97 | 8.83 | No | No | 21 | 9 | 8 |
| 347 | B:B:S98 | B:B:W99 | 9.88 | No | Yes | 0 | 8 | 9 |
| 348 | B:B:G116 | B:B:M101 | 3.49 | No | No | 0 | 9 | 9 |
| 349 | B:B:M101 | B:B:Y145 | 3.59 | No | Yes | 0 | 9 | 8 |
| 350 | B:B:C148 | B:B:T102 | 3.38 | No | No | 0 | 6 | 8 |
| 351 | B:B:C149 | B:B:T102 | 3.38 | No | No | 0 | 8 | 8 |
| 352 | B:B:A106 | B:B:F151 | 2.77 | No | Yes | 0 | 6 | 9 |
| 353 | B:B:G109 | B:B:S108 | 3.71 | No | No | 0 | 5 | 6 |
| 354 | B:B:N110 | B:B:S108 | 8.94 | No | No | 0 | 4 | 6 |
| 355 | B:B:D154 | B:B:S108 | 8.83 | No | No | 0 | 6 | 6 |
| 356 | B:B:N110 | B:B:Y111 | 3.49 | No | No | 0 | 4 | 4 |
| 357 | B:B:K127 | B:B:N110 | 4.2 | No | No | 0 | 4 | 4 |
| 358 | B:B:N125 | B:B:Y111 | 8.14 | No | No | 0 | 4 | 4 |
| 359 | B:B:L126 | B:B:V112 | 4.47 | No | No | 0 | 5 | 8 |
| 360 | B:B:A113 | B:B:F151 | 2.77 | No | Yes | 0 | 9 | 9 |
| 361 | B:B:C114 | B:B:Y124 | 2.69 | No | Yes | 20 | 8 | 6 |
| 362 | B:B:D118 | B:B:I120 | 4.2 | No | Yes | 21 | 9 | 6 |
| 363 | B:B:E138 | B:B:I120 | 2.73 | No | Yes | 0 | 6 | 6 |
| 364 | B:B:C121 | B:B:L146 | 3.17 | No | No | 0 | 8 | 7 |
| 365 | B:B:C121 | B:B:C149 | 3.64 | No | No | 0 | 8 | 8 |
| 366 | B:B:C121 | B:B:T159 | 3.38 | No | No | 0 | 8 | 9 |
| 367 | B:B:S122 | B:B:Y124 | 5.09 | No | Yes | 0 | 8 | 6 |
| 368 | B:B:F151 | B:B:I123 | 5.02 | Yes | Yes | 0 | 9 | 6 |
| 369 | B:B:I123 | B:B:I171 | 4.42 | Yes | No | 0 | 6 | 6 |
| 370 | B:B:V135 | B:B:Y124 | 5.05 | No | Yes | 0 | 4 | 6 |
| 371 | B:B:N125 | B:B:T128 | 5.85 | No | No | 0 | 4 | 3 |
| 372 | B:B:E130 | B:B:T128 | 2.82 | No | No | 0 | 3 | 3 |
| 373 | B:B:E130 | B:B:R129 | 3.49 | No | No | 0 | 3 | 3 |
| 374 | B:B:E138 | B:B:V135 | 2.85 | No | No | 0 | 6 | 4 |
| 375 | B:B:L139 | B:B:W169 | 11.39 | No | Yes | 0 | 9 | 8 |
| 376 | B:B:H142 | B:B:T159 | 5.48 | Yes | No | 9 | 9 | 9 |
| 377 | B:B:H142 | B:B:S161 | 15.34 | Yes | No | 0 | 9 | 9 |
| 378 | B:B:H142 | B:B:T165 | 2.74 | Yes | Yes | 9 | 9 | 7 |
| 379 | B:B:A167 | B:B:H142 | 2.93 | No | Yes | 9 | 4 | 9 |
| 380 | B:B:H142 | B:B:W169 | 3.17 | Yes | Yes | 9 | 9 | 8 |
| 381 | B:B:D163 | B:B:T143 | 7.23 | No | No | 0 | 9 | 5 |
| 382 | B:B:G162 | B:B:Y145 | 5.79 | No | Yes | 0 | 9 | 8 |
| 383 | B:B:D186 | B:B:Y145 | 6.9 | Yes | Yes | 0 | 9 | 8 |
| 384 | B:B:S147 | B:B:S160 | 4.89 | No | No | 0 | 9 | 6 |
| 385 | B:B:M188 | B:B:S147 | 3.07 | Yes | No | 0 | 8 | 9 |
| 386 | B:B:C148 | B:B:R150 | 6.96 | No | No | 0 | 6 | 6 |
| 387 | B:B:C148 | B:B:L190 | 4.76 | No | No | 0 | 6 | 5 |
| 388 | B:B:F151 | B:B:I157 | 10.05 | Yes | No | 0 | 9 | 7 |
| 389 | B:B:L152 | B:B:Q156 | 3.99 | Yes | No | 0 | 3 | 5 |
| 390 | B:B:L152 | B:B:V158 | 2.98 | Yes | No | 0 | 3 | 5 |
| 391 | B:B:L152 | B:B:L192 | 5.54 | Yes | No | 0 | 3 | 5 |
| 392 | B:B:L152 | B:B:T196 | 2.95 | Yes | No | 0 | 3 | 1 |
| 393 | B:B:D153 | B:B:N155 | 4.04 | No | No | 0 | 5 | 3 |
| 394 | B:B:D153 | B:B:Q156 | 14.36 | No | No | 0 | 5 | 5 |
| 395 | B:B:D170 | B:B:N155 | 6.73 | No | No | 0 | 9 | 3 |
| 396 | B:B:I171 | B:B:N155 | 2.83 | No | No | 0 | 6 | 3 |
| 397 | B:B:L168 | B:B:Q156 | 5.32 | No | No | 0 | 6 | 5 |
| 398 | B:B:I157 | B:B:W169 | 3.52 | No | Yes | 0 | 7 | 8 |
| 399 | B:B:F199 | B:B:V158 | 3.93 | No | No | 0 | 9 | 5 |
| 400 | B:B:T159 | B:B:W169 | 7.28 | No | Yes | 9 | 9 | 8 |
| 401 | B:B:S160 | B:B:V187 | 6.46 | No | Yes | 0 | 6 | 9 |
| 402 | B:B:L190 | B:B:S160 | 3 | No | No | 0 | 5 | 6 |
| 403 | B:B:G162 | B:B:S161 | 3.71 | No | No | 0 | 9 | 9 |
| 404 | B:B:D163 | B:B:S161 | 7.36 | No | No | 0 | 9 | 9 |
| 405 | B:B:D163 | B:B:T165 | 5.78 | No | Yes | 0 | 9 | 7 |
| 406 | B:B:C166 | B:B:F180 | 2.79 | No | Yes | 0 | 8 | 7 |
| 407 | B:B:C166 | B:B:V187 | 3.42 | No | Yes | 0 | 8 | 9 |
| 408 | B:B:A167 | B:B:W169 | 3.89 | No | Yes | 9 | 4 | 8 |
| 409 | B:B:A167 | B:B:Q176 | 3.03 | No | No | 9 | 4 | 4 |
| 410 | B:B:L168 | B:B:T177 | 4.42 | No | No | 0 | 6 | 4 |
| 411 | B:B:Q176 | B:B:W169 | 8.76 | No | Yes | 9 | 4 | 8 |
| 412 | B:B:D170 | B:B:T173 | 4.34 | No | No | 0 | 9 | 5 |
| 413 | B:B:E172 | B:B:T173 | 2.82 | No | No | 0 | 6 | 5 |
| 414 | B:B:T177 | B:B:T178 | 4.71 | No | No | 0 | 4 | 4 |
| 415 | B:B:F180 | B:B:F199 | 7.5 | Yes | No | 10 | 7 | 9 |
| 416 | B:B:F180 | B:B:W211 | 13.03 | Yes | Yes | 10 | 7 | 8 |
| 417 | B:B:F180 | B:B:G216 | 3.01 | Yes | No | 0 | 7 | 4 |
| 418 | B:B:A203 | B:B:H183 | 5.85 | No | Yes | 0 | 8 | 9 |
| 419 | B:B:D205 | B:B:H183 | 3.78 | No | Yes | 10 | 9 | 9 |
| 420 | B:B:H183 | B:B:S207 | 2.79 | Yes | No | 10 | 9 | 5 |
| 421 | B:B:H183 | B:B:K209 | 5.24 | Yes | Yes | 10 | 9 | 6 |
| 422 | B:B:D205 | B:B:T184 | 8.67 | No | No | 0 | 9 | 3 |
| 423 | B:B:C204 | B:B:D186 | 3.11 | Yes | Yes | 7 | 7 | 9 |
| 424 | B:B:S201 | B:B:V187 | 3.23 | No | Yes | 0 | 9 | 9 |
| 425 | B:B:A203 | B:B:V187 | 3.39 | No | Yes | 0 | 8 | 9 |
| 426 | B:B:C204 | B:B:M188 | 3.24 | Yes | Yes | 7 | 7 | 8 |
| 427 | B:B:M188 | B:B:N230 | 2.8 | Yes | No | 7 | 8 | 9 |
| 428 | B:B:I232 | B:B:S189 | 3.1 | Yes | No | 0 | 8 | 7 |
| 429 | B:B:I232 | B:B:S191 | 4.64 | Yes | No | 0 | 8 | 8 |
| 430 | B:B:F234 | B:B:S191 | 7.93 | No | No | 0 | 5 | 8 |
| 431 | B:B:A193 | B:B:F234 | 2.77 | No | No | 0 | 4 | 5 |
| 432 | B:B:D195 | B:B:R197 | 4.76 | No | No | 0 | 5 | 5 |
| 433 | B:B:R197 | B:B:R214 | 7.46 | No | No | 0 | 5 | 9 |
| 434 | B:B:L198 | B:B:L210 | 5.54 | No | No | 0 | 3 | 5 |
| 435 | B:B:F199 | B:B:W211 | 8.02 | No | Yes | 10 | 9 | 8 |
| 436 | B:B:L210 | B:B:V200 | 4.47 | No | No | 0 | 5 | 6 |
| 437 | B:B:I232 | B:B:V200 | 4.61 | Yes | No | 0 | 8 | 6 |
| 438 | B:B:F234 | B:B:V200 | 9.18 | No | No | 0 | 5 | 6 |
| 439 | B:B:C204 | B:B:D228 | 4.67 | Yes | Yes | 7 | 7 | 9 |
| 440 | B:B:D205 | B:B:S207 | 7.36 | No | No | 10 | 9 | 5 |
| 441 | B:B:K209 | B:B:W211 | 4.64 | Yes | Yes | 10 | 6 | 8 |
| 442 | B:B:C218 | B:B:K209 | 4.85 | No | Yes | 10 | 5 | 6 |
| 443 | B:B:K209 | B:B:T221 | 9.01 | Yes | No | 0 | 6 | 7 |
| 444 | B:B:L210 | B:B:L255 | 4.15 | No | No | 0 | 5 | 6 |
| 445 | B:B:C218 | B:B:W211 | 7.84 | No | Yes | 10 | 5 | 8 |
| 446 | B:B:D212 | B:B:E215 | 3.9 | No | No | 0 | 9 | 3 |
| 447 | B:B:D212 | B:B:R219 | 10.72 | No | No | 0 | 9 | 5 |
| 448 | B:B:M217 | G:G:Q18 | 6.8 | No | No | 0 | 3 | 9 |
| 449 | B:B:M217 | G:G:M21 | 4.33 | No | No | 0 | 3 | 1 |
| 450 | B:B:C218 | G:G:Q18 | 10.68 | No | No | 0 | 5 | 9 |
| 451 | B:B:F222 | B:B:Q220 | 8.2 | No | No | 12 | 8 | 7 |
| 452 | B:B:L255 | B:B:Q220 | 3.99 | No | No | 0 | 6 | 7 |
| 453 | B:B:D258 | B:B:Q220 | 3.92 | No | No | 12 | 7 | 7 |
| 454 | B:B:T221 | G:G:E22 | 4.23 | No | No | 0 | 7 | 9 |
| 455 | B:B:F222 | B:B:F241 | 5.36 | No | No | 0 | 8 | 6 |
| 456 | B:B:D258 | B:B:F222 | 7.17 | No | No | 12 | 7 | 8 |
| 457 | B:B:F253 | B:B:G224 | 3.01 | Yes | No | 13 | 6 | 6 |
| 458 | B:B:E260 | B:B:G224 | 3.27 | No | No | 13 | 6 | 6 |
| 459 | B:B:H225 | B:B:I229 | 9.28 | Yes | No | 13 | 9 | 7 |
| 460 | B:B:H225 | B:B:T243 | 9.58 | Yes | Yes | 13 | 9 | 8 |
| 461 | B:B:H225 | B:B:S245 | 12.55 | Yes | No | 0 | 9 | 9 |
| 462 | B:B:H225 | B:B:R251 | 9.03 | Yes | Yes | 0 | 9 | 8 |
| 463 | B:B:D228 | B:B:S227 | 5.89 | Yes | No | 0 | 9 | 6 |
| 464 | B:B:D228 | B:B:N230 | 2.69 | Yes | No | 7 | 9 | 9 |
| 465 | B:B:D228 | B:B:D246 | 5.32 | Yes | No | 0 | 9 | 9 |
| 466 | B:B:I229 | B:B:T243 | 9.12 | No | Yes | 13 | 7 | 8 |
| 467 | B:B:A231 | B:B:V276 | 3.39 | No | Yes | 0 | 5 | 6 |
| 468 | B:B:F241 | B:B:I232 | 5.02 | No | Yes | 0 | 6 | 8 |
| 469 | B:B:C233 | B:B:V276 | 3.42 | No | Yes | 0 | 3 | 6 |
| 470 | B:B:C233 | B:B:F278 | 2.79 | No | Yes | 0 | 3 | 7 |
| 471 | B:B:F235 | B:B:P236 | 13 | Yes | Yes | 3 | 6 | 7 |
| 472 | B:B:A240 | B:B:F235 | 2.77 | No | Yes | 0 | 6 | 6 |
| 473 | B:B:F235 | B:B:F278 | 7.5 | Yes | Yes | 3 | 6 | 7 |
| 474 | B:B:F235 | B:B:G282 | 4.52 | Yes | No | 3 | 6 | 9 |
| 475 | B:B:F235 | G:G:Y40 | 4.13 | Yes | No | 3 | 6 | 6 |
| 476 | B:B:F278 | B:B:P236 | 2.89 | Yes | Yes | 3 | 7 | 7 |
| 477 | B:B:G282 | B:B:P236 | 4.06 | No | Yes | 3 | 9 | 7 |
| 478 | B:B:P236 | G:G:Y40 | 5.56 | Yes | No | 3 | 7 | 6 |
| 479 | B:B:N237 | B:B:N239 | 12.26 | No | No | 0 | 5 | 2 |
| 480 | B:B:N237 | G:G:D36 | 2.69 | No | No | 0 | 5 | 5 |
| 481 | B:B:N239 | B:B:R256 | 9.64 | No | No | 0 | 2 | 9 |
| 482 | B:B:F241 | B:B:F253 | 9.65 | No | Yes | 0 | 6 | 6 |
| 483 | B:B:A242 | B:B:F278 | 2.77 | No | Yes | 0 | 4 | 7 |
| 484 | B:B:G244 | B:B:T243 | 3.64 | No | Yes | 0 | 5 | 8 |
| 485 | B:B:F253 | B:B:T243 | 3.89 | Yes | Yes | 13 | 6 | 8 |
| 486 | B:B:G244 | B:B:I273 | 5.29 | No | Yes | 0 | 5 | 6 |
| 487 | B:B:D247 | B:B:T249 | 7.23 | No | No | 0 | 9 | 6 |
| 488 | B:B:R251 | B:B:T249 | 3.88 | Yes | No | 0 | 8 | 6 |
| 489 | B:B:C250 | B:B:Y264 | 5.38 | No | Yes | 0 | 8 | 5 |
| 490 | B:B:C250 | B:B:I273 | 3.27 | No | Yes | 0 | 8 | 6 |
| 491 | B:B:E260 | B:B:R251 | 15.12 | No | Yes | 0 | 6 | 8 |
| 492 | B:B:R251 | B:B:T263 | 6.47 | Yes | No | 0 | 8 | 1 |
| 493 | B:B:L252 | B:B:L261 | 2.77 | Yes | No | 0 | 7 | 5 |
| 494 | B:B:E260 | B:B:F253 | 7 | No | Yes | 13 | 6 | 6 |
| 495 | B:B:A257 | B:B:D254 | 4.63 | No | No | 0 | 7 | 9 |
| 496 | B:B:D254 | B:B:L261 | 13.57 | No | No | 0 | 9 | 5 |
| 497 | B:B:D254 | G:G:A33 | 3.09 | No | No | 0 | 9 | 7 |
| 498 | B:B:R256 | G:G:I28 | 8.77 | No | No | 0 | 9 | 4 |
| 499 | B:B:R256 | G:G:D36 | 4.76 | No | No | 0 | 9 | 5 |
| 500 | B:B:Q259 | G:G:R27 | 14.02 | No | No | 12 | 6 | 8 |
| 501 | B:B:L285 | B:B:Y264 | 3.52 | Yes | Yes | 3 | 6 | 5 |
| 502 | B:B:W297 | B:B:Y264 | 11.58 | No | Yes | 3 | 8 | 5 |
| 503 | B:B:A302 | B:B:Y264 | 2.67 | No | Yes | 0 | 2 | 5 |
| 504 | B:B:H266 | B:B:I269 | 2.65 | No | No | 0 | 4 | 4 |
| 505 | B:B:H266 | B:B:R304 | 5.64 | No | Yes | 0 | 4 | 5 |
| 506 | B:B:C271 | B:B:Y289 | 4.03 | No | Yes | 3 | 5 | 7 |
| 507 | B:B:C271 | B:B:D290 | 6.22 | No | No | 0 | 5 | 6 |
| 508 | B:B:C271 | B:B:D291 | 7.78 | No | No | 3 | 5 | 8 |
| 509 | B:B:D290 | B:B:G272 | 3.35 | No | No | 0 | 6 | 4 |
| 510 | B:B:I273 | B:B:V276 | 4.61 | Yes | Yes | 0 | 6 | 6 |
| 511 | B:B:A287 | B:B:I273 | 3.25 | No | Yes | 0 | 6 | 6 |
| 512 | B:B:S275 | B:B:T274 | 3.2 | No | No | 0 | 8 | 8 |
| 513 | B:B:R314 | B:B:T274 | 5.17 | Yes | No | 0 | 8 | 8 |
| 514 | B:B:L285 | B:B:V276 | 2.98 | Yes | Yes | 0 | 6 | 6 |
| 515 | B:B:L318 | B:B:S277 | 6.01 | No | No | 0 | 6 | 5 |
| 516 | B:B:F278 | B:B:L285 | 3.65 | Yes | Yes | 3 | 7 | 6 |
| 517 | B:B:S281 | G:G:D48 | 11.78 | No | No | 0 | 9 | 9 |
| 518 | B:B:D298 | B:B:R283 | 15.48 | No | Yes | 19 | 9 | 9 |
| 519 | B:B:L300 | B:B:R283 | 6.07 | No | Yes | 0 | 6 | 9 |
| 520 | B:B:K301 | B:B:R283 | 7.43 | No | Yes | 19 | 5 | 9 |
| 521 | B:B:R283 | G:G:L51 | 6.07 | Yes | Yes | 0 | 9 | 6 |
| 522 | B:B:L284 | B:B:V296 | 4.47 | No | No | 0 | 5 | 5 |
| 523 | B:B:L284 | G:G:L51 | 2.77 | No | Yes | 0 | 5 | 6 |
| 524 | B:B:L285 | B:B:W297 | 3.42 | Yes | No | 3 | 6 | 8 |
| 525 | B:B:L286 | B:B:V327 | 2.98 | No | No | 0 | 7 | 6 |
| 526 | B:B:A287 | B:B:Y289 | 4 | No | Yes | 0 | 6 | 7 |
| 527 | B:B:D291 | B:B:Y289 | 3.45 | No | Yes | 3 | 8 | 7 |
| 528 | B:B:N293 | B:B:Y289 | 3.49 | No | Yes | 3 | 5 | 7 |
| 529 | B:B:N295 | B:B:Y289 | 13.96 | Yes | Yes | 3 | 6 | 7 |
| 530 | B:B:W297 | B:B:Y289 | 5.79 | No | Yes | 3 | 8 | 7 |
| 531 | B:B:D290 | B:B:R314 | 11.91 | No | Yes | 0 | 6 | 8 |
| 532 | B:B:D291 | B:B:N293 | 9.42 | No | No | 3 | 8 | 5 |
| 533 | B:B:N293 | B:B:N295 | 13.62 | No | Yes | 3 | 5 | 6 |
| 534 | B:B:N295 | B:B:R304 | 4.82 | Yes | Yes | 3 | 6 | 5 |
| 535 | B:B:N295 | B:B:V307 | 4.43 | Yes | No | 3 | 6 | 3 |
| 536 | B:B:D298 | B:B:K301 | 9.68 | No | No | 19 | 9 | 5 |
| 537 | B:B:L300 | G:G:C41 | 6.35 | No | No | 0 | 6 | 7 |
| 538 | B:B:R304 | B:B:V307 | 3.92 | Yes | No | 3 | 5 | 3 |
| 539 | B:B:L308 | B:B:W339 | 11.39 | No | No | 0 | 7 | 9 |
| 540 | B:B:H311 | B:B:T329 | 5.48 | Yes | Yes | 0 | 9 | 8 |
| 541 | B:B:H311 | B:B:S331 | 12.55 | Yes | No | 30 | 9 | 9 |
| 542 | B:B:D333 | B:B:H311 | 11.35 | Yes | Yes | 30 | 9 | 9 |
| 543 | B:B:H311 | B:B:K337 | 2.62 | Yes | Yes | 0 | 9 | 6 |
| 544 | B:B:D312 | B:B:N313 | 4.04 | No | No | 0 | 5 | 7 |
| 545 | B:B:D312 | B:B:D333 | 10.65 | No | Yes | 0 | 5 | 9 |
| 546 | B:B:N313 | B:B:W332 | 3.39 | No | Yes | 0 | 7 | 9 |
| 547 | B:B:R314 | B:B:W332 | 15.99 | Yes | Yes | 0 | 8 | 9 |
| 548 | B:B:C317 | B:B:S316 | 3.44 | No | No | 0 | 7 | 9 |
| 549 | B:B:S316 | B:B:W332 | 4.94 | No | Yes | 0 | 9 | 9 |
| 550 | B:B:L318 | B:B:T329 | 2.95 | No | Yes | 0 | 6 | 8 |
| 551 | B:B:V320 | B:B:V327 | 4.81 | No | No | 0 | 7 | 6 |
| 552 | B:B:D323 | B:B:T321 | 2.89 | No | No | 29 | 7 | 7 |
| 553 | B:B:G324 | G:G:P49 | 4.06 | No | No | 0 | 9 | 7 |
| 554 | B:B:M325 | G:G:N59 | 2.8 | No | Yes | 4 | 5 | 9 |
| 555 | B:B:M325 | G:G:P60 | 6.71 | No | Yes | 4 | 5 | 9 |
| 556 | B:B:A326 | G:G:F61 | 6.93 | No | Yes | 0 | 7 | 8 |
| 557 | B:B:V327 | G:G:L50 | 4.47 | No | No | 0 | 6 | 9 |
| 558 | B:B:G330 | B:B:T329 | 3.64 | No | Yes | 0 | 5 | 8 |
| 559 | B:B:T329 | B:B:W339 | 7.28 | Yes | No | 0 | 8 | 9 |
| 560 | B:B:D333 | B:B:S331 | 8.83 | Yes | No | 30 | 9 | 9 |
| 561 | B:B:D333 | B:B:F335 | 14.33 | Yes | Yes | 0 | 9 | 4 |
| 562 | B:B:F335 | B:B:S334 | 3.96 | Yes | No | 0 | 4 | 4 |
| 563 | B:B:K337 | B:B:W339 | 6.96 | Yes | No | 0 | 6 | 9 |
| 564 | B:B:I338 | G:G:F61 | 5.02 | No | Yes | 4 | 5 | 8 |
| 565 | B:B:N340 | G:G:N59 | 14.98 | No | Yes | 0 | 9 | 9 |
| 566 | B:B:N340 | G:G:F61 | 6.04 | No | Yes | 0 | 9 | 8 |
| 567 | G:G:I28 | G:G:K32 | 13.09 | No | No | 0 | 4 | 5 |
| 568 | G:G:K29 | G:G:S31 | 6.12 | No | No | 0 | 4 | 9 |
| 569 | G:G:K29 | G:G:K32 | 8.62 | No | No | 0 | 4 | 5 |
| 570 | G:G:H44 | G:G:Y40 | 9.8 | No | No | 0 | 6 | 6 |
| 571 | G:G:A43 | G:G:H44 | 2.93 | No | No | 0 | 4 | 6 |
| 572 | G:G:D48 | G:G:L51 | 8.14 | No | Yes | 0 | 9 | 6 |
| 573 | G:G:P53 | G:G:T52 | 3.5 | No | No | 0 | 8 | 4 |
| 574 | G:G:P55 | G:G:V54 | 5.3 | No | Yes | 4 | 5 | 6 |
| 575 | G:G:E58 | G:G:V54 | 2.85 | No | Yes | 4 | 5 | 6 |
| 576 | G:G:N59 | G:G:V54 | 2.96 | Yes | Yes | 4 | 9 | 6 |
| 577 | G:G:E58 | G:G:P55 | 12.58 | No | No | 4 | 5 | 5 |
| 578 | G:G:N59 | G:G:P60 | 6.52 | Yes | Yes | 4 | 9 | 9 |
| 579 | G:G:F61 | G:G:P60 | 2.89 | Yes | Yes | 4 | 8 | 9 |
| 580 | R:R:C13 | R:R:C258 | 7.28 | No | No | 0 | 7 | 5 |
| 581 | R:R:E166 | R:R:T14 | 2.82 | No | No | 0 | 3 | 3 |
| 582 | R:R:I15 | R:R:Y176 | 10.88 | Yes | No | 5 | 2 | 6 |
| 583 | R:R:I15 | R:R:K262 | 7.27 | Yes | No | 0 | 2 | 3 |
| 584 | R:R:F265 | R:R:I15 | 6.28 | Yes | Yes | 5 | 3 | 2 |
| 585 | R:R:D16 | R:R:T18 | 2.89 | No | No | 0 | 3 | 3 |
| 586 | R:R:H17 | R:R:H20 | 4.78 | Yes | No | 5 | 4 | 4 |
| 587 | R:R:H17 | R:R:Q21 | 8.65 | Yes | No | 5 | 4 | 4 |
| 588 | R:R:H17 | R:R:H84 | 4.78 | Yes | No | 5 | 4 | 3 |
| 589 | R:R:D85 | R:R:H17 | 12.61 | Yes | Yes | 5 | 4 | 4 |
| 590 | R:R:I19 | R:R:T22 | 3.04 | No | No | 0 | 3 | 3 |
| 591 | R:R:I19 | R:R:N266 | 11.33 | No | No | 0 | 3 | 1 |
| 592 | R:R:H20 | R:R:Q21 | 4.95 | No | No | 5 | 4 | 4 |
| 593 | R:R:F265 | R:R:H20 | 3.39 | Yes | No | 5 | 3 | 4 |
| 594 | R:R:D85 | R:R:Q21 | 3.92 | Yes | No | 5 | 4 | 4 |
| 595 | R:R:L23 | R:R:T22 | 7.37 | No | No | 0 | 5 | 3 |
| 596 | R:R:A24 | R:R:Y28 | 2.67 | No | No | 0 | 5 | 8 |
| 597 | R:R:A24 | R:R:V81 | 3.39 | No | No | 0 | 5 | 5 |
| 598 | R:R:P25 | R:R:V81 | 3.53 | No | No | 0 | 6 | 5 |
| 599 | R:R:L273 | R:R:V27 | 10.43 | No | No | 0 | 5 | 5 |
| 600 | R:R:F277 | R:R:V27 | 2.62 | No | No | 0 | 4 | 5 |
| 601 | R:R:L74 | R:R:V31 | 2.98 | Yes | No | 0 | 7 | 7 |
| 602 | R:R:F277 | R:R:V31 | 2.62 | No | No | 0 | 4 | 7 |
| 603 | R:R:V280 | R:R:V34 | 3.21 | No | No | 0 | 7 | 6 |
| 604 | R:R:F36 | R:R:P37 | 5.78 | No | No | 0 | 6 | 5 |
| 605 | R:R:N39 | R:R:T64 | 2.92 | Yes | No | 0 | 9 | 8 |
| 606 | R:R:D67 | R:R:N39 | 6.73 | Yes | Yes | 0 | 9 | 9 |
| 607 | R:R:L68 | R:R:N39 | 4.12 | No | Yes | 0 | 7 | 9 |
| 608 | R:R:I71 | R:R:N39 | 2.83 | No | Yes | 0 | 5 | 9 |
| 609 | R:R:N39 | R:R:P283 | 6.52 | Yes | No | 0 | 9 | 9 |
| 610 | R:R:S42 | R:R:T64 | 7.99 | No | No | 0 | 8 | 8 |
| 611 | R:R:P283 | R:R:S42 | 3.56 | No | No | 0 | 9 | 8 |
| 612 | R:R:C287 | R:R:S42 | 6.89 | No | No | 0 | 6 | 8 |
| 613 | R:R:L43 | R:R:T64 | 5.9 | No | No | 0 | 6 | 8 |
| 614 | R:R:L48 | R:R:Y44 | 4.69 | No | No | 0 | 4 | 4 |
| 615 | R:R:C287 | R:R:F45 | 6.98 | No | Yes | 0 | 6 | 6 |
| 616 | R:R:F288 | R:R:F45 | 4.29 | No | Yes | 0 | 7 | 6 |
| 617 | R:R:F45 | R:R:T293 | 5.19 | Yes | No | 0 | 6 | 8 |
| 618 | R:R:D296 | R:R:L48 | 4.07 | No | No | 0 | 4 | 4 |
| 619 | R:R:N54 | R:R:Q49 | 3.96 | No | Yes | 0 | 7 | 4 |
| 620 | R:R:Q49 | R:R:T292 | 2.83 | Yes | No | 28 | 4 | 6 |
| 621 | R:R:E55 | R:R:Y59 | 15.71 | No | Yes | 1 | 6 | 7 |
| 622 | R:R:D118 | R:R:E55 | 6.5 | Yes | No | 1 | 8 | 6 |
| 623 | R:R:A138 | R:R:E55 | 4.53 | No | No | 1 | 7 | 6 |
| 624 | R:R:I115 | R:R:L56 | 2.85 | No | No | 1 | 8 | 7 |
| 625 | R:R:D118 | R:R:L56 | 5.43 | Yes | No | 1 | 8 | 7 |
| 626 | R:R:A138 | R:R:V58 | 5.09 | No | No | 0 | 7 | 6 |
| 627 | R:R:C114 | R:R:Y59 | 6.72 | No | Yes | 0 | 6 | 7 |
| 628 | R:R:A138 | R:R:Y59 | 5.34 | No | Yes | 1 | 7 | 7 |
| 629 | R:R:V141 | R:R:Y59 | 3.79 | No | Yes | 0 | 4 | 7 |
| 630 | R:R:F111 | R:R:N62 | 12.08 | Yes | No | 6 | 7 | 9 |
| 631 | R:R:N62 | R:R:S142 | 8.94 | No | No | 6 | 9 | 6 |
| 632 | R:R:N62 | R:R:W146 | 6.78 | No | Yes | 6 | 9 | 9 |
| 633 | R:R:D67 | R:R:L63 | 2.71 | Yes | Yes | 6 | 9 | 9 |
| 634 | R:R:L63 | R:R:S108 | 3 | Yes | No | 0 | 9 | 9 |
| 635 | R:R:D282 | R:R:L63 | 6.79 | Yes | Yes | 6 | 9 | 9 |
| 636 | R:R:F69 | R:R:V65 | 2.62 | No | No | 0 | 7 | 5 |
| 637 | R:R:A66 | R:R:I107 | 3.25 | No | Yes | 0 | 8 | 7 |
| 638 | R:R:C279 | R:R:D67 | 6.22 | No | Yes | 0 | 8 | 9 |
| 639 | R:R:D282 | R:R:D67 | 6.65 | Yes | Yes | 6 | 9 | 9 |
| 640 | R:R:L101 | R:R:Y70 | 4.69 | No | Yes | 0 | 6 | 6 |
| 641 | R:R:N104 | R:R:Y70 | 11.63 | No | Yes | 0 | 8 | 6 |
| 642 | R:R:S276 | R:R:Y70 | 7.63 | No | Yes | 0 | 7 | 6 |
| 643 | R:R:C279 | R:R:Y70 | 5.38 | No | Yes | 0 | 8 | 6 |
| 644 | R:R:C279 | R:R:I71 | 4.91 | No | No | 0 | 8 | 5 |
| 645 | R:R:L100 | R:R:S73 | 3 | No | No | 0 | 5 | 6 |
| 646 | R:R:C97 | R:R:F76 | 5.59 | No | No | 0 | 5 | 6 |
| 647 | R:R:W77 | R:R:Y80 | 4.82 | Yes | No | 0 | 6 | 5 |
| 648 | R:R:L101 | R:R:W77 | 18.22 | No | Yes | 0 | 6 | 6 |
| 649 | R:R:C172 | R:R:W77 | 6.53 | No | Yes | 0 | 9 | 6 |
| 650 | R:R:L78 | R:R:L82 | 5.54 | No | No | 0 | 7 | 4 |
| 651 | R:R:Q79 | R:R:Q83 | 7.68 | No | No | 0 | 4 | 4 |
| 652 | R:R:H89 | R:R:Q79 | 9.89 | No | No | 0 | 7 | 4 |
| 653 | R:R:W87 | R:R:Y80 | 7.72 | Yes | No | 0 | 9 | 5 |
| 654 | R:R:N86 | R:R:Q83 | 15.85 | No | No | 31 | 4 | 4 |
| 655 | R:R:Q83 | R:R:S88 | 7.22 | No | No | 31 | 4 | 3 |
| 656 | R:R:D85 | R:R:H84 | 23.95 | Yes | No | 5 | 4 | 3 |
| 657 | R:R:H169 | R:R:H84 | 11.94 | Yes | No | 5 | 2 | 3 |
| 658 | R:R:D85 | R:R:H169 | 18.91 | Yes | Yes | 5 | 4 | 2 |
| 659 | R:R:N86 | R:R:S88 | 5.96 | No | No | 31 | 4 | 3 |
| 660 | R:R:S93 | R:R:W87 | 3.71 | No | Yes | 0 | 5 | 9 |
| 661 | R:R:C94 | R:R:W87 | 7.84 | No | Yes | 0 | 9 | 9 |
| 662 | R:R:C172 | R:R:W87 | 7.84 | No | Yes | 0 | 9 | 9 |
| 663 | R:R:D91 | R:R:L92 | 6.79 | No | No | 0 | 3 | 2 |
| 664 | R:R:L92 | R:R:S93 | 4.5 | No | No | 0 | 2 | 5 |
| 665 | R:R:L157 | R:R:Q95 | 2.66 | No | No | 0 | 4 | 7 |
| 666 | R:R:E161 | R:R:Q95 | 5.1 | No | No | 0 | 4 | 7 |
| 667 | R:R:F173 | R:R:G98 | 6.02 | Yes | No | 0 | 3 | 5 |
| 668 | R:R:I99 | R:R:S153 | 3.1 | No | No | 0 | 5 | 6 |
| 669 | R:R:L101 | R:R:Y102 | 7.03 | No | Yes | 0 | 6 | 5 |
| 670 | R:R:F173 | R:R:Y102 | 13.41 | Yes | Yes | 0 | 3 | 5 |
| 671 | R:R:E174 | R:R:Y102 | 6.73 | No | Yes | 0 | 5 | 5 |
| 672 | R:R:Y102 | R:R:Y268 | 3.97 | Yes | Yes | 0 | 5 | 5 |
| 673 | R:R:L272 | R:R:Y102 | 4.69 | No | Yes | 0 | 6 | 5 |
| 674 | R:R:E103 | R:R:Y106 | 5.61 | No | Yes | 32 | 5 | 7 |
| 675 | R:R:E103 | R:R:F156 | 10.49 | No | Yes | 0 | 5 | 4 |
| 676 | R:R:E103 | R:R:R189 | 15.12 | No | No | 32 | 5 | 5 |
| 677 | R:R:I105 | R:R:Y106 | 9.67 | No | Yes | 0 | 7 | 7 |
| 678 | R:R:F241 | R:R:I105 | 6.28 | Yes | No | 0 | 9 | 7 |
| 679 | R:R:R189 | R:R:Y106 | 8.23 | No | Yes | 32 | 5 | 7 |
| 680 | R:R:H245 | R:R:Y106 | 6.53 | Yes | Yes | 0 | 8 | 7 |
| 681 | R:R:I107 | R:R:I145 | 2.94 | Yes | No | 0 | 7 | 6 |
| 682 | R:R:I107 | R:R:W146 | 3.52 | Yes | Yes | 6 | 7 | 9 |
| 683 | R:R:E149 | R:R:I107 | 10.93 | No | Yes | 6 | 7 | 7 |
| 684 | R:R:N278 | R:R:S108 | 2.98 | No | No | 0 | 9 | 9 |
| 685 | R:R:F237 | R:R:V109 | 3.93 | Yes | No | 14 | 9 | 7 |
| 686 | R:R:F241 | R:R:V109 | 3.93 | Yes | No | 14 | 9 | 7 |
| 687 | R:R:F111 | R:R:S142 | 5.28 | Yes | No | 6 | 7 | 6 |
| 688 | R:R:F111 | R:R:I145 | 7.54 | Yes | No | 0 | 7 | 6 |
| 689 | R:R:F111 | R:R:W146 | 4.01 | Yes | Yes | 6 | 7 | 9 |
| 690 | R:R:D282 | R:R:L112 | 5.43 | Yes | No | 0 | 9 | 8 |
| 691 | R:R:L112 | R:R:Y286 | 8.21 | No | Yes | 0 | 8 | 9 |
| 692 | R:R:C113 | R:R:P197 | 3.77 | No | No | 0 | 7 | 9 |
| 693 | R:R:C113 | R:R:L200 | 3.17 | No | No | 0 | 7 | 6 |
| 694 | R:R:I115 | R:R:R119 | 6.26 | No | Yes | 1 | 8 | 9 |
| 695 | R:R:I115 | R:R:Y286 | 4.84 | No | Yes | 1 | 8 | 9 |
| 696 | R:R:L201 | R:R:S116 | 3 | No | No | 0 | 8 | 9 |
| 697 | R:R:S116 | R:R:S204 | 6.52 | No | No | 1 | 9 | 6 |
| 698 | R:R:S116 | R:R:Y205 | 12.72 | No | Yes | 1 | 9 | 8 |
| 699 | R:R:L200 | R:R:V117 | 4.47 | No | No | 0 | 6 | 5 |
| 700 | R:R:D118 | R:R:R133 | 4.76 | Yes | No | 1 | 8 | 7 |
| 701 | R:R:R119 | R:R:Y205 | 5.14 | Yes | Yes | 1 | 9 | 8 |
| 702 | R:R:R119 | R:R:Y286 | 4.12 | Yes | Yes | 1 | 9 | 9 |
| 703 | R:R:A124 | R:R:Y120 | 4 | No | Yes | 33 | 7 | 8 |
| 704 | R:R:H125 | R:R:Y120 | 6.53 | No | Yes | 33 | 6 | 8 |
| 705 | R:R:G207 | R:R:Y120 | 2.9 | No | Yes | 0 | 3 | 8 |
| 706 | R:R:I208 | R:R:Y120 | 3.63 | No | Yes | 0 | 8 | 8 |
| 707 | R:R:F129 | R:R:L121 | 3.65 | No | No | 0 | 6 | 5 |
| 708 | R:R:I208 | R:R:V123 | 6.14 | No | No | 0 | 8 | 8 |
| 709 | R:R:A124 | R:R:H125 | 2.93 | No | No | 33 | 7 | 6 |
| 710 | R:R:F129 | R:R:H125 | 3.39 | No | No | 0 | 6 | 6 |
| 711 | R:R:F129 | R:R:R128 | 3.21 | No | No | 0 | 6 | 4 |
| 712 | R:R:F132 | R:R:Q131 | 8.2 | No | No | 0 | 3 | 4 |
| 713 | R:R:K148 | R:R:V144 | 3.04 | No | No | 0 | 4 | 3 |
| 714 | R:R:E149 | R:R:W146 | 3.27 | No | Yes | 6 | 7 | 9 |
| 715 | R:R:E149 | R:R:T152 | 4.23 | No | No | 0 | 7 | 4 |
| 716 | R:R:I154 | R:R:L151 | 4.28 | No | No | 0 | 5 | 4 |
| 717 | R:R:F156 | R:R:Y155 | 3.09 | Yes | No | 0 | 4 | 8 |
| 718 | R:R:W181 | R:R:Y155 | 2.89 | No | No | 0 | 3 | 8 |
| 719 | R:R:I185 | R:R:Y155 | 6.04 | No | No | 0 | 5 | 8 |
| 720 | R:R:F156 | R:R:F173 | 3.22 | Yes | Yes | 0 | 4 | 3 |
| 721 | R:R:H159 | R:R:M158 | 5.25 | No | No | 0 | 4 | 4 |
| 722 | R:R:H159 | R:R:W181 | 27.51 | No | No | 0 | 4 | 3 |
| 723 | R:R:E161 | R:R:F173 | 13.99 | No | Yes | 0 | 4 | 3 |
| 724 | R:R:I163 | R:R:V171 | 4.61 | No | No | 0 | 1 | 3 |
| 725 | R:R:E164 | R:R:R170 | 4.65 | No | No | 0 | 1 | 4 |
| 726 | R:R:D165 | R:R:H169 | 5.04 | No | Yes | 0 | 2 | 2 |
| 727 | R:R:D165 | R:R:V171 | 5.84 | No | No | 0 | 2 | 3 |
| 728 | R:R:Q168 | R:R:R170 | 12.85 | No | No | 0 | 4 | 4 |
| 729 | R:R:C172 | R:R:F173 | 2.79 | No | Yes | 0 | 9 | 3 |
| 730 | R:R:E174 | R:R:H269 | 11.08 | No | No | 0 | 5 | 4 |
| 731 | R:R:H175 | R:R:P177 | 12.2 | No | No | 0 | 4 | 4 |
| 732 | R:R:H175 | R:R:Q179 | 6.18 | No | No | 0 | 4 | 1 |
| 733 | R:R:F265 | R:R:Y176 | 7.22 | Yes | No | 5 | 3 | 6 |
| 734 | R:R:I178 | R:R:Q182 | 8.23 | No | No | 0 | 4 | 4 |
| 735 | R:R:I178 | R:R:R183 | 11.27 | No | No | 0 | 4 | 2 |
| 736 | R:R:I178 | R:R:R251 | 8.77 | No | No | 0 | 4 | 5 |
| 737 | R:R:Q179 | R:R:W181 | 4.38 | No | No | 0 | 1 | 3 |
| 738 | R:R:N186 | R:R:Q182 | 5.28 | No | No | 0 | 4 | 4 |
| 739 | R:R:A256 | R:R:R183 | 2.77 | No | No | 0 | 1 | 2 |
| 740 | R:R:I185 | R:R:R189 | 3.76 | No | No | 0 | 5 | 5 |
| 741 | R:R:L248 | R:R:N186 | 12.36 | No | No | 0 | 5 | 4 |
| 742 | R:R:N186 | R:R:S252 | 4.47 | No | No | 0 | 4 | 6 |
| 743 | R:R:S252 | R:R:Y187 | 5.09 | No | No | 0 | 6 | 4 |
| 744 | R:R:V253 | R:R:Y187 | 6.31 | No | No | 0 | 4 | 4 |
| 745 | R:R:F190 | R:R:H245 | 5.66 | No | Yes | 0 | 6 | 8 |
| 746 | R:R:F190 | R:R:L249 | 21.92 | No | No | 0 | 6 | 5 |
| 747 | R:R:G193 | R:R:P197 | 4.06 | No | No | 0 | 5 | 9 |
| 748 | R:R:F194 | R:R:F237 | 4.29 | Yes | Yes | 14 | 8 | 9 |
| 749 | R:R:F194 | R:R:L238 | 3.65 | Yes | No | 14 | 8 | 5 |
| 750 | R:R:F194 | R:R:L242 | 7.31 | Yes | Yes | 14 | 8 | 4 |
| 751 | R:R:F194 | R:R:H245 | 14.71 | Yes | Yes | 0 | 8 | 8 |
| 752 | R:R:F196 | R:R:P197 | 2.89 | No | No | 0 | 5 | 9 |
| 753 | R:R:F237 | R:R:L201 | 3.65 | Yes | No | 0 | 9 | 8 |
| 754 | R:R:S204 | R:R:Y205 | 5.09 | No | Yes | 1 | 6 | 8 |
| 755 | R:R:V230 | R:R:Y205 | 8.83 | No | Yes | 0 | 7 | 8 |
| 756 | R:R:Q206 | R:R:R210 | 3.5 | No | No | 0 | 4 | 3 |
| 757 | R:R:L209 | R:R:Q227 | 2.66 | Yes | No | 0 | 5 | 6 |
| 758 | R:R:K223 | R:R:T218 | 6.01 | No | No | 0 | 7 | 3 |
| 759 | R:R:K220 | R:R:Q219 | 6.78 | No | No | 0 | 4 | 4 |
| 760 | R:R:E291 | R:R:R222 | 3.49 | No | No | 0 | 6 | 5 |
| 761 | R:R:L231 | R:R:Q227 | 2.66 | No | No | 0 | 4 | 6 |
| 762 | R:R:R228 | R:R:S232 | 7.91 | No | No | 0 | 6 | 6 |
| 763 | R:R:L285 | R:R:T233 | 7.37 | No | No | 0 | 8 | 7 |
| 764 | R:R:A281 | R:R:I236 | 3.25 | No | No | 0 | 6 | 6 |
| 765 | R:R:F237 | R:R:F241 | 7.5 | Yes | Yes | 14 | 9 | 9 |
| 766 | R:R:L238 | R:R:L242 | 2.77 | No | Yes | 14 | 5 | 4 |
| 767 | R:R:F241 | R:R:H245 | 3.39 | Yes | Yes | 0 | 9 | 8 |
| 768 | R:R:F241 | R:R:T275 | 5.19 | Yes | No | 0 | 9 | 7 |
| 769 | R:R:F241 | R:R:N278 | 3.62 | Yes | No | 0 | 9 | 9 |
| 770 | R:R:L242 | R:R:P243 | 3.28 | Yes | No | 0 | 4 | 9 |
| 771 | R:R:L242 | R:R:V246 | 2.98 | Yes | No | 0 | 4 | 5 |
| 772 | R:R:L248 | R:R:Y244 | 4.69 | No | Yes | 0 | 5 | 7 |
| 773 | R:R:Y244 | R:R:Y268 | 10.92 | Yes | Yes | 0 | 7 | 5 |
| 774 | R:R:S271 | R:R:Y244 | 7.63 | No | Yes | 0 | 7 | 7 |
| 775 | R:R:L272 | R:R:Y244 | 4.69 | No | Yes | 0 | 6 | 7 |
| 776 | R:R:A267 | R:R:L247 | 4.73 | No | No | 0 | 5 | 4 |
| 777 | R:R:L247 | R:R:S271 | 7.51 | No | No | 0 | 4 | 7 |
| 778 | R:R:L249 | R:R:S252 | 3 | No | No | 0 | 5 | 6 |
| 779 | R:R:E255 | R:R:V250 | 4.28 | No | No | 0 | 3 | 5 |
| 780 | R:R:R251 | R:R:Y268 | 18.52 | No | Yes | 0 | 5 | 5 |
| 781 | R:R:E255 | R:R:F260 | 9.33 | No | No | 0 | 3 | 1 |
| 782 | R:R:F260 | R:R:S257 | 6.61 | No | No | 0 | 1 | 5 |
| 783 | R:R:G263 | R:R:K262 | 3.49 | No | No | 0 | 2 | 3 |
| 784 | R:R:F265 | R:R:H269 | 23.76 | Yes | No | 0 | 3 | 4 |
| 785 | R:R:H269 | R:R:Y268 | 4.36 | No | Yes | 0 | 4 | 5 |
| 786 | R:R:D282 | R:R:N278 | 14.81 | Yes | No | 0 | 9 | 9 |
| 787 | R:R:S290 | R:R:T293 | 6.4 | No | No | 0 | 8 | 8 |
| 788 | R:R:H294 | R:R:T293 | 4.11 | No | No | 0 | 8 | 8 |
| 789 | R:R:C97 | R:R:W77 | 2.61 | No | Yes | 0 | 5 | 6 |
| 790 | A:A:R385 | R:R:T218 | 2.59 | Yes | No | 0 | 5 | 3 |
| 791 | B:B:R52 | B:B:T50 | 2.59 | No | No | 0 | 7 | 3 |
| 792 | B:B:H266 | B:B:N268 | 2.55 | No | No | 0 | 4 | 4 |
| 793 | R:R:H169 | R:R:N167 | 2.55 | Yes | No | 0 | 2 | 4 |
| 794 | B:B:V112 | B:B:Y105 | 2.52 | No | Yes | 0 | 8 | 6 |
| 795 | B:B:V112 | B:B:Y124 | 2.52 | No | Yes | 0 | 8 | 6 |
| 796 | R:R:V234 | R:R:Y205 | 2.52 | No | Yes | 0 | 7 | 8 |
| 797 | B:B:I338 | B:B:R49 | 2.51 | No | No | 0 | 5 | 7 |
| 798 | R:R:F156 | R:R:I99 | 2.51 | Yes | No | 0 | 4 | 5 |
| 799 | R:R:T233 | R:R:Y286 | 2.5 | No | Yes | 0 | 7 | 9 |
| 800 | A:A:K233 | A:A:R232 | 2.48 | Yes | No | 0 | 9 | 8 |
| 801 | R:R:S73 | R:R:W77 | 2.47 | No | Yes | 0 | 6 | 6 |
| 802 | B:B:F278 | B:B:L252 | 2.44 | Yes | Yes | 0 | 7 | 7 |
| 803 | R:R:F111 | R:R:L63 | 2.44 | Yes | Yes | 6 | 7 | 9 |
| 804 | R:R:F190 | R:R:L191 | 2.44 | No | No | 0 | 6 | 4 |
| 805 | R:R:F277 | R:R:L274 | 2.44 | No | No | 0 | 4 | 7 |
| 806 | B:B:L139 | B:B:R137 | 2.43 | No | No | 0 | 9 | 5 |
| 807 | B:B:I123 | B:B:Y111 | 2.42 | Yes | No | 0 | 6 | 4 |
| 808 | B:B:F235 | B:B:N237 | 2.42 | Yes | No | 0 | 6 | 5 |
| 809 | B:B:N340 | B:B:R48 | 2.41 | No | No | 0 | 9 | 7 |
| 810 | B:B:D66 | B:B:R68 | 2.38 | No | No | 0 | 8 | 5 |
| 811 | R:R:L74 | R:R:Y28 | 2.34 | Yes | No | 0 | 7 | 8 |
| 812 | R:R:L78 | R:R:Y28 | 2.34 | No | No | 0 | 7 | 8 |
| 813 | R:R:L74 | R:R:Y70 | 2.34 | Yes | Yes | 0 | 7 | 6 |
| 814 | R:R:Q219 | R:R:R222 | 2.34 | No | No | 0 | 4 | 5 |
| 815 | B:B:E12 | B:B:R8 | 2.33 | No | No | 0 | 4 | 3 |
| 816 | A:A:N239 | A:A:W281 | 2.26 | No | Yes | 0 | 8 | 5 |
| 817 | A:A:N239 | B:B:W332 | 2.26 | No | Yes | 0 | 8 | 9 |
| 818 | R:R:F76 | R:R:H89 | 2.26 | No | No | 0 | 6 | 7 |
| 819 | B:B:F335 | B:B:R52 | 2.14 | Yes | No | 0 | 4 | 7 |
| 820 | B:B:R19 | B:B:R22 | 2.13 | No | Yes | 0 | 4 | 6 |
| 821 | B:B:G115 | B:B:G116 | 2.11 | No | No | 0 | 9 | 9 |
| 822 | B:B:G144 | B:B:G162 | 2.11 | No | No | 0 | 8 | 9 |
| 823 | R:R:F45 | R:R:Y44 | 2.06 | Yes | No | 0 | 6 | 4 |
| 824 | B:B:G238 | B:B:P194 | 2.03 | No | No | 0 | 7 | 4 |
| 825 | R:R:Y44 | R:R:Y47 | 1.99 | No | No | 0 | 4 | 2 |
| 826 | R:R:C61 | R:R:G46 | 1.96 | No | No | 0 | 6 | 6 |
| 827 | R:R:C113 | R:R:G110 | 1.96 | No | No | 0 | 7 | 5 |
| 828 | A:A:A226 | A:A:G225 | 1.95 | No | No | 0 | 8 | 9 |
| 829 | A:A:A303 | A:A:G304 | 1.95 | No | No | 0 | 5 | 5 |
| 830 | B:B:A140 | B:B:G141 | 1.95 | No | No | 0 | 5 | 5 |
| 831 | B:B:A208 | B:B:G202 | 1.95 | No | No | 0 | 6 | 6 |
| 832 | B:B:A305 | B:B:G306 | 1.95 | No | No | 0 | 4 | 4 |
| 833 | R:R:A38 | R:R:G35 | 1.95 | No | No | 0 | 7 | 8 |
| 834 | B:B:A106 | B:B:P107 | 1.87 | No | No | 0 | 6 | 6 |
| 835 | B:B:A193 | B:B:P194 | 1.87 | No | No | 0 | 4 | 4 |
| 836 | R:R:A38 | R:R:P283 | 1.87 | No | No | 0 | 7 | 9 |
| 837 | A:A:G47 | A:A:S51 | 1.86 | No | No | 0 | 9 | 9 |
| 838 | A:A:G52 | A:A:S51 | 1.86 | No | No | 0 | 9 | 9 |
| 839 | B:B:G202 | B:B:S201 | 1.86 | No | No | 0 | 6 | 9 |
| 840 | B:B:G282 | B:B:S281 | 1.86 | No | No | 0 | 9 | 9 |
| 841 | A:A:G225 | A:A:V224 | 1.84 | No | No | 0 | 9 | 9 |
| 842 | B:B:G41 | B:B:V40 | 1.84 | No | No | 0 | 1 | 3 |
| 843 | B:B:G288 | B:B:V315 | 1.84 | No | No | 0 | 7 | 7 |
| 844 | B:B:G306 | B:B:V296 | 1.84 | No | No | 0 | 4 | 5 |
| 845 | R:R:G35 | R:R:V34 | 1.84 | No | No | 0 | 8 | 6 |
| 846 | R:R:G110 | R:R:V109 | 1.84 | No | No | 0 | 5 | 7 |
| 847 | R:R:G193 | R:R:V192 | 1.84 | No | No | 0 | 5 | 4 |
| 848 | A:A:G52 | A:A:T55 | 1.82 | No | Yes | 0 | 9 | 9 |
| 849 | B:B:G185 | B:B:T164 | 1.82 | No | No | 0 | 5 | 6 |
| 850 | B:B:G182 | B:B:T181 | 1.82 | No | No | 0 | 6 | 2 |
| 851 | B:B:G288 | B:B:T274 | 1.82 | No | No | 0 | 7 | 8 |
| 852 | B:B:G324 | B:B:T321 | 1.82 | No | No | 0 | 9 | 7 |
| 853 | B:B:A104 | B:B:C149 | 1.81 | No | No | 0 | 7 | 8 |
| 854 | G:G:P55 | G:G:S57 | 1.78 | No | No | 0 | 5 | 6 |
| 855 | G:G:P49 | G:G:V54 | 1.77 | No | Yes | 0 | 7 | 6 |
| 856 | R:R:G57 | R:R:I50 | 1.76 | No | No | 0 | 7 | 5 |
| 857 | A:A:P326 | A:A:T325 | 1.75 | No | No | 0 | 1 | 2 |
| 858 | B:B:G319 | B:B:M61 | 1.75 | No | Yes | 0 | 5 | 6 |
| 859 | B:B:P107 | B:B:T65 | 1.75 | No | No | 0 | 6 | 1 |
| 860 | B:B:G324 | B:B:K280 | 1.74 | No | No | 0 | 9 | 1 |
| 861 | B:B:G310 | B:B:K337 | 1.74 | No | Yes | 0 | 5 | 6 |
| 862 | R:R:C13 | R:R:S12 | 1.72 | No | No | 0 | 7 | 6 |
| 863 | A:A:G47 | A:A:L46 | 1.71 | No | Yes | 0 | 9 | 8 |
| 864 | A:A:A48 | A:A:S51 | 1.71 | No | No | 0 | 8 | 9 |
| 865 | B:B:A56 | B:B:S74 | 1.71 | No | Yes | 0 | 7 | 9 |
| 866 | B:B:G174 | B:B:L139 | 1.71 | No | No | 0 | 4 | 9 |
| 867 | R:R:C94 | R:R:V162 | 1.71 | No | No | 0 | 9 | 5 |
| 868 | A:A:A269 | A:A:V248 | 1.7 | No | Yes | 0 | 9 | 7 |
| 869 | A:A:A298 | A:A:V334 | 1.7 | No | No | 0 | 4 | 4 |
| 870 | A:A:A337 | A:A:V301 | 1.7 | No | Yes | 0 | 8 | 7 |
| 871 | B:B:A11 | G:G:V16 | 1.7 | No | No | 0 | 5 | 7 |
| 872 | B:B:A309 | B:B:V307 | 1.7 | No | No | 0 | 3 | 3 |
| 873 | R:R:A267 | R:R:V264 | 1.7 | No | No | 0 | 5 | 5 |
| 874 | A:A:D223 | A:A:G225 | 1.68 | No | No | 0 | 9 | 9 |
| 875 | B:B:D186 | B:B:G185 | 1.68 | Yes | No | 0 | 9 | 5 |
| 876 | R:R:A137 | R:R:T134 | 1.68 | No | No | 0 | 1 | 6 |
| 877 | A:A:G206 | A:A:Q227 | 1.64 | No | No | 0 | 8 | 9 |
| 878 | A:A:E327 | A:A:G329 | 1.64 | No | No | 0 | 4 | 7 |
| 879 | A:A:G355 | R:R:Q219 | 1.64 | No | No | 0 | 2 | 4 |
| 880 | B:B:E130 | B:B:G131 | 1.64 | No | No | 0 | 3 | 4 |
| 881 | B:B:E215 | B:B:G216 | 1.64 | No | No | 0 | 3 | 4 |
| 882 | R:R:C13 | R:R:I15 | 1.64 | No | Yes | 0 | 7 | 2 |
| 883 | R:R:L32 | R:R:P75 | 1.64 | No | No | 0 | 6 | 9 |
| 884 | R:R:G46 | R:R:Q49 | 1.64 | No | Yes | 0 | 6 | 4 |
| 885 | R:R:G57 | R:R:Q49 | 1.64 | No | Yes | 0 | 7 | 4 |
| 886 | R:R:L74 | R:R:P75 | 1.64 | Yes | No | 0 | 7 | 9 |
| 887 | R:R:G207 | R:R:Q206 | 1.64 | No | No | 0 | 3 | 4 |
| 888 | R:R:C240 | R:R:I236 | 1.64 | No | No | 0 | 8 | 6 |
| 889 | B:B:A140 | B:B:I120 | 1.62 | No | Yes | 0 | 5 | 6 |
| 890 | A:A:D331 | A:A:P332 | 1.61 | No | No | 0 | 4 | 1 |
| 891 | B:B:A302 | B:B:M262 | 1.61 | No | No | 0 | 2 | 4 |
| 892 | G:G:A39 | G:G:M38 | 1.61 | No | No | 0 | 3 | 4 |
| 893 | A:A:S54 | A:A:T55 | 1.6 | No | Yes | 0 | 9 | 9 |
| 894 | A:A:S366 | A:A:T55 | 1.6 | No | Yes | 0 | 9 | 9 |
| 895 | B:B:S265 | B:B:T249 | 1.6 | No | No | 0 | 2 | 6 |
| 896 | B:B:S265 | B:B:T263 | 1.6 | No | No | 0 | 2 | 1 |
| 897 | R:R:V29 | R:R:V33 | 1.6 | No | No | 0 | 6 | 5 |
| 898 | R:R:V139 | R:R:V143 | 1.6 | No | No | 0 | 3 | 4 |
| 899 | R:R:V246 | R:R:V250 | 1.6 | No | No | 0 | 5 | 5 |
| 900 | B:B:C294 | B:B:L308 | 1.59 | No | No | 0 | 5 | 7 |
| 901 | R:R:T30 | R:R:V26 | 1.59 | No | No | 0 | 4 | 5 |
| 902 | R:R:T30 | R:R:V29 | 1.59 | No | No | 0 | 4 | 6 |
| 903 | R:R:T30 | R:R:V34 | 1.59 | No | No | 0 | 4 | 6 |
| 904 | R:R:C199 | R:R:L195 | 1.59 | No | No | 0 | 3 | 4 |
| 905 | B:B:L7 | G:G:A12 | 1.58 | No | No | 0 | 8 | 5 |
| 906 | B:B:L30 | G:G:A34 | 1.58 | No | No | 0 | 5 | 6 |
| 907 | B:B:A299 | B:B:L252 | 1.58 | No | Yes | 0 | 5 | 7 |
| 908 | G:G:A12 | G:G:L15 | 1.58 | No | No | 0 | 5 | 2 |
| 909 | B:B:T165 | B:B:T179 | 1.57 | Yes | No | 9 | 7 | 4 |
| 910 | B:B:T165 | B:B:T181 | 1.57 | Yes | No | 9 | 7 | 2 |
| 911 | B:B:T179 | B:B:T181 | 1.57 | No | No | 9 | 4 | 2 |
| 912 | A:A:A19 | B:B:N88 | 1.56 | No | Yes | 0 | 4 | 7 |
| 913 | G:G:A23 | G:G:N24 | 1.56 | No | No | 0 | 8 | 1 |
| 914 | B:B:I123 | B:B:S136 | 1.55 | Yes | No | 0 | 6 | 4 |
| 915 | B:B:A28 | B:B:D27 | 1.54 | No | No | 0 | 4 | 8 |
| 916 | B:B:A193 | B:B:D195 | 1.54 | No | No | 0 | 4 | 5 |
| 917 | B:B:K280 | B:B:S279 | 1.53 | No | No | 0 | 1 | 9 |
| 918 | A:A:M221 | A:A:V57 | 1.52 | Yes | No | 0 | 8 | 7 |
| 919 | R:R:I19 | R:R:T18 | 1.52 | No | No | 0 | 3 | 3 |
| 920 | A:A:M60 | A:A:T210 | 1.51 | Yes | No | 2 | 9 | 7 |
| 921 | A:A:M221 | A:A:T210 | 1.51 | Yes | No | 2 | 8 | 7 |
| 922 | A:A:A316 | A:A:E309 | 1.51 | No | No | 0 | 2 | 4 |
| 923 | B:B:G53 | B:B:R52 | 1.5 | No | No | 0 | 9 | 7 |
| 924 | A:A:L388 | R:R:V212 | 1.49 | No | No | 0 | 8 | 8 |
| 925 | B:B:L168 | B:B:V213 | 1.49 | No | No | 0 | 6 | 4 |
| 926 | B:B:L261 | G:G:V30 | 1.49 | No | No | 0 | 5 | 8 |
| 927 | R:R:L43 | R:R:V65 | 1.49 | No | No | 0 | 6 | 5 |
| 928 | R:R:L100 | R:R:V96 | 1.49 | No | No | 0 | 5 | 4 |
| 929 | R:R:L202 | R:R:V234 | 1.49 | No | No | 0 | 3 | 7 |
| 930 | R:R:L209 | R:R:V212 | 1.49 | Yes | No | 0 | 5 | 8 |
| 931 | R:R:L209 | R:R:V230 | 1.49 | Yes | No | 0 | 5 | 7 |
| 932 | R:R:L229 | R:R:V289 | 1.49 | No | No | 0 | 7 | 6 |
| 933 | R:R:L285 | R:R:V289 | 1.49 | No | No | 0 | 8 | 6 |
| 934 | A:A:D16 | A:A:S13 | 1.47 | Yes | No | 0 | 5 | 7 |
| 935 | G:G:L51 | G:G:T52 | 1.47 | Yes | No | 0 | 6 | 4 |
| 936 | R:R:D224 | R:R:S221 | 1.47 | No | No | 0 | 5 | 3 |
| 937 | A:A:D16 | A:A:V20 | 1.46 | Yes | No | 0 | 5 | 3 |
| 938 | A:A:A39 | R:R:H130 | 1.46 | No | No | 0 | 5 | 5 |
| 939 | A:A:I382 | A:A:M386 | 1.46 | Yes | No | 0 | 6 | 3 |
| 940 | A:A:I383 | A:A:M386 | 1.46 | No | No | 0 | 8 | 3 |
| 941 | B:B:N132 | B:B:T128 | 1.46 | No | No | 0 | 3 | 3 |
| 942 | B:B:A206 | B:B:H225 | 1.46 | No | Yes | 0 | 4 | 9 |
| 943 | A:A:I348 | A:A:K274 | 1.45 | No | No | 0 | 4 | 5 |
| 944 | A:A:F312 | A:A:P313 | 1.44 | No | No | 0 | 8 | 6 |
| 945 | R:R:I198 | R:R:L238 | 1.43 | No | No | 0 | 6 | 5 |
| 946 | R:R:I236 | R:R:L285 | 1.43 | No | No | 0 | 6 | 8 |
| 947 | B:B:I37 | B:B:N36 | 1.42 | No | No | 0 | 2 | 1 |
| 948 | B:B:K15 | B:B:N16 | 1.4 | No | No | 0 | 6 | 1 |
| 949 | G:G:K20 | G:G:N24 | 1.4 | No | No | 0 | 6 | 1 |
| 950 | G:G:D26 | G:G:I28 | 1.4 | No | No | 0 | 1 | 4 |
| 951 | B:B:L14 | G:G:L19 | 1.38 | No | No | 0 | 8 | 9 |
| 952 | B:B:L252 | G:G:L37 | 1.38 | Yes | No | 0 | 7 | 7 |
| 953 | R:R:L191 | R:R:L195 | 1.38 | No | No | 0 | 4 | 4 |
| 954 | B:B:I18 | G:G:E22 | 1.37 | No | No | 0 | 7 | 9 |
| 955 | B:B:D5 | B:B:L4 | 1.36 | No | No | 0 | 1 | 4 |
| 956 | G:G:E47 | G:G:K46 | 1.35 | No | No | 0 | 3 | 1 |
| 957 | A:A:R333 | A:A:V301 | 1.31 | No | Yes | 0 | 5 | 7 |
| 958 | R:R:R170 | R:R:V162 | 1.31 | No | No | 0 | 4 | 5 |
| 959 | R:R:D224 | R:R:Q225 | 1.31 | No | No | 0 | 5 | 7 |
| 960 | A:A:R38 | R:R:T134 | 1.29 | No | No | 0 | 4 | 6 |
| 961 | B:B:R46 | B:B:T47 | 1.29 | No | No | 0 | 5 | 3 |
| 962 | B:B:Q13 | B:B:Q9 | 1.28 | No | No | 0 | 1 | 3 |
| 963 | R:R:F36 | R:R:I71 | 1.26 | No | No | 0 | 6 | 5 |
| 964 | R:R:V192 | R:R:Y188 | 1.26 | No | No | 0 | 4 | 3 |
| 965 | A:A:K34 | R:R:R53 | 1.24 | Yes | No | 0 | 4 | 5 |
| 966 | B:B:F335 | R:R:K51 | 1.24 | Yes | No | 0 | 4 | 6 |
| 967 | R:R:V253 | R:R:W254 | 1.23 | No | No | 0 | 4 | 2 |
| 968 | R:R:F288 | R:R:L41 | 1.22 | No | No | 0 | 7 | 6 |
| 969 | A:A:N279 | A:A:R280 | 1.21 | Yes | No | 0 | 8 | 5 |
| 970 | B:B:N132 | B:B:R134 | 1.21 | No | No | 0 | 3 | 3 |
| 971 | B:B:F292 | B:B:N313 | 1.21 | No | No | 0 | 4 | 7 |
| 972 | R:R:L209 | R:R:R213 | 1.21 | Yes | No | 0 | 5 | 4 |
| 973 | R:R:F265 | R:R:N266 | 1.21 | Yes | No | 0 | 3 | 1 |
| 974 | B:B:D303 | B:B:R304 | 1.19 | No | Yes | 0 | 2 | 5 |
| 975 | A:A:H64 | A:A:Y63 | 1.09 | No | No | 0 | 8 | 2 |
| Color | ConSurf Grade |
| No Conservation data available | |
| 1 | |
| 2 | |
| 3 | |
| 4 | |
| 5 | |
| 6 | |
| 7 | |
| 8 | |
| 9 |
Index: hub id, click on each number to highlight the corresponding hub in the 3D visualization.
Hub: the hub being considered.
Avg Int. Strength: the average interaction strength of all the links of the corresponding hub.
Num Of Links: the number of links of the corresponding hub.
Community: the id of the community the link belong to, otherwise 0.
ConSurf: this column reports the ConSurf conservation grades of each hub.
| Index | Hub | Avg Int. Strength | Num Of Links | Community | ConSurf |
|---|---|---|---|---|---|
| 1 | A:A:D16 | 4.8225 | 4 | 0 | 5 |
| 2 | A:A:K34 | 5.4225 | 4 | 0 | 4 |
| 3 | A:A:H41 | 6.0225 | 4 | 2 | 6 |
| 4 | A:A:L43 | 3.045 | 4 | 2 | 7 |
| 5 | A:A:L46 | 3.435 | 4 | 0 | 8 |
| 6 | A:A:T55 | 2.6725 | 4 | 0 | 9 |
| 7 | A:A:M60 | 3.4375 | 4 | 2 | 9 |
| 8 | A:A:F212 | 5.78 | 4 | 2 | 9 |
| 9 | A:A:V214 | 4.02 | 5 | 2 | 6 |
| 10 | A:A:V217 | 4.9525 | 4 | 2 | 5 |
| 11 | A:A:F219 | 5.595 | 6 | 2 | 8 |
| 12 | A:A:M221 | 2.496 | 5 | 2 | 8 |
| 13 | A:A:R231 | 6.78 | 4 | 0 | 9 |
| 14 | A:A:K233 | 5.81167 | 6 | 7 | 9 |
| 15 | A:A:F238 | 10.0825 | 4 | 0 | 9 |
| 16 | A:A:V248 | 3.5075 | 4 | 0 | 7 |
| 17 | A:A:S250 | 5.6325 | 4 | 11 | 6 |
| 18 | A:A:D252 | 4.77 | 4 | 16 | 8 |
| 19 | A:A:R265 | 6.255 | 4 | 16 | 9 |
| 20 | A:A:L270 | 4.8625 | 4 | 0 | 6 |
| 21 | A:A:F273 | 4.7875 | 4 | 25 | 9 |
| 22 | A:A:W277 | 9.4575 | 4 | 25 | 6 |
| 23 | A:A:N279 | 3.93 | 4 | 24 | 8 |
| 24 | A:A:W281 | 5.8775 | 4 | 0 | 5 |
| 25 | A:A:L289 | 4.225 | 4 | 0 | 9 |
| 26 | A:A:F290 | 4.73 | 4 | 17 | 9 |
| 27 | A:A:L291 | 4.156 | 5 | 11 | 8 |
| 28 | A:A:Q294 | 4.908 | 5 | 11 | 6 |
| 29 | A:A:L297 | 3.04 | 4 | 11 | 8 |
| 30 | A:A:V301 | 2.2425 | 4 | 0 | 7 |
| 31 | A:A:F315 | 9.7425 | 4 | 0 | 6 |
| 32 | A:A:F340 | 6.214 | 5 | 15 | 7 |
| 33 | A:A:D343 | 6.3225 | 4 | 15 | 3 |
| 34 | A:A:E344 | 7.275 | 4 | 15 | 5 |
| 35 | A:A:F345 | 7.145 | 4 | 0 | 8 |
| 36 | A:A:Y360 | 7.985 | 4 | 26 | 8 |
| 37 | A:A:N371 | 6.908 | 5 | 17 | 9 |
| 38 | A:A:R374 | 7.6025 | 4 | 17 | 4 |
| 39 | A:A:F376 | 5.482 | 5 | 2 | 8 |
| 40 | A:A:D378 | 8.55 | 4 | 26 | 7 |
| 41 | A:A:I382 | 5.2225 | 4 | 26 | 6 |
| 42 | A:A:R385 | 3.11 | 5 | 0 | 5 |
| 43 | A:A:H387 | 4.645 | 4 | 1 | 8 |
| 44 | A:A:Y391 | 7.948 | 5 | 1 | 4 |
| 45 | A:A:E392 | 4.4725 | 4 | 28 | 6 |
| 46 | B:B:R22 | 5.985 | 4 | 12 | 6 |
| 47 | B:B:H54 | 7.1475 | 4 | 8 | 9 |
| 48 | B:B:K57 | 7.6075 | 4 | 18 | 9 |
| 49 | B:B:M61 | 3.5175 | 4 | 0 | 6 |
| 50 | B:B:S74 | 6.22 | 4 | 8 | 9 |
| 51 | B:B:L79 | 3.3675 | 4 | 20 | 7 |
| 52 | B:B:N88 | 5.55 | 4 | 0 | 7 |
| 53 | B:B:K89 | 4.728 | 5 | 8 | 9 |
| 54 | B:B:L95 | 4.406 | 5 | 20 | 8 |
| 55 | B:B:W99 | 9.5775 | 4 | 0 | 9 |
| 56 | B:B:Y105 | 3.545 | 4 | 0 | 6 |
| 57 | B:B:I120 | 3.0775 | 4 | 21 | 6 |
| 58 | B:B:I123 | 3.3525 | 4 | 0 | 6 |
| 59 | B:B:Y124 | 3.75 | 6 | 20 | 6 |
| 60 | B:B:H142 | 5.932 | 5 | 9 | 9 |
| 61 | B:B:Y145 | 4.888 | 5 | 0 | 8 |
| 62 | B:B:F151 | 5.1525 | 4 | 0 | 9 |
| 63 | B:B:L152 | 3.865 | 4 | 0 | 3 |
| 64 | B:B:T165 | 2.915 | 4 | 9 | 7 |
| 65 | B:B:W169 | 6.335 | 6 | 9 | 8 |
| 66 | B:B:F180 | 6.5825 | 4 | 10 | 7 |
| 67 | B:B:H183 | 4.415 | 4 | 10 | 9 |
| 68 | B:B:D186 | 6.042 | 5 | 7 | 9 |
| 69 | B:B:V187 | 4.125 | 4 | 0 | 9 |
| 70 | B:B:M188 | 4.4375 | 4 | 7 | 8 |
| 71 | B:B:C204 | 4.3725 | 4 | 7 | 7 |
| 72 | B:B:K209 | 5.935 | 4 | 10 | 6 |
| 73 | B:B:W211 | 8.3825 | 4 | 10 | 8 |
| 74 | B:B:H225 | 8.38 | 5 | 13 | 9 |
| 75 | B:B:D228 | 5.374 | 5 | 7 | 9 |
| 76 | B:B:I232 | 4.3425 | 4 | 0 | 8 |
| 77 | B:B:F235 | 5.72333 | 6 | 3 | 6 |
| 78 | B:B:P236 | 6.3775 | 4 | 3 | 7 |
| 79 | B:B:T243 | 6.5575 | 4 | 13 | 8 |
| 80 | B:B:R251 | 8.625 | 4 | 0 | 8 |
| 81 | B:B:L252 | 2.0425 | 4 | 0 | 7 |
| 82 | B:B:F253 | 5.8875 | 4 | 13 | 6 |
| 83 | B:B:Y264 | 5.7875 | 4 | 3 | 5 |
| 84 | B:B:I273 | 4.105 | 4 | 0 | 6 |
| 85 | B:B:V276 | 3.6 | 4 | 0 | 6 |
| 86 | B:B:F278 | 3.67333 | 6 | 3 | 7 |
| 87 | B:B:R283 | 8.84 | 5 | 19 | 9 |
| 88 | B:B:L285 | 3.3925 | 4 | 3 | 6 |
| 89 | B:B:Y289 | 5.78667 | 6 | 3 | 7 |
| 90 | B:B:N295 | 9.2075 | 4 | 3 | 6 |
| 91 | B:B:R304 | 3.8925 | 4 | 3 | 5 |
| 92 | B:B:H311 | 8 | 4 | 30 | 9 |
| 93 | B:B:R314 | 10.2675 | 4 | 0 | 8 |
| 94 | B:B:T329 | 4.8375 | 4 | 0 | 8 |
| 95 | B:B:W332 | 9.54833 | 6 | 18 | 9 |
| 96 | B:B:D333 | 11.29 | 4 | 30 | 9 |
| 97 | B:B:F335 | 5.4175 | 4 | 0 | 4 |
| 98 | B:B:K337 | 3.58 | 4 | 0 | 6 |
| 99 | G:G:L51 | 4.6125 | 4 | 0 | 6 |
| 100 | G:G:V54 | 3.22 | 4 | 4 | 6 |
| 101 | G:G:N59 | 6.815 | 4 | 4 | 9 |
| 102 | G:G:P60 | 6.465 | 4 | 4 | 9 |
| 103 | G:G:F61 | 5.38857 | 7 | 4 | 8 |
| 104 | R:R:I15 | 6.5175 | 4 | 5 | 2 |
| 105 | R:R:H17 | 7.705 | 4 | 5 | 4 |
| 106 | R:R:N39 | 4.624 | 5 | 0 | 9 |
| 107 | R:R:F45 | 4.63 | 4 | 0 | 6 |
| 108 | R:R:Q49 | 2.778 | 5 | 28 | 4 |
| 109 | R:R:Y59 | 7.89 | 4 | 1 | 7 |
| 110 | R:R:L63 | 3.735 | 4 | 6 | 9 |
| 111 | R:R:D67 | 5.5775 | 4 | 6 | 9 |
| 112 | R:R:Y70 | 6.334 | 5 | 0 | 6 |
| 113 | R:R:L74 | 2.325 | 4 | 0 | 7 |
| 114 | R:R:W77 | 6.93 | 5 | 0 | 6 |
| 115 | R:R:D85 | 14.8475 | 4 | 5 | 4 |
| 116 | R:R:W87 | 6.7775 | 4 | 0 | 9 |
| 117 | R:R:Y102 | 7.166 | 5 | 0 | 5 |
| 118 | R:R:Y106 | 7.51 | 4 | 32 | 7 |
| 119 | R:R:I107 | 5.16 | 4 | 6 | 7 |
| 120 | R:R:F111 | 6.27 | 5 | 6 | 7 |
| 121 | R:R:D118 | 6.7575 | 4 | 1 | 8 |
| 122 | R:R:R119 | 5.3975 | 4 | 1 | 9 |
| 123 | R:R:Y120 | 4.265 | 4 | 33 | 8 |
| 124 | R:R:W146 | 4.395 | 4 | 6 | 9 |
| 125 | R:R:F156 | 4.8275 | 4 | 0 | 4 |
| 126 | R:R:H169 | 9.61 | 4 | 5 | 2 |
| 127 | R:R:F173 | 7.886 | 5 | 0 | 3 |
| 128 | R:R:F194 | 7.49 | 4 | 14 | 8 |
| 129 | R:R:Y205 | 6.86 | 5 | 1 | 8 |
| 130 | R:R:L209 | 1.7125 | 4 | 0 | 5 |
| 131 | R:R:F237 | 4.8425 | 4 | 14 | 9 |
| 132 | R:R:F241 | 4.985 | 6 | 14 | 9 |
| 133 | R:R:L242 | 4.085 | 4 | 14 | 4 |
| 134 | R:R:Y244 | 6.9825 | 4 | 0 | 7 |
| 135 | R:R:H245 | 7.5725 | 4 | 0 | 8 |
| 136 | R:R:F265 | 8.372 | 5 | 5 | 3 |
| 137 | R:R:Y268 | 9.4425 | 4 | 0 | 5 |
| 138 | R:R:D282 | 8.42 | 4 | 6 | 9 |
| 139 | R:R:Y286 | 4.9175 | 4 | 1 | 9 |
| Color | ConSurf Grade |
| No Conservation data available | |
| 1 | |
| 2 | |
| 3 | |
| 4 | |
| 5 | |
| 6 | |
| 7 | |
| 8 | |
| 9 |
Index: link id, click on each number to highlight the corresponding link in the 3D visualization.
Node1 Node2: the two nodes of the corresponding link.
Recurrence: the relative Recurrence in the pool of shortest paths.
Int. Strength: the interaction strength between the two nodes.
Hub1?, Hub2?: "Yes" if the corresponding node has more than 3 links, otherwise "No".
Community: the id of the community the link belong to, otherwise 0.
ConSurf1, ConSurf2: these columns report the ConSurf conservation grades of the two nodes involved in a link.
| Index | Node1 | Node2 | Recurrence | Int. Strength | Hub1? | Hub2? | Community | ConSurf1 | ConSurf2 |
|---|---|---|---|---|---|---|---|---|---|
| 1 | B:B:D66 | B:B:R68 | 12.5268 | 2.38 | No | No | 0 | 8 | 5 |
| 2 | B:B:D66 | B:B:L69 | 12.1994 | 12.21 | No | No | 0 | 8 | 5 |
| 3 | B:B:L69 | B:B:Y105 | 11.8719 | 3.52 | No | Yes | 0 | 5 | 6 |
| 4 | B:B:R68 | B:B:Y85 | 16.0124 | 20.58 | No | No | 0 | 5 | 4 |
| 5 | B:B:Y85 | G:G:F61 | 16.2522 | 7.22 | No | Yes | 4 | 4 | 8 |
| 6 | B:B:W63 | G:G:F61 | 26.6466 | 3.01 | No | Yes | 4 | 7 | 8 |
| 7 | B:B:L70 | B:B:W63 | 27.9433 | 6.83 | No | No | 0 | 5 | 7 |
| 8 | B:B:L70 | B:B:M61 | 28.2632 | 4.24 | No | Yes | 0 | 5 | 6 |
| 9 | B:B:C317 | B:B:M61 | 29.2259 | 4.86 | No | Yes | 0 | 7 | 6 |
| 10 | B:B:C317 | B:B:S316 | 29.5469 | 3.44 | No | No | 0 | 7 | 9 |
| 11 | B:B:S316 | B:B:W332 | 29.8686 | 4.94 | No | Yes | 0 | 9 | 9 |
| 12 | B:B:R314 | B:B:W332 | 25.6957 | 15.99 | Yes | Yes | 0 | 8 | 9 |
| 13 | A:A:W281 | B:B:R314 | 49.2989 | 8 | Yes | Yes | 0 | 5 | 8 |
| 14 | A:A:N279 | A:A:W281 | 73.3109 | 3.39 | Yes | Yes | 0 | 8 | 5 |
| 15 | A:A:I235 | A:A:N279 | 73.5294 | 4.25 | No | Yes | 24 | 9 | 8 |
| 16 | A:A:I235 | A:A:R231 | 73.8096 | 3.76 | No | Yes | 0 | 9 | 9 |
| 17 | A:A:D272 | A:A:R231 | 97.6232 | 10.72 | No | Yes | 0 | 9 | 9 |
| 18 | A:A:D272 | A:A:F246 | 100 | 8.36 | No | No | 0 | 9 | 9 |
| 19 | A:A:F246 | A:A:V248 | 49.5441 | 2.62 | No | Yes | 0 | 9 | 7 |
| 20 | A:A:L291 | A:A:V248 | 49.2345 | 4.47 | Yes | Yes | 0 | 8 | 7 |
| 21 | A:A:L291 | A:A:S250 | 49.854 | 6.01 | Yes | Yes | 11 | 8 | 6 |
| 22 | A:A:L297 | A:A:S250 | 49.5215 | 3 | Yes | Yes | 11 | 8 | 6 |
| 23 | A:A:L297 | A:A:Y253 | 97.1655 | 3.52 | Yes | No | 0 | 8 | 8 |
| 24 | A:A:Y253 | A:A:Y311 | 97.7026 | 2.98 | No | No | 0 | 8 | 6 |
| 25 | A:A:N264 | A:A:Y311 | 97.4112 | 5.81 | No | No | 0 | 9 | 6 |
| 26 | A:A:D252 | A:A:N264 | 97.2653 | 4.04 | Yes | No | 0 | 8 | 9 |
| 27 | A:A:D249 | A:A:D252 | 96.3876 | 2.66 | No | Yes | 0 | 8 | 8 |
| 28 | A:A:D249 | A:A:K293 | 95.2603 | 8.3 | No | No | 0 | 8 | 9 |
| 29 | A:A:K293 | A:A:N292 | 94.8826 | 4.2 | No | No | 0 | 9 | 9 |
| 30 | A:A:N292 | A:A:V247 | 94.7347 | 4.43 | No | No | 0 | 9 | 7 |
| 31 | A:A:F290 | A:A:V247 | 94.5867 | 2.62 | Yes | No | 0 | 9 | 7 |
| 32 | A:A:F290 | A:A:I288 | 89.3547 | 3.77 | Yes | No | 0 | 9 | 9 |
| 33 | A:A:D378 | A:A:I288 | 89.055 | 11.2 | Yes | No | 0 | 7 | 9 |
| 34 | A:A:N239 | B:B:W332 | 23.6473 | 2.26 | No | Yes | 0 | 8 | 9 |
| 35 | A:A:N239 | A:A:W281 | 23.7895 | 2.26 | No | Yes | 0 | 8 | 5 |
| 36 | A:A:F246 | A:A:L289 | 50.5606 | 3.65 | No | Yes | 0 | 9 | 9 |
| 37 | A:A:L289 | A:A:L291 | 50.418 | 2.77 | Yes | Yes | 0 | 9 | 8 |
| 38 | A:A:L291 | A:A:Q294 | 49.5962 | 2.66 | Yes | Yes | 11 | 8 | 6 |
| 39 | A:A:L297 | A:A:Q294 | 49.5211 | 2.66 | Yes | Yes | 11 | 8 | 6 |
| 40 | A:A:V224 | A:A:W234 | 24.9842 | 12.26 | No | No | 0 | 9 | 9 |
| 41 | A:A:Q227 | A:A:V224 | 23.9703 | 2.87 | No | No | 0 | 9 | 9 |
| 42 | A:A:Q227 | B:B:Y145 | 23.4617 | 3.38 | No | Yes | 0 | 9 | 8 |
| 43 | A:A:K233 | B:B:Y145 | 10.9227 | 4.78 | Yes | Yes | 0 | 9 | 8 |
| 44 | A:A:D378 | A:A:I382 | 12.5016 | 8.4 | Yes | Yes | 26 | 7 | 6 |
| 45 | A:A:D378 | A:A:Y360 | 74.6353 | 11.49 | Yes | Yes | 26 | 7 | 8 |
| 46 | A:A:R385 | A:A:Y360 | 74.0488 | 4.12 | Yes | Yes | 0 | 5 | 8 |
| 47 | A:A:I382 | A:A:M386 | 12.2545 | 1.46 | Yes | No | 0 | 6 | 3 |
| 48 | A:A:I383 | A:A:M386 | 12.1248 | 1.46 | No | No | 0 | 8 | 3 |
| 49 | A:A:H387 | A:A:I383 | 11.2486 | 6.63 | Yes | No | 1 | 8 | 8 |
| 50 | A:A:R385 | A:A:R389 | 73.2927 | 3.2 | Yes | No | 0 | 5 | 4 |
| 51 | A:A:L394 | A:A:R389 | 73.1336 | 3.64 | No | No | 0 | 8 | 4 |
| 52 | A:A:L394 | R:R:I226 | 69.8136 | 2.85 | No | No | 0 | 8 | 7 |
| 53 | A:A:L393 | R:R:I226 | 69.6536 | 2.85 | No | No | 0 | 8 | 7 |
| 54 | A:A:L393 | R:R:R119 | 69.4948 | 6.07 | No | Yes | 0 | 8 | 9 |
| 55 | B:B:D290 | B:B:R314 | 26.9606 | 11.91 | No | Yes | 0 | 6 | 8 |
| 56 | B:B:C271 | B:B:D290 | 26.6451 | 6.22 | No | No | 0 | 5 | 6 |
| 57 | B:B:C271 | B:B:Y289 | 26.1519 | 4.03 | No | Yes | 3 | 5 | 7 |
| 58 | B:B:W297 | B:B:Y289 | 15.9981 | 5.79 | No | Yes | 3 | 8 | 7 |
| 59 | B:B:L285 | B:B:W297 | 13.9827 | 3.42 | Yes | No | 3 | 6 | 8 |
| 60 | B:B:F278 | B:B:L285 | 13.598 | 3.65 | Yes | Yes | 3 | 7 | 6 |
| 61 | B:B:G330 | B:B:I58 | 10.1762 | 3.53 | No | No | 0 | 5 | 9 |
| 62 | B:B:G330 | B:B:T329 | 10.4957 | 3.64 | No | Yes | 0 | 5 | 8 |
| 63 | B:B:H311 | B:B:T329 | 14.3246 | 5.48 | Yes | Yes | 0 | 9 | 8 |
| 64 | B:B:G162 | B:B:Y145 | 10.7703 | 5.79 | No | Yes | 0 | 9 | 8 |
| 65 | B:B:G162 | B:B:S161 | 10.4145 | 3.71 | No | No | 0 | 9 | 9 |
| 66 | B:B:D333 | B:B:H311 | 18.8627 | 11.35 | Yes | Yes | 30 | 9 | 9 |
| 67 | B:B:D312 | B:B:D333 | 21.4604 | 10.65 | No | Yes | 0 | 5 | 9 |
| 68 | B:B:D312 | B:B:N313 | 21.7843 | 4.04 | No | No | 0 | 5 | 7 |
| 69 | R:R:R119 | R:R:Y286 | 47.2566 | 4.12 | Yes | Yes | 1 | 9 | 9 |
| 70 | R:R:L112 | R:R:Y286 | 46.5952 | 8.21 | No | Yes | 0 | 8 | 9 |
| 71 | R:R:D282 | R:R:L112 | 46.4237 | 5.43 | Yes | No | 0 | 9 | 8 |
| 72 | R:R:D282 | R:R:D67 | 32.6724 | 6.65 | Yes | Yes | 6 | 9 | 9 |
| 73 | R:R:C279 | R:R:D67 | 29.1646 | 6.22 | No | Yes | 0 | 8 | 9 |
| 74 | R:R:C279 | R:R:Y70 | 28.9561 | 5.38 | No | Yes | 0 | 8 | 6 |
| 75 | R:R:L101 | R:R:Y70 | 25.7173 | 4.69 | No | Yes | 0 | 6 | 6 |
| 76 | R:R:L101 | R:R:Y102 | 19.4405 | 7.03 | No | Yes | 0 | 6 | 5 |
| 77 | R:R:F265 | R:R:H269 | 14.3399 | 23.76 | Yes | No | 0 | 3 | 4 |
| 78 | R:R:D282 | R:R:N278 | 11.6421 | 14.81 | Yes | No | 0 | 9 | 9 |
| 79 | R:R:R119 | R:R:Y205 | 22.2202 | 5.14 | Yes | Yes | 1 | 9 | 8 |
| 80 | R:R:S116 | R:R:Y205 | 21.5292 | 12.72 | No | Yes | 1 | 9 | 8 |
| 81 | R:R:L201 | R:R:S116 | 21.3929 | 3 | No | No | 0 | 8 | 9 |
| 82 | R:R:F237 | R:R:L201 | 21.2369 | 3.65 | Yes | No | 0 | 9 | 8 |
| 83 | R:R:H245 | R:R:Y106 | 12.1011 | 6.53 | Yes | Yes | 0 | 8 | 7 |
| 84 | R:R:E103 | R:R:Y106 | 10.728 | 5.61 | No | Yes | 32 | 5 | 7 |
| 85 | R:R:F237 | R:R:F241 | 10.9751 | 7.5 | Yes | Yes | 14 | 9 | 9 |
| 86 | R:R:F241 | R:R:H245 | 13.0633 | 3.39 | Yes | Yes | 0 | 9 | 8 |
| 87 | R:R:F241 | R:R:N278 | 11.3321 | 3.62 | Yes | No | 0 | 9 | 9 |
| 88 | R:R:W181 | R:R:Y155 | 11.3945 | 2.89 | No | No | 0 | 3 | 8 |
| 89 | B:B:N313 | B:B:W332 | 22.4318 | 3.39 | No | Yes | 0 | 7 | 9 |
| 90 | A:A:R231 | A:A:W234 | 25.0464 | 9 | Yes | No | 0 | 9 | 9 |
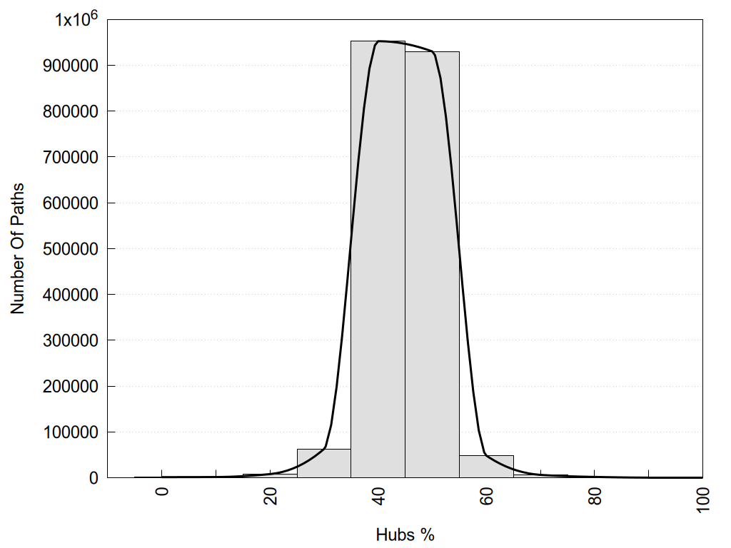
2D representation of the global metapath, ligand(s) interactions and
histograms of path distribution according to several parameters
(click on the image to enlarge it 🔍):

A 2D representation of the global communication in the network.
ConSurf Conservation Grade (See documentation):
n/a 1 2 3 4 5 6 7 8 9
there is no ligand in network 8Z5H |
|
|
|
| Annotation | Type | Links |
|---|---|---|
| Gene Ontology | Molecular Function | |
| Gene Ontology | Biological Process | |
| Gene Ontology | Cellular Component | |
| SCOP2 | Domain Identifier | • Transducin (heterotrimeric G protein), gamma chain |
| SCOP2 | Family Identifier | • Transducin (heterotrimeric G protein), gamma chain |
| Membrane Protein Annotations | - | • Orientations of Proteins in Membranes database (OPM) • Protein Data Bank of Transmembrane Proteins (PDBTM) • MemProtMD |
| This receptor, from the same or other species and bound to the same or other ligands, is also present in the following networks: | ||||||||||||
|---|---|---|---|---|---|---|---|---|---|---|---|---|
| Show | PDB | Class | SubFamily | Type | SubType | Species | Orthosteric Ligand | Other Ligand(s) | Protein Partners | Resolution | Date | DOI |
| 9BHM | A | Orphan | Orphan | GPR68 | Homo sapiens | - | - | Gs/β1 | 2.9 | 2025-01-22 | doi.org/10.1016/j.cell.2024.11.036 | |
| 9BHM (No Gprot) | A | Orphan | Orphan | GPR68 | Homo sapiens | - | - | 2.9 | 2025-01-22 | doi.org/10.1016/j.cell.2024.11.036 | ||
| 9BI6 | A | Orphan | Orphan | GPR68 | Homo sapiens | - | - | chim(Gs-CtGq)/β1/γ2 | 2.9 | 2025-01-22 | doi.org/10.1016/j.cell.2024.11.036 | |
| 9BI6 (No Gprot) | A | Orphan | Orphan | GPR68 | Homo sapiens | - | - | 2.9 | 2025-01-22 | doi.org/10.1016/j.cell.2024.11.036 | ||
| 8Z3O | A | Orphan | Orphan | GPR68 | Homo sapiens | - | - | - | 3.3 | 2025-04-23 | To be published | |
| 8Z5H | A | Orphan | Orphan | GPR68 | Homo sapiens | - | - | chim(NtGi1-Gs)/β1/γ2 | 3.3 | 2025-04-23 | To be published | |
| 8Z5H (No Gprot) | A | Orphan | Orphan | GPR68 | Homo sapiens | - | - | 3.3 | 2025-04-23 | To be published | ||
| 8Z68 | A | Orphan | Orphan | GPR68 | Homo sapiens | - | - | chim(NtGi1-Gs)/β1/γ2 | 2.64 | 2025-04-23 | To be published | |
| 8Z68 (No Gprot) | A | Orphan | Orphan | GPR68 | Homo sapiens | - | - | 2.64 | 2025-04-23 | To be published | ||
You can download a compressed (zip) file with structure(s), 3D outputs (as PyMol and VMD scripts) and numerical data files (as csv and plain text files).
Download 8Z5H.zipYou can click to copy the link of this page to easily come back here later
or use this QR code to link and share this page.
You can also read or download a guide explaining the meaning of all files and numerical data.