| Color | ConSurf Grade |
| No Conservation data available | |
| 1 | |
| 2 | |
| 3 | |
| 4 | |
| 5 | |
| 6 | |
| 7 | |
| 8 | |
| 9 |
Index: link id, click on each number to highlight the corresponding link in the 3D visualization.
Node1 Node2: the two nodes of the corresponding link.
Int. Strength: the interaction strength between the two nodes.
Hub1?, Hub2?: "Yes" if the corresponding node has more than 3 links, otherwise "No".
Community: the id of the community the link belong to, otherwise 0.
ConSurf1, ConSurf2: these columns report the ConSurf conservation grades of the two nodes involved in a link.
| Index | Node1 | Node2 | Int. Strength | Hub1? | Hub2? | Community | ConSurf1 | ConSurf2 |
|---|---|---|---|---|---|---|---|---|
| 1 | A:A:D16 | A:A:L12 | 9.5 | No | No | 0 | 4 | 2 |
| 2 | A:A:D16 | A:A:S13 | 2.94 | No | No | 0 | 4 | 7 |
| 3 | A:A:E21 | A:A:M25 | 6.77 | No | No | 0 | 2 | 4 |
| 4 | A:A:S23 | B:B:N88 | 2.98 | No | Yes | 0 | 7 | 7 |
| 5 | A:A:S23 | B:B:K89 | 3.06 | No | Yes | 0 | 7 | 9 |
| 6 | A:A:E27 | B:B:K89 | 5.4 | No | Yes | 0 | 6 | 9 |
| 7 | A:A:K32 | A:A:Q29 | 9.49 | No | No | 0 | 4 | 4 |
| 8 | A:A:D33 | A:A:Q29 | 3.92 | No | No | 0 | 5 | 4 |
| 9 | A:A:D33 | B:B:K78 | 5.53 | No | No | 0 | 5 | 8 |
| 10 | A:A:K34 | A:A:R38 | 3.71 | No | No | 0 | 4 | 4 |
| 11 | A:A:K34 | B:B:L55 | 4.23 | No | No | 0 | 4 | 6 |
| 12 | A:A:R42 | A:A:Y37 | 16.46 | No | No | 0 | 9 | 4 |
| 13 | A:A:R38 | R:R:R130 | 4.26 | No | Yes | 0 | 4 | 6 |
| 14 | A:A:H220 | A:A:T40 | 6.85 | No | No | 0 | 7 | 7 |
| 15 | A:A:F219 | A:A:H41 | 7.92 | Yes | Yes | 3 | 8 | 6 |
| 16 | A:A:H41 | A:A:T242 | 4.11 | Yes | No | 0 | 6 | 8 |
| 17 | A:A:H41 | A:A:I383 | 3.98 | Yes | No | 3 | 6 | 8 |
| 18 | A:A:H41 | R:R:L123 | 3.86 | Yes | No | 3 | 6 | 6 |
| 19 | A:A:L43 | A:A:M221 | 5.65 | No | Yes | 0 | 7 | 8 |
| 20 | A:A:L44 | A:A:L46 | 4.15 | No | No | 0 | 9 | 8 |
| 21 | A:A:F238 | A:A:L44 | 9.74 | Yes | No | 0 | 9 | 9 |
| 22 | A:A:K53 | A:A:L45 | 5.64 | No | No | 0 | 9 | 8 |
| 23 | A:A:L45 | A:A:M221 | 7.07 | No | Yes | 0 | 8 | 8 |
| 24 | A:A:I245 | A:A:L45 | 4.28 | No | No | 0 | 7 | 8 |
| 25 | A:A:D49 | A:A:N50 | 5.39 | No | Yes | 10 | 7 | 6 |
| 26 | A:A:D49 | A:A:R265 | 3.57 | No | No | 10 | 7 | 9 |
| 27 | A:A:D252 | A:A:N50 | 12.12 | No | Yes | 10 | 8 | 6 |
| 28 | A:A:N50 | A:A:R265 | 9.64 | Yes | No | 10 | 6 | 9 |
| 29 | A:A:S51 | A:A:V247 | 4.85 | No | Yes | 0 | 9 | 7 |
| 30 | A:A:D223 | A:A:K53 | 12.44 | No | No | 0 | 9 | 9 |
| 31 | A:A:S366 | A:A:T55 | 6.4 | No | No | 0 | 9 | 9 |
| 32 | A:A:I56 | A:A:M60 | 2.92 | No | No | 0 | 7 | 9 |
| 33 | A:A:I56 | A:A:V247 | 3.07 | No | Yes | 0 | 7 | 7 |
| 34 | A:A:R61 | A:A:V57 | 3.92 | No | No | 0 | 8 | 7 |
| 35 | A:A:F212 | A:A:M60 | 7.46 | No | No | 0 | 9 | 9 |
| 36 | A:A:I375 | A:A:M60 | 2.92 | No | No | 0 | 9 | 9 |
| 37 | A:A:R61 | A:A:T210 | 10.35 | No | No | 0 | 8 | 7 |
| 38 | A:A:H64 | A:A:Y63 | 11.98 | No | No | 0 | 8 | 2 |
| 39 | A:A:A372 | A:A:H64 | 4.39 | No | No | 0 | 8 | 8 |
| 40 | A:A:S205 | A:A:V202 | 6.46 | No | No | 0 | 7 | 6 |
| 41 | A:A:K203 | A:A:T204 | 4.5 | No | No | 0 | 7 | 9 |
| 42 | A:A:G206 | B:B:N119 | 3.39 | No | No | 0 | 8 | 9 |
| 43 | A:A:F222 | A:A:I207 | 3.77 | Yes | No | 0 | 7 | 9 |
| 44 | A:A:E209 | A:A:K211 | 14.85 | No | No | 17 | 9 | 4 |
| 45 | A:A:E209 | A:A:H220 | 11.08 | No | No | 17 | 9 | 7 |
| 46 | A:A:E209 | A:A:F222 | 12.83 | No | Yes | 0 | 9 | 7 |
| 47 | A:A:H220 | A:A:K211 | 11.79 | No | No | 17 | 7 | 4 |
| 48 | A:A:F212 | A:A:F219 | 11.79 | No | Yes | 0 | 9 | 8 |
| 49 | A:A:F212 | A:A:M221 | 3.73 | No | Yes | 0 | 9 | 8 |
| 50 | A:A:K216 | A:A:Q213 | 5.42 | No | No | 0 | 4 | 3 |
| 51 | A:A:N218 | A:A:Q213 | 6.6 | No | No | 0 | 4 | 3 |
| 52 | A:A:D215 | A:A:V214 | 4.38 | No | Yes | 3 | 5 | 6 |
| 53 | A:A:R373 | A:A:V214 | 5.23 | No | Yes | 3 | 5 | 6 |
| 54 | A:A:F376 | A:A:V214 | 6.55 | Yes | Yes | 3 | 8 | 6 |
| 55 | A:A:D215 | A:A:R373 | 7.15 | No | No | 3 | 5 | 5 |
| 56 | A:A:D215 | A:A:F376 | 3.58 | No | Yes | 3 | 5 | 8 |
| 57 | A:A:F219 | A:A:F376 | 3.22 | Yes | Yes | 3 | 8 | 8 |
| 58 | A:A:C379 | A:A:F219 | 5.59 | No | Yes | 0 | 8 | 8 |
| 59 | A:A:F222 | B:B:W99 | 20.04 | Yes | Yes | 0 | 7 | 9 |
| 60 | A:A:V224 | A:A:W234 | 8.58 | No | Yes | 0 | 9 | 9 |
| 61 | A:A:Q227 | B:B:N119 | 5.28 | No | No | 1 | 9 | 9 |
| 62 | A:A:Q227 | B:B:G144 | 4.93 | No | No | 1 | 9 | 8 |
| 63 | A:A:Q227 | B:B:Y145 | 10.15 | No | Yes | 1 | 9 | 8 |
| 64 | A:A:E230 | A:A:R228 | 11.63 | No | No | 0 | 9 | 9 |
| 65 | A:A:R228 | B:B:D186 | 5.96 | No | Yes | 0 | 9 | 9 |
| 66 | A:A:D229 | A:A:E230 | 9.09 | No | No | 0 | 8 | 9 |
| 67 | A:A:R231 | A:A:W234 | 6 | Yes | Yes | 18 | 9 | 9 |
| 68 | A:A:I235 | A:A:R231 | 6.26 | No | Yes | 18 | 9 | 9 |
| 69 | A:A:D272 | A:A:R231 | 11.91 | No | Yes | 0 | 8 | 9 |
| 70 | A:A:I276 | A:A:R231 | 6.26 | No | Yes | 0 | 8 | 9 |
| 71 | A:A:R232 | B:B:D228 | 11.91 | No | Yes | 0 | 8 | 9 |
| 72 | A:A:K233 | A:A:Q236 | 4.07 | Yes | No | 1 | 9 | 8 |
| 73 | A:A:K233 | B:B:M188 | 7.2 | Yes | Yes | 1 | 9 | 8 |
| 74 | A:A:K233 | B:B:C204 | 4.85 | Yes | Yes | 1 | 9 | 7 |
| 75 | A:A:K233 | B:B:N230 | 4.2 | Yes | No | 0 | 9 | 9 |
| 76 | A:A:I235 | A:A:W234 | 5.87 | No | Yes | 18 | 9 | 9 |
| 77 | A:A:F238 | A:A:W234 | 4.01 | Yes | Yes | 0 | 9 | 9 |
| 78 | A:A:I235 | A:A:L282 | 4.28 | No | No | 0 | 9 | 9 |
| 79 | A:A:Q236 | A:A:W281 | 14.24 | No | No | 1 | 8 | 5 |
| 80 | A:A:Q236 | B:B:R314 | 3.5 | No | Yes | 1 | 8 | 8 |
| 81 | A:A:C237 | B:B:Y59 | 4.03 | No | Yes | 1 | 8 | 8 |
| 82 | A:A:C237 | B:B:Q75 | 6.1 | No | No | 1 | 8 | 9 |
| 83 | A:A:F238 | A:A:V241 | 3.93 | Yes | No | 0 | 9 | 9 |
| 84 | A:A:F238 | B:B:W99 | 12.03 | Yes | Yes | 0 | 9 | 9 |
| 85 | A:A:D240 | A:A:N239 | 9.42 | No | No | 1 | 6 | 8 |
| 86 | A:A:N239 | B:B:K57 | 8.39 | No | Yes | 1 | 8 | 9 |
| 87 | A:A:N239 | B:B:W332 | 7.91 | No | Yes | 1 | 8 | 9 |
| 88 | A:A:D240 | B:B:K57 | 11.06 | No | Yes | 1 | 6 | 9 |
| 89 | A:A:I285 | A:A:V241 | 3.07 | No | No | 0 | 7 | 9 |
| 90 | A:A:A243 | A:A:I288 | 3.25 | No | No | 0 | 8 | 9 |
| 91 | A:A:I244 | A:A:L282 | 4.28 | No | No | 0 | 8 | 9 |
| 92 | A:A:I244 | A:A:I285 | 2.94 | No | No | 0 | 8 | 7 |
| 93 | A:A:I245 | A:A:I375 | 2.94 | No | No | 0 | 7 | 9 |
| 94 | A:A:F246 | A:A:F273 | 4.29 | No | No | 0 | 9 | 9 |
| 95 | A:A:F290 | A:A:V247 | 6.55 | Yes | Yes | 0 | 9 | 7 |
| 96 | A:A:N292 | A:A:V247 | 4.43 | Yes | Yes | 0 | 9 | 7 |
| 97 | A:A:F345 | A:A:V248 | 3.93 | Yes | No | 0 | 8 | 7 |
| 98 | A:A:D249 | A:A:S251 | 5.89 | No | No | 0 | 8 | 9 |
| 99 | A:A:D249 | A:A:D252 | 11.98 | No | No | 0 | 8 | 8 |
| 100 | A:A:D249 | A:A:K293 | 12.44 | No | No | 0 | 8 | 9 |
| 101 | A:A:L291 | A:A:S250 | 3 | No | No | 0 | 8 | 6 |
| 102 | A:A:L296 | A:A:S251 | 4.5 | No | No | 0 | 6 | 9 |
| 103 | A:A:D252 | A:A:R265 | 3.57 | No | No | 10 | 8 | 9 |
| 104 | A:A:K300 | A:A:Y253 | 5.97 | No | No | 0 | 9 | 8 |
| 105 | A:A:I308 | A:A:Y253 | 14.51 | No | No | 0 | 7 | 8 |
| 106 | A:A:Y253 | A:A:Y311 | 2.98 | No | No | 0 | 8 | 6 |
| 107 | A:A:N254 | A:A:Y311 | 12.79 | No | No | 0 | 9 | 6 |
| 108 | A:A:I341 | A:A:L266 | 4.28 | No | No | 0 | 8 | 8 |
| 109 | A:A:N271 | A:A:Q267 | 5.28 | No | No | 0 | 5 | 4 |
| 110 | A:A:E344 | A:A:L270 | 3.98 | Yes | No | 0 | 5 | 6 |
| 111 | A:A:F345 | A:A:L270 | 10.96 | Yes | No | 0 | 8 | 6 |
| 112 | A:A:F273 | A:A:F345 | 7.5 | No | Yes | 0 | 9 | 8 |
| 113 | A:A:F273 | A:A:I348 | 6.28 | No | No | 0 | 9 | 4 |
| 114 | A:A:K274 | A:A:N278 | 4.2 | No | No | 0 | 5 | 8 |
| 115 | A:A:I348 | A:A:K274 | 7.27 | No | No | 0 | 4 | 5 |
| 116 | A:A:V287 | A:A:W277 | 4.9 | No | No | 0 | 6 | 6 |
| 117 | A:A:S349 | A:A:W277 | 3.71 | Yes | No | 0 | 7 | 6 |
| 118 | A:A:H357 | A:A:W277 | 19.04 | No | No | 0 | 7 | 6 |
| 119 | A:A:N278 | A:A:S352 | 4.47 | No | No | 0 | 8 | 5 |
| 120 | A:A:R280 | A:A:W281 | 9 | No | No | 0 | 5 | 5 |
| 121 | A:A:W281 | B:B:R314 | 7 | No | Yes | 1 | 5 | 8 |
| 122 | A:A:I382 | A:A:S286 | 7.74 | No | No | 0 | 6 | 8 |
| 123 | A:A:F290 | A:A:I288 | 3.77 | Yes | No | 0 | 9 | 9 |
| 124 | A:A:D378 | A:A:I288 | 11.2 | No | No | 0 | 7 | 9 |
| 125 | A:A:F345 | A:A:L289 | 3.65 | Yes | No | 0 | 8 | 9 |
| 126 | A:A:L289 | A:A:P361 | 4.93 | No | No | 0 | 9 | 5 |
| 127 | A:A:F290 | A:A:H362 | 3.39 | Yes | No | 0 | 9 | 9 |
| 128 | A:A:F290 | A:A:T364 | 9.08 | Yes | Yes | 11 | 9 | 9 |
| 129 | A:A:F290 | A:A:N371 | 6.04 | Yes | No | 11 | 9 | 9 |
| 130 | A:A:F363 | A:A:L291 | 6.09 | Yes | No | 0 | 5 | 8 |
| 131 | A:A:K293 | A:A:N292 | 4.2 | No | Yes | 0 | 9 | 9 |
| 132 | A:A:N292 | A:A:T364 | 4.39 | Yes | Yes | 0 | 9 | 9 |
| 133 | A:A:N292 | A:A:S366 | 5.96 | Yes | No | 0 | 9 | 9 |
| 134 | A:A:L297 | A:A:Q294 | 3.99 | No | No | 0 | 8 | 6 |
| 135 | A:A:K338 | A:A:Q294 | 5.42 | No | No | 4 | 5 | 6 |
| 136 | A:A:F363 | A:A:Q294 | 7.03 | Yes | No | 4 | 5 | 6 |
| 137 | A:A:D295 | A:A:E299 | 5.2 | No | No | 0 | 9 | 6 |
| 138 | A:A:K300 | A:A:S306 | 6.12 | No | No | 0 | 9 | 7 |
| 139 | A:A:D331 | A:A:L302 | 4.07 | No | No | 0 | 4 | 2 |
| 140 | A:A:L302 | A:A:V334 | 2.98 | No | No | 0 | 2 | 4 |
| 141 | A:A:K305 | A:A:S306 | 12.24 | No | No | 0 | 3 | 7 |
| 142 | A:A:E309 | A:A:K307 | 14.85 | No | No | 0 | 4 | 6 |
| 143 | A:A:F315 | A:A:I308 | 7.54 | No | No | 0 | 6 | 7 |
| 144 | A:A:D310 | A:A:E309 | 5.2 | No | No | 0 | 3 | 4 |
| 145 | A:A:D310 | A:A:Y311 | 18.39 | No | No | 0 | 3 | 6 |
| 146 | A:A:F312 | A:A:F340 | 3.22 | No | Yes | 0 | 8 | 7 |
| 147 | A:A:E314 | A:A:R347 | 5.82 | No | No | 0 | 6 | 4 |
| 148 | A:A:F315 | A:A:R336 | 12.83 | No | No | 0 | 6 | 5 |
| 149 | A:A:F315 | A:A:F340 | 9.65 | No | Yes | 0 | 6 | 7 |
| 150 | A:A:P321 | A:A:Y318 | 4.17 | No | No | 0 | 5 | 6 |
| 151 | A:A:F340 | A:A:Y318 | 6.19 | Yes | No | 0 | 7 | 6 |
| 152 | A:A:P321 | A:A:T320 | 3.5 | No | No | 0 | 5 | 1 |
| 153 | A:A:R336 | A:A:T320 | 3.88 | No | No | 0 | 5 | 1 |
| 154 | A:A:E330 | A:A:P326 | 3.14 | Yes | No | 4 | 3 | 1 |
| 155 | A:A:P326 | A:A:T335 | 5.25 | No | No | 4 | 1 | 4 |
| 156 | A:A:E327 | A:A:P328 | 3.14 | No | No | 0 | 4 | 1 |
| 157 | A:A:E327 | A:A:E330 | 6.34 | No | Yes | 0 | 4 | 3 |
| 158 | A:A:E330 | A:A:T335 | 7.06 | Yes | No | 4 | 3 | 4 |
| 159 | A:A:D331 | A:A:P332 | 8.05 | No | No | 0 | 4 | 1 |
| 160 | A:A:D331 | A:A:R333 | 14.29 | No | No | 0 | 4 | 5 |
| 161 | A:A:F363 | A:A:K338 | 11.17 | Yes | No | 4 | 5 | 5 |
| 162 | A:A:R342 | A:A:Y339 | 7.2 | Yes | No | 0 | 4 | 3 |
| 163 | A:A:D343 | A:A:F340 | 3.58 | No | Yes | 12 | 3 | 7 |
| 164 | A:A:E344 | A:A:F340 | 9.33 | Yes | Yes | 12 | 5 | 7 |
| 165 | A:A:L346 | A:A:R342 | 7.29 | No | Yes | 4 | 4 | 4 |
| 166 | A:A:P361 | A:A:R342 | 4.32 | No | Yes | 4 | 5 | 4 |
| 167 | A:A:F363 | A:A:R342 | 4.28 | Yes | Yes | 4 | 5 | 4 |
| 168 | A:A:D343 | A:A:E344 | 6.5 | No | Yes | 12 | 3 | 5 |
| 169 | A:A:D343 | A:A:R347 | 5.96 | No | No | 12 | 3 | 4 |
| 170 | A:A:E344 | A:A:R347 | 11.63 | Yes | No | 12 | 5 | 4 |
| 171 | A:A:L346 | A:A:S349 | 4.5 | No | Yes | 0 | 4 | 7 |
| 172 | A:A:L346 | A:A:P361 | 6.57 | No | No | 4 | 4 | 5 |
| 173 | A:A:C359 | A:A:S349 | 5.16 | No | Yes | 0 | 5 | 7 |
| 174 | A:A:Y358 | A:A:Y360 | 14.89 | No | Yes | 0 | 4 | 8 |
| 175 | A:A:Y358 | R:R:S213 | 7.63 | No | No | 0 | 4 | 3 |
| 176 | A:A:D378 | A:A:Y360 | 11.49 | No | Yes | 0 | 7 | 8 |
| 177 | A:A:D381 | A:A:Y360 | 9.2 | Yes | Yes | 0 | 8 | 8 |
| 178 | A:A:I382 | A:A:Y360 | 4.84 | No | Yes | 0 | 6 | 8 |
| 179 | A:A:H362 | A:A:R374 | 4.51 | No | Yes | 0 | 9 | 4 |
| 180 | A:A:D378 | A:A:H362 | 10.08 | No | No | 0 | 7 | 9 |
| 181 | A:A:N371 | A:A:T364 | 2.92 | No | Yes | 11 | 9 | 9 |
| 182 | A:A:R374 | A:A:T364 | 3.88 | Yes | Yes | 11 | 4 | 9 |
| 183 | A:A:C365 | A:A:D368 | 4.67 | No | No | 0 | 8 | 9 |
| 184 | A:A:D368 | A:A:R374 | 3.57 | No | Yes | 0 | 9 | 4 |
| 185 | A:A:E370 | A:A:R374 | 4.65 | No | Yes | 0 | 4 | 4 |
| 186 | A:A:N371 | A:A:R374 | 4.82 | No | Yes | 11 | 9 | 4 |
| 187 | A:A:F376 | R:R:L123 | 3.65 | Yes | No | 3 | 8 | 6 |
| 188 | A:A:R380 | R:R:P122 | 11.53 | No | No | 0 | 7 | 7 |
| 189 | A:A:D381 | R:R:S211 | 4.42 | Yes | No | 0 | 8 | 5 |
| 190 | A:A:D381 | R:R:V212 | 4.38 | Yes | No | 0 | 8 | 3 |
| 191 | A:A:D381 | R:R:S213 | 4.42 | Yes | No | 0 | 8 | 3 |
| 192 | A:A:H387 | A:A:I383 | 6.63 | Yes | No | 3 | 8 | 8 |
| 193 | A:A:I383 | R:R:L123 | 5.71 | No | No | 3 | 8 | 6 |
| 194 | A:A:R385 | R:R:T214 | 6.47 | No | Yes | 19 | 5 | 3 |
| 195 | A:A:R385 | R:R:E218 | 10.47 | No | Yes | 19 | 5 | 5 |
| 196 | A:A:H387 | A:A:Y391 | 4.36 | Yes | Yes | 3 | 8 | 4 |
| 197 | A:A:H387 | R:R:A118 | 4.39 | Yes | No | 3 | 8 | 8 |
| 198 | A:A:H387 | R:R:P122 | 3.05 | Yes | No | 0 | 8 | 7 |
| 199 | A:A:H387 | R:R:R129 | 3.39 | Yes | No | 3 | 8 | 7 |
| 200 | A:A:L388 | R:R:V119 | 2.98 | No | No | 0 | 8 | 8 |
| 201 | A:A:L394 | A:A:R389 | 3.64 | No | No | 0 | 8 | 4 |
| 202 | A:A:Q390 | A:A:Y391 | 12.4 | No | Yes | 0 | 4 | 4 |
| 203 | A:A:Q390 | R:R:N50 | 7.92 | No | No | 0 | 4 | 7 |
| 204 | A:A:Y391 | R:R:E51 | 8.98 | Yes | Yes | 3 | 4 | 7 |
| 205 | A:A:Y391 | R:R:D114 | 4.6 | Yes | No | 3 | 4 | 8 |
| 206 | A:A:Y391 | R:R:A118 | 9.34 | Yes | No | 3 | 4 | 8 |
| 207 | A:A:Y391 | R:R:R129 | 7.2 | Yes | No | 3 | 4 | 7 |
| 208 | A:A:E392 | R:R:Q45 | 7.65 | No | No | 0 | 6 | 5 |
| 209 | A:A:E392 | R:R:N290 | 6.57 | No | No | 0 | 6 | 8 |
| 210 | A:A:L394 | R:R:E218 | 3.98 | No | Yes | 0 | 8 | 5 |
| 211 | B:B:E3 | B:B:Q6 | 3.82 | No | No | 0 | 5 | 1 |
| 212 | B:B:D5 | B:B:Q9 | 9.14 | No | No | 0 | 1 | 3 |
| 213 | B:B:E10 | B:B:Q6 | 11.47 | No | No | 0 | 8 | 1 |
| 214 | B:B:E10 | B:B:L7 | 7.95 | No | No | 0 | 8 | 8 |
| 215 | B:B:L7 | G:G:V16 | 7.45 | No | No | 0 | 8 | 7 |
| 216 | B:B:E12 | B:B:R8 | 17.45 | No | No | 0 | 4 | 3 |
| 217 | B:B:L14 | B:B:Q17 | 3.99 | No | No | 0 | 8 | 4 |
| 218 | B:B:I18 | B:B:Q17 | 5.49 | No | No | 0 | 7 | 4 |
| 219 | B:B:Q17 | G:G:A23 | 4.55 | No | No | 0 | 4 | 8 |
| 220 | B:B:R19 | B:B:R22 | 15.99 | No | Yes | 0 | 4 | 6 |
| 221 | B:B:A21 | G:G:R27 | 5.53 | No | Yes | 0 | 4 | 8 |
| 222 | B:B:Q259 | B:B:R22 | 3.5 | No | Yes | 0 | 6 | 6 |
| 223 | B:B:R22 | G:G:R27 | 3.2 | Yes | Yes | 0 | 6 | 8 |
| 224 | B:B:C25 | G:G:R27 | 6.96 | No | Yes | 0 | 3 | 8 |
| 225 | B:B:A26 | B:B:Q259 | 4.55 | No | No | 0 | 3 | 6 |
| 226 | B:B:D27 | G:G:K29 | 12.44 | No | No | 0 | 8 | 4 |
| 227 | B:B:S31 | B:B:T29 | 4.8 | No | No | 0 | 1 | 3 |
| 228 | B:B:Q32 | B:B:T29 | 4.25 | No | No | 0 | 1 | 3 |
| 229 | B:B:L30 | B:B:T34 | 2.95 | No | No | 0 | 5 | 5 |
| 230 | B:B:L30 | B:B:M262 | 8.48 | No | No | 0 | 5 | 4 |
| 231 | B:B:L30 | B:B:L300 | 4.15 | No | No | 0 | 5 | 6 |
| 232 | B:B:I33 | G:G:M38 | 2.92 | Yes | No | 0 | 3 | 4 |
| 233 | B:B:I37 | B:B:T34 | 3.04 | Yes | No | 0 | 2 | 5 |
| 234 | B:B:I37 | B:B:N36 | 5.66 | Yes | No | 0 | 2 | 1 |
| 235 | B:B:I37 | B:B:R283 | 3.76 | Yes | Yes | 0 | 2 | 9 |
| 236 | B:B:I37 | G:G:M38 | 2.92 | Yes | No | 0 | 2 | 4 |
| 237 | B:B:D38 | B:B:P39 | 3.22 | No | No | 0 | 1 | 1 |
| 238 | B:B:I43 | B:B:V40 | 3.07 | No | Yes | 0 | 3 | 3 |
| 239 | B:B:R283 | B:B:V40 | 6.54 | Yes | Yes | 6 | 9 | 3 |
| 240 | B:B:D298 | B:B:V40 | 2.92 | No | Yes | 6 | 9 | 3 |
| 241 | B:B:V40 | G:G:L51 | 2.98 | Yes | Yes | 6 | 3 | 6 |
| 242 | B:B:Q44 | B:B:R42 | 3.5 | No | No | 0 | 4 | 2 |
| 243 | B:B:I43 | B:B:M45 | 4.37 | No | No | 0 | 3 | 4 |
| 244 | B:B:L308 | B:B:M45 | 7.07 | No | No | 0 | 7 | 4 |
| 245 | B:B:M45 | G:G:L50 | 4.24 | No | No | 0 | 4 | 9 |
| 246 | B:B:R46 | B:B:R48 | 3.2 | No | No | 0 | 5 | 7 |
| 247 | B:B:K337 | B:B:T47 | 9.01 | Yes | No | 8 | 6 | 3 |
| 248 | B:B:T47 | B:B:W339 | 8.49 | No | Yes | 8 | 3 | 9 |
| 249 | B:B:R48 | G:G:F61 | 3.21 | No | Yes | 0 | 7 | 8 |
| 250 | B:B:R48 | G:G:R62 | 12.79 | No | No | 0 | 7 | 7 |
| 251 | B:B:R49 | B:B:T87 | 3.88 | No | No | 0 | 7 | 5 |
| 252 | B:B:R49 | G:G:F61 | 7.48 | No | Yes | 0 | 7 | 8 |
| 253 | B:B:R52 | B:B:T50 | 3.88 | No | No | 0 | 7 | 3 |
| 254 | B:B:K337 | B:B:T50 | 7.51 | Yes | No | 0 | 6 | 3 |
| 255 | B:B:L51 | B:B:W82 | 19.36 | No | Yes | 0 | 9 | 9 |
| 256 | B:B:I338 | B:B:L51 | 4.28 | No | No | 0 | 5 | 9 |
| 257 | B:B:F335 | B:B:R52 | 7.48 | No | No | 0 | 4 | 7 |
| 258 | B:B:H54 | B:B:I58 | 9.28 | Yes | No | 0 | 9 | 9 |
| 259 | B:B:H54 | B:B:S72 | 6.97 | Yes | No | 0 | 9 | 9 |
| 260 | B:B:H54 | B:B:S74 | 5.58 | Yes | No | 0 | 9 | 9 |
| 261 | B:B:H54 | B:B:I80 | 11.93 | Yes | No | 0 | 9 | 8 |
| 262 | B:B:D76 | B:B:L55 | 8.14 | No | No | 0 | 9 | 6 |
| 263 | B:B:K57 | B:B:Y59 | 11.94 | Yes | Yes | 1 | 9 | 8 |
| 264 | B:B:K57 | B:B:W332 | 24.37 | Yes | Yes | 1 | 9 | 9 |
| 265 | B:B:Q75 | B:B:Y59 | 21.42 | No | Yes | 1 | 9 | 8 |
| 266 | B:B:W332 | B:B:Y59 | 11.58 | Yes | Yes | 1 | 9 | 8 |
| 267 | B:B:C317 | B:B:M61 | 3.24 | No | No | 0 | 7 | 6 |
| 268 | B:B:A328 | B:B:M61 | 3.22 | No | No | 0 | 5 | 6 |
| 269 | B:B:H62 | B:B:R150 | 10.16 | No | No | 0 | 6 | 6 |
| 270 | B:B:L70 | B:B:W63 | 3.42 | No | Yes | 0 | 5 | 7 |
| 271 | B:B:S84 | B:B:W63 | 4.94 | No | Yes | 0 | 5 | 7 |
| 272 | B:B:T321 | B:B:W63 | 4.85 | No | Yes | 0 | 7 | 7 |
| 273 | B:B:A328 | B:B:W63 | 3.89 | No | Yes | 0 | 5 | 7 |
| 274 | B:B:G64 | B:B:Y105 | 5.79 | No | Yes | 0 | 5 | 6 |
| 275 | B:B:D322 | B:B:T65 | 4.34 | No | No | 0 | 1 | 1 |
| 276 | B:B:D66 | B:B:R68 | 3.57 | No | No | 0 | 8 | 5 |
| 277 | B:B:D66 | B:B:L69 | 8.14 | No | No | 0 | 8 | 5 |
| 278 | B:B:S67 | B:B:T321 | 6.4 | No | No | 20 | 5 | 7 |
| 279 | B:B:D323 | B:B:S67 | 10.31 | No | No | 20 | 7 | 5 |
| 280 | B:B:D83 | B:B:R68 | 15.48 | No | No | 0 | 8 | 5 |
| 281 | B:B:R68 | B:B:Y85 | 19.55 | No | No | 0 | 5 | 4 |
| 282 | B:B:I81 | B:B:V71 | 3.07 | No | No | 0 | 7 | 8 |
| 283 | B:B:C103 | B:B:V71 | 5.12 | No | No | 0 | 8 | 8 |
| 284 | B:B:S72 | B:B:W82 | 3.71 | No | Yes | 0 | 9 | 9 |
| 285 | B:B:L336 | B:B:S72 | 4.5 | No | No | 0 | 7 | 9 |
| 286 | B:B:A73 | B:B:V100 | 3.39 | No | No | 0 | 9 | 9 |
| 287 | B:B:D76 | B:B:S74 | 10.31 | No | No | 0 | 9 | 9 |
| 288 | B:B:Q75 | B:B:W99 | 4.38 | No | Yes | 0 | 9 | 9 |
| 289 | B:B:D76 | B:B:K78 | 8.3 | No | No | 0 | 9 | 8 |
| 290 | B:B:G77 | B:B:L95 | 3.42 | No | Yes | 0 | 8 | 8 |
| 291 | B:B:L79 | B:B:L95 | 4.15 | No | Yes | 0 | 7 | 8 |
| 292 | B:B:C114 | B:B:L79 | 4.76 | No | No | 0 | 8 | 7 |
| 293 | B:B:I80 | B:B:W82 | 11.74 | No | Yes | 0 | 8 | 9 |
| 294 | B:B:H91 | B:B:I81 | 6.63 | Yes | No | 0 | 5 | 7 |
| 295 | B:B:I81 | B:B:L126 | 4.28 | No | No | 0 | 7 | 5 |
| 296 | B:B:K89 | B:B:W82 | 11.6 | Yes | Yes | 0 | 9 | 9 |
| 297 | B:B:D83 | B:B:T86 | 5.78 | No | No | 15 | 8 | 6 |
| 298 | B:B:D83 | B:B:N88 | 5.39 | No | Yes | 15 | 8 | 7 |
| 299 | B:B:I338 | B:B:S84 | 6.19 | No | No | 9 | 5 | 5 |
| 300 | B:B:S84 | G:G:F61 | 6.61 | No | Yes | 9 | 5 | 8 |
| 301 | B:B:Y85 | G:G:P60 | 13.91 | No | No | 9 | 4 | 9 |
| 302 | B:B:Y85 | G:G:F61 | 5.16 | No | Yes | 9 | 4 | 8 |
| 303 | B:B:N88 | B:B:T86 | 10.24 | Yes | No | 15 | 7 | 6 |
| 304 | B:B:H91 | B:B:V90 | 6.92 | Yes | No | 0 | 5 | 5 |
| 305 | B:B:H91 | B:B:V133 | 4.15 | Yes | Yes | 0 | 5 | 4 |
| 306 | B:B:I93 | B:B:P94 | 3.39 | No | No | 0 | 7 | 5 |
| 307 | B:B:I93 | B:B:Y124 | 7.25 | No | Yes | 21 | 7 | 6 |
| 308 | B:B:I93 | B:B:V133 | 9.22 | No | Yes | 21 | 7 | 4 |
| 309 | B:B:L95 | B:B:V100 | 2.98 | Yes | No | 0 | 8 | 9 |
| 310 | B:B:L95 | B:B:Y124 | 5.86 | Yes | Yes | 0 | 8 | 6 |
| 311 | B:B:D118 | B:B:S97 | 7.36 | No | No | 0 | 9 | 8 |
| 312 | B:B:S98 | B:B:W99 | 7.41 | No | Yes | 0 | 8 | 9 |
| 313 | B:B:L117 | B:B:W99 | 4.56 | No | Yes | 0 | 9 | 9 |
| 314 | B:B:G116 | B:B:M101 | 3.49 | No | No | 0 | 9 | 9 |
| 315 | B:B:M101 | B:B:Y145 | 4.79 | No | Yes | 0 | 9 | 8 |
| 316 | B:B:C149 | B:B:T102 | 6.76 | No | No | 0 | 8 | 8 |
| 317 | B:B:G109 | B:B:Y105 | 4.35 | No | Yes | 0 | 5 | 6 |
| 318 | B:B:A106 | B:B:F151 | 4.16 | No | Yes | 0 | 6 | 9 |
| 319 | B:B:G109 | B:B:S108 | 3.71 | No | No | 0 | 5 | 6 |
| 320 | B:B:N110 | B:B:S108 | 5.96 | Yes | No | 13 | 4 | 6 |
| 321 | B:B:D154 | B:B:S108 | 8.83 | No | No | 13 | 6 | 6 |
| 322 | B:B:N110 | B:B:Y111 | 4.65 | Yes | Yes | 13 | 4 | 4 |
| 323 | B:B:K127 | B:B:N110 | 6.99 | No | Yes | 0 | 4 | 4 |
| 324 | B:B:D154 | B:B:N110 | 4.04 | No | Yes | 13 | 6 | 4 |
| 325 | B:B:I123 | B:B:Y111 | 3.63 | No | Yes | 0 | 6 | 4 |
| 326 | B:B:N125 | B:B:Y111 | 8.14 | No | Yes | 0 | 4 | 4 |
| 327 | B:B:D154 | B:B:Y111 | 8.05 | No | Yes | 13 | 6 | 4 |
| 328 | B:B:V112 | B:B:Y124 | 3.79 | No | Yes | 0 | 8 | 6 |
| 329 | B:B:L126 | B:B:V112 | 2.98 | No | No | 0 | 5 | 8 |
| 330 | B:B:C114 | B:B:Y124 | 4.03 | No | Yes | 0 | 8 | 6 |
| 331 | B:B:L117 | B:B:Y145 | 3.52 | No | Yes | 0 | 9 | 8 |
| 332 | B:B:D118 | B:B:I120 | 8.4 | No | No | 0 | 9 | 6 |
| 333 | B:B:G144 | B:B:N119 | 3.39 | No | No | 1 | 8 | 9 |
| 334 | B:B:C121 | B:B:L139 | 3.17 | Yes | No | 0 | 8 | 9 |
| 335 | B:B:C121 | B:B:L146 | 3.17 | Yes | No | 1 | 8 | 7 |
| 336 | B:B:C121 | B:B:C149 | 3.64 | Yes | No | 0 | 8 | 8 |
| 337 | B:B:C121 | B:B:T159 | 3.38 | Yes | Yes | 1 | 8 | 9 |
| 338 | B:B:I123 | B:B:S136 | 3.1 | No | No | 0 | 6 | 4 |
| 339 | B:B:I123 | B:B:I171 | 5.89 | No | No | 0 | 6 | 6 |
| 340 | B:B:V133 | B:B:Y124 | 3.79 | Yes | Yes | 21 | 4 | 6 |
| 341 | B:B:V135 | B:B:Y124 | 6.31 | No | Yes | 0 | 4 | 6 |
| 342 | B:B:N125 | B:B:T128 | 5.85 | No | No | 0 | 4 | 3 |
| 343 | B:B:L126 | B:B:V133 | 4.47 | No | Yes | 0 | 5 | 4 |
| 344 | B:B:E130 | B:B:T128 | 4.23 | No | No | 0 | 3 | 3 |
| 345 | B:B:R134 | B:B:T128 | 5.17 | No | No | 0 | 3 | 3 |
| 346 | B:B:E130 | B:B:R129 | 4.65 | No | No | 0 | 3 | 3 |
| 347 | B:B:N132 | B:B:R134 | 4.82 | No | No | 0 | 3 | 3 |
| 348 | B:B:E138 | B:B:V135 | 4.28 | No | No | 0 | 6 | 4 |
| 349 | B:B:L139 | B:B:R137 | 3.64 | No | No | 0 | 9 | 5 |
| 350 | B:B:L139 | B:B:W169 | 14.81 | No | Yes | 0 | 9 | 8 |
| 351 | B:B:H142 | B:B:T159 | 4.11 | No | Yes | 1 | 9 | 9 |
| 352 | B:B:H142 | B:B:S161 | 16.74 | No | No | 1 | 9 | 9 |
| 353 | B:B:D163 | B:B:H142 | 5.04 | Yes | No | 1 | 9 | 9 |
| 354 | B:B:D163 | B:B:T143 | 5.78 | Yes | No | 0 | 9 | 5 |
| 355 | B:B:G162 | B:B:Y145 | 7.24 | No | Yes | 1 | 9 | 8 |
| 356 | B:B:D186 | B:B:Y145 | 10.34 | Yes | Yes | 1 | 9 | 8 |
| 357 | B:B:M188 | B:B:Y145 | 4.79 | Yes | Yes | 1 | 8 | 8 |
| 358 | B:B:L146 | B:B:T159 | 2.95 | No | Yes | 1 | 7 | 9 |
| 359 | B:B:S147 | B:B:S160 | 4.89 | No | No | 0 | 9 | 6 |
| 360 | B:B:C148 | B:B:R150 | 5.57 | No | No | 0 | 6 | 6 |
| 361 | B:B:C148 | B:B:L190 | 4.76 | No | No | 0 | 6 | 5 |
| 362 | B:B:F151 | B:B:I157 | 7.54 | Yes | No | 0 | 9 | 7 |
| 363 | B:B:L152 | B:B:Q156 | 3.99 | Yes | No | 0 | 3 | 5 |
| 364 | B:B:L152 | B:B:V158 | 2.98 | Yes | No | 0 | 3 | 5 |
| 365 | B:B:L152 | B:B:L192 | 4.15 | Yes | No | 0 | 3 | 5 |
| 366 | B:B:L152 | B:B:T196 | 4.42 | Yes | No | 0 | 3 | 1 |
| 367 | B:B:D153 | B:B:Q156 | 9.14 | No | No | 0 | 5 | 5 |
| 368 | B:B:D170 | B:B:N155 | 5.39 | No | No | 0 | 9 | 3 |
| 369 | B:B:E172 | B:B:N155 | 11.83 | No | No | 0 | 6 | 3 |
| 370 | B:B:L168 | B:B:Q156 | 5.32 | No | No | 0 | 6 | 5 |
| 371 | B:B:I157 | B:B:W169 | 3.52 | No | Yes | 0 | 7 | 8 |
| 372 | B:B:L190 | B:B:V158 | 2.98 | No | No | 0 | 5 | 5 |
| 373 | B:B:F199 | B:B:V158 | 3.93 | Yes | No | 0 | 9 | 5 |
| 374 | B:B:T159 | B:B:W169 | 8.49 | Yes | Yes | 1 | 9 | 8 |
| 375 | B:B:S160 | B:B:V187 | 4.85 | No | No | 0 | 6 | 9 |
| 376 | B:B:L190 | B:B:S160 | 7.51 | No | No | 0 | 5 | 6 |
| 377 | B:B:G162 | B:B:S161 | 3.71 | No | No | 1 | 9 | 9 |
| 378 | B:B:D163 | B:B:S161 | 8.83 | Yes | No | 1 | 9 | 9 |
| 379 | B:B:D186 | B:B:G162 | 3.35 | Yes | No | 1 | 9 | 9 |
| 380 | B:B:D163 | B:B:T165 | 8.67 | Yes | No | 0 | 9 | 7 |
| 381 | B:B:A167 | B:B:W169 | 5.19 | No | Yes | 1 | 4 | 8 |
| 382 | B:B:A167 | B:B:Q176 | 4.55 | No | Yes | 1 | 4 | 4 |
| 383 | B:B:L168 | B:B:T178 | 4.42 | No | No | 0 | 6 | 4 |
| 384 | B:B:Q176 | B:B:W169 | 14.24 | Yes | Yes | 1 | 4 | 8 |
| 385 | B:B:D170 | B:B:T173 | 10.12 | No | No | 0 | 9 | 5 |
| 386 | B:B:Q175 | B:B:T173 | 7.09 | No | No | 0 | 4 | 5 |
| 387 | B:B:Q176 | B:B:T179 | 4.25 | Yes | No | 0 | 4 | 4 |
| 388 | B:B:T177 | B:B:T178 | 3.14 | No | No | 0 | 4 | 4 |
| 389 | B:B:F180 | B:B:T178 | 5.19 | Yes | No | 0 | 7 | 4 |
| 390 | B:B:F180 | B:B:F199 | 9.65 | Yes | Yes | 5 | 7 | 9 |
| 391 | B:B:F180 | B:B:W211 | 13.03 | Yes | Yes | 5 | 7 | 8 |
| 392 | B:B:F180 | B:B:G216 | 3.01 | Yes | No | 0 | 7 | 4 |
| 393 | B:B:H183 | B:B:V187 | 4.15 | Yes | No | 5 | 9 | 9 |
| 394 | B:B:H183 | B:B:S201 | 5.58 | Yes | No | 0 | 9 | 9 |
| 395 | B:B:A203 | B:B:H183 | 5.85 | No | Yes | 5 | 8 | 9 |
| 396 | B:B:D205 | B:B:H183 | 5.04 | Yes | Yes | 5 | 9 | 9 |
| 397 | B:B:H183 | B:B:K209 | 13.1 | Yes | Yes | 5 | 9 | 6 |
| 398 | B:B:D205 | B:B:T184 | 5.78 | Yes | No | 0 | 9 | 3 |
| 399 | B:B:D186 | B:B:M188 | 4.16 | Yes | Yes | 1 | 9 | 8 |
| 400 | B:B:C204 | B:B:D186 | 3.11 | Yes | Yes | 1 | 7 | 9 |
| 401 | B:B:A203 | B:B:V187 | 3.39 | No | No | 5 | 8 | 9 |
| 402 | B:B:C204 | B:B:M188 | 4.86 | Yes | Yes | 1 | 7 | 8 |
| 403 | B:B:I232 | B:B:S189 | 6.19 | Yes | No | 0 | 8 | 7 |
| 404 | B:B:F234 | B:B:S191 | 7.93 | No | No | 0 | 5 | 8 |
| 405 | B:B:A193 | B:B:D195 | 3.09 | No | No | 0 | 4 | 5 |
| 406 | B:B:A193 | B:B:F234 | 5.55 | No | No | 0 | 4 | 5 |
| 407 | B:B:D195 | B:B:R197 | 8.34 | No | No | 0 | 5 | 5 |
| 408 | B:B:L198 | B:B:R197 | 9.72 | Yes | No | 0 | 3 | 5 |
| 409 | B:B:L198 | B:B:L210 | 4.15 | Yes | Yes | 14 | 3 | 5 |
| 410 | B:B:D212 | B:B:L198 | 4.07 | Yes | Yes | 14 | 9 | 3 |
| 411 | B:B:L198 | B:B:R219 | 3.64 | Yes | No | 14 | 3 | 5 |
| 412 | B:B:F199 | B:B:W211 | 12.03 | Yes | Yes | 5 | 9 | 8 |
| 413 | B:B:L210 | B:B:V200 | 2.98 | Yes | No | 0 | 5 | 6 |
| 414 | B:B:I232 | B:B:V200 | 4.61 | Yes | No | 0 | 8 | 6 |
| 415 | B:B:F234 | B:B:V200 | 7.87 | No | No | 0 | 5 | 6 |
| 416 | B:B:S201 | B:B:W211 | 6.18 | No | Yes | 0 | 9 | 8 |
| 417 | B:B:A203 | B:B:D205 | 3.09 | No | Yes | 5 | 8 | 9 |
| 418 | B:B:C204 | B:B:D228 | 12.45 | Yes | Yes | 1 | 7 | 9 |
| 419 | B:B:D205 | B:B:S207 | 8.83 | Yes | No | 0 | 9 | 5 |
| 420 | B:B:K209 | B:B:W211 | 6.96 | Yes | Yes | 5 | 6 | 8 |
| 421 | B:B:C218 | B:B:K209 | 6.47 | No | Yes | 5 | 5 | 6 |
| 422 | B:B:K209 | B:B:T221 | 9.01 | Yes | No | 0 | 6 | 7 |
| 423 | B:B:L210 | B:B:R219 | 3.64 | Yes | No | 14 | 5 | 5 |
| 424 | B:B:C218 | B:B:W211 | 3.92 | No | Yes | 5 | 5 | 8 |
| 425 | B:B:D212 | B:B:E215 | 9.09 | Yes | No | 0 | 9 | 3 |
| 426 | B:B:D212 | B:B:R219 | 13.1 | Yes | No | 14 | 9 | 5 |
| 427 | B:B:M217 | G:G:M21 | 5.78 | No | No | 0 | 3 | 1 |
| 428 | B:B:F222 | B:B:Q220 | 9.37 | Yes | No | 0 | 8 | 7 |
| 429 | B:B:T221 | G:G:E22 | 8.47 | No | No | 0 | 7 | 9 |
| 430 | B:B:F222 | B:B:F241 | 10.72 | Yes | No | 1 | 8 | 6 |
| 431 | B:B:F222 | B:B:F253 | 10.72 | Yes | Yes | 1 | 8 | 6 |
| 432 | B:B:D258 | B:B:F222 | 13.14 | No | Yes | 0 | 7 | 8 |
| 433 | B:B:H225 | B:B:I229 | 3.98 | Yes | No | 1 | 9 | 7 |
| 434 | B:B:H225 | B:B:T243 | 5.48 | Yes | Yes | 1 | 9 | 8 |
| 435 | B:B:H225 | B:B:S245 | 9.76 | Yes | No | 1 | 9 | 9 |
| 436 | B:B:D247 | B:B:H225 | 5.04 | Yes | Yes | 1 | 9 | 9 |
| 437 | B:B:H225 | B:B:R251 | 13.54 | Yes | Yes | 1 | 9 | 8 |
| 438 | B:B:D228 | B:B:S227 | 2.94 | Yes | No | 1 | 9 | 6 |
| 439 | B:B:S227 | B:B:S245 | 3.26 | No | No | 1 | 6 | 9 |
| 440 | B:B:D246 | B:B:S227 | 5.89 | No | No | 1 | 9 | 6 |
| 441 | B:B:D228 | B:B:D246 | 3.99 | Yes | No | 1 | 9 | 9 |
| 442 | B:B:I229 | B:B:T243 | 3.04 | No | Yes | 1 | 7 | 8 |
| 443 | B:B:D246 | B:B:N230 | 12.12 | No | No | 0 | 9 | 9 |
| 444 | B:B:A231 | B:B:V276 | 3.39 | No | No | 0 | 5 | 6 |
| 445 | B:B:F241 | B:B:I232 | 3.77 | No | Yes | 0 | 6 | 8 |
| 446 | B:B:I232 | B:B:T243 | 4.56 | Yes | Yes | 0 | 8 | 8 |
| 447 | B:B:F235 | B:B:P236 | 10.11 | Yes | No | 7 | 6 | 7 |
| 448 | B:B:F235 | B:B:N237 | 4.83 | Yes | No | 7 | 6 | 5 |
| 449 | B:B:F235 | B:B:F278 | 5.36 | Yes | Yes | 7 | 6 | 7 |
| 450 | B:B:F235 | B:B:G282 | 4.52 | Yes | No | 7 | 6 | 9 |
| 451 | B:B:F235 | G:G:L37 | 4.87 | Yes | No | 0 | 6 | 7 |
| 452 | B:B:F235 | G:G:Y40 | 7.22 | Yes | No | 7 | 6 | 6 |
| 453 | B:B:F278 | B:B:P236 | 4.33 | Yes | No | 7 | 7 | 7 |
| 454 | B:B:G282 | B:B:P236 | 4.06 | No | No | 7 | 9 | 7 |
| 455 | B:B:N237 | B:B:N239 | 9.54 | No | No | 0 | 5 | 2 |
| 456 | B:B:N237 | G:G:Y40 | 4.65 | No | No | 7 | 5 | 6 |
| 457 | B:B:N239 | B:B:R256 | 10.85 | No | No | 0 | 2 | 9 |
| 458 | B:B:A240 | G:G:L37 | 3.15 | No | No | 0 | 6 | 7 |
| 459 | B:B:F241 | B:B:F253 | 11.79 | No | Yes | 1 | 6 | 6 |
| 460 | B:B:F253 | B:B:T243 | 6.49 | Yes | Yes | 1 | 6 | 8 |
| 461 | B:B:G244 | B:B:I273 | 3.53 | No | No | 0 | 5 | 6 |
| 462 | B:B:D247 | B:B:S245 | 5.89 | Yes | No | 1 | 9 | 9 |
| 463 | B:B:D247 | B:B:T249 | 14.45 | Yes | No | 0 | 9 | 6 |
| 464 | B:B:R251 | B:B:T249 | 5.17 | Yes | No | 0 | 8 | 6 |
| 465 | B:B:S265 | B:B:T249 | 3.2 | No | No | 0 | 2 | 6 |
| 466 | B:B:C250 | B:B:Y264 | 4.03 | No | Yes | 0 | 8 | 5 |
| 467 | B:B:C250 | B:B:I273 | 4.91 | No | No | 0 | 8 | 6 |
| 468 | B:B:F253 | B:B:R251 | 3.21 | Yes | Yes | 1 | 6 | 8 |
| 469 | B:B:E260 | B:B:R251 | 17.45 | No | Yes | 1 | 6 | 8 |
| 470 | B:B:R251 | B:B:T263 | 5.17 | Yes | No | 1 | 8 | 1 |
| 471 | B:B:L252 | B:B:Y264 | 4.69 | No | Yes | 0 | 7 | 5 |
| 472 | B:B:A257 | B:B:D254 | 3.09 | No | No | 0 | 7 | 9 |
| 473 | B:B:D254 | B:B:L261 | 5.43 | No | No | 0 | 9 | 5 |
| 474 | B:B:R256 | G:G:I28 | 7.52 | No | No | 0 | 9 | 4 |
| 475 | B:B:R256 | G:G:D36 | 5.96 | No | No | 0 | 9 | 5 |
| 476 | B:B:A257 | G:G:I28 | 3.25 | No | No | 0 | 7 | 4 |
| 477 | B:B:D258 | G:G:R27 | 5.96 | No | Yes | 0 | 7 | 8 |
| 478 | B:B:Q259 | G:G:V30 | 4.3 | No | No | 0 | 6 | 8 |
| 479 | B:B:E260 | B:B:T263 | 4.23 | No | No | 1 | 6 | 1 |
| 480 | B:B:M262 | B:B:Y264 | 7.18 | No | Yes | 0 | 4 | 5 |
| 481 | B:B:S265 | B:B:T263 | 3.2 | No | No | 0 | 2 | 1 |
| 482 | B:B:L285 | B:B:Y264 | 5.86 | No | Yes | 0 | 6 | 5 |
| 483 | B:B:W297 | B:B:Y264 | 9.65 | No | Yes | 0 | 8 | 5 |
| 484 | B:B:H266 | B:B:N268 | 8.93 | No | No | 0 | 4 | 4 |
| 485 | B:B:H266 | B:B:R304 | 3.39 | No | No | 0 | 4 | 5 |
| 486 | B:B:I269 | B:B:Y289 | 4.84 | No | Yes | 0 | 4 | 7 |
| 487 | B:B:C271 | B:B:Y289 | 4.03 | Yes | Yes | 1 | 5 | 7 |
| 488 | B:B:C271 | B:B:D290 | 3.11 | Yes | No | 1 | 5 | 6 |
| 489 | B:B:C271 | B:B:D291 | 7.78 | Yes | No | 1 | 5 | 8 |
| 490 | B:B:I273 | B:B:Y289 | 6.04 | No | Yes | 0 | 6 | 7 |
| 491 | B:B:S275 | B:B:T274 | 4.8 | No | No | 0 | 8 | 8 |
| 492 | B:B:D290 | B:B:T274 | 4.34 | No | No | 1 | 6 | 8 |
| 493 | B:B:R314 | B:B:T274 | 5.17 | Yes | No | 1 | 8 | 8 |
| 494 | B:B:L318 | B:B:S275 | 3 | No | No | 0 | 6 | 8 |
| 495 | B:B:L286 | B:B:S277 | 3 | No | No | 0 | 7 | 5 |
| 496 | B:B:L318 | B:B:S277 | 4.5 | No | No | 0 | 6 | 5 |
| 497 | B:B:S277 | B:B:V320 | 4.85 | No | No | 0 | 5 | 7 |
| 498 | B:B:F278 | B:B:L285 | 6.09 | Yes | No | 0 | 7 | 6 |
| 499 | B:B:S279 | G:G:D48 | 5.89 | No | Yes | 0 | 9 | 9 |
| 500 | B:B:S279 | G:G:L50 | 3 | No | No | 0 | 9 | 9 |
| 501 | B:B:K280 | G:G:E47 | 10.8 | No | No | 0 | 1 | 3 |
| 502 | B:B:S281 | G:G:D48 | 10.31 | No | Yes | 6 | 9 | 9 |
| 503 | B:B:S281 | G:G:L51 | 3 | No | Yes | 6 | 9 | 6 |
| 504 | B:B:D298 | B:B:R283 | 10.72 | No | Yes | 6 | 9 | 9 |
| 505 | B:B:L300 | B:B:R283 | 4.86 | No | Yes | 0 | 6 | 9 |
| 506 | B:B:R283 | G:G:L51 | 7.29 | Yes | Yes | 6 | 9 | 6 |
| 507 | B:B:L284 | B:B:V296 | 4.47 | No | No | 0 | 5 | 5 |
| 508 | B:B:L286 | B:B:V296 | 2.98 | No | No | 0 | 7 | 5 |
| 509 | B:B:L286 | B:B:V327 | 2.98 | No | No | 0 | 7 | 6 |
| 510 | B:B:A287 | B:B:Y289 | 4 | No | Yes | 0 | 6 | 7 |
| 511 | B:B:G288 | B:B:V315 | 3.68 | No | No | 0 | 7 | 7 |
| 512 | B:B:D291 | B:B:Y289 | 3.45 | No | Yes | 1 | 8 | 7 |
| 513 | B:B:N295 | B:B:Y289 | 5.81 | No | Yes | 1 | 6 | 7 |
| 514 | B:B:W297 | B:B:Y289 | 5.79 | No | Yes | 1 | 8 | 7 |
| 515 | B:B:D290 | B:B:R314 | 11.91 | No | Yes | 1 | 6 | 8 |
| 516 | B:B:D291 | B:B:N293 | 6.73 | No | No | 0 | 8 | 5 |
| 517 | B:B:F292 | B:B:N313 | 6.04 | No | No | 0 | 4 | 7 |
| 518 | B:B:N295 | B:B:W297 | 7.91 | No | No | 1 | 6 | 8 |
| 519 | B:B:N295 | B:B:R304 | 9.64 | No | No | 0 | 6 | 5 |
| 520 | B:B:D298 | B:B:K301 | 5.53 | No | No | 0 | 9 | 5 |
| 521 | B:B:L300 | G:G:C41 | 3.17 | No | No | 0 | 6 | 7 |
| 522 | B:B:L308 | B:B:W339 | 18.22 | No | Yes | 0 | 7 | 9 |
| 523 | B:B:H311 | B:B:V315 | 4.15 | Yes | No | 0 | 9 | 7 |
| 524 | B:B:H311 | B:B:T329 | 6.85 | Yes | No | 0 | 9 | 8 |
| 525 | B:B:H311 | B:B:S331 | 12.55 | Yes | No | 8 | 9 | 9 |
| 526 | B:B:D333 | B:B:H311 | 8.82 | Yes | Yes | 8 | 9 | 9 |
| 527 | B:B:H311 | B:B:K337 | 5.24 | Yes | Yes | 8 | 9 | 6 |
| 528 | B:B:N313 | B:B:R314 | 3.62 | No | Yes | 1 | 7 | 8 |
| 529 | B:B:N313 | B:B:W332 | 9.04 | No | Yes | 1 | 7 | 9 |
| 530 | B:B:R314 | B:B:W332 | 27.99 | Yes | Yes | 1 | 8 | 9 |
| 531 | B:B:C317 | B:B:S316 | 3.44 | No | No | 0 | 7 | 9 |
| 532 | B:B:S316 | B:B:W332 | 4.94 | No | Yes | 0 | 9 | 9 |
| 533 | B:B:L318 | B:B:T329 | 4.42 | No | No | 0 | 6 | 8 |
| 534 | B:B:V320 | B:B:V327 | 3.21 | No | No | 0 | 7 | 6 |
| 535 | B:B:D323 | B:B:T321 | 7.23 | No | No | 20 | 7 | 7 |
| 536 | B:B:D323 | B:B:M325 | 5.54 | No | No | 0 | 7 | 5 |
| 537 | B:B:M325 | G:G:P49 | 3.35 | No | No | 0 | 5 | 7 |
| 538 | B:B:M325 | G:G:P60 | 3.35 | No | No | 0 | 5 | 9 |
| 539 | B:B:A326 | G:G:F61 | 4.16 | No | Yes | 0 | 7 | 8 |
| 540 | B:B:T329 | B:B:W339 | 8.49 | No | Yes | 0 | 8 | 9 |
| 541 | B:B:D333 | B:B:S331 | 8.83 | Yes | No | 8 | 9 | 9 |
| 542 | B:B:D333 | B:B:F335 | 13.14 | Yes | No | 0 | 9 | 4 |
| 543 | B:B:F335 | B:B:S334 | 3.96 | No | No | 0 | 4 | 4 |
| 544 | B:B:K337 | B:B:W339 | 4.64 | Yes | Yes | 8 | 6 | 9 |
| 545 | B:B:I338 | G:G:F61 | 3.77 | No | Yes | 9 | 5 | 8 |
| 546 | B:B:N340 | G:G:F61 | 3.62 | No | Yes | 0 | 9 | 8 |
| 547 | G:G:E17 | G:G:R13 | 3.49 | No | No | 0 | 6 | 6 |
| 548 | G:G:I25 | G:G:R27 | 6.26 | No | Yes | 0 | 2 | 8 |
| 549 | G:G:K29 | G:G:S31 | 9.18 | No | No | 0 | 4 | 9 |
| 550 | G:G:K29 | G:G:K32 | 20.11 | No | No | 0 | 4 | 5 |
| 551 | G:G:H44 | G:G:Y40 | 7.62 | No | No | 0 | 6 | 6 |
| 552 | G:G:E47 | G:G:H44 | 13.54 | No | No | 0 | 3 | 6 |
| 553 | G:G:D48 | G:G:P49 | 3.22 | Yes | No | 0 | 9 | 7 |
| 554 | G:G:D48 | G:G:L51 | 13.57 | Yes | Yes | 6 | 9 | 6 |
| 555 | G:G:N59 | G:G:V54 | 2.96 | No | No | 0 | 9 | 6 |
| 556 | G:G:E58 | G:G:P55 | 11 | No | No | 0 | 5 | 5 |
| 557 | G:G:N59 | G:G:R62 | 10.85 | No | No | 0 | 9 | 7 |
| 558 | G:G:F61 | G:G:P60 | 7.22 | Yes | No | 9 | 8 | 9 |
| 559 | R:R:C258 | R:R:C9 | 3.64 | No | No | 0 | 8 | 8 |
| 560 | R:R:H10 | R:R:Y163 | 23.96 | No | No | 0 | 3 | 3 |
| 561 | R:R:F265 | R:R:V11 | 14.42 | Yes | No | 0 | 4 | 3 |
| 562 | R:R:D16 | R:R:S13 | 11.78 | Yes | No | 2 | 5 | 5 |
| 563 | R:R:S13 | R:R:S266 | 4.89 | No | No | 2 | 5 | 2 |
| 564 | R:R:D16 | R:R:F265 | 4.78 | Yes | Yes | 2 | 5 | 4 |
| 565 | R:R:D16 | R:R:S266 | 2.94 | Yes | No | 2 | 5 | 2 |
| 566 | R:R:D16 | R:R:H269 | 12.61 | Yes | Yes | 2 | 5 | 5 |
| 567 | R:R:H17 | R:R:L18 | 12.86 | No | No | 0 | 5 | 4 |
| 568 | R:R:H17 | R:R:H80 | 8.36 | No | No | 0 | 5 | 4 |
| 569 | R:R:F19 | R:R:P20 | 5.78 | No | Yes | 0 | 5 | 5 |
| 570 | R:R:F19 | R:R:L23 | 3.65 | No | No | 0 | 5 | 5 |
| 571 | R:R:P20 | R:R:P21 | 5.84 | Yes | No | 0 | 5 | 7 |
| 572 | R:R:F77 | R:R:P20 | 4.33 | No | Yes | 0 | 5 | 5 |
| 573 | R:R:A273 | R:R:P20 | 3.74 | No | Yes | 0 | 5 | 5 |
| 574 | R:R:L78 | R:R:P21 | 6.57 | No | No | 0 | 5 | 7 |
| 575 | R:R:L23 | R:R:S276 | 3 | No | Yes | 0 | 5 | 7 |
| 576 | R:R:L70 | R:R:Y24 | 5.86 | Yes | Yes | 0 | 8 | 9 |
| 577 | R:R:V74 | R:R:Y24 | 3.79 | No | Yes | 0 | 7 | 9 |
| 578 | R:R:F77 | R:R:Y24 | 4.13 | No | Yes | 0 | 5 | 9 |
| 579 | R:R:F97 | R:R:Y24 | 5.16 | Yes | Yes | 0 | 7 | 9 |
| 580 | R:R:S276 | R:R:Y24 | 5.09 | Yes | Yes | 0 | 7 | 9 |
| 581 | R:R:L70 | R:R:V27 | 2.98 | Yes | No | 0 | 8 | 7 |
| 582 | R:R:S276 | R:R:V27 | 4.85 | Yes | No | 0 | 7 | 7 |
| 583 | R:R:G29 | R:R:I28 | 3.53 | No | Yes | 0 | 5 | 7 |
| 584 | R:R:I28 | R:R:I67 | 4.42 | Yes | No | 0 | 7 | 6 |
| 585 | R:R:I28 | R:R:L70 | 4.28 | Yes | Yes | 0 | 7 | 8 |
| 586 | R:R:I28 | R:R:P71 | 3.39 | Yes | No | 0 | 7 | 8 |
| 587 | R:R:V280 | R:R:V30 | 4.81 | No | No | 0 | 8 | 6 |
| 588 | R:R:L32 | R:R:P33 | 3.28 | No | No | 0 | 6 | 5 |
| 589 | R:R:I67 | R:R:L32 | 4.28 | No | No | 0 | 6 | 6 |
| 590 | R:R:P283 | R:R:T34 | 6.99 | No | No | 0 | 9 | 7 |
| 591 | R:R:D63 | R:R:N35 | 8.08 | Yes | No | 0 | 9 | 9 |
| 592 | R:R:N35 | R:R:P283 | 6.52 | No | No | 0 | 9 | 9 |
| 593 | R:R:L37 | R:R:V297 | 7.45 | No | No | 0 | 7 | 6 |
| 594 | R:R:A38 | R:R:C287 | 3.61 | No | Yes | 0 | 9 | 7 |
| 595 | R:R:L39 | R:R:S60 | 4.5 | No | No | 0 | 7 | 8 |
| 596 | R:R:R44 | R:R:W40 | 7 | No | No | 0 | 4 | 4 |
| 597 | R:R:A300 | R:R:W40 | 3.89 | No | No | 0 | 3 | 4 |
| 598 | R:R:A42 | R:R:L56 | 3.15 | No | No | 0 | 7 | 8 |
| 599 | R:R:A42 | R:R:M57 | 3.22 | No | No | 0 | 7 | 5 |
| 600 | R:R:V46 | R:R:Y43 | 3.79 | No | No | 0 | 6 | 4 |
| 601 | R:R:Q47 | R:R:Y43 | 10.15 | No | No | 0 | 6 | 4 |
| 602 | R:R:Q47 | R:R:R44 | 14.02 | No | No | 0 | 6 | 4 |
| 603 | R:R:D296 | R:R:R44 | 4.76 | No | No | 0 | 4 | 4 |
| 604 | R:R:N50 | R:R:Q45 | 6.6 | No | No | 0 | 7 | 5 |
| 605 | R:R:M57 | R:R:V46 | 6.09 | No | No | 0 | 5 | 6 |
| 606 | R:R:E51 | R:R:R49 | 8.14 | Yes | No | 0 | 7 | 6 |
| 607 | R:R:R130 | R:R:R49 | 4.26 | Yes | No | 0 | 6 | 6 |
| 608 | R:R:R49 | R:R:V131 | 11.77 | No | No | 0 | 6 | 3 |
| 609 | R:R:L52 | R:R:N50 | 4.12 | No | No | 0 | 8 | 7 |
| 610 | R:R:D114 | R:R:E51 | 3.9 | No | Yes | 3 | 8 | 7 |
| 611 | R:R:E51 | R:R:R129 | 5.82 | Yes | No | 3 | 7 | 7 |
| 612 | R:R:G53 | R:R:L56 | 5.13 | No | No | 0 | 7 | 8 |
| 613 | R:R:A134 | R:R:V54 | 5.09 | No | No | 0 | 8 | 7 |
| 614 | R:R:V135 | R:R:V54 | 3.21 | No | No | 0 | 4 | 7 |
| 615 | R:R:S138 | R:R:V54 | 3.23 | No | No | 0 | 7 | 7 |
| 616 | R:R:I111 | R:R:Y55 | 4.84 | No | Yes | 0 | 9 | 7 |
| 617 | R:R:D114 | R:R:Y55 | 3.45 | No | Yes | 0 | 8 | 7 |
| 618 | R:R:A134 | R:R:Y55 | 4 | No | Yes | 0 | 8 | 7 |
| 619 | R:R:F107 | R:R:N58 | 12.08 | No | No | 22 | 8 | 9 |
| 620 | R:R:N58 | R:R:S138 | 4.47 | No | No | 0 | 9 | 7 |
| 621 | R:R:N58 | R:R:W142 | 4.52 | No | Yes | 22 | 9 | 9 |
| 622 | R:R:L59 | R:R:S104 | 3 | No | No | 0 | 9 | 9 |
| 623 | R:R:D282 | R:R:L59 | 6.79 | No | No | 0 | 9 | 9 |
| 624 | R:R:A62 | R:R:I103 | 3.25 | No | No | 0 | 8 | 7 |
| 625 | R:R:D63 | R:R:S104 | 2.94 | Yes | No | 0 | 9 | 9 |
| 626 | R:R:C279 | R:R:D63 | 7.78 | No | Yes | 0 | 9 | 9 |
| 627 | R:R:D282 | R:R:D63 | 5.32 | No | Yes | 0 | 9 | 9 |
| 628 | R:R:L70 | R:R:Y66 | 5.86 | Yes | Yes | 0 | 8 | 7 |
| 629 | R:R:F97 | R:R:Y66 | 12.38 | Yes | Yes | 0 | 7 | 7 |
| 630 | R:R:N100 | R:R:Y66 | 9.3 | No | Yes | 0 | 8 | 7 |
| 631 | R:R:S276 | R:R:Y66 | 3.82 | Yes | Yes | 0 | 7 | 7 |
| 632 | R:R:C279 | R:R:I67 | 4.91 | No | No | 0 | 9 | 6 |
| 633 | R:R:F93 | R:R:T69 | 6.49 | No | No | 0 | 6 | 7 |
| 634 | R:R:H85 | R:R:L72 | 3.86 | No | No | 0 | 7 | 7 |
| 635 | R:R:F93 | R:R:L72 | 7.31 | No | No | 0 | 6 | 7 |
| 636 | R:R:W73 | R:R:Y76 | 5.79 | Yes | Yes | 2 | 7 | 6 |
| 637 | R:R:W73 | R:R:W83 | 10.31 | Yes | Yes | 2 | 7 | 9 |
| 638 | R:R:G94 | R:R:W73 | 4.22 | No | Yes | 0 | 6 | 7 |
| 639 | R:R:F97 | R:R:W73 | 21.05 | Yes | Yes | 0 | 7 | 7 |
| 640 | R:R:C168 | R:R:W73 | 6.53 | No | Yes | 2 | 9 | 7 |
| 641 | R:R:D75 | R:R:H79 | 11.35 | No | No | 0 | 4 | 4 |
| 642 | R:R:D81 | R:R:Y76 | 5.75 | No | Yes | 0 | 4 | 6 |
| 643 | R:R:W83 | R:R:Y76 | 8.68 | Yes | Yes | 2 | 9 | 6 |
| 644 | R:R:F167 | R:R:Y76 | 3.09 | Yes | Yes | 2 | 4 | 6 |
| 645 | R:R:F77 | R:R:H269 | 4.53 | No | Yes | 0 | 5 | 5 |
| 646 | R:R:N82 | R:R:T166 | 4.39 | Yes | No | 0 | 5 | 3 |
| 647 | R:R:H85 | R:R:W83 | 3.17 | No | Yes | 0 | 7 | 9 |
| 648 | R:R:C90 | R:R:W83 | 3.92 | No | Yes | 2 | 9 | 9 |
| 649 | R:R:C168 | R:R:W83 | 13.06 | No | Yes | 2 | 9 | 9 |
| 650 | R:R:G86 | R:R:P87 | 4.06 | No | No | 0 | 8 | 3 |
| 651 | R:R:F93 | R:R:S89 | 3.96 | No | No | 0 | 6 | 6 |
| 652 | R:R:C168 | R:R:C90 | 7.28 | No | No | 2 | 9 | 9 |
| 653 | R:R:E157 | R:R:K91 | 5.4 | No | No | 0 | 5 | 6 |
| 654 | R:R:I96 | R:R:L92 | 4.28 | No | No | 0 | 5 | 5 |
| 655 | R:R:F169 | R:R:G94 | 4.52 | Yes | No | 0 | 4 | 6 |
| 656 | R:R:F95 | R:R:T99 | 6.49 | No | No | 0 | 6 | 5 |
| 657 | R:R:F95 | R:R:L153 | 4.87 | No | No | 0 | 6 | 4 |
| 658 | R:R:I96 | R:R:N100 | 4.25 | No | No | 0 | 5 | 8 |
| 659 | R:R:F97 | R:R:Y98 | 9.28 | Yes | Yes | 0 | 7 | 5 |
| 660 | R:R:F169 | R:R:Y98 | 6.19 | Yes | Yes | 0 | 4 | 5 |
| 661 | R:R:E170 | R:R:Y98 | 4.49 | No | Yes | 0 | 4 | 5 |
| 662 | R:R:L272 | R:R:Y98 | 3.52 | No | Yes | 0 | 5 | 5 |
| 663 | R:R:N149 | R:R:T99 | 5.85 | No | No | 0 | 7 | 5 |
| 664 | R:R:F237 | R:R:I101 | 7.54 | Yes | No | 23 | 8 | 8 |
| 665 | R:R:I101 | R:R:T275 | 4.56 | No | No | 23 | 8 | 8 |
| 666 | R:R:E145 | R:R:Y102 | 3.37 | No | Yes | 0 | 7 | 7 |
| 667 | R:R:R185 | R:R:Y102 | 8.23 | No | Yes | 0 | 5 | 7 |
| 668 | R:R:H241 | R:R:Y102 | 5.44 | Yes | Yes | 0 | 8 | 7 |
| 669 | R:R:I103 | R:R:W142 | 7.05 | No | Yes | 0 | 7 | 9 |
| 670 | R:R:E145 | R:R:I103 | 4.1 | No | No | 0 | 7 | 7 |
| 671 | R:R:I105 | R:R:P193 | 3.39 | No | No | 0 | 8 | 9 |
| 672 | R:R:F107 | R:R:V141 | 5.24 | No | No | 0 | 8 | 7 |
| 673 | R:R:F107 | R:R:W142 | 6.01 | No | Yes | 22 | 8 | 9 |
| 674 | R:R:L108 | R:R:Y286 | 5.86 | No | No | 0 | 8 | 9 |
| 675 | R:R:C109 | R:R:L196 | 4.76 | No | No | 0 | 8 | 6 |
| 676 | R:R:I111 | R:R:R115 | 5.01 | No | No | 0 | 9 | 9 |
| 677 | R:R:I111 | R:R:Y286 | 3.63 | No | No | 0 | 9 | 9 |
| 678 | R:R:M197 | R:R:S112 | 4.6 | No | No | 24 | 7 | 9 |
| 679 | R:R:S112 | R:R:S200 | 4.89 | No | No | 0 | 9 | 8 |
| 680 | R:R:S112 | R:R:Y201 | 10.17 | No | Yes | 24 | 9 | 8 |
| 681 | R:R:R115 | R:R:Y201 | 5.14 | No | Yes | 0 | 9 | 8 |
| 682 | R:R:A120 | R:R:Y116 | 9.34 | No | Yes | 0 | 7 | 8 |
| 683 | R:R:H121 | R:R:Y116 | 6.53 | No | Yes | 0 | 6 | 8 |
| 684 | R:R:I204 | R:R:Y116 | 3.63 | No | Yes | 0 | 8 | 8 |
| 685 | R:R:F125 | R:R:R124 | 3.21 | No | No | 0 | 6 | 4 |
| 686 | R:R:R127 | R:R:R130 | 17.06 | No | Yes | 16 | 4 | 6 |
| 687 | R:R:L146 | R:R:W142 | 3.42 | No | Yes | 0 | 3 | 9 |
| 688 | R:R:G147 | R:R:S150 | 3.71 | No | No | 0 | 4 | 4 |
| 689 | R:R:F169 | R:R:P152 | 4.33 | Yes | No | 0 | 4 | 3 |
| 690 | R:R:P152 | R:R:W177 | 4.05 | No | Yes | 0 | 3 | 1 |
| 691 | R:R:E157 | R:R:H155 | 4.92 | No | No | 0 | 5 | 4 |
| 692 | R:R:H155 | R:R:W177 | 22.22 | No | Yes | 0 | 4 | 1 |
| 693 | R:R:D156 | R:R:F159 | 5.97 | No | No | 0 | 5 | 2 |
| 694 | R:R:E157 | R:R:F169 | 10.49 | No | Yes | 0 | 5 | 4 |
| 695 | R:R:F159 | R:R:K171 | 21.09 | No | No | 0 | 2 | 3 |
| 696 | R:R:D161 | R:R:Y163 | 3.45 | No | No | 0 | 2 | 3 |
| 697 | R:R:D161 | R:R:H165 | 10.08 | No | No | 2 | 2 | 1 |
| 698 | R:R:D161 | R:R:F167 | 3.58 | No | Yes | 2 | 2 | 4 |
| 699 | R:R:F167 | R:R:H165 | 6.79 | Yes | No | 2 | 4 | 1 |
| 700 | R:R:F167 | R:R:F172 | 3.22 | Yes | Yes | 2 | 4 | 5 |
| 701 | R:R:E170 | R:R:H269 | 9.85 | No | Yes | 0 | 4 | 5 |
| 702 | R:R:F172 | R:R:R247 | 6.41 | Yes | Yes | 2 | 5 | 4 |
| 703 | R:R:E261 | R:R:F172 | 4.66 | No | Yes | 2 | 4 | 5 |
| 704 | R:R:F172 | R:R:F265 | 8.57 | Yes | Yes | 2 | 5 | 4 |
| 705 | R:R:M174 | R:R:Y251 | 5.99 | No | Yes | 0 | 1 | 3 |
| 706 | R:R:E175 | R:R:G176 | 3.27 | No | No | 0 | 2 | 4 |
| 707 | R:R:E175 | R:R:W177 | 5.45 | No | Yes | 0 | 2 | 1 |
| 708 | R:R:G176 | R:R:Y251 | 4.35 | No | Yes | 0 | 4 | 3 |
| 709 | R:R:V178 | R:R:W177 | 9.81 | No | Yes | 0 | 2 | 1 |
| 710 | R:R:N182 | R:R:V178 | 4.43 | Yes | No | 0 | 5 | 2 |
| 711 | R:R:A179 | R:R:L252 | 3.15 | No | No | 0 | 1 | 1 |
| 712 | R:R:M181 | R:R:R185 | 3.72 | No | No | 0 | 4 | 5 |
| 713 | R:R:N182 | R:R:R185 | 4.82 | Yes | No | 0 | 5 | 5 |
| 714 | R:R:L244 | R:R:N182 | 15.1 | Yes | Yes | 0 | 5 | 5 |
| 715 | R:R:N182 | R:R:S248 | 5.96 | Yes | No | 0 | 5 | 5 |
| 716 | R:R:V188 | R:R:Y184 | 13.88 | No | No | 0 | 4 | 3 |
| 717 | R:R:H241 | R:R:V186 | 4.15 | Yes | No | 0 | 8 | 5 |
| 718 | R:R:L244 | R:R:V186 | 2.98 | Yes | No | 0 | 5 | 5 |
| 719 | R:R:L245 | R:R:V186 | 5.96 | No | No | 0 | 6 | 5 |
| 720 | R:R:F190 | R:R:L191 | 3.65 | No | No | 0 | 8 | 4 |
| 721 | R:R:F190 | R:R:F237 | 4.29 | No | Yes | 0 | 8 | 8 |
| 722 | R:R:F190 | R:R:H241 | 12.44 | No | Yes | 0 | 8 | 8 |
| 723 | R:R:F192 | R:R:P193 | 4.33 | No | No | 0 | 5 | 9 |
| 724 | R:R:F192 | R:R:L196 | 7.31 | No | No | 0 | 5 | 6 |
| 725 | R:R:L198 | R:R:W194 | 3.42 | No | Yes | 0 | 5 | 6 |
| 726 | R:R:I230 | R:R:W194 | 3.52 | No | Yes | 0 | 7 | 6 |
| 727 | R:R:L234 | R:R:W194 | 9.11 | No | Yes | 0 | 6 | 6 |
| 728 | R:R:M197 | R:R:Y201 | 3.59 | No | Yes | 24 | 7 | 8 |
| 729 | R:R:L198 | R:R:R202 | 6.07 | No | No | 0 | 5 | 3 |
| 730 | R:R:A226 | R:R:Y201 | 4 | No | Yes | 0 | 7 | 8 |
| 731 | R:R:L229 | R:R:Y201 | 4.69 | No | Yes | 0 | 8 | 8 |
| 732 | R:R:R202 | R:R:R206 | 6.4 | No | No | 0 | 3 | 3 |
| 733 | R:R:G203 | R:R:R206 | 6 | No | No | 0 | 4 | 3 |
| 734 | R:R:K223 | R:R:L205 | 4.23 | No | No | 0 | 6 | 5 |
| 735 | R:R:R209 | R:R:R216 | 4.26 | No | No | 0 | 4 | 4 |
| 736 | R:R:S211 | R:R:T214 | 3.2 | No | Yes | 0 | 5 | 3 |
| 737 | R:R:E218 | R:R:T214 | 5.64 | Yes | Yes | 19 | 5 | 3 |
| 738 | R:R:K219 | R:R:T214 | 3 | No | Yes | 0 | 6 | 3 |
| 739 | R:R:E215 | R:R:Q217 | 7.65 | No | No | 0 | 3 | 4 |
| 740 | R:R:E218 | R:R:Q217 | 5.1 | Yes | No | 0 | 5 | 4 |
| 741 | R:R:K221 | R:R:R224 | 3.71 | No | No | 0 | 7 | 6 |
| 742 | R:R:K223 | R:R:L227 | 4.23 | No | No | 0 | 6 | 5 |
| 743 | R:R:L285 | R:R:S228 | 3 | No | No | 0 | 8 | 6 |
| 744 | R:R:L229 | R:R:L285 | 5.54 | No | No | 0 | 8 | 8 |
| 745 | R:R:L229 | R:R:Y286 | 7.03 | No | No | 0 | 8 | 9 |
| 746 | R:R:C236 | R:R:I232 | 3.27 | No | Yes | 0 | 8 | 7 |
| 747 | R:R:A238 | R:R:L234 | 3.15 | No | No | 0 | 5 | 6 |
| 748 | R:R:F237 | R:R:T275 | 7.78 | Yes | No | 23 | 8 | 8 |
| 749 | R:R:F237 | R:R:N278 | 9.67 | Yes | No | 0 | 8 | 9 |
| 750 | R:R:P239 | R:R:S271 | 3.56 | No | No | 0 | 9 | 7 |
| 751 | R:R:H241 | R:R:Y240 | 4.36 | Yes | Yes | 0 | 8 | 6 |
| 752 | R:R:L244 | R:R:Y240 | 7.03 | Yes | Yes | 2 | 5 | 6 |
| 753 | R:R:Y240 | R:R:Y268 | 6.95 | Yes | No | 2 | 6 | 5 |
| 754 | R:R:L272 | R:R:Y240 | 9.38 | No | Yes | 0 | 5 | 6 |
| 755 | R:R:L243 | R:R:V264 | 4.47 | No | Yes | 0 | 4 | 4 |
| 756 | R:R:L244 | R:R:Y268 | 3.52 | Yes | No | 2 | 5 | 5 |
| 757 | R:R:E261 | R:R:R247 | 16.28 | No | Yes | 2 | 4 | 4 |
| 758 | R:R:R247 | R:R:Y268 | 14.4 | Yes | No | 2 | 4 | 5 |
| 759 | R:R:F260 | R:R:I250 | 10.05 | No | No | 0 | 1 | 1 |
| 760 | R:R:L252 | R:R:Y251 | 3.52 | No | Yes | 0 | 1 | 3 |
| 761 | R:R:P255 | R:R:Y251 | 5.56 | No | Yes | 0 | 2 | 3 |
| 762 | R:R:D257 | R:R:R254 | 20.25 | No | No | 0 | 5 | 2 |
| 763 | R:R:E262 | R:R:G259 | 3.27 | No | No | 0 | 3 | 2 |
| 764 | R:R:F260 | R:R:V264 | 9.18 | No | Yes | 0 | 1 | 4 |
| 765 | R:R:F265 | R:R:H269 | 7.92 | Yes | Yes | 2 | 4 | 5 |
| 766 | R:R:F274 | R:R:L277 | 3.65 | No | No | 0 | 7 | 5 |
| 767 | R:R:D282 | R:R:N278 | 13.46 | No | No | 0 | 9 | 9 |
| 768 | R:R:C287 | R:R:L288 | 3.17 | Yes | No | 0 | 7 | 7 |
| 769 | R:R:A293 | R:R:N290 | 4.69 | No | No | 0 | 8 | 8 |
| 770 | R:R:E291 | R:R:G292 | 3.27 | No | No | 0 | 5 | 6 |
| 771 | R:R:D296 | R:R:S295 | 4.42 | No | No | 0 | 4 | 4 |
| 772 | R:R:L301 | R:R:V297 | 2.98 | No | No | 0 | 6 | 6 |
| 773 | R:R:A298 | R:R:H302 | 2.93 | No | No | 0 | 4 | 5 |
| 774 | A:A:I26 | B:B:K89 | 2.91 | No | Yes | 0 | 9 | 9 |
| 775 | R:R:G189 | R:R:Y102 | 2.9 | No | Yes | 0 | 6 | 7 |
| 776 | R:R:G203 | R:R:Y116 | 2.9 | No | Yes | 0 | 4 | 8 |
| 777 | A:A:Q384 | R:R:S211 | 2.89 | No | No | 0 | 6 | 5 |
| 778 | B:B:F151 | B:B:P107 | 2.89 | Yes | No | 0 | 9 | 6 |
| 779 | A:A:Q384 | R:R:V119 | 2.87 | No | No | 0 | 6 | 8 |
| 780 | A:A:L393 | R:R:I204 | 2.85 | No | No | 0 | 8 | 8 |
| 781 | R:R:I232 | R:R:L285 | 2.85 | Yes | No | 0 | 7 | 8 |
| 782 | B:B:I171 | B:B:N155 | 2.83 | No | No | 0 | 6 | 3 |
| 783 | R:R:L39 | R:R:M57 | 2.83 | No | No | 0 | 7 | 5 |
| 784 | A:A:L30 | B:B:K78 | 2.82 | No | No | 0 | 5 | 8 |
| 785 | R:R:K91 | R:R:L153 | 2.82 | No | No | 0 | 6 | 4 |
| 786 | B:B:C166 | B:B:F180 | 2.79 | No | Yes | 0 | 8 | 7 |
| 787 | A:A:H64 | A:A:V214 | 2.77 | No | Yes | 0 | 8 | 6 |
| 788 | B:B:A104 | B:B:F151 | 2.77 | No | Yes | 0 | 7 | 9 |
| 789 | B:B:A113 | B:B:F151 | 2.77 | No | Yes | 0 | 9 | 9 |
| 790 | B:B:L210 | B:B:L255 | 2.77 | Yes | No | 0 | 5 | 6 |
| 791 | B:B:A242 | B:B:F278 | 2.77 | No | Yes | 0 | 4 | 7 |
| 792 | R:R:L52 | R:R:L56 | 2.77 | No | No | 0 | 8 | 8 |
| 793 | A:A:L282 | A:A:N279 | 2.75 | No | No | 0 | 9 | 8 |
| 794 | R:R:L64 | R:R:N35 | 2.75 | No | No | 0 | 8 | 9 |
| 795 | B:B:H183 | B:B:T164 | 2.74 | Yes | No | 0 | 9 | 6 |
| 796 | A:A:E27 | A:A:K24 | 2.7 | No | No | 0 | 6 | 4 |
| 797 | A:A:E330 | A:A:K338 | 2.7 | Yes | No | 4 | 3 | 5 |
| 798 | R:R:C110 | R:R:Y55 | 2.69 | No | Yes | 0 | 7 | 7 |
| 799 | A:A:Y37 | B:B:A56 | 2.67 | No | No | 0 | 4 | 7 |
| 800 | A:A:A324 | A:A:Y339 | 2.67 | No | No | 0 | 3 | 3 |
| 801 | A:A:L270 | A:A:Q267 | 2.66 | No | No | 0 | 6 | 4 |
| 802 | B:B:N35 | B:B:Q32 | 2.64 | No | No | 0 | 1 | 1 |
| 803 | A:A:F219 | A:A:V217 | 2.62 | Yes | No | 3 | 8 | 5 |
| 804 | A:A:F376 | A:A:V217 | 2.62 | Yes | No | 3 | 8 | 5 |
| 805 | B:B:F199 | B:B:V213 | 2.62 | Yes | No | 0 | 9 | 4 |
| 806 | B:B:R214 | B:B:V213 | 2.62 | No | No | 0 | 9 | 4 |
| 807 | B:B:R304 | B:B:V307 | 2.62 | No | No | 0 | 5 | 3 |
| 808 | G:G:R13 | G:G:V16 | 2.62 | No | No | 0 | 6 | 7 |
| 809 | R:R:R247 | R:R:V264 | 2.62 | Yes | Yes | 0 | 4 | 4 |
| 810 | A:A:R283 | A:A:T284 | 2.59 | No | No | 0 | 3 | 4 |
| 811 | A:A:E27 | A:A:Q31 | 2.55 | No | No | 0 | 6 | 4 |
| 812 | B:B:V71 | B:B:Y105 | 2.52 | No | Yes | 0 | 8 | 6 |
| 813 | B:B:V112 | B:B:Y105 | 2.52 | No | Yes | 0 | 8 | 6 |
| 814 | A:A:F246 | A:A:I276 | 2.51 | No | No | 0 | 9 | 8 |
| 815 | A:A:F345 | A:A:I341 | 2.51 | Yes | No | 0 | 8 | 8 |
| 816 | B:B:I171 | B:B:R137 | 2.51 | No | No | 0 | 6 | 5 |
| 817 | R:R:F237 | R:R:I105 | 2.51 | Yes | No | 0 | 8 | 8 |
| 818 | A:A:T325 | A:A:Y339 | 2.5 | No | No | 0 | 2 | 3 |
| 819 | R:R:K219 | R:R:R216 | 2.48 | No | No | 0 | 6 | 4 |
| 820 | R:R:V233 | R:R:W194 | 2.45 | No | Yes | 0 | 9 | 6 |
| 821 | R:R:F125 | R:R:L117 | 2.44 | No | No | 0 | 6 | 6 |
| 822 | R:R:F187 | R:R:L191 | 2.44 | No | No | 0 | 5 | 4 |
| 823 | R:R:F187 | R:R:L245 | 2.44 | No | No | 0 | 5 | 6 |
| 824 | A:A:L393 | R:R:R115 | 2.43 | No | No | 0 | 8 | 9 |
| 825 | A:A:F376 | A:A:N377 | 2.42 | Yes | No | 0 | 8 | 4 |
| 826 | B:B:D212 | B:B:R214 | 2.38 | Yes | No | 0 | 9 | 9 |
| 827 | R:R:E262 | R:R:R263 | 2.33 | No | No | 0 | 3 | 3 |
| 828 | A:A:R22 | B:B:H91 | 2.26 | No | Yes | 0 | 5 | 5 |
| 829 | A:A:F222 | A:A:R42 | 2.14 | Yes | No | 0 | 7 | 9 |
| 830 | A:A:R356 | A:A:R389 | 2.13 | No | No | 0 | 2 | 4 |
| 831 | B:B:G115 | B:B:G116 | 2.11 | No | No | 0 | 9 | 9 |
| 832 | R:R:R162 | R:R:Y163 | 2.06 | No | No | 0 | 4 | 3 |
| 833 | B:B:G324 | G:G:P49 | 2.03 | No | No | 0 | 9 | 7 |
| 834 | R:R:G88 | R:R:P87 | 2.03 | No | No | 0 | 2 | 3 |
| 835 | B:B:C271 | B:B:G272 | 1.96 | Yes | No | 0 | 5 | 4 |
| 836 | B:B:C294 | B:B:G288 | 1.96 | No | No | 0 | 5 | 7 |
| 837 | B:B:C317 | B:B:G330 | 1.96 | No | No | 0 | 7 | 5 |
| 838 | A:A:A226 | A:A:G206 | 1.95 | No | No | 0 | 9 | 8 |
| 839 | B:B:A140 | B:B:G141 | 1.95 | No | No | 0 | 5 | 5 |
| 840 | R:R:C258 | R:R:P173 | 1.88 | No | No | 0 | 8 | 4 |
| 841 | B:B:A193 | B:B:P194 | 1.87 | No | No | 0 | 4 | 4 |
| 842 | R:R:A38 | R:R:P283 | 1.87 | No | No | 0 | 9 | 9 |
| 843 | R:R:A151 | R:R:P152 | 1.87 | No | No | 0 | 7 | 3 |
| 844 | R:R:A238 | R:R:P239 | 1.87 | No | No | 0 | 5 | 9 |
| 845 | A:A:G52 | A:A:S51 | 1.86 | No | No | 0 | 9 | 9 |
| 846 | R:R:G292 | R:R:S295 | 1.86 | No | No | 0 | 6 | 4 |
| 847 | B:B:G244 | B:B:V276 | 1.84 | No | No | 0 | 5 | 6 |
| 848 | B:B:G306 | B:B:V296 | 1.84 | No | No | 0 | 4 | 5 |
| 849 | B:B:G306 | B:B:V307 | 1.84 | No | No | 0 | 4 | 3 |
| 850 | R:R:G31 | R:R:V280 | 1.84 | No | No | 0 | 8 | 8 |
| 851 | B:B:G185 | B:B:T164 | 1.82 | No | No | 0 | 5 | 6 |
| 852 | B:B:G174 | B:B:T173 | 1.82 | No | No | 0 | 4 | 5 |
| 853 | B:B:G182 | B:B:T181 | 1.82 | No | No | 0 | 6 | 2 |
| 854 | B:B:G224 | B:B:T223 | 1.82 | No | No | 0 | 6 | 2 |
| 855 | R:R:G31 | R:R:T34 | 1.82 | No | No | 0 | 8 | 7 |
| 856 | B:B:A60 | B:B:C103 | 1.81 | No | No | 0 | 7 | 8 |
| 857 | R:R:A41 | R:R:C287 | 1.81 | No | Yes | 0 | 7 | 7 |
| 858 | B:B:A257 | G:G:A33 | 1.79 | No | No | 0 | 7 | 7 |
| 859 | R:R:A120 | R:R:A207 | 1.79 | No | No | 0 | 7 | 5 |
| 860 | G:G:P55 | G:G:V54 | 1.77 | No | No | 0 | 5 | 6 |
| 861 | B:B:G202 | B:B:I229 | 1.76 | No | No | 0 | 6 | 7 |
| 862 | B:B:G319 | B:B:M61 | 1.75 | No | No | 0 | 5 | 6 |
| 863 | B:B:P107 | B:B:T65 | 1.75 | No | No | 0 | 6 | 1 |
| 864 | G:G:P53 | G:G:T52 | 1.75 | No | No | 0 | 8 | 4 |
| 865 | B:B:G53 | B:B:K89 | 1.74 | No | Yes | 0 | 9 | 9 |
| 866 | B:B:G182 | B:B:K209 | 1.74 | No | Yes | 0 | 6 | 6 |
| 867 | B:B:G310 | B:B:K337 | 1.74 | No | Yes | 0 | 5 | 6 |
| 868 | R:R:G88 | R:R:K91 | 1.74 | No | No | 0 | 2 | 6 |
| 869 | B:B:C114 | B:B:S122 | 1.72 | No | No | 0 | 8 | 8 |
| 870 | B:B:C233 | B:B:S191 | 1.72 | No | No | 0 | 3 | 8 |
| 871 | A:A:G47 | A:A:L46 | 1.71 | No | No | 0 | 9 | 8 |
| 872 | A:A:C365 | A:A:V367 | 1.71 | No | No | 0 | 8 | 9 |
| 873 | R:R:C9 | R:R:V11 | 1.71 | No | No | 0 | 8 | 3 |
| 874 | R:R:C109 | R:R:V113 | 1.71 | No | No | 0 | 8 | 6 |
| 875 | R:R:C110 | R:R:V137 | 1.71 | No | No | 0 | 7 | 5 |
| 876 | R:R:C287 | R:R:V297 | 1.71 | Yes | No | 0 | 7 | 6 |
| 877 | A:A:A269 | A:A:V248 | 1.7 | No | No | 0 | 9 | 7 |
| 878 | A:A:A298 | A:A:V334 | 1.7 | No | No | 0 | 4 | 4 |
| 879 | A:A:A337 | A:A:V301 | 1.7 | No | No | 0 | 8 | 7 |
| 880 | B:B:A309 | B:B:V307 | 1.7 | No | No | 0 | 3 | 3 |
| 881 | R:R:A106 | R:R:V141 | 1.7 | No | No | 0 | 6 | 7 |
| 882 | R:R:A267 | R:R:V264 | 1.7 | No | Yes | 0 | 5 | 4 |
| 883 | B:B:D118 | B:B:G116 | 1.68 | No | No | 0 | 9 | 9 |
| 884 | R:R:D257 | R:R:G259 | 1.68 | No | No | 0 | 5 | 2 |
| 885 | B:B:K301 | B:B:P39 | 1.67 | No | No | 0 | 5 | 1 |
| 886 | B:B:E130 | B:B:G131 | 1.64 | No | No | 0 | 3 | 4 |
| 887 | B:B:G141 | B:B:Q176 | 1.64 | No | Yes | 0 | 5 | 4 |
| 888 | R:R:S138 | R:R:S139 | 1.63 | No | No | 0 | 7 | 5 |
| 889 | A:A:I26 | B:B:A92 | 1.62 | No | No | 0 | 9 | 6 |
| 890 | B:B:A28 | B:B:I33 | 1.62 | No | Yes | 0 | 4 | 3 |
| 891 | B:B:I33 | G:G:A34 | 1.62 | Yes | No | 0 | 3 | 6 |
| 892 | B:B:A305 | B:B:I43 | 1.62 | No | No | 0 | 4 | 3 |
| 893 | B:B:A208 | B:B:I232 | 1.62 | No | Yes | 0 | 6 | 8 |
| 894 | R:R:S13 | R:R:V15 | 1.62 | No | No | 0 | 5 | 4 |
| 895 | R:R:A281 | R:R:I232 | 1.62 | No | Yes | 0 | 7 | 7 |
| 896 | R:R:S246 | R:R:V242 | 1.62 | No | No | 0 | 4 | 6 |
| 897 | B:B:A302 | B:B:M262 | 1.61 | No | No | 0 | 2 | 4 |
| 898 | A:A:S54 | A:A:T55 | 1.6 | No | No | 0 | 9 | 9 |
| 899 | A:A:S349 | A:A:T350 | 1.6 | Yes | No | 0 | 7 | 4 |
| 900 | B:B:S207 | B:B:T223 | 1.6 | No | No | 0 | 5 | 2 |
| 901 | R:R:V119 | R:R:V208 | 1.6 | No | No | 0 | 8 | 8 |
| 902 | A:A:T204 | A:A:V202 | 1.59 | No | No | 0 | 9 | 6 |
| 903 | R:R:C36 | R:R:L64 | 1.59 | No | No | 0 | 3 | 8 |
| 904 | R:R:T133 | R:R:V137 | 1.59 | No | No | 0 | 3 | 5 |
| 905 | R:R:T144 | R:R:V140 | 1.59 | No | No | 0 | 5 | 3 |
| 906 | R:R:C236 | R:R:L277 | 1.59 | No | No | 0 | 8 | 5 |
| 907 | B:B:L7 | G:G:A12 | 1.58 | No | No | 0 | 8 | 5 |
| 908 | G:G:A45 | G:G:L51 | 1.58 | No | Yes | 0 | 4 | 6 |
| 909 | R:R:A226 | R:R:L205 | 1.58 | No | No | 0 | 7 | 5 |
| 910 | A:A:T204 | B:B:T143 | 1.57 | No | No | 0 | 9 | 5 |
| 911 | A:A:A19 | B:B:N88 | 1.56 | No | Yes | 0 | 4 | 7 |
| 912 | A:A:A48 | A:A:N50 | 1.56 | No | Yes | 0 | 8 | 6 |
| 913 | A:A:C365 | A:A:D295 | 1.56 | No | No | 0 | 8 | 9 |
| 914 | G:G:A56 | G:G:N59 | 1.56 | No | No | 0 | 4 | 9 |
| 915 | A:A:I276 | A:A:S275 | 1.55 | No | No | 0 | 8 | 8 |
| 916 | B:B:I33 | G:G:S31 | 1.55 | Yes | No | 0 | 3 | 9 |
| 917 | B:B:A305 | B:B:D303 | 1.54 | No | No | 0 | 4 | 2 |
| 918 | G:G:A35 | G:G:D36 | 1.54 | No | No | 0 | 2 | 5 |
| 919 | R:R:I222 | R:R:V208 | 1.54 | No | No | 0 | 7 | 8 |
| 920 | R:R:I232 | R:R:V235 | 1.54 | Yes | No | 0 | 7 | 5 |
| 921 | R:R:I284 | R:R:V280 | 1.54 | No | No | 0 | 7 | 8 |
| 922 | A:A:F208 | A:A:G225 | 1.51 | No | No | 0 | 5 | 9 |
| 923 | A:A:M221 | A:A:T210 | 1.51 | Yes | No | 0 | 8 | 7 |
| 924 | A:A:L297 | A:A:V301 | 1.49 | No | No | 0 | 8 | 7 |
| 925 | R:R:L117 | R:R:V113 | 1.49 | No | No | 0 | 6 | 6 |
| 926 | R:R:L225 | R:R:V289 | 1.49 | No | No | 0 | 8 | 6 |
| 927 | A:A:L12 | A:A:T11 | 1.47 | No | No | 0 | 2 | 4 |
| 928 | G:G:L51 | G:G:T52 | 1.47 | Yes | No | 0 | 6 | 4 |
| 929 | R:R:L128 | R:R:T133 | 1.47 | No | No | 0 | 3 | 3 |
| 930 | A:A:D16 | A:A:V20 | 1.46 | No | No | 0 | 4 | 3 |
| 931 | A:A:N218 | A:A:T40 | 1.46 | No | No | 0 | 4 | 7 |
| 932 | B:B:A206 | B:B:H225 | 1.46 | No | Yes | 0 | 4 | 9 |
| 933 | G:G:A43 | G:G:H44 | 1.46 | No | No | 0 | 4 | 6 |
| 934 | A:A:F312 | A:A:P313 | 1.44 | No | No | 0 | 8 | 6 |
| 935 | R:R:P255 | R:R:R254 | 1.44 | No | No | 0 | 2 | 2 |
| 936 | B:B:I18 | G:G:L19 | 1.43 | No | No | 0 | 7 | 9 |
| 937 | R:R:I96 | R:R:L65 | 1.43 | No | No | 0 | 5 | 7 |
| 938 | A:A:Q59 | A:A:T55 | 1.42 | No | No | 0 | 9 | 9 |
| 939 | R:R:I84 | R:R:N82 | 1.42 | No | Yes | 0 | 3 | 5 |
| 940 | G:G:D26 | G:G:I28 | 1.4 | No | No | 0 | 1 | 4 |
| 941 | A:A:R38 | R:R:A126 | 1.38 | No | No | 0 | 4 | 5 |
| 942 | A:A:L393 | R:R:L225 | 1.38 | No | No | 0 | 8 | 8 |
| 943 | A:A:I62 | A:A:Q59 | 1.37 | No | No | 0 | 9 | 9 |
| 944 | R:R:D156 | R:R:L158 | 1.36 | No | No | 0 | 5 | 5 |
| 945 | B:B:E3 | B:B:L4 | 1.33 | No | No | 0 | 5 | 4 |
| 946 | B:B:A299 | B:B:Y264 | 1.33 | No | Yes | 0 | 5 | 5 |
| 947 | B:B:D312 | B:B:D333 | 1.33 | No | Yes | 0 | 5 | 9 |
| 948 | G:G:L19 | G:G:Q18 | 1.33 | No | No | 0 | 9 | 9 |
| 949 | G:G:E22 | G:G:L19 | 1.33 | No | No | 0 | 9 | 9 |
| 950 | R:R:A148 | R:R:Y184 | 1.33 | No | No | 0 | 5 | 3 |
| 951 | A:A:F208 | A:A:S205 | 1.32 | No | No | 0 | 5 | 7 |
| 952 | R:R:F260 | R:R:S246 | 1.32 | No | No | 0 | 1 | 4 |
| 953 | A:A:R333 | A:A:V301 | 1.31 | No | No | 0 | 5 | 7 |
| 954 | B:B:D5 | B:B:Q6 | 1.31 | No | No | 0 | 1 | 1 |
| 955 | B:B:D247 | B:B:E226 | 1.3 | Yes | No | 0 | 9 | 3 |
| 956 | A:A:R356 | A:A:T284 | 1.29 | No | No | 0 | 2 | 4 |
| 957 | R:R:R160 | R:R:T166 | 1.29 | No | No | 0 | 1 | 3 |
| 958 | R:R:Q45 | R:R:Q48 | 1.28 | No | No | 0 | 5 | 7 |
| 959 | R:R:H79 | R:R:N82 | 1.28 | No | Yes | 0 | 4 | 5 |
| 960 | R:R:H165 | R:R:N82 | 1.28 | No | Yes | 0 | 1 | 5 |
| 961 | B:B:E12 | B:B:Q9 | 1.27 | No | No | 0 | 4 | 3 |
| 962 | G:G:E17 | G:G:Q18 | 1.27 | No | No | 0 | 6 | 9 |
| 963 | B:B:D267 | B:B:H266 | 1.26 | No | No | 0 | 3 | 4 |
| 964 | B:B:K23 | B:B:R22 | 1.24 | No | Yes | 0 | 2 | 6 |
| 965 | R:R:K132 | R:R:R130 | 1.24 | No | Yes | 0 | 4 | 6 |
| 966 | R:R:F154 | R:R:L153 | 1.22 | No | No | 0 | 4 | 4 |
| 967 | A:A:Q35 | R:R:R127 | 1.17 | No | No | 16 | 3 | 4 |
| 968 | A:A:Q35 | R:R:R130 | 1.17 | No | Yes | 16 | 3 | 6 |
| 969 | R:R:I61 | R:R:W142 | 1.17 | No | Yes | 0 | 5 | 9 |
| 970 | R:R:L158 | R:R:W83 | 1.14 | No | Yes | 0 | 5 | 9 |
| 971 | R:R:L252 | R:R:W180 | 1.14 | No | No | 0 | 1 | 3 |
| Color | ConSurf Grade |
| No Conservation data available | |
| 1 | |
| 2 | |
| 3 | |
| 4 | |
| 5 | |
| 6 | |
| 7 | |
| 8 | |
| 9 |
Index: hub id, click on each number to highlight the corresponding hub in the 3D visualization.
Hub: the hub being considered.
Avg Int. Strength: the average interaction strength of all the links of the corresponding hub.
Num Of Links: the number of links of the corresponding hub.
Community: the id of the community the link belong to, otherwise 0.
ConSurf: this column reports the ConSurf conservation grades of each hub.
| Index | Hub | Avg Int. Strength | Num Of Links | Community | ConSurf |
|---|---|---|---|---|---|
| 1 | A:A:H41 | 4.9675 | 4 | 3 | 6 |
| 2 | A:A:N50 | 7.1775 | 4 | 10 | 6 |
| 3 | A:A:V214 | 4.7325 | 4 | 3 | 6 |
| 4 | A:A:F219 | 6.228 | 5 | 3 | 8 |
| 5 | A:A:M221 | 4.49 | 4 | 0 | 8 |
| 6 | A:A:F222 | 9.695 | 4 | 0 | 7 |
| 7 | A:A:R231 | 7.6075 | 4 | 18 | 9 |
| 8 | A:A:K233 | 5.08 | 4 | 1 | 9 |
| 9 | A:A:W234 | 6.115 | 4 | 18 | 9 |
| 10 | A:A:F238 | 7.4275 | 4 | 0 | 9 |
| 11 | A:A:V247 | 4.725 | 4 | 0 | 7 |
| 12 | A:A:F290 | 5.766 | 5 | 11 | 9 |
| 13 | A:A:N292 | 4.745 | 4 | 0 | 9 |
| 14 | A:A:E330 | 4.81 | 4 | 4 | 3 |
| 15 | A:A:F340 | 6.394 | 5 | 12 | 7 |
| 16 | A:A:R342 | 5.7725 | 4 | 4 | 4 |
| 17 | A:A:E344 | 7.86 | 4 | 12 | 5 |
| 18 | A:A:F345 | 5.71 | 5 | 0 | 8 |
| 19 | A:A:S349 | 3.7425 | 4 | 0 | 7 |
| 20 | A:A:Y360 | 10.105 | 4 | 0 | 8 |
| 21 | A:A:F363 | 7.1425 | 4 | 4 | 5 |
| 22 | A:A:T364 | 5.0675 | 4 | 11 | 9 |
| 23 | A:A:R374 | 4.286 | 5 | 11 | 4 |
| 24 | A:A:F376 | 3.67333 | 6 | 3 | 8 |
| 25 | A:A:D381 | 5.605 | 4 | 0 | 8 |
| 26 | A:A:H387 | 4.364 | 5 | 3 | 8 |
| 27 | A:A:Y391 | 7.81333 | 6 | 3 | 4 |
| 28 | B:B:R22 | 5.9825 | 4 | 0 | 6 |
| 29 | B:B:I33 | 1.9275 | 4 | 0 | 3 |
| 30 | B:B:I37 | 3.845 | 4 | 0 | 2 |
| 31 | B:B:V40 | 3.8775 | 4 | 6 | 3 |
| 32 | B:B:H54 | 8.44 | 4 | 0 | 9 |
| 33 | B:B:K57 | 13.94 | 4 | 1 | 9 |
| 34 | B:B:Y59 | 12.2425 | 4 | 1 | 8 |
| 35 | B:B:W63 | 4.275 | 4 | 0 | 7 |
| 36 | B:B:W82 | 11.6025 | 4 | 0 | 9 |
| 37 | B:B:N88 | 5.0425 | 4 | 15 | 7 |
| 38 | B:B:K89 | 4.942 | 5 | 0 | 9 |
| 39 | B:B:H91 | 4.99 | 4 | 0 | 5 |
| 40 | B:B:L95 | 4.1025 | 4 | 0 | 8 |
| 41 | B:B:W99 | 9.684 | 5 | 0 | 9 |
| 42 | B:B:Y105 | 3.795 | 4 | 0 | 6 |
| 43 | B:B:N110 | 5.41 | 4 | 13 | 4 |
| 44 | B:B:Y111 | 6.1175 | 4 | 13 | 4 |
| 45 | B:B:C121 | 3.34 | 4 | 1 | 8 |
| 46 | B:B:Y124 | 5.17167 | 6 | 21 | 6 |
| 47 | B:B:V133 | 5.4075 | 4 | 21 | 4 |
| 48 | B:B:Y145 | 6.805 | 6 | 1 | 8 |
| 49 | B:B:F151 | 4.026 | 5 | 0 | 9 |
| 50 | B:B:L152 | 3.885 | 4 | 0 | 3 |
| 51 | B:B:T159 | 4.7325 | 4 | 1 | 9 |
| 52 | B:B:D163 | 7.08 | 4 | 1 | 9 |
| 53 | B:B:W169 | 9.25 | 5 | 1 | 8 |
| 54 | B:B:Q176 | 6.17 | 4 | 1 | 4 |
| 55 | B:B:F180 | 6.734 | 5 | 5 | 7 |
| 56 | B:B:H183 | 6.07667 | 6 | 5 | 9 |
| 57 | B:B:D186 | 5.384 | 5 | 1 | 9 |
| 58 | B:B:M188 | 5.2525 | 4 | 1 | 8 |
| 59 | B:B:L198 | 5.395 | 4 | 14 | 3 |
| 60 | B:B:F199 | 7.0575 | 4 | 5 | 9 |
| 61 | B:B:C204 | 6.3175 | 4 | 1 | 7 |
| 62 | B:B:D205 | 5.685 | 4 | 5 | 9 |
| 63 | B:B:K209 | 7.456 | 5 | 5 | 6 |
| 64 | B:B:L210 | 3.385 | 4 | 14 | 5 |
| 65 | B:B:W211 | 8.424 | 5 | 5 | 8 |
| 66 | B:B:D212 | 7.16 | 4 | 14 | 9 |
| 67 | B:B:F222 | 10.9875 | 4 | 1 | 8 |
| 68 | B:B:H225 | 6.54333 | 6 | 1 | 9 |
| 69 | B:B:D228 | 7.8225 | 4 | 1 | 9 |
| 70 | B:B:I232 | 4.15 | 5 | 0 | 8 |
| 71 | B:B:F235 | 6.15167 | 6 | 7 | 6 |
| 72 | B:B:T243 | 4.8925 | 4 | 1 | 8 |
| 73 | B:B:D247 | 6.67 | 4 | 1 | 9 |
| 74 | B:B:R251 | 8.908 | 5 | 1 | 8 |
| 75 | B:B:F253 | 8.0525 | 4 | 1 | 6 |
| 76 | B:B:Y264 | 5.45667 | 6 | 0 | 5 |
| 77 | B:B:C271 | 4.22 | 4 | 1 | 5 |
| 78 | B:B:F278 | 4.6375 | 4 | 7 | 7 |
| 79 | B:B:R283 | 6.634 | 5 | 6 | 9 |
| 80 | B:B:Y289 | 4.85143 | 7 | 1 | 7 |
| 81 | B:B:H311 | 7.522 | 5 | 8 | 9 |
| 82 | B:B:R314 | 9.865 | 6 | 1 | 8 |
| 83 | B:B:W332 | 14.305 | 6 | 1 | 9 |
| 84 | B:B:D333 | 8.03 | 4 | 8 | 9 |
| 85 | B:B:K337 | 5.628 | 5 | 8 | 6 |
| 86 | B:B:W339 | 9.96 | 4 | 8 | 9 |
| 87 | G:G:R27 | 5.582 | 5 | 0 | 8 |
| 88 | G:G:D48 | 8.2475 | 4 | 6 | 9 |
| 89 | G:G:L51 | 4.98167 | 6 | 6 | 6 |
| 90 | G:G:F61 | 5.15375 | 8 | 9 | 8 |
| 91 | R:R:D16 | 8.0275 | 4 | 2 | 5 |
| 92 | R:R:P20 | 4.9225 | 4 | 0 | 5 |
| 93 | R:R:Y24 | 4.806 | 5 | 0 | 9 |
| 94 | R:R:I28 | 3.905 | 4 | 0 | 7 |
| 95 | R:R:E51 | 6.71 | 4 | 3 | 7 |
| 96 | R:R:Y55 | 3.745 | 4 | 0 | 7 |
| 97 | R:R:D63 | 6.03 | 4 | 0 | 9 |
| 98 | R:R:Y66 | 7.84 | 4 | 0 | 7 |
| 99 | R:R:L70 | 4.745 | 4 | 0 | 8 |
| 100 | R:R:W73 | 9.58 | 5 | 2 | 7 |
| 101 | R:R:Y76 | 5.8275 | 4 | 2 | 6 |
| 102 | R:R:N82 | 2.0925 | 4 | 0 | 5 |
| 103 | R:R:W83 | 6.71333 | 6 | 2 | 9 |
| 104 | R:R:F97 | 11.9675 | 4 | 0 | 7 |
| 105 | R:R:Y98 | 5.87 | 4 | 0 | 5 |
| 106 | R:R:Y102 | 4.985 | 4 | 0 | 7 |
| 107 | R:R:Y116 | 5.6 | 4 | 0 | 8 |
| 108 | R:R:R130 | 5.598 | 5 | 16 | 6 |
| 109 | R:R:W142 | 4.434 | 5 | 22 | 9 |
| 110 | R:R:F167 | 4.17 | 4 | 2 | 4 |
| 111 | R:R:F169 | 6.3825 | 4 | 0 | 4 |
| 112 | R:R:F172 | 5.715 | 4 | 2 | 5 |
| 113 | R:R:W177 | 10.3825 | 4 | 0 | 1 |
| 114 | R:R:N182 | 7.5775 | 4 | 0 | 5 |
| 115 | R:R:W194 | 4.625 | 4 | 0 | 6 |
| 116 | R:R:Y201 | 5.518 | 5 | 24 | 8 |
| 117 | R:R:T214 | 4.5775 | 4 | 19 | 3 |
| 118 | R:R:E218 | 6.2975 | 4 | 19 | 5 |
| 119 | R:R:I232 | 2.32 | 4 | 0 | 7 |
| 120 | R:R:F237 | 6.358 | 5 | 23 | 8 |
| 121 | R:R:Y240 | 6.93 | 4 | 2 | 6 |
| 122 | R:R:H241 | 6.5975 | 4 | 0 | 8 |
| 123 | R:R:L244 | 7.1575 | 4 | 2 | 5 |
| 124 | R:R:R247 | 9.9275 | 4 | 2 | 4 |
| 125 | R:R:Y251 | 4.855 | 4 | 0 | 3 |
| 126 | R:R:V264 | 4.4925 | 4 | 0 | 4 |
| 127 | R:R:F265 | 8.9225 | 4 | 2 | 4 |
| 128 | R:R:H269 | 8.7275 | 4 | 2 | 5 |
| 129 | R:R:S276 | 4.19 | 4 | 0 | 7 |
| 130 | R:R:C287 | 2.575 | 4 | 0 | 7 |
| Color | ConSurf Grade |
| No Conservation data available | |
| 1 | |
| 2 | |
| 3 | |
| 4 | |
| 5 | |
| 6 | |
| 7 | |
| 8 | |
| 9 |
Index: link id, click on each number to highlight the corresponding link in the 3D visualization.
Node1 Node2: the two nodes of the corresponding link.
Recurrence: the relative Recurrence in the pool of shortest paths.
Int. Strength: the interaction strength between the two nodes.
Hub1?, Hub2?: "Yes" if the corresponding node has more than 3 links, otherwise "No".
Community: the id of the community the link belong to, otherwise 0.
ConSurf1, ConSurf2: these columns report the ConSurf conservation grades of the two nodes involved in a link.
| Index | Node1 | Node2 | Recurrence | Int. Strength | Hub1? | Hub2? | Community | ConSurf1 | ConSurf2 |
|---|---|---|---|---|---|---|---|---|---|
| 1 | B:B:D76 | B:B:S74 | 99.7471 | 10.31 | No | No | 0 | 9 | 9 |
| 2 | B:B:H54 | B:B:S74 | 99.8843 | 5.58 | Yes | No | 0 | 9 | 9 |
| 3 | B:B:H54 | B:B:S72 | 50.0961 | 6.97 | Yes | No | 0 | 9 | 9 |
| 4 | B:B:S72 | B:B:W82 | 50.1992 | 3.71 | No | Yes | 0 | 9 | 9 |
| 5 | B:B:H54 | B:B:I80 | 50.0624 | 11.93 | Yes | No | 0 | 9 | 8 |
| 6 | B:B:I80 | B:B:W82 | 50.114 | 11.74 | No | Yes | 0 | 8 | 9 |
| 7 | A:A:K34 | B:B:L55 | 98.7833 | 4.23 | No | No | 0 | 4 | 6 |
| 8 | B:B:D76 | B:B:L55 | 98.9213 | 8.14 | No | No | 0 | 9 | 6 |
| 9 | A:A:K34 | A:A:R38 | 98.6451 | 3.71 | No | No | 0 | 4 | 4 |
| 10 | B:B:Q75 | B:B:W99 | 21.9819 | 4.38 | No | Yes | 0 | 9 | 9 |
| 11 | B:B:Q75 | B:B:Y59 | 21.9782 | 21.42 | No | Yes | 1 | 9 | 8 |
| 12 | B:B:W332 | B:B:Y59 | 22.1121 | 11.58 | Yes | Yes | 1 | 9 | 8 |
| 13 | B:B:S316 | B:B:W332 | 94.0432 | 4.94 | No | Yes | 0 | 9 | 9 |
| 14 | B:B:C317 | B:B:S316 | 94.033 | 3.44 | No | No | 0 | 7 | 9 |
| 15 | B:B:C317 | B:B:M61 | 94.0165 | 3.24 | No | No | 0 | 7 | 6 |
| 16 | B:B:A328 | B:B:M61 | 94.0006 | 3.22 | No | No | 0 | 5 | 6 |
| 17 | B:B:A328 | B:B:W63 | 93.9928 | 3.89 | No | Yes | 0 | 5 | 7 |
| 18 | B:B:S84 | B:B:W63 | 93.6753 | 4.94 | No | Yes | 0 | 5 | 7 |
| 19 | B:B:I338 | B:B:S84 | 91.9775 | 6.19 | No | No | 9 | 5 | 5 |
| 20 | B:B:I338 | B:B:L51 | 100 | 4.28 | No | No | 0 | 5 | 9 |
| 21 | B:B:L51 | B:B:W82 | 99.984 | 19.36 | No | Yes | 0 | 9 | 9 |
| 22 | A:A:R38 | R:R:R130 | 98.3683 | 4.26 | No | Yes | 0 | 4 | 6 |
| 23 | A:A:F219 | A:A:H41 | 45.7171 | 7.92 | Yes | Yes | 3 | 8 | 6 |
| 24 | A:A:H41 | A:A:I383 | 46.4139 | 3.98 | Yes | No | 3 | 6 | 8 |
| 25 | A:A:H387 | A:A:I383 | 50.7234 | 6.63 | Yes | No | 3 | 8 | 8 |
| 26 | A:A:H387 | A:A:Y391 | 27.0253 | 4.36 | Yes | Yes | 3 | 8 | 4 |
| 27 | A:A:Y391 | R:R:E51 | 29.2022 | 8.98 | Yes | Yes | 3 | 4 | 7 |
| 28 | R:R:E51 | R:R:R49 | 97.536 | 8.14 | Yes | No | 0 | 7 | 6 |
| 29 | R:R:R130 | R:R:R49 | 97.8141 | 4.26 | Yes | No | 0 | 6 | 6 |
| 30 | A:A:H387 | R:R:R129 | 24.7443 | 3.39 | Yes | No | 3 | 8 | 7 |
| 31 | R:R:E51 | R:R:R129 | 24.9222 | 5.82 | Yes | No | 3 | 7 | 7 |
| 32 | A:A:F212 | A:A:F219 | 44.7288 | 11.79 | No | Yes | 0 | 9 | 8 |
| 33 | A:A:F212 | A:A:M60 | 41.1799 | 7.46 | No | No | 0 | 9 | 9 |
| 34 | A:A:I56 | A:A:V247 | 39.7798 | 3.07 | No | Yes | 0 | 7 | 7 |
| 35 | A:A:I56 | A:A:M60 | 40.135 | 2.92 | No | No | 0 | 7 | 9 |
| 36 | B:B:G162 | B:B:S161 | 60.2504 | 3.71 | No | No | 1 | 9 | 9 |
| 37 | B:B:G162 | B:B:Y145 | 29.0636 | 7.24 | No | Yes | 1 | 9 | 8 |
| 38 | B:B:L117 | B:B:Y145 | 17.6963 | 3.52 | No | Yes | 0 | 9 | 8 |
| 39 | B:B:L117 | B:B:W99 | 17.7375 | 4.56 | No | Yes | 0 | 9 | 9 |
| 40 | B:B:M188 | B:B:Y145 | 16.9517 | 4.79 | Yes | Yes | 1 | 8 | 8 |
| 41 | A:A:K233 | B:B:M188 | 30.5963 | 7.2 | Yes | Yes | 1 | 9 | 8 |
| 42 | A:A:K233 | A:A:Q236 | 77.562 | 4.07 | Yes | No | 1 | 9 | 8 |
| 43 | A:A:Q236 | B:B:R314 | 77.4693 | 3.5 | No | Yes | 1 | 8 | 8 |
| 44 | B:B:R314 | B:B:W332 | 73.3017 | 27.99 | Yes | Yes | 1 | 8 | 9 |
| 45 | B:B:D186 | B:B:G162 | 31.4999 | 3.35 | Yes | No | 1 | 9 | 9 |
| 46 | B:B:D186 | B:B:M188 | 14.942 | 4.16 | Yes | Yes | 1 | 9 | 8 |
| 47 | B:B:C204 | B:B:D186 | 18.5369 | 3.11 | Yes | Yes | 1 | 7 | 9 |
| 48 | A:A:K233 | B:B:C204 | 31.0023 | 4.85 | Yes | Yes | 1 | 9 | 7 |
| 49 | B:B:C204 | B:B:D228 | 20.9462 | 12.45 | Yes | Yes | 1 | 7 | 9 |
| 50 | A:A:K233 | B:B:N230 | 16.0388 | 4.2 | Yes | No | 0 | 9 | 9 |
| 51 | A:A:F290 | A:A:I288 | 10.9169 | 3.77 | Yes | No | 0 | 9 | 9 |
| 52 | A:A:F290 | A:A:V247 | 30.085 | 6.55 | Yes | Yes | 0 | 9 | 7 |
| 53 | A:A:D378 | A:A:Y360 | 19.6909 | 11.49 | No | Yes | 0 | 7 | 8 |
| 54 | A:A:D378 | A:A:I288 | 10.1909 | 11.2 | No | No | 0 | 7 | 9 |
| 55 | A:A:D378 | A:A:H362 | 10.2295 | 10.08 | No | No | 0 | 7 | 9 |
| 56 | A:A:F290 | A:A:H362 | 13.0846 | 3.39 | Yes | No | 0 | 9 | 9 |
| 57 | A:A:D381 | A:A:Y360 | 16.0494 | 9.2 | Yes | Yes | 0 | 8 | 8 |
| 58 | A:A:D381 | R:R:S211 | 13.8653 | 4.42 | Yes | No | 0 | 8 | 5 |
| 59 | R:R:D114 | R:R:E51 | 43.3013 | 3.9 | No | Yes | 3 | 8 | 7 |
| 60 | B:B:D228 | B:B:S227 | 20.7401 | 2.94 | Yes | No | 1 | 9 | 6 |
| 61 | B:B:S227 | B:B:S245 | 36.4302 | 3.26 | No | No | 1 | 6 | 9 |
| 62 | B:B:H225 | B:B:S245 | 35.5352 | 9.76 | Yes | No | 1 | 9 | 9 |
| 63 | B:B:H225 | B:B:T243 | 31.659 | 5.48 | Yes | Yes | 1 | 9 | 8 |
| 64 | B:B:I232 | B:B:T243 | 28.8442 | 4.56 | Yes | Yes | 0 | 8 | 8 |
| 65 | B:B:I232 | B:B:V200 | 28.3269 | 4.61 | Yes | No | 0 | 8 | 6 |
| 66 | B:B:L210 | B:B:V200 | 27.0732 | 2.98 | Yes | No | 0 | 5 | 6 |
| 67 | B:B:L198 | B:B:L210 | 13.4527 | 4.15 | Yes | Yes | 14 | 3 | 5 |
| 68 | B:B:D212 | B:B:L198 | 13.1046 | 4.07 | Yes | Yes | 14 | 9 | 3 |
| 69 | B:B:D212 | B:B:R214 | 25.463 | 2.38 | Yes | No | 0 | 9 | 9 |
| 70 | B:B:R214 | B:B:V213 | 25.0979 | 2.62 | No | No | 0 | 9 | 4 |
| 71 | B:B:F199 | B:B:V213 | 24.7326 | 2.62 | Yes | No | 0 | 9 | 4 |
| 72 | B:B:F199 | B:B:W211 | 17.374 | 12.03 | Yes | Yes | 5 | 9 | 8 |
| 73 | B:B:K209 | B:B:W211 | 12.5885 | 6.96 | Yes | Yes | 5 | 6 | 8 |
| 74 | B:B:D246 | B:B:N230 | 15.9332 | 12.12 | No | No | 0 | 9 | 9 |
| 75 | B:B:D246 | B:B:S227 | 15.8596 | 5.89 | No | No | 1 | 9 | 6 |
| 76 | B:B:L210 | B:B:R219 | 13.2686 | 3.64 | Yes | No | 14 | 5 | 5 |
| 77 | B:B:D212 | B:B:R219 | 13.0883 | 13.1 | Yes | No | 14 | 9 | 5 |
| 78 | B:B:H142 | B:B:S161 | 57.0213 | 16.74 | No | No | 1 | 9 | 9 |
| 79 | B:B:H142 | B:B:T159 | 56.7977 | 4.11 | No | Yes | 1 | 9 | 9 |
| 80 | B:B:C121 | B:B:T159 | 26.2963 | 3.38 | Yes | Yes | 1 | 8 | 9 |
| 81 | B:B:C121 | B:B:L139 | 25.3403 | 3.17 | Yes | No | 0 | 8 | 9 |
| 82 | B:B:L139 | B:B:R137 | 50.0748 | 3.64 | No | No | 0 | 9 | 5 |
| 83 | B:B:I171 | B:B:R137 | 49.4288 | 2.51 | No | No | 0 | 6 | 5 |
| 84 | B:B:I123 | B:B:I171 | 44.9039 | 5.89 | No | No | 0 | 6 | 6 |
| 85 | B:B:I123 | B:B:Y111 | 43.61 | 3.63 | No | Yes | 0 | 6 | 4 |
| 86 | B:B:N110 | B:B:Y111 | 19.5406 | 4.65 | Yes | Yes | 13 | 4 | 4 |
| 87 | B:B:N110 | B:B:S108 | 18.2411 | 5.96 | Yes | No | 13 | 4 | 6 |
| 88 | B:B:G109 | B:B:S108 | 35.1793 | 3.71 | No | No | 0 | 5 | 6 |
| 89 | B:B:G109 | B:B:Y105 | 33.8779 | 4.35 | No | Yes | 0 | 5 | 6 |
| 90 | B:B:T159 | B:B:W169 | 29.8678 | 8.49 | Yes | Yes | 1 | 9 | 8 |
| 91 | B:B:L139 | B:B:W169 | 25.3851 | 14.81 | No | Yes | 0 | 9 | 8 |
| 92 | B:B:D154 | B:B:Y111 | 18.8893 | 8.05 | No | Yes | 13 | 6 | 4 |
| 93 | B:B:D154 | B:B:S108 | 18.2395 | 8.83 | No | No | 13 | 6 | 6 |
| 94 | B:B:V112 | B:B:Y105 | 22.1553 | 2.52 | No | Yes | 0 | 8 | 6 |
| 95 | B:B:V112 | B:B:Y124 | 18.248 | 3.79 | No | Yes | 0 | 8 | 6 |
| 96 | R:R:D114 | R:R:Y55 | 45.6072 | 3.45 | No | Yes | 0 | 8 | 7 |
| 97 | R:R:A134 | R:R:Y55 | 37.9625 | 4 | No | Yes | 0 | 8 | 7 |
| 98 | R:R:A134 | R:R:V54 | 37.7899 | 5.09 | No | No | 0 | 8 | 7 |
| 99 | R:R:S138 | R:R:V54 | 37.4445 | 3.23 | No | No | 0 | 7 | 7 |
| 100 | R:R:N58 | R:R:S138 | 37.0987 | 4.47 | No | No | 0 | 9 | 7 |
| 101 | R:R:N58 | R:R:W142 | 36.3717 | 4.52 | No | Yes | 22 | 9 | 9 |
| 102 | R:R:I103 | R:R:W142 | 35.8846 | 7.05 | No | Yes | 0 | 7 | 9 |
| 103 | R:R:E145 | R:R:I103 | 35.5367 | 4.1 | No | No | 0 | 7 | 7 |
| 104 | R:R:E145 | R:R:Y102 | 35.3625 | 3.37 | No | Yes | 0 | 7 | 7 |
| 105 | R:R:H241 | R:R:Y102 | 28.9491 | 5.44 | Yes | Yes | 0 | 8 | 7 |
| 106 | R:R:H241 | R:R:Y240 | 20.5521 | 4.36 | Yes | Yes | 0 | 8 | 6 |
| 107 | R:R:L272 | R:R:Y240 | 13.8416 | 9.38 | No | Yes | 0 | 5 | 6 |
| 108 | R:R:L272 | R:R:Y98 | 13.6585 | 3.52 | No | Yes | 0 | 5 | 5 |
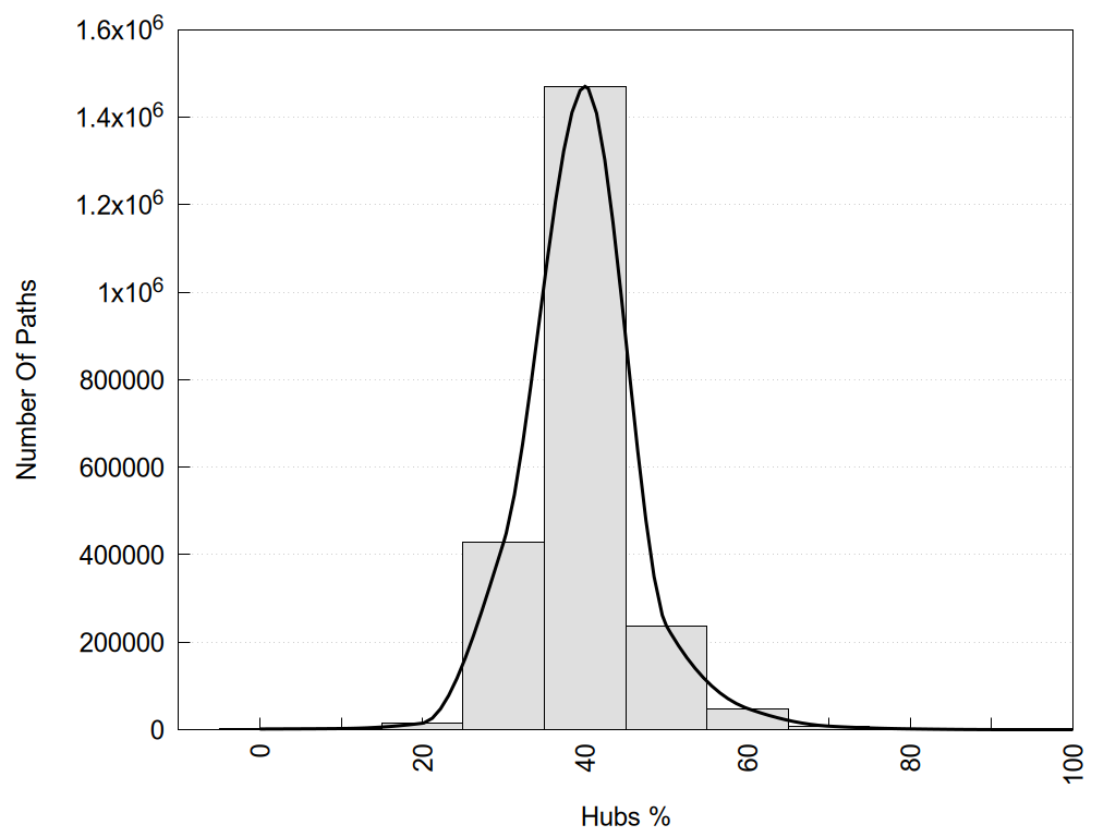
2D representation of the global metapath, ligand(s) interactions and
histograms of path distribution according to several parameters
(click on the image to enlarge it 🔍):

A 2D representation of the global communication in the network.
ConSurf Conservation Grade (See documentation):
n/a 1 2 3 4 5 6 7 8 9
there is no ligand in network 8Z3Y |
|
|
|
| Annotation | Type | Links |
|---|---|---|
| Gene Ontology | Molecular Function | |
| Gene Ontology | Biological Process | |
| Gene Ontology | Cellular Component | |
| SCOP2 | Domain Identifier | • Transducin (heterotrimeric G protein), gamma chain |
| SCOP2 | Family Identifier | • Transducin (heterotrimeric G protein), gamma chain |
| Membrane Protein Annotations | - | • Orientations of Proteins in Membranes database (OPM) • Protein Data Bank of Transmembrane Proteins (PDBTM) • MemProtMD |
| This receptor, from the same or other species and bound to the same or other ligands, is also present in the following networks: | ||||||||||||
|---|---|---|---|---|---|---|---|---|---|---|---|---|
| Show | PDB | Class | SubFamily | Type | SubType | Species | Orthosteric Ligand | Other Ligand(s) | Protein Partners | Resolution | Date | DOI |
| 9JCP | A | Orphan | Orphan | GPR4 | Homo sapiens | - | LPC | chim(NtGi1-Gs-CtGq)/β1/γ2 | 2.55 | 2025-07-09 | doi.org/10.1038/s41421-025-00807-y | |
| 9JCP (No Gprot) | A | Orphan | Orphan | GPR4 | Homo sapiens | - | LPC | 2.55 | 2025-07-09 | doi.org/10.1038/s41421-025-00807-y | ||
| 9JCO | A | Orphan | Orphan | GPR4 | Homo sapiens | - | LPC | chim(NtGi1-Gs)/β1/γ2 | 2.36 | 2025-07-09 | doi.org/10.1038/s41421-025-00807-y | |
| 9JCO (No Gprot) | A | Orphan | Orphan | GPR4 | Homo sapiens | - | LPC | 2.36 | 2025-07-09 | doi.org/10.1038/s41421-025-00807-y | ||
| 9JCQ | A | Orphan | Orphan | GPR4 | Homo sapiens | - | LPC | chim(NtGi1-Gs)/β1/γ2 | 2.59 | 2025-07-09 | doi.org/10.1038/s41421-025-00807-y | |
| 9JCQ (No Gprot) | A | Orphan | Orphan | GPR4 | Homo sapiens | - | LPC | 2.59 | 2025-07-09 | doi.org/10.1038/s41421-025-00807-y | ||
| 8ZD1 | A | Orphan | Orphan | GPR4 | Xenopus tropicalis | - | - | chim(NtGi1-Gs)/β1/γ2 | 2.6 | 2025-02-26 | doi.org/10.1016/j.cell.2024.12.001 | |
| 8ZD1 (No Gprot) | A | Orphan | Orphan | GPR4 | Xenopus tropicalis | - | - | 2.6 | 2025-02-26 | doi.org/10.1016/j.cell.2024.12.001 | ||
| 8ZF4 | A | Orphan | Orphan | GPR4 | Xenopus tropicalis | - | - | - | 3.05 | 2025-02-26 | doi.org/10.1016/j.cell.2024.12.001 | |
| 8ZF6 | A | Orphan | Orphan | GPR4 | Xenopus tropicalis | - | - | chim(NtGi1-Gs)/β1/γ2 | 2.98 | 2025-02-26 | doi.org/10.1016/j.cell.2024.12.001 | |
| 8ZF6 (No Gprot) | A | Orphan | Orphan | GPR4 | Xenopus tropicalis | - | - | 2.98 | 2025-02-26 | doi.org/10.1016/j.cell.2024.12.001 | ||
| 8ZF7 | A | Orphan | Orphan | GPR4 | Xenopus tropicalis | - | - | - | 3.15 | 2025-02-26 | doi.org/10.1016/j.cell.2024.12.001 | |
| 8ZF9 | A | Orphan | Orphan | GPR4 | Mus musculus | - | - | chim(NtGi1-Gs)/β1/γ2 | 2.56 | 2025-02-26 | doi.org/10.1016/j.cell.2024.12.001 | |
| 8ZF9 (No Gprot) | A | Orphan | Orphan | GPR4 | Mus musculus | - | - | 2.56 | 2025-02-26 | doi.org/10.1016/j.cell.2024.12.001 | ||
| 8ZFA | A | Orphan | Orphan | GPR4 | Xenopus tropicalis | - | - | chim(NtGi1-Gs)/β1/γ2 | 2.96 | 2025-02-26 | doi.org/10.1016/j.cell.2024.12.001 | |
| 8ZFA (No Gprot) | A | Orphan | Orphan | GPR4 | Xenopus tropicalis | - | - | 2.96 | 2025-02-26 | doi.org/10.1016/j.cell.2024.12.001 | ||
| 8ZFB | A | Orphan | Orphan | GPR4 | Xenopus tropicalis | - | - | - | 3.78 | 2025-02-26 | doi.org/10.1016/j.cell.2024.12.001 | |
| 8ZFC | A | Orphan | Orphan | GPR4 | Mus musculus | - | - | chim(NtGi1-Gs)/β1/γ2 | 2.68 | 2025-02-26 | doi.org/10.1016/j.cell.2024.12.001 | |
| 8ZFC (No Gprot) | A | Orphan | Orphan | GPR4 | Mus musculus | - | - | 2.68 | 2025-02-26 | doi.org/10.1016/j.cell.2024.12.001 | ||
| 8ZFD | A | Orphan | Orphan | GPR4 | Mus musculus | - | - | - | 2.56 | 2025-02-26 | doi.org/10.1016/j.cell.2024.12.001 | |
| 8ZFE | A | Orphan | Orphan | GPR4 | Mus musculus | - | - | - | 2.56 | 2025-02-26 | doi.org/10.1016/j.cell.2024.12.001 | |
| 9JVG | A | Orphan | Orphan | GPR4 | Mus musculus | - | - | chim(NtGi1-Gs)/β1/γ2 | 2.76 | 2025-02-26 | doi.org/10.1016/j.cell.2024.12.001 | |
| 9JVG (No Gprot) | A | Orphan | Orphan | GPR4 | Mus musculus | - | - | 2.76 | 2025-02-26 | doi.org/10.1016/j.cell.2024.12.001 | ||
| 9JVH | A | Orphan | Orphan | GPR4 | Mus musculus | - | - | - | 2.76 | 2025-02-26 | doi.org/10.1016/j.cell.2024.12.001 | |
| 9JVM | A | Orphan | Orphan | GPR4 | Xenopus tropicalis | - | - | - | 2.36 | 2025-02-26 | doi.org/10.1016/j.cell.2024.12.001 | |
| 9BIP | A | Orphan | Orphan | GPR4 | Homo sapiens | - | - | Gs/β1/γ2 | 2.8 | 2025-01-22 | doi.org/10.1016/j.cell.2024.11.036 | |
| 9BIP (No Gprot) | A | Orphan | Orphan | GPR4 | Homo sapiens | - | - | 2.8 | 2025-01-22 | doi.org/10.1016/j.cell.2024.11.036 | ||
| 8ZCE | A | Orphan | Orphan | GPR4 | Homo sapiens | - | - | Gs/β1/γ2 | 3.1 | 2025-04-23 | doi.org/10.1038/s41422-025-01092-w | |
| 8ZCE (No Gprot) | A | Orphan | Orphan | GPR4 | Homo sapiens | - | - | 3.1 | 2025-04-23 | doi.org/10.1038/s41422-025-01092-w | ||
| 8ZCF | A | Orphan | Orphan | GPR4 | Homo sapiens | - | - | Gs/β1/γ2 | 2.9 | 2025-04-23 | doi.org/10.1038/s41422-025-01092-w | |
| 8ZCF (No Gprot) | A | Orphan | Orphan | GPR4 | Homo sapiens | - | - | 2.9 | 2025-04-23 | doi.org/10.1038/s41422-025-01092-w | ||
| 9JFU | A | Orphan | Orphan | GPR4 | Homo sapiens | NE52-QQ57 | - | - | 3.23 | 2025-04-23 | doi.org/10.1038/s41422-025-01092-w | |
| 9JFV | A | Orphan | Orphan | GPR4 | Homo sapiens | - | - | chim(Gs-CtGq)/β1/γ2 | 2.67 | 2025-04-23 | doi.org/10.1038/s41422-025-01092-w | |
| 9JFV (No Gprot) | A | Orphan | Orphan | GPR4 | Homo sapiens | - | - | 2.67 | 2025-04-23 | doi.org/10.1038/s41422-025-01092-w | ||
| 9JFW | A | Orphan | Orphan | GPR4 | Homo sapiens | - | - | Gs/β1/γ2 | 3.13 | 2025-04-23 | doi.org/10.1038/s41422-025-01092-w | |
| 9JFW (No Gprot) | A | Orphan | Orphan | GPR4 | Homo sapiens | - | - | 3.13 | 2025-04-23 | doi.org/10.1038/s41422-025-01092-w | ||
| 9JFX | A | Orphan | Orphan | GPR4 | Homo sapiens | - | - | chim(Gs-CtGq)/β1/γ2 | 2.87 | 2025-04-23 | doi.org/10.1038/s41422-025-01092-w | |
| 9JFX (No Gprot) | A | Orphan | Orphan | GPR4 | Homo sapiens | - | - | 2.87 | 2025-04-23 | doi.org/10.1038/s41422-025-01092-w | ||
| 9JFZ | A | Orphan | Orphan | GPR4 | Homo sapiens | - | - | chim(Gs-CtGq)/β1/γ2 | 2.9 | 2025-04-23 | doi.org/10.1038/s41422-025-01092-w | |
| 9JFZ (No Gprot) | A | Orphan | Orphan | GPR4 | Homo sapiens | - | - | 2.9 | 2025-04-23 | doi.org/10.1038/s41422-025-01092-w | ||
| 9JHP | A | Orphan | Orphan | GPR4 | Homo sapiens | - | - | chim(NtGi2-G13)/β1/γ2 | 3.35 | 2025-04-23 | doi.org/10.1038/s41422-025-01092-w | |
| 9JHP (No Gprot) | A | Orphan | Orphan | GPR4 | Homo sapiens | - | - | 3.35 | 2025-04-23 | doi.org/10.1038/s41422-025-01092-w | ||
| 9LGM | A | Orphan | Orphan | GPR4 | Homo sapiens | - | - | Gs/β1/γ2 | 2.84 | 2025-04-23 | doi.org/10.1038/s41422-025-01092-w | |
| 9LGM (No Gprot) | A | Orphan | Orphan | GPR4 | Homo sapiens | - | - | 2.84 | 2025-04-23 | doi.org/10.1038/s41422-025-01092-w | ||
| 8ZFZ | A | Orphan | Orphan | GPR4 | Danio rerio | - | - | chim(NtGi1-Gs)/β1/γ2 | 3.3 | 2025-01-22 | doi.org/10.1038/s41467-025-55901-2 | |
| 8ZFZ (No Gprot) | A | Orphan | Orphan | GPR4 | Danio rerio | - | - | 3.3 | 2025-01-22 | doi.org/10.1038/s41467-025-55901-2 | ||
| 9J31 | A | Orphan | Orphan | GPR4 | Danio rerio | - | - | chim(NtGi1-Gs)/β1/γ2 | 3.05 | 2025-01-22 | doi.org/10.1038/s41467-025-55901-2 | |
| 9J31 (No Gprot) | A | Orphan | Orphan | GPR4 | Danio rerio | - | - | 3.05 | 2025-01-22 | doi.org/10.1038/s41467-025-55901-2 | ||
| 8Z3M | A | Orphan | Orphan | GPR4 | Homo sapiens | - | - | chim(NtGi1-Gs-CtGq)/β1/γ2 | 2.9 | 2025-04-23 | To be published | |
| 8Z3M (No Gprot) | A | Orphan | Orphan | GPR4 | Homo sapiens | - | - | 2.9 | 2025-04-23 | To be published | ||
| 8Z3Q | A | Orphan | Orphan | GPR4 | Homo sapiens | - | - | chim(NtGi1-Gs)/β1/γ2 | 2.76 | 2025-04-23 | To be published | |
| 8Z3Q (No Gprot) | A | Orphan | Orphan | GPR4 | Homo sapiens | - | - | 2.76 | 2025-04-23 | To be published | ||
| 8Z65 | A | Orphan | Orphan | GPR4 | Homo sapiens | - | - | chim(NtGi1-Gs)/β1/γ2 | 2.98 | 2025-04-23 | To be published | |
| 8Z65 (No Gprot) | A | Orphan | Orphan | GPR4 | Homo sapiens | - | - | 2.98 | 2025-04-23 | To be published | ||
| 8Z66 | A | Orphan | Orphan | GPR4 | Homo sapiens | - | - | - | 3.06 | 2025-04-23 | To be published | |
| 8Z67 | A | Orphan | Orphan | GPR4 | Homo sapiens | - | - | - | 3.2 | 2025-04-23 | To be published | |
| 9LMO | A | Orphan | Orphan | GPR4 | Homo sapiens | - | - | - | 3.2 | 2025-07-09 | To be published | |
| 9LMP | A | Orphan | Orphan | GPR4 | Homo sapiens | NE52-QQ57 | - | - | 2.65 | 2025-07-02 | To be published | |
| 8Z3Y | A | Orphan | Orphan | GPR4 | Homo sapiens | - | - | chim(NtGi1-Gs)/β1/γ2 | 3.2 | 2025-06-04 | To be published | |
| 8Z3Y (No Gprot) | A | Orphan | Orphan | GPR4 | Homo sapiens | - | - | 3.2 | 2025-06-04 | To be published | ||
| 8Z9P | A | Orphan | Orphan | GPR4 | Homo sapiens | - | - | Gi1/β1/γ2 | 2.5 | 2025-07-09 | To be published | |
| 8Z9P (No Gprot) | A | Orphan | Orphan | GPR4 | Homo sapiens | - | - | 2.5 | 2025-07-09 | To be published | ||
| 9IV6 | A | Orphan | Orphan | GPR4 | Homo sapiens | - | - | chim(NtGi1-Gs)/β1/γ2 | 2.71 | 2025-07-30 | To be published | |
| 9IV6 (No Gprot) | A | Orphan | Orphan | GPR4 | Homo sapiens | - | - | 2.71 | 2025-07-30 | To be published | ||
| 8Z9O | A | Orphan | Orphan | GPR4 | Homo sapiens | - | - | Gs/β1/γ2 | 2.4 | 2025-07-16 | To be published | |
| 8Z9O (No Gprot) | A | Orphan | Orphan | GPR4 | Homo sapiens | - | - | 2.4 | 2025-07-16 | To be published | ||
You can download a compressed (zip) file with structure(s), 3D outputs (as PyMol and VMD scripts) and numerical data files (as csv and plain text files).
Download 8Z3Y.zipYou can click to copy the link of this page to easily come back here later
or use this QR code to link and share this page.
You can also read or download a guide explaining the meaning of all files and numerical data.